Влияние теплообмена в тракте газовода закрытой схемы ЖРД на параметры потока перед форсуночной головкой камеры сгорания
Курсовая
работа
По
дисциплине: «Компьютерные технологии моделирования процессов и проектирования
технических устройств»
Тема:
Влияние теплообмена в тракте газовода закрытой схемы ЖРД на параметры потока
перед форсуночной головкой камеры сгорания
Введение
Цель работы: Выполнить расчет газодинамических
параметров в тракте газовода при различных значениях среднерасходной скорости
потока. Выявить влияние теплообмена на профиль скорости и распределение
давления перед газораспределительной решеткой и форсуночным блоком.
Конфигурация тракта подачи генераторного газа в
камеру сгорания ЖРД ввиду общей компоновки невозможно выполнить прямым. Исходя
из этого появляется необходимость выравнивания параметров потока перед
смесительной головкой для наилучшей организации процессов смешения и сгорания
компонентов топлива в камере сгорания. В качестве средств выравнивания
параметров потока перед смесительной головкой применяются прямые и выпуклые
газораспределительные решетки с характерными конструктивными решениями,
обеспечивающие устойчивость рабочих процессов. Как правило,
газораспределительные решетки позволяют получить удовлетворительное
распределение полей давлений и скоростей перед смесительной головкой.
Объект исследования. Геометрические размеры
моделируемой схемы рабочего тракта приведены на рис.1.
Рисунок 1 - Чертеж газогенератора в
Компас-3D
Для сравнения была построена модель
прямого тракта газовода, т.к. она будет иметь симметричное распределение
параметров, как наиболее желаемое (рис.2).
Рисунок 2 - Геометрия для импотра в
сеточный генератор Gambit
Далее геометрия была импортирована в
сеточный генератор Gambit.
Создания расчетной сетки для области
решения.Процесс наложения расчетной сетки осуществлялся в сеточном генераторе
Gambit. При построении расчетной сетки в Gambit использовались двумерные типы
элементов: треугольники.
Модель с наложенной сеткой
прдеставлена на рис.3.
Рисунок 3 - Модель с наложенной
сеткой
Сетка накладывалась с переменным
шагом, что видно на рис.4 и рис.5.
Рисунок 4 - Зона между блоком
форсунок и выпрямляющей решеткой
Рисунок 5 - Зона до выпрямляющей
решетки
Число ячеек составило 140794, узлов
71514. Максимальный перекос ячейки составил 0.8059, что укладывается в
рекомендуемый диапазон (рис.6).
Рисунок 6 - Ячейка с максимальным
перекосом
Расчет газодинамических параметров
Расчет осуществлялся в универсальной программной
системе конечно-элементного анализа - ANSYS FLUENT V13. В качестве граничных
условий на входе в газовод задавалась скорость(V=1м/с, V=10 м/с,V=20 м/с,V=30
м/с). Моделировался процесс теплообмена со стенкой. Тепло отводилось через
стенки 2 и 3и наружной стенки, подвод осуществлялся через стенки 2 и 3 (рис.7)
Рисунок 7 - Стенки подвода и съема
тепла
При Отводе тепла температура газов
на входе составляла 800К а температура стенок 300К. При подводе тепла
температура газа составляли на входе 300К, стенки 800К. Результаты сравнивались
с потоком без подвода тепла и с прямым газогенератором (Рис.8).
Сравнение значений скорости и
статического давления производился в сечениях x=0.35 и x=0.5 (Рис.9).
Рисунок 8 - Сечения
Результаты расчета для
среднерасходной скорости 1 м/с
Параметры потока на входе:
Расход газа 0.1194кг/с
Температура 800 К
Среднерасходная скорость 1м/с
Плотность 0.444 кг/м3
Динамическая вязкость 0.22132Па
Коэффициент теплоотдачи от газа к
стенке 1.291 Вт/м*К
Число Нуссельта 13.34
Число Рейнольдса 6175.3
Число Прандтля 0.213
Число Стантона 0.0102
Модель тракта газовода: прямой тракт
без теплообмена. На рис.10 изображена визуализация скорости вдоль оси.
Рисунок 9 - Визуализация
распределения скорости в прямом тракте газовода V=1m/s
Из рис.10 видно распределение
скорости потока вдоль оси, по высоте канала. В сечение х=0.5 наблюдается
искажение профиля скорости, обусловленное влиянием газораспределительной
решетки вверх по потоку. В сечение х=0.35 наблюдается резкий скачок скорости в
координатах от х=-0.025 до координаты х=0.025, что обусловлено геометрией
газораспределительной решетки. Возможно, удалось бы избежать данного скачка
скорости, создав в середине решетки дополнительное отверстие. Распределение
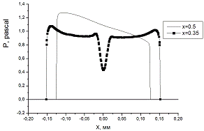
давления достаточно ровное, отклонение от среднего составляет около 2%.
Рисунок 10 - Распределение скорости
и давления по высоте канала V=1m/s
Модель тракта газовода: тракт с поворотом без
теплообмена. На рис.11 изображена визуализация скорости вдоль оси. Наблюдается
некоторая неравномерность распределения скорости, что подтверждается на рис.13
на котором изображено распределение скорости по высоте канала в сечении х=0.35
их=0.5.
Рисунок 11 - Визуализация
распределения скорости в тракте газовода с поворотом V=1m/s
Из рис.12 видно распределение
скорости по высоте канала. Есть небольшое несимметричное искажение профиля
скорости в сечении х=0.5, порядка 5-7%, которое вызвано поворотом потока. В
отличие от прямого канала, профиль более плоский. В сечении х=0.35 асимметрии
профиля не выявлено, это влияние газораспределительной решетки. Резкий скачок
скорости выявленный в прямом газогенераторе в координатах от х= -0.025 до
х=0.025, здесь сглажен. Распределение давления(рис.15) ровное с отклонением
около 2%.
Рисунок 12 - Распределение скорости
и давления по высоте канала V=1m/s
Модель тракта газовода: тракт с
поворотом, охлаждение стенки 2. На рис.13 изображено визуализация распределения
скорости по траку газовода. Распределение скорости схоже с трактом газовода без
теплообмена.
Рисунок 13 - Визуализация
распределения скорости в тракте газовода с охлаждением стенки 2 V=1m/s
Из рис.14 видно что характер
распределения скорости и статического давления схож с с течением в канале с
поворотом без теплообмена.
Рисунок 14 - Распределение скорости
и статического давления по высоте канала с охлаждением стенки 2 V=1m
Модель тракта газовода: тракт с
поворотом, охлаждение стенки 3. Как видно из рис.15 распределение скорости по
тракту схоже с трактом без теплообмена.
Рисунок 15 - Визуализация
распределения скоростей в тракте газовода с охлаждением стенки 3 V=1m/s
На рис.19 и рис.20 так же видно что
распределение скорости по высоте канала в сечениях х=0.35 и х=0.5 схоже с
трактом без теплообмена.
Рисунок 16 - Распределение скорости
и статического давления по высоте канала с охлаждением стенки 3 V=1m/s
Модель тракта газовода: тракт с
поворотом, охлаждение стенки 2 и 3. Распределение скорости по тракту схоже с
трактом без теплообмена (рис.17).
Рисунок 17 - Визуализация
распределения скорости в тракте газовода с охлаждением стенки 2 и 3 V=1m/s
Из рис.18 видно характер
распределения скорости и давления так же схож с предыдущими.
Рисунок 18 - Распределение скорости
и статического давления по высоте канала с охлаждением стенки 2 и 3 V=1m/s
Модель тракта газовода: тракт с
поворотом, охлаждение наружной стенки. Как видно из рис.19 распределение скорости
по тракту схоже с трактом без теплообмена.
Рисунок 19 - Визуализация
распределения скорости в тракте газовода с охлаждением наружной стенки V=1m/s
Из рис.20 видно что средняя скорость
в сечении х=0.5 упала, а в сечении х=0.35 стала ассиметричной. Это влияние
охлаждения стенки, Т.к. площадь охлаждения в данном случае больше. Значения
скорости в сечении х=0.35 со стороны охлаждаемой стенки стали меньше, и вызвало
асимметрию профиля скорости. Характер распределения давления не изменился.
Рисунок 20 - Распределения скорости
и статического давления с охлаждением наружной стенки V=1m/s
Модель тракта газовода: тракт с
поворотом, подогрев стенки 2 и 3. Распределение скорости по тракту схоже с
трактом без теплообмена (рис21).
Рисунок 21 - Визуализация
распределения скорости тракте газовода с подогревом стенки 2 и 3
Как видно из рис.22 при подогреве характер
профиля скорости в сечении х=0.5 сохранился. Профиль скорости в сечении х=0.35
проявился резкий скачок скорости в координатах от х= -0.025 до х=0.025.
Характер профиля давления сохранился
Рисунок 22 - Распределение скорости
и статического давления по высоте канала с подогревом стенки 2 и 3 V=1m/s
Рисунок 23 - Распределения скорости
по высоте канала V=1m/s
Как видно из рис.23 амплитуда
изменения профиля скорости по высоте канала в тракте газовода с поворотом
меньше, чем в прямом газогенераторе. Профиль скорости в прямом тракте газовода
симметричный. В тракте газовода с поворотом ассиметричный, это вызвано
поворотом потока. Уменьшение средней приведенной скорости вызвано съемом тепла.
Рисунок 24 - Распределение
статического давления по высоте канала V=1m/s
Из рис.24видно что характер
распределения схож. Уменьшение статического давления так же вызвано съемом
тепла. Линии 2 и 3 наложились друг на друга, что скорее всего вызвано тем что
холодная стенка находится в непосредственной близости с сечением x=0.5, и поток
не успел отдать достаточно тепла, для того что бы изменилось давление.
Наибольшее влияние на изменение
скорости потока и изменения статического давления оказывается при охлаждении
стенки 2 и 3 совместно, т.к. в данном случае теплосъем больше.
Результаты расчета для
среднерасходной скорости 10 м/с
Параметры потока на входе:
Расход газа 1.198 кг/с
Температура 800 К
Среднерасходная скорость 10м/с
Плотность 0.444 кг/м3
Динамическая вязкость 59.765Па
Коэффициент теплоотдачи от газа к
стенке 8.146Вт/м*К
Число Нуссельта 84.15
Число Рейнольдса 61753
Число Прандтля 0.213
Число Стантона 0.0064
Модель тракта газовода: прямой тракт
без теплообмена. На рис.25 изображена визуализация скорости вдоль оси.
Рисунок 25 - Визуализация
распределения скорости в прямом тракте газовода V=10m/s
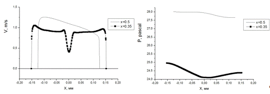
Из рис.26 видно что профиль скорости
симметричный. В сечении х=0.5, по сравнению с режимом течения V=1m/s, профиль
скорости более плоский, с меньшей амплитудой. В сечении х=0.35 в координатах от
х= -0.025 до х=0.025, скачок скорости стал больше и достигает 40% от
среднерасходной скорости. Распределение статического давления в сечения х=0.35
стало вогнутым.
Рисунок 26 - Распределение скорости
и статического давления по высоте канала V=10m/s
Модель тракта газовода: тракт с
поворотом без теплообмена. На рис.27 изображена визуализация скорости вдоль
оси.
Рисунок 27 - Визуализация
распределения скорости в тракте газовода V=10m/s
Из рис.28 видно что в сечении х=0.5
наблюдается перекос профиля скорости, вызванный поворотом потока, разница
достигает 25% от среднерасходной скорости. В сечении х=0.35 скачок скорости
сохранился, стал ассиметричным. Распределение давление стало ассиметричным.
Рисунок 28 - Распределение скорости
и статического давления по высоте канала V=10m/s
Модель тракта газовода: тракт с
поворотом с охлаждением стенки 2.
Рисунок 29 - Визуализация
распределения скорости в тракте газовода с охлаждением стенки 2 V=10m/s
Из рис.29 видно что характер распределения
скорости такой же как и в газогенераторе без теплообмена. Распределение
давление аналогично.
Рисунок 30 - Распределение скорости
и статического давления по высоте канала с охлаждением стенки 2 V=10m/s
Модель тракта газовода: тракт с
поворотом, охлаждение стенки 3. На рис.31 изображено визуализация распределения
скорости по траку газовода. Распределение скорости схоже с трактом газовода без
теплообмена.
Рисунок 31 - Визуализация
распределения скорости в тракте газовода с охлаждением стенки 3 V=10m/s
Из рис.32 видно что характер распределения
скорости такой же как и в газогенераторе без подогрева. Распределение давление
аналогично.
Рисунок 32 - Распределение скорости
и статического давления по высоте канала с охлаждением стенки 3 V=10m/s
Модель тракта газовода: тракт с
поворотом, охлаждение стенки 2 и 3 (рис34).
Рисунок 33 - Визуализация
распределения скорости в газогенераторе с охлаждением стенки 2 и 3 V=10m/s
Распределение скорости и давления аналогично
тракту газовода с поворотом без теплообмена (рис.35).
Рисунок 34 - Распределение скорости
и статического давления по высоте канала с охлаждением стенки 2 и 3 V=10m/s
Модель тракта газовода: тракт с
поворотом, охлаждение наружной стенки (рис35).
Рисунок 35 - Визуализация
распределения скорости в газогенераторе с охлаждением наружной стенки V=10m/s
Из рис.36 видно что при охлаждении наружной
стенки, происходит уменьшение скорости. Так же наблюдается уменьшение
статического давления в сечении х=0.35.
Рисунок 36 - Распределение скорости
по высоте канала в газогенераторе с охлаждением наружной стенки V=10m/s
Рисунок 37 - Визуализация
распределения скорости в тракте газовода с подогревом стенки 2 и 3 V=10m/s
Наблюдается увеличение скорости (рис.38) и
уменьшение статического давления. Характер распределения давления стал более
симметричным. Распределение скорости в сечении х=0.35 стало симметричным.
Амплитуда средней скорости уменьшилась, составив около 12%.
Рисунок 38 - Распределение скорости
по высоте канала в газогенераторе с подогревом стенки 2 и 3 V=10m/s
Рисунок 39 - Распределение скорости
по высоте канала в сечении х=0.5
Как видно из рис.39 охлаждение оказывает
незначительное влияние на изменение профиля скорости, порядка 2-3%, что
сравнимо с погрешностью расчета. Подогрев потока оказывает значительное влияние
на профиль потока, скорость потока со стороны подогрева увеличилась порядка
10%.
Рисунок 40 - Распределение давление
по высоте канала в сечении х=0.5
Охлаждение не влияет на изменения
профиля статического давления по высоте канала, оно влияет на средние значения,
разница составляем менее 1% (рис.40).
Результаты расчета для
среднерасходной скорости 20 м/с
Среднерасходная скорость 20м/с
Температура 800К
Массовый расход 2.429 кг/с
Плотность 0.4498 кг/м3
Динамическая вязкость 90.13Па
Коэффициент теплоотдачи от газа к
стенке 14.182Вт/м*К
Число Нуссельта 146.5
Число Рейнольдса 123506
Число Прандтля 0.213
Число Стантона 0.0056
Модель тракта газовода: прямой тракт
без теплообмена. На рис.41 изображена визуализация скорости вдоль оси.
Рисунок 41 - Визуализация
распределения скорости в прямом тракте газовода V=20m/s
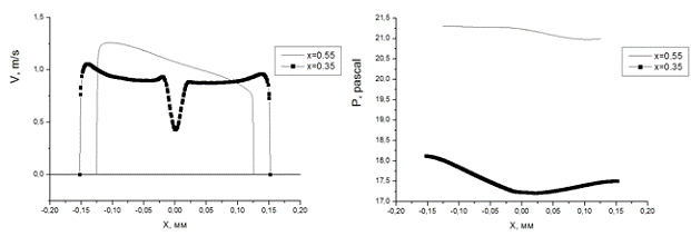
Из рис.42 видно что профиль в прямом
канале симметричный, есть резкий скачок скорости с отклонением около 40%.
Распределение давление симметричное.
Рисунок 42 - Распределение скорости
и статического давления по высоте канала V=20m/s
Модель тракта газовода: тракт с поворотом без
теплообмена. На рис.44 изображена визуализация скорости вдоль оси.
Рисунок 44 - Визуализация
распределения скорости в тракте газовода V=20m/s
Из рис.45 видно что характер
распределения скорости не симметричный, отклонение от среднерасходной скорости
около 20%, это вызвано поворотом потока. В распределении статического давления
наблюдается асимметрия распределения.
Рисунок 45 - Распределение скорости
и статического давления по высоте канала V=20m/s
Модель тракта газовода: тракт с поворотом с
охлаждением стенки 2. На рис.47 изображена визуализация распределения скорости.
Рисунок 47 - Визуализация
распределения скорости в тракте газовода с охлаждением стенки 2 V=20m/s
Распределение профиля скорости и
динамического давления идентично с газогенератором без подогрева (рис.48)
Рисунок 48 - Распределение скорости
и статического давления по высоте канала V=20m/s
Модель тракта газовода: тракт с поворотом,
охлаждение стенки 3. На рис.50 изображено визуализация распределения скорости
по траку газовода. Распределение скорости схоже с трактом газовода без
теплообмена.
Рисунок 50 - Визуализация
распределения скорости в тракте газовода с охлаждением стенки 3 V=20m/s
Распределение профиля скорости и
динамического давления идентично с газогенератором без подогрева (рис.51)
Рисунок 51 - Распределение скорости
и статического давления по высоте канала V=20m/s
Модель тракта газовода: тракт с поворотом,
охлаждение стенки 2 и 3 (рис.53).
Рисунок 53 - Визуализация
распределения скорости в тракте газовода с охлаждением стенки 2 и 3 V=20m/s
Распределение профиля скорости и
статического давления идентично с трактом газовода без теплообмена. Отклонение
от среднерасходной скорости в сечении х=0.5 составляет около 24%(рис.54)
Рисунок 54 - Распределение скорости
и статического давления по высоте канала V=20m/s
Модель тракта газовода: тракт с поворотом,
охлаждение наружной стенки (рис.56).
Рисунок 56 - Визуализация
распределения скорости в трате газовода с охлаждением наружной стенки V=20m/s
Как видно из рис.57 отклонение
скорости, в сечении х=0.5, от среднерасходной составило около 20%.
Распределение давления осталось идентично с газогенератором без подогрева.
Рисунок 57 - Распределение скорости
и статического давления по высоте канала V=20m/s
Модель тракта газовода: тракт с поворотом,
подогрев стенки 2 и 3 (рис.59).
Рисунок 59 - Визуализация
распределения скорости в тракте газовода с подогревом стенок 2 и 3 V=20m/s
Неравномерность профиля сохраняется,
уменьшено отклонение скорости со стороны подогреваемой стенки, отклонение от
среднерасходной составляет около 15%(рис.60). Распределение давления осталось
идентично с газогенератором без подогрева.
Рисунок 60 - Распределение скорости
и статического давления по высоте канала V=20m/s
Рисунок 61 - Распределение скорости
по высоте канала в сечении х=0.5
Рисунок 62 - Распределение давление
по высоте канала в сечении х=0.5
Как видно из рис.62 охлаждение
стенок 2, 3, 2и 3 мало влияют на профиль скорости, влияние составляет около 1%,
что сравнимо с погрешностью расчетов. Наибольшее влияние оказывает охлаждение
наружной стенки, около 3%, ввиду большей площади теплообмена. Подогрев стенки
так же оказывает влияние на изменение скорости со стороны подогреваемой стенки
в пределах 3%.
Распределение статического давления
мало изменяется, наибольшее отклонение при охлаждении.
Среднерасходная скорость 30м/с
Температура 800К
Массовый расход 3.727 кг/с
Плотность 0.46 кг/м3
Динамическая вязкость207.35Па
Коэффициент теплоотдачи от газа к
стенке 19.616Вт/м*К
Число Нуссельта 146.5
Число Рейнольдса 123506
Число Прандтля 0.213
Число Стантона 0.0056
Модель тракта газовода: прямой тракт
без теплообмена. На рис.63 изображена визуализация скорости вдоль оси.
канал давление газовод
скорость
Рисунок 63 - Визуализация
распределения скорости в прямом тракте газовода V=30m/s
Резкий скачок скорости около осевой линии
сузился до координат от х=0.1 до х=-0.1, отклонение при этом от среднерасходной
скорости составляет около 60%(рис.64). Распределение давления симметричное.
Рисунок 64 - Распределение скорости
и статического давления по высоте канала V=30m/s
Модель тракта газовода: тракт с
поворотом без теплообмена. На рис.65 изображена визуализация скорости вдоль
оси.
Рисунок 65 - Визуализация
распределения скорости в тракте газовода с поворотом V=30m/s
Отклонение скорости в сечении х=0.5 от
среднерасходной скорости, вызванное поворотом потока, составляет около
20-23%(рис.66). Характер распределения статического давления ассиметричный, что
является так же влиянием поворота потока.
Рисунок 66 - Распределение скорости
по высоте канала V=30m/s
Модель тракта газовода: тракт с
поворотом с охлаждением стенки 2. На рис.67 изображена визуализация
распределения скорости.
Рисунок 67 - Визуализация
распределения скорости в трате газовода с поворотом с охлаждением стенки 2
V=30m/s
Характер распределения скорости и статического
давления аналогичен тракту газовода без теплообмена. (рис.68)
Рисунок 68 - Распределение скорости и
статического давления по высоте канала V=30m/s
Модель тракта газовода: тракт с поворотом,
охлаждение стенки 3. На рис.69 изображено визуализация распределения скорости
по траку газовода. Распределение скорости схоже с трактом газовода без
теплообмена.
Рисунок 69 - Визуализация
распределения скорости в тракте газовода с поворотом с охлаждением стенки 3
V=30m/s
Характер распределения скорости и статического
давления так же схож с трактом газовода без теплообмена (рис.70)
Рисунок 70 - Распределение скорости
и статического давления по высоте канала V=30m/s
Модель тракта газовода: тракт с
поворотом, охлаждение стенки 2 и 3(рис.71).
Рисунок 71 - Визуализация
распределения скорости в тракте газовода с поворотом с охлаждением стенки 2 и 3
V=30m/s
Характер распределения скорости и статического
давления аналогичен тракту газовода без теплообмена (рис.72)
Рисунок 72 - Распределение скорости
и статического давления по высоте канала V=30m/s
Модель тракта газовода: тракт с
поворотом, охлаждение наружной стенки (рис.73).
Рисунок 73 - Визуализация
распределения скорости в тракте газовода с поворотом с охлаждением наружной
стенки V=30m/s
Отклонение скорости от среднерасходной, со
стороны охлаждения, уменьшилась и составила около 20%(рис.74). Характер
распределения статического давления аналогичен тракту газовода без теплообмена.
Рисунок 74 - Распределение скорости и
статического давления по высоте канала V=30m/s
Модель тракта газовода: тракт с поворотом,
подогрев стенки 2 и 3(рис.75).
Рисунок 75 - Визуализация
распределения скорости в тракте газовода с подогревом стенки 2 и 3 V=30m/s
Как видно из рис. 76 характеры распределения
скоростей и статического давления аналогичны тракту газовода без теплообмена.

Рисунок 76 - Распределение скорости по высоте
канала V=30m/s
Рисунок 77 -Распределение скорости по высоте
канала в сечении х=0.5
Рисунок 78 - Распределение давление по высоте
канала в сечении х=0.5
Как видно из рис. 78 наибольшее влияние
оказывает охлаждение наружной стенки. Разница в скорости со стороны охлаждения,
с трактом газовода без теплообмена, составляет около 2%. Как видно из рис.86
характер распределения статического давления не изменяется.
По полученным результатам можно сделать вывод,
что подвод тепла и охлаждение могут влиять на профиль скорости, при малых
скоростях и больших тепловых потоках, т.е. при St=0.0102 и St=0.0064. Причем
охлаждение внутренних стенок 2, 3, совместно 2 и 3, мало влияют на профиль
скорости, что скорее всего вызвано малыми тепловыми потоками. Наибольшее
влияние оказывают охлаждение наружной стенки. При охлаждении наружной стенки
площадь теплообмена больше чем при охлаждении внутренних стенок. Подогрев
внутренней стенки оказывает большее влияние чем охлаждение внутренних стенок,
наибольшее влияние выявлено при режиме течения при скорости 10 м/с(St=0.0064),
и составило около 10%. При увеличении скоростей влияние становилось меньше и
составляло около 2-3%.При скоростях 1 м/с при подогреве стенки 2 и 3произошло
искажение профиля в худшую сторону, отклонение профиля скорости со стороны
подогреваемой стенки составило окло4%, а с противоположенной же стенки
произошло увеличение скорости и составило около 10%.
Влияние на распределение статического давления
есть, в пределах 2-3%, что сравнимо с погрешностью расчетов. Подогрев и
охлаждение влияют не на характер распределения статического давления по высоте
канала, а на среднее значение статического давления.
Заключение
В данной работе численными методами
исследовалось влияние теплообмена в тракте газовода, на параметры потока с
целью обеспечить наилучшее выравнивание полей статического давления и скорости.
Рассматривалась модельная схема «газ-газ».
Генераторным газом являлся воздух, Модель газа: Идеальный газ. Данное
допущение, предполагающее поступление газообразного компонента камеру сгорания
в газообразном состоянии, позволяет не рассматривать процессы испарения и
упростить модельную схему расчета, не накладывая существенных ограничений на
моделирование газодинамических процессов в газоводе.
Исследования проводились средствами программного
продукта ANSYS-Fluent. Предположения об отсутствии закрутки потока на входе в
газовод и наличие оси симметрии позволяют рассматривать в оссесимметричной
постановке, но при наличие поворота нужно рассматривать в плоскости.
Для замыкания системы уравнений газовой
динамики, включающей уравнения неразрывности и движения вязкой жидкости
Навье-Стокса, использовались стандартная модель турбулентности со стандартным
набором модельных констант, хорошо зарекомендовавшая себя для решения широкого
класса инженерных задач. k- ε - Модель
использует два транспортных дифференциальных уравнения для расчета кинетической
энергии k и турбулентной диссипации ε.
Эта модель стабильна, не требует значительных вычислительных ресурсов и долгое
время была промышленным стандартом. Хорошо зарекомендовала себя при расчете
внутренних течений, но имеет проблемы при расчете потоков с большими
градиентами давлений и отрывом потока. Начало отрыва определяется слишком
поздно и размеры отрывных течений слишком малы по размеру. k- ε
- Модель
дает слишком оптимистичные результаты для потока в котором происходит отрыв
потока.
Рассматриваемые параметры рассматривались в
приведенной форме. Для получения скорости в приведенной форме, значение
скорости делились на среднерасходную скорость, а значения статического давления
делились на динамическое давление на входе в тракт.
Литература
1.
Александренков В.П. Расчет наружного проточного охлаждения камеры ЖРД -74 с.
.
Мухачев Г. А., Щукин В. К. Термодинамика и теплопередача: Учеб. для авиац.
вузов.- 3-е изд., перераб. - М.: Высш. шк., 2011. - 480 с.
.
Шигапов А.Б. Проточное охлаждение двигателя на жидком топливе: Пособие для
курсового и дипломного проектирования. - Казань 2009. - 60с.
Коэффициент теплоотдачи от газа к стенке
Число Нуссельта
Число Стэнтона
Число Рейнольдса
Число Прандтля

Конвективный удельный тепловой поток
Площадь теплообмена стенка 3
Тепловой поток