Вариант определения напряженно-деформированного состояния упругого тела конечных размеров с трещиной
ВАРИАНТ
ОПРЕДЕЛЕНИЯ НАПРЯЖЕННО-ДЕФОРМИРОВАННОГО СОСТОЯНИЯ УПРУГОГО ТЕЛА КОНЕЧНЫХ
РАЗМЕРОВ С ТРЕЩИНОЙ
Введение
Исследование проблем прочности и разрушения
твердых тел в настоящее время является актуальной задачей, как в теоретическом,
так и в прикладном плане. Под разрушением понимается макроскопическое нарушение
оплошности тела в результате воздействия на него внешнего воздействия. В
настоящее время разрушение рассматривают на разных масштабных уровнях. И в этом
случае модель трещины определяет соответствующий математический аппарат для её
исследования.
Существуют два основных подхода для описания
модели трещины. Первый, заключается в представлении трещины в виде
математического разреза. Недостатком данного подхода является сингулярность поля
напряжения в вершине трещины. Введение в модель сил сцепления позволяет решить
эту проблему, однако эти внешние нагрузки устанавливаются a priori, без решения
соответствующей граничной задачи. Здесь стоит отметить работы Баренблатта [3,
50], Гольдштейна [14-20, 52], Лавита, который обобщил соответствующий подход на
случай упругопластического деформирования.
Основы описания трещины как математического
разреза были заложены английским ученым А.А. Гриффитсом. [54-55] Он предложил
энергетический подход для описания разрушения. Суть данного подхода состоит в
том, что для роста трещины необходимо, чтобы количество высвобождающейся
потенциальной энергии должно превышать поверхностную энергию необходимую для
преодоления сил взаимодействия слоев атомов. Этот подход называют
энергетическим критерием разрушения.
Из критерия разрушения Гриффитса следует, что
при достижении внешними нагрузками определенных критических значений трещина
может самопроизвольно расти без увеличения внешней нагрузки. Данный процесс
роста трещины называют неустойчивым, а сами трещины в этом случае называются
неравновесными.
Орован обобщил подход Гриффитса для материалов,
при разрушении которых в кончике трещины развиваются необратимые пластические
деформации. Было установлено, что пластические деформации сосредоточены в малой
зоне вблизи кончика трещины. Из этого было сделано предположение, что затраты
энергии в процессе создания новых поверхностей при развитии трещины главным
образом связаны с работой пластической деформации объемов материала,
расположенных перед фронтом трещины. Ирвин [31, 56-58] установил, что процесс
разрушения материала при распространении трещины обуславливается
напряженно-деформированным состоянием в окрестности вершины трещины, которое в
свою очередь, в линейно упругом теле определяется коэффициентом интенсивности
напряжений. Поэтому предполагается, что трещина распространяется при достижении
коэффициентом интенсивности напряжений некоторого критического значения.
Критические значения коэффициентов интенсивности напряжений являются
постоянными материала, характеризующими его трещиностойкость при заданной
температуре, внешней среде и т.п. Этот критерий разрушения получил название
силового критерия разрушения. Ирвином была показана эквивалентность силового
критерия разрушения энергетическому критерию Гриффитса.
В настоящее время интенсивно разрабатываются так
называемые нелокальные критерии прочности [23-25], в частности интегральный
критерий, или критерий средних напряжений. Этот критерий обычно связывают с
именами Г. Нейбера [41] и В.В. Новожилова [42-43].
Интегральный критерий применим как для гладких
(тупых), так и для сингулярных (трещиноподобных) концентраторов напряжений. В
отличие от традиционных критериев прочности, интегральный критерий дает
конечное значение критического напряжения при использовании сингулярного
решения линейной теории упругости.
В настоящее время активно развивается моментная
теория упругости и ее применение в теории трещин. Однако, отсутствие оценок
введенного линейного параметра для конкретных материалов не дает право
применению соответствующей теории в практике расчетов поврежденных
конструкционных материалов.
Второй подход представляет трещину как
физический разрез с характерной толщиной. Здесь отметим работы Прандтля,
Гудьера, Канинена, где на продолжении физического разреза вводится слой со
связями типа пружин, работающих на растяжение и сжатие. В работе Прандтля [60]
рассматриваются два упругих тела (балки), скрепленные по всей длине за
исключением конечного отрезка (трещины) поперечными упругими связями, хрупко
разрушающимися по достижении некоторого удлинения, и принимаются условия
предельного равновесия такой системы под действием равномерно распределенных
отрывающих усилий. В модели отсутствует сингулярность, но ее применимость
ограничена нормальным отрывом.
Отметим, что для трещин в виде математического и
физического разрезов может быть применен критерий J-интеграла,
предлагаемый Черепановым [48] и Райсом [61-63] для хрупких материалов и
обобщенный в работах в случае упругопластического деформирования.
Возможность описания трещины в виде физического
разреза дается в работе Ф. Маклинтока [30, 59], однако, выбор величины
характерного размера физического разреза, а также постановок соответствующих
задач механики сплошной среды в данной работе и последующих работах автора не
приведено.
В случае использование модели трещины в виде
физического разреза, решение задачи о нахождении напряженного состояния будет
обусловлено формой кончика разреза. Форму кончика трещины в различных случаях
считают прямоугольной, клиновидной или эллиптической. При выборе различных форм
кончика трещины получаются различные результаты.
Таким образом, целесообразным представляется
актуальным рассмотрение модели, в которой напряженное состояние в окрестности
кончика трещины не будет зависеть от его формы, и при этом в окрестности
вершины трещины не возникает сингулярности, в отличие от математического
разреза.
В работах В.В. Глаголева и А.А. Маркина была
предложена модель трещины в виде физического разреза и материального слоя на
его продолжении. Напряженное состояние слоя описывается средними и граничными
напряжениями, связанными условиями равновесия. Использование средних по толщине
слоя напряжений позволяет отказаться от рассмотрения формы окончания
физического разреза. В статье [8] на основе предложенной модели была предложена
постановка и решена задача о развитии тонкой пластической области в окрестности
трещины при нагружении нормальным отрывом.
Таким образом, является актуальным является
развитие моделей трещины, в которых отсутствует сингулярность напряжений, что
позволяет в рамках естественных критериев механики сплошной среды определить
момент перехода в состояние пластичности. В данной работе на основе модели [13]
рассмотрена вариационная постановка задачи об определении
напряженно-деформированного состояния тела конечных размеров с трещиной.
Методом конечного элемента представлены решения для частных случаев нагружения.
Найдены области, согласно критерию Треска - Сен-Венана, переходящие в состояние
пластичности.
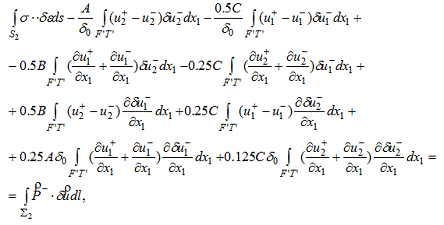
1. Постановка задачи
На Рис. 1 представлено тело с
трещиной в виде физического разреза с толщиной
и неопределенной границей его
окончания. Процесс нагружения предполагаем квазистатическим и изотермическим.
Воспользуемся следующими обозначениями для
напряжений на границах слоя:
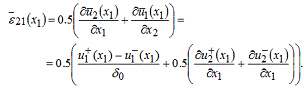
,
,
Рис. 1.1. Тело с трещиной.
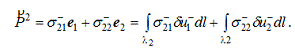
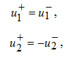
Принимаем, что векторы напряжений на сопряженных
границах слоя равны и противоположны векторам напряжений сопряженных границ
тела. Имеет место жесткое сцепление между границами и непрерывность функции
перемещения по границе слоя.
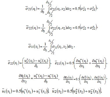
В слое 3 средние напряжения, деформации и перемещения
определяем через их граничные значения следующим образом [13]:
где
,
- вектора перемещения верхней и
нижней границы области 3.
Из выражений приходим к
представлению средней сдвиговой деформации вдоль слоя:
Напряжения по границе области 3
связаны со средними напряжениями условиями равновесия:
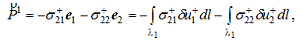
К внешней нагрузке, наряду с силой
относим и
нагрузку со стороны слоя 3 на тело 1:
и тело 2:
Выразим граничные со слоем напряжения для тела 1
и 2:
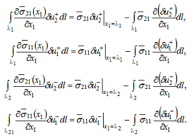
Запишем выражения
Преобразуем слагаемые, содержащие производную от
среднего напряжения.
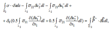
При отсутствии нагрузок по торцам слоя получаем:
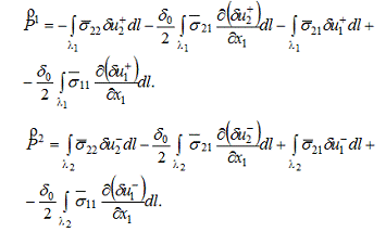
Подставим (1.23),(1.24) в (1.1), тогда решение
задачи о равновесии тела с трещиной сводится к совместному решению двух
вариационных уравнений [53] для тела 1:
и тела 2:
где
,
- верхняя и нижняя границы тела 3;
,
- контуры приложения внешней
нагрузки для тела 1 и 2.
Для решения уравнений (1.25) и
(1.26) необходимо замкнуть модель конкретными определяющими соотношениями,
связывающими напряжения с деформациями. В рамках данной работы связь между
напряжениями и деформациями представим в виде закона Гука:
В результате решения определяется поле
перемещений в телах 1 и 2, в том числе и по границе со слоем взаимодействия,
что позволяет с учетом найти средние деформации слоя.
Для решения вариационных уравнений
совместно с определяющими соотношениями предлагается использовать метод
конечного элемента с линейной аппроксимацией поля перемещений. Предполагается,
что размер грани конечного элемента соизмеримы с введенным параметром
.
В предлагаемой модели трещины
основным параметром для конкретного материала является масштабный параметр
. Решение
задачи о нахождении НДС в теле с трещиной может быть получено при произвольной
внешней нагрузке.
В работе [53] показано, что введенный линейный
размер может быть получен из эксперимента по податливости образца с трещиной в
режиме упругого деформирования. В статьях [6], [53] даны оценки толщины слоя
через известные механические характеристики материала.
Рассмотрим образец с трещиной, показанный на
рис. 1.2, со следующими геометрическими характеристиками:
Рис. 1.2. Конфигурация образца
На примере образца Рис.2 смоделируем
известные в механике виды деформирования типа разрушения по моде I и моде II для
материала со следующими механическими характеристиками:
Па,
Па. После
нахождения НДС в элементах слоя и сопряженных с ним тел определяются элементы с
максимальным касательным напряжением [21]:
где
- главные напряжения тензора
напряжений.
Максимальное касательное напряжение
согласно критерию Треска-Сен-Венана будет определять тенденцию к началу
развития пластической зоны. Для решения данной задачи используем метод конечных
элементов.
2. Решение задачи
2.1 История развития метода конечных элементов
Возникновение метода конечных элементов связано
с решением задач космических исследований в 1950-х годах (идея МКЭ была
разработана советскими учёными ещё в 1936 году, но из-за неразвитости
вычислительной техники метод не получил развития). Этот метод возник из
строительной механики и теории упругости, а уже затем было получено его
математическое обоснование. Существенный толчок в своём развитии МКЭ получил в
1963 году после того, как было доказано то, что его можно рассматривать как
один из вариантов распространённого в строительной механике метода Рэлея-Ритца,
который путём минимизации потенциальной энергии сводит задачу к системе
линейных уравнений равновесия. После того, как была установлена связь МКЭ с
процедурой минимизации, он стал применяться к задачам, описываемым уравнениями
Лапласа или Пуассона. Область применения МКЭ значительно расширилась, когда
было установлено (в 1968 году), что уравнения, определяющие элементы в задачах,
могут быть легко получены с помощью вариантов метода взвешенных невязок, таких
как метод Галёркина или метод наименьших квадратов. Это сыграло важную роль в
теоретическом обосновании МКЭ, так как позволило применять его при решении
многих типов дифференциальных уравнений. Таким образом, метод конечных
элементов превратился в общий метод численного решения дифференциальных
уравнений или систем дифференциальных уравнений.
К семидесятым годам относится появление
математической теории конечных элементов. Здесь можно выделить труды И. Бабушки,
Р. Галлагера, Ж. Дек-лу, Дж. Одена, Г. Стренга, Дж. Фикса. Значительный вклад в
разработку теоретических основ МКЭ внесли и российские ученые. В.Г. Корнеев
указал на совпадение математической сущности МКЭ и ВРМ. Сопоставление МКЭ с
рядом вариационных методов приведено в трудах Л.А. Розина. Под руководством
А.С. Сахарова разработана моментная схема конечных элементов.
С развитием вычислительных средств возможности
метода постоянно расширяются, также расширяется и класс решаемых задач.
Практически все современные расчёты на прочность проводят, используя метод
конечных элементов.
.2 Метод конечных элементов. Введение локальной
и глобальной нумерации узлов
Метод конечных элементов есть способ
аппроксимации непрерывной функции дискретной моделью, представляющей собой
множество значений заданной функции в конечном числе точек области ее
определения в совокупности с кусочными аппроксимациями этой функции этой
функции на конечном числе подобластей. Данные области называются конечными
элементами. Локальная аппроксимация на каждом конечном элементе единственным
образом определяется значением этой функции в конечном числе предварительно
выбранных точек области ее определения. Таким образом, при построении конечно
элементной модели заданной функции поступают следующим образом:
. В области определения функции фиксируют
конечное число точек и определяют значения функции в этих точках. Выбранные
точки носят название узловых точек или узлов.
. Заданную функцию локально
аппроксимируют на каждом конечном элементе непрерывными функциями, однозначно
определяемыми значениями функциями в узловых точках, принадлежащих этим
элементам.
Важной особенностью метода конечных элементов
является то, что первоначально при локальной аппроксимации функции на конечных
элементах их можно рассматривать независимо друг от друга. Это означает, что
каждый элемент можно считать совершенно изолированным от всей совокупности и
аппроксимировать функцию на этом элементе с помощью ее значений в узлах
независимо от того, какое место займет рассматриваемый элемент в связанной
модели, и от поведения функции на других конечных элементах.
На Рис. 2.1 рассмотрим область АВСDF
и аппроксимируем ее совокупностью трех треугольных подобластей вершины, которых
могут быть пронумерованы используя либо глобальную, либо локальную нумерацию на
каждом отдельно взятом элементе.
Рис. 2.1. Расположение области на плоскости.
На Рис. 2.1 каждой вершине области поставлен в
соответствие ее глобальный номер, указанный в круглых скобках. Координаты
глобального узла однозначно определяют положение точки на плоскости.
Рассмотрим область АВСDF
в виде совокупности отдельных элементов. Соответствующее представление показано
на рис. 2.2. В этом случае для каждого отдельного элемента можно ввести свою
локальную нумерацию. Полагаем, что направление обхода при локальной нумерации
одинаково для всех элементов модели и при дальнейшем изложении будем вести ее
против часовой стрелки.
На Рис. 2.2 для каждого элемента показан
глобальный номер его образующих вершин и соответствующая локальная нумерация в
круглых скобках. Отметим, что начало локальной нумерации для вершин элемента не
имеет принципиального значения.
Рис. 2.2. Элементы области.
Таким образом, для однозначного
определения положения узла необходимо указать либо его глобальный номер, либо
локальный номер в паре с номером рассматриваемого элемента. Так узловая точка F может быть
идентифицирована как глобальный узел 2 или локальный узел 3 третьего конечного
элемента. В дальнейшем при определении координат узлов мы будем использовать
как глобальную, так и локальную нумерации. В этом случае верхние индексы
координаты будут определять номер элемента и номер его локального узла, а
нижние индексы соответственно номер координатной оси и номер глобального узла.
Обозначение
рассматривает
k-ый конечный
элемент, его m-ый
локальный узел, i-ую координатную ось, l -ый
глобальный узел. Введенного обозначения будем придерживаться и для
идентификации перемещений узловых точек.
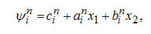
Основным неизвестным при решении
задач теории упругости является вектор перемещения
. Следуя
идеологии метода конечного элемента, для каждого дискретного элемента вводится
локальная аппроксимация определённой на области функции. Их количество
соответствует числу узлов элемента. Таким образом, аппроксимация поля
перемещения на элементе через функции формы и узловые значения перемещений
определяется в виде [37, 45]:
где по одинаковому индексу,
расположенному вверху и внизу двух стоящих рядом переменных подразумевается
суммирование.
Наиболее простой способ получения
соответствующих зависимостей рассмотрение линейной зависимости на каждом локальном
элементе. В этом случае локальные функции формы элемента определяются в виде
линейной функции:
где
- постоянные i-ой функции
формы для n-ого
элемента.
Для однозначного определения трех
постоянных
необходимо
и достаточно, чтобы элемент имел три узла. Поэтому треугольный элемент на
плоскости допускает только линейную локальную аппроксимацию и соответствующий
тип элемента в теории конечных элементов носит название симплекс-элемента.
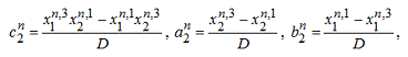
Найдем постоянные
через
узловые координаты элемента. По свойству функции формы для
имеем:
Решая систему приходим к выражениям:
.
Для остальных функций форм получаем
следующие значения постоянных:
Найдем выражения деформаций для n-ого
элемента:
где по индексу i ведется
суммирование
.
Отметим, что в пределах
симплекс-элемента деформации (2.7)-(2.9) принимают постоянные значения.
.3 Равновесие конечного элемента
Предполагаем, что процесс
деформирования квазистатический и изотермический [32, 33]. Рассмотрим условие
равновесия n-ого
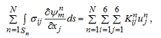
изолированного конечного элемента в виде вариационного принципа Лагранжа:
где
- тензор напряжений;
- набла-оператор;
- площадь элемента;
- контур, ограничивающий элемент;
- вектор внешней нагрузки. Левая
часть соотношения определяет работу внутренних напряжения элемента на возможных
перемещениях, а правая часть - работу внешней нагрузки по контуру элемента.
Рассмотрим правую часть соотношения:
где по повторяющимся индексам
подразумевается
суммирование.
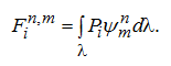
Введем следующее обозначение:
Величина
обозначает
-ю проекцию
узловой силы в
-ом узле
конечного элемента. Соотношение позволяет при заданной внешней нагрузки и
геометрии конечного элемента свести распределенную внешнюю нагрузку к узловым
точкам элемента. С учетом определения запишем соотношение в следующей форме:
где
;
; по соответствующим повторяющимся
индексам производится суммирование; n - номер
изолированного элемента.
Преобразуем работу внутренних
напряжений конечного элемента в левой части соотношения:
Приравнивая члены при равных
вариациях, приходим к уравнениям равновесия конечного элемента:
Запишем в виде соответствующей
системы из шести уравнений:
Представим связь между напряжениями
и деформациями в виде закона Гука:
Отметим, что подынтегральные выражения
являются постоянными и могут быть вынесены за знак интеграла. Площадь конечного
элемента обозначим через
. Перепишем
первое уравнение системы сгруппировав слагаемые перед соответствующими узловыми
перемещениями:
Из аналитической геометрии известно,
что площадь треугольника на плоскости может быть вычислена как определитель
матрицы, составленный из координат вершин треугольника:
с учетом, что нумерация вершин
треугольника осуществляется против часовой стрелки. При нумерации в обратном
направлении соответствующий определитель будет иметь отрицательное значение.
Этим фактом в принципе и объясняется договоренность о выборе направления
локальной нумерации узлов, хотя на результат расчетов это никак не влияет.
Естественно, что направление нумерации должно быть одним и тем же для всех
элементов конечноэлементной модели.
Запишем связь между узловыми
перемещениями и узловыми силами для n-ого
конечного элемента в матричном виде:
По сложившейся терминологии матрица
носит
название матрицы жесткости элемента. При заданном векторе узловых сил из
уравнения может быть найден вектор узловых перемещений. Отметим, что в узловой
точке могут быть заданы узловые перемещения, а так же узловая сила в одном
направлении и узловое перемещение в направлении ему ортогональном. В этих
случаях необходимо преобразовать систему, перенеся неизвестные компоненты
узловых сил в левую часть системы, а вычисляемые компоненты левой части в
столбец свободных членов. При задании узловых компонент для конечного элемента
необходимо помнить, что граничные условия должны обеспечивать равновесие
конечного элемента.
.4 Равновесие системы конечных
элементов
Как правило, реальные конструкции
состоят более чем из одного элемента. В этом случае условие равновесия
конечного элемента переносится на каждый элемент из ансамбля конечных
элементов, образующих деформируемое тело. Таким образом, равновесие тела
определяется следующим уравнением:

- площадь
-ого
конечного элемента.
Однако, напрямую применение
нецелесообразно, т.к. для каждого элемента имеем шесть уравнений, и необходимо
систему дополнить связями на локальные узловые перемещения и узловые силы.
Поэтому применяют переход от локальной нумерации перемещений и узловых сил к
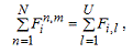
глобальной. Рассмотрим соответствующее преобразование для правой части системы:
где
- количество узлов в глобальной
модели;
.
Под проекцией глобальной узловой
силы
подразумевается
сумма всех локальных проекций узловых сил принадлежащих данному узлу. В
качестве примера рассмотрим конечноэлементную модель, показанную на рисунках 1
и 2. Глобальный узел 2 является общим для трех элементов. Для первого элемента
он совпадает с первым локальным узлом, для второго - с его первым локальным узлом,
а для третьего элемента - с третьим локальным узлом. Отметим, что если
глобальный узел является внутренним, то
.
В силу непрерывности вектора
перемещений в точке связи конечных элементов запишем правую часть соотношения
через глобальные узловые перемещения:
где
компоненты вектора глобальных
перемещений;
связаны к с
глобальными узловыми перемещениями следующим образом:
,
- номер координатной оси,
-
глобальный номер узла;
- локальная матрица жесткости
элемента в котором вершины имеют глобальную нумерацию.
Локальная матрица жесткости
имеет размерность
. Компоненты
матрицы равны нулю за исключением тридцати шести компонент соответствующих
матрице
, образуемой
при использовании локальной нумерации узлов.
Из представления получаем связь между матрицами
жесткости элементов и глобальной матрицей жесткости:
Таким образом, приходим к следующему алгоритму
сборки матрицы жесткости:
. Триангулировать заданную область.
Ввести локальную и глобальную нумерацию узлов элементов.
. Для каждого элемента определить
локальные функции формы
3. Определить коэффициенты
локальной матрицы жесткости
для каждого элемента.
. Зная количество глобальных
узлов
,
сформировать
матрицу
размером
.
. Преобразовать локальные
матрицы жесткости
в матрицы
жесткости
размерности
.
. Провести суммирование
матриц жесткости элементов согласно формуле.
После формирования глобальной
матрицы жесткости необходимо определить вектор узловых сил
с
компонентами
размерностью
. При этом
нужно учесть, что для некоторых узловых точек, в силу граничных условий,
компоненты узловых сил могут являться искомыми величинами.
Вектор перемещений
системы
является решением задачи линейной теории упругости методом конечного элемента в
том случае, если граничные условия ставятся в напряжениях. При смешанных
граничных условиях или при заданных граничных перемещениях необходимо
преобразовать систему, по аналогии с системой, сгруппировав неизвестные задачи
в векторе столбце
. В этом
случае матрица жесткости и столбец свободных членов модифицируются следующим
образом:
. Известная компонента
вектора узлового перемещения, например стоящая в
-ой строке системы, умножается на
коэффициент матрицы жестокости
и переносится с обратным знаком в
столбец свободных членов для соответствующих уравнений. Получаемый таким
способом столбец свободных членов обозначим через
.
. Неизвестная компонента
вектора узловой силы в данном случае занимает
-ую позицию в векторе столбце
. В матрице
жесткости
-ый столбец
обнуляется за исключением
-ого
элемента, где ставится (-1). Модифицированную матрицу жесткости назовем
.
В итоге решение задачи сводится к решению
следующей системы уравнений:
После нахождения поля узловых перемещений через
функции формы определяются компоненты линейного тензора деформаций.
.5 Ошибки метода конечных элементов
Наряду с обычными ошибками округления и
погрешностью приближенных методов линейной алгебры, применяемых в МКЭ, есть и
ошибки, имеющие непосредственное отношение к методу конечных элементов:
ошибки дискретизации, являющиеся результатом
различий между действительной геометрией рассчитываемой области и ее аппроксимацией
системой конечных элементов;
ошибки аппроксимации, обусловленные разностью
между действительным распределением искомых функций в пределах КЭ и их
представлением с помощью аппроксимирующих функций.
Ошибки дискретизации уменьшаются с увеличением
числа конечных элементов и соответственно с уменьшением их размеров, причем они
стремятся к нулю, когда размер элемента стремится к нулю. Эти ошибки
уменьшаются и с применением криволинейных элементов на соответствующих границах
области. Ошибки аппроксимации не обязательно уменьшаются по мере уменьшения
размеров элементов или повышения степени аппроксимации, поэтому могут ухудшать
сходимость к точному решению или даже приводить к расходимости. Однако эти
ошибки можно свести к минимуму, если при построении аппроксимирующих функций
обеспечить:
) непрерывность искомой функции и ее производных
в области КЭ до степени m-1
включительно (m - наибольший
порядок производных искомой функции, используемых в качестве основных
неизвестных в эрмитовых элементах);
) выполнение условий полноты, т. е. при
уменьшении размеров КЭ аппроксимирующие функции должны обеспечить стремление
значений искомой функции, а также ее производных к постоянным значениям;
) выполнение условий совместности искомой
функции и частично ее производных на границе между смежными элементами;
) приближенное удовлетворение условий
совместности не основных переменных (например, напряжений, если основные
неизвестные - перемещения) на границах КЭ, а также граничных условий в
рассматриваемой области;
) исключение концентрации напряжений в КЭ, если
в рассматриваемой области такие концентрации заведомо отсутствуют;
) при перемещениях КЭ как жесткого целого в нем
не должны возникать деформации.
Требование полноты аппроксимирующих функций
необходимо для учета смещения КЭ как жесткого целого и обеспечения состояния
постоянных деформаций в элементе. Механический смысл совместности заключается в
непрерывности основных неизвестных на смежных границах соседних КЭ.
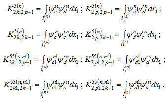
3. Результаты расчетов
.1 Использование метода конечных элементов для
решения задачи
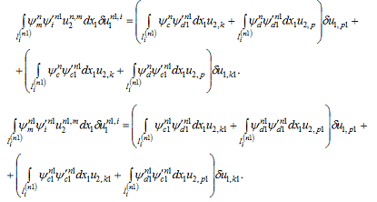
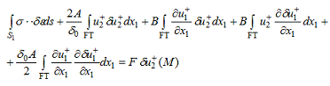
Рассмотрим образец на рис. 1.2. Используя
представления, запишем в следующем виде:
Рассмотрим первое слагаемое левой части.
Пусть при конечно-элементном разбиении граница
со слоем FT
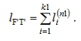
представлена совокупностью k1
граней k1 конечных
элементов:
где
- длина грани n-го конечного
элемента, лежащей на сегменте FT с координатами
и
. Для грани
аналогично:
Второе слагаемое левой части (3.1)
на n-ом элементе
запишем следующим образом:
Обозначим номера локальных узлов,
лежащих на грани FT n-го элемента
через d и c, а
соответствующую им глобальную нумерацию - значениями p, k. Для
локальных узлов, лежащих на грани
n1-го
элемента через d1 и c1, а
соответствующую им глобальную нумерацию - значениями p1, k1.
В правых частях по переменным d,d1 и c,c1
суммирование не ведется. Используем глобальную нумерацию узлов:
где матрицы
и
размера
имеют все
нулевые элементы за исключением:
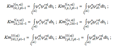
Введем следующее обозначение:
где суммирование ведется по k1 элементам,
грани которых образуют границу FT.
Запишем третье слагаемое левой части
на n-ом
элементе:
Используя глобальную нумерацию
узлов:

Под верхним штрихом понимаем первую
производную по переменной
.Определяем
матрицу
:
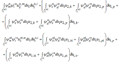
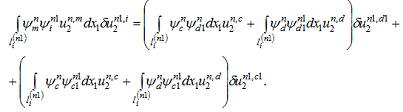
Для пятого слагаемого в левой части на n-ом
элементе:
Используя глобальную нумерацию узлов:
Вводим в рассмотрение матрицы
и
, со
следующими ненулевыми компонентами:
и, соответственно, матрицу
:
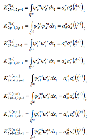
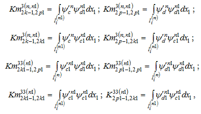
Для седьмого слагаемого левой части
определяем матрицы
и
, с
ненулевыми компонентами:
и матрицу
:
Для второго, четвертого, шестого и
восьмого слагаемых будем иметь:
Второе слагаемое на n1-ом
элементе запишем следующим образом:
Используем глобальную нумерацию
узлов:
где матрицы
и
размера
имеют все
нулевые элементы за исключением:
Введем следующее обозначение:
где суммирование ведется по k1 элементам,
грани которых образуют границу
.
Запишем третье слагаемое левой части
(3.2) на n1-ом
элементе:
Используя глобальную нумерацию
узлов:
По аналогии с матрицами
и
для
третьего слагаемого левой части вводим матрицу
и
, для которых запишем элементы,
отличные от нуля:
где под верхним штрихом понимаем
первую производную по переменной
.
Определяем матрицу
:
Для пятого слагаемого в левой части
на n1-ом
элементе:
Используя глобальную нумерацию
узлов:
Вводим в рассмотрение матрицы
и
, со
следующими ненулевыми компонентами:
и, соответственно, матрицу
:
Для седьмого слагаемого левой части
определяем матрицы
и
, с
ненулевыми компонентами:
и матрицу
:
Для второго, четвертого, шестого и
восьмого слагаемых будем иметь:
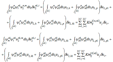
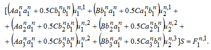
Таким образом, матрица жесткости для
уравнения определяется в виде:
где
.
Глобальная матрица жесткости будет
равна:
Определим соответствующие
коэффициенты:

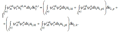
3.2 Моделирование трещины нормального отрыва
В этом случае в точках
и
приложим
равные по модулю и противоположные по направлению силы. Точки
и
закрепим от
перемещений. Таким образом, для образца на Рис.1.2 имеем следующие граничные
условия:
для точки
;
для точки
;
для точки
;
для точки
;
вся остальная поверхность тела
свободна от напряжений.
В силу симметрии задачи достаточно
рассмотреть половинку тела 1. В этом случае имеют место следующие условия для
границ слоя:
С учетом (3.35) и (3.36) из (1.8) в
слое
. Получаем:
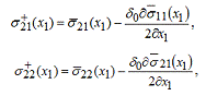
На рис. 3.1 приведены значения
средних напряжений по длине элемента слоя взаимодействия. Напряжения на
графиках отнесены к максимальному касательному напряжению
. Координата
определяет
расстояние от вершины трещины, график 1 - напряжение
, график 2 -
напряжение
, график 3 -
напряжение
. Из
приведенной зависимости видно, что в окрестности трещины нормального отрыва при
плоской деформации реализуется высокое гидростатическое растяжение.
Рис. 3.1. Распределение напряжений в слое в
состоянии плоской деформации
Рис. 3.2. Форма пластической зоны.
На рис. 3.2 показан элемент образца,
где касательные напряжения достигают максимального значения для плоского
деформированного состояния. В этой области согласно критерию Треска - Сен-Венана
начинается развитие пластического деформирования. Значение параметра силы, при
котором образуется зона пластичности Рис. 3.2 обозначим через
, а значение
максимального касательного напряжения через
.
Рис. 3.3. Распределение напряжений в
слое в плоском напряженном состоянии.
На рис. 3.3 приведены значения
средних напряжений по длине элемента слоя взаимодействия в концевой зоне
трещины для плоского напряженного состояния. Напряжения на графиках отнесены к
максимальному касательному напряжению
. В отличие от плоского
деформированного состояния, значение максимального касательного напряжения
будет
, при
нагрузке равной
. Для
плоского напряженного состояния тенденция к началу развития пластической зоны
также будет соответствовать Рис.3.2.
3.3 Моделирование трещины типа моды II
Для рассматриваемого модельного
представления трещины нагружение по моде II должно
приводить к следующему напряженному состоянию в образце Рис.1.2: средние
напряжения в слое взаимодействия должны удовлетворять условиям:
;
;
. В областях
1 и 2 вне слоя взаимодействия должна наблюдаться симметрия по напряжениям
и
антисимметрия по напряжениям
,
. Добиться соответствующего
напряженного состояния возможно приложив к точкам
и
равные по
модулю и противоположно направленные горизонтальные силы. При этом грани 
и 
должны быть закреплены от
вертикальных перемещений. Для образца на рис. 3.3 имеем следующие граничные
условия:
для точки
;
для точки
;
для грани
;
для грани
;
вся остальная поверхность тела
свободна от напряжений.
В данном случае в силу антисимметрии
нагружения:
На рис. 3.4 приведены значения
среднего напряжения
для слоя в
концевой зоне трещины.
Рис. 3.4. Распределение напряжений в
слое.
Рис. 3.5. Форма пластической зоны
для плоского деформированного состояния
Для плоского напряженного состояния
значение
будет
достигаться при силе равной
, в силу того, что основной вклад в
напряженное состояние концевой области трещины моды II определяют
касательные напряжения. На Рис.3.5 показан элемент с которого начинается
развитие пластического состояния в концевой зоне трещины для плоского
деформированного состояния. Результат для плоского напряженного состояния
практически повторяет рассмотренный выше, что обусловлено отсутствием
гидростатической составляющей тензора напряжений в слое.
Заключение
трещина физический
твердый тело
Предлагаемый подход расчета НДС для
тел с трещиноподобным дефектом, основанный на концепции слоя взаимодействия,
позволяет в отличии от традиционного представления трещины в виде
математического разреза, не только определять момент нахождения предельного
состояния начала разрушения, но и находить критическую нагрузку начала
пластического деформирования в рамках естественных критериев механики сплошной
среды.
Список литературы
1. Аэро Э.Л. Существенно
нелинейная микромеханика среды с изменяемой периодической структурой // Успехи
мех. 2002. - №3. - С. 13-176.
. Аэро Э.Л., Кувшинский Е.В.
Континуальная теория асимметрической упругости. Равновесие изотропного тела //
ФТТ. 1964. - Т. 6, вып.9. - С. 2689-2699.
. Баренблатт Г.И.,
Христианович С.А. О модуле сцепления в теории трещин // Инженерный журнал.
Механика твердого тела. 1968. - № 2. - С. 69-75.
. Белов, П.А., С.А. Лурье.
"Общая теория дефектов сплошных сред." Механика композиционных
материалов и конструкций. 9.4 2003 C: 210-222.
. Буханько А.А., Хромов А.И.
Пластическое течение в окрестности вершины трещины. Энергетический критерий
разрушения и его связь с J-интегралом // Прикладная механика и техническая
физика. 2012 - №6 - С. 112-120
. Гаврилкина М.В., Глаголев
В.В., Маркин А.А. К решению одной задачи механики разрушения // Прикладная
механика и техническая физика. - Т. 48.- №4.
- 2007. - С. 121-127.
. Глаголев В.В., Кузнецов
К.А., Маркин А.А. Модель процесса разделения деформируемого тела // Изв. РАН.
МТТ. 2003. - № 6. - С.61-68.
. Глаголев В.В., Маркин А.А.
Об одной постановке задачи упругопластического разделения // Прикладная
механика и техническая физика. - 2009. - Т. 50 - №4. - С. 187-195.
. Глаголев В.В., Маркин А.А.
Модель установившегося разделения материального слоя // Изв. РАН. МТТ. 2004. №
5. С. 121-129.
. Глаголев В.В., Маркин А.А.
Об одном способе определения связей между критическими значениями характеристик
процесса установившегося разделения материала // Проблемы прочности. 2006. -
№2. - С. 47-58.
. Глаголев В.В., Маркин А.А.
Определение термомеханических характеристик процесса разделения // Известия
РАН. Механика твердого тела. - №6. - 2007. - С. 101-112.
. Глаголев В.В., Глаголев
Л.В., Кунашов Н.Д. Продольный сдвиг в рамках дискретного подхода к разрушению//
Вестник Чувашского государственного педагогического университета. Серия:
Механика предельного состояния. - №4(14) - 2012. - С. 17-25.
. Глаголев В.В., Маркин А.А.
Нахождение предела упругого деформирования в концевой области физического
разреза при произвольном нагружении его берегов // Прикладная механика и
техническая физика. - 2012. - Т. 53 - №5. - С. 174-183.
. Гольдштейн Р.В., Осипенко
Н.М. Структуры разрушения в окрестности макроразрыва продольного сдвига //
Известия РАН. Механика твердого тела 2012. - № 5 - Страницы 22-34
. Гольдштейн Р.В., Осипенко
Н.М. Инициирование разрушения на контакте при сдвиге // Известия РАН. Механика
твердого тела. 2013. № 4. С. 72-79.
. Гольдштейн Р.В.,
Перельмутер М.Н. Рост трещин по границе соединения материалов // В кн.:
Проблемы механики. Сб. статей. - М.: ФИЗМАТЛИТ. - 2003. - С. 221-239.
. Гольдштейн Р.В., Сарычев
М.Е. Влияние дислокаций на критерий роста трещин по границе соединения
деформируемых материалов // Известия РАН. Механика твердого тела. 2006. - № 1.
- С. 125-135.
. Гольдштейн Р.В., Шаталов
Г.А. Моделирование процессов разрушения в рамках обобщенной модели
атомистической трещины нормального отрыва // Известия РАН. Механика твердого
тела. 2006. - № 4. - С. 151-164.
. Гольдштейн Р.В., Шифрин
Е.И. О возможной искривления трещины нормального отрыва в анизотропной
плоскости // Известия РАН. Механика твердого тела. 2006. - № 6. - С. 173-182.
. Гольдштейн Р.В., Шифрин
Е.И. О возможной неустойчивости прямолинейного пути трещины в ортотропной
плоскости в условиях одноосного нормального растяжения // Известия РАН.
Механика твердого тела. 2007. = № 3. - С. 33-45.
. Качанов Л.М. Основы теории
пластичности. - М - Гостехиздат,
1956. - 324 c.
. Клевцов Г.В., Ботвина Л.Р.
Микро- и макрозона пластической деформации как критерии предельного состояния
материала при разрушении // Проблемы прочности. - 1984. - №4. - С. 24-28.
. Корнев В.М. Обобщенный
достаточный критерий прочности. Описание зоны предразрушения // ПМТФ. 2002. -
Т. 43, - № 5. - С. 153-161.
. Корнев В.М. Распределение
напряжений и раскрытие трещин в зоне предразрушения (подход Нейбера-Новожилова)
// Физическая мезомеханика. 2004. - Т. 7. - № 3. - С. 53-62.
. Корнев В.М., Кургузов В.Д.
Многопараметрический достаточный критерий квазихрупкой прочности для сложного
напряженного состояния // Физическая мезомеханика. 2006. - Т. 9. - № 5. - С.
43-52.