Водовідведення. Очистка стічних вод міста
Пояснювальна
записка
до курсового
проекту
на тему
«Водовідведення. Очистка стічних вод міста»
Вихідні данні
. Добова кількість побутових стічних вод від населення: Qпоб =45
тис.м3/доб
. Норма водовідведення по місту: а=190 л/ос.доб
. Добова кількість промислових стічних вод підприємств, м3/добу:
Q1 =1300; Q2 =7200; Q3 =5400
. Концентрація завислих речовин в промислових стічних водах,г/м3:
С1 =180; С2 =165; С1 =450;
. Концентрація БСКпов в промислових стічних водах: г/м3:
L1 =160; L2 =310; L3 =240;
. Розрахункова температура стічних вод: Тсв =120С
. Максимальна розрахункова годинна витрата стічних вод міста: Qmax
=3060 м3/год
. Середня розрахункова годинна витрата стічних вод за час аерації
в аеротенку: Qсер.аер. =2910 м3/год
. Дозволені концентрації завислих речовин в стічних водах для
скидання після очисних споруд: Сдозв =15,5 г/м3
. Дозволений БСКпов в стічних водах для скидання після
очисних споруд: Lдозв =15,5 г/м3
. Розрахункова кінцева вологість підсушеного піску на пісковому
майданчику: Pnk =46%
. faz/fat =0,55
Визначення додаткових умовних параметрів до загальної
принципової схеми водовідведення міста
Кількість мешканців міста, ос:
Де
= 38000 м3/доб. - добова кількість
побутових стічних вод від населення;
=
165 л/ос.доб. - норма водовідведення по місту;
ос
Концентрація завислих речовин в побутових стічних водах від населення,
г/м3:
г/м3
Концентрація БПКпов в побутових стічних водах від населення
, г/м3:
г/м3
де 65 і 75 - відповідно, нормативна добова маса завислих речовин і
в стічних водах в розрахунку на 1 мешканця
(г/ос.доб.)
Загальна добова витрата побутових і промислових стічних вод міста, м3/доб:
де
- витрати стічних вод від підприємств;
м3/доб.
Концентрація завислих речовин в суміші побутових і промислових стічних
водах від населення, г/м3:
де
- добова витрата кожного підприємства;
-
концентрація завислих речовин для кожного підприємства;
г/м3
Концентрація БПКпов в суміші побутових і промислових стічних
водах від населення, г/м3:
де
-
для
кожного підприємства;
г/м3
Загальний перелік основних технологічних споруд
водовідведення місто пісковий майданчик
а) блок механічної очистки:
грати, пісковловлювачі, первинні відстійники;
б) блок біологічної очистки:
аеротенки чи біофільтри, вторинні відстійники;
в) блок знезараження:
хлораторна, змішувач, контактний резервуар;
г) блок обробки осаду:
мулозгущувачі, метантенки, газгольдери, вакуум-фільтри,
резервні мулові майданчики.
Розрахунок основних технологічних споруд
Розрахунок гратів
Визначаємо розрахункову секундну витрату стічних вод для
грат:
м3/с.
Діапазон розрахункової витрати на 1 грати при 2-х 3-х робочих
агрегатах:
Приймаємо 2 грати типу МГ-7Т; Нmax=0,9 м.
Для прийнятого типу грат:
- будівельна глибина каналу Нк=1200мм;
- кількість прозорів nпр=31;
- ширина прозора bпр=16мм;
- товщина стержнів Sст=8мм
- ширина каналу В=100мм;
- ширина каналу в місці
встановлення грат А=1140мм.
Загальна ширина прозорів:
.
Загальна корисна площа прозорів:
Швидкість руху води в прозорах при попередньо визначеній
кількості робочих грат:
.
Кількість затриманих на гратах забруднень, для чого
розраховуємо приведену кількість населення для загального потоку стічних вод
міста:
де
- умовна (еквівалентна) кількість мешканців, які
могли б внести таку ж
масу забруднень (завислих речовин), як весь сумарний потік промислових
стічних вод підприємств;
-
кількість мешканців міста.
Тоді загальна добова маса затриманих на гратах забруднень:
де
[л/ос.рік] - норматив затриманих на гратах забруднень
на 1 особу, знаходимо за [2] табл. 23;
[кг/м3]
- густина забруднень, згідно [2] п.5.13
Втрати напору на гратах:
де
- коефіцієнт місцевого опору:
-
коефіцієнт, що враховує забрудненість поверхні грат під час експлуатації.
.
Розрахунок пісковловлювачів
Приймаємо аеровані горизонтальні пісковловлювачі.
Для аерованого горизонтального пісковловлювача необхідно
визначити кількість відділень, їх ширину, глибину і довжину.
Згідно [3] табл. 11.4 можливі два типорозміри відділень, проаналізуємо
їх: (А) - ширина
м, глибина
м,
довжина
м.
(Б) - ширина
м, глибина
м,
довжина
м.
Дозволений діапазон швидкості води в максимальній витраті складає
,08…0,12 м/с.
Визначаємо діапазон можливих витрат стічної води через 1 відділення для
обох варіантів типорозмірів:
,
м3/год
а також, відповідно, необхідну кількість відділень:
типорозмір (А):
м3/год
шт.
вибираємо цей варіант
типорозмір (Б):
м3/год
шт.
Приймаємо до проектування 2 відділення типорозміру (А).
Визначаємо фактичну швидкість руху води:
де
- фактична кількість відділень.
Приймаємо Vфак=0,068 м/с.
Фактична тривалість перебування води в пісковловлювачі:
не є меньшою в порівнянні з рекомендаціями [2] п. 6.28, де
зазначено, що час перебування води в пісковловлювачі складає 2…3 хв.
Розрахунок піскових майданчиків
Для підсушування затриманого в пісковловлювачі піску належить
запроектувати піскові майданчики - прямокутні катри розміром ВxL, В - ширина
карти; L - довжина карти.
Визначаємо розміри та кількість піскових майданчиків.
Об'єм затриманого піску WПО, м3/рік:
,
=0,03 л/ос.доб - нормативний об’єм піску на 1 особу на добу.
Необхідна площа піскових майданчиків:
,
пм - рекомендоване річне навантаження на пісковий майданчик,пм
= 3 м3/м2рік
Приймаємо 3 піскових майданчика, розмірами 20x25 м.
Розрахунок первинних відстійників
Приймаємо радіальні відстійники.
Розрахунок відстійників відбувається за кінетикою випадання
завислих речовин з урахуванням необхідного ефекту освітлення.
Визначаємо необхідну проектну ефективність роботи
відстійника:
Початкова концентрація завислих речовин в стічних водах:
г/м3.
- концентрація завислих речовин, яка повинна бути в стічній
воді після первинних відстійників.
=150 г/м3.
Приймаємо 6 відстійників.
Розраховуємо розрахункову гідравлічну крупність речовин, які
повинні бути затримані в радіальному відстійнику:
де
м - глибина проточної частини відстійника,
-
коефіціцєнт використання об’єма проточної частини відстійника;
с
- тривалість відстоювання, знаходиться за [2] табл. 30;

м
-
показник ступеня;
мм/с
Пропускна спроможність відстійника:
,
де Dset -
діаметр відстійника, м;set - діаметр випускного пристрою, мset
= 0,9м
νth - турбулентна складова швидкості осідання завислих речовин , (мм/с)
νth=0
м3/год
Визначаємо необхідну
кількість відстійників:
Приймаємо 6
відстійників з розмірами: D=24м , b=2м , l = 20м, h=3м.
Розрахунок
аеротенків
Приймаємо аеротенк -
витискувач.
Визначаємо необхідність регенерації активного мулу.
Згідно [2] табл.25 норматив за БПК на одну особу для
неосвітленої стічної та для освітленої води складають 75 та 40 г/ос.доб.
Тому коефіцієнт зниження БПК в системі механічного очищення
(Квх ):
Отже, значення БПК стічної води, що потрапляє до аеротенку (Len
аер):
г/м3
Len аер˃150 г/м3, тому застосовуємо аеротенк
з регенерацією активного мулу.
Призначаємо орієтновний діапазон і поточні значення дози активного мулу
(АМ) аі, г/л:
аі = 3; 3,3; 3,6; 3,9 г/л
та мінімальний дозволений ступінь ркциркуляції АМ Rі: Rі=0,3.
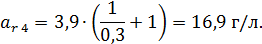
Розраховуємо 4 значення дози АМ в регенераторі аг , г/л:
;
;
;
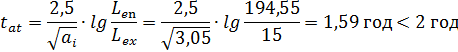
Розраховуємо 4 значення тривалості аераціїі tаt ,
год:
- БПК очищеної води,
Розраховуємо 4 значення питомої швидкості окислення ρ
(мг БПКповн/г.бз.год):
- макстмальна швидкість окислення, мгБПК/(г·год),
=85 мг БПКповн /(г·год),
- концентрація розчиненого кисню, мг/л,
= 2мг/л,
- константа, що характеризує властивості органічних
забруднюючих речовин, мг БПКповн /л,
= 33 мг БПКповн /л,
- константа, що характеризує вплив кисню, мг О2/л,
= 0,625 мг О2/л,
- коефіцієнт інгібіровання продуктами розпаду активного
мулу, л/г,
= 0,07 л/г.
Розраховуємо 4 значення тривалості окислення органічних
речовин t0, год:
- БПКповн поступаючий в аеротенк стічної води ( з
урахуванням зниження БПК при первинному відстоюванні), мг/л,
- зольність мула,
= 0,3
Розраховуємо 4 значення тривалості регенерації АМ tr,
год
, год
Розраховуємо 4 значення навантаження на АМ qi, (
мг БПКповн/г бз·доб):
, ( мг БПКповн/г бз·доб)
(мг БПКповн/г бз·доб),
(мг БПКповн/г бз·доб),
(мг БПКповн/г бз·доб).
Розраховуємо 4 значення мулового індексу Ii, ( см3/г):
Будуємо графоаналітичний комплекс в осях
,
та
де визначаємо значення оптимальної
дози активного мулу та мулового індексу. Малюнок 1.
Оптимальна доза активного мулу
= 3,05 г/л.
мулового індексу:
Визначаємо розрахункові об’єми
. Місткість аеротенку:
= Qсер=2500 м3/год
Приймаємо
= 2 год.
Розраховуємо місткість регенератора:
, год
;
, год
, год
Загальний об’єм:
Визначаємо відсоток регенерації :
Приймаємо до проектування 4 коридора з 50% регенерацією , 2
коридора під регенерацію.
Ширина коридора - 4,5м.
Робоча глибина аеротенка - 3,2м.
Довжина секції - 42м.
Кількість секцій :
Розрахунок вторинних відстійників
Приймаємо радіальний відстійник діаметром 24м.
Вторинні відстійники розраховують по гідравлічному
навантаженню.
Гідравлічне навантаження:
де
- коефіцієнт використання об’єму зони відстоювання;
-
глибина відстійника
[м3/м2.год.]
Визначаємо кількість відстійників діаметром 24м.
Діаметр вхідної труби den = 0,9 м.
Площа поверхні вторинних відстійників, м2:
[м2]
Площа поверхні одного відстійника:
[м2]
Отже, кількість відстійників:
Приймаємо 4 вторинних відстійників діаметром 24 м.
Знезараження стічних вод
Блок знезараження складається з хлораторної, змішувача і контактного резервуара.
1. Підбираємо кількість хлораторів типу “ЛОНИИ - 100”.
Розраховуємо годинну кількість потрібного активного
(газоподібного) хлору:
,
де
[г/м3] - доза активного хлору за [2] п.
6.223;
-
коефіцієнт можливого збільшення дози хлору за [2] п. 6.223 прим. 2;
[кг/год.]
Продуктивність одного хлоратора:
кг/год.
З кроком 1,3 кг/год.
Приймаємо до проектування 2 робочих і 1 резервний хлоратор типу “ЛОНИИ
- 100 ” з продуктивністю :
2. В якості змішувача приймаємо "Лоток
Паршаля" типорозмірного ряду за [3] табл.16.2 в залежності від Qзаг
, м3/год.
А = 1,73 мНА = 0,61 м
В = 0,9 мНB=0,59 м
С = 1,3 мН = 0,63 м= 1,68 мL = 6,6 м
Е = 1,7 мls = 7,4 м= 11 мзаг = 13,97 м=
1 м
. В якості контактного резервуара використовують
горизонтальний відстійник.
Загальний розрахунковий об’єм контактного резервуара:
,
м3,
де
[хв] - тривалість контакту хлору зі стічною водою;
[м3]
Розмір контактного резервуара:= 24 м
В = 9 м
Н = 2,8 м.
Їх кількість:
Приймаємо 4 таких резервуари.
Споруди блоку обробки осаду та надлишкового АМ
Розрахунок мулозгущувачів І ступеня
Оскільки необхідний об’єм мулозгущувача менший ніж 200 м3,
до проектування приймаємо вертикальний мулозгущувач.
Розраховуємо масу твердої частини надлишкового АМ:
Рі - приріст АМ в аеротенках, мг/л:
Сcdp - концентрація завислих речовин в стічній воді , що
поступає в аеротенк,
Кg - коефіцієнт приросту; для міських і близьких до них
склодом промислових стічних вод Кg = 0,3.
Маса рідкої частини НАМ:
РНАМ - вологість НАМ, %
РНАМ = 99%.
Маса НАМ :
Знаходимо об’єм НАМ:
густина НАМ
Маса твердої частини згущеного АМ (ЗНАМ):
Маса рідкої частини ЗНАМ:
РЗНАМ - вологість ЗНАМ для вертикального згущувача
98 %
Маса мулової води:
Об'єм мулової води:
Маса ЗНАМ:
Об'єм ЗНАМ:
Об'єм мулозгущувача:
сер.зг - середня тривалість згущення,сер.зг =10-12 год.накоп.мв
- середня тривалість накопичення мулової води, приймаємо 2 год.
Визначаємо загальну площу вертикального мулозгущувача:
νцт
- швидкысть руху НАМ в центральній трубі мулозгущувача, приймаємо 0,1 м/с;
νмзгІ(в) - швидкысть руху води у вертикальному МЗГІ , приймаємо 0,1мм/с
приймаємо 0,1 м/с.
Підбір мулозгущувача:
Діаметр МЗГІ Dв = 6м
Площа одного 28,2 м2.en
= 0,25 м - діаметр вхідної труби
кількість :
Приймаємо до
проектування 2 МЗГІ.
Розрахунок
метантенків
Маса твердої частини
сирого осаду (СО):
Де
- вхідна концентрація завислих речовин перед
первинними відстійниками, г/м3;
Об'єм СО:
РСО -
вологість СО, %
РНАМ =
93%.
густина СО
Маса рідкої частини СО:
Загальна маса СО:
Вологість суміші:
Об'єм метантенку:
МТ -
добове
завантаження метантенку в залежності від режиму зброджування , залежить
від вологості суміші, приймаємо за [2] табл. 59.
Приймаємо мезофільний режим зброджування.МТ = 10%
Приймаємо до проектування 4 метантенка 902-2-228 V=1600 м3 з
такими типорозмірами:
·
номер
проекта 902-2-228
діаметр
м
корисний об’єм одного резервуара
м3
висота: верхнього конуса
м
циліндричної частини
м
нижнього конуса
м
будівельний об’єм: будівлі обслуговування
м3
кіоску газової мережі
м3
Розрахунок газгольдерів
Маса беззольної речовини СО:
Рг (СО) - гідроскопічна вологість СО, приймаємо 5%
ЗСО - зольність СО, приймаємо 27%.
Маса беззольної речовини ЗНАМ :
Ргам - гідроскопічна вологість АМ, приймаємо 6%
Зам - зольність АМ, приймаємо 25%.
Маса беззольної речовини стабілізованої суміші :
Максимально можливий теоретичний ступінь зброджування органічної
речовини стабілізованої суміші, %:
,
-
максимально можливий теоретичний ступінь зброджування СО,
-
максимально можливий теоретичний ступінь зброджування активногомулу.
Розпад беззольної речовини стабілізованої суміші,%:
-
коефіцієнт, що залежить від вологості осаду та режиму
зброджування, приймається згідно [2] табл. 61;
-
добове завантаження метантенку;
,
Ступінь розпаду беззольної речовини, А, кг розп. бз/кг бз:
Питомий вихід газу при зброджуванні стабілізованої суміші:
у=А·у2, м3/кг бз
у2=
=
м3/кг бзr , кг газу/кг розп бз -
беззольної питомий вихід газу (кг) на 1 кг роз падаючої речовини( [2] п.6.354)
у=0,44·1=0,44 м3/кг бз
Добовий об’єм газу при зброджуванні стабілізованої суміші, м3/доб:
Необхідний об’єм газгольдерів:
,
накоп. - тривалість накопичування газу в газгольдері, год ( за[2] п.6.359)
м3
Згідно [3] табл. 36.6 підбираємо газгольдер:
Приймаємо 3 газгольдера з
м3.
·
номер
типового проекту 7-07-02/66
об’єм газгольдера
м3
внутрішній діаметр резервуара
мм
колокола
мм
висота газгольдера
мм
резервуара
мм
·
витрата
метану 25т
Кондиціонування осаду
Згідно [2] п.6,368: осад міських стічних вод, що підлягають
механічному обезводненню, повинні підлягати попередній обробці - ущільненню,
промивці ( для збродженого осаду), коагулюванню хімічними реагентами.
Необхідність попередньої обробці осадів промислових стічних вод слід
встановлювати експериментально.
З [2] п.6.373 : в якості реагентів при коагулюванні осадів
міських стічних вод слід використовувати хлорне залізо чи сіркокисле окисле
залізо і вапно у вигляді 10-% вих розчинів. Добавку вапна в осад слід
передбачати після вводу хлорного чи сіркокислого окисленого заліза.
Кількість реагентів слід визначати в розрахунках по FeCl3
та CaO, при цьому їх дози при вакуумфільтруванні слід приймати, % до маси сухої
речовини осаду:
для зароджуваного осаду первинних відстійників: FeCl3
- 3-4, CaO - 8-10;
для збродженої промивної суміші осаду первинних відстійників
і надлишкового активного мула : FeCl3 - 4-6, CaO - 12-20;
для сирого осаду первинних відстійників : FeCl3 -
1,5-3, CaO - 6-10;
для суміші осаду первинних відстійників і згущеного
надлишкового активного мула: FeCl3 - 3-5, CaO - 9-13;
для згущеного надлишкового мула з аеротенків: FeCl3
- 6-9, CaO - 17-25.
Розрахунок вакуум-фільтрів
Площа робочої поверхні вакуум-фільтрів:
,
де 
-
навантаження за сухою речовиною на поверхню вакуум-фільтра, [2] табл. 62;
[год./змін.]
- тривалість роботи вакуум-фільтра на протязі 8-годинної зміни, [6] табл. 12;
[змін./доб.]
- кількість змін роботи вакуум-фільтра на протязі доби;
м2
За [3] табл. 37.3 приймаємо для проектування 8 вакуум-фільтрів марки БОУ-10-2,6
з такими параметрами:
площа поверхні фільтрування
м2
діаметр барабану
мм
довжина барабану
мм
частота обертів барабану
об/хв.
об’єм рідини в кориті
л
потужність привідного електродвигуна барабану
кВт
габаритні розміри
мм
маса: фільтру з приводами
кг
найбільш важкого вузла (барабана)
кг
Розрахунок резервних мулових майданчиків
Резервні мулові майданчики (РММ) розраховуються на 20% від добового
об’єму стабілізованої суміші:
Добовий об’єм стабілізованої суміші:
,
[м3/доб.]
Площа робочої частини РММ:
,
де
[м3/м2.рік.] -
навантаження на мулові майданчики, приймається за [2] табл. 64;
[м2]
Площа зимового наморожування на РММ:
,
де
[діб] - тривалість зимового наморожування, за [2]
рис.3;
м
- висота шару зимового наморожування, за [2] п. 6.395;
-
коефіцієнт резервування площі РММ для зимового наморожування, за [2] п. 6.395;
[м2]
Загальна площа РММ:
[м2]
Приймаємо 14 резервних мулових майданчиків
м.
[м2]
Список використаної літератури
1.
Яковлев
С.В., Карелин Я.А. та др. “Канализация” М.: Стройиздат, 1975-632с.
2.
СНиП
2.04.03-85 “Канализация. Наружные сети и сооружения” М.: Госстрой СССр,
1986-72с.
3.
“Канализация
населенных мест и промышленных предприятий” Справочник проектировщика М.:
Стройиздат, 1981-639с.
4.
Василенко
А.А. “Водоотведение. Курсовое проектирование” М.: Вища школа, 1988-256с.
5.
Лукиных
А.А., Лукиных Н.А. “Таблицы для гидравлического расчета канализационных сетей и
дюкеров по формуле акад. Павловского Н.Н.” Справочное пособие М.: Стройиздат
1987-152с.
6.
Малько
В.Ф. “Водовідведення. Очистка стічних вод” Методичні вказівки до виконання КП
К.: КНУБА 2001-52с.