Вариационный принцип Ферма в оптике

  • Вид работы:
    Реферат
  • Предмет:
    Физика
  • Язык:
    Русский
    ,
    Формат файла:
    MS Word
    213,5 Кб
  • Опубликовано:
    2014-07-08
Вы можете узнать стоимость помощи в написании студенческой работы.
Помощь в написании работы, которую точно примут!

Вариационный принцип Ферма в оптике















Вариационный принцип Ферма в оптике

РЕФЕРАТ

Содержание

Введение

1.       Теорема Ферма о необходимом условии экстремума. Принцип Ферма

2.      Роль принципа Ферма в оптике

3.       Вывод законов геометрической оптики из принципа Ферма

4.      Пример применения принципа Ферма в объяснении некоторых физических явлений

Заключение

Список литературы

Введение


Многие законы физики могут быть выведены из утверждения, что для истинного развития исследуемого процесса определенная характеристическая величина достигает минимального (в более общем случае экстремального) значения по сравнению с ее значениями для некоторых других возможных течений этого процесса. Чтобы математически сформулировать это утверждение, необходимо ввести в рассмотрение уравнения, описывающие данный процесс, и с помощью изменения (вариации) их формы добиться достижения экстремального значения вычисляемой характеристической величины. Те уравнения, при которых это экстремальное значение достигается, и выражают истинные законы изучаемого явления. В таком случае данное утверждение принимают за исходное и называют вариационным началом или вариационным принципом[1].

Вариационный принцип геометрической оптики был предложен Пьером Ферма(1601-1665) в 1662 году.

Ферма внес значительный вклад в становление и развитие различных отраслей математики - от теории чисел до теории вероятностей. Мы кратко обсудим его теорему о необходимом условии существования экстремума дифференцируемой функции и попытаемся установить связь этой теоремы с фундаментальным принципом геометрической оптики, также принадлежащим Ферма.

Целью реферативной работы является изучения вариационного принципа Ферма в оптике.

Предмет исследования: прохождение световой волны через однородные и неоднородные среды.

1. Теорема Ферма о необходимом условии экстремума. Принцип Ферма

Эта важная теорема дифференциального исчисления столь проста, что изучается в школьном курсе "Алгебра и элементарные функции". В современных терминах теорема формулируется так: если функция f (x), определенная в окрестности точки x , дифференцируема в этой точке и имеет при x = x экстремум, то f '(x) = 0.

Теорема получена в 1628-1629 годах при решении задачи на отыскание наибольших и наименьших значений многочленов, а известна стала лишь десять лет спустя из письма к Р. Декарту ("О вершине параболы"), переданного через М. Мерсенна в 1638 году. Полученному результату Ферма посвятил также работу "Метод отыскания наибольших и наименьших значений" (1637), которая, однако, была опубликована лишь в 1679 году.

Каким же образом получил Ферма свою теорему почти за полвека до "изобретения" производной и дифференциального исчисления? Он обратил внимание на то, что в достаточно малой окрестности точки экстремума (точки локального минимума или локального максимума) приращение функции сохраняет знак независимо от знака приращения аргумента: в точке строгого минимума приращение положительно, а в точке максимума отрицательно. Поэтому для отыскания экстремума Ферма изучал зависимость приращения функции от малых приращений аргумента. Покажем, к примеру, как по методу Ферма следовало искать вершину параболы y = = x, то есть минимум функции f (x) = x. Рассмотрим приращение функции f (x) в произвольной точке x при малом приращении аргумента h. Получим

f (x + h) - f (x) = (x + h)- x = 2xh + h (1)

Чтобы приращение функции f (x) не зависело от h, нужно, чтобы выполнялось равенство 2xh = 0, то есть 2x = 0. Значит, x = 0 и вершина параболы y = x имеет координаты (0, 0). С точки зрения дифференциального исчисления мы искали такое x, что f '(x) = 2x = 0. Ферма не занимался изучением достаточных условий экстремума, но отметим все же, что в силу неравенства f (0 + h) - f (0) = h= 0 можно утверждать наличие в точке x = 0 локального минимума функции. Рассмотрим еще один пример. Пусть g(x) = x(1 - x). Имеем

g(x + h) - g(x) = x + h - (x + h)- x + x = (1 - 2x)h - h. (2)

Наибольшее значение функция g(x) имеет в точке x, где 1 - 2x = 0, то есть при x = 1/2. При этом g = 1/4.

Своим открытием Ферма перевел большой класс почти нерешаемых задач в разряд вполне разрешимых, так как для отыскания экстремума дифференцируемой функции оказалось достаточным рассматривать вместо всего множества определения функции лишь множество ее критических точек (точек, в которых производная функции обращается в нуль).

Пользуясь методом Декарта для сведения некоторых геометрических задач к задачам исследования "величин" и своим методом отыскания наибольших и наименьших значений, Ферма успешно решил задачи, часть из которых поставил сам.

Можно с уверенностью предположить, что из "Начал" Евклида Ферма знал известную задачу на отыскание максимального значения, которая теперь легко могла быть решена его методом.

Задача Евклида[1]. Из всех параллелограммов, вписанных в треугольник, найти тот, который имеет наибольшую площадь.

Эту задачу Евклид решил сам и установил, что искомым параллелограммом является тот, у которого основание вдвое меньше основания данного треугольника. Теперь же задача геометрии сводится к несложной задаче на отыскание экстремума функции. Пусть в ABC вписан параллелограмм AMND (рис. 1). Предположим, что AD = x * AC, 0 < x < 1. Из ΔABC ΔDNC следует равенство NN' = (1 - x) * BB'. Вследствие этого площадь параллелограмма

S = AC * BB' *x(1 - x) = 2Sx(1 - x),

где S - площадь треугольника. Как было показано выше, функция g(x) = = x(1 - x) имеет максимум при x = 1/2. Таким образом, S = S /2 при x = 1/2, то есть при AD = DC.


Задача Ферма. Отрезок AB разделить на отрезки AC и CB так, чтобы прямоугольник со сторонами AC и CB имел наибольшую площадь.

Предположим, что AC = x * AB, 0<x<1. Тогда CB = (1-x)AB и площадь прямоугольника S = ABx(1 - x). Таким образом, площадь прямоугольника со сторонами AC и CB имеет максимальное значение AB/4 при x = 1/2, то есть отрезок AB нужно поделить пополам.

Приводя простейшие примеры применения своего метода, Ферма указывал, что так же нужно действовать и в других случаях. Каких? Не означает ли это, что он решал более сложные задачи на отыскание экстремума, которые навели его на мысль о неком общем законе, господствующем в природе?

2. Роль принципа Ферма в оптике

. Пьер Ферма (1601-1675) выдвинул принцип, согласно которому свет при распространении из одной точки в другую выбирает путь, которому соответствует наименьшее время распространения. Ферма руководствовался телеологическими соображениями, согласно которым природа действует целенаправленно: она не может быть расточительной и должна достигать своих целей с наименьшей затратой средств. Подобные соображения, конечно, чужды науке и не могут служить обоснованием принципа Ферма. Но сам принцип (после введения некоторых уточнений) верен и может оказаться полезным при решении отдельных вопросов геометрической оптики. Это было продемонстрировано уже самим Ферма, который с помощью своего принципа вывел закон преломления Снеллиуса и получил такое же выражение для показателя преломления, что и в волновой теории света. В частности, он пришел к заключению, что скорость света в более преломляющей среде меньше, чем в менее преломляющей.

2.Для доказательства принципа Ферма допустим сначала, что показатель преломления среды меняется в пространстве непрерывно и достаточно медленно, так что условия применимости геометрической оптики выполнены. Пусть в среде распространяется волна вида

E=a(r)e

(где а(r) , Ф(r) - вещественные функции координат.

Волновое число

k=/с= 2/),

например порожденная точечным источником. Ей соответствует система лучей, представленная на рис. 2.


Если эйконал Ф - однозначная функция координат, то из уравнения gradФ=ns (где s - единичный вектор нормали к фронту волны) следует, что циркуляция вектора ns по любому замкнутому контуру равна нулю, т. е.

 , (3)

где dl - вектор элементарного смещения вдоль этого контура. Возьмем две произвольные точки А и В, лежащие на одном из лучей. Соединим их произвольной линией ADB. В силу (3)

=. (4)

На луче АСВ векторы s и dl направлены одинаково, следовательно, (sdl)=dl. На линии же ADB (sdl)=dl cos (s,dl)<dl. Поэтому

<. (5)

Знак равенства относится только к случаю, когда кривая ADB сама является лучом. Таким образом, если показатель преломления меняется в пространстве непрерывно, то оптическая длина луча между любыми двумя точками меньше оптической длины всякой другой линии, соединяющей те же точки. Но это есть другая формулировка принципа Ферма, так как оптическая длина луча пропорциональна времени распространения света вдоль него[2].

Приведенная формулировка принципа Ферма нуждается в уточнении. В некоторых случаях она может оказаться неверной. Рассмотрим например, среду с сферически симметричным распределением показателя преломления вокруг центра О (рис. 3).


Примером такой среды может служить планетная атмосфера. Предположим, что показатель преломления меняется в пространстве так, что световой луч, выйдя из какой-либо точки перпендикулярно к радиусу, описывает окружность с центром в точке О. Пусть свет попадает из точки А в точку В по большой дуге АСВ этой окружности. Но он может пройти из А в В и по дуге ADB той же окружности, затрачивая на распространение меньшее время. Меньшее время потребовалось бы и в том случае, если бы свет избрал какой-либо другой путь, бесконечно близкий к дуге ADB. Все это противоречит принципу Ферма в приведенной выше формулировке.

Причина противоречия состоит в том, что в приведенном примере эйконал Ф не есть однозначная функция координат, как это предполагалось при выводе. Действительно, если луч описывает окружность вокруг центра О, то он вернется в исходную точку с новым значением эйконала: эйконал Ф получит приращение nl, где l - длина описанной окружности. Если окружность описывается т раз, то приращение эйконала будет 2mп1. Это и значит, что функция Ф неоднозначна. Для справедливости принципа Ферма необходимо наложить на выбор воображаемых путей распространения света такие ограничения, чтобы эйконал Ф вел себя как однозначная функция координат. В приведенном примере этого можно достигнуть, поставив перегородку вдоль меридиональной полуплоскости ODE и ограничиваясь только такими путями, которые не пересекают эту перегородку.

Подобным приемом можно воспользоваться и во всех остальных случаях, в которых эйконал Ф оказывается неоднозначным. Впрочем, в применениях принципа Ферма достаточно ограничиться только такими путями, которые проходят бесконечно близко от действительного пути света. В этом случае надобность во введении перегородок отпадает.

.При наличии поверхностей раздела сред, на которых лучи могут испытывать отражение или преломление, в формулировку и доказательство принципа Ферма надо ввести дополнения. Пусть луч, выйдя из точки А (рис. 4), после отражений или преломлений в точках С, D,Е, попадает в точку В. Назовем виртуальным путем света любую линию AC'D'E'B между крайними точками А и В, которая получается из ACDEB в результате бесконечно малого бокового смещения ее и отличается от нее бесконечно мало по направлению. Принцип Ферма утверждает, что оптическая длина действительного светового пути (или пропорциональное ей время распространения) стационарна[2]. Это значит, что разность оптических длин действительного и виртуального путей света есть величина более высокого порядка малости, чем боковое смещение виртуального пути относительно действительного. Только эта стационарность, а не минимальность оптической длины луча и существенна в приложениях.


При доказательстве достаточно ограничиться преломлением на одной границе. Случай отражения исследуется так же. Пусть MN - граница раздела сред 1 и 2, а АСВ - действительный луч, соединяющий течку А с точкой В (рис. 5). Вообразим два бесконечно узких пучка лучей: один в первой среде, исходящий из точки А, другой во второй среде, сходящийся в точке В. За положительные направления лучей примем направления от А к В. Выберем в этих пучках два луча АС’ и C’В, пересекающихся на границе раздела в точке С’. Кривую АС’В можно рассматривать как виртуальный путь света, так как луч С’В в общем случае отнюдь не возникает в результате преломления луча АС’ . Обозначим через  и  эйконалы рассматриваемых пучков лучей, отсчитываемые от точек А и В соответственно. Тогда

=(C) -(С). (6)

Вариация интеграла при смещении точки С в произвольную бесконечно близкою точку С’ границы раздела будет

. (7)

Если  - вектор смещения, то и аналогично  , так что

. (8)

В силу закона преломления Снеллиуса вектор  перпендикулярен к границе раздела сред в точке падения, а потому и к бесконечно малому смещению вдоль границы Таким образом, в первом порядке по вариация оптической длины луча АСВ обращается в нуль. При доказательстве предполагалось, что виртуальный путь состоит из отрезков лучей АС’ и СВ’. Однако результат отрезки заменить произвольными бесконечно близкими к ним линиями, соединяющими те же точки A и С’, С' и В, В самом деле, поскольку АС’ и С’ В - действительные лучи в первой и второй средах, их оптические длины по доказанному выше минимальны. По этой причине замена действительных лучей АСи С’В бесконечно близкими к ним линиями, соединяющими те же крайние точки, не меняет в первом порядке оптические длины соответствующих путей. Следовательно, вариация оптической длины луча АСВ останется равной нулю, каков бы ни был виртуальный путь света. А к этому в рассматриваемом случае и сводится содержание принципа Ферма.


4. В применениях иногда удобна следующая теорема, являющая- ся непосредственным следствием принципа Ферма. Пусть А и В - произвольные точки луча АСВ (рис.6).


Проведем через точку В произвольную гладкую поверхность BE, ортогональную к лучу АСВ в точке В. Пусть BD - бесконечно малое смещение вдоль этой поверхности. Соединим начальную точку луча А с точкой D произвольной линией AHD, бесконечно мало отличающейся по направлению от луча АСВ. Тогда вариация оптической длины при переходе от истинного пути света АСВ к виртуальному AHD будет равна нулю[2]. Для доказательства возьмем пучок лучей, исходящих из точки А. Все А эти лучи ортогональны к волновому фронту BF, а их оптические длины от точки А до волнового фронта одинаковы. В частности, (АСВ) = (АМК). Но по принципу Ферма с точностью до бесконечно малых высшего порядка (АМК) = (AHK). Далее, поскольку поверхности BDE и BKF касаются друг друга в точке В, длина луча KD будет бесконечно малой высшего порядка по сравнению с BD. Поэтому оптическая длина AHD будет отличаться от оптической длины АСВ также на величину высшего порядка малости по сравнению с боковым смещением BD. Это и требовалось доказать.

. Если между собой, то в каждой среде путь света будет прямолинеен. В этом случае задача сводится только к нахождению точек на поверхностях раздела сред, в которых происходит отражение и преломление светового луча. Поэтому нет необходимости вводить криволинейные виртуальные пути света. Достаточно ограничиться ломаными виртуальными путями, состоящими из отрезков прямых линий, причем изломы таких путей должны происходить на границах раздела рассматриваемых сред. Даже при таких ограничениях оптическая длина действительного светового пути может быть не только минимальной, но и максимальной или стационарной.

Чтобы показать это в случае отражения света, возьмем эллипсоидальное зеркало, получающееся от вращения эллипса вокруг его большой оси  (рис. 7). Пусть  и  - фокусы эллипсоида Если А -точка на его поверхности, то


где 2а - длина большой оси эллипсоида. Поверхность зеркала делит все пространство на две части: внутреннюю, сумма расстояний каждой точки которой от фокусов  и  меньше 2а, и внешнюю, для которой эта сумма больше 2а, Пусть световой луч выходит из фокуса  Тогда после отражения от эллипсоидального зеркала в точке А он пройдет через второй фокус F2, так как по известному свойству эллипса прямые A и F2A образуют одинаковые углы с нормалью к поверхности зеркала. При смещении вдоль поверхности зеркала сумма А+ F2A, а с ней и время распространения света из  в F2 не изменяются. Вариация времени распространения при таком смещении равна нулю. Однако это время ни минимально, ни максимально - оно постоянно. Именно по этой причине любой луч, вышедший из Fl, обязательно пройдет через F2, в какой бы точке зеркала он ни отразился. Убедиться в этом можно с помощью таких же рассуждений, какие были приведены в пункте 3[2].

Вообразим теперь зеркало S, касающееся эллипсоида в точке А, обращенное вогнутостью в ту же сторону, что и эллипсоид, но имеющее большую кривизну. Световой луч A после отражения от этого зеркала снова попадает в точку F2. Однако при смещении точки А по поверхности зеркала S длина ломаной AF2 уменьшается. Следовательно, время распространения света из  в F2 вдоль действительного пути максимально.


Наоборот, если взять зеркало S’ имеющее в точке касания меньшую кривизну, чем эллипсоид, или обращенное вогнутостью в противоположную сторону, то время распространения света вдоль действительного пути будет минимально. В частности, оно минимально при отражении от плоского зеркала. Допустим, наконец, что зеркало SAS' имеет в А точку перегиба. Тогда при смещении точки падения луча по поверхности этого зеркала время распространения либо увеличится, либо уменьшится, либо останется неизменным, в зависимости от направления смещения.

. Чтобы разобрать случай преломления, введем понятие анаберрационной поверхности[2]. Пусть точка Р находится в однородной среде с показателем преломления n, а точка Р' - в однородной среде с показателем преломления n' (рис. 8). Поверхность АА', вдоль которой среды граничат друг с другом, называется анаберрационной, если любая точка А этой поверхности удовлетворяет условию

n*РА + n'* АР' = С = const. (9)

Для случая преломления анаберрационная поверхность имеет форму так называемого картезианского овала. Он обращен вогнутостью в сторону более преломляющей среды (n' > n). Анаберрационная поверхность делит пространство на две части, обладающие следующим свойством. Если точка М расположена в менее преломляющей среде, то сумма n*РМ + n'*MP' больше С; если же она лежит в более преломляющей среде, то эта сумма меньше С.

Докажем следующую теорему. Луч света, вышедший из точки Р, после преломления на анаберрационной поверхности обязательно пройдет через точку Р'. Действительно, пусть РА - падающий луч, as - единичный вектор, направленный вдоль него. Соединим точку А с точкой Р' и обозначим через s' единичный вектор, направленный вдоль прямой АР'. По определению анаберрационной поверхности вариация оптической длины ломаной РAР' при смещении точки А по анаберрационной поверхности будет равна нулю. Поэтому, применяя такие же рассуждения, какие были проведены в пункте 2, найдем, что вектор ns - n's' перпендикулярен к анаберрационной поверхности в точке А. Отсюда следует, что АР' дает направление преломленного луча.

Доказанной теореме можно дать также следующую формулировку. Если АА' - анаберрационная поверхность относительно пары точек Р и Р', то каждая из этих точек будет оптическим изображением другой при преломлении лучей на этой анаберрационной поверхности. При этом на угловую ширину пучка лучей не накладывается никаких ограничений.

Вернемся к исследованию характера экстремума оптической длины луча при преломлении. Наши рассуждения ничем не будут отличаться от рассуждений, проведенных выше для эллипсоидального зеркала. Допустим, например, что среды граничат друг с другом вдоль поверхности S (рис. 8), касающейся анаберрационной поверхности в точке A. Тогда падающий луч после преломления в точке А опять пройдет через точку Р'. Пусть поверхность S обращена вогнутостью в ту же сторону, что и анаберрационная поверхность, и имеет в точке касания большую кривизну. Тогда при смещении точки падения вдоль S она окажется в менее преломляющей среде. Следовательно, смещенный путь будет иметь меньшую оптическую длину, чем действительный: время распространения света вдоль действительного пути максимально. Напротив, когда кривизна поверхности S в точке касания А меньше кривизны анаберрационной поверхности, а также тогда, когда поверхность S обращена вогнутостью в противоположную сторону, то время распространения вдоль действительного пути минимально. В частности, оно Минимально при преломлении на плоской поверхности.


 (10)

. Вывод законов геометрической оптики из принципа Ферма

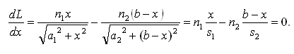
Пусть свет, исходя из точки Р. приходит в точку Q, преломляясь на плоской границе раздела двух сред (рис. 9).

Проведем через  и  плоскость нормально к границе раздела (плоскость падения). Любой путь. лежащий вне плоскости падения, проходится светом за большее время, чем путь , проведенный в плоскости падения так, чтобы О явилось следом перпендикуляра, опущенного из  на плоскость падения. Действительно, как в первой, так и во второй среде длины путей, проходящих через , соответственно больше, чем через O ( и ).

Итак, в согласии с принципом Ферма путь, требующий минимального времени, должен лежать в плоскости падения (первый закон преломления). Для того чтобы из всех путей от Р до Q, лежащих в плоскости падения, выбрать путь, требующий минимального времени, исследуем, как меняется это время в зависимости от положения точки О на линии пересечения плоскости падения и плоскости раздела.

Положение точки О определено длиной отрезка АО = х, где А - след перпендикуляра, опущенного из Р на плоскость раздела. Время распространения света по пути POQ есть

 (11)

где  и  - скорости света в первой и второй средах. Обозначив   , найдем, что

 (12)

Условие, определяющее, при каком значении х это время будет минимально, есть равенство нулю  Из него следует:

  (13)

т.е.

 (14)

или

 (15)

Таким образом, из принципа Ферма вытекает закон преломления световых лучей. Закон отражения лучей.

Пусть свет попадает из точки А в точку В, отразившись от поверхности MN (рис. 10). Среда, в которой проходит луч, однородна. Поэтому минимальность оптической длины пути сводится к минимальности его геометрической длины. Геометрическая длина произвольно взятого пути равна  (вспомогательная точка А' является зеркальным изображением точки A). Из рисунка видно, что наименьшей длиной обладаетпуть луча, отразившегося в точке О, для которого угол отражения равен углу падения. Заметим, что при удалении точки О' от точки О геометрическая длина пути неограниченно возрастает, так что в данном случае имеется только один экстремум - минимум.


Рассмотрим теперь отражение света от искривленной поверхности, касающейся плоскости в той точке О, в которой происходило бы отражение в случае плоскости (рис. 11). На рисунке показаны два примера таких поверхностей, изогнутых в противоположные стороны: IOI, касающаяся снизу, и IIОII, касающаяся сверху оси абсцисс. (Мы рассматриваем цилиндрические поверхности с образующими, перпендикулярными плоскости чертежа.)

Можно показать, что при этом достаточно рассматривать лучи, лежащие в плоскости рисунка, и сечения отражающих поверхностей плоскостью чертежа. Поэтому в дальнейшем будем говорить не об отражающей плоскости, а об отражающей прямой, не об отражающих кривых поверхностях, а об отражающих кривых линиях 101 и IIОII в плоскости рис. 11.

Для рассмотрения задачи не надо конкретных вычислений. Известно, что расстояние между кривой и касательной пропорционально где х0 обозначает абсциссу точки касания О.

Рассмотрим длины ломаных  и . Сами эти ломаные на рис.11 не показаны, чтобы не затенять чертеж, точки Оп , , как видно на рисунке, лежат правее точки касания О, при одном и том же значении х ; при этом Оп лежит на прямой, - на нижней линии I ,  - на верхней линии II. Видя на рисунке точки И, А, Оп, ,  , нетрудно представить себе и ломаные линии.

Абсциссы Оп ,,одинаковы. Ординаты Оп ,,отличаются на величину, пропорциональную . Следовательно, и длины отличаются только на величину, пропорциональную  Запишем разложения  в ряд Тейлора по степеням  :

 (16)

 (17)

 (18)

Раз  отличаются только на величину порядка , значит,

 (19)

Первые из этих равенств, суть очевидные следствия того, что все три линии - прямая П , кривая I и кривая II-проходят через одну точку О, х=х0.

Вторые равенства, получились благодаря тому, что в точке О указанные три линии касаются друг друга, а угол падения луча равен углу его отражения.

Мы знаем, что равенство нулю производной означает, что  как функции х могут иметь при х = х0 минимум или максимум. Будет ли это именно минимум, а не максимум, определяется знаком второй производной.

Для прямой мы имеем минимум, . Однако, мы видим из последнего уравнения, что отсюда нельзя сделать вывод для кривых линий I и II. В частности, для линии II при достаточной кривизне ее длина имеет в точке О, при х = х0, именно максимум, а не минимум. Благодаря подъему кривой II слева и справа от О путь , короче ИОА, путь ИОА является наиболее длинным из всех соседних путей из точки И в какую-либо точку линии II и оттуда в точку А.

Опыт показывает, что и в случае кривой II отражение происходит в точке О, т. е. в той точке, где длина пути имеет максимум; очевидно, в этой точке по-прежнему угол падения равен углу отражения.

Пользуясь принципом Ферма можно доказать теорему Малюса (т.е. ортотомная система лучей остается ортотомной после произвольного числа отражений и преломлений.)[5].

Доказательство. Система лучей называется ортотомной, если все лучи этой системы ортогональны к одной и той же поверхности.

Пусть все лучи перпендикулярны к поверхности F (рис.12). Проведем через каждую точку этой поверхности луч и отложим на нем отрезок постоянной (но произвольной) оптической длины L.


Геометрическим местом концов таких отрезков будет какая-то поверхность F'. Докажем, что все лучи рассматриваемой системы перпендикулярны к поверхности F', каково бы ни было значение величины L. Малые отрезки одного из лучей АС и С'А' могут считаться прямолинейными. Возьмем соседний бесконечно близкий луч и притом такой, что длины АВ и А'В' бесконечно малы по сравнению с АС и С'А'.

Соединим В с С и С' с В' прямолинейными отрезками. По принципу Ферма с точностью до бесконечно малых второго или высшего порядков (ВЕВ')=(ВСС'В'), а по построению (ВЕВ') = (АСС'А'). Таким образом, (ВСС'В')=(АСС'А'). Вычитая отсюда общую часть (СС'), получим: (АС)+(С'А')=(ВС)+(С'В'). Так как по условию отрезок АС перпендикулярен к АВ, то с точностью до второго порядка малости АС=ВС, а следовательно, (АС)=(ВС). Поэтому с той же точностью (С'А')=(С'В'), или С'А'=С'В', откуда следует, что С'A'  А'В'.

С точки зрения волновой теории теорема Малюса почти самоочевидна, Действительно, для ортотомной системы лучей поверхность F есть одна из поверхностей равной фазы (волновой фронт). Распространяясь по законам геометрической оптики, она продолжает оставаться поверхностью равной фазы, а совокупность лучей - ортогональной системой. Конечно, ортогональность может и не соблюдаться. Например, волны вида  при соблюдении принципа суперпозиции распространяются независимо друг от друга. Каждой из таких волн соответствует ортотомная система лучей. Однако совокупность лучей, соответствующих всем волнам, ортотомную систему, вообще говоря, не образует.

Пример применения принципа Ферма в объяснении некоторых физических явлений

«Увеличение» длительности дня. «Удлинение» дня на 7-8 мин также объясняется принципом Ферма[6]. Как известно, с удалением от земной поверхности происходит уменьшение атмосферного давления согласно барометрическому закону

 (20)

где  - давление на земной поверхности, p - давление на высоте z, k - постоянная Больцмана, Т - абсолютная температура, g - ускорение свободного падения, m - средняя масса молекул воздуха. Подобным же образом происходит уменьшение показателя преломления воздуха по мере удаления от земной поверхности. Поэтому солнечные лучи на заре и при закате распространяются не по прямой линии, а по пути с более крутым наклоном в плотных слоях атмосферы, сокращая тем самым свой путь в этих слоях. Поскольку предмет всегда виден в направлении прямолинейного продолжения луча, исходящего от него, то при восходе мы наблюдаем Солнце на несколько минут раньше, а при закате Солнце остается видимым в течение нескольких минут после его захода, «Удлинение» дня за счет этих явлений составляет 7-8 мин.

Мираж. Летом температура воздуха над поверхностью моря ниже, чем в более удаленных от его поверхности точках; другими словами, температура воздуха по мере удаления от поверхности моря увеличивается. Нагревание воздуха приводит к его расширению, а расширение, в свою очередь, - к уменьшению показателя преломления. Так как свет в теплых слоях проходит быстрее, чем в холодных, то в результате этого он распространяется по кривой траектории с наименьшим временем. Вот почему путь светового луча от некоторого плавающего летом в море предмета, например, лодки, искривляется и поэтому лодку мы видим как бы висящей в воздухе (рис. 13 а). По этой же причине летом, когда температура воздуха по мере удаления от поверхности земли уменьшается, на шоссейной дороге мы видим «воду» (в действительности - голубое небо), которое исчезает при приближении к данному месту (рис. 13 б).

Заключение

В работе был рассмотрен принцип Ферма как фундаментальный принцип вычисления времени прохождения световой волны через среду. Экстремальность данного принципа позволяет, в частности, при расчетах с однородными средами учитывать главным образом только точки преломления на границах среди показатели преломления. Выведены основные законы геометрической оптики, т.е. законы преломления и отражения света, рассмотрены следствия и прилежащие теоремы.

оптика свет волна преломление

Список литературы

1. В.Н. Самохин, Необходимое условие экстремума и вариационный принцип Ферма, Соросовский образовательный журнал №6 1999-127 с.

. Д.В. Сивухин, Оптика, 3-е изд. М.: Физматлит, 1980-752 с.

. Г.С. Ландсберг, Оптика, 6-е изд. М.: Физматлит, 1976-848 с.

. И.В.Савельев, Оптика, 3-е изд. М.: Наука; Физматлит, 1970-528 с.

. Б. Зельдович, А.Д, Мышкис, Элементы прикладной математики, 3-е изд. М.: Физматлит, 1972-592 с.

. Н.М. Годжаев, Оптика. М.: Высш. шк., 1977-432 с.

. Ю.А. Кравцов, Ю.И. Орлов, Геометрическая оптика неоднородных сред. М.: Наука, 1980-305 с.

. А.Н. Матвеев, Оптика. М.: Высш. шк., 1985-351 с.

. Р. Дитчберн, Физическая оптика М.: Физматлит.,1965-631 с.

. Луи де Бройль, Революция в физике. М.: Атомиздат,1965-113 с.

. Е.И. Бутиков, Оптика. М.: Высш. шк., 1986-512 с.

Похожие работы на - Вариационный принцип Ферма в оптике

 

Не нашли материал для своей работы?
Поможем написать уникальную работу
Без плагиата!
Без нейросетей!