Бетонирование тоннеля в районе с обычными грунтовыми условиями
Содержание
Введение
. Характеристика условий ведения бетонных работ
. Вид конструкции и требования к бетону и бетонируемой поверхности
. Выбор материалов и требования к ним
.1 Основные требования к вяжущему
.2 Основные требования к крупному заполнителю
.3 Основные требования к мелкому заполнителю
.4 Основные требования к воде
.5 Основные требование к смазке
.6 Основные требования к приготовлению и транспортированию
бетонной смеси
. Расчет состава бетонной смеси
. Расчет бетонных, арматурных и опалубочных работ
. Конструкция опалубки и опалубочные работы
. Расчет производства работ в зимний период
. Выбор технологии и механизации производства ж/б работ.
Диспетчерский график
. Календарный график производства работ
. Контроль качества ведения работ и бетона
Список использованных источников
Введение
Одним из направлений технического
прогресса в строительстве является широкое внедрение конструкций из монолитного
и сборно-монолитного бетона и железобетона. Из монолитного железобетона
экономически выгодно возводить фундаменты под здания и технологическое
оборудование, массивные стены гидротехнических и промышленных сооружений,
тоннели и каналы, ростверки, полы, покрытия автомобильных дорог. Новой областью
становится монолитное домостроение.
Монолитные жилые и общественные
здания придают большую выразительность районам массового строительства в
специфичных условиях их возведения (в особенности на стесненных участках, в
условиях горной местности, при отсутствии мощной базы сборного домостроения и
т. п.), позволяют снизить стоимость строительства на 10-15%, а капитальные
вложения уменьшить на 20-25% при одинаковых суммарных затратах труда на заводе
и строительных площадках.
Вследствие повышенной жесткости и
трещиностойкости монолитные конструкции целесообразно возводить на просадочных
грунтах и подрабатываемых территориях, а также в сейсмичных районах.
Несравнимое преимущество монолитного сооружения - его строительство начинается
и заканчивается на строительной площадке. Не нужны массивные краны, тяжелая
техника. Основная техника, применяемая в монолитном строительстве -
бетононасосы, с помощью которых бетонная смесь заливается в подготовленные
формы.
Ввиду всех этих преимуществ зданий
из монолитного и сборно-монолитного железобетона конструкции и современные
способы их возведения заслуживают самого пристального изучения.
1. Характеристика условий ведения
бетонных работ
Применение тоннеля предусмотрено в
районе с обычными грунтовыми условиями и уровнем грунтовых вод не менее 4 м в
несейсмических районах, также в районах с сейсмичностью до 9 баллов
включительно. Сооружение тоннеля предусмотрено открытым способом в щитовой
опалубке.
Температура в зимний период времени
-18оС, в летний+15…÷20оС
Средняя скорость ветра составляет 5
м/с.
2. Вид конструкции, требования к бетону
и бетонируемой поверхности
Туннели предназначены, для прокладки
различных коммуникаций, размещения транспортеров и устройства пешеходных
переходов. Применение туннелей предусмотрено в районах с обычными грунтовыми
условиями и различным уровнем грунтовых вод в несейсмических районах, также в
районах с сейсмичностью до 9 баллов включительно. Сооружение тоннелей
предусмотрено открытым способом в щитовой опалубке.
Под монолитный тоннель
предусматривается подготовка из бетона класса С 16/20 толщиной 100 мм.
Классы бетона обделок по прочности
на сжатие и марки по морозостойкости и водонепроницаемости следует
устанавливать в зависимости от климатических условий в районе строительства и
условий возведения с учетом требований их экономичности, надежности и
долговечности. Класс бетона по заданию С 16/20
Распалубка монолитных бетонных и
железобетонных тоннелей должна производиться по достижении бетоном проектной
прочности, а в крепких устойчивых грунтах - при достижении бетоном 75%
проектной прочности. Распалубка обделки в более ранние сроки допускается при
наличии соответствующего обоснования и согласия проектной организации.
Бетон монолитных тоннельных обделок
должен иметь марку по водонепроницаемости, определяемую по ГОСТ 12730.5-84, не
ниже W6. Для конструкций, возводимых в обводненных грунтах без гидроизоляции,
марку бетона по водонепроницаемости следует устанавливать проектом в
зависимости от гидрогеологических условий, но принимать не ниже W 8.
3. Выбор материалов и требования к
ним
.1 Основные требования к вяжущему
В качестве вяжущего в данном проекте
будет использоваться портландцемент. Цемент должен соответствовать требованиям
ГОСТ 10178-95. Насыпная плотность 1050 кг/м3, истинная плотность 3100 кг/м3,
марку цемента принимаем М400.
Цемент должен удовлетворять
следующим требованиям:
. Тонкость помола должна быть такой,
чтобы при просеивании пробы цемента сквозь сито с сеткой №008 проходило не
менее 85% массы просеиваемой пробы (удельная поверхность Sуд = 2500 - 2800
см2/г);
. Сроки схватывания: начало
схватывания не ранее 45 мин., конец схватывания не позднее 10 часов от начала
затворения водой;
. Цемент должен показывать
равномерность изменения объема при испытании образцов кипячением в воде.
Коэффициент насыщения-0,88; модуль-1,67; глиноземистый модуль-1,26;
Нормальная густота
портландцемента-24,65%. Чем меньше нормальная густота цемента, тем меньше
водопотребность бетонной смеси, необходимая для достижения определенной
подвижности (жесткости).
Допускается введение в цемент
специальных пластифицирующих и гидрофобизирующих добавок в количестве не более
0.3% от массы цемента в пересчете на сухое вещество добавки.
Гидрофобизированный цемент не должен впитывать в себя воду в течение 5 минут от
момента нанесения капли воды на поверхность цемента.
.2 Основные требования к крупному
заполнителю
В качестве крупного заполнителя в
данном проекте применяется щебень. Щебень должен удовлетворять требованиям ГОСТ
8736-93. Показателями качества щебня являются: зерновой состав, форма зерен,
прочность, содержание зерен слабых пород, пылевидных и глинистых частиц,
морозостойкость; петрографическая характеристика; плотность, средняя и насыпная
плотность, межзерноваяпустотность,водопоглощение.
Содержание фракций в заполнителе
5-10 и 10-20 соответственно 25-40% и 60-75%, при наибольшей крупности 20мм.
Содержание пластинчатых и игловатых зерен в щебне не должно превышать 35%,
содержание зерен слабых и выветренных пород не должно превышать 10%. Наличие
глин в виде отдельных комьев в количестве 0,25% или пленки, обволакивающей
зерна заполнителя, не допускается. Щебень не должен содержать посторонних
засоряющих примесей. Морозостойкость должна обеспечить получение бетона
требуемой марки по морозостойкости.
Марки по прочности крупных плотных заполнителей,
определяемые по дробимости при сжатии в цилиндре, должны быть выше класса
бетона по прочности на сжатие не менее в 2 раза - для С 12/15 и выше.
Согласно заданию:
Насыпная плотность щебня составляет
1490 кг/м3. Истинная плотность 2710 кг/м3. Влажность 2,6%. Морозостойкость F50.
Межзерновая пустотность составляет 55 %.
.3 Основные требования к мелкому
заполнителю
В проекте используется Песок
кварцевый Истинная плотность: 2670кг/м3.Насыпная плотность: 1460кг/м3.Модуль
крупности 2,4
Песок должен удовлетворять
требованиям ГОСТ 8736-93. Основными показателями качества песка является
зерновой состав и содержание пылевидных и глинистых частиц, в том числе глины в
комках. Рекомендуемые стандартом зерновые составы песка обеспечивают компактную
упаковку его частиц и наименьшую межзерновуюпустотность, что ведет за собой
экономию вяжущего вещества.
В соответствии с требованиями ГОСТ
8736-93 в тяжелых бетонах должны использоваться пески с модулем крупности
1,5…3,25. В природном песке не допускается присутствие зерен размером свыше 10
мм в количестве более 0,5% по массе, свыше 5 мм - более 10% по массе,
содержание зерен проходящих через сито №016, не должно превышать, % по массе: в
природных песках повышенной крупности, крупных и средних-10, в мелком и очень мелком
песке - 15. Полный остаток на сите №063 - 7,0%. Содержание пылевидных и
глинистых частиц 1,5%У дельная эффективная активность естественных
радионуклидов в песке Аэфф.ср.=63,0
Для обеспечения качественного
зернового состава песка и его постоянства в составе бетонной смеси применяют
фракционированный песок, составленный из двух фракций; крупной и мелкой,
раздельно дозируемых при приготовлении бетонной смеси. Разделение исходного
песка на две фракции производят по граничному зерну, соответствующему размеру
отверстий контрольных сит 1,25 или 0,63 мм. Допускается применять готовые смеси
фракций в требуемом соотношении, а также смеси лесков природных или из отсевов
дробления.
.4 Основные требования к воде
Для приготовления бетонной смеси
применяется питьевая, а также любая вода, не содержащая вредных примесей
(кислот, сульфатов, жиров, растительных масел, сахара), препятствующих
нормальному твердению бетона. Нельзя применять воды болотные и сточные, а также
воды, загрязненные вредными примесями, имеющие водородный показатель рН менее 4
и более 12 и содержащие сульфаты в расчете на ионы SO4 более 2700 мг/л и всех
других солей более 5000 мг/л. Содержание в воде органических ПАВ, сахаров или
фенолов, каждого, не должно быть более 10 мг/л. Вода не должна содержать пленки
нефтепродуктов, жиров, масел. Окисляемость воды не должна быть более 15 мг/л.
Морскую и другую воду, содержащую
минеральные соли, можно применять, если общее количество солей в ней не
превышает 2%. Пригодность воды для бетона устанавливают химическим анализом и
сравнительными испытаниями прочности бетонных образцов, изготовленных на данной
воде и на чистой питьевой воде и испытанных в возрасте 28 суток при хранении в
нормальных условиях. Воду считают пригодной, если приготовленные на ней образцы
имеют прочность не меньше, чем у образцов на чистой питьевой воде.
Вода не должна содержать также
примесей в количествах нарушающих сроки схватывания и твердения цементного
теста и бетона, снижающих прочность и морозостойкость бетона. В данном проекте
будем использовать воду от городских сетей.
В данном проекте будем использовать
воду от городских сетей.
.5 Основные требования к смазке
К смазкам для опалубки предъявляется
целый комплекс требований: повышенная адгезия к металлу и пониженная адгезия к
бетону; возможность автоматизации и механизации приготовления и нанесения
смазки на поверхность форм; отсутствие необходимости в очистке поверхности форм
от остатков бетона; исключение возможности появления пятен и воздушных пор на
поверхности изделий, прилегающих к форме, и снижения прочности и плотности в
поверхностных слоях. Смазка должна иметь минимальную адгезию и максимально
гидрофобизировать поверхность опалубки. Смазка не должна выделять вредных для
здоровья человека испарений, усиливать коррозию элементов опалубки.
Технические требования к смазке.
Основным назначением смазок для
металлических форм при формовании бетонных изделий и различных видов опалубки
при монолитном бетонировании является:
облегчение отделения бетона от
материала формы или опалубки;
обеспечение хорошего качества
наружной поверхности изделий за счет уменьшения количества дефектов - вырывов,
шелушения и т.п.;
уменьшение количества пор и раковин
на поверхности изделий;
отсутствие масляных пятен на
поверхности изделий;
защита металлических форм от
коррозии;
снижение трудозатрат, связанных с
механической очисткой форм и опалубки.
В данном проекте для смазки опалубки
принимаем смазку Экол-ЭКС.
Экол-ЭКС - универсальная смазка для
использования в производстве монолитных изделий.
• смазывание вертикальных и
горизонтальных поверхностей любой сложности для производства железобетонных
изделий
• обеспечивает экономичный расход
при нанесении на форму
. Внешний вид Однородная масса
темно-бурого (коричневого) цвета
. Запах Специфический, не
раздражающий
. Условная вязкость при 20°С,
определяемая в вискозиметре ВЗ-4 ГОСТ 9070-75,с, в пределах 20-26
. Температура вспышки, определяемая
в открытом тигле, °С, не ниже 100
. Плотность при 20°С, кг/м³, не менее 0,84
Условия применения:
Она может применяться как без
дополнительной обработки поверхностей, так и с использованием дополнительных
средств, усиливающих эффект действия эмульсии. Преимущество смазки заключается
в том, что она наносится равномерным слоем в 0,1-0,3 см, не стекает с формы и
обеспечивает хорошую адгезию к металлу.
Применяется в состоянии поставки и
не требует подогрева в зимнее время. Может наноситься любым способом: кистью,
распылением, поливом. Обеспечивает качественное состояние поверхности изделий и
сохранность форм. Наноситься любым способом: кистью, распылением, поливом.
Гарантийный срок хранения 1 год.
.6 Основные требования к
приготовлению и транспортированию бетонной смеси
У бетонной смеси уже в течение
первых часов после ее приготовления снижается подвижность, она схватывается;
поэтому время ее транспортирования должно быть строго ограниченным. Предельно
допустимую продолжительность перевозки определяют опытным путем. К моменту
укладки бетонная смесь должна иметь заданную подвижность, в ней не должен
начинаться процесс схватывания. Время транспортирования зависит от вида цемента
и температуры бетонной смеси. Для бетонных смесей на портландцементе это время
колеблется в значительных пределах:
Во время перевозки бетонной смеси
следует принимать меры против ее расслоения, избегать потерь цементного молока
и раствора, защищать ее от атмосферных осадков, воздействия ветра, солнечных
лучей, а зимой -от быстрого охлаждения и замерзания. Для правильно
организованной перевозки применяют специальные транспортные средства с
увеличенными скоростями, сокращают время нахождения смеси под разгрузкой.
Для обеспечения своевременной
приемки бетонной смеси на объекте с последующей укладкой ее в дело
производительность механизмов по подаче и распределению смеси в блоках
бетонирования (кран, бетоноукладчик) должна быть на 10-15% выше суммарной
'производительности транспортных средств. Этот резерв производительности
укладочных механизмов необходим для исключения простоев бетоновозов со смесью
под разгрузкой.
Бетонную смесь приготавливают,
транспортируют и укладывают в соответствии с ГОСТ 7473-85, СНиП 3.03.01-87.
Основные требования заключаются в следующем:
Приготовление бетонной смеси
осуществляется бетоносмесительными узлами общего назначения требуемой
производительности.
Узел должен быть оборудован
технологической линией приема, приготовления, дозирования и введения в бетонную
смесь поверхностно-активных добавок и других добавок согласно проекту.
Дозирование компонентов бетонной
смеси следует производить по массе. Точность дозирования должна быть не менее
2% для цемента, воды и добавок и не менее 2,5% для заполнителей. Допускается
дозирование по объему воды и добавок, вводимых в бетонную смесь в виде водных
растворов. Дозировку компонентов следует корректировать в процессе
приготовления бетонной смеси с учетом данных контроля показателей свойств
цемента, влажности, гранулометрии заполнителей и контроля прочности.
Порядок загрузки компонентов
бетонной смеси в бетоносмеситель должен устанавливаться строительной
лабораторией для конкретных материалов и применяемого бетоносмесительного
оборудования путем оценки подвижности, однородности и прочности бетона. 5.5.
Бетонную смесь целесообразно приготавливать в бетоносмесителях циклического
действия или автобетоносмесителях непосредственно на объекте.
Бетонная смесь, доставленная к месту
укладки должна иметь степень расслоения не более 5%, водоотделение не более 2%
и отклонение от заданной подвижности не более 2 см.
Для предотвращения расслоения
бетонную смесь необходимо транспортировать с минимальным количеством
перегрузок.
Бетонную смесь с добавками
необходимо укладывать за опалубку не позднее чем через 1,5 ч после ее
приготовления При необходимости более длительной транспортировки смеси
требуется увеличение ее исходной подвижности, что ведет к повышенным расходам
цемента.
Бетонную смесь доставляют на
строительную площадку в автобетоносмесителях. Сухую смесь при передвижении не
перемешивают, затворение смеси водой производят непосредственно на строительной
площадке. При доставке затворенной бетонной смеси необходимо, чтобы время с
момента приготовления до начала укладки не превышало: для тяжелого бетона - 1,5
ч, для легкого - 1,0 ч.
При транспортировании бетонной смеси
следует использовать автобетоносмесители, имеющие скорость вращения барабана до
20 об/мин. Загружать барабан рекомендуется на 70-80% его вместимости.
Скорость вращения барабана
автобетоносмесителя при перемешивании смеси должна быть 11-14 об/мин.
4. Расчет состава бетонной смеси
Исходные данные
Цемент: Pц = 3,1 г/см3, Pцн = 1,05
г/см3
Песок: Pп = 2,67 г/см3, Pпн =1460
кг/м3
Мкр = 2,4 Wп = 3,0%
Щебень: Pщ = 2,71 г/см3Pщн =
1490кг/м3= 40мм Wщ = 2,6%
Метод абсолютных объемов

МПа
ц - активность цемента,
Мпав - прочность при сжатии, Мпа
А - коэффициент,
учитывающий качество материалов
При максимальной
крупности щебня 40 мм.и осадке конуса 3…6 см. расход воды на 1 м3 составляет
175 л.
Определим расход цемента
на 1 м3:
Определим расход щебня
на 1 м3:
Пустотность щебня:
Устанавливают
коэффициент раздвижки
для
пластичных бетонных смесей в зависимости от количества цементного теста и
крупности песка
=1.34
Определим расход песка
на 1 м3:
Определим среднюю
плотность бетонной смеси:
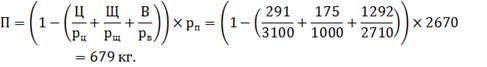
Откорректируем
действительный расход песка, щебня и воды:
Проверка:

1
Таблица 2 - Состав бетонной
смеси
|
Изделие
|
Расход материалов на 1м3 бетона
|
Плотность, кг/м3
|
|
Ц, кг
|
П, кг
|
Щ, кг
|
В, кг
|
|
|
туннель
|
291
|
699,37
|
121,03
|
2437
|
5. Расчет бетонных, арматурных и
опалубочных работ
Объем бетона
Стенка: 2,1∙0,4∙30 =
25,2 м3
Перекрытие: 5∙30∙0,4=60
м3
Всего: 110,4 м3
Масса арматуры
Для армирования перекрытия туннеля
применяют стержни Д12 класса S400 шагом 300мм (1586,3м) и стрежни Д18 класса
S400 шагом 300мм (1498,4м). Для армирования стенок туннеля применяется
арматурная сетка S400 Д6 ячейка 100мм (5800,2м).
Общая масса стали Д18(1м=2кг) в
фундаментной подушке составит: 1498,4*2,0=2996,8кг;
Общая масса стали Д12(1м=0,888кг) в
стенах фундамента составит: 1586,3*0,888=1408,2кг;
Общая масса стали Д06(1м=0,222кг) в
ленточном фундаменте составит: 5800,2*0,222=1283,1кг.
Таблица 3 - Объём арматуры
|
Поз.
|
Обозначение
|
Наименование
|
Кол-во
|
Примечания
|
|
1
|
70.01.01-ПСИиК-1-001
|
6 S400 ГОСТ5781-82 L=9966 L=10366 L=2400
|
192 96 1196
|
1283,1кг
|
|
2
|
Вч
|
12 S400 ГОСТ5781-82 L=9966 L=10366 L=4900
|
8 4 299
|
1408,2кг
|
|
3
|
|
18 S400 ГОСТ5781-82 L=9966 L=10366 L=4100
|
18 9 299
|
2996,8кг
|
Рис.1 Арматурная сетка
для стен туннеля
Рис.2 Арматурная сетка
для перекрытия туннеля
Защитный слой до рабочей
продольной арматуры в днище принят 20 мм снизу и 16 мм сверху; при этом стержни
распределительной арматуры соответствующих сеток расположены внутрь сечения
относительно продольной рабочей арматуры. Защитный слой до вертикальной рабочей
арматуры в стенах принят 25 мм; при этом стержни распределительной арматуры
соответствующих сеток расположены блике к поверхности сечения относительно
вертикальной рабочей арматуры.
Железобетонные обделка
армируется однорядной рабочей и конструктивной арматурой. При однорядном
армировании для фиксирования положения вертикальных сеток относительно опалубки
применяют фиксаторы защитного слоя, а относительно противоположной стороны -
гнутые пространственные или плоские каркасы. В качестве фиксаторов положения
арматуры должны использоваться специальные кронштейны, скобы, пружины из
пластмассы решетчатые, цилиндрические или из цементно-песчаного раствора.
бетон опалубка тоннель
6. Конструкция опалубки
и опалубочные работы
Для изготовления тоннеля
будет использоваться туннельная опалубка фирмы «УТИНОР».
Туннельная опалубка
позволяет одновременно бетонировать стены и перекрытия, что существенно
повышает монолитность, целостность и надежность конструкции. Опалубка состоит
из нескольких элементов длиной 2,5 м, называемых секциями. Секция имеет
прямоугольное сечение и состоит из двух вертикальных щитов высотой, равной
высоте бетонируемой стены, и одного горизонтального щита, ширина которого
соответствует ширине перекрытия. Каждая секция может быть разъединена на две
полусекции с соединительным швом вдоль оси горизонтального щита. Этот туннель
называют двухсекционным; если туннель изготовлен или используется в собранном
виде, его называют односекционным.
Двухсекционный туннель
создан на базе стандартной щитовой опалубки «Утинор».
Рис. 3 Туннельная
опалубка фирмы «Утинор»:
- вертикальная панель; 2
- проемообразователи с магнитными защелками; 3 - горизонтальная панель; 4 -
опалубка для бетонирования цоколя; 5 - торец ограждающей стенки опалубки; 6 -
роликовое колесо; 7 - регулировочный домкрат; 8 - центральная опорная стойка; 9
- задняя панель; 10 - подкос
Вертикальные панели
имеют ту же конструкцию, что и стеновая опалубка со стальным листом толщиной 3
мм. Каждая стандартная панель длиной 1,25 и 2,5 м оснащена двумя винтовыми
домкратами для выставления уровня по высоте и двумя роликовыми колесами.
Отдельные туннели могут соединяться вместе в один элемент длиной от 3,75 до
12,5 м, при этом распалубливание будет осуществляться уже этими крупными
модулями. Вертикальная панель не имеет фермы для восприятия давления бетонной смеси,
поэтому в туннеле на трех уровнях с шагом 1,25 м предусмотрено крепление с
помощью винтовых стяжек.
В вертикальных панелях
соседних туннелей, устанавливаемых «лицом к лицу», предусмотрено отверстие для
стягивания щитов третьей соединительной винтовой стяжкой (кроме двух в верхней
и нижней частях щитов). Стандартная высота туннеля равна 2,43 м, что
соответствует по высоте бетонирования стеновому щиту высотой 2,52 м.
Горизонтальная панель,
изготовленная из металлического листа толщиной 3 мм, усилена элементами
жесткости. Две вертикальные и горизонтальная панели соединены между собой путем
сочленения в паз и стягивания болтами. Соединительный замок представляет собой
штампованную стальную пластину с двумя просверленными рядами отверстий (один
имеет боковой разрыв). Пластина, прижатая зацепными болтами двух полутуннелей,
обеспечивает их соединение в один туннель, гарантируя при этом распалубочный
зазор и правильную стыковку обоих элементов туннеля.
Раздвижные подкосы
регулируются по высоте с помощью винтовых стяжек с переставными пальцами, что
позволяет выставить панели под прямым углом и отрегулировать стрелу выпуклости.
Каждая полусекция оборудована костылем с роликовым колесом, который вместе с
нижней шарнирной тягой и роликовыми колесами вертикальных щитов образует
распалубочную выкатную тележку и одновременно служит стойкой-подпоркой плиты в
момент распалубки первой туннельной полусекции. В процессе установки опалубки и
при бетонировании этот костыль, закрепленный шарнирно, отводят в сторону
вертикальной панели опалубки.
Распалубку полусекций
осуществляют путем опускания опорных домкратов, при этом горизонтальная панель
отрывается от забетонированного перекрытия в результате опускания домкратов
подкосов. Туннельную секцию перемещают путем поочередного выкатывания
полусекций на распалубочные площадки-подмости, при этом, когда одна из
полусекций демонтирована, перед демонтажом второй полусекции перекрытие
подпирают опорными стойками в центре пролета по оси соединения полусекций до
набора бетоном необходимой прочности. На распалубочной площадке на опалубочные
вертикальные поверхности наносят смазку, далее полутуннель переставляют на
новую захватку. Распалубочные и рабочие площадки предназначены для удобства
выполнения работ по очистке и смазке опалубки, они обеспечивают безопасность и
свободное перемещение рабочих, оснащены защитными сетками.
Для туннеля пролетом 6 и
длиной 5 м достаточно двух гидравлических домкратов (по одному с каждой
стороны) для приведения в действие всех четырех подкосов с каждой стороны
туннеля, двух тяг и четырех подъемных устройств. Соединяют секции в единый
опалубочный комплект только в распалубленном состоянии. Последовательно
выполняют следующие операции:
• установку подкосов и
тяг нужной длины с помощью винтовых домкратов;
• выставление опалубки
на нужную высоту с помощью домкратов;
• растяжку опалубочной
поверхности горизонтального щита запорным устройством, расположенным между
горизонтальнымиполубалками.
Туннельная опалубка
перемещается на роликовых колесах или специальных рулежных устройствах,
устанавливаемых непосредственно под нижней обвязочной балкой вертикальных
щитов.
Извлекают туннельную
опалубку из забетонированной ячейки, зацепляя ее стропами или балансиром.
Туннельная опалубка может быть оснащена малогабаритными наружными вибраторами и
инвентарными обогревательными устройствами для всепогодного проведения бетонных
работ.
Техническая
характеристика:
Средняя масса 100 кг/м²
Сопротивление давлению
бетона (прочность) 6 т/м²
Ширина пролета 2,40-6,00
м
Горизонтальная панель,
м:
тип 1 1,20-1,60;
тип 2 1,80-2,40;
тип 3 2,40-3,00
Ширина добавочных
панелей 0,05-0,60 м
Длина полутуннеля (в
зависимости от возможностей подъемных средств) до 12,50 м
Длина базовой панели
1,25 м
Таблица 4 - Количество
опалубки и элементов крепежа для половины туннеля
|
Наименование
|
Кол-во
|
Площадь опалубочной поверхности (м3)
|
|
Щит вертикальный
|
1,25х2,5
|
48
|
150
|
|
Щит горизонтальный
|
1х1
|
75
|
75
|
|
Проемообразователь
|
|
42
|
|
|
Щит для бетонирования цоколя
|
2,5х0,5
|
12
|
16
|
|
Опорная стойка
|
|
75
|
|
|
Подкос
|
|
24
|
|
|
Гидравлический домкрат
|
|
6
|
|
Элементы опалубки переставляются на
вторую захватку, как будут закончены бетонные работы на первой захватке.
Рис.4 - Схема опалубки
туннеля: 1 - подпорные стойки, 2 - горизонтальные щиты; 3 - вертикальные щиты;
4 - щит для бетонирования цоколя. 5 - подкос
7. Расчет производства
работ в зимний период
Температура смеси при
выходе из бетоносмесителя составляет 350С.
При температуре
наружного воздуха -180С потери тепла при загрузке бетонной смеси в атобетоновоз
составят:
Δtтр.п-
изменение температуры бетонной смеси при погрузке в условиях перепада
температуры бетонной смеси и окружающего воздуха в 100С.
ΔТ-
разница температуры.
τ - время
погрузки.
Температура бетонной
смеси в автобетоновозе:
Снижение температуры
бетонной смеси при транспортировании автобетоновозом:

.
Температура бетонной
смеси на площадке:
Потери температуры при
выгрузке:
Температура бетонной
смеси в бункере:
Потери температуры при
укладке бетонной смеси в опалубку:
Температура бетонной
смеси в опалубке после уплотнения:
Электродный прогрев
бетона
Начальная температура
бетона tб.н.=6,750С
Конечная температура
бетона tб.к.=50С
Продолжительность
остывания бетона от начальной температуры до конечной определяется по формуле
Б.Г.Скрымтаева:
τ =(Сб*рб*(tб.н.-
tб.к)-Ц*Э)/(3,6*К*Мп*(tб.н.- tб.к))
Сб - удельная
теплоёмкость бетона, 1,05кДж/кг0С.б.н. - температура уложенной смеси, 0С.б.к-
температура бетона к концу остывания конструкции, 0С.
рб - плотность бетона,
кг/м3.
Ц - расход цемента на
1м3 бетона, кг.
Э - экзотермия, или
тепловыделение 1кг цемента за время твердения бетона, кДж/кг.н.в.- температура
наружного воздуха, 0С.
Мп - модуль поверхности:
Мп=Р/S=560/110,4=5,07м-1
К - коэффициент
теплопередачи опалубки, при Vв=5м/с.б.ср. - средняя температура бетона за время
его остывания:б.ср.=(tб.н.- tб.к)/(1,03+0,181*Мп+0,006*(tб.ср.-
tб.к));б.ср.=1,3/(1,03+0,181*5,07+0,006*1,3)=0,660С.
τ =1,05*2056,4*(6,3-5)+239,51*146)/(3,6*5*3,85(0,66+5))=118,6ч=5
сут
Для набора прочности 40%
от конечной при tб.ср.=0,660С требуется 5 суток.
Э=146кДж/кг. Принимаем
выдерживание бетона методом классического термоса.
8. Выбор технологии и
механизации производства ж/б работ.
Диспетчерский график
В качестве транспортного
средства для доставки бетонной смеси на строительную площадку принимаем
автобетоновоз АБ-2, вместимость кузова которого 3,2 м3.
Необходимое количество
автобетоновозов:
где

= 7 мин -
продолжительность загрузки автотранспортных средств на заводе

- время нахождения
автотранспортного средства в пути, мин


- средняя скорость
движения автобетоновоза

= 3 мин - время
маневрирования автобетоновоза

= 1,5 мин - время
выгрузки бетонной смеси

- время укладки
бетонной смеси доставленной за один рейс
Технические
характеристики автобетоновоза АБ-2
Модель автомобиля
МАЗ-503
Вместимость кузова, 3.2
м3
Объем кузова 5 м3
Грузоподъёмность 8 т
Высота загрузки 2700 мм,
выгрузки 1260 мм
Габаритные размеры, мм:
длина 5780, ширина 2600, высота 2930.
Диспетчерский график
приведен в приложении А.
Схема подачи бетонной
смеси в опалубку приведены на рисунке 5.
9. Календарный график
График производства
работ по возведению цилиндрического резервуара составляется с целью
установления сроков начала и окончания каждого процесса, их взаимосвязи во
времени, определение общей продолжительности работ по возведению объекта.
Устанавливают перечень
основных и вспомогательных процессов.
Определяют расчётный
состав звена и принимают механизмы.
Продолжительность работ
в сменах определяют путём деления трудоёмкости работ на количественный состав
бригады.
Строится график с учётом
проектируемого коэффициента выполнения норм выработки с увязкой во времени
отдельных приёмов.
Калькуляция и
календарный график приведены в приложении Б и В соответственно.
Приложение Б - калькуляция
трудовых затрат
|
N
|
Наименование процеса
|
Ед. измер.
|
Нвр на ед. работ
|
Объём работ
|
Обоснование по ЕНиР
|
Трудоёмкость работ
|
Состав звена по ЕНиР
|
|
|
|
|
|
|
|
Профессия и разряд
|
Кол-во
|
|
1
|
2
|
3
|
4
|
6
|
7
|
8
|
10
|
11
|
|
1
|
Установка дерево-металлической опалубки а) 1 захватка б) 2
захватка
|
м2 м2
|
0,46 0,46
|
280 280
|
Е4-1-39
|
140 140
|
4 3
|
1 1
|
|
2
|
Разборка опалубки а) 1 захватка б) 2 захватка
|
м2 м2
|
0,32 0,32
|
280 280
|
Е4-1-39
|
89,6 89,6
|
4 3
|
1 1
|
|
3
|
Установка арматуры а) 1 захватка б) 2 захватка
|
т т
|
22,5 22,5
|
1,6 1,6
|
Е4-1-46 Е4-1-46
|
36,8 36,8
|
5 2
|
|
4
|
Бетонные работы а) 1 захватка б) 2 захватка
|
м3 м3
|
1,8 1,8
|
55,2 55,2
|
Е4-1-49
|
100,4 100,4
|
5 3
|
2 2
|
|
Общее количество человек в бригаде
|
10
|
10. Контроль качества ведения работ
и бетона
За процессом бетонирования
необходимо вести систематический контроль на всех операциях, начиная от
приготовления бетонной смеси и кончая распалубкой. Этот контроль должна
осуществлять строительная лаборатория вместе с непосредственными исполнителями.
Для приготовления бетонной смеси
применяют качественные и чистые материалы (песок, щебень, цемент). При этом
систематически проверяют крупность песка и щебня, их влажность, количество
вредных глинистых и пылеватых частиц, а также прочность щебня на сжатие. Необходимо
организовать лабораторный контроль за такими показателями цемента, как сроки
его схватывания, тонкость помола и прочность на сжатие (марка).
Особое внимание уделяют точности
дозирования составляющих. При этом расход воды систематически корректируют в зависимости
от фактической влажности заполнителей.
У места укладки бетонной смеси
проверяют ее однородность, подвижность и объем. Если замечено, что смесь при
перевозке расслоилась, немедленно корректируют ее состав, изменяют маршрут
перевозки, модернизируют транспортные средства и т. д. При отклонении от
заданной подвижности изменяют В/Ц и улучшают условия транспортирования.
На каждую партию смеси, доставленную
бетоновозом, нужно иметь паспорт. В нем указывают марку смеси, ее подвижность,
вид цемента, крупность заполнителя и объем партии.
Контроль за качеством подачи,
распределения и укладки бетонной смеси должен вести технический персонал
стройки. Контроль заключается в наблюдении за организацией работ и выполнением
всех без исключения технологических операций.
Качество бетона сильно зависит от
качества опалубки, отсутствия в ней щелей, мер, принятых против расслоения
бетонной смеси при подаче и укладке, послойной укладки, качества подготовки
рабочих швов, способа виброуплотнения, ухода за бетоном, своевременной и
правильной распалубки. Поэтому вес эти и другие факторы должны постоянно
находиться под контролем технических руководителей стройки.
Особое внимание необходимо уделять
контролю за виброуплотнением бетонной смеси. Контроль за процессом вибрирования
пока ведут визуально, судя по степени осадки смеси, прекращению выхода из нее
пузырьков воздуха и появлению цементного молока. Субъективность оценки приводит
к ошибкам и в конечном счете к снижению качества бетона. В последнее время для
контроля за уплотнением бетонной смеси разработаны плотномеры, принцип действия
которых основан на измерении поглощения гамма-излучения. При этом у хорошо
уплотненного бетона степень поглощения радиоактивного излучения выше, и
наоборот.
Созданы приборы, использующие для
контроля за степенью уплотнения бетонной смеси изменение ее омического
сопротивления. Внедрение такого контроля повышает качество бетона.
Прочность на сжатие монолитного
бетона во всех областях строительства, кроме гидротехнического, оценивают но
результатам испытаний образцов-кубов 20x20x20 см в возрасте 28 сут в
соответствии с ГОСТом.
Контрольные образцы-кубы готовят на
месте укладки из бетонной смеси, непосредственно укладываемой в дело и
выдерживаемых в условиях нормального твердения (при 20(±2)°С и относительной
влажности не менее 90%).
Каждая серия контрольных образцов
состоит из трех одинаковых кубов. Количество серий определяют в зависимости от
вида конструкций или сооружений, их габаритов й массивности. Одну серию
образцов-кубов назначают на каждые 50 м3 массивных конструкций при объеме блока
бетонирования менее 1000 м3
Прочность бетонав конструкции или
сооружении считают достаточной, если ни в одной из испытанных серий снижение
прочности по сравнению с проектной маркой бетона не превышает 16%.
Если при испытании образцов
окажется, что прочность бетона ниже проектной более чем на 15%, состав бетона
для дальнейшего бетонирования немедленно корректируют, а возможность
использования ранее забетонированных конструкций определяет проектная
организация.
Таблица 5 - Технические критерии
оценки качеств
|
1
|
2
|
3
|
4
|
5
|
|
Наименование процессов, подлежащих контролю
|
Предмет контроля
|
Инструмент и способ контроля
|
Периодичность контроля
|
Ответственный за контроль
|
|
Установка опалубки
|
|
Подготовка опалубки к монтажу
|
Прилегание щитов полутуннеля друг к другу
|
Метр складной. Инструментальный
|
В процессе сборки блоков опалубки
|
Мастер
|
|
Сборка полутуннелей в блоки
|
Параллельность палуб щитов
|
Рейка, метр Инструментальный
|
При поступлениина стройплощадку
|
Мастер
|
|
Отклонение плоскости палубы стенового щита от вертикали
|
Отвес; метр Инструментальный
|
В процессе сборки
|
Мастер
|
|
Отклонение плоскости палубы щита перекрытия от горизонтали
|
Уровень, метр Инструментальный
|
В процессе сборки
|
Мастер
|
|
Соответствие геометрических размеров, наличие внешних дефектов
|
Рулетка металлическая Инструментальный и визуальный осмотр
|
После сборки в блоки
|
Мастер прораб
|
|
Монтаж опалубки
|
Точность установки опалубки и подмостей
|
Инструментальный
|
В процессе монтажа
|
Мастер
|
|
Минимальная прочность бетона при распалубке загруженных
конструкций
|
Инструментальный
|
До распалубки
|
Мастер прораб
|
|
Бетонирование
|
Правильность установки и надежность крепления опалубки.
Состояние арматуры. Акты приемки, арматуры. Соответствие проекту отметки и
верха опалубки Качество основания (очистка от грязи, наледи, снега)
Обработка рабочих швов
|
Нивелир. Визуальный и измерительный
|
До бетонирования
|
Мастер
|
|
Прием бетонной смеси
|
Соответствие бетонной смеси техническим условиям, паспорту
|
Конус, пресс. Измерительный
|
До бетонирования (не реже двух раз в смену)
|
Лаборант, производитель работ
|
|
Укладка бетонной смеси
|
Правильность технологии укладки бетонной смеси. Правильность
выполнения рабочих швов Уплотнение бетонной смеси Шаг перестановки и
глубина погружения вибратора. Достаточность вибрации.
|
Визуально Визуально Термометр Измерительный Отвес, нивелир,
рейка
|
В процессе укладки
|
Мастер
|
|
Уход за бетоном
|
Толщина бетонируемого слоя Соблюдение влажностного и
температурного режима Наличие поверхностных дефектов, размеры, отметки
|
Визуально
|
После распалубливаиия
|
Мастер
|
|
Демонтаж опалубки
|
|
Минимальная прочность бетона незагруженных конструкций при
распалубке:вертикальных поверхностей; гор. и наклонных поверхностей
|
Инструментальный
|
До распалубки
|
Мастер, строй лаборатория
|
Список использованных источников
1 Ахвердов ИЛ. Теоретические основы бетоноведения. -Минск,
Вышэйшая школа, 1991, 187с
. Хаютин ЮГ. Монолитный бетон. -М.: Стройиздат, 1991
. Евдокимов НЛ., Мацкевич А.Ф., Сытник В.С. Технология монолитного
бетона и железобетона.~М.:Всышая школа, 1980
Афанасьев АА, Данилов НЛ., Бучар Г. Технология монолитного бетона
и железобетона. -М: Стройиздат, 1999
. Руководство по конструкциям опалубок и производству опалубочных
работ ЦНИИОМ ТП Госстроя СССР. -М.: Стройиз дат, 1983
. Справочник строителя. Ред. В Д. Топчий. Стройиз дат, 1987
. Щербач ВЛ., Плосоконосов ВЛ., Чиндарев ВВ Методические указания
«Производство бетонных работ», БрПИ, 1991
. Плосконосое ВЛ. Технология монолитного бетонирования в
строительстве. Конспект лекций. Брест, 2002.
. Методические указания к выполнению курсового проекта «Монолитное
бетонирование».