Гидравлический расчет кольцевых водопроводных сетей
"Гидравлический
расчет кольцевых водопроводных сетей"
1. Исходные данные
.1 Описание расчетной схемы
водоснабжения
Необходимо произвести расчет системы
водоснабжения населенного пункта и железнодорожной станции.
Водоснабжение железнодорожного поселка
осуществляется подземными водами.
Вода из водосборной галереи 1 поступает в
приемный резервуар 2 и оттуда к насосной станции 3 по напорному водоводу
подается в водонапорную башню 4, из которой потом поступает в кольцевую
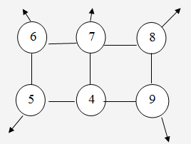
водопроводную сеть 4-5-6-7-8-9, снабжающую водой населенный пункт и следующие
промышленные и хозяйственные водопотребители:
Рисунок 1. Схема водоснабжения:
- Источник водоснабжения
- Приемный резервуар
- Насосная станция
- Водонапорная башня
- Станционное здание и краны для заправки
пассажирских вагонов
- Локомотивное депо
- Промышленное предприятие №1
- Промышленное предприятие №2
- Промышленное предприятие №3
Расход воды на хозяйственно - питьевые нужды и
полив улиц и зеленых насаждений равномерно распределен вдоль оси разводящей
сети.
1.2 Исходные данные для расчета
1. Расчетное число жителей в поселке -22170
чел.
2. Этажность застройки - 10 этажей.
. Здания населенного пункта оборудованы
внутренним водопроводом и канализацией без ванн.
. На станции ежедневно заполняется водой
-317 вагонов.
. Максимальные суточные расходы воды:
промышленными предприятиями:
№1 - 3217, м3/сут
№2 - 3717, м3/сут
№3 - 4217, м3/сут
Локомотивное депо - 517, м3/сут
6. Длина участков труб:
3-4 - 4217м
-5 - 1017 м
-6 - 1317 м
-7 - 817 м
-8 - 1317 м
-9 - 1317 м
-9 - 817 м
-7 - 1317 м
. Отметки земли:
Насосной станции (точка 4) - 264 м
В точке 5 - 282 м
В точке 8 - 274 м
В точке 6 - 278 м
. Отметки воды в приемном резервуаре - 258 м.
2.Деление расчетных суточных расходов воды
Основным водопотребителем в поселках и городах
являются население, которое расходует воду на хозяйственные и питьевые нужды.
Количество воды для этих нужд зависит от степени санитарно-технического
оборудования жилых домов, развития сети предприятий общественного обслуживания
и общего благоустройства города.
Определение суточного расхода воды Qсут:
· Населенный пункт:
Qср=N*q,
м3
Qmax
=N*q*Kmax,
м3
где N=
22170 чел;
Кmax=
1,2; Кmin=
0,8
q= 0,2 м3
/сут
Qср
=22170*0,2=4434 м3
Qmax
=22170*0,2*1,2=5320,8
м3
Qmin=N*q*Kmin=
22170*0.2*0.8=3547,2 м3
Наибольший расчётный суточный расход является
основой для расчета большинства сооружений систем водоснабжения.
· Поливка улиц и зеленых насаждений:
Q=Ni*qпол
м3/сут,
где Ni
-
число жителей в поселке;
qпол-
норма воды на полив, приходящаяся на одного жителя;
qпол=0,07
м3/сут;
Q=22170*0,07=1551,9
м3/сут .
· Заправка вагонов:
Q=N*q
м3/сут,
где N
- количество вагонов;
N=317 шт;
q=1 м3/сут;
Q =317*1=317 м3/сут.
Расчетные суточные расходы воды
Таблица 1
|
№
п/п
|
Наименование
потребителей
|
Единицы
измерения
|
Число
потребителей
|
Норма
водопотребления, м3/сут
|
Суточный
расход, м3/сут
|
|
|
|
|
Среднесу
точный
|
В
сутки наиб.
|
Среднесуточный
|
В
сутки наиб.
|
|
1
|
Населенный
пункт
|
чел.
|
22170
|
0,2
|
0,2*1,2=0,23
|
4434
|
5320,8
|
|
2
|
Полив
улиц и зеленых. Насаждений
|
чел.
|
22170
|
0,07
|
0,07
|
1551,9
|
1551,9
|
|
3
|
Промышленное
предприятие №1
|
пред.
|
1
|
3217
|
3217
|
3217
|
3217
|
|
4
|
Промышленное
предприятие №2
|
пред.
|
1
|
3717
|
3717
|
3717
|
3717
|
|
5
|
Промышленное
предприятие №3
|
пред.
|
1
|
4217
|
4217
|
4217
|
4217
|
|
6
|
Локомотивное
депо
|
пред.
|
1
|
517
|
517
|
517
|
517
|
|
7
|
Вокзал
|
зд.
|
1
|
15
|
15
|
15
|
15
|
|
8
|
Заправка
вагонов
|
вагон
|
317
|
1
|
1
|
317
|
317
|
|
9
|
Пожаротушение
|
пожар
|
2
|
0,025*3600*3=270
|
270
|
540
|
540
|
|
å
|
19412,7
|
Свободный напор для хозяйственно-питьевого
водоснабжения определяем по формуле:
Нсв=10+4(n-1)
м. вод. ст. (1)
где n - этажность застройки. Нсв=10+4(10-1)=46
м .вод. ст. принимаем Нсв=46 м. вод. ст.
3. Определение расчетных секундных
расходов воды
.1 Расчет для круглосуточно
действующих объектов
водоснабжение
населенный пункт
Расчетные секундные расходы воды определяют в
л/сутки для отдельных категорий водопотребления. При этом нужно учесть, что
одни пункты водопотребления работают круглосуточно (поселок, промпредприятия,
железнодорожная станция, депо), а другие - неполные сутки (поливка улиц и
зеленых насаждений, заправка вагонов на станции).
Секундный расход круглосуточно работающих
объектов водопотребления определяем по формуле:
qсек=Кчас*Qmaxсут
/86400
м3/с (2)
где: Кчас - коэффициент часовой
неравномерности (кчас=1,56),max
-
суточный расход в сутки наибольшего водопотребления;
- число секунд в сутках.
хозяйственно-питьевые нужды:
qсек=1,5*5320,8/86400=0,096
м3/с
промышленное предприятие №1:
qсек=1,5*3217/86400=0,0558
м3/с
промышленное предприятие №2:
qсек=1,5*3717/86400=0,0645м3/с
промышленное предприятие №3:
qсек=1,5*4217/86400=0,0732
м3/с
локомотивное депо:
qсек=1,5*517/86400=0,0089
м3/с
вокзал:
qсек=1,5*15/86400=0,00026
м3/с
3.2 Расчет для периодически
действующих объектов
Расчетные секундные расходы для периодически
действующих объектов определяются по формуле:
qсек=Qmaxсут
/(3600*Тпотр
), м3/ с (3)
где: Тпотр - период работы объекта в
часах.
- количество секунд в часе.
поливка улиц и зеленых насаждений:
Тпотр=8 часов
qсек=1551,9/(3600*8)=0,0538
м3/с
Заправка вагонов:
Тпотр=nпоездов*tпоезда,
где: nпоездов - количество поездов;поездов=Nвагонов/15=317/15=21;поезда
- время заправки одного поезда(0,5 ч);
Тпотр=21*0,5=10 час.
qсек=317/(3600*10)=0,00881
м3/с
4. Подготовка магистральной
разводящей сети к гидравлическому расчету
Подготовка магистральной разводящей сети к
гидравлическому расчету заключается в составлении расчетной схемы подачи воды
сетью и предварительном распределении потоков воды по ее разводящим линиям. В
кольцевых сетях заданные отборы воды могут быть обеспечены при неограниченном
числе вариантов распределения воды по участкам сети.
4.1 Определение путевых расходов
Расход, приходящийся на 1 погонный метр
разводящей сети, называют удельным расходом:
qуд=
(qсекхпн
+
qсекпоп)/å
L; м3/сек
где: qсекхпн
и
qсекпоп
- суммарный секундный расход соответственно на хозяйственно-питьевые нужды и
полив улиц;
å L
- суммарная длина линий, отдающих воду, м;
qуд=
(0,096 +0,0538)/7619 =0,0000196 м3/ сек
Расход воды, отдаваемый каждым участком qпут,
определяется по формуле:
qпут(i)=qуд*li
м3/сут
где: li
- длина каждого участка разводящей сети
Таблица 2. Путевые расходы разводящей сети
|
№
участка
|
Длина
участка li , м
|
Удельный
расход qуд, м3/с
|
Путевой
расход qпут(i); м3/с
|
|
4-5
|
1017
|
0,0000196
|
0,0199332
|
|
5-6
|
1317
|
|
0,0258132
|
|
6-7
|
817
|
|
0,0160132
|
|
7-8
|
1017
|
|
0,0199332
|
|
8-9
|
1317
|
|
0,0258132
|
|
4-9
|
817
|
|
0,0160132
|
|
4-7
|
1317
|
|
0,0258132
|
|
å
|
0,1493324
|
4.2 Определение узловых расходов
Узловой расход определяется по формуле:
qузл=0,5åqпут(i)+qсоср
м3/сут
где: qсоср - сосредоточенный расход
потребителя, присоединенного к узлу.
Таблица 3. Узловые расходы разводящей сети
|
№
узла
|
Номера
прилегающих участков
|
Суммы
путевых расходов на прилег. участках åqпут(i), м3/с
|
Полусумма
путевых расходов 0,5åqпут(i), м3/с
|
Сосредоточенный
расход потребления qсоср, м3/с
|
Узловой
расход qузл=0,5åqпут(i)+qсоср
м3/с
|
|
5
|
4-5
|
0,0199332
|
0,0228732
|
0,0088
|
0,0316732
|
|
5-6
|
0,0258132
|
|
|
|
|
6
|
5-6
|
0,0258132
|
0,0209132
|
0,0089
|
0,0298132
|
|
6-7
|
0,0160132
|
|
|
|
|
7
|
6-7
|
0,0160132
|
0,0308798
|
0,0558
|
0,0866798
|
|
7-8
|
0,0199332
|
|
|
|
|
4-7
|
0,0258132
|
|
|
|
|
8
|
7-8
|
0,0199332
|
0,0228732
|
0,0645
|
0,0873732
|
|
8-9
|
0,0258132
|
|
|
|
|
9
|
8-9
|
0,0258132
|
0,0209132
|
0,0732
|
0,0941132
|
|
4-9
|
0,0160132
|
|
|
|
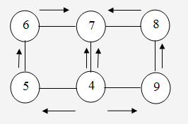
q6=0,0298132
q7=0,0866798
q8=0,0873732
Рис.
q5=0,0316732
q9=0,0941132
Рисунок 2. Расчетная схема водопроводной сети с
узловыми расходами
4.3 Предварительное распределение
потоков воды по линиям разводящей сети
Предварительное потокораспределение должно быть
произведено так, чтобы оно обеспечивало наиболее рациональные диаметры труб её
участков и удовлетворяло требованию надёжности.
На нашей разводящей сети (см.рис.2)в три дальних
узла необходимо подать одновременно расход qузл6
+
qузл7 +
qузл8 по
трём магистральным линиям 5-6, 4-7, 9-8.
Расходы по линиям 5-6, 4-7, 9-8 будут равны:
qмаг(5-6,
4-7, 9-8)= (qузл6
+
qузл7 +
qузл8 )/3
м3/с;
qмаг(5-6,
4-7, 9-8)= (0,0298132+
0,0866798+0,0873732)/3=0,20386м3/с;
q4-5=
q5-6
+ qузл5 =0,2038662+
0,0316732= 0,2355394м3/с;
q4-9=
q9-8
+ qузл9 =0,2038662+0,0941132=
0,2979794м3/с;
q6-7=
q5-6
- qузл6 =0,2038662-
0,0298132= 0,174053м3/с;
q8-7=
q9-8
- qузл8 =0,2038662-
0,0873732= 0,116493м3/с.
Рисунок 3. Предварительное распределение потоков
воды
4.4 Определение диаметров линий
разводящей сети
По предварительно намеченным расходам определяем
диаметр участков разводящей сети:
Таблица 4
|
№
участка
|
Магистральный
расход qмаг м3/с
|
Условный
проход, мм
|
Длина
участка
L,м
|
Расчетное
удельное сопротивление А0 м3/с
|
Сопротивление
участка Ai= А0*l
|
|
4-5
|
0,23553
|
450
|
1017
|
0,099
|
100,683
|
|
5-6
|
0,20386
|
400
|
1317
|
0,185
|
243,645
|
|
6-7
|
0,17405
|
400
|
817
|
0,185
|
151,145
|
|
4-7
|
0,20386
|
400
|
1317
|
0,185
|
243,645
|
|
7-8
|
0,11649
|
300
|
1017
|
0,846
|
860,382
|
|
8-9
|
0,20386
|
400
|
1317
|
0,185
|
243,645
|
|
9-4
|
0,29797
|
500
|
0,057
|
46,569
|
5. Гидравлический расчет
магистральной разводящей сети
Гидравлический расчёт производится после
начального потокораспределения экономически наивыгоднейших диаметров линий
сети.
Гидравлический расчёт кольцевой сети ведём по
методу Лобачёва В.Г.
5.1 Определение и
запись на расчетную схему исходных данных
Рисунок 4. Расчетная схема разводящей сети
5.2 Определение потери напора во всех
участках сети
Потери напора на каждом участке сети
определяется по формуле :
hi
= δ Aoi
li
qi2
,
где: qi
-
расход i - го участка сети;
׀i
- длина этого же участка сети
Aoi
-
удельное сопротивление рассматриваемого участка;
δ -
коэффициент, зависящий от скорости движения воды и материала труб;
принимаем = 1.
5.3 определение поправочного расхода
Δ
qК=
- Δ hК
/ (δ Σ
Ai к qi
К
δ-1),
где: Δ
qК -
поправочный расход к-ого кольца;
Δ
hК -
невязка к-ого кольца;
Ai
к -
сопротивление i - ого участка
к-ого кольца;
Ai
к qi
К
δ-1
- сумма произведений сопротивлений трубопровода на расход к-ого кольца.
Для квадратической области сопротивления :
Δ
qК=
- Δ hК
/ (2 Σ (Ai
qi
)
к );
Расчет продолжаем до тех пор, пока невязка не
будет меньше 0,5 м
Все расчеты приводим в таблицу:
Òàáëèöà
|
¹
êîëüöà
|
¹
ó÷àñòêà
|
Äëèíà
ó÷àñòêà, ì
|
Äèàìåòð
ó÷àñòêà, ì
|
Ïëîùàäü
æèâîãî ñå÷åíèÿ
ω, ì²
|
Óäåëüíîå
ñîïðîòèâëåíèå
ó÷àñòêà Àîi, ñ²/ì⁶
|
Ñîïðîòèâëåíèå
ó÷àñòêà Àik, ñ²/ì5
|
Ïðåäâàðèòåëüíîå
ðàñïðåäåëåíèå
|
Ïåðâîå
èñïðàâëåíèå
|
|
|
|
|
|
|
|
qik,
ì³/c
|
Vik,
ì/ñ
|
δ
|
Àik*qik
|
hik
|
∆q1
|
qik1
|
Vik1
|
δ
|
Àik1*qik1
|
hik1
|
|
1
|
2
|
3
|
4
|
5
|
6
|
7
|
8
|
9
|
10
|
11
|
12
|
13
|
14
|
15
|
16
|
17
|
18
|
|
1
|
4
- 5
|
1017
|
0,45
|
0,1706
|
0,099
|
853,6058
|
0,235
|
1,38
|
1
|
200,597
|
47,140
|
-0,093
|
0,142
|
0,83
|
1
|
120,879
|
17,118
|
|
5
- 6
|
1317
|
0,4
|
0,1346
|
0,185
|
2871,531
|
0,204
|
1,52
|
1
|
585,792
|
119,502
|
|
0,111
|
0,82
|
1
|
317,619
|
35,132
|
|
6
- 7
|
817
|
0,4
|
0,1346
|
0,185
|
151,145
|
0,174
|
1,29
|
1
|
26,299
|
4,576
|
|
0,081
|
0,60
|
1,1
|
12,184
|
0,982
|
|
4
- 7
|
1317
|
0,4
|
0,1346
|
0,185
|
243,645
|
-0,204
|
1,52
|
1
|
49,704
|
-10,140
|
-0,151
|
-0,355
|
2,64
|
1
|
86,468
|
-30,687
|
|
∑
|
|
|
|
|
|
|
|
|
|
862,392
|
161,079
|
|
|
|
|
537,149
|
22,544
|
|
2
|
4
- 7
|
1317
|
0,4
|
0,1346
|
0,185
|
243,645
|
0,204
|
1,52
|
1
|
49,704
|
10,140
|
0,151
|
0,355
|
2,64
|
1
|
86,468
|
30,687
|
|
7
- 8
|
1017
|
0,3
|
0,0759
|
0,846
|
77251,38
|
-0,116
|
1,53
|
1
|
8961,160
|
-1039,495
|
0,058
|
-0,058
|
0,77
|
1,1
|
4518,912
|
-264,339
|
|
8
- 9
|
1317
|
0,4
|
0,1346
|
0,185
|
243,645
|
-0,204
|
1,52
|
1
|
49,704
|
-10,140
|
|
-0,146
|
1,09
|
1
|
35,693
|
-5,229
|
|
4
- 9
|
817
|
0,5
|
0,2091
|
0,057
|
46,569
|
-0,298
|
1,43
|
1
|
13,878
|
-4,136
|
|
-0,240
|
1,15
|
1
|
11,200
|
-2,693
|
|
∑
|
|
|
|
|
|
|
|
|
|
9074,445
|
-1043,630
|
|
|
|
|
4652,273
|
-241,575
|
Òàáëèöà
|
Âòîðîå
èñïðàâëåíèå
|
Òðåòüå
èñïðàâëåíèå
|
|
∆q2
|
qik2
|
Vik2
|
δ
|
Àik2*qik2
|
hik2
|
∆q3
|
qik3
|
Vik3
|
δ
|
Àik3*qik3
|
hik3
|
|
19
|
20
|
21
|
22
|
23
|
24
|
25
|
26
|
27
|
28
|
29
|
30
|
|
-0,0255
|
0,151
|
0,88
|
1
|
128,673
|
19,396
|
-0,0064
|
0,1443
|
0,85
|
1
|
123,188
|
17,778
|
|
0,120
|
0,89
|
1
|
343,838
|
20,586
|
|
0,1133
|
0,84
|
1
|
325,388
|
18,436
|
|
0,090
|
0,67
|
1,1
|
13,564
|
1,217
|
|
0,0833
|
0,62
|
1,15
|
12,593
|
1,049
|
|
-0,0521
|
-0,372
|
2,77
|
1
|
90,730
|
-33,787
|
-0,0161
|
-0,3885
|
2,89
|
1
|
94,661
|
-36,777
|
|
|
|
|
576,805
|
7,412
|
|
|
|
|
555,829
|
0,485
|
|
0,0521
|
0,372
|
2,77
|
1
|
90,730
|
33,787
|
0,0161
|
0,3885
|
2,89
|
1
|
94,661
|
36,777
|
|
0,0266
|
-0,032
|
0,42
|
1,17
|
2462,186
|
-78,476
|
0,0097
|
-0,0222
|
0,29
|
1,28
|
1712,346
|
-37,956
|
|
-0,120
|
0,89
|
1
|
29,206
|
-3,501
|
|
-0,1102
|
0,82
|
1
|
26,841
|
-2,957
|
|
-0,214
|
1,02
|
1
|
9,960
|
-2,130
|
|
-0,2042
|
0,98
|
1
|
9,508
|
-1,941
|
|
|
|
|
2592,083
|
-50,320
|
|
|
|
|
1843,356
|
-6,076
|
6.Îïðåäåëåíèå
âûñîòû âîäîíàïîðíîé
áàøíè è åìêîñòè
íàïîðíîãî áàêà
Ïðè îïðåäåëåíèè
åìêîñòè áàêà
âîäîíàïîðíîé
áàøíè èñõîäèì
èç ñëåäóþùåãî:
ðàñõîä âîäû
èç áàêà îáúåêòàìè
íåðàâíîìåðåí
è çàâèñèò îò
âðåìåíè ñóòîê,
à ïîäà÷à âîäû
íàñîñàìè â áàê
ðàâíîìåðíà;
ðàñïðåäåëåíèå
ðàñõîäîâ âîäû
ïî ÷àñàì ïðèíèìàåì
â çàâèñèìîñòè
îò êîýôôèöèåíòà
÷àñîâîé íåðàâíîìåðíîñòè,
óñòàíîâëåííîãî
ÑÍèÏ, è õàðàêòåðà
îáúåêòà âîäîñíàáæåíèÿ
(íàñåëåííûé ïóíêò,
ïðîìïðåäïðèÿòèå,
çäàíèå ñïåöèàëüíîãî
íàçíà÷åíèÿ è
ò.ï.)
Ðèñ.
Há
= Zäò
+ Hñâ +
∑hw
-
Z á
,
ãäå: Zá
-
îòìåòêà çåìëè
íàñîñíîé ñòàíöèè
(òî÷êà 4);
Zäò
- îòìåòêà çåìëè
â äèêòóþùåé òî÷êå;
Hñâ
-
ñâîáîäíûé íàïîð;
Hñâ
=
10+4(n-1)=46ì
∑hw
-
ïîòåðè íàïîðà
äî äèêòóþùåé
òî÷êè èç ðàñ÷åòà
ïî ìîäóëþ.
Äëÿ òî÷êè
6: Há
=278+30+8,66 - 264-= 52,66=53 ì.
Äëÿ òî÷êè
8: Há
=274+30+14,94 - 264=54,94=55 ì.
Ïðèíèìàåì
Há
=55 ì.
Òàáëèöà.
Åìêîñòü áàêà
(Ê=1,35)
|
×àñû
ñóòîê
|
Âîäîïîò,%
|
Ïîñòóïëåíèå
âîäû â áàê, %
|
Ïîñòóï.
âîäû èç áàêà,
%
|
Îñòàòîê,
% (À)
|
|
0-1
|
3,0
|
4,35
|
1,35
|
|
1,35
|
|
1-2
|
3,2
|
4,35
|
1,15
|
|
2,5
|
|
2-3
|
2,5
|
4,35
|
1,85
|
|
4,35
|
|
3-4
|
2,6
|
4,35
|
1,75
|
|
6,1
|
|
4-5
|
3,5
|
4,35
|
0,85
|
|
6,95
|
|
5-6
|
4,1
|
4,35
|
0,25
|
|
7,2
|
|
6-7
|
4,4
|
4,35
|
|
0,05
|
7,15
|
|
7-8
|
4,9
|
4,35
|
|
0,55
|
6,6
|
|
8-9
|
4,0
|
4,35
|
0,35
|
|
6,95
|
|
9-10
|
5,6
|
4,35
|
|
1,25
|
5,7
|
|
10-11
|
4,9
|
4,35
|
|
0,55
|
5,15
|
|
11-12
|
4,7
|
4,35
|
|
0,35
|
4,8
|
|
12-13
|
4,4
|
4,35
|
|
0,05
|
4,75
|
|
13-14
|
4,1
|
4,35
|
0,25
|
|
5
|
|
14-15
|
4,1
|
4,35
|
0,25
|
|
5,25
|
|
15-16
|
4,4
|
4,35
|
|
0,05
|
5,2
|
|
16-17
|
4,3
|
4,35
|
0,05
|
|
5,25
|
|
17-18
|
4,1
|
4,35
|
0,25
|
|
5,5
|
|
18-19
|
4,5
|
4,35
|
|
0,15
|
5,35
|
|
19-20
|
4,5
|
4,35
|
|
0,15
|
5,2
|
|
20-21
|
4,5
|
4,35
|
|
0,15
|
5,05
|
|
21-22
|
4,8
|
4,35
|
|
0,45
|
4,6
|
|
22-23
|
4,6
|
4,35
|
|
0,25
|
4,35
|
|
23-24
|
3,3
|
4,35
|
1,05
|
|
5,4
|
Íàõîäèì
îáúåì áàêà:
W= (Qmax ñóò
/ 100)*A, ì3
ãäå: Qmaxñóò
- ìàêñèìàëüíûé
ñóòî÷íûé ðàñõîä
Qmaxñóò=
19412 ì3
A - íàèáîëüøèé
îñòàòîê â áàêå
%
À=7,2%
W=
(19412/100)*7,2=1397,664ì3
Äèàìåòð
áàêà:
D =3√(W
/ 0,55)=13,64=14ì.
Âûñîòà áàêà:
h= 0,7 D
=9,8=10 ì.
7.Ãèäðàâëè÷åñêèé
ðàñ÷åò âîäîíàïîðíîãî
âîäîâîäà
Ðèñ.
Íàïîðíûé
âîäîâîä ïîäàåò
âîäó îò èñòî÷íèêà
äî âîäîíàïîðíîé
áàøíè. Äëÿ îáåñïå÷åíèÿ
áåñïåðåáîéíîé
ðàáîòû âîäîâîäà
ïðîêëàäûâàþò
íåñêîëüêî íèòîê
(íî íå ìåíåå 2). Ðàñ÷åò
âåäåòñÿ íà ïðîïóñê
ìàêñèìàëüíîãî
ñóòî÷íîãî ðàñõîäà.
Ñåêóíäíûé ðàñõîä
âîäû îïðåäåëÿåòñÿ
ïî ôîðìóëå:
qâîäîâîäà
=Qmax
ñóò /
3600*T*n,
ì3/ñ
ãäå: Qmaxñóò
- ìàêñèìàëüíûé
ñóòî÷íûé ðàñõîä;
Ò -âðåìÿ
ðàáîòû íàñîñîâ
(Ò=23÷àñà);
n - ÷èñëî
íèòîê âîäîâîäà
(n=2).
qâîäîâîäà
=19412/3600*23*2=0,1172
8.Îïðåäåëåíèå
ïîòðåáíîé ïðîèçâîäèòåëüíîñòè
è íàïîðà âîäîïðîâîäíûõ
íàñîñîâ, ïîäáîð
òèïà íàñîñîâ,
îïðåäåëåíèå îòìåòêè
îñè íàñîñà è
ñîîáðàæåíèå
ïî ñîîðóæåíèþ
íàñîñíîé ñòàíöèè
Ðàáî÷èé
íàïîð íàñîñà
ìîæíî îïðåäåëèòü
ïî ôîðìóëå :
Hòð.
= Zá
+ Há +
há -
Zë +
hâîä,
ì
ãäå Zá
-
îòìåòêà çåìëè
â ìåñòå óñòàíîâêè
âîäîíàïîðíîé
áàøíè (òî÷êà
4 ).
Há -
âûñîòà áàøíè;
há -
âûñîòà áàêà â
ìåñòå ðàñïîëîæåíèÿ
áàøíè;
Zë
- îòìåòêà çåìëè
â èñòî÷íèêå;
hâîä
-
ïîòåðè íàïîðà
âîäîâîäà.
Hòð.
=264+55+9-258+23,6=93,6 ì
8.1 Îïðåäåëåíèå
ïîòðåáíîé ìîùíîñòè
è ïîäáîð òèïà
íàñîñîâ
Ïîëåçíàÿ
ìîùíîñòü íàñîñà:
Nï =
(Q ·Hòð·ρ·g)
/ ŋ, Âò
Nï =(0,1027*93,6*1000*9,81)/0,8=94,3
êÂò
ãäå: Q
- ïðîèçâîäèòåëüíîñòü
íàñîñà, ðàâíàÿ
ðàñõîäó, ïðîïóñêàåìîìó
îäíîé
íèòêîé âîäîâîäà,
ì3/ñ (ðàâíà qâîäîâîäà)
Hòð-
òðåáóåìûé íàïîð
íàñîñà, ì
ρ -ïëîòíîñòü
ïåðåêà÷èâàåìîé
æèäêîñòè, ðàâíàÿ
1000 êã/ì3
g - óñêîðåíèå
ñâîáîäíîãî ïàäåíèÿ
=9,81 ì/ñ2
η - ÊÏÄ
íàñîñà, η
= 0,8
Ïî ñâîáîäíûì
ãðàôèêàì îñíîâíûõ
òåõíè÷åñêèõ
äàííûõ öåíòðîáåæíûõ
íàñîñîâ ïîäáèðàåì
íàñîñ:
Hòð=93,6/2=46,8
ì è qâîäîâîäà=0,1027
ì3/ñ =110 ë/ñåê → íàñîñ
òèïà 6ÍÄñ 2950, ïîäáèðàåì
2 íàñîñà, ñîåäèíåííûõ
ïîñëåäîâàòåëüíî.
8.2 Îïðåäåëåíèå
îòìåòêè îñè íàñîñà
Îòìåòêó
îñè íàñîñà ìîæíî
îïðåäåëèòü ïî
ôîðìóëå:
Zí=
Zè+hã
, ì
ãäå: Zí
- îòìåòêà íàñîñà;
Zè -
îòìåòêà âîäû
â èñòî÷íèêå;
hã
- ãåîìåòðè÷åñêàÿ
âûñîòà âñàñûâàíèÿ.
hã
= Hâàêäîï-å
h-V2/2g,
ì
ãäå: Hâàêäîï
- äîïóñòèìûé âàêóóì
äëÿ äàííîãî íàñîñà(
Hâàêäîï=8
ì);
å h
- ïîòåðè íàïîðà
âî âñàñûâàþùåé
ëèíèè;
V-ñêîðîñòü
äâèæåíèÿ âîäû
âî âñàñûâàþùåé
ëèíèè.
Ïîòåðè íàïîðà
âî âñàñûâàþùåé
ëèíèè îïðåäåëÿþòñÿ
ïî ôîðìóëå:
åh = Àâñ
*lâñ*
qâîä2*1,4
, ì
Äëÿ âû÷èñëåíèÿ
ïîòåðè íàïîðà
íåîáõîäèìî îïðåäåëèòü
ïàðàìåòðû âñàñûâàþùåé
ëèíèè. Âîñïîëüçóåìñÿ
ôîðìóëîé äëÿ îïðåäåëåíèÿ
äèàìåòðà âñàñûâàþùåé
ëèíèè:
dâñ
= dâîä
*1,5, ìì
ãäå dâîä
- äèàìåòð âîäîâîäà
(300 ìì)
dâñ
=450*1,5=675 ìì
Ïîëüçóÿñü
ïðèëîæåíèåì ïî
ñåêóíäíîìó ðàñõîäó
âîäîâîäà è ó÷èòûâàÿ
ïðåäåëüíûé ýêîíîìè÷åñêèé
ðàñõîä Ý=0,5 ì3/ñ
(òðóáû ñòàëüíûå),
ïðèíèìàåì óäåëüíîå
ñîïðîòèâëåíèå
Àâñ =0,099 ì/ñ è ïëîùàäü
æèâîãî ñå÷åíèÿ
wâñ
=0,1706 ìì2, lâñ=80.
åh
=0,099*80*0,10272 *1,4=1,00ì
Ñêîðîñòü
äâèæåíèÿ âîäû
âî âñàñûâàþùåé
ëèíèè îïðåäåëÿåòñÿ:
V= qâîä/
wâñ
=0,1027/0,1706=1,353 ì/ñ
Òîãäà ãåîìåòðè÷åñêàÿ
âûñîòà âñàñûâàíèÿ
îïðåäåëèòñÿ:
hã
=8-1,00-1,3532/(2*9,81)=0,263 ì
Çíàÿ âû÷èñëåííûå
çíà÷åíèÿ ïîëó÷èì
îòìåòêó íàñîñà:
Zí=258+0,258=258,258
ì.
Ðàçìåùåíî
íà Allbest