Организация складского хозяйства на железнодорожном транспорте
Введение
Склады в народном хозяйстве страны играют важную роль. Задачи
складов очень разнообразны, но их можно свести к следующим главным:
выравнивание грузопотоков в связи с циклическим характером производства и
потребления во всех сферах народного хозяйства; создание резервов материалов,
полуфабрикатов, готовой продукции для обеспечения деятельности отраслей
народного хозяйства; обеспечение запасными частями эксплуатационных и ремонтных
служб в промышленности, строительстве, на транспорте и в сельском хозяйстве, а
также сфере бытового обслуживания.
В народном хозяйстве нет предприятий, не имеющих в своем
составе складов. А в такой отрасли как материально-техническое снабжение,
склады являются основными производственными подразделениями.
Склады в системе материально-технического снабжения должны
обеспечивать в установленном ритме основное производство
материально-техническими ресурсами в потребных количествах и ассортименте.
Причем поставка продукции должна осуществляться в объемах менее транзитных норм
отгрузки, чтобы не создавать излишних производственных запасов на промышленных
предприятиях. Наиболее распространенной складской продукцией являются
тарно-штучные грузы, к которым обычно относят грузы любых видов, упакованные в
тару и хранимые на поддонах, в ящичной таре или в контейнерах.
На грузовых фронтах всех складов выполняют
погрузочно-разгрузочные операции, которые отличаются высокой интенсивностью,
особенно в пунктах стыка различных видов транспорта. Под влиянием технического
прогресса, и прежде всего развития вычислительной и подъемно-транспортной
техники, крупные складские системы превращаются в современные предприятия с
четко организованным автоматизированным технологическим процессом -
транспортно-складские (грузовые) комплексы (ТСК). Четкий ритм их
функционирования обеспечивают сложные автоматизированные поточно-транспортные
системы (ПТС), которые по структуре и масштабам напоминают автоматизированные
поточные технологические линии современных промышленных предприятий. ПТС
состоят из конвейеров, упаковочных, пакетоформирующих и пакеторазборочных
агрегатов, автоматизированных складских и погрузочно-разгрузочных машин,
накопителей и др. Классификация ТСК по функциональному принципу дана на рис. 1.
Могут быть также предложены в зависимости от потребностей практики другие
частные признаки классификации, например тип подъемно-транспортного
оборудования, вариант объемно-планировочного решения, взаимное расположение
погрузочно-разгрузочных путей и автопроездов и др.
Склады представляют собой сложное хозяйство, оснащенное
высокопроизводительным специальным оборудованием. До недавнего времени
основными средствами механизации работ на складах тарно-штучных грузов служили
мостовые краны, напольные погрузчики и штабелеры. Однако по мере роста
потребности в складских помещениях все более очевидными стали недостатки
напольных погрузочно-разгрузочных машин - необходимость в устройстве широких
проходов для движения погрузчиков и штабелеров и ограниченная высота подъема
груза.
Поиски оборудования, обеспечивающего максимальное
использование складских помещений, удобство доступа к грузам и высокую
производительность, привели к созданию различных систем складирования грузов.
Наибольшее распространение получили системы с кранами-штабелерами,
укладывающими грузы в стеллаж с помощью грузозахватных устройств.
Краны-штабелеры позволяют рационализировать складское
хозяйство, экономить площади, высвободить значительное количество
вспомогательных рабочих и открывают широкие возможности для автоматизации
складирования.
Краны-штабелеры применяют в самых различных отраслях
промышленности, но особенно эффективно - в машиностроении, металлургической
промышленности, материально-техническом снабжении.
Краны-штабелеры применяют в таких отраслях, в которых ранее
использовали лишь традиционные подъемно-транспортные машины.
Основным видом подъемно-транспортного оборудования складов
стеллажного типа являются мостовые краны-штабелеры и стеллажные штабелеры.
Практика и исследования показывают, что мостовые краны-штабелеры целесообразно
применять при высоте стеллажей до 10-12 м; при более высоких стеллажах более
экономичными являются стеллажные штабелеры.
Мостовой кран-штабелер имеет вертикальную
колонну, подвешенную к грузовой тележке, перемещающейся по мосту,
передвигающемуся по крановым рельсам. По колонне перемещается грузозахватное
устройство в виде вил 6, а нередко и кабина крановщика. Подъем (и опускание)
кабины может осуществляться тем же механизмом, что и подъем груза. Находят
применение раздельные механизмы подъема кабины и груза. Один такой
кран-штабелер может обслуживать группу стеллажей и даже весь склад.
Стеллажный кран-штабелер имеет
вертикальную колонну, перемещающуюся между стеллажами. В этих кранах тележка
передвигается по рельсам, уложенным на стеллажах. Грузоподъемное устройство, перемещающееся
по колонне, должно обслуживать оба стеллажа (правый и левый). Если колонна
будет выполнена поворотной, то требуется увеличить расстояние между стеллажами.
Грузозахватное устройство выполнено выдвижным.
Стеллажные краны могут перемещаться по напольному
рельсовому пути.
По способу опирания на рельсовый путь
краны-штабелеры бывают опорными или подвесными. Это деление является условным.
Подвесной кран-штабелер подвешен к ходовым тележкам.
Грузоподъемность кранов-штабелеров обычно
не превышает 5 т, но находят применение краны-штабелеры грузоподъемностью более
10 т.
Высота подъема отечественных кранов составляет 10 м. Скорость
подъема 8-12 м/мин. Скорость передвижения моста 50 м/мин (при управлении с пола
только 36 м/мин), скорость передвижения тележки 12-20 м/мин. Частота вращения
колонны 4 об/мин. Одной из особенностей кранов-штабелеров, по сравнению с
обычными крюковыми кранами, является точная остановка всех механизмов. Поэтому
при достаточно высоких рабочих скоростях предусматривается возможность движения
с пониженными (доводочными) скоростями. В отечественных кранах доводочные
скорости: подъема 4 м/мин, передвижения моста 10 м/мин, передвижения тележки 5
м/мин.
1. Обзор существующих конструкций и выбор
рациональной схемы крана-штабелера
Стеллажные краны-штабелеры представляют собой широкую группу
кранов-штабелеров, которые могут устанавливать грузы в один стеллаж,
расположенный вдоль крановых путей или в два стеллажа, расположенные по обе
стороны крановых путей. Стеллажным называется кран-штабелер с вертикальной
колонной, перемещающейся в проходе между стеллажами.
Стеллажные краны-штабелеры являются наиболее эффективным
складским оборудованием и интерес к ним, проявляемый со стороны потребителей и
поставщиков, предопределил интенсивное развитие производства этих
кранов-штабелеров.
Краны-штабелеры грузоподъемностью 1 т. представляют собой
двухколонную раму, передвигающуюся по подвесному пути, укрепленному на
стеллажах. По раме вертикально перемещается грузоподъемник. В нижней части рамы
установлены ролики, которые катятся по направляющим рельсам и удерживают
кран-штабелер в вертикальном положении. Рама подвешена на двух приводных
каретках. Каждая каретка имеет два электродвигателя мощностью 0,18 и 0,8 кВт,
оборудованных электромагнитными тормозами, дифференциальный редуктор и две пары
ходовых колес, причем одна пара - приводная.
Приводные каретки сообщают крану-штабелеру скорость 60 м/мин
при одновременной работе двух электродвигателей и скорость 10 м/мин при работе
одного (малого) электродвигателя. На верхней балке рамы установлен привод
механизма подъема, состоящий из электротали, оборудованной двухскоростным
электродвигателем мощностью 5,0 кВт.
Грузоподъемник движется вдоль рамы крана-штабелера по
направляющим рельсам с помощью четырех пар роликов, охватывающих эти рельсы. На
верхней поперечной балке грузоподъемника установлен подпружиненный канатный
блок, соединенный тягами с клиновыми ловителями, охватывающими направляющие
рельсы. При обрыве несущего каната или поломке механизма подъема происходит
заклинивание ловителей и посадка грузоподъемника на раму крана.
Кабины кранов-штабелеров изготовляли двух исполнений:
полуоткрытой, применяемой в отапливаемых складах с температурой не ниже +50,
и закрытой, используемой в не отапливаемых складах. Закрытая кабина имела
теплоизоляцию и была оборудована приборами отопления.
Конструкция описанного крана-штабелера характерна для всех
подвесных кранов-штабелеров. Преимущества их, предопределившие достаточно
широкое применение, заключались в следующем: простая и технологичная
конструкция рамы; удобство установки и крепления ходовых механизмов и механизма
подъема; возможность использования узлов и механизмов монорельсового
транспорта.
Однако длительная эксплуатация стеллажных подвесных
кранов-штабелеров различных конструкций, изготовленных многими фирмами, выявила
ряд общих для них недостатков:
· во-первых, интенсивное изнашивание ходовых
колес и монорельсовых путей, особенно при увеличившихся до 100-120 м/мин
скоростях передвижения;
· во-вторых, значительное недоиспользование
высоты склада, обусловленное необходимостью разместить под монорельсом верхнюю
несущую балку рамы, привод механизма подъема и другие механизмы;
· в-третьих, неудобство эксплуатации связано
с размещением основных механизмов в верхней части крана-штабелера и трудностью
доступа к ним обслуживающего персонала.
В связи с этим выпуск подвесных стеллажных кранов-штабелеров
был прекращен. Их заменили более совершенными опорными.
Как одно из направлений в дальнейшем развитии конструкции
стеллажных кранов-штабелеров можно рассматривать появление кранов-штабелеров,
опирающихся на рельсы, уложенные в стеллажи. Например, одноколонный
кран-штабелер (рис.2.). Рельсы для него укладывают на верхние планки стеллажей
и крепят к ним болтами. При этом должна быть обеспечена высокая точность их
монтажа (отклонение - не более 2мм). Колея рельсовых путей в зависимости от
размеров перерабатываемого груза и прохода между стеллажами составляет 1,5 -
2,5 м. По крановым рельсам передвигается тележка крана-штабелера, несущая на
себе основные механизмы: приводы подъема и передвижения, шкаф с
электроаппаратурой. К тележке крепят колонну или сплошного сечения (на
кранах-штабелерах малой грузоподъемности), или решетчатую (на кранах-штабелерах
большой грузоподъемности).
Опирающиеся на стеллаж краны-штабелеры имеют лучшие, чем
подвесные краны-штабалеры, условия работы благодаря катанию ходовых колес по
крановым рельсам, а также возможности увеличить их диаметры. Однако их
конструкции присущи серьезные недостатки:
· во-первых, это верхнее расположение
механизмов (недостаток подвесных кранов-штабелеров)
· во-вторых, - высокие требования,
предъявляемые к монтажу направляющих путей.
Действительно, при большой высоте подъема груза небольшая
разность установки крановых путей по вертикали приводит к значительному
отклонению нижнего конца колонны от среднего положения. При установке
направляющего пути в этом случае могут появляться нежелательные нагрузки от
перекоса металлоконструкции крана-штабелера.
Основным преимуществом опирающихся на стеллажах
кранов-штабелеров является относительно простая конструкция передаточных
тележек, которые предназначены для перемещения кранов-штабелеров из одного
межстеллажного прохода в другой.
Передаточные тележки обычно изготовляют в виде
четырехколесной платформы, перемещающейся по двум рельсам, проходящим поперек
фронта стеллажей, под перекрытием склада. Один из рельсов устанавливают на
стеллаж, а другой крепят непосредственно к перекрытию склада. На передаточных
тележках направляющие рельсы не предусматривают, так как возможный перекос
колонны крана-штабелера, установленного на тележке, не имеет существенного
значения. От рамы тележки вниз опускаются короткие кронштейны, несущие участок
крановых путей, который стыкуется с крановыми путями, расположенными на
стеллажах.
Передаточная тележка с краном-штабелером грузоподъемностью 1
т. изготовлена в виде сварной рамы, передвигающейся по двум крановым путям,
один из которых установлен на стеллажах, другой на специальных
металлоконструкциях. Рама тележки несет на себе участок крановых рельсов для
передвижения крана-штабелера, оканчивающихся стыковыми замками, запирающими
кран-штабелер при передвижении на передаточной тележке.
В настоящее время большинство фирм перешло к выпуску
стеллажных кранов-штабелеров, перемещающихся по одному крановому пути,
установленному на полу склада. В верхней части кранов-штабелеров устанавливают
направляющие ролики, которые перемещаются по направляющему пути и удерживают
кран-штабелер в вертикальном положении. Опорные (на пол) стеллажные
краны-штабелеры по компоновке представляют собой одноколонную или двухколонную
конструкцию, имеющую нижнюю ходовую балку с двумя безребордными колесами, одно
из которых - приводное. К балке крепят одну или две вертикальные колонны,
заканчивающиеся направляющими роликами, охватывающими с двух сторон
направляющий путь, углового или чаще двутаврового профиля. При двух колоннах
краны-штабелеры имеют в верхней части продольную балку, которая связывает их и
образует таким образом замкнутую прямоугольную конструкцию. На нижней балке или
на нижней части колонны устанавливают канатный или цепной механизм подъема, с
помощью которого осуществляется вертикальное перемещение грузоподъемника
совместно с кабиной оператора. Подобная конструкция, ставшая классической, имеет
несомненные преимущества перед описанными выше подвесными и опирающимися на
стеллаж кранами-штабелерами.
При перемещении крана-штабелера по специальному крановому
рельсу с помощью двух безребордных колес, оборудованных горизонтальными
роликами, катящимися по боковым граням рельса, изнашивание как ходовой части
крана-штабелера, так и рельса, в том числе и при высоких (120 - 160 м/мин)
скоростях перемещения, минимально. Причем возможно применение ходовых колес
достаточно большого диаметра, что, в свою очередь, позволяет уменьшить
сопротивление перемещению и улучшить энергетические показатели механизма
передвижения. При расположении в нижней части крана-штабелера всех механизмов и
электрооборудования улучшаются условия доступа к этим механизмам при эксплуатации.
Крановый путь, установленный на полу склада (в межстеллажном проходе),
позволяет создать более благоприятные условия для монтажа данного типа
крана-штабелера (по сравнению с другими типами). чч Монтаж кранов-штабелеров
сводится к установке на крановый путь опорной балки со смонтированными на ней
механизмами и установке на эту балку колонны с помощью стрелового
автомобильного крана или с помощью электрической или ручной тали, подвешиваемой
к направляющему пути.
Однако главным преимуществом опирающихся на пол стеллажных
кранов-штабелеров является более высокая степень использования высоты
помещения, чем при применении стеллажных подвесных и опирающихся на стеллаж
кранов-штабелеров, достигающая своего максимального значения в одноколонных
кранах-штабелерах.
Претерпели значительное изменение и некоторые узлы
кранов-штабелеров, среди которых прежде всего следует отметить грузозахватные
устройства. На первых конструкциях стеллажных кранов-штабелеров преимущественно
использовали роликовые столы, с помощью которых пакетированные грузы
устанавливались на кран-штабелер и в стеллаж, а также выдвижные и поворотные
вилочные захваты. Применение кранов-штабелеров с роликовыми столами на складах
с интенсивной работой оказалось неприемлемым, прежде всего в результате тяжелых
условий труда операторов.
Применение выдвижных (и поворотных) вилочных захватов,
подобных используемым на автопогрузчиках, позволило полностью исключить ручной
труд при пакетной переработке груза. Однако это влечет за собой увеличение
прохода между стеллажами, так как необходимо оставлять определенное место для
крепления вилочных захватов. Поэтому получили распространение выдвижные
телескопические захваты, технологически более сложные, чем вилочные, но
позволяющие создать проход между стеллажами минимальной ширины, равной
практически сумме ширины перерабатываемого груза и зазоров (по 50 - 100 мм на
сторону) между грузом и стеллажом.
Телескопические захваты представляют собой три секции
одинаковой длины, из которых одна неподвижная, а две другие подвижные. Причем
секция, которая несет на себе груз, движется с увеличенной вдвое скоростью по
отношению к промежуточной. Телескопические захваты могут выдвигаться в обе
стороны поперек прохода.
Значительные изменения претерпела система управления
кранов-штабелеров, начиная от ручного управления оператором из кабины на первых
кранах-штабелерах и кончая полностью автоматизированным управлением,
применяемым на стеллажных кранах-штабелерах последних поколений. Изменился
принципиальный подход к конструированию приводных механизмов. Переход от
ручного к автоматическому управлению и возросшие скорости перемещения
обусловили переход от применения асинхронных электродвигателей к
электродвигателям постоянного и переменного тока с тиристорным регулированием
скорости, а также к электродвигателям с микроприводом. Более широко стали
применяться редукторы, специально предназначенные для использования на
кранах-штабелерах, вместо редукторов общепромышленного применения.
Изменения в конструкции кабин операторов направлены в
основном на улучшение условий труда, создание комфортных условий и обеспечение
безопасности в работе.
В настоящее время стеллажные краны-штабелеры являются
высокопроизводительным надежным оборудованием, которое отличает отработанность
конструкции, ее высокая технологичность, тщательность отделки. Таким образом
поиски наиболее оптимальных конструктивных решений завершились созданием
современных стеллажных кранов-штабелеров, имеющих много общего в конструкции,
но отличающихся один от другого техническим исполнением отдельных узлов,
деталей, систем управления. Можно сделать предположение, что дальнейшие
конструктивные поиски будут направлены в основном на повышение надежности,
технологичности, расширение функциональных возможностей системы управления.
1.1 Общая компоновка
Стеллажные краны-штабелеры изготовляют в настоящее время в
различных странах. Конструктивные их решения обусловлены традициями,
технологическими возможностями, наличием освоенного производства узлов
подъемно-транспортных машин, систем управления. В принципе компоновки
стеллажных кранов-штабелеров однотипны.
Современный стеллажный кран-штабелер выполнен в виде нижней
ходовой балки, оборудованной двумя безребордными колесами, к которой крепят
одну или две колонны, имеющие сверху горизонтально расположенные направляющие
ролики. Если устанавливают две колонны, то верхние их концы соединяют
горизонтальной балкой. По колонне с помощью канатного или реже цепного привода
механизма подъема перемещается консольно установленный грузоподъемник, несущий
кабину управления и выдвижной телескопический захват. На стеллажных
кранах-штабелерах, предназначенных для поштучного отбора грузов, так называемых
комплектовочных кранах-штабелерах, вместо выдвижных телескопических захватов
можно устанавливать гладкие или роликовые столы, а также другие приспособления
для укладки в стеллажи и отбора из стеллажей грузов.
Одноколонный стеллажный кран-штабелер имеет нижнюю ходовую
балку, на которой установлены приводное и холостое колеса. К балке крепят
колонну, на верхней части которой установлены горизонтальные ролики,
удерживающие кран-штабелер в вертикальном положении.
По колонне перемещается консольный грузоподъемник с кабиной
оператора. Кабина оператора имеет небольшой свободный ход относительно
грузоподъемника для того, чтобы полностью использовать высоту склада. На два
телескопических захвата грузоподъемника устанавливается груз. грузоподъемник по
колонне перемещается с помощью канатного механизма подъема. шкаф с
электрооборудованием соединен с колонной кронштейном.
Двухколонные стеллажные краны-штабелеры применяют при больших
высоте подъема и грузоподъемности. Кран-штабелер имеет нижнюю опорную балку, на
которой установлены приводное и холостое колеса. К опорной балке крепят две
колонны и соединенные верхними концами продольной балки. На этой балке
установлены две пары горизонтальных роликов и механизм синхронизации,
применяемый для уменьшения амплитуды перемещения верхней части колонны
относительно ее нижней части.
Между колонн перемещается грузоподъемник, представляющий
собой платформу, с двух сторон оборудованную каретками, ролики которых
обкатываются по направляющим колонн. На грузоподъемнике установлена кабина
оператора и выдвижные телескопические захваты, служащие для установки в
стеллажи пакетированного груза. грузоподъемник поднимается с помощью канатного
механизма подъема, который установлен на одной колонне, а на второй - шкаф с
электрооборудованием. Для обслуживания механизма подъема и механизма
синхронизации на одной из колонн крепят рабочие площадки, к которым по лестнице
поднимается обслуживающий персонал.
Сравнивая схемы этих кранов нетрудно увидеть, что
использование полезной высоты склада при применении двухколонных
кранов-штабелеров хуже, чем в одноколонных. Во-первых, из-за наличия верхней
балки, соединяющей колонны, и, во-вторых, из-за того, что кабина не может
вертикально перемещаться относительно грузоподъемника.
Одноколонную или двухколонную схему крана-штабелера выбирают
прежде всего из условий обеспечения фиксированного положения груза на
грузоподъемнике. При выдвижении груза инерционные силы приводят к поперечному
перемещению рамы грузоподъемника в результате зазоров направляющих роликов
грузоподъемника и закручивания колонн в поперечной плоскости. Очевидно, что это
поперечное перемещение консольного грузоподъемника существенно больше, чем
перемещение грузоподъемника, имеющего направляющие ролики, расположенные с
обеих сторон по направлению движения крана-штабелера. Поэтому при грузах массой
более 2 т, при грузах, длина которых более 2 - 2,5 м и при большой высоте
подъема (свыше 20 м) применяют двухколонные краны-штабелеры.
Одноколонные краны-штабелеры по сравнению с двухколонными
имеют минимальные собственные массу и размеры; позволяют лучше использовать
высоту помещения и более удобны при монтаже. Недостатками одноколонных
стеллажных кранов-штабелеров являются относительно большое поперечное
перемещение грузоподъемника и увеличенные нагрузки на направляющие катки
грузоподъемника в результате его консольного расположения, и, как следствие
этого, - большой износ катков и направляющих колонны.
Эти недостатки не оказывают существенного влияния при
грузоподъемности кранов-штабелеров до 2,0 - 2,5 т. Однако при грузоподъемности
свыше 2 т и при больших (свыше 2,5 м) размерах груза устранение этих
отрицательных влияний путем увеличения прочности и жесткости
металлоконструкций, увеличения диаметров направляющих катков грузоподъемника и
расстояния между ними приводит к неоправданному увеличению массы и размеров
крана-штабелера. В этих случаях предпочтение следует отдать двухколонной схеме,
при которой кран-штабелер работает в значительно более благоприятных условиях.
.2 Механизмы
Механизмы подъема стеллажных кранов-штабелеров принципиально
мало отличаются от соответствующих механизмов других грузоподъемных машин. В
подавляющем большинстве на стеллажных кранах-штабелерах применяют канатные
механизмы подъема. Механизм подъема, как правило, состоит из электродвигателя,
тормоза, редуктора и канатного барабана. Эти механизмы имеют определенные
ширину, ограниченную шириной межстеллажного прохода, и длину, непосредственно
зависящую от длины крана-штабелера. Поэтому наибольшее распространение получила
вертикальная компоновка механизма подъема. Основой механизма является
вертикальный конусно-цилиндрический редуктор, который крепят к задней стенке
колонны. Канатные барабаны устанавливают или на двух концах выходного вала по
обе стороны редуктора (в этом случае используют канат без полиспаста), или на
одном конце вала, тогда груз поднимают с помощью полиспаста, а свободный конец
каната через блоки крепят к ограничителю грузоподъемности. На редуктор сверху
помещают фланцевый вертикальный электродвигатель. Тормоз устанавливают на
тормозной муфте, соединяющей редуктор с электродвигателем.
Стеллажные краны-штабелеры могут иметь иную компоновку
механизма подъема. На них используют стандартные червячные или цилиндрические
крановые редукторы и тормозы вертикального исполнения. Редуктор и
электродвигатель установлены горизонтально по продольной оси крана-штабелера.
Канатный барабан установлен или на выходном валу редуктора, или соединен с
редуктором зубчатой передачей. Длина подобного механизма больше, чем механизма
при вертикальной компоновке. Однако на размерах крана-штабелера такая
компоновка механизма подъема не сказывается, так как его встраивают внутрь
решетчатой колонны.
Описанная компоновка механизма подъема выгодна тем, что при
ее использовании не требуются специальные конусно-цилиндрические редукторы,
стоимость которых больше, чем червячных или цилиндрических.
Механизм передвижения
Механизм передвижения принципиально не отличается от
механизмов передвижения других грузоподъемных устройств. Они состоят из
электродвигателя, тормоза и редуктора, соединенного с ходовым колесом. Подобно
механизмам подъема, механизмы передвижения, как правило, имеют вертикальную
компоновку. Механизмы передвижения большинства зарубежных фирм выполнены в виде
вертикального конусноцилиндрического или червячного редуктора, установленного
на валу приводного колеса или соединяемого с ним открытой зубчатой передачей. На
редукторы вертикально устанавливают фланцевые электродвигатели со встроенным
тормозом. Широко применяют электродвигатели с микроприводом, обеспечивающие
большой диапазон регулирования скоростей при постоянном крутящем моменте.
На многих типах кранов-штабелеров, в том числе на стеллажных
кранах-штабелерах отечественного производства, механизм передвижения выполнен в
виде вертикального цилиндрического редуктора с полым выходным валом,
насаженного на вал приводного колеса. Выходной вал редуктора соединен с электродвигателем
с помощью тормозной муфты. Электродвигатель расположен горизонтально над
ходовой балкой крана-штабелера. Такая компоновка более эффективна, так как этот
механизм лучше вписывается в габариты крана. С целью сокращения длины
кранов-штабелеров механизм подъема, как правило, расположен над механизмом
передвижения. При большой высоте механизма передвижения механизм подъема
приходится устанавливать достаточно высоко, что усложняет его обслуживание.
Механизм передвижения всегда выполняют на одном из ходовых
колес, расположенном для двухколонных кранов-штабелеров со стороны более
нагруженной колонны и для одноколонных - со стороны колонны.
Телескопический захват
Выдвижные телескопические захваты разного конструктивного
исполнения в настоящее время применяют на всех стеллажных кранах-штабелерах,
предназначенных для пакетной переработки грузов.
Телескопические захваты независимо от конструктивного
исполнения выполнены по единой схеме. Они обычно состоят из трех секций:
неподвижной, промежуточной и выдвижной. Последняя служит опорной площадкой для
установки груза. Она расположена несколько выше остальных секций, чтобы при
выдвижении груз не задевал за неподвижную и промежуточную секции. Промежуточная
секция имеет ролики, благодаря которым она может передвигаться по направляющим
неподвижной секции. В свою очередь выдвижная секция с помощью роликов движется
по промежуточной секции. Ширина всех секций одинакова и равна максимальной
ширине перевозимого груза.
Промежуточная секция выдвигается примерно на половину ее
длины; выдвижная секция выступает из промежуточной на ту же величину. Обе
секции выдвигаются одновременно с помощью привода. Захват может выдвигаться в
обе стороны прохода. Таким образом, взятый из загрузочного устройства груз
может быть установлен в любую сторону без какого-либо поворота грузового
захвата. Благодаря этому ширина прохода между стеллажами может быть снижена до
минимального размера, определяемого шириной перевозимого груза с учетом
необходимых зазоров между грузом и стеллажами (от 50 до 100 мм на сторону).
Выдвижной телескопический захват с вертикальным расположением
секций состоит из выдвижной площадки 3 с закрепленной на ней роликовых батарей
5 и 6, промежуточной секции 2, неподвижных роликовых батарей 1 и 7 и приводного
вала с шестернями 8. на верхней выдвижной площадке 3, промежуточной секции 2 и
на неподвижной секции закреплены зубчатые рейки 4, длина которых равна длине
секции.
Работа телескопического захвата происходит следующим образом.
При вращении вала 8 установленные на нем шестерни, входящие в зацепление с
рейками, на средней секции 2, сообщают средней секции некоторую скорость. На
оси, закрепленной в средней секции, свободно вращается шестерня, входящая в
зацепление одновременно с рейкой, закрепленной на неподвижной секции, и с
рейкой, закрепленной на верхней выдвижной площадке. При перемещении средней
секции со скоростью v1 шестерня, входящая в зацепление с неподвижной рейкой, сообщает
верхней секции скорость v2 = 2*v1. Таким образом, при включении привода захвата одновременно
перемещаются на одинаковую величину: средняя секция по неподвижной со скоростью
v1; выдвижная площадка по
средней секции с удвоенной скоростью v2.
После взятия груза привод захвата переключает и обе секции
одновременно перемещаются и приходят в среднее положение. Выдвижной
телескопический захват другого типа имеет горизонтальное расположение секций.
На неподвижной секции его, установленной на грузоподъемнике, крепят ролики 9,
по которым перемещается промежуточная секция 2 с роликами 8, служащими для передвижения
выдвижной площадки 3. На валу промежуточного элемента смонтирована шестерня,
входящая одновременно в зацепление с зубчатой рейкой, закрепленной на
неподвижной секции захвата.
Привод захвата состоит из электродвигателя, редуктора и
тормоза. На выходном валу редуктора размещена шестерня, входящая в зацепление с
шестерней приводного вала захвата, имеющего также две шестерни 10, сопряженные
с зубчатыми рейками, установленными на промежуточной секции захвата.
Работает захват таким образом. При включении привода шестерни
посредством зубчатых реек сообщают поступательное движение промежуточной секции
2. Шестерня промежуточной секции, движущаяся вместе с ней, входит в зацепление
с неподвижной зубчатой рейкой и передает движение с удвоенной скоростью зубчатой
рейке, установленной на выдвижной площадке захвата. Промежуточный и выдвижной
элементы захвата движутся одновременно, но выдвижной элемент перемещается вдвое
быстрее первого.
Захваты с горизонтальным расположением секций имеют меньшую
высоту, что позволяет лучше использовать вместимость склада. К недостаткам
следует отнести сложность конструкции и относительно высокую ее стоимость.
Система управления
Рабочие скорости механизмов - подъема, передвижения,
выдвижения телескопических захватов достаточно высоки. Работа механизмов при
таких скоростях возможна только при большом диапазоне регулирования скоростей
механизмов. Для остановки крана-штабелера (грузоподъемника) точно против
требуемой ячейки (позиционирование) необходимо, чтобы кран-штабелер и грузоподъемник
подходили к ячейке на низких установочных скоростях. При ручном управлении эти
скорости не должны превышать 6 - 8 м/мин, при автоматическом -2 - 4 м/мин. При
этих скоростях можно с точностью до нескольких миллиметров останавливать
соответствующий механизм. Для приводов подъема и передвижения наиболее часто
применяют тиристорные преобразователи постоянного или переменного тока. За
рубежом находят применение специальные электродвигатели с микроприводами,
позволяющие получить низкие установочные скорости (0,8 - 1,2 м/мин) при
сохранении необходимого крутящего момента. Эти приводы значительно дороже, чем
приводы с обычными электродвигателями, однако позволяют достигать высокой
точности позиционирования.
Краны-штабелеры оборудованы тиристорными преобразователями и
электродвигателями постоянного тока с диапазоном регулирования 50: 1.
недостатком применения тиристорных приводов является уменьшение крутящего
момента на валу электродвигателя (приводного колеса) и отсюда - повышение
требований к качеству монтажа кранового пути.
Краны-штабелеры с относительно низкими скоростями механизмов
(подъема - 8 - 12 м/мин, передвижения - 60 - 80 м/мин), с ручным управлением
оборудуют двух или многоскоростными асинхронными электродвигателями. Стоимость
таких приводов значительно меньше стоимости тиристорных приводов, равно как и
стоимость обслуживания и ремонта. Двухскоростные электродвигатели с
соотношением скоростей 8:1 широко применяют на стеллажных кранах-штабелерах
производства НРБ.
2. Анализ различных вариантов конструктивного
исполнения и основных расчетов крана-штабелера
2.1 Назначение, специфика и нормативные основы
Все вновь проектируемые или модернизируемые краны-штабелеры
подвергаются тщательному расчету. Оформленный расчет является обязательным
документом технического проекта крана-штабелера; расчеты элементов или узлов,
размеры которых становятся известными на стадии рабочего проектирования или
корректируются по результатам испытаний опытного образца, оформляют затем в
виде дополнительных частей или разделов.
Такое внимание к расчетам обусловлено тем, что
краны-штабелеры являются объектами повышенной ответственности. Прежде всего,
кран-штабелер - это подъемно-транспортная машина, разрушение или повреждение
которой представляет опасность для жизни обслуживающего персонала. Во-вторых,
кран-штабелер в большинстве случаев является единственным средством доступа к
грузам, находящимся в обслуживаемом им хранилище. Поэтому даже рядовые отказы
крана-штабелера нарушают работу склада, что особенно чувствительно для складов
интенсивных производств и технологических линий.
Таким образом, основным назначением расчетов является
проверка безопасности и надежности крана-штабелера в работе.
Безопасность крана-штабелера должна быть проверена также и
для процесса его испытаний, поскольку этот процесс характеризуется увеличенной
массой применяемых грузов, повышенной вероятностью возникновения отказов,
искусственным созданием отказов некоторых видов, а также значительной
численностью персонала испытателей, безопасность которых должна быть
гарантирована.
Другим назначением расчетов является проверка соответствия
технических параметров проекта крана-штабелера требованиям технического задания
и нормативно-технических документов. Некоторые из перечисленных параметров,
например расчетный ресурс, запасы прочности, жесткость элементов конструкции
крана-штабелера, имеют прямое отношение к вопросам безопасности и надежности
крана-штабелера. Другие параметры - скорость, ускорения и замедления,
обеспечиваемые механизмами, характеризуют производительность крана-штабелера.
Очевидно, что сравнение различных образцов кранов-штабелеров
может быть правильно выполнено только в том случае, если расчеты выполнены по
одной и той же методике, на основании одинаковых нормативов. Этим определяется
первая предпосылка необходимости стандартизации норм расчета кранов-штабелеров.
Другая и не менее важная предпосылка вытекает из самой ответственности
разработки стандарта как официального и обязательного документа; из широкой
гласности при обсуждении проекта стандарта заинтересованными и
специализированными организациями, в результате чего стандарт, как правило,
отражает передовой научный, технический и проектно-конструкторский опыт.
В результате специального изучения условий эксплуатации и
нормирования расчетов кранов-штабелеров разработаны и введены в действие ОСТ
24.090.68-82 «Краны-штабелеры стеллажные. Нормы расчета» и ОСТ 24.091.14-85
«Краны-штабелеры мостовые. Нормы расчета». Излагаемые ниже основные положения
расчета кранов-штабелеров даны в полном соответствии с упомянутыми стандартами.
Оба стандарта предназначаются для кранов-штабелеров по ГОСТ
16553-82. однако основные принципы и нормы расчета этих стандартов могут быть
использованы для кранов-штабелеров других типов и параметров, например, для
подвесных мостовых и стеллажных кранов-штабелеров, для кранов-штабелеров с
облегченным режимом работы. Для того чтобы конструктор мог в таких случаях
самостоятельно внести в нормативы необходимые изменения, здесь даются пояснения
о происхождении тех или иных нормативных требований.
Наконец, следует сказать, что отчетный расчет, как документ
проекта, представляет собой итоговую часть расчетной работы, которой
предшествует большое число предварительных и вариантных расчетов. Последние
особенно важны, так как представляют собой в большинстве случаев единственный
инструмент для получения конструкции необходимого технического уровня.
Вариантные расчеты в настоящее время с успехом выполняются на ЭВМ, принимая
форму так называемых оптимизационных расчетов. В качестве критерия оптимизации
для крана-штабелера обычно выбирают его массу, которую следует минимизировать.
Возможно применение и стоимостного или смешанного критерия.
Известно, что для расчетов с помощью ЭВМ необходима четкая
формализация расчетных схем и требований. И в этом отношении стандартизованные
нормы расчета кранов-штабелеров дают необходимый материал.
.2 Общие положения
Исходные данные для предварительных расчетов принимают в
соответствии с техническим заданием и схемами предварительных конструктивных
проработок крана-штабелера. Исходные данные оформляемого расчета должны
полностью соответствовать параметрам, указанным в конструкторской и
эксплуатационной документации на кран-штабелер; отдельные несоответствия должны
оговариваться в отношении их причин и следствий.
В конструкции крана-штабелера обычно используют материалы и
комплектующие изделия, выпускаемые промышленностью для общего потребления. К
ним относятся металлический прокат, электродвигатели, стандартные редукторы,
подшипники, муфты, тормоза и т.п. Их технические параметры, приводимые в
сортаментах и каталогах, также являются исходными данными для расчета, в
результате которого должны быть выявлены минимально необходимые типоразмеры
материалов и комплектующих изделий (с учетом возможностей поставки, которые
учитываются в расчете как ограничители сортаментов).
Желательно, чтобы полученные расчетом скорости механизмов
крана-штабелера составляли от 0,9 до 1,1 их номинальных значений. Следует
отметить, что согласно ГОСТ 16553-82 допускаемое отклонение фактических
скоростей от номинальных составляет 15%. Сужать поле допуска расчетных
скоростей целесообразно для компенсации возможного расхождения расчетных и
фактических скоростей.
Расчетное ускорение (замедление), обеспечиваемое механизмом
передвижения крана-штабелера, должно составлять 0,3 - 0,6 м/с2. Это
объясняется тем, что при ускорениях (замедлениях), меньших, чем 0,3 м/с2,
процессы разгона или торможения чрезмерно затягиваются. Например, при ускорении
0,2 м/с2 и номинальной скорости 2,0 м/с разгон будет длиться 10 с;
увеличение ускорения до 0,4 м/с2 сокращает время разгона до 5 с, а
общая экономия времени за цикл работы крана-штабелера составит 20 с, что
равносильно увеличению производительности крана-штабелера не менее чем на 20%.
Ускорение, большее, чем 0,6 м/с2, во многих случаях недостижимо по
условию необходимого запаса сцепления приводных колес с рельсами. Однако и
тогда, когда имеется избыточный запас сцепления (например, у кранов-штабелеров
с малой высотой подъема), увеличение ускорения свыше 0,6 м/с2 нецелесообразно:
увеличение производительности получается несущественным, а габарит
электродвигателя может возрасти, так как требуется повышенный пусковой момент.
Расчетное ускорение грузозахватного органа должно быть не
более 1,0 м/с2. ускорения, большие, чем указанное, не применяют,
потому что скорость подъема обычно не превышает 0,5 м/с и сокращать время
разгона по сравнению с величиной 0,5 с не только не имеет смысла, но и
невыгодно во всех отношениях.
Нижняя граница ускорения при подъеме не регламентируется.
Дело в том, что электродвигатель механизма подъема подбирают таким образом,
чтобы требуемый момент установившегося движения на валу электродвигателя был
близок к его номинальному моменту. Пусковой момент электродвигателя в 2 - 3
раза больше номинального, поэтому ускорение разгона обычно получается не менее
0,4 - 0,5 м/с2, что вполне приемлемо, так как время разгона не
превышает 1,0 - 1,5 с.
Верхняя граница замедления торможения при опускании
грузозахватного органа также равна 1,0 м/с2, а нижняя не ограничивается
по причинам, аналогичным вышеизложенным, так как основной процесс торможения
обеспечивается электродвигателем.
Расчетное ускорение (замедление) при выдвижении
телескопических захватов должно быть не более 1,0 м/с2. Такое
ограничение необходимо для предотвращения смещения груза относительно захвата
под действием инерционных сил. Поэтому указанное ограничение проверяется для
случаев пуска и торможения захвата, на котором установлена порожняя тара, так
как при этом ускорение (замедление) получается наибольшим. Вследствие того, что
скорость выдвижения захватов сравнительно невелика (до 0,25 м/с), инерционная
доля массы порожней тары в приведенном моменте инерции привода захвата также
невелика, и можно рассчитывать ускорение для захвата без груза. Этим
объясняется то, что в ОСТ 24.090.68-82 не оговаривается, для какого случая
нагружения захватов следует проверять ускорение, поскольку очевидно, что
наибольшее его значение будет в случае порожних захватов.
Нижний предел расчетного ускорения (замедления) захватов не
регламентируется ввиду того, что скорость выдвижения, как уже отмечалось,
сравнительно невелика и время разгона практически никогда не превышает 1 с даже
в наиболее тяжелом случае - при взятии номинального груза из ячейки стеллажа.
Расчетный срок службы кранов-штабелеров принимается равным 20
годам при односменной работе. В течение этого срока металлоконструкции
кранов-штабелеров должны проработать безотказно, и такое требование практически
выполнимо.
Календарный срок службы крана-штабелера и его узлов удобен
для эксплуатационника. Между этой величиной и долговечностью существует
определенная связь, зависящая от продолжительности цикла крана-штабелера и от
соотношения продолжительностей включения различных механизмов в течение цикла.
При индивидуальном проектировании крана-штабелера,
предназначенного для склада с определенными заданными параметрами - длиной,
высотой, числом ячеек, грузооборотом, - характеристики цикла можно определить
однозначно путем их осреднения по складу с учетом принятых приоритетов загрузки
и выгрузки.
Для крана-штабелера серийного производства условия работы
заранее не известны. Поэтому приходится задаваться некоторым условным складом,
параметры которого были бы представительны по частоте практической
применяемости и создавали бы в то же время достаточно напряженный режим работы
крана-штабелера. При этом для определения характеристики цикла стеллажного
крана-штабелера практически достаточно задаться длиной склада. Для мостового
крана-штабелера существует некоторое множество пар значений длины и ширины
склада, при которых может быть обеспечен заданный грузооборот. Этому множеству
соответствует множество возможных циклов, из которых следует выбрать наиболее
характерные, принимаемые в качестве нормативных.
Такая работа выполнена при разработке ОСТ 24.090.68-82 и ОСТ
24.091.14-85. Отметим, что выбор нормативного цикла работы крана-штабелера
позволяет помимо ресурса установить и другие важные характеристики режима
работы механизмов крана-штабелера. К ним относятся число включений в час и
продолжительность включения (ПВ,%), необходимые для выбора электродвигателей.
К ним также относятся циклограммы работы механизмов,
показывающие изменение нагрузки механизмов в течение цикла и необходимые для
расчета всех звеньев механизмов, в том числе и электродвигателей. Для получения
циклограмм приходится рассматривать процессы установившегося движения, а также
разгона и торможения механизмов, и, кроме того, учитывать статистическую
изменчивость массы складируемых грузов.
Методической основой для установления расчетных характеристик
режима работы механизмов является ГОСТ 25835-83 «Краны грузоподъемные.
Классификация механизмов по режимам работы», а также стандартные значения ПВ и
числа включений в час, применяемые в отечественной промышленности.
Согласно ГОСТ 25835-83, найденные с помощью нормативного
цикла значения чистого времени работы каждого из механизмов за срок службы
округляются до стандартных ближайших значений. Таким образом, устанавливается
класс использования механизма по времени. По циклограммам работы механизмов
вычисляют коэффициент нагружения, равный сумме произведений относительной
длительности нагрузки на куб относительной нагрузки, взятой по всем
элементарным прямоугольникам циклограммы. По коэффициенту нагружения
устанавливают класс нагружения, который в сочетании с классом использования
определяет группу режима работы механизма крана-штабелера.
Как показали исследования, для стеллажных кранов-штабелеров
по ГОСТ 16553-82 все механизмы должны быть отнесены к группе режима работы 5М
по ГОСТ 25835-83, что соответствует тяжелому режиму работы по классификации
Госгортехнадзора.
Элементы механизмов должны быть проверены на прочность по
наибольшим нагрузкам пусковых и тормозных режимов, а также на выносливость с
учетом требуемого ресурса и циклограмм нагружения элементов, получаемых путем
образмеривания исходных циклограмм по данным о величинах нагрузки, передаточных
чисел и коэффициентов полезного действия звеньев передачи.
При этом расчет цилиндрических эвольвентных зубчатых передач
внешнего зацепления следует выполнять по ГОСТ 21354-75, подшипников качения -
по ГОСТ 18854-82 и ГОСТ 18855-82. ходовые колеса кранов-штабелеров следует
проверять по ОСТ 24.090.44-82 «Колеса крановые. Выбор и расчет» с учетом
изложенных ниже рекомендаций. Для расчета поворотных опор колонн мостовых
кранов-штабелеров следует применять ОСТ 22-1401-79 «Опоры поворотные роликовые
однорядные с зубьями внутреннего зацепления». Прочие элементы механизмов
рекомендуется рассчитывать по соответствующим РТМ ВНИИПТмаша. Для стандартных
редукторов, подлежащих согласованию, следует применять РТМ 2-056-80 «Редукторы
общего назначения. Методика выбора редукторов и моторов-редукторов».
Электродвигатели механизмов должны быть проверены по
наибольшим нагрузкам пусковых и тормозных режимов, а также на нагрев с учетом
их расчетных характеристик и соответствующих циклограмм.
При расчете металлоконструкций кранов-штабелеров проверяют
прочность, устойчивость, жесткость и выносливость конструкций в целом и их
отдельных элементов. Для стеллажных кранов-штабелеров выполняют также расчет
затухания колебаний колонны при остановке крана-штабелера.
Стальные конструкции рассчитывают по методике СНиП II-23-81 «Нормы
проектирования. Стальные конструкции», а алюминиевые конструкции - по методике
СНиП II-24-74 «Нормы проектирования. Алюминиевые конструкции», с учетом
излагаемых здесь специфических требований.
При формировании исходных данных для расчета следует
убедиться, что принятые в проекте крана-штабелера материалы металлоконструкций
и сварочные материалы соответствуют требованиям обязательного РТМ 24.090.52-79
«Краны грузоподъемные. Материалы для сварных металлических конструкций», а
примененные для болтовых соединений стальные болты, гайки и шайбы соответствуют
требованиям СНиП II-23-81. следует также проверить, что кран-штабелер оборудован
всеми устройствами безопасности в соответствии с требованиями ОСТ 24.090.38-83
и ОСТ 24.090.39-83.
В заключение следует указать, что в расчетах, выполняемых на
группу исполнении крана-штабелера, отличающихся пролетом, высотой,
грузоподъемностью и скоростями механизмов, должны быть рассмотрены все
исполнения группы, а не только исполнения с наибольшими характеристиками.
Краны-штабелеры, рассчитанные в соответствии с настоящими
рекомендациями, могут быть использованы для эксплуатации в сейсмических районах
без ограничений, так как применяемые здесь экстремальные расчетные нагрузки
превосходят наибольшие сейсмические нагрузки по СНиП II-7-81.
3. Расчет стеллажных кранов-штабелеров
Расчетные характеристики режима работы механизмов стеллажных
кранов-штабелеров, соответствующие ГОСТ 25835-83, приведены в табл.
|
Показатель
|
Значения показателя для механизма
|
|
передвижения
|
подъема
|
выдвижения
|
|
Группа режима работы Класс использования Класс
нагружения Общее время работы, тыс.ч Коэффициент нагружения (стеллажных
кранов-штабелеров) Число включений в час Продолжительность включения ПВ,%
|
5М А5 В2 25,0 0,20 120 60
|
5М А4 В3 12,5 0,45 120 40
|
5М А4 В3 12.5 0,30 240 40
|
В расчетных циклограммах загрузки механизмов по оси абсцисс
отложено относительное число циклов или относительная продолжительность
действия нагрузки. Строго говоря, число циклов нагрузки не пропорционально
времени ее действия ввиду наличия периодов разгона и торможения, и следовало бы
давать отдельные циклограммы по числу циклов и по времени в качестве
аргументов. Однако для механизмов подъема и выдвижения относительная
продолжительность неустановившихся режимов движения всегда невелика - менее 3%.
Для механизма передвижения при нормировании режима работы принят стеллаж длиной
100 м. При этом средний путь передвижения крана-штабелера за простой цикл
составит также 100 м. Можно показать, что, например, при скорости передвижения
2,0 м/с и ускорении (замедлении) 0,5 м/с2 погрешность в вычислении
числа циклов, если не учитывать неустановившиеся режимы движения, составит 8% в
сторону увеличения, т.е. в запас. Такая погрешность находится в пределах
точности исходных предпосылок, поэтому и в данном случае достаточно
ограничиваться одной циклограммой.
Переход к абсолютному времени для элементов, рассчитываемых
на полный срок службы крана-штабелера, производится по общему времени работы.
Для прочих элементов это время уменьшается в 2 раза или более.
Для нахождения полного числа циклов нагружения какого-либо
элемента механизма необходимо общее время работы разделить на длительность
одного цикла. Для вращающихся элементов - валов, шестерен, подшипников и т.д. -
циклом является один оборот (особенности существуют только для планетарных
редукторов). При этом частоту их вращения следует брать для установившегося
режима движения. Например, для вала механизма подъема, вращающегося с частотой
1000 об/мин и рассчитываемого на полный срок службы, получим полное расчетное
число циклов 1000*60*12500 = 7,5*108.
В расчетных циклограммах по оси ординат отложена
относительная нагрузка. Абсолютная величина наибольшей ординаты нагрузки для
механизма передвижения соответствует моменту при разгоне с расчетным
ускорением; для механизма подъема - моменту при установившемся движении подъема
с номинальным грузом; для механизма выдвижения - при взятии номинального груза
из ячейки стеллажа, т.е. на наибольшем вылете захвата, но без учета сил
инерции.
При установлении характеристик режима работы (см. табл.3.1 и
рис.3.1) рассматривали краны-штабелеры, обслуживающие стеллажи длиной 100 м,
высотой 16 м и глубиной 1,2 м со скоростями передвижения от 1,6 до 2,5 м/с,
подъема - 0,4 м/с и выдвижения захватов - 0,2 м/с. ускорения при разгоне
механизмов принимали равным 0,4 м/с2. Относительное число простых и
сложных циклов 0,6 и 0,4 соответственно. Процесс подъема считали как
совмещенный по времени с процессом передвижения. Изменчивость массы Q грузов оценивали по
гистограмме (рис.3.1), полученной по результатам обследования действующих
складов; средняя масса груза по этой гистограмме составляет 0,6 от номинальной Qном.
В кране-штабелере выделяют шесть укрупненных конструктивных
узлов со следующей закрепленной за ними индексацией: ходовая балка 1 в сборе с
установленным на ней механизмом передвижения и ходовыми колесами; механизм
подъема 2 (включая канаты); колонна 3(или две колонны у двухколонных
кранов-штабелеров рамной конструкции; при шарнирно-сочлененной конструкции
правая и левая колонны и их ходовые балки должны рассматриваться отдельно,
дополнительным элементом является сцепка); оголовок колонны 4 в сборе с
грузовыми блоками и боковыми роликами (или верхняя балка у двухколонных
кранов-штабелеров); грузоподъемник 5 в сборе с каретками, грузовыми подвесками
и грузовыми захватами; кабина 6 (при определении ее массы учитывается масса
оператора).
Шкаф электрооборудования относят к ходовой балке или к
колонне в зависимости от того, на чем он установлен.
Отдельным элементом является транспортируемый груз,
номинальная масса которого обозначена через Q.
Для каждого из этих узлов предварительно определяют
номинальные значения масс mi и координат центра масс (xi; yi; zi) в прямоугольной системе
координат, начало которой расположено в середине площадки контакта приводного
ходового колеса с наземным крановым рельсом.
Для расчета металлоконструкций
подготавливают геометрические характеристики сечений ходовой балки, колонн,
верхней балки, а также расчетные сопротивления и модуль упругости материала.
Сопротивление передвижению крана-штабелера
определяется как сила, необходимая для преодоления трения качения ходовых колес
и подшипников, умноженная на коэффициент 1,1, учитывающий трение в боковых
роликах. Уклон пути не учитывается, так как согласно ОСТ 24.090.39-83 уклон
ограничен очень малой величиной - 0,001.
Сопротивление передвижению необходимо
знать для определения скорости, ускорения и замедления крана-штабелера,
обеспечиваемых используемым электродвигателем и передаточным механизмом.
Однако методически удобней начинать расчет
механизма передвижения с анализа запаса сцепления приводных колес, а затем и
устойчивости крана-штабелера в режимах разгона и торможения.
Физический смысл необходимости запаса
сцепления - предотвращение пробуксовки приводного колеса, приводящей к
ускоренному изнашиванию колеса и рельса. Для крана-штабелера такое изнашивание
особенно нежелательно, так как, помимо прочего, уменьшение диаметра колеса
нарушает вертикальное положение колонны, от которого непосредственно зависит
возможность правильного позиционирования грузового захвата во все ячейки по
высоте стеллажа.
Для кранов-штабелеров с гибким
токоподводом следует дополнительно учесть воздействие усилий статического
натяжения и сопротивления передвижению кабельной подвески, если эти усилия
вызывают разгрузку приводного колеса. При этом кабельную подвеску следует
рассматривать в наиболее растянутом положении, т.е. на полной длине стеллажа,
которую принимают равной 100 м, если в техническом задании нет других указаний.
Составив уравнения для коэффициента запаса
сцепления в соответствии с приведенными указаниями, легко увидеть, что в них
входят только геометрические и массовые параметры крана-штабелера и ускорения
(замедления). Таким образом получим предельно допускаемое ускорение и
замедление крана-штабелера, всего четыре значения (ускорение и замедление для
крана-штабелера с грузом и без груза), каждое из которых должно быть не менее
0,3 м/с2.
По допускаемому ускорению с помощью
известных формул определяют соответствующий среднепусковой момент
электродвигателя, который должен уравновесить сопротивление передвижению и силы
инерции масс крана-штабелера, а также инерционные моменты вращающихся масс
ротора, муфты, тормозного шкива и т.п. с учетом КПД механизма.
Расчет выполняют для крана-штабелера с
грузом и без груза; из двух полученных значений среднепускового момента
выбирают наименьшее, которое для перехода к номинальному моменту следует
разделить на коэффициент кратности пускового момента и коэффициент
использования пускового момента, значения которого приведены в таблице.
|
Система управления приводом
|
Двигатель
|
Коэффициент использования пускового момента
|
|
Релейно-контроллерная
|
Асинхронный с фазовым ротором Асинхронный
короткозамкнутый Постоянного тока
|
0,7 0,8 0,7
|
|
Преобразователь или регулятор
|
Переменного или постоянного тока
|
0,9
|
Полученное значение номинального момента электродвигателя
является предельно допустимым, поэтому из рассматриваемой упорядоченной
номенклатуры следует выбирать тот наибольший электродвигатель, номинальный
момент которого при ПВ = 60% не превышает предельно допустимый.
Отсюда начинается проверочная часть расчета механизма
передвижения. Сначала с помощью механической характеристики электродвигателя
определяют расчетную скорость установившегося движения крана-штабелера, которая
должна удовлетворять требованиям, изложенным выше. Если результат не достигнут,
то следует изменить передаточное число редуктора, а возможно и рассмотреть
другую номенклатуру редукторов и (или) электродвигателей.
4. Описание конструкции и предварительная
разработка общего вида крана-штабелера
Краны-штабелеры стеллажные автоматические грузоподъемностью 1
т предназначены для механизации процессов укладки в стеллажи и выдачи из
стеллажей на загрузочные устройства грузов, уложенных в стандартную ящичную
тару по ГОСТ 14861-74 или на специальные поддоны и тару с размерами в плане
1200*800 мм для кранов-штабелеров грузоподъемностью 1 т.
Краны-штабелеры предназначены для применения в
автоматизированных транспортно-складских системах, функционирующих как
самостоятельно, так и в составе автоматизированных технологических комплексах,
а также для использования в цеховых складах машиностроительных заводов.
Климатическое использование кранов-штабелеров УХЛ4 по ГОСТ
15150-69.
Краны-штабелеры не предназначены для применения во взрыво- и
пожароопасных помещениях (за исключением П-IIа), в помещениях с парами
кислот и щелочей, концентрации которых вызывают разрушение электрической
изоляции и металлических конструкций, а также в помещениях, в которых возможно
выделение вредных веществ в воздух рабочей среды.
Кран-штабелер транспортируется и поступает потребителю
упакованным в деревянные ящики, кроме колонны, следующими частями:
· тележка в сборе с приводом передвижения,
направляющими роликами, подхватами и конечными выключателями;
· колонна;
· привод подъема;
· оголовок;
· грузоподъемник в сборе с
электрооборудованием;
· направляющие для установки шунтов и
направляющие кабельного блока;
· считыватели, конечные выключатели, шунты,
линейки;
· кабельные изделия, детали и узлы креплений
кабелей, кабельный блок, клеммные коробки, кабельные тележки и другие узлы;
· электрошкаф с реакторами;
· устройство управления движением в сборе с
кронштейном для его установки на кране-штабелере;
· командное устройство управления;
· запасные части.
4.1 Техническое описание
Технические характеристики кранов-штабелеров стеллажных
автоматических грузоподъемностью 1 т представлены в таблице 4.1.
Таблица 4.1.
|
Наименование параметров
|
№№ проектов
|
|
846013
|
846014
|
|
Грузоподъемность, т Режим работы
крана-штабелера Режим работы механизмов по ГОСТ 25835-83: привод
передвижения привод подъема привод выдвижения грузозахватного органа
Максимальное расстояние от головки рельса до подвесного пути, Нр, м
Максимальная высота подъема грузозахватного органа, Нп, м Габариты
перерабатываемых грузов: длина, м ширина, м высота, м Минимальная высота опор
ящичной тары, мин, м Скорость подъема грузозахватного органа, м/с Скорость
передвижения крана-штабелера, м/с Скорость выдвижения грузозахватного органа,
м/с Тип грузозахватного органа Величина выдвижения грузозахватного органа
Высота выдвигаемых элементов грузозахватного органа, м Ширина
крана-штабелера, В, м Длина крана-штабелера (вдоль пути),м Ширина прохода для
штабелирования, А, м Управление Максимальное количество адресов: по
вертикали по горизонтали Тип верхнего пути Тип нижнего рельсового пути
Суммарная мощность установленных электродвигателей, кВт Коэффициент
установленной мощности Подвод электропитания Напряжение, В Максимальная масса
крана-штабелера, т Удельная металлоемкость, т/тыс.т.
|
1,0 ГОСТ 25546-82 5М (А5;В2) 5М (А4;В3) 5М
(А4;В3) 6,69 5,445 1,2 0,8 0,95; 1,05 0,15 0,2 1,0 0,25 Телескопический
920 0,086 0,9 3,95 1,0 Автоматическое 11 127 Двутавр №12 ГОСТ 8239-72 Рельс
Р24 ГОСТ6368-82 0,15 3,0 Гибким кабелем 380 3,25 0,2
|
0,5 0,6 0,8 0,35; 0,5; 0,65 0,13
920 0,070 0,9 3,35 1,0 Двутавр №12 ГОСТ 8239-72 Рельс Р24
ГОСТ6368-82 7,8 3,03 0,13
|
4.2 Состав изделия
В состав изделия входят:
· кран-штабелер;
· комплект монтажных частей;
· запасные части;
· эксплуатационная документация.
Кран-штабелер состоит из следующих составных частей
- привод подъема;
- грузоподъемник;
- тележка;
- колонна;
- оголовок;
- электрооборудование.
В комплект монтажных частей поставляемых с краном-штабелером,
входят:
· установка информационных каналов связи;
· устройство командное;
· буферы гидравлические;
· тележки кабельные;
· детали для крепления рельсового и
подвесного путей;
· кабель подвесной для электропитания
крана-штабелера;
· линейки, кронштейны и т.п.
.3 Устройство и работа изделия
· Привод передвижения установлен на тележке,
имеющей два колеса:
· одно приводное и одно холостое диаметром
200мм.
· На торцах тележки установлено по паре
катков, удерживающих кран-штабелер от бокового смещения.
· Катки установлены на прокладках, служащих
для регулировки зазоров между катками и боковой поверхностью рельса.
· К тележке при помощи болтов крепится
колонна.
· По направляющим на колонне перемещается
грузоподъемник.
· На грузоподъемнике установлен
грузозахватный орган, а также фотоэлементы для контроля положения груза,
датчики контроля занятости ячеек стеллажа и считыватель адреса по вертикали.
· Подвод электропитания к грузоподъемнику
осуществляется при помощи гибких кабелей. Натяжение кабелей осуществляется
блоком, перемещающимся по направляющим, закрепленным на колонне на половине ее
высоты.
· Привод подъема расположен на нижней части
колонны. Натяжение грузового каната контролируется ограничителем
грузоподъемности. В верхней части колонны установлен оголовок, на котором
имеются 4 отводных блока и пара направляющих катков, служащих для удержания
крана-штабелера в вертикальном положении.
· Кран-штабелер перемещается между
стеллажами по рельсу, уложенному вдоль продольной оси межстеллажного прохода. В
верхней части межстеллажного прохода уложен подвесной путь из двутавра №12, по
которому обкатываются катки, установленные на оголовке крана-штабелера.
· Подвод электропитания крана-штабелера
осуществляется при помощи гибких кабелей, подвешенных на специальных тележках,
перемещающихся по подвесному пути.
· Управление краном-штабелером:
автоматическое - от командного устройства;
ручное - с наладочного пульта.
· Система автоматического управления
предусматривает возможность непосредственного управления от ЭВМ верхнего
уровня.
· Кран-штабелер выполняет следующие работы:
берет груз с загрузочного устройства и устанавливает
его в ячейку стеллажа;
берет груз из ячейки стеллажа и устанавливает его на
загрузочное устройство;
берет груз из любой ячейки стеллажа или любого
загрузочного устройства, работающего на загрузку стеллажей и устанавливает его
в другую ячейку стеллажа или на другое загрузочное устройство, работающее на
выгрузку.
Любая из указанных выше работ выполняется краном-штабелером
по команде от ЭВМ или с командного устройства, включающей адрес ячейки, из
которой кран-штабелер должен взять груз и адрес ячейки, в которую кран-штабелер
должен установить груз.
После получения команды кран-штабелер выполняет работу в
следующей последовательности:
включается привод подъема и передвижения,
кран-штабелер подходит и останавливается у ячейки, откуда надо взять груз;
включается привод выдвижения грузозахватного органа,
захваты выдвигаются и устанавливаются под грузом в ячейке стеллажа;
включается привод подъема, груз приподнимается,
привод подъема выключается;
включается привод грузозахватного органа, захваты с
грузом возвращаются в среднее положение;
включается привод подъема и передвижения,
кран-штабелер подходит и останавливается у ячейки, в которую надо установить
груз;
путем последовательного включения привода
грузозахватного органа и привода подъема груз устанавливается в заданную
ячейку;
после возвращения грузозахватного органа в среднее
положение, кран-штабелер остается на месте до получения следующей команды.
5. Конструкторская часть
.1 Конструктивная разработка отдельных механизмов и узлов
Расчет механизма передвижения тележки
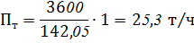
Расчет сопротивлений передвижению тележки крана-штабелера с
грузом.
Приведенная ниже методика и нормы расчета применяются для
механизмов передвижения кранов и грузовых тележек, перемещающихся по рельсовому
пути.
Полное сопротивление передвижению крана:
Wртр - сопротивление трения при движении крана с
учетом трения роликов;
Wтр - сопротивление трения при движении крана без
учета трения реборд
kр - коэффициент, учитывающий сопротивление трения
реборд ходовых колес крана о головку рельсов (при подшипниках скольжения -
трения торцов ступиц колеса) при движении крана (табл.5.1.1.), т.к. колесо
безребордное, то kр = 1.
Wук - сопротивление от уклона подкрановых путей;
Wв - сопротивление от действия ветровой нагрузки.
Таблица 5.1.1
|
Механизмы
|
Привод механизма
|
Ходовые колеса
|
Значения kр
|
|
|
обод
|
подшипники
|
|
|
Передвижения моста
|
Центральный Раздельный Центральный
|
Конический Цилиндрический >>
|
Качения и скольжения Качения Качения и
скольжения
|
1,2 1,5 1,5
|
|
Передвижения тележки
|
Центральный
|
>>
|
качения
|
2,5
|
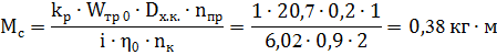
Сопротивление трения определяется по формуле:
Сила трения ролика:
Q = 1000 - вес номинального груза, кг;
G= 3250 - собственный вес крана, кг;
Dх.к.= 200 - диаметр ходового колеса, мм;
d = 45 - диаметр цапфы вала ходового колеса, мм;
dр = 150 - диаметр ролика, мм
μ = 0,03 - коэффициент трения
качения (табл.5.1.2.стр134)
f = 0,015 - коэффициент трения в подшипниковых опорах ходовых
колес; значения f принимают:
Для подшипников скольжения открытого типа...................... 0,10
Для букс с жидкой смазкой...................................................... 0,08
Для шариковых и роликовых подшипников........................... 0,015
Для конических подшипников качения................................... 0,02
Определим сопротивление трения:
Определим силу трения ролика:
Таблица 5.1.2. Коэффициент μ
|
Тип рельса
|
Диаметр ходового колеса, мм
|
|
200 и 300
|
400 и 500
|
600 и 700
|
800
|
900 и 1000
|
|
Плоский С выпуклой головкой
|
m для стальных колес, см
0,03 0,05 0,06 0,06 0,07 0,04 0,06 0,08 0,10 0,12
|
|
Плоский С выпуклой головкой
|
m для чугунных колес, см
0,04 0,06 0,08 0,08 0,09 0,05 0,07 0,09 0,12 0,14
|
Сопротивление от уклона подкрановых путей:
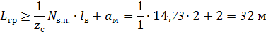
Расчетные уклоны подкрановых путей α принимают:
Для путей с железобетонным фундаментом на металлических
балках 0,001
Для путей с щебеночным основанием и деревянными шпалами. 0,002
Для подтележечных путей на мосту крана.................................... 0,002
Так как наш кран-штабелер работает в помещении, то Wв = 0
Найдем полное сопротивление передвижению крана:
Расчет сопротивлений передвижению тележки крана-штабелера без
груза.
Сопротивление трения определяется по формуле:
Сопротивление от уклона подкрановых путей:
Так как кран-штабелер работает в помещении, то Wв = 0
Полное сопротивление передвижению крана без груза:
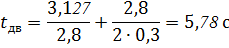
Выбор мотор-редуктора.
Выбор мотор-редуктора для механизма передвижения крановых
тележек производят по максимально допустимому пусковому моменту двигателя, при
котором обеспечивается надлежащий запас сцепления ходового колеса с рельсом,
исключающий возможность буксования при передвижении тележки без груза в
процессе пуска.
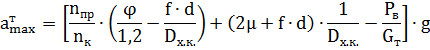
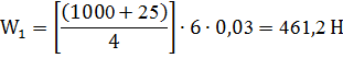
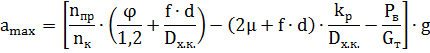
Допустимое значение ускорения тележки:
φ = 0,2 - коэффициент сцепления
ходового колеса с рельсом;
Рв= 0 - ветровая нагрузка на кран в рабочем
состоянии;- ускорение силы тяжести;
nпр - число приводных ходовых колес;
nк - общее число ходовых колес.
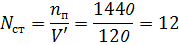
Определим мощность двигателя по статическому сопротивлению
при перемещении тележки с номинальным грузом:
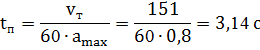
vт = 2,5 м/с = 150 м/мин - скорость передвижения
тележки;
η0 = 0,9 - К.П.Д. передачи
при установке ходовых колес на подшипниках качения.
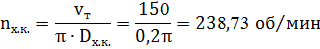
Число оборотов ходовых колес:
Основные параметры электродвигателя
Тип: DHE09XA4C-TF-S
Номинальная мощность (PN): 2,2 кВт
Номинальная частота вращения вала ротора (n): 1440 об/мин
Номинальный вращающий момент вала ротора (MN): 14,5 Нм
Момент инерции массы ротора (Jrot): 0,0053 кгм2
Режим работы: продолжительный S1
Основные параметры мотор-редуктора
Тип редуктора: BK2(конический редуктор)
Скорость ведущего вала: 240 об/мин
Крутящий момент (Mк): 80 Нм
Передаточное число (i): 6,02
Масса мотор-редуктора (m): 55,6 кг
Основные параметры тормоза
Тип тормоза: ESX027A9 (однодисковый тормоз с пружинами)
Момент инерции масс тормозного диска: 0,000172 кгм2
Фактическая скорость передвижения тележки:
Требуемая при этом мощность двигателя:
что соответствует мощности выбранного двигателя.
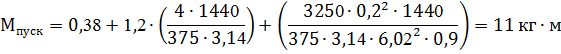
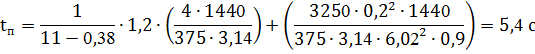
Время пуска при максимально допустимом ускорении:
Что находиться в допустимых пределах от 0,5 сек. до 5 сек.
Момент сопротивления при передвижении тележки без груза:
Маховой момент двигателя
Маховой момент диска тормоза

Маховой момент вращающихся движущихся масс
Маховой момент поступательно движущихся масс
Общий маховой момент
Необходимый пусковой момент:
Номинальный момент двигателя
Фактическое время пуска
Тормозной момент механизма передвижения определяют при
обеспечении надлежащего сцепления ходового колеса с рельсом, которое исключило
бы возможность юза при торможении тележки, движущейся с номинальной скоростью
без груза.
Максимально допустимое замедление, при котором обеспечивается
заданный запас сцепления ходовых колес с рельсом:
Pв = 0
Время торможения
Уравнение моментов при торможении
Мтсо - момент сопротивления
передвижению тележки без груза при торможении
Сопротивление передвижению при торможении
Момент сопротивления, приведенный к валу тормоза:
Инерционный момент при торможении вращающихся и поступательно
движущихся масс:
Тогда тормозной момент:
При снижении скорости перед остановкой крана-штабелера для
увеличения его точности относительно ячейки устанавливаем преобразователь на
число оборотов двигателя в доводовом режиме 350 об/мин.
То инерционный момент при торможении вращающихся и
поступательно движущихся масс:
Тормозной момент:
Т.к. тормоз ESX027A9 имеет номинальный тормозной момент 22 Нм, то найдем
скорость передвижения тележки с номинальным тормозным моментом.
Применим уравнение моментов при торможении
То инерционный момент торможения будет равен:
Определим время торможения через инерционный момент при
торможении
Определим максимальное замедление тележки при tт = 2,95 с
Номинальный тормозной момент механизма передвижения не
исключает возможность юза при максимальном замедлении тележки. Для исключения
возможности юза требуется уменьшить скорость передвижения тележки.
Расчет механизма подъема
Для расчета механизма подъема, кроме его основных параметров
(грузоподъемности Q, скорости v подъема груза, высоты подъема груза), должны быть заданы
режим работы механизма и его кинематическая и конструктивная схемы.
Определение усилий в канате
Натяжение каната при подъеме каретки с грузом:
Qкар = 558 - вес каретки, кг;
Qгр = 1000 - вес груза, кг;
m = 1 - число полиспастов;
ηбл - К.П.Д. блока
полиспаста, учитывающий потери в опорах блока, а также потери, вызываемые
жесткостью каната.
ηбл = 0,98
ηкар = 0,9 - К.П.Д. каретки;
Z = 3 - число направляющих блоков.
Натяжение каната при подъеме каретки без груза:
Расчет каната
Расчет каната по Правилам Госгортехнадзора проводим по
формуле:
k - запас прочности, принимаемый по Правилам Госгортехнадзора
в зависимости от назначения каната и режима работы механизма; для грузовых
канатов при тяжелом режиме работы k=6;
Рраз - разрывное усилие каната в целом,
принимаемое по таблицам ГОСТа.
При выборе каната нужно соблюдать условие:
Pст - разрывное усилие по стандарту
По таблицам на канаты ГОСТа 2688-69 выбираем канат типа ЛК-Р
6×19 = 114 диаметром 15 мм, имеющий при расчетном пределе прочности
проволоки при растяжении, равном 160 кг/мм2, разрывное усилие Рст
= 11700 кг.
После выбора каната проверяют фактический запас его прочности
Фактический запас прочности:
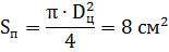
Определение основных размеров и числа оборотов
барабана
Минимально допустимый диаметр барабана, измеренный по дну
канавки для каната, определяется по формуле:

e - коэффициент, принимаемый по Правилам Госгортехнадзора в
зависимости от типа грузоподъемной машины и режима ее работы. Для нашего случая
e = 30;
dк = 15 - диаметр каната, мм.
Так как увеличение диаметра барабана приводит к повышению
долговечности каната, то примем диаметр барабана Dб = 560 мм.
Число витков нарезки на барабан:
H = 12 - высота подъема груза, м;
Uп= 2 - кратность полиспаста.
Длина нарезки на барабан:
tб - шаг нарезки
Оставляем на закрепление каната с одной стороны барабана
расстояние s,
равное длине не менее четырех шагов нарезки. При tб = 17 мм примем s = 68 мм.
Тогда общая длина барабана:

Скорость каната, навиваемого на барабан, при скорости груза
120 м/мин
Число оборотов барабана в минуту:
Определяем статическую мощность двигателя при подъеме
номинального груза:
η = 0,9 - общее значение
К.П.Д.
Проверка барабана на прочность
В барабанах при соотношении параметров
напряжения изгиба и
кручения незначительны.
В этих условиях проверке подлежат лишь напряжения сжатия:
d - толщина оболочки
стального барабана.
- для стали 35Л
- для стали Ст.3
Расчет механизма передвижения вил
по двум параметрам: рабочему давлению и расходу рабочего
тела, раздельно. Привод телескопического захвата крана-штабелера осуществляется
от нерегулируемого насоса (1), имеющего постоянную частоту вращения рабочего
вала. В результате оптимизации показателя необходимо добиться выполнения
условия наиболее полной загрузки электродвигателя насосной станции по мощности.
Здесь необходимо сделать следующие предпосылки:
1. Установочная мощность приводной станции минимальна
при минимуме рабочего давления и расхода рабочего тела, т.е. p→ min и Q→ min;
2. Энергозатраты минимальны при постоянстве минимальных
значений давления и расхода в течение цикла, т.е. при pmin= const, Qmin= const.
Выбор гидроцилиндра.
Установлено, что устойчивость движения горизонтально
расположенных гидроцилиндров может быть обеспечена лишь при соотношении:
ц - диаметр цилиндра;
S - ход штока цилиндра.
L - перемещение вил;
U = 2 - передаточное число.
Перемещение вил складывается из длины поддона и зазора между
концом вил и стеллажом.
Рекомендуемая скорость поршня должна быть не более 0,5 м/с,
поэтому время выполнения операции имеет ограничение:
Принимаем Dц = 32 мм. При данном захвате зазор между концом
вил и стеллажом 0,06 м.
Сопротивление при выдвижении вил и нагнетании в штоковую
полость без прогиба:
Q = 1000 - вес номинального груза, кг;
Gз = 25 - собственный вес захвата, кг;
dр= 4 - диаметр роликов, см;
μ = 0,03 - коэффициент трения
качения.
Сопротивление при возврате вил с учетом уклона и с
нагнетанием в поршневую полость:
α = 30 - уклон вил.
Давление страгивания и холостого хода при максимальном
сопротивлении передвижению вил:
Площадь поршня:
Площадь поршня со стороны штоковой полости:
φ = 1,65 - коэффициент отношения
площадей со стороны поршневой и штоковой плоскостей.
Диаметр штока:
Площадь штока:

Расход рабочего тела при параллельной работе цилиндров:
V - объем рабочего тела, потребляемый в течение времени Т,
находим как произведение площади поршня на ход поршня:
Рабочий объем штоковой полости:
Максимальный расход штока:
Давление в штоковой полости:
Давление в поршневой полости:
В каталоге выберем гидроцилиндр типа ЦРГ32*16*s:
- номинальное давлением 16 МПа;
- максимальное давление 20 МПа;
- давление страгивания 1 МПа;
- ход поршня 630 мм.
Выбор насоса.
Номинальная мощность на валу насоса:
Из каталога по номинальной подаче и мощности выберем насос
типа НПл 40/6,3:
- рабочий объем 40 см3;
- номинальная подача 35,7 л/мин;
- номинальное давление на выходе 6,3 МПа;
- номинальная частота вращения 950 об/мин;
- максимальная частота вращения 1500 об/мин;
- минимальная частота вращения 600 об/мин;
- номинальная мощность 4,3 кВт;
- полный К.П.Д. 0,85
Выбор электродвигателя.
Мощность электродвигателя в зависимости от подачи насоса
определяется по формуле:
Q - подача насоса, л/мин;
P - давление в напорной линии, МПа;
ηп - полный КПД насоса.
N = 1,46*35,7 / 60*0,85 = 1,02 кВт
По каталогу на электродвигатели выберем электродвигатель
типа 4А80А4 с номинальной мощностью 1,1 кВт.
Выбор гидрораспределителя.
Из каталога выберем (Р1) гидрораспределитель В6:
- диаметр условного прохода 6 мм;
- номинальное давление 6 МПа;
- максимальное усилие управления на рукоятке
45 Н.
Из каталога выберем (Р2) гидрораспределитель ВЕ6 схема
574.В220.УХЛ.4
Выбор фильтра.
Для пластинчатого нерегулируемого насоса с давлением
до 6,3МПа выберем приемный (сетчатый) фильтр с номинальной
тонкостью фильтрации 40 мкм.
Выбор клапана давления.
Выберем гадроклапан давления Г54-32М:
- номинальный расход масла 32 л/мин;
- номинальный перепад давлений 0,2 МПа;
максимальное давление на входе 20 МПа.
Выбор трубопровода.
Т.к. система передвижения вил - это система низкого давления
(до 2,5 МПа), то используем аллюминивые трубы по ГОСТ 18475-82, длинной 3м.
Выбор бака.
Исходя из расхода гидроцилиндров и рабочего объема насоса
выберем бак вместимостью 200 л.
Расчет гидравлического буфера
Буферное устройство предназначено для ограничения перемещения
крана-штабелера вдоль стеллажей, путем поглощения кинетической энергии
крана-штабелера.
Задачей расчета является определение необходимого количества
отверстий, их диаметра и координат по длине цилиндра, обеспечивающих постоянное
заданное значение среднего замедления 4 м/с2 в процессе торможения
при амплитуде пульсаций тормозного усилия не более 20%.
Рассмотрим наиболее неблагоприятный случай: кран-штабелер с
номинальным грузом движется на полной скорости, двигатель привода передвижения
при заезде крана-штабелера на конечный упор продолжает работать.
Определение расчетного количества отверстий вдоль образующей
цилиндра
с учетом обозначений
v = 2,5 м/с - расчетная скорость движения крана-штабелера;
m = 4250 кг - масса крана-штабелера номинальная с
грузомноминальным;
ω = 4 м/с2 -
расчетное замедление;
R = 342 Н - сопротивление передвижениюкрана-штабелера;
с = 2 Н/м - жесткость возвратной пружины;
λ = 0,012 м - предварительное
поджатие пружины;
r = 0,85 кг/м3
- плотность рабочей жидкости;
μ = 0,6 - коэффициент расхода; для
конусообразного диффузора с углом при вершине 90°;
D = 0,08 м - диаметр поршня;
d = 0,004 м- диаметр отверстия;
z = 1 - количество одновременно работающих буферов;
P = 325 Н - усилие привода передвижения;
k - коэффициент сцепления
Дробная часть n1 числа n реализуется как отверстие диаметром:
которое располагается вблизи днища цилиндра.
Координату центра i-го отверстия, отсчитываемую от торца поршня в
его начальном положении, вычисляют по формуле:
i - порядковый номер отверстия.
Определение скорости поршня при прохождении i-го отверстия
vi-1 - скорость поршня при прохождении
предыдущего отверстия;
Si - координата центра i-го отверстия,
Si-1 - координата центра предыдущего отверстия
(S0 = 0);
li = Si - Si-1 - расстояние между соседними отверстиями;
Определение усилия на штоке непосредственно перед i-м отверстием
Определение усилия на штоке сразу же после прохождения i-го отверстия
Определение среднего значения усилия на штоке
Определение коэффициента пульсации усилия на i-ом отверстии
Определение допускаемого усилия на штоке из условия прочности
цилиндра
D1 = 0,093 м - наружный диаметр цилиндра;
ψ - коэффициент, учитывающий
концентрацию напряжений у отверстий; рекомендуемое значение равно 0,8;
σт = 360106 Па - предел текучести материала цилиндра;
φ - коэффициент запаса
прочности; рекомендуемое значение равно 1,5.
Для отверстий, отстоящих от днища цилиндра более чем на
величину диаметра поршня, должно выполняться условие:
Сравнив, усилие на штоке сразу же после прохождения отверстия
(max) и допускаемое усилие
1302 < 144820 мы видим, что условие выполняется.
6. Организация работ
.1 Условия работы складов на железнодорожном транспорте
По причине высокой производительности высотный стеллажный
склад (особенно с автоматизированным управлением) требует очень четкой
организации. В таком складе каждая операция, каждое прохождение груза пли
документа, работа каждой машины и каждое рабочее место человека должны быть
тщательно описаны, проанализированы и учтены в общем балансе работы системы.
Многие функции склада, особенно периферийных его частей (в отличие от
стеллажной складской части), являются спонтанными, например подвоз грузов по
железной дороге. Поэтому к проекту организации работ предъявляются необычайно
высокие требования.
Основной задачей при проектировании организации работ в
складе является обеспечение стабилизации стеллажной структуры - самого
дорогостоящего элемента в системе склада - и обеспечение непрерывной работы
этой структуры с максимальной производительностью на протяжении смены или
суток. Такой принцип позволяет ограничить до минимума расходы на стеллажную
часть склада и обеспечивают быструю амортизацию.
Приведенные требования к проекту организации работ вызывают
радикальное изменение прежнего понятия «проекта организации работ», который на
практике обычно складывался из описания операций, определения количества
рабочей силы и схемы зависимостей между отдельными звеньями управления складом.
Проект организации работ высотного стеллажного склада должен
на основе количественного анализа складского процесса давать инструкции по
обслуживанию прохождения грузов и информации (документов) в любой момент
прохождения (пиковый или средний) в тесной связи с окружением («вход» и
«выход») и расчетом необходимых для обеспечения заданной производительности
средств (люди и машины). В этом проекте на основе анализа различных случает,
должны быть также приведены инструкции по осуществлению операций и необходимые
средства на случай аварии отдельных элементов этой сложной системы.
В традиционном проекте организация работ в высотном
стеллажном складе разрабатывается на заключительной стадии проектирования, но в
получаемом результате содержатся все прежние технические и технологические
решения.
В современных складских системах, ориентированных на функции
и связи, организационные проблемы в одинаковой степени влияют как на
технические, так и на технологические решения. По этой причине проект
организации работ следует начинать уже на стадии разработки концепции и
продолжать вместе со всеми последующими стадиями проектирования. Установление
четкой границы между организацией и так называемой технологией складирования
является весьма затруднительным. Здесь отсутствуют какие-либо нормативные
указания. Поэтому в настоящей работе принят следующий ход рассуждений.
Для установленного процесса складирования, обусловленного
функцией склада, подбираются технические средства и проектируется организация,
обеспечивающая осуществление этого процесса с определенной производительностью.
Складские процессы вместе с техническими средствами определяют ту или иную
технологию складирования. Проект организации работ рассматривает эту технологию
в количественных категориях с учетом производительности людей и машин, а также
определяет способ управления прохождением грузов и информации во всей системе.
Достигнутое в проекте организации соответствие заданной и найденной
производительности замыкает цикл проектирования склада, в то время как в случае
несоответствия этих показателей требуется либо вносить изменения в технологию,
либо возвращаться к предшествующим стадиям проектирования.
6.2 Организация работ
Определим количество средств механизации
погрузочно-разгрузочных работ требуемых для перерабатывания однотипного
пакетного груза на складе МЧ железной дороги.
Исходные данные:
· Вид груза - пакет
· Масса груза (пакета)
- 1 т
· Емкость склада
- 1200 т
· Срок хранения
- 10 сут.
· Груз расположен на стандартном поддоне, мм
-
· Высота груза с поддоном - 1350 мм
Расчет:
. Определим суточный грузооборот склада:
- коэффициент неравномерности прибытия
отправления груза
. Определим суточный грузооборот в пакетах:
. Определим среднюю загрузку вагона:

Vв - внутренний объем крытого вагона, м3
kу = 0,85-0,9 - коэффициент учитывающий плотность
укладки
Vп - объем одного пакета, м3
Объем всех пакетов
Внутренний объем крытого вагона выбираем
Для перевозки тарно-штучных грузов принимаем крытый
четырехосный вагон грузоподъемностью 65 т.
. Определим число железнодорожных вагонов (суточный
вагонопоток), в которых поступает груз:
Т.к. в вагон вмещается 65 пакетов, следовательно, в два
вагона вмещается 130 пакетов, а оставшиеся 14 пакетов отправим автотранспортом.
. Определим число вагонов в одной подаче:
z - число подач вагонов на грузовой пункт за сутки (z = 2 … 5), z = 1
. Вычислим необходимое количество поддонов на складе:
- коэффициент, учитывающий время нахождения поддонов в ремонте,
= 1,03...1,04;
- время оборота поддонов (время перевозки и хранения груза на
складе).
7. Определим количество автотранспорта:
ц - продолжительность транспортного цикла
автомобиля
- дальность перевозки, км (для внутригородских
поставок
)
- среднетехническая скорость автомобиля
- коэффициент пробега автомашины
Tпр = 0,1 - время простоя под грузовыми операциями
qа = 5 т - фактическая загрузка автомобиля
T = 8 ч - количество рабочих часов автомобиля в сутки
kt = 0,7 - коэффициент использования автомобиля по
времени
8. Длина фронта подачи вагонов:
lв - длина ж.д. вагона по автосцепке, l = 14,73 м
aм - удлинение фронта подачи вагонов для выполнения
маневровых работ, aм = (1,5…2)
. Длина фронта погрузки-выгрузки:
zс - число смен (перестановок) вагонов на грузовом
фронте (zс = 1…2)
При установке автомобиля к рампе склада торцом:
k - число погрузочно-разгрузочных постов, образующих фронт
погрузки выгрузки (равно числу дверных проемов со стороны автотранспорта); k =
2
bа = габаритная ширина автомобиля, м; bа
= 2,5 м
Sт - расстояние между смежными автомобилями,
обеспечивающее выезд автомобиля при торцевой расстановке, м; Sт = 1
м
. Вместимость склада с учетом хранения
. Определим общее количество порожних поддонов.
На складе 1440 поддонов загружены, а 10% - порожние поддоны.
. Определим количество пачек.
В одной пачке сложено 10 поддонов, следовательно:
. Определим геометрические размеры элементарной
площадки под поддоны:
- длина элементарной площадки
- ширина элементарной площадки
- высота пачки
- площадь элементарной площадки
. Вместимость одного стеллажа
Zl, Zh - количество ячеек по длине и ширине (Zl = 15, Zh = 8)
. Определим количество стеллажей
. Определим размеры стеллажа
Т.к. максимальный размер пакета составляет 1200 мм, то длина
ячейки Az = 1500 мм, ширина ячейки Bz = 900 мм; высота пакета
с поддоном составляет 1350 мм, то высота ячейки Hz = 1500 мм.
Длина стеллажа:
Ширина стеллажа:
Высота стеллажа:
. Определим площадь площадки, занятой стеллажами
Ширина площадки:
= 1000 мм - ширина проезда между стеллажами
nпр = 6 - количество проездов между стеллажами
Длина площадки:
Параметры склада:
· Высота склада - 12,8 м
· Длина склада - 54 м
· Ширина склада - 32 м
· Высота рампы для ж.д. вагонов - 1,25 м
· Высота рампы для автомобилей - 1,25 м
· Ширина погрузочно-разгрузочной платформы
для обслуживания ж.д. подвижного состава и автомобилей - 4 м
· Расстояние от края платформы до оси ж.д.
пути - 1,65 м
· Расстояние от оси пути ж.д. пути до стены
склада - 5,66 м
· Размеры одного стеллажа, м (Д х Ш х В) -
22,5 х 0,9 х 12
· Расстояние между стеллажами - 1 м
· Количество стеллажей - 12 шт
Выбор типа и количества погрузочно-разгрузочных
машин
Электропогрузчик грузоподъемностью 1 т.
Технические характеристики электоропогрузчика:
· Грузоподъемность - 1 т
· Высота подъема груза - 2 м
· Скорость подъема вил:
o с грузом - 0,12 м/с
o без груза - 0,24 м/с
· Скорость опускания вил:
o с грузом - 0,37 м/с
o без груза - 0,13 м/с
· Наибольшая скорость передвижения:
o с грузом - 10 км/ч
o без груза - 12 км/ч
· Дорожный просвет - 100 мм
· Внешний радиус поворота - 1600 мм
· Наименьшая ширина проездов под углом 90° - 2950 мм
Техническая производительность машин, используемых при
переработке тарно-штучных грузов, находиться по формуле:
Gм - грузоподъемность машины, тц -
продолжительность времени цикла, с
Для погрузчика время цикла:
tдв, t’дв - время, затрачиваемое
погрузчиком на продольные и поперечные передвижения по складу с грузом и без
груза, с
tпод, t’под - время, затрачиваемое на
подъем каретки погрузчика с грузом и без груза, с
tоп, t'оп - время, затрачиваемое на
опускание каретки с грузом и без груза, спов - время, затрачиваемое
на повороты погрузчика, свсп - время, затрачиваемое на
вспомогательные операции
l - длина рабочего плеча, м- скорость движения погрузчика, м/с-
ускорение погрузчика, м/с2
Средняя высота подъема:
H - высота подъема груза погрузчиком
Определение эксплуатационной и сменной
производительности
Эксплуатационная производительность погрузчика:
kв = 0,8 - коэффициент использования по времени

Сменная производительность:
Объем механизированной переработки груза:
Количество машин:
mсм = 1 - количество смен
Tр - время нахождения машины в ремонте и смены
батареи в течение года
Принимаем Мм = 2 машину, с учетом одновременной
разгрузки-погрузки автомобиля и одной ж.д. подачи.
Определение производительности крана-штабелера на
складе базового варианта
Техническую производительность крана-штабелера в базовом
варианте определим по формуле:
Gгр = 1000 кг - вес пакета
C - число циклов, которое машина делает за 1 час
tц - время цикла, сек
lp = 11,85 м- средняя длина перемещения
крана-штабелера
lv = 1 м - длина выдвижения грузозахватного органаk = 5 м - средняя высота
подъема пакетаp = 1 м/с - скорость передвижения кранаv = 0,25 м/с - скорость
выдвижения грузозахватного органа
vk = 1 м/с - скорость подъема грузозахватного
органа
Эксплуатационная и сменная производительность:
kв = 0,9 - коэффициент использования крана по
времени
Определение производительности крана-штабелера на
складе нового варианта
Техническую производительность крана-штабелера в базовом
варианте определим по формуле:
Gгр = 1000 кг - вес пакета
C - число циклов, которое машина делает за 1 час
tц - время цикла, сек
lp = 11,85 м- средняя длина перемещения
крана-штабелера
lv = 1 м - длина выдвижения грузозахватного органаk = 5 м - средняя высота
подъема пакетаp = 2,5 м/с - скорость передвижения кранаv = 0,25 м/с - скорость
выдвижения грузозахватного органа
vk = 2 м/с - скорость подъема грузозахватного
органа
Эксплуатационная производительность:
kв = 0,9 - коэффициент использования крана по
времени
В результате анализируя полученные результаты можно сделать
вывод о том, что склад с новым вариантом крана-штабелера более предпочтителен с
точки зрения производительности перед складом с базовым вариантом
крана-штабелера, так как эксплуатационная производительность нового
крана-штабелера больше, чем у базового крана-штабелера.
Определение количество кранов-штабелеров на
складе
Т. к. на складе имеется 12 стеллажей: 2 стеллажа расположены
раздельно (по краям склада), а 10 стеллажей расположены по парно, т.е. пять пар
стеллажей, между стеллажами имеются проезды для кранов-штабелеров.
Для обслуживания 12 стеллажей требуется 6 кранов-штабелеров.
7. Технологическая часть
.1 Разработка технологического процесса штока гидробуфера
кран штабелер гидробуфер склад
В конструкторском разделе диплома выполнен основной расчет
параметров гидробуфера.
Рассчитаны на прочность его основные детали, в том числе и
шток как наиболее ответственный элемент.
По заданию в технологической части необходимо разработать
технологический процесс изготовления штока, а именно выбрать заготовку,
составить маршрут изготовления, подробно разработать токарную и шлифовальную
операции, составить на них эскизы.
Анализ технологических требований изготовления детали
Шток является оригинальной деталью, что обосновывает
целесообразность составления технологической карты его изготовления.
Деталь изготавливается в условиях единичного производства из
стали 45 ГОСТ 1050-88 твердостью НВ 190 - 230, термообработка - нормализация.
Она представляет собой 6-ти ступенчатый вал длиной 390 мм. Относится к группе
цилиндрических изделий. Внутри - сплошной.
Первая ступень диаметром 20 мм и длиной
30 мм служит для нарезания резьбы, обрабатывается с допуском h9, шероховатостью Rа = 0,8 мкм.
Вторая ступень диаметром 24 мм и длиной
15 мм служит для фрезерования на ней четырёхгранника, обрабатывается с допуском
h11, шероховатостью Rz40.
Третья ступень диаметром 45 мм и длиной
248 мм служит опорой для посадки уплотнения с допуском f9, шероховатостью Rа = 0,32 мкм.
Четвёртая ступень диаметром 61 мм и длиной
10 мм служит упорным буртиком, специально не обрабатывается.
Пятая ступень диаметром 45 мм и длиной
52 мм является переходной ступенью, специально не обрабатывается.
Шестая ступень диаметром 18 мм и длиной
38 мм служит для нарезания резьбы, обрабатывается с допуском h9, шероховатостью Rа = 0,8 мкм.
Для удобства монтажа делаем фаски на ступенях: 1, 2,3,5,6,
которые подрезаются на токарном станке при помощи проходного резца. Фаски не
являются рабочими, поэтому точность и шероховатость обеспечивается
инструментом.
На поверхностях 1 и 6 необходимо нарезать резьбу, после
черновой и чистовой обработки. Поверхность 2 необходимо фрезеровать под
четырёхгранник.
При изготовлении детали необходимо выдерживать допуски формы
и расположения.
Допуск цилиндричности (табл. 24.2 [1]);
для поверхностей 3 (Ø45 f9
)
Т/o/ = 0,5.62 = 31 мкм. Принимаем Т/o/ = 0,03 мм;
для поверхности 6 (Ø18 h9
)
Т/o/ = 0,5.52 = 26 мкм. Принимаем Т/o/=0,03 мм;
для поверхности 1 (Ø20 h9
)
Т/o/ = 0,5.52= 26 мкм. Принимаем Т/o/=0,03 мм;
Допуск перпендикулярности упорного буртика под
поршень.
- степень точности допуска 7 (табл. 22.4 [9]);
Т┴ = 0,016 мм (табл. 22.8 [9]); Принимаем Т┴
= 0,01мм
Выбор вида финишной обработки конструктивных элементов
детали
Для обрезки заготовки в размер, сверления центровых отверстий
и формирования профиля вала применим токарный станок 16К20.
Для поверхности 2 (Æ24h12), 4 (Æ61h14), 5 (Æ45h14) с шероховатостью Rz 80, назначаем только
черновое точение.
Для поверхности 2 (Æ24h11), с шероховатостью Rz 40, назначаем
получистовое точение.
Для поверхностей 1(Æ20h9), 6 (Æ18h9), с шероховатостью Ra 0,8 назначаем
окончательное шлифование.
Для поверхностей 3 (Æ45f9) для участка под
манжетное уплотнение с Ra 0,32 назначаем полирование.
Фаски, галтели, и центровые отверстия получаем на токарном
станке при закреплении заготовки в патрон.
Для получения резьбы используем резьбовой резец.
Выбор способа установки заготовки для её обработки.
Рассчитаем средний диаметр заготовки как:
где: n - число конструктивных элементов;
- диаметр и длина конструктивного элемента;
L - длина детали
Определим коэффициент жесткости:
Т.к. Кж>12, то применяем установку в центрах с
люнетом.
Для условий единичного или мелкосерийного производства и при
несущественном перепаде диаметров, для детали типа вал применяется в качестве
заготовки круглый горячекатаный сортовой прокат.
При максимальном диаметре детали 61 мм и при К =
рекомендуемый диаметр
заготовки 65
мм.
Из номенклатуры круглого сортового проката выбираем сталь
горячекатаную круглую ГОСТ 2590 - 88 обычной степени точности (В) Æ65 мм с предельными
отклонениями +0,5; -1,1 допуск на заготовку составляет 1,6мм (Т = 1,6мм), что
соответствует 16 квалитету.
Определим длину заготовки:
где Zто - припуск на торцевую обработку. При номинальном
диаметре проката свыше 50 до 50 мм Zто = 3мм(по табл. П7 [10])
Центровые отверстия для токарной и шлифовальной обработки
выбираем согласно ГОСТ 14034-74. Для детали Æ65 мм рекомендовано
центровое отверстие В 6,3.
Выбираем: отверстие центровое В 6,3. ГОСТ 14034-74.
Составление укрупнённого маршрута изготовления детали.
005 Заготовительная
Отрезать заготовку от проката круглого сечения обычной
степени точности Æ65
мм длиной 396мм.
010 Термическая
Заготовку подвергнуть термообработке - нормализации до НВ
280.
015 Токарная
Выполнить обработку торцов в размер 390 h14 и сверлить два
центровых отверстия В 6,3. ГОСТ 14034-74.. За несколько технологических
переходов выполнить обработку по формированию контура детали. Точить фаски,
канавки.
020 Кругло-шлифовальная
Выполнить предварительную и окончательную обработку шеек
детали.
025 Фрезерная
Фрезеровать многогранник.
030 Токарная
Нарезать резьбу.
035 Термическая 2
Подвергнуть ТВЧ шейку вала Æ45f9под манжету.
040 Моечная
Очистить детали от загрязнений;
045 Контрольная
Выполнить контроль детали по условиям чертежа;
.2 Разработка операций по формированию контура детали
Расчёт числа стадий обработки по каждому
конструктивному элементу
Ужесточение точности:
- Ø20
h9
- Ø24
h11
- Ø45
f9
- Ø61
h14
- Ø45
h14
- Ø18
h9
Число стадий обработки:
Принимаем:
n1 =
n4= n5=1
n2 =2
Расчёт точности промежуточных размеров заготовки
по стадиям обработки
Определим точность заготовки по каждой стадии механической
обработки для каждой поверхности. При расчете шаг уменьшения квалитетов по
стадиям механической обработки должен изменяться по закону убывающей
арифметической прогрессии. Расчет ведём в табличной форме.
Таблица 1. Расчет точности промежуточных размеров 1 - ой Ø 20h9 и 6 - ой Ø 18h9
|
№
|
Стадия обработки
|
КВ
|
∆КВ
|
|
0
|
Заготовка
|
16
|
8
|
|
1
|
Обтачивание черновое
|
12
|
4
|
|
2
|
Обтачивание чистовое
|
10
|
2
|
|
3
|
Шлифование окончательное
|
9
|
1
|
Таблица 2. Расчет точности промежуточных размеров 2 - ой Ø 24h11
|
№
|
Стадия обработки
|
КВ
|
∆КВ
|
|
0
|
Заготовка
|
16
|
8
|
|
1
|
Обтачивание черновое
|
12
|
4
|
|
2
|
Обтачивание чистовое
|
11
|
1
|
Таблица 3. Расчет точности промежуточных размеров 3 - ей
поверхности вала: Ø 45f9
|
№Стадия обработкиКВ∆КВ
|
|
|
|
|
0
|
Заготовка
|
16
|
5
|
|
1
|
Обтачивание черновое
|
12
|
4
|
|
2
|
10
|
2
|
|
3
|
Шлифование окончательное
|
9
|
1
|
Для получения размера 2,4 и 5-ой поверхности с Ø 45h14, Ø 61h14 и Ø24h12, используем только обтачивание черновое.
Определение промежуточных размеров по стадии
механической обработки
Расчет ведем в табличной форме, используя следующие формулы:
где:
- припуск на обработку поверхности принимается
из
;
d
- текущий диаметр;
d(
) - диаметр предшествующей обработки;
-
исходный размер ступени вала;
- максимальный размер ступени вала.
Таблица 4. Расчет припусков на промежуточные размеры 3 - ей
ступени вала Ø45f9
|
№
|
Содержание перехода
|
Расчёт промежуточных размеров
|
Характеристика размера
|
|
|
Исх. размер
|
2Zi*
|
Предельные отклонения
|
Величина
|
Rz(Ra)
|
|
3
|
Шлифование окончательное
|
44,975
|
0,06
|
f9
|
45
|
0,8
|
|
2
|
Точение получистовое
|
45,035
|
0,5
|
h10
|
45,03
|
Rz40
|
|
1
|
Точение черновое
|
45,535
|
2,2
|
h12
|
45,53
|
Rz80
|
|
0
|
Заготовка
|
47,735
|
-
|
|
47,73
|
Rz125
|
Таблица 5. Расчет припусков на промежуточные размеры 1 - oй ступени вала Ø20h9
|
№
|
Содержание перехода
|
Расчёт промежуточных размеров
|
Характеристика размера
|
|
|
Исх. размер
|
2Zi*
|
Предельные отклонения
|
Величина
|
Rz(Ra)
|
|
3
|
Шлифование окончательное
|
20
|
0,06
|
h9
|
20
|
0,8
|
|
2
|
Точение получистовое
|
20,06
|
0,5
|
h10
|
20,06
|
Rz40
|
|
1
|
Точение черновое
|
20,56
|
1,7
|
h12
|
20,56
|
Rz80
|
|
0
|
Заготовка
|
22,26
|
-
|
|
22,26
|
Rz125
|
Таблица6. Расчет припусков на промежуточные размеры 6 - oй ступени вала Ø18h9
|
№
|
Содержание перехода
|
Расчёт промежуточных размеров
|
Характеристика размера
|
|
|
Исх. размер
|
2Zi*
|
Предельные отклонения
|
Величина
|
Rz(Ra)
|
|
3
|
Шлифование окончательное
|
18
|
0,06
|
h9
|
18
|
0,8
|
|
2
|
Точение получистовое
|
18,06
|
0,5
|
h10
|
18,06
|
Rz40
|
|
1
|
Точение черновое
|
18,56
|
1,7
|
h12
|
18,56
|
Rz80
|
|
0
|
Заготовка
|
20,26
|
-
|
|
20,26
|
Rz125
|
Таблица 7. Расчет припусков на промежуточные размер 2-ой
ступени вала Ø24h11
|
№
|
Содержание перехода
|
Расчёт промежуточных размеров
|
Характеристика размера
|
|
|
Исх. размер
|
2Zi*
|
Предельные отклонения
|
Величина
|
Rz(Ra)
|
|
2
|
Точение получистовое
|
24
|
0,5
|
h11
|
24
|
Rz40
|
|
1
|
Точение черновое
|
24,5
|
1,7
|
h12
|
24,5
|
Rz80
|
|
0
|
Заготовка
|
26,2
|
-
|
|
26,2
|
Rz125
|
Таблица 8. Расчет припусков на промежуточные размер 4-ой
ступени вала Ø61h14
|
№
|
Содержание перехода
|
Расчёт промежуточных размеров
|
Характеристика размера
|
|
|
Исх. размер
|
2Zi*
|
Предельные отклонения
|
Величина
|
Rz(Ra)
|
|
1
|
Точение черновое
|
61
|
2,1
|
61 Rz80
|
|
|
|
0
|
Заготовка
|
63,1
|
-
|
|
63,1
|
Rz125
|
Таблица 9. Расчет припусков на промежуточные размер 5-ой
ступени вала Ø45h14
|
№
|
Содержание перехода
|
Расчёт промежуточных размеров
|
Характеристика размера
|
|
|
Исх. размер
|
2Zi*
|
Предельные отклонения
|
Величина
|
Rz(Ra)
|
|
1
|
Точение черновое
|
45
|
2,2
|
45 Rz80
|
|
|
|
0
|
Заготовка
|
47,2
|
-
|
|
47,2
|
Rz125
|
Проверка:
Окончательно выбираем из сортамента прокат Æ65
мм
7.3 Составление плана токарной и шлифовальной
обработок детали
Расчёт выполняем из условия применения станка 16К20, имеющего
следующие характеристики:
допустимая мощность резания N = 7,5 кВт;
максимальный диаметр заготовки до 400 мм;
максимальная длина заготовки 1400 мм;
частота вращения шпинделя 12,5…1600 об/мин (регулирование
ступенчатое);
продольная подача суппорта 0,05…2,8 мм/об (регулирование
ступенчатое).
Расчет предельно-допустимых глубин резания при
черновом обтачивании
Глубину резания для технологического перехода рассчитываем по
формуле:
,
и сравниваем полученное значение с предельно допустимым для
данного диаметра:
если
обработка осуществляется за один переход,
если
обработка осуществляется за несколько
технологических переходов.
Применим формулу с коэффициентом «0,05», т.к. Кж =
9,8>12.
При этом назначаем подачу инструмента и сравниваем мощность
резания с допустимой мощностью на шпинделе (7,5 кВт).
Установ В
Третья ступень: Æ45,53
следовательно, обработка по диаметрам возможна
за 2 прохода.
Выполняем анализ по мощности:
При подаче инструмента S = 0,3 мм/об и глубине
резания t
= 4,87 мм мощность N = 7,2 кВт, что меньше 7,5кВт (по табл. П13 [10]).
Вторая ступень: Ø24,5
следовательно, обработка по диаметрам возможна
за 5 проходов.
Выполняем анализ по мощности:
При подаче инструмента S = 0,6 мм/об и глубине
резания t
= 2,1 мм мощность N = 7,1 кВт, что меньше 7,5кВт (по табл. П13 [10]).
Первая ступень: Ø 20,56
следовательно, обработка по диаметрам возможна
за 1 проход.
Выполняем анализ по мощности:
При подаче инструмента S = 0,6 мм/об и глубине
резания t
= 1,97 мм мощность N = 7,1 кВт, что меньше 7,5кВт (по табл. П13 [10]).
Установ Г
Четвёртая ступень: Æ 61
следовательно, обработка по диаметрам возможна
за 1 проход.
Выполняем анализ по мощности:
При подаче инструмента S = 0,6 мм/об и глубине
резания t
= 2 мм мощность N = 7,2 кВт, что меньше 7,5кВт (по табл. П13 [10]).
Пятая ступень: Ø 45
следовательно, обработка по диаметрам возможна
за 2 прохода.
Выполняем анализ по мощности:
При подаче инструмента S = 0,4 мм/об и глубине
резания t
= 4 мм мощность N = 7,1 кВт, что меньше 7,5кВт (по табл. П13 [10]).
Шестая ступень: Ø 18,56
следовательно, обработка по диаметрам возможна
за 8 проходов.
Выполняем анализ по мощности:
При подаче инструмента S = 0,6 мм/об и глубине
резания t
= 1,65 мм мощность N = 7,1 кВт, что меньше 7,5кВт (по табл. П13 [10]).
.4 Выбор и расчёт режимов резания
Токарная обработка
При черновом обтачивании применяем проходной резец с главным
углом в плане φ = 450, стойкостью Т = 60 мин
из материала Т15К6.
Скорость резания:
Частота вращения:
[об/мин]
где
S -
подача;
для чернового обтачивания принимаем значение подачи из пункта 7.1.
для получистового обтачивания:
. SТАБЛ = 0,87 при Rz = 40. (по табл. П11 [10])
,
где К3 = 0,45 (по табл. П11 [10])
Из нормального ряда продольных подач суппорта станка принимаем
значение S = 0,4 мм/об.
Cv - коэффициент скорости,
зависящий от значения величины подачи.
Принимаем согласно (по табл. П14 [10]);
x, y, m - показатели степени. Принимаем
согласно(по табл. П13 [10]);
Т - расчётная стойкость резца в минуту. Принимаем
согласно (по табл. П13 [10]);
t - глубина резания;
Коэффициент корректировки.
где
КMV - коэффициент учёта влияния материала заготовки на
скорость резания; КПV -
коэффициент учёта влияния состояния поверхности на скорость резания (по табл.
П18 [10]);
КИV - коэффициент учёта влияния инструментального
материала на скорость резания, для материала Т15К6 (по табл. П19 [10]);
КφV - коэффициент учёта влияния главного угла
в плане резца на скорость резания (по табл. П20 [10]).
,
где
КГ - коэффициент, характеризующий группу стали по обрабатываемости.
Принимаем согласно (по табл. П17 [10]);
- предел выносливости. Принимаем согласно [4, табл.2]
=600 МПа
nv - показатель степени. Принимаем согласно
(по табл. П16 [10]).
Результаты вычислений сведены в таблицу 9.
Расчёт режимов шлифования
Шлифование выполняем на шлифовальном станке 3Б151, который
имеет следующие характеристики:
- наибольший диаметр и длина шлифуемой заготовки: 180 х
630(800) мм;
- диаметр и ширина шлифовального круга: 600 х 63 мм;
частота вращения детали: 63…400 об/мин
(бесступенчатое регулирование);
скорость продольного перемещения рабочего стола:
0,1…0,6 м/мин (бесступенчатое регулирование);
поперечная подача шлифовального круга (глубина
шлифования): 0,0025…0,05 мм на один ход рабочего стола с шагом 0,0025
мм;
непрерывная подача шлифовального круга при врезном
шлифовании: 0,1…2 мм/мин;
мощность электродвигателя привода шлифовального
круга: 7 кВт.
Расчёт режимов предварительного шлифования
Согласно [3,2] с. 302 для предварительного шлифования
принимаем:
- скорость вращения шлифовального круга: vШЛ.КР. = 30 м/с;
- скорость вращения заготовки: vЗАГ. = 20 м/мин;
продольная подача шлифовального круга: S = (0,3…0,7)·ВШЛ.КР.
= 18,9…44,1 мм/об. Принимаем S = 30 мм/об;
глубина шлифования tШЛИФ = 0,01 мм;
количество проходов шлифовального круга:

Частота вращения шлифовального круга:
Частота вращения заготовки:
Результаты вычислений сведены в таблицу 10.
Расчёт режимов окончательного шлифования
Согласно [3,2] с. 302 для окончательного шлифования
принимаем:
- скорость вращения шлифовального круга: vШЛ.КР. = 35 м/с;
- скорость вращения заготовки: vЗАГ. = 35 м/мин;
продольная подача шлифовального круга: S=(0,2…0,4)·ВШЛ.КР.=12,6…25,6
м/об. Принимаем S = 20 мм/об;
глубина шлифования tШЛИФ = 0,005 мм;
количество проходов шлифовального круга:
Частота вращения шлифовального круга:
Частота вращения заготовки:
Результаты вычислений сведены в таблицу 10.
Таблица
9. Режимы токарной обработки вала
|
Диаметр поверхности, мм
|
Cv
|
Показатели степени
|
Т, мин
|
t, мм
|
i
|
S, мм/об
|
КГ
|
nv
|
σв, мПа
|
Кмv
|
Kпv
|
KИv
|
Kφv
|
Kv
|
V м/мин
|
Расчётное значение n, мин-1
|
Принятое значение n, мин-1
|
y
|
m
|
|
|
|
|
|
|
|
|
|
|
|
|
|
|
|
|
- Установ В (черновое обтачивание)
|
|
45,53
|
420
|
0,15
|
0,2
|
0,2
|
60
|
4,78
|
2
|
0,3
|
1
|
1
|
600
|
1,3
|
0,9
|
1
|
1
|
1,125
|
209
|
1461
|
1250
|
|
24,5
|
350
|
0,15
|
0,35
|
0,2
|
60
|
2,1
|
5
|
0,6
|
1
|
1
|
600
|
1,3
|
1
|
1
|
1
|
1,25
|
206
|
2677
|
1600
|
|
20,56
|
350
|
0,15
|
0,35
|
0,2
|
60
|
1,72
|
1
|
0,6
|
1
|
1
|
600
|
1,3
|
1
|
1
|
1
|
1,25
|
213
|
3299
|
1600
|
|
- Установ Г (черновое обтачивание)
|
|
61
|
350
|
0,15
|
0,35
|
0,2
|
60
|
2
|
1
|
0,6
|
1
|
1
|
600
|
1,3
|
0,9
|
1
|
1
|
1,125
|
187
|
976
|
860
|
|
45
|
350
|
0,15
|
0,35
|
0,2
|
60
|
4
|
2
|
0,4
|
1
|
1
|
600
|
1,3
|
1
|
1
|
1
|
1,25
|
215
|
1521
|
1250
|
|
18,56
|
350
|
0,15
|
0,35
|
0,2
|
60
|
1,65
|
8
|
0,6
|
1
|
1
|
600
|
1,3
|
1
|
1
|
1
|
1,25
|
214
|
3672
|
1600
|
|
- Установ Г (получистовое обтачивание)
|
|
18,06
|
350
|
0,15
|
0,35
|
0,2
|
60
|
0,25
|
1
|
0,4
|
1
|
1
|
600
|
1,3
|
1
|
1
|
0,7
|
0,875
|
228
|
4020
|
1600
|
|
- Установ Д (получистовое обтачивание)
|
|
20,06
|
350
|
0,15
|
0,35
|
0,2
|
60
|
0,25
|
1
|
0,4
|
1
|
1
|
600
|
1,3
|
1
|
1
|
0,7
|
0,875
|
228
|
3619
|
1600
|
|
24
|
350
|
0,15
|
0,35
|
0,2
|
60
|
0,25
|
1
|
0,4
|
1
|
1
|
600
|
1,3
|
1
|
1
|
0,7
|
0,875
|
228
|
3025
|
1600
|
|
45,03
|
350
|
0,15
|
0,35
|
0,2
|
60
|
0,25
|
1
|
0,4
|
1
|
1
|
600
|
1,3
|
1
|
1
|
0,7
|
0,875
|
228
|
1612
|
1600
|
Таблица 10. Режимы шлифовальной обработки вала
|
Диаметр поверхности, мм
|
Vшл.кр, м/с
|
Vзаг, м/мин
|
S, мм/об
|
t, мм
|
I
|
nзаг, мин-1
|
nшл.кр., мин-1
|
CN
|
Показатели степени
|
Расчётная мощность N, кВт
|
[N], кВт
|
|
|
|
|
|
|
|
|
|
r
|
x
|
y
|
q
|
|
|
|
- Установ А (шлифование окончательное)
|
|
18
|
30
|
20
|
30
|
0,01
|
5
|
353
|
637
|
1,3
|
0,75
|
0,85
|
0,7
|
0
|
2,65
|
7
|
|
- Установ Б (шлифование окончательное)
|
|
20
|
35
|
35
|
20
|
0,005
|
6
|
557
|
1115
|
1,3
|
0,75
|
0,85
|
0,7
|
0
|
1,69
|
7
|
|
44,975
|
35
|
35
|
20
|
0,005
|
6
|
247
|
1115
|
1,3
|
0,75
|
0,85
|
0,7
|
0
|
1,69
|
|
Заключение
В ходе расчетно-пояснительной записки был разработан
технологический процесс на изготовление детали - шток для единичного условия
производства. В работе были применены технологические оборудования и
инструменты: токарный станок 16К20, шлифовальный станок 3Б151 и резец Т15К6.
Оформлена технологическая документация на операции и
переходы, применяемые в ходе получения детали. Установлены и применены в ходе
разработки техпроцесса основные принципы и приемы, используемые при обработке
металлов резанием.
Заключение
В данном дипломном проекте был выполнен анализ существующих
конструкций стеллажных кранов-штабелеров. Были отмечены их недостатки и были
предложены варианты усовершенствования их конструкции.
Была разработана конструкция одноколонного стеллажного
крана-штабелера с гидравлическим приводом телескопического захвата. Произведена
разработка отдельных узлов с соответствующими расчетами.
Выполнена разработка организации работ с применением
стеллажного крана-штабелера.
Так же был разработан технологический процесс изготовления
штока гидравлического буфера. Были применены в ходе разработки технологического
процесса основные принципы и приемы изготовления штока.
Внедрение и использование в стеллажном кране-штабелере гидравлического
привода захвата, а также были заменены приводы передвижения и подъема, которые
позволяют получить экономический эффект, что и было доказано в экономической
части.
Также были рассмотрены вопросы техники безопасности при
использовании стеллажных кранов-штабелеров. Затронута тема пожарной
безопасности.
Список используемой литературы
1. Зерцалов
А.И., Певзнер Б.И., Бененсон И.И. Краны-штабелеры. - М.: Машиностроение, 1986.
- 320 с., ил.
2. Анурьев
В.И. Справочник конструктора- машиностроителя - М.: Машиностроение, 1988. - 557
с.
. Свешников
В.К., Усов А.А. Станочные гидроприводы - М.: Машиностроение, 1988. - 510 с.
. Жуков
В.И., Федосов В.Д., Пономарев В.М. Автоматические средства пожарной
безопасности на железнодорожном транспорте: Методические указания. - М: МИИТ.
2010. - 186 с
. Юдин
Е.Я. Охрана труда в машиностроении - М.: Машиностроение, 1983. - 423 с.
. Руденко
Н.Ф., Александров М.П., Лысяков А.Г. Курсовое проектирование грузоподъемных
машин - М.: Машиностроение, 1971. - 457 с.
. Маликов
О.Б. Проектирование автоматизированных складов штучных грузов. Л.:
Машиностроение, 1981. - 240 с.
. Смехов
А.А. Автоматизированные склады. 3-е изд. М.: Машиностроение, 1979. - 288 с.
9. Аверкин
В.А., Зиновен Н.А., Задание и методические указания к курсовой работе по
дисциплине «Экономика производства», М., МИИТ, 2000г.
10. Дунаев
П.Ф., Леликов О.П., Конструирование узлов и деталей машин, М., “Высшая
школа”,1985г.
. Справочник
технолога-машиностроителя: 4-е издание в 2-х т. под ред. Косиловой А.Г.,
Мещерякова Р.К., -М. “Машиностроение” 1985.