|
№
п/п
|
Виды
работ
|
Эскиз
и формула подсчета
|
Ед.
изм.
|
Кол-во
|
|
1
|
2
|
3
|
4
|
5
|
|
ТЕР01-01-030-02
|
Разработка
грунта с перемещением до 10 м бульдозерами мощностью 59 (80) кВт (л.с.), 2
группа грунтов
|
S
=(40,0+20)*(10+20)=1800 м2 Vразр1800*0,2=360 м3
|
1000
м3
|
0,36
|
|
ТЕР01-01-001-19
|
Разработка
грунта в отвал экскаватором "драглайн" одноковшовым электрическим
|
,
|
1000
м3
|
0.25125
|
|
ТЕР01-02-009-01
|
Уплотнение
грунта под основание
|
|
1000м2
|
0,1675
|
|
ТЕР06-01-001-01
|
Устройство
бетонной подготовки
|
|
100м3
|
0.0837
|
|
ТЕР06-01-001-16
|
Устройство
ленточных фундаментов
|
|
100м3
|
0,8375
|
|
ТЕР08-01-003-01
|
Гидроизоляция
фундаментов горизонтальная цементная с жидким стеклом
|
|
100м2
|
0.8375
|
|
ТЕР08-01-003-07
|
Гидроизоляция
боковая обмазочная битумная
|
|
100м2
|
1,675
|
|
ТЕР01-01-003-13
|
Обратная
засыпка грунта
|
|
1000
м3
|
0.1675
|
|
ТЕР08-02-001-01
|
Кладка
стен кирпичных наружных простых
|
|
1
м3
|
350.64
|
|
ТЕР08-02-001-07
|
Кладка
стен кирпичных внутренних
|
|
1
м3
|
154.66
|
|
ТЕР08-02-002-01
|
Кладкаармир.
перегородок толщиной в 1/4 кирпича
|
|
100м2
|
0,7352
|
|
ТЕР07-01-029-02
|
Укладка
плит безбалочных перекрытий (покрытий)
|
Плиты
шириной на комнату. Размеры: 5,4х1,5=41шт; 4,2х1,5=5 шт. Итого на 2 этажей 92
штук плит.
|
100
шт
|
0,92
|
|
ТЕР07-01-047-02
|
Установка
лестничных площадок
|
На
2 этажа требуется 12 лестничных площадок
|
100
шт
|
0,12
|
|
ТЕР07-01-047-03
|
Установка
лестничных маршей
|
На
2 этажа требуется 6 лестничных маршей
|
100
шт
|
0,06
|
|
ТЕР12-01-013-03
|
Утепление
покрытий плитами из минеральной ваты
|
|
100
м2
|
4,3152
|
|
ТЕР12-01-017-01
|
Устройство
стяжек цементно-песчаных толщиной 15 мм
|
|
100
м2
|
4,3152
|
|
ТЕР12-01-015-04
|
Устройство
пароизоляции обмазочной в один слой
|
|
100
м2
|
4,3152
|
|
ТЕР10-02-036-01
|
Установка
стропил (1 м3 древесины в конструкции)
|
|
1
м3
|
4.8
|
|
ТЕР12-01-007-09
|
Устройство
кровель из оцинкованной стали
|
|
100
м2
|
6,396
|
|
ТЕР11-01-004-05
|
Устройство
гидроизоляции под полы
|
Гидроизоляция
устраивается под полы во всем здании
|
100
м2
|
4,3152
|
|
ТЕР11-01-014-01
|
Устройство
полов бетонных по грунту
|
|
100
м3
|
0.6473
|
|
ТЕР11-01-009-01
|
Устройство
тепло- и звукоизоляции
|
Тепло-
и звукоизоляция устраивается под полы во всем здании.
|
100
м2
|
4.3152
|
|
ТЕР11-01-034-01
|
Устройство
покрытий из досок паркетных
|
Суммируется
квадратура комнат, в которых предполагаются паркетные полы.
|
100
м2
|
5.0808
|
|
ТЕР11-01-031-03
|
Устройство
покрытий из мраморных плиток
|
Суммируется
квадратура комнат, в которых предполагаются керамические полы.
|
100
м2
|
1,9584
|
|
ТЕР10-01-027-02
|
Устройство
оконных блоков
|
Предполагаются
окна трех типоразмеров: ОК1- 1,5х1,2=18 шт.; ОК2- 2х3= 2 шт.; ОК3- 1,5х1,5=16
шт
|
100
м2
|
0,804
|
|
ТЕР15-05-001-01
|
Остекление
двойное оконным стеклом
|
Принимается
двойная площадь оконных блоков.
|
100
м2
|
0,804
|
|
ТЕР10-01-039-02
|
Установка
блоков в наружных и внутренних дверных проемах
|
Д1-1х2,2=
46шт Д2-2,5х2,2= 2шт
|
100
м2
|
1,122
|
|
ТЕР15-02-016-05
|
Оштукатуривание
стен
|
S=254
м2
|
100
м2
|
2,54
|
|
ТЕР15-04-005-01
|
Окраска
водоэмульсионными составами
|
S=
85 м2
|
100м2
|
0,85
|
|
ТЕР15-06-001-01
|
Оклейка
обоями стен
|
S=
169 м2
|
100
м2
|
1,69
|
2. Описание методов производства
работ
Подготовительные работы
В состав работ подготовительного периода входят:
расчистка территории, снос строений, планировка территории, устройство
временных дорог, инженерных сетей для снабжения строительного участка водой и
электроэнергией, создание складского хозяйства, устройство средств связи, а
также устройство временных зданий для строительства.
Срезка растительного слоя
Плодородный слой почвы, подлежащий снятию с
застраиваемых площадей, срезают и перемещают в специально отведенное место, где
складируют для последующего использования. При этом плодородный слой следует
предохранять от смешивания с нижележащим слоем, загрязнения, размыва и
выветривания. Строительная площадка ограждается, либо обозначается
соответствующими знаками.
Срезку растительного слоя производят
бульдозером. Бульдозер расчищает участок от камней, кустарников, строительного
мусора и верхнего слоя земли. Бульдозер работает по ступенчатой технологической
схеме.
Рисунок 2 - Ступенчатая схема движения
бульдозера
Работы по отводу поверхностных вод
Чтобы на территорию строительной площадки не
поступали поверхностные воды с повышенных соседних участков, их отводят за
пределы площадки. Для предотвращения быстрого залива создаются водоотводные
канавы с продольным уклоном не менее 0,004.
Для отвода поверхностных вод, образующихся
непосредственно на площадке, предусматривается соответствующий уклон
строительной площадки при вертикальной планировке, и устраивают сеть открытого
водостока.
Прокладка инженерных сетей
При сроке эксплуатации более одного года
временные водопроводные линии укладываются так же, как и постоянные, т. е. ниже
глубины промерзания грунта. При эксплуатации в течение донного летнего сезона
достаточно уложить трубы на глубине 30 см или прямо на поверхности с защитой их
от механических повреждений.
В условиях частого перекладывания временных
водопроводных сетей находят применение инвентарные переносные трубы системы КДУ
(короткоструйная дождевальная установка).
Постоянные сети прокладываются по кольцевой
схеме, временные - чаще по тупиковой и смешанной.
Обеспечивать строительную площадку водой легче,
если использовать постоянные сети, которые войдут в системы водоснабжения
объектов после окончания их строительства. Пожарный водопровод проводится от
внешней сети пожарного гидранта.
Горячие водоснабжение центральное из теплосети.
Отопление центральное водяное от внешнего
источника.
Канализация бытовая и производственная в
наружную сеть. Освещение - охранное и для бытовых нужд.
Работы по проведению инженерных сетей проводят в
3 этапа: 1- до обратной засыпки, 2- до отделочных работ, 3- во время отделочных
работ.
Организация связи
Связь на строительной площадке осуществляется
при помощи мобильной связи, а так же по кабельному телефону.
Кабель телефона проводится по столбам или под
землей в трубах от внешней сети с учетом оформления специального канала.
Устройство фундаментов
Перед началом устройства монолитного ленточного
необходимо произвести армирование и установить щиты опалубки. После
горизонтальной и вертикальной выверки заливают бетонную смесь. Вибрирование
выполняется послойно.
Для бетонных монолитных полов применяют бетонную
смесь с подвижностью по осадке стандартного конуса не более 10 см.
Бетон укладывают полосами шириной 2,5 - 3 м,
ограниченными маячными рейками. Поверхность бетонных покрытий шлифуют.
Перед выполнением горизонтальной гидроизоляции
изолируемые поверхности очищают от посторонних предметов, мусора, грязи.
После этого поверхность тщательно просушивают и
грунтуют.
После очистки поверхности бетонной конструкции
устраивают остекленную цементно-песчаную стяжку.
После выполнения всех работ по устройству
фундамента производят обратную засыпку грунта бульдозером.
Ее выполняют для того, чтобы наружные стены
фундамента прилегали к грунту.
Засыпают землю вокруг здания и уплотняют.
Кладка стен
Кладку стен из кирпича выполняют после
выполнения следующих операций: установки порядовок; натягивания причалок;
подготовки постели; подачи и разравнивания раствора. После этих операций
укладывают кирпич на растворную постель. Кладку стен всегда начинают с наружной
стороны. До начала кладки стен устанавливают и закрепляют угловые и
промежуточные порядовки, на которых отмечают уровни укладки перемычек,
установки оконных и дверных блоков и других элементов, связанных с кладкой
стен. Их выверяют по отвесу и нивелиру. Закрепив и выверив порядовки, на углах
стен укладывают маяки в виде убежнойштрабы. При кладке наружных рядов причалку
натягивают между порядовками для каждого ряда, а при кладке внутренних,
верстовых рядов через каждые 2-3 ряда. Во избежание ее провисания под нее
укладывают на растворе маячные камни или деревянные бруски.
Все дверные и оконные блоки крепят в стенах на
строительной пене специальной, которой при засыхании твердеет и жестко
сцепляется между стеной и дверным или оконным блоком, который приходит на
объект в полной заводской готовности.
Монтаж железобетонных конструкций
Сборные железобетонные плиты укладываются
вплотную друг к другу с использования грузоподъемного оборудования и
соединяются между собой путем заполнения швов цементным раствором.
Чтобы создать единое жесткое горизонтальное
перекрытие, железобетонные плиты скрепляют между собой и связывают с наружными
стенами при помощи монолитных антисейсмических поясов.
До начала монтажа лестничных площадок и маршей
рулеткой проверяют их размеры и изготавливают деревянный шаблон, копирующий
профиль опорной части лестничного марша. Затем на стенах лестничной клетки
размечают места установки площадок, наносят слой раствора и устанавливают
площадку. Проверяют положение установленной лестничной площадки по вертикали и
в плане. При необходимости подправляют положение площадки монтажными ломами либо
поднимают ее краном и устанавливают вновь, добиваясь проектного положения.
Отметка верха площадок должна строго соответствовать проектной, иначе
лестничный марш встанет криво либо провалится между площадок.
Лестничные марши подают краном с помощью четырехветвевого
стропа с двумя укороченными ветвями, которые при подъеме придают элементам
наклон немного больше проектного. Лестничные марши без монтажных петель
монтируют вилочным захватом.
Перед установкой марша монтажники устраивают
постель из цементно-песчаного раствора на опорных местах лестничных площадок,
набрасывая и разравнивая его кельмами. При установке лестничных маршей один
монтажник находится на нижней площадке, другой - на верхней или на подмостях
рядом с лестничной клеткой. Он первым принимает лестничный марш и направляет
его в лестничную клетку. На высоте 30-40 см от места посадки марша оба
монтажника прижимают его к стенке, дают машинисту крана сигнал и устанавливают
на место сначала нижний конец марша, затем верхний.
Устройство полов
Подготовки под полы служит монолитная
цементно-песчаная стяжка по засыпке из шлака. Марка раствора М150. толщина
стяжки 20-50 мм. При устройстве стяжек раствор укладывают полосами 1,5 м по
рейкам - маякам. Затем разравнивают раствор правилом. Заглаживание стяжки заканчивают
до начала схватывания раствора.
Полы из мраморной плитки устраивают в помещениях
с повышенным влажностным режимом это сантехнические узлы. Мраморная плитка
размером 250×250. Укладывается на
стяжку из цементно-песчаного раствора. Перед укладкой плитки поверхность
отчищают от пыли, делают разметку и устанавливают маяки, натягивают шнур -
причалку и приступают к укладке остальной плитки.
Паркет следует укладывать только в регулярно
отапливаемых зимой помещениях. Объясняется это тем, что при несоблюдении
температурного и влажностного режимов происходит быстрое разрушение пола.
Паркетный пол будет растрескиваться, рассыхаться, вспучиваться, и эксплуатация
его станет невозможной. Оптимальный температурный режим для паркетного пола -
18-20 °С. Паркетный пол настилается на ровное и сухое основание. Качественное
основание - важное условие долговечности паркетного пола. Основой для пола
может служить:
черновой пол из сухих досок;
бетонное перекрытие;
саморастекающиеся стяжки.
Через неделю после укладки паркета начинается
его внешняя отделка - циклевание, шлифовка, шпатлевка и покрытие лаком. Цель
циклевания - устранить все шероховатости, неровности, царапины, возникшие при
укладке паркета. Этот процесс производится вручную или с помощью специальной
машины. При укладке паркета из высококачественных сортов ценной древесины от
циклевания можно отказаться. В этом случае следует прислушаться к рекомендациям
фирмы-изготовителя. Циклевание способствует быстрейшему стиранию рабочего слоя
паркета, что не влияет негативно на паркет из твердых пород дерева, но может
повредить вставки в мозаичном паркете. Если на поверхности паркета нет ярко
выраженных неровностей, можно ограничиться шлифовкой.
Отделочные работы
Штукатурка - это отделочный слой, создаваемый на
стенах и перегородках. Штукатурку внутри выполняют улучшенную, слой обрызга -
грунтовка, а также накрывочный слой. Процесс оштукатуривания состоит из
следующих операций: подготовки поверхности; нанесение разравнивание раствора;
устройство декоративных обрамлений; разделки углов и откосов; нанесение
покрывочного слоя и затирки его поверхности.
Все малярные работы в здании выполняются вручную
малярами. Перед побелкой потолков поверхность очищают, если есть трещины - их
расшивают и выполняют шпатлевку и шлифовку. После начинают побелку в два приема
по категории качества улучшенную.
Для поклейки обоев заранее отмерьте и нарежьте
необходимое число обойных полотнищ нужной длины с запасом в пару сантиметров на
выравнивание неровностей у пола. Затем приготовьте обойный клей, следуя
инструкции, расположенной на коробке. Для того, чтобы избежать образования
комков, клей следует всыпать тоненькой струйкой в очень холодную воду,
непрерывно и интенсивно помешивая. Чем холоднее вода - тем меньше комочков.
Когда клей готов, обои нарезаны, можно приступать к поклейке.
3. Выбор монтажного крана
При выборе кранов по требуемым техническим
параметрам следует учитывать:
Конфигурацию и размеры здания;
Массы элементов опалубки и последовательность их
установки;
Типы монтажных приспособлений и оборудования;
Типы и схемы движения кранов, расположение их
при монтаже.
Как правило, следует проектировать краны таким
образом, чтобы требуемые параметры были наименьшими, так как при этом создаются
условия для применения менее мощных кранов, обычно более экономных.
Выбор крана производим для монтажа
железобетонных конструкций, арматурных конструкций, подачи приспособлений,
оборудования и др. Выбранный кран должен обладать необходимой грузоподъемностью
при соответствующем вылете крюка с учетом массы грузозахватного приспособления
и монтажной оснастки, устанавливаемой на конструкцию до подъема (подмости,
подкосы). Расчет требуемой грузоподъемности производится по формуле:
где Qэл - масса монтируемого
элемента (пустотная плита покрытий),ГР- масса грузозахватного устройства (строп
4-х ветвевой).
Требуемая высота подъема крюка по
отношению к отметке стоянки крана для каждого из монтируемых элементов
определяется по формуле:
где hзап- запас по высоте для
обеспечения безопасности монтажа;эл- высота монтируемого элемента (плиты
покрытия);стр- высота строповки.
Рисунок 3 - Схема расположения крана
относительно здания
Требуемый вылет стрелы определяем по
формуле:
Согласно рассчитанным параметрам, принимаем
автокран КС-65711-27.
Рассчитываем опасную зону действия крана:
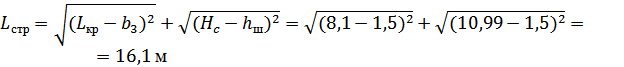
ОЗ= Rmax + 0.5 Lmax + lбез = 16,1+ 8,1/2+ 7=
27,15 м,
Где ОЗ - опасная зона действия крана, м;
.5Lmax - половина максимальной длины монтируемой
конструкции, м;максимальный вылет стрелы, м;без- дополнительное расстояние для
безопасной работы - возможное рассеивание груза в случае падения, может быть
определено по табл. 2.
Таблица 2 - Минимальное расстояние отлета груза
при падении
|
Высота
возможного падения груза, м
|
Минимальное
расстояние отлета груза, м
|
|
При
перемещении краном
|
При
падении со здания
|
|
До
10
|
4
|
3,5
|
|
До
20
|
7
|
5
|
|
До
70
|
10
|
7
|
Описание календарного графика строительства
Календарный план строительства предусматривает
весь комплекс работ по возведению сооружений от подготовки до пуско-наладки.
При разработке календарного плана учитывались правила охраны труда, соблюдение
качества работ, наиболее экономичное и равномерное использование ресурсов,
сроки поставки оборудования. Календарный план составляется с учетом
трудоемкости работ.
Расчет коэффициента неравномерного использования
рабочих определяется по формуле:
где RMAX- максимальное число
рабочих;- среднее число рабочих.
Строительный генеральный план
Расчет общей численности работающих
на объекте
Число рабочих на стадии ППР
устанавливается из календарных планов и графиков движения рабочей силы.
Удельный вес различных категорий работающих (рабочих, ИТР, служащих, МОП, охраны)
принимается в зависимости от показателей конкретности строительной отрасли.
В расчетах численность рабочих
принимается по наиболее многочисленной смене. Общая численность работающих
определяется по формуле:
где
- максимальное количество рабочих в
смену;ИТР - инженерно-технические работники, 6-8 % от
;МОП -
младший обслуживающий персонал, 2-4 % от
; k - коэффициент, учитывающий
отпуска, болезни и т. д., k =1.06.
Расчет необходимого количества и
размеров площадей временных зданий
Контора прораба. Принимается здание
площадью 25 м2.
Проходная. Принимается 6 м2.
Гардеробы с умывальниками
Гардеробы принимаются из расчета
0,5м2 на одного работающего при условии пользования ими до 70 % от списочного
числа рабочих. Отсюда
х 0,7 х0,5 = 7,7 м2.
Помещение для обогрева рабочих (комната отдыха).
Данное помещение рассчитывается из условия 0,5
м2 на одного рабочего. Одновременно этим помещением пользуются 50 % работающих
х0,5х0,5=5,5 м2
Душевые (мужские и женские)
Количество рожков определяется из расчета один
рожок на человека, в течение одного часа пользуются душем 40 % рабочих, площадь
приходящаяся на одну кабинку -4 м2.
22 х 0,4 х 4 = 35.2 м2
Уборная. Уборные принимаем общей площадью 10 м2.
Помещение для принятия пищи
Расчет производится на 30% списочного состава
рабочих. На 1 рабочего принимается 1 м2 площади.
х0,3х1=6,6 м2
Медпункт
При количестве работающих до 1200 человек,
площадь медпункта принимается 70 м2. Так же на строительной площадке
расположены:
Мастерская арматурная -4 м2;
Мастерская авторемонтная -20 м2.
Таблица 3 - Перечень и размеры временных зданий
|
№ п/п
|
Наименование
|
Площадь зданий,
м2
|
Размеры, м
|
|
1
|
Контора прораба
|
25,0
|
5х5
|
|
2
|
Проходная
|
6,0
|
3х2
|
|
3
|
Гардеробы
|
7,7
|
3х2,56
|
|
4
|
Помещение для
обогрева рабочих
|
5,5
|
2х2,75
|
|
5
|
Душевые
|
35,2
|
5х7,04
|
|
6
|
Уборная
|
10,0
|
3*3,5
|
|
7
|
Помещение для
принятия пищи
|
6,6
|
3х2,2
|
|
8
|
Медпункт
|
70,0
|
11х6
|
|
9
|
Мастерская
арматурная
|
4,0
|
2х2
|
Мастерская
авторемонтная
|
20,0
|
4х5
|
Расчет площадей складов
На стадии ППР решается вопрос организации
приобъектных складов для временного хранения материалов, полуфабрикатов,
деталей и конструкций.
Приобъектные склады устраивают на строительной
площадке. Они состоят из открытых площадок в зоне действия монтажного
механизма, навесов и закрытых отапливаемых помещений.
Площадь каждого вида склада зависит от вида,
способа хранения и количества материалов. Закрытые складские помещения
назначаются без расчетов (цемент в мешках, стекло оконное, оконные и дверные
полотна, краски, лаки и химикаты).
Площади открытых складов:
Песок
где
-
суточное потребление данного материала;
-
норма запаса в днях (5-10 дней);
-
коэффициент, учитывающий неравномерность поставки и потребления, принимается
1,2-1,3.
где
-
количество материалов, подлежащих складированию;
-
норма складирования данного материала на 1 м2;
-
коэффициент, учитывающий проходы, принимается 0,7.
Кирпич (на поддонах)

Плиты перекрытий
Расчет временного водоснабжения
Временное водоснабжение и канализация
предназначены для обеспечения производственных, хозяйственно-бытовых и
противопожарных нужд строительной площадки.
Проектирование, размещение и сооружение сетей
водоснабжения производятся в соответствии со СНиП 2.04.02-84, СНиП 3.05.04-85 и
др.
Параметры систем временного водоснабжения
устанавливаются в следующей последовательности: определение потребителей и
расчет расхода воды; выбор источников водоснабжения; оставление принципиальной
схемы и расчет диаметров трубопроводов, привязка трассы и сооружений на
стройгенплане.
В проекте рассчитывается только сеть временного
водоснабжения, так как постоянная и пожарная сети определены проектной организацией
при проектировании объекта.
Рассчитывается расход воды на производственные и
хозяйственные нужды по формуле:
где
,
-
соответственно секундные расходы на производственные, хозяйственные и пожарные
нужды.
Расход воды на производственные нужды
определяется по формуле:
где
-
расход воды на производственное потребление (500 л);
-
число производственных потребителей, принимается 20% от максимального числа
рабочих в смену;
=1,5 - коэффициент
часовой неравномерности потребления;
-
время смены в часах.
Расход воды на хозяйственно-бытовые нужды
определяется по формуле:
где
-
расход воды на хозяйственное потребление (15 л);
-
численность рабочих в смену;
=2,0 - коэффициент
часовой неравномерности потребления;
-
время смены в часах;
=30 л - расход воды
на прием душа одним рабочим;
- 80% пользующихся
душем от общей численности рабочих;
-
продолжительность использования душевой установки.
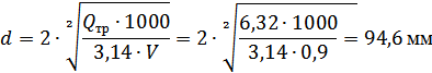
Диаметр трубопровода определяется по формуле:
где
- скорость движения воды в трубе (0,6-0,9 м/сек)
Расчет мощности энергопотребителей
Расчет суммарной мощности энергопотребителей
необходим для определения мощности трансформаторной подстанции, устанавливаемой
для нужд строительства.
Общая потребность в электроэнергии на
строительной площадке складывается из трех составляющих: электроэнергия на
наружное и внутреннее освещение строительной площадки и объектов - до 10% общей
потребности, электроэнергия на технологические нужды при производстве СМР
(электросварка, электроподогрев бетона и грунта, сушка помещений и т.д.) -
20-30% общей потребности, электроэнергия для питания электродвигателей - 60-70%
общей потребности.
Таблица 4 - Суммарная мощность
электропотребителей
|
№
п/п
|
Потребители
электроэнергии
|
Количество
единиц потребителей
|
Потребляемая
мощность в кВт
|
|
|
|
На
единицу
|
На
всех потребителей
|
|
1
|
2
|
3
|
4
|
5
|
|
Силовые
токоприемники:
|
|
1
|
Экскаватор
|
1шт
|
80
|
80
|
|
2
|
Бетононасосы
|
1
шт
|
17-45
|
30
|
|
3
|
Растворонасосы
|
1
шт
|
2-4
|
4
|
|
4
|
Электросварочные
автоматы
|
1
шт
|
15-30
|
20
|
|
5
|
Электротрамбовки
|
1
шт
|
1-5
|
3
|
|
6
|
Электровибраторы
|
1
шт
|
1
|
1
|
|
7
|
Растворо-бетоносмесители
|
1
шт
|
2-16
|
10
|
|
8
|
Краскопульты
|
1
шт
|
0,5
|
0,5
|
|
Технологические
токоприемники
|
|
9
|
Электросушка
штукатурки
|
м2
|
2
|
144
|
|
Внутреннее
освещение
|
|
10
|
Контора,
диспетчерская, бытовые помещения
|
м2
|
0,015
|
1,12
|
|
11
|
Душевые,
уборные
|
м2
|
0,003
|
0,13
|
|
12
|
Склады
закрытые
|
м2
|
0,015
|
0,34
|
|
13
|
Навесы
|
м2
|
0,003
|
0,04
|
|
14
|
Мастерские
|
м2
|
0,018
|
0,43
|
|
Наружное
освещение
|
|
15
|
Территория
строительства
|
100
м2
|
0,015
|
74,7
|
|
16
|
Открытые
складские площадки
|
м2
|
0,05
|
1,23
|
|
17
|
Основные
дороги и проезды
|
км
|
5,0
|
0,92
|
|
18
|
Аварийное
освещение
|
км
|
3,5
|
1,0
|
жилой дом фундамент сеть
Расчет нагрузок по установленной мощности
электроприемников, производится по формуле:
,
где α - коэффициент,
учитывающий потери в сети в зависимости от протяженности, сечения и т.п.,
принимаемый по справочникам (1,05…1,10);, k2, k3, k4 - коэффициенты,
учитывающие одновременность работы потребителей (соответственно равные 0,5,
0,6, 0,7, 0,8);
cosφ - коэффициент
мощности, принимаемый равным 0,7;
Рс - мощность силовых потребителей,
кВт;
Рт - электроэнергия на
технологические нужды;
Ро.в. - мощность устройств освещения
внутреннего, кВт;
Ро.н. - мощность освещения
наружного, кВт.
После расчета суммарной мощности
определяется тип трансформаторной подстанции (СНиП 12-01-2004 «Организация
строительства»). Принимаем трансформатор КТП ТАС мощностью 1000 кВт напряжение
6 (10) кВ.
Технико-экономические показатели
проекта
Сметная стоимость объекта
где
-
общая площадь здания;
- количество
этажей.
Стоимость СМР -
Нормативная продолжительность строительства -
3,5 мес.
Проектируемая продолжительность строительства -
3,15 мес.
Выработка на 1 чел
где
- общая трудоемкость.
Экономический эффект -
Охрана труда и техники безопасности
Охрана труда это одно из условий успешного
выполнения заданий по капитальному строительству. Она предусматривает создание
на объекте безопасных и здоровых условий труда, улучшения санитарно-бытовых и
медицинского обслуживания рабочих, замена ручного труда механизированным.
Общие положения: обучение рабочих технике
безопасности, освещение рабочих мест, устройство временных ограждений проходов.
Временные здания и сооружения устанавливают вне
действия монтажного крана, все зоны должны быть оборудованы знаками
предупреждения и т.д.
Охрана окружающей среды
Охрана окружающей среды на строительной площадке
сводится в основном: к снятию растительного слоя с дальнейшим использованием
его при благоустройстве. Сохранение деревьев и ценных пород кустарников,
удаление строительных отходов для утилизации и предотвращение засорения
природных водоемов строительными отходами.
Противопожарные мероприятия
При проектировании строительного генерального
плана учитываются требования противопожарные безопасности, предусматриваются
противопожарные разрывы между зданиями и сооружениями, пожарные посты,
гидранты, пожарный щит, кроме этого на строительном генеральном плане
вывешиваются плакаты о мерах пожарной безопасности.
Список используемой литературы
1.
Государственные элементные сметные нормы на строительные работы, М. Госстрой
России 2000г.
.
Градостроительный кодекс от 29.12.2004 № 190-ФЗ.
.
Методическое указание к выполнению курсового проекта по организации
строительства. М. А. Орешин, С. М. Резниченко, Л. И. Сидоренко - КГАУ, 1998г.
.
Молотков Г. С. Монтаж строительных конструкций: учебно-методическое пособие /
Г. С. Молотков, Р. Г. Нехай. - Краснодар: КубГАУ, 2014.
.
СНиП 1.02.07-87 «Инженерные изыскания для строительства».
.
СНиП 1.04.03-85 «Нормы продолжительности строительства и задела в строительстве
предприятий зданий и сооружений».
.
СНиП 11-01-95 «Инструкция о порядке разработки, согласования, утверждения и
составе проектной документации на строительство предприятий, зданий и
сооружений».
.
СНиП12-01-2004 «Организация строительства».
.
СП 48.13330.2011 (Актуализированная редакция СНиП 12-01-2004).
.
Справочник инженера-строителя. Л.А. Зинева - Ростов н/Д, 2005.
.
Федеральный закон «Технический регламент о безопасности зданий и сооружений» от
30.12.2009 № 384-Ф3.