Анализ состояния энергообеспечения предприятия КХ 'Сокол' Краснокутского района Саратовской области
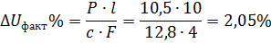
Введение
Важнейшим условием деятельности
сельскохозяйственного производства является энергообеспечение его
производственной и социально-бытовой сферы. Агропромышленный комплекс является
энергоёмкой отраслью народного хозяйства, поэтому только бесперебойное
энергообеспечение с минимальными расходами ресурсов может обеспечить наибольший
успех аграрного сектора, т.е. его максимально возможную производительность.
Из суммарного энергопотребления на душу
населения в сельском хозяйстве, доля тепловой энергии составляет 52 - 53%,
электроэнергии 12 -13%, топливно-энергетические ресурсы - 35%. Большое
количество энергии расходуется на отопление производственных, жилых и
общественных зданий, создание искусственного микроклимата в животноводческих
помещениях и сооружениях защищенного грунта, сушку сельскохозяйственных
продуктов, получение искусственного холода и на многие другие цели. Поэтому
энергообеспечение предприятий АПК включает в себя широкий круг задач, связанный
с производством, передачей и применением тепловой и электрической энергии,
используя традиционные и нетрадиционные источники энергии. Поэтому
энергообеспечение предприятий АПК - это совокупность источников, сетей и систем
энергоснабжения, электрическое, тепловое, холодильное, газовое и
водораспределительное технологическое оборудование предприятий, бытовых,
административных и общественных зданий.
Сегодняшнее понятие АПК - это примерно 99%
средние и малые АО, ООО, фермерские хозяйства, дачные и садово-огородные
участки горожан. Функционирование этих хозяйств без потребления электрической и
тепловой энергии, воды, топлива и без использования энергетического
оборудования невозможно.
Изменение структуры и содержания
сельхозпредприятий изменило потребности, масштабы и виды используемых ресурсов.
Многие крупные сельскохозяйственные комплексы, совхозы, колхозы и другие
распались, и в связи с этим отпала потребность в крупных теплоэнергетических
установках и энергосистемах для нужд АПК. В настоящее время программой минимум
по энергообеспечению возрождаемых или вновь создаваемых предприятий АПК
является восстановление и модернизация существующих источников, систем и сетей
энергообеспечения на основе энергосберегаемых технологий согласно новых СНиП,
ПУЭ и т.д.
1. Анализ состояния
энергообеспечебния предприятия
КХ «Сокол» Краснокутского района Саратовской
области находится в северо-восточной зоне Саратовской области в 12 км от города
Красный Кут по шоссе Озинки - Саратов.
Природою - климатические условия: среднегодовая
температура +7° С; среднегодовое количество осадков 492 -475 мм; полоса -
степная, лесостепная; толщина снежного покрова 40 см.
Других производств, помимо
сельскохозяйственного, нет. Основное направление хозяйства -
зерноскотоводческое; в растениеводстве - зерновое; в животноводстве -
мясо-молочное. Почвы пригодны для возделывания зерновых, древесно-кустарниковых
культур и овощей. Улицы села застроены одно-двухквартирными жилыми домами
частной застройки. Из инженерных сетей в селе имеются линии электроснабжения,
связи, водопровод, теплотрасса и газопровод.
Из культурно-бытовых и общественных зданий в
селе имеются: школа, клуб, контора, ясли, детсад, несколько магазинов. Из
зданий производственного назначения в селе имеются: молочно-товарная ферма на
400 голов дойных коров, молодняка и телят, конный двор, свиноферма на 500
голов, ремонтно-механическая мастерская, гаражи на 10 машин, машинно-тракторная
ремонтная мастерская на 10 условных единиц ремонта, складской сектор, пилорама
ЛРМ-79.
Численность основного и вспомогательного
персонала 185 человек.
Согласно проектному заданию модернизации
подлежит молочнотоварная ферма на 400 голов, характеристики энергообеспечения
которой будут приведены выше.
Проект основан на генплане, с учётом возможности
модернизации и использования существующих энергосетей с применением
энергосберегающих технологий и средств.
Данные по растениеводству и животноводству
приведены в таблицах 1.1.и 1.2.
Таблица 1.1
|
№
|
Наименование
|
Посевная
|
Урожайность,
ц/га
|
|
п/п
|
культур
|
площадь
|
на
1.1. 2010
|
на
5 -7 лет
|
|
1
|
Пшеница
озимая
|
160
|
9,4
|
15,4
|
|
2
|
Рожь
|
340
|
15,3
|
15,4
|
|
3
|
Ячмень
|
730
|
8,1
|
13
|
|
4
|
Просо
|
160
|
8,5
|
12
|
|
5
|
Овощи
|
8,7
|
92
|
145
|
Объектом энергообеспечения являются коровник на
400 голов, где содержатся коровы дойные, сухостойные и нетели, а так же
телятник на 224 головы с родильным отделением на 48 коров. Содержание животных
-привязное (стойловое), с частичным использованием пастбищ.
Продолжительность стойлового периода - 220 дней,
пастбищного - 145 дней.
Таблица 1.2.
|
№
п/п
|
Возрастные
группы КРС
|
количество
голов
|
среднесуточные
привесы гр.
|
среднесуточные
надои, л
|
|
|
1.1.
10
|
На
5-7 лет
|
1.1.10
|
на
5 -7 лет
|
1.1.10
|
на
5 -7 лет
|
|
1
|
Коровы
дойные
|
200
|
200
|
440
|
455
|
11,9
|
13,4
|
|
2
|
Нетели
|
160
|
160
|
|
|
|
|
|
|
|
|
|
|
|
|
|
3
|
Быки-производители
|
3
|
3
|
|
|
|
|
|
|
|
|
|
|
|
|
|
4
|
Молодняк
до 1-го года
|
211
|
213
|
410
|
450
|
|
|
|
|
|
|
|
|
|
|
|
5
|
Молодняк
старше 1-го года
|
174
|
189
|
420
|
452
|
|
|
|
|
|
|
|
|
|
|
Продолжительность стойлового периода-220 дней,
пастбищного - 145 дней.
Приготовление кормов - сухое дробление и
перемешивание. Раздача кормов осуществляется при помощи КТУ-10 в стационарные
кормушки, поение из автопоилок ПА-1А.
Животноводство в хозяйстве также представлено
свинофермой на 500 голов, но в расчёте энергообеспечения не учитывается.
Согласно данных таблицы 1.1. растениеводство
представлено зерновыми культурами. В хозяйстве имеются механизированные тока
ЗАВ-20 и ЗАВ-40.
На территории животноводческой фермы установлена
трансформаторная подстанция 2x250 кВА, которая обеспечивает силовую и
осветительную сеть коровника, телятника, молочного блока и т.д.
Электроэнергией, общее состояние электрификации МТФ удовлетворительное.
Состав основного машинотракторного парка
хозяйства, находящегося в эксплуатации, приведен в таблице 1.3.
Таблица 1.3
|
№
п/п
|
Наименование
машин
|
Единица
измерения
|
Количество
|
|
1
|
Трактор
МТЗ
|
шт.
|
16
|
|
2
|
Трактора
Т-4, Т-150
|
шт.
|
4
|
|
3
|
Трактор
К700 (701)
|
шт.
|
3
|
|
4
|
Другие
трактора
|
шт.
|
29
|
|
5
|
Автомобиль
грузовой ГАЗ-53
|
шт.
|
6
|
|
6
|
Автомобиль
грузовой Камаз
|
шт.
|
3
|
|
7
|
Автомобиль
УАЗ
|
шт.
|
2
|
|
8
|
Комбайны
Колос СК-6 и Нива СК-5
|
шт.
|
7
|
|
9
|
Другие
комбайны
|
шт.
|
6
|
Сельскохозяйственная техника используется как
сезонно на посевных и уборочных работах, так и круглогодично для механизации
многих трудоемких операций в животноводстве, на строительно-монтажных работах
во возведению производственных, жилых и общественных объектов, в мелиоративных
работах, для транспортных и технологических нужд сельского хозяйства ТО и ТР
для всей сельхозтехники, за исключением автомобилей и тракторов, которые
эксплуатируются круглогодично планируются и проводятся сезонно.
1.1 Теплоснабжение
В хозяйстве имеются несколько отдельно стоящих
котельных, отапливающих отдельно административный, культурно-бытовой и жилой
сектор; производственный сектор и молочно-товарную ферму.
Источником теплоснабжения МТФ была принята
отдельно стоящая котельная (общефермерская) по типовому проекту 903-1-23/71 с
установкой четырёх водогрейных котлов «Универсал - 6м», работающих на твердом
топливе. Проект предусматривал теплоснабжение фермы теплоносителем горячей
водой с парометром t2=95° С, to=70° С, для технологических нужд -пар давлением
0,5 атм. от передвижного котла КВ-300 м. За расчётную была принята температура
наружного воздуха tн= - 30° С, продолжительность отопительного периода 196
дней. Режим потребления тепла был принят круглосуточный.
Проектные данные по расходу тепла на объект МТФ
по типовому проекту 801-314 приведены в таблице 1.4.
Таблица 1.4
|
№
п/п
|
Теплопотребитель
|
Кол-во
здан.
|
№
типового проекта
|
Расход
тепла ккал/час.
|
|
|
|
|
отоплен
|
вентил
|
Г.В.
|
технол.
паросн.
|
|
1
|
Коровник
на 400 голов
|
1
|
сущ.
|
|
346000
|
|
|
|
2
|
Коровник
на 400 голов*
|
1
|
801-314
|
|
346000
|
|
|
|
3
|
Молочный
блок про-ю 3 т/сутки
|
1
|
сущ.
|
55140
|
160080
|
140000
|
287000
|
|
4
|
Телятник
на 224. головы с род. отд.
|
1
|
сущ.
|
|
182105
|
|
----
|
|
|
|
|
|
|
|
|
|
5
|
Вет/сан
про-к на 50 человек
|
1
|
сущ.
|
40700
|
118500
|
92000
|
|
|
6
|
Изолятор*
|
1
|
807-29
|
12530
|
|
|
|
|
7
|
Бригадный
дом
|
1
|
сущ.
|
8700
|
1500
|
|
|
|
8
|
Склад
конц. кормов
|
1
|
сущ.
|
18020
|
|
|
|
Объекты отмеченные звездочкой не были построены,
поэтому теплоснабжение МТФ подлежит модернизации.
1.2 Водоснабжение
В настоящее время водоснабжение села
осуществляется за счет поверхностных вод реки Б. Карамыш. В селе по улицам
проложен водопровод с водоразборными колонками. Вода передвижной насосной
станцией подаётся в водонапорную башню Рожновского и далее поступает в
водопроводную сеть.
Проект водоснабжения молочно-товарной фермы
выполнен на основе задания на проектирование систем водоснабжения утвержденного
ОКСом при Управлении сельского хозяйства Краснокутского района Саратовской
области от. 601.1982 г. согласно СНиП II - 31 - 74, СНиП - 32 - 74. Проектом
разработана сеть хозпитьевого и производственного водопровода.
Водоснабжение было предусмотрено от сети
существующего тупикового водопровода из металлических труб, диаметром 100 мм.,
источником которого являются 2 артскважины с дебитом 10-12 м3/час (высота
подачи 110 м, насос центробежный, двигатель погружной, мощностью 7,5 кВт).
Сеть хозпитьевого, производственного водопровода
запроектирована из полиэтиленовых труб ПНП «СЛ» по ГОСТ 18599-73, диаметром 63
мм, необходимый напор в сети, согласно СНиП II - 31 - 74 должен быть не менее
10 м в. Ст.
В месте подключения проектируемого водопровода к
существующему предусмотрен водопроводный колодец из ж/б колец диаметром 1500 мм
с отключающей арматурой.
В таблице 1.5. приведены нормативы
водопотребления по объектам МТФ.
Таблица 1.5
|
№
|
Наименование
|
Ед.
изме
|
Коли-
|
Водопотребление
|
|
п/п
|
водопотребителей
|
рения
|
чество
|
м3/сут
|
м3час
|
|
1
|
Коровник
на 400 голов
|
здан.
|
1
|
50,24
|
10,8
|
|
2
|
Молочный
блок про-ю 3 т/сутки
|
здан.
|
1
|
18,35
|
6,57
|
|
3
|
Телятник
на 224 головы с род. отд. на 48 гол
|
здан.
|
1
|
15,52
|
4,48
|
|
4
|
Вет/сан
про-к на 50 человек
|
здан.
|
1
|
4,25
|
2,27
|
|
5
|
Бригадный
дом
|
здан.
|
1
|
|
|
|
6
|
Котельная
|
здан.
|
1
|
205
|
|
|
7
|
Склад
конц. кормов
|
здан.
|
1
|
|
|
Согласно СНиП II - 31 - 74 расход воды на
наружное пожаротушение составляет 10 л/с, количество пожаров - один, тушение в
течение трёх часов:общ= 10-3-3600=10800л = 108м3
Пожаротушение предусмотрено из 2-х резервуаров,
ёмкостью V=50 м3 каждый. Наполнение резервуаров предусмотрено от пожарного
крана, находящегося на вводе водопровода в помещении вет./сан. Пропускника на
50 человек.
1.3 Газоснабжение
Газоснабжение села производится от ГРС. От ГРС
газ высокого давления транспортируется по газопроводу диаметром 89 мм (по ГОСТ)
до ГРП, а затем ко всем объектам. Расход газа предусматривает потребности в
отоплении, горячем водоснабжения и других индивидуально - бытовых нужд.
Внутрипоселковые сети низкого давления выполнены
трубой диаметром от 40 мм до 15 мм. По всей трассе газопровода, через 200
метров, установлены КИП, совмещенная с выводами для замера потенциала. Так же
предусмотрена электрохимзащита трассы газопровода от коррозии.
Газоснабжение самой МТФ не предусмотрено. Подвод
газа только предусмотрен к общефермерской котельной.
.5. Электроснабжение.
Согласно перспективной схемы электроснабжения
Саратовской области электрификация хозяйства осуществляется от воздушной линии 10
кВ, питаемой от п/ст «Орошение - III», резервное питание предусмотрено по ВЛ 10
кВ от п/ст «Коминтерн».
Расчетная мощность общественно -
производственных электропотребностей определена с использованием действующих
типовых проектов соответствующих построек. Подсчет нагрузок в существующих
жилых и производственных зданиях произведён по аналогичным действующим типовым
проектам. Нагрузка уличного освещения определена из расчета 2 Вт/м длины улицы.
Выбор количества и мощности трансформаторных
подстанций проведен на основании сравнения различных вариантов сетей.
Расположение трансформаторных подстанций обусловлено максимальным их
приближениям к объектам нагрузок. На территории села и в производственных зонах
размещены несколько трансформаторных подстанций 10/0,4 кВ.
Для электроснабжения МТФ установлена
трансформаторная подстанция комплектного типа с трансформатором мощностью 2x250
кВА в соответствии с типовым проектом 407-3-227.
Объекты обслуживаемые от ТП и их установленные
мощности приведены в таблице 1.6.
Таблица 1.6
|
№
п/п
|
Наименование
потребителя
|
Установленная
мощность, кВт
|
Расчётная
мощность, кВт
|
|
1
|
Коровник
на 400 голов
|
59,39
|
43,0
|
|
2
|
Молочный
блок про-тью Зт/сутки
|
49,21
|
35
|
|
3
|
Телятник
на 224 головы, с род. отд. на 48 голов
|
40,76
|
25
|
|
4
|
Веет/сан
пропускник на 50 чел.
|
22,9
|
18,5
|
|
5
|
Бригадный
дом
|
5,1
|
3
|
|
6
|
Склад
конц. кормов
|
4
|
|
|
7
|
Котельная
|
127,55
|
45,0
|
Анализ исходного проекта, созданного на базе
хозяйства показали, что существующие источники, системы и сети энергоснабжения
подлежат модернизации исходя из реально существующих потребителей энергии.
Модернизации энергообеспечения подлежат
следующие объекты МТФ.
Таблица 1.7
|
№
п/п
|
Наименование
объекта
|
Кол-во
здан.
|
Вид
энергообеспечения
|
|
|
|
отопл.
|
вентил,
кондиц
|
г.в.
|
техн
паросн.
|
Х.В.
|
Эл.
сн.
|
|
1
|
Коровник
на 400 голов
|
1
|
-
|
+
ВК
|
+
|
-
|
+
|
+
сил осв
|
|
2
|
Молочный
блок
|
1
|
+
|
+
В
|
+
|
+
|
+
|
+
сил осв
|
|
3
|
Телятник
на 224 г.
|
1
|
-
|
+
ВК
|
+
|
-
|
+
|
+
сил осв
|
|
4
|
Веет/сан
пропускник
|
1
|
+
|
+
В
|
+
|
-
|
+
|
+
сил осв
|
Бригадный
дом
|
1
|
+
|
+
В
|
-
|
-
|
-
|
+
сил осв
|
|
6
|
Склад
конц кормов
|
1
|
+
|
|
-
|
-
|
-
|
+
осв
|
2. Проектирование тепло-, водо-, и
газоснабжения МТФ
.1 Расчет тепловой нагрузки
Расчётную тепловую нагрузку котельной
отопительно-производственного типа определяют отдельно для холодного и теплого
периодов года. В зимнее время тепловая нагрузка котельной (ФР) состоит из суммы
максимальных расходов теплоты на отопление ( ∑ФОТ), вентиляцию (∑ФВ),
горячее водоснабжение (∑ФГ.В.) и технологические нужды (∑ФТ), Вт с
коэффициентом запаса КЗ=1,2 - учитывающим потери теплоты в тепловых сетях,
расход теплоты на собственные нужды котельной и резерв на возможное увеличение
теплопотребления хозяйством.
ФРЗ=1,2
(∑ФОТ+∑ФВ.+∑ФГ.В.З.+∑ФТ).
В летнее время нагрузку котельной составляют
максимальные расходы теплоты на технологические нужды и горячее водоснабжение:
ФР.Л.=1,2
(∑Фг.в.л+∑Фт)
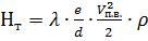
2.1.1 Расход теплоты на отопление
Для общественных и производственных зданий
максимальные потоки теплоты (Вт), расходуемой на отопление определяются по
формуле:
ФOT=qOT.
VH.
(tB
- tH)
a;
где: qOT - удельная отопительная характеристика
здания (поток теплоты, теряемой 1 м3наружного объема здания в единицу времени
при разности температур внутреннего и наружного воздуха в 1), Вт/м3 °С
(приложение 11, 12 [2]);- объём здания по наружному обмеру (*без подвальной
части), м3 принимают по типовым проектам или определяют путем перемножения
длины на ширину и высоту его от планировочной отметки земли до верха карниза;-
средняя расчетная температура воздуха, характерная для большинства помещений
здания, °С (приложение 1,2 [1]);- расчетная зимняя температура наружного
воздуха, °С
(приложение 3 [1]);
а - поправочный коэффициент учитывающий влияние
на удельную тепловую характеристику местных климатических условий, стр. [1]:
, °C -10 -20 -30 -40
а 1,2 1,1 1,0 0,9
Максимальные потоки теплоты по объектам
молочно-товарной фермы:
• Санитарный блок на 50 человек, блок служебных
помещений:
=27
12
2,7=874,8
м3, тогда:
Фот=0,5
874,8
(18+25)
4,05=19748,6
Вт
• бригадный дом:
9
2,7=291,6
м3, тогда:
Фот=0,5
291,6
(18+25)
1,05=6582,8
Вт
• склад конц кормов.
=8
2342=772,8 м3,
тогда:
Фот=0,6
772,8
(10+25)
1,05=17040,2
Вт
• Молочный блок, производительностью 3 т. молока
в сутки
=12
12
3=432
м3, тогда:
Фот=0,5
432
(10+25)
4,05=9752
Вт.
Максимальные потоки теплоты, расходуемые на
отопление объектов МТФ сводим в таблицу 2.1.
Таблица 2.1
|
Наименование
объекта
|
Фот,
ВТ
|
|
Коровник
на 400 голов
|
|
|
Телятник
на 224 головы с род. отдел, на 48 голов
|
|
|
Санитарный
блок на 50 человек, блок служебных помещений
|
19748,6
|
|
бригадный
дом
|
6582,8
|
|
склад
конц кормов
|
17040,2
|
|
Молочный
блок, производительностью 3 т. молока в сутки
|
9752
|
|
Итого
|
53123,6
|
2.1.2 Расход теплоты на вентиляцию
Для общественных и производственных зданий
максимальные потоки теплоты (Вт), расходуемой на подогрев воздуха в системе
вентиляции ориентировочно определяются по формуле:
=qB
VH
(tB - tH.B.), где:
- удельная вентиляционная характеристика здания,
Вт/м3 °С, принимаем по приложениям 11 и 12 [2];- расчетная зимняя
вентиляционная температура воздуха, °С, принимается по приложению 3[1]. Для
общественных и производственных и общественных зданий Саратовской области tHB=
16
°С.
Максимальные потоки теплоты по объектам МТФ
• санитарный блок на 50 человек, блок служебных
помещений:
Фв=0,1
874,8
(18+16)=2974,3 Вт
• бригадный дом:
Фв=0,1
291,6
(18+16)=991,4 Вт
• молочный блок, производительностью 3 т/сутки:
Фв=0,23
432
(18+16)=3378,2 Вт.
Для животноводческих помещений (коровник на 400
голов и телятник на 224 головы с род. отделением) рассчитаем приточно-вытяжную
систему вентиляции с подогревом приточного воздуха при помощи калориферов, т.е.
совмещенную с отоплением и естественную вытяжку загрязнённого воздуха.
• коровник на 400 голов.
По типовому проекту 801 - 314 средняя живая
масса Мк=500 кг; средний уровень лактации коров 15л.; габариты объекта:
120x21x2,4; объем
помещения для коров:
П= 111,6
20,4
2,4
+ 111,6
=8575 м3
Расчетные параметры наружного воздуха: tН= - 25
°С, tHB= - 16 °С,
н= 83% (по
приложение 3[1]);
барометрическое давление 99,3 кПа, зона
влажности местности нормальная (для Саратовской области).
Расчётные параметры внутреннего воздуха: tВ =
10°C,
В
=75% (приложение 2[1]).
Для холодного периода воздухообмен
животноводческих помещений рассчитывают по влаге и углекислоте.
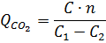
) Определение воздухообмена по СО2: Часовой
объем приточного воздуха:
где: С=158 л/ч - объем СО2 выделяемой одним
животным (приложение 7[1]);=2 л/м - допустимая концентрация СО2 в помещении для
животных (таблица 23 [2]),
С2=0,3 л/м3 - концентрация СО2 в наружном
воздухе;
=400 - количество
голов скота в помещении, тогда:
) Определение воздухообмена по влаговыделениям.
Масса водяных паров выделяющихся в помещении
животными:
Ж=b
W
Kt,
где: W=507 г/ч - масса влаги, выделяемая одним
животным (приложение7[1]);
=400 - количество
животных в помещении; Kt - поправочный коэффициент, учитывающий изменение влаговыделений
животными при различных внутренних температурах, при tB=10 °C, Kt=l (приложение
8[1]) тогда:
Ж=400
507
1=202800
г/ч
Влага, испарившаяся с мокрых поверхностей
помещений: Wисп=ζ
Wж
где: ζ =0,25 - коэффициент
учитывающий испарения влаги с мокрых поверхностей помещения, для коровника ζ
=0,1
0,25
(стр.[2]).
тогда Wисп=0,25
202800=50700
г/ч
суммарные влаговыделения:
= Wж+ Wисп=202800+50700=253500 г/ч
Влагосодержание внутреннего и наружного воздуха
определяется по I-d - диаграмме (приложение 11 [1])
При tB=10 °С и
в=75%
- dB=5,7 г/кг сух возд.
и tH=-25 °С и
н=83%
- dн=0,4 г/кг сух возд.
Тогда плотность воздуха внутри помещения при
tB=10 °C:
где Р - расчетное барометрическое давление в
данном районе, кПа (приложение 5 [2]).
Тогда воздухообмен исходя из допустимого
содержания в воздухе помещения выделенных паров:
Воздухообмен для коровника принимаем по
влагосодержанию:
=QW=3912O м3/ч
Кратность воздухообмена:
Что соответствует нормам для животноводческих
помещений в холодный период года: к=3
5
Рассчитаем естественную вентиляцию:
Площадь поперечного сечения (м2) всех
вентиляционных шахт:
где:
-
скорость давления воздуха в вентиляционной шахте, м/с тогда
где:
- высота вентиляционной шахты (2
10
м), принимаем h=5м.
тогда

Число вентиляционных шахт:вш=F/f, где: f -
площадь живого сечения одной шахты, м2. Принимаем вентиляционную шахту
квадратного сечения со стороной квадрата 0,7м, тогда f=0,49 м2
вш =
14
штук.
Итак, принимаем 14 шахт квадратного сечения со
стороной квадрата 0,7 м.
Тепловая мощность (Вт) системы отопления
помещения:
Фот=Форг+Фв+Фисп+Финф-Фж,
где:
Фогр - тепловые потери через наружные ограждения
помещения, Вт;
Фв - поток теплоты, расходуемой на нагрев
приточного воздуха, Вт;
Фисп - поток теплоты, расходуемой на испарение
влаги, Вт;
Финф - поток теплоты, расходуемой на
инфильтрацию наружного воздуха, Вт;
Фж - поток теплоты, выделяемой животными, Вт.
а) Определение тепловых потерь через наружные
ограждения.
Наружные стены, толщиной
=0,3
м - из бетонных стеновых панелей, теплопроводность
бп=0,33
Вт/м °С ( по СниП П-3-79); в осях 10 - 12 - из глиняного кирпича, толщиной
=0,42
м,
=0,76
Вт/м °С (стр7[1]).
Длина помещения, где содержится скот с учетом
тамбура с обеих сторон, шириной 4,2 м: /=120-2»4,2=1 11,6 м, высота стены
/г=2,4м.
По периферии n=100шт окон, размером 1,5x1,2 м, с
двойным остеклением. Общая площадь окон: Fok= 100
1,5
1,2=180
м2.
Рис. 2.1
Площадь поверхности наружных стен из бетонных
панелей:
.c.б.=2
(lн
h)-
Fok-Fh.c.k.=2
111,6
2,4
- 180 - 2
2,4
11=302,88
м2;.c.k=58,2 m - площадь кирпичной кладки в осях 10-12.
Сопротивление теплопередаче наружных стен:
сопротивление
восприятию внутренней поверхности ограждения
(приложение
9, 10 [2]);
-сопротивление
теплопроводности отдельных слоев м-слойного, ограждения, толщиной
,
м, выполненных из материалов с теплопроводностью
,
;
RH
термическое
сопротивление теплоотдаче наружной поверхности ограждения,
(приложение
11 [2]).
Площадь пола здания: FП=20,4
111,6 = 2276,6 м2.
Заполнение животными помещения составит:
mk /Fn=400
500/2276,6=87
,
где n и mk - количество и живая масса животных в помещении.
> 80
,
значит из приложения 9, 10 и 11[2] берем RB=0,086
и
Rн=0,043
- для наружных стен.
Тогда: Rо.н.с.б. = 0,086 +
+
0,043 = 1,04
для бетонных стен;
Яо.н.с.б. = 0,086 +
+
0,043 = 0,68
- для кирпичной
кладки в осях 10 - 12.
Сопротивление теплопередаче двойных окон:
=0,345
( приложение стр [1]).
Теплопотери через наружные стены:
Фн.с.
,
где n - коэффициент, зависящий от положения
наружной поверхности ограждения по отношению к наружному воздуху (стр [1]),
тогда:
Фн.с
Одна из стен помещения обращена на северо-запад,
поэтому дополнительная потеря тепла через эту стену составит 10% от основных
потерь. Помещение для животных имеет две наружные стены, поэтому нужно добавить
ещё 5% от основных потерь теплоты.
Тогда все дополнительные потери тепла составят:
Фдоп
С учётом этой поправки теплопотери через
наружные стены составят:
Фн.с=
+
Фдоп =31170+3117=34287 Вт
Площадь перекрытия:
Перекрытие состоит из ж/б плит, толщиной
=0,035
м, теплопроводностью
=2,04 Вт/м °С,
настила из досок, толщиной
=0,025м,
=0,17
Вт/м °С; пароизоляция 1 слой рубероида, толщиной
=0,0015
м,
=0,17
Вт/м °С; утеплителя - минеральной ваты, толщиной
У=0,09
м,
=0,07
Вт/м °С, кровля - шифер, толщиной
ш=0,005
м,
=0,49
Вт/м °С (стр [1]).
Из приложения 9,10 [2] для бесчердачных
перекрытий
=0,l 15 м2 °С/Вт; RH=0,043 м2 °С/Вт.
Тогда сопротивление теплопередаче перекрытия:
Теплопотери через перекрытие составят:
=1 - для чердачных перекрытий по асбоцементной
кровле, (стр [1]).
Рис. 2.2
Полы бетонные, толщиной
п=0,13
м, на утепленном грунте. Из табл. стр[1]:
ст= 1,8 Вт/ м°С
> 1,16 Вт/ м °С, значит полы не утепленные.
Ширина пола в помещении для животных 20,4 м до
осевой линии 20,4/2=10,2 м. Разделим площадь пола на двухметровые зоны.
Рис. 2.3
Площади зон:
I=F3II=F3III=111,6
2=223,2
м2IV=4,2
111,6=468,7
м2
Сопротивление теплопередаче по зонам для не
утепленных полов составит (стр [1]):зона: RH.П.I =2,15 м2 °С/Втзона: RH.П.II
=4,3 м2 °С/Втзона: RH.П.III=8,6 м2 °С/Втзона: RH.П.IV = 14,2 м2 °С/Вт
Суммарные теплопотери по всем зонам пола
составят:
=l - для полов на грунте (стр [1]).
Тогда общие теплопотери через все наружные
ограждения составят:
Фогр=Фн.с.+Фпер+Фпол= 34287+50668,4+15027=99982
Вт.
б) Определение теплоты, расходуемой на нагрев
приточного воздуха:
Фв=0,278
Qw
Ср
(tB-tH),
где: Сp - массовая изобарная теплоемкость
воздуха, Ср=1 кДж/кг°С.
Тогда: Фв=0,278
39120
1,223
1
(10+25)=465529 Вт.
в) Определение расхода тепла на испарение влаги:
Фисп=0,278
2549
Wисп,
где: 2,49 - скрытая теплота испарения воды,
Фисп=0,692
50700=35084,4 Вт
г) Поток теплоты на инфильтрацию:
Финф=0,3
Форг=0,3
99982=29994Вт
д) Определение свободного тепла, выделяемого
животными:
Фж=n
q
Kt,
где:
- число животных данного вида в помещении,
n=400;- поток свободной теплоты, выделяемой 1-м животным
(приложение [1]); Вт- коэффициент учитывающий изменение
кол-ва выделенной животными теплоты, в зависимости от tB (приложение [1]),
Тогда: Фж=400
884
1=353600 Вт
Тепловая мощность системы ОВК:
Фот=99982,7+465519+35084,4+29994-353600=276980,8Вт.
Подбор калориферов.
Выбираем две одинаковые приточные системы с
подогревом воздуха в калориферах, установленных в торцевых частях здания.
Вычисления будем вести на одну приточную систему, которая должна обеспечить
воздухообмен в помещении для животных в объёме: Q/2=39120/2=19560 м3/ч, при
подаче тепла в количестве: Фот/2=276980,8/2=138490,4 Вт.
Принимаем предварительно массовую скорость
воздуха (Vρ)p=8,5 кг/ с
м2.
Тогда расчетная площадь живого сечения
калорифера:
По таблице [1] выбираем 2 калорифера КВБ-8,
установленных последовательно, что дает площадь живого сечения по воздуху
=2
0,416=0,832 м2
Действительная массовая скорость воздуха:
Скорость воды в трубках калорифера:
, где:
в
- плотность воды, принимаемая равной 1000 кг/м3;
Св - теплоемкость воды, равная 4,19 кДж/кг°С;,
t0 - температура воды на входе в калорифер и выходе из него, °С. t2=95 °C,
t0=70 °C;тр - площадь живого сечения калорифера по теплоносителю, м2,
fтр=0,0092 м2 (таблица [1]),
Тогда:
По графику (рис 10[1]) находим значение
коэффициента теплопередачи к для теплоносителя воды:
при Vρ=8 кг/с
м2 и ω=0,14
м/с,
k=25 Вт/м2
°С
Тогда фактическая теплоотдача калорифера с
помощью поверхности нагрева:
н=2
35,7=71,4 м2
составит:
Для животноводческих помещений температуру воздуха,
поступающего в калорифер следует принимать как расчетную зимнюю температуру
наружного воздуха, так как для Саратовской области температура наиболее
холодной пятидневки ниже -10 °С.
Запас по теплоотдаче составит:
, что удовлетворяет
условиям выбора калорифера: Фк=( 1,15... 1,2)Фот
Основные показатели пластинчатого калорифера
КВБ-8:
• площадь поверхности нагрева, м2 - 35,7
• площадь живого сечения, м2
по воздуху -0,416
по теплоносителю - 0,0092
•масса, кг - 174
Расчет воздуховодов и подбор вентиляторов.
Приточный воздуховод принимаем длиной 47 м,
тогда диаметр воздуховода:
, где
- расчетный воздухообмен, м3/ч;п.в.. - скорость приточного воздуха, м/с.
Принимаем VП.В.=12 м/с, тогда
Потери напора в трубопроводе:
, где:
λ - коэффициент трения
воздуха в трубопроводе, равный 0,02÷0,03;
е, d - длина и диаметр трубопровода, м;
ρ - плотность
воздуха, при tB=10°C, ρ =1,223 кг/м
Местные сопротивления.
- сумма
коэффициентов местных сопротивлений отдельных участков приточной системы. Из
приложения 12 [1]:
жалюзийная решетка на входе
=
0,5
4 колена воздухопровода под углом 90° крупного
сечения ξ
= 0,15
4=0,6
- 23 отвода от воздухопровода ξ = 0,2
23
= 4,6 (расстояние между отверстиями 2 м, тогда при длине воздуховода 47 м,
получаем 23 выходных отверстия)
=5,7, тогда:
Кроме того учитываем сопротивление калорифера
проходу воздуха. По графику рис [1] при Vp=8 кг/с
м2
для калорифера КВБ, Рк=50 Па.
Общий напор вентилятора:
Рв = Нт+hм.с.+Рк=109,5+502+50=661 Па
Подача вентилятора при воздухообмене,
осуществляемом одной приточной системой.
в=1,1
Q
где: 1,1 - поправочный коэффициент на потери или
подсосы воздуха в воздуховодах (при длине до 50 м. - 1,1), тогда: Qв=1,1
19560=21516
м3/ч
По номограмме ( рис [1]) подбираем центробежный
вентилятор ЦЧ-70 №7, у которого ηв=0,63,
А=8500, тогда частота вращения вентилятора:
Приняв клиноременную передачу на вентилятор (ηп=0,95),
определяем требуемую мощность на валу электродвигателя:
По таблице 8 [1] берем коэффициент запаса
мощности k3=1,1, тогда: установленная мощность электродвигателя:
уст=k3
NB=1,1
6,6=7,26
кВт
Из каталога выбираем электродвигатель 4A132S4Yз
мощностью 7,5 кВт, частотой вращения 1500об/мин. Расхождение в частоте вращения
учитываем соответствующими диаметрами шкивов клиноременной передачи между
электродвигателем и вентилятором.
• телятник на 224 головы с родильным отделением
на 48 коров.
По типовому проекту 801-3-7987
Средняя живая масса.
коров mk=550 кг,
телят mt=120 кг,
Габариты объекта 21x66x2,6;
Объем помещения для животных:
Расчетные параметры наружного воздуха: tH=-25°C.
tH.B=-16°C, φн=83% (приложение 3
[1]); барометрическое давление 99,3 кПа, зона влажности местности - нормальная
(для Саратовской области)
Расчетные параметры внутреннего воздуха:
tB=15°C; φв=75% (приложение 2
[1])
Расчет воздухообмена.
) Определение воздухообмена по СО2.
С1=2 л/м3; С2=0,3 л/м3 (таблица 23 [2])
Ск=144 л/ч - для коров, Cт=61 л/ч - для телят
(приложение 7 [1]); тогда:
) Определение воздухообмена по влаговыделениям:
Из приложения 7 [1]: Wк=461 г/ч - для коров;
Wт=195 г/ч - для телят.
Из приложения 8 [1]: при tB=15°C, kt=l,24.
Масса водяных паров, выделившихся в помещении:
ж= n
W
kt=48
461
l,24+224
195
l,24=81601,9г/ч
Влага, испарившаяся с мокрых поверхностей
помещения:
исп=ξ
Wж=0,25
81601,9=20400
г/ч
Суммарное влаговыделение:
= Wж+Wисп=81601,9+20400=102002 г/ч
Влагосодержание внутреннего и наружного воздуха
(I-d - диаграмма,
приложение 11[1])
При tB=15°C и φв=75%
- dв=8 г/кг сух. возд.
При tн= - 25°С и φн=83%
- dн=0,4 г/кг.сух. возд.
Плотность воздуха внутри помещения при tB=15°C:
Воздухообмен по влаговыделениям:
Воздухообмен принимаем по углекислоте: Q=
=12102
м3/ч
Кратность воздухообмена:
, что
соответствует норме: К=3÷5.
Рассчитаем естественную вентиляцию.
Скорость движения воздуха в вентиляционной
шахте:
=5м - высота вытяжной шахты.
Площадь поперечного сечения (м) всех
вентиляционных шахт:
Принимаем вытяжную шахту квадратного сечения со
стороной квадрата 0,6 м, тогда площадь живого сечения одной шахты: f=0,36 м2.
Число вентиляционных шахт:
Итак, принимаем 6 шахт квадратного сечения со
стороной квадрата 0,6 м.
Тепловая мощность (Вт) системы отопления
помещения:
Фот=Фогр+Фв+Фисп+Финф-Фж
а) Определение тепловых потерь через наружные
ограждения.
Наружные стены, толщиной δ=0,4
м
из керамзито-бетонных панелей, теплопроводностью λк.б=0,64
Вт/м
°С (стр [1])
Рис. 2.3
Длина помещения, где содержится скот с учетом
тамбура с обеих сторон, шириной 5 м: l=66-2
5=56 м, высота
стены h=2,6 м. По периферии n=40 шт. окон, размером 1,81x1,22 м с двойным
остеклением. Общая площадь окон: Fok=40
1,81
1,22=88,32
м2
Площадь поверхности наружных стен:
=2
(lH
h)-FOK=2
56
2,6-88,32=202,88
м2
Сопротивление теплопередаче наружных стен:
Площадь пола здания: Fп=56
20,2=l
131,2 м2
Заполнение помещения животными составит:
кг/м2 < 80 кг/м2, тогда из приложений 9, 10 и
11 [2], берем RB=0,115
; RH=0,043
для данных наружных стен, тогда:
сопротивление теплопередаче через наружные стены
составит
Сопротивление теплопередаче двойных окон:
=0,345
(стр
[1])
Теплопотери через наружные стены составят:
=1 (стр [1]).
Одна из стен помещения обращена на северо-запад,
поэтому дополнительная потеря тепла через эту стену составит 10% от основных
потерь. Помещение для животных имеет две наружные стены, поэтому нужно добавить
ещё 5% от основных потерь теплоты.
Дополнительные потери тепла составят:
С учетом этой поправки теплопотери через
наружные стены составят:
Фн.с.=
+Фдоп=20604+2060,4=22664,4
Вт
Площадь перекрытия:
Перекрытие состоит из ж/б плит, толщиной δж/б=0,035
м, теплопроводностью λж/б=2,04
Вт/м
°С;
настила из досок, толщиной δн=0,025м,
λн=0,17
Вт/м
°С;
1 слой рубероида, толщиной δр=0,0015м,
λр=0,17
Вт/м
°С;
утеплителя минеральной ваты, толщиной δу=0,005
м, λу=0,07
Вт/м
°С,
кровля -шифер, толщиной δш=0,005 м, λш=0,49
Вт/м
°С
(стр [1])
Рис. 2.4
Из приложения 9, 10 [2] для бесчердачных
перекрытий
=0,115 м2
0С/Вт; RH=0,043 м2
0С/Вт,
Сопротивление теплопередаче перекрытия:
Теплопотери через перекрытие:
=4 - для чердачных перекрытий по асбоцементной
кровле (стр [1]).
Полы бетонные, толщиной δб=0,08
м на уплотненном грунте, λб=1,8 кг/м°С
с деревянным покрытием, толщиной δд=0,02
м, λд=0,16
Вт/м°С (табл. стр [1]) λд=0,16 Вт/м°С
< 1,16 Вт/м°С, значит полы утеплённые.
Ширина пола в помещении для животных 20,2 м, до
осевой линии
Разделим площадь
пола на двухметровые зоны.
Рис. 2.5
Площади зон:
Сопротивление теплопередаче для каждой зоны для
утепленных полов:
где: RH.П. - сопротивление теплопередаче не
утепленных полов, м2 0С/Вт (стр [1]);
δу.с., λу.с.
- толщина, м и теплопроводность Вт/м
°С утепляющего
слоя. Сопротивление теплопередаче по зонам пола:зона: RH.П.I =2,15+
зона:
RH.П.II =4,3 +
зона:
RH.П.III=8,6+
зона:
RH.П.IV = 14,2+
Суммарные теплопотери по всем зонам пола
составят:
==l - для полов на грунте (стр [1]).
Тогда общие теплопотери через все наружные
ограждения составят:
Фогр=Фн.с.+Фпер+Фпол=22664,4+20114+8261=51039,8Вт
б) Теплота, расходуемая на нагрев приточного
воздуха:
Фb=0,278
Qw
Cp
(tB-tH),
Фв=0,278
12102
1,2
1
(15+25)=461489 Вт.
в) Расход тепла на испарение влаги:
Фисп=0,278
2,49
Wисп=0,692
Wисп=0,692
20400
г/ч =14116,8 Вт
г) Поток теплоты на инфильтрацию:
Финф=0,3
=0,3
1039,8=15311,94
Вт.
д) Определение свободного тепла выделяемого
животными:
из приложения 7 [1]: qk=805 Вт, qt=340 Вт; при
tв=15 С;=0,85 (приложение 8[1]), тогда:
Фж=48
805
0,85+224
340
0,85=97580Вт
Тепловая мощность системы ОВК:
Фот=51039,8+161489+1416,8+15311,94-97580=144377,5Вт.
Подбор калориферов.
Выбираем две одинаковые приточные системы с
подогревом воздуха в калориферах, установленных в торцевых частях здания.
Вычисления будем вести на одну приточную систему, которая должна обеспечить
воздухообмен в помещении для животных в объеме:
/2=12102/2=6051 м3/ч, при подаче тепла в
количестве:
Фот/2=144377,5/2=72188 Вт
Принимаем предварительно массовую скорость
воздуха (Vρ)p=8,5 кг/с
м2.
Расчетная площадь живого сечения калорифера
По таблице 7 [1] выбираем калорифер КВБ-5, у
которого площадь живого сечения по воздуху f=0,244 м2
Действительная массовая скорость воздуха:
Скорость воды в трубках калорифера:
где fт.р.=0,0076 м2 (таблица 7 [1])
По графику (рис 10[1]) находим значение k для
теплоносителя воды:
при Vρ=8,2 кг/C
м2
и ω=0,09
м/с,
k=23,5 Вт/м2 °С
Площадь поверхности нагрева
калорифера:н=20,9м2(табл7[1]).
Действительная теплоотдача калорифера:
Принимаем к установке два последовательно
соединенных калорифера: Фк.у=2
42975=85951Вт Запас
по теплоотдаче составит:
,
что удовлетворяет условиям выбора калорифера:
Фк.у.=(1,15-1,2)
Фот
Основные показатели пластинчатого калорифера
КВБ-5:
• площадь поверхности нагрева, м2 - 20,9
• площадь живого сечения, м2
по воздуху - 0,244
по теплоносителю - 0,0076
масса, кг -106
Расчет воздуховодов и подбор вентиляторов.
Приточный воздуховод принимаем длиной 27 м,
тогда диаметр воздуховода:
п.в. принимаем 12 м/с Потери напора в
трубопроводе:
Местные сопротивления:
Из приложения 12 [1]:
жалюзийная решетка на входе
=
0,5
3 колена воздухопровода под углом 90° круглого
сечения ξ
= 0,15
3=0,45
13 отвода от воздухопровода ξ
= 0,2
13
= 2,6 (расстояние между отверстиями 2 м, тогда при длине воздуховода 27 м,
получаем 13 выходных отверстия)
=3,55, тогда:
Кроме того учитываем сопротивление калорифера
проходу воздуха. По графику рис.11 [1] при Vρ=8 кг/с
м2
для калорифера КВБ, Рк=2
52=104 Па.
(при их последовательной установке)
Общий напор вентилятора:
Рв = Нт+hм.с.+Рк=110,5+306,7+104=521,2 Па
Подача вентилятора при воздухообмене,
осуществляемом одной приточной системой.
в=1,1
Q=1,1
6051=6656м3/ч
По номограмме (рис13[1]) подбираем центробежный вентилятор
УЧ-70 №5, у которого ηв=0,74,
А=6800, тогда частота вращения вентилятора:
Принимаем клиноременную передачу на вентилятор (ηп=0,95).
Мощность на валу электродвигателя:
По таблице 8[1] берем коэффициент запаса
мощности, кз=1,2, тогда установленная мощность электродвигателя Nуст=k3
NB=l,2
l,37=l,65
кВт
Из каталога выбираем электродвигатель 4A90L4У3
мощностью 2,2 кВт, частотой вращения 1500 об/мин. Расхождение в частоте
вращения учитываем соответствующими диаметрами шкивов клиноременной передачи
между электродвигателем и вентилятором. Максимальные потоки теплоты,
расходуемой на вентиляцию объектов МТФ сводим в таблицу 2.2.
Таблица 2.2
|
Наименование
объекта
|
ФВЕН,
Вт
|
|
Коровник
на 400 голов
|
276980,8
|
|
Телятник
на 224 головы с род отд на 48 коров
|
144377,5
|
|
Сан.блок
на 50 человек
|
2974,3
|
|
Бригадный
дом
|
991,4
|
|
Склад
конц кормов
|
-
|
|
Молочный
блок произв Зт молока в сутки
|
3378,2
|
|
Итого
|
428702,2
|
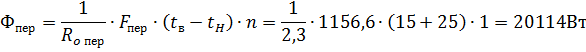
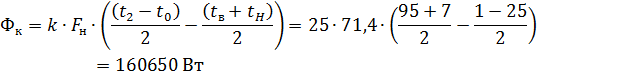
2.1.3 Расход теплоты на горячее
водоснабжение МТФ
В животноводческих помещениях максимальный поток
теплоты (Вт), расходуемой на горячее водоснабжение для санитарно-гигиенических
нужд (подмывание вымени, мытье оборудования, подогрев воды в поилках, уборка
помещений) определяют по формуле:
, где
β - коэффициент
неравномерности потребления горячей воды в течении суток, принимают β=2,5;
n- число животных данного вида в помещении;-
среднесуточный расход воды на одно животное, кг;в - удельная теплоемкость воды,
равная 4,19 кДж/кг °С;г - расчетная температура горячей воды, равная 55°С;-
расчетная температура холодной (водопроводной) воды, принимаемая в зимний
период равной 5°С.
• коровник на 400 голов
Для коров среднесуточный расход воды принимают
равным 15 кг на одно животное, тогда:
• телятник на 224 головы с родильным отделением
на 48 коров.
Для телят g=2 кг; для коров - 15 кг, тогда:
Для производственных зданий в составе МТФ
максимальный поток теплоты (Вт), расходуемой на горячее водоснабжение,
определяют по формуле:
Фг.в. = 0,278
Qv
ρB
cB
(tг-tx),
где: Qv - часовой расход горячей воды, м3/ч;
ρв - плотность воды,
равная 983кг/м3
•ветеринарно-санитарный пропускник на 50
человек, блок служебных помещений.
По типовому проекту 807-32 Qv=l,07 м3/ч
Горячая вода здесь расходуется на обслуживающий
персонал, на души, работающие в течение 1 часа и на стирку и дезинфекцию
спецодежды в течении 5 часов, тогда:
Фг.в. = 0,278
1,07
983
4,19
(55
- 5) = 61258 Вт
• молочный блок, производительностью 3 т. молока
в сутки. По типовому проекту801-5-8, Qv=0,63 м3
Горячая вода расходуется на промывку доильных
аппаратов, пастеризационно-охладительную установку, на обслуживающий персонал и
мытьё пола и стен, тогда:
Фг.в. = 0,278
0,63
983
4,19
(55
- 5) = 36068 Вт
В летний период поток теплоты (Вт), расходуемой
на горячее водоснабжение, снижается по отношению к отопительному и для
производственных зданий составит:
Фг.в.п.=0,82
Фг.в.
• коровник на 400 голов:
Фг.в.п=0,82
36400=29848 Вт
• телятник на 224 голову с родильным отделением
на 48 коров:
Фг.в.п.=0,82
7085=5809,7 Вт
• вет/сан пропускник на 50 человек:
Фг.в.п=0,82
61258=50231,5 Вт
• молочный блок производительностью 3 т
молока/сутки:
Фг.в.п=0,82
36068=29575,7 Вт
Потоки теплоты, расходуемой на горячее
водоснабжение объектов МТФ сводим в таблицу 2.3.
Таблица 2.3
|
Наименование
объектов
|
Фг.в.
, Вт
|
|
зимой
|
летом
|
|
Коровник
на 400 голов
|
36400
|
29848
|
|
Телятник
на 224 головы с род отд. на 48 коров
|
7085
|
5809,7
|
|
Бригадный
дом
|
-
|
-
|
|
Склад
конц кормов
|
-
|
-
|
|
Веет/сан,
пропускник на 50 человек
|
61258
|
50231,5
|
|
Молочный
блок произ-ю 3 т. молока/сут.
|
36068
|
29575,7
|
|
Итого
|
140811
|
115465
|
Итак, максимальная расчетная тепловая нагрузка
котельной в зимнее время:
Фр.з=1,2
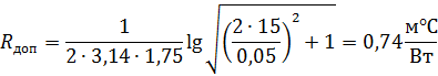
(53123,6+428702,2+140811)=747163,9 Вт = 0,74 МВт.
Максимальная расчетная тепловая нагрузка
котельной в летнее время равна:
Фр.л=1,2
115465=138558 Вт =
0,13 МВт.
2.2 Построение годового графика
тепловой нагрузки
Годовой график тепловой нагрузки строят в
зависимости от длительности действия в данной местности различных наружных
температур, что определяется по климатическим справочникам или по приложению
3[1]. График строят следующим образом. В правой его части по оси абсцисс
откладывают продолжительность работы котельной (в часах), в левой части -
температуру наружного воздуха; по оси ординат откладывают расход теплоты.
Сначала строят график изменения расхода теплоты
на отопление объектов МТФ в зависимости от наружной температуры. Для этого на
оси ординат откладывают суммарный максимальный поток теплоты, расходуемой на
отопление этих зданий, и эту точку соединяют наклонной прямой с точкой tB=18°C
- усредненной расчетной внутренней температурой этих зданий. Так как начало
отопительного сезона принято при температуре tB=80C, то линия (1) графика до
этой температуры показана пунктиром.
Расход теплоты на вентиляцию производственных
зданий МТФ представляет собой наклонную прямую (2) от tВ= 18°C до расчетной
вентиляционной температуры tН.В. =-16°C, а для коровника и телятника -
наклонные прямые (3) и (4) от tB=10°C и tB=150C соответственно. При более
низких температурах к приточному воздуху подмешивается воздух помещения, т.е.
происходит рециркуляция, а расход теплоты остаётся неизменным (график проходит
параллельно оси абсцисс).
Подобным образом строят график расхода теплоты
на отопление склада конц.кормов от tB=100C - наклонная прямая (1а).
Расход теплоты на горячее водоснабжение не
зависит от tH- График по этому виду теплопотребления изображен прямой (5).
Суммарный график расхода теплоты в зависимости
от температуры наружного воздуха показан ломаной линией (6) (точка излома
соответствует температуре tH.B.=-16°C), отсекающей на оси ординат отрезок,
равный максимальному потоку теплоты, расходуемой на все виды потребления (∑Фот+∑Фв+∑Фг.в)
при расчетной наружной температуре tН.
Вправо по оси абсцисс откладывают для каждой
наружной температуры число часов отопительного сезона (нарастающим итогом), в
течение которых держалась температура, равная и ниже той, для которой делается
построение (приложение 3[1]), и через эти точки проводятся вертикальные линии.
Далее на эти линии из суммарного графика расхода теплоты проектируют ординаты,
соответствующие максимальным расходам теплоты при тех же наружных температурах.
Полученные точки соединяют плавной кривой (7), представляющей собой график
тепловой нагрузки за отопительный период. Площадь, ограниченная осями
координат, кривой (7) и горизонтальной линией (8), показывающей суммарную
летнюю нагрузку, выражает годовой расход теплоты всеми потребителями (
ГДж/год):
год=3,6
10-6
Q
mN,
где:
- площадь годового графика тепловой нагрузки,
мм2;и mn - масштабы расхода теплоты и времени работы котельной, соответственно
Вт/мм и ч/мм
Годовой график тепловой нагрузки приведен далее.
По графику определяем: F=31840 мм2
mQ=2000 Вт/мм, mN=40 ч/мм, тогда:год=3,6
10-6
2000
40
31840=9169,9
ГДж/год.
График годовой нагрузки находится в приложении.
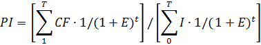
2.3 Выбор теплоносителя и подбор
котлов
Согласно СНиП 2.04.07-87 «Тепловые сети. Нормы
проектирования» при централизованном теплоснабжении для отопления, вентиляции,
горячего водоснабжения в качестве теплоносителя должна использоваться вода.
Температура воды в подающем трубопроводе
тепловой сети при расчетной температуре наружного воздуха принимается равной
95°С, в обратном трубопроводе она составляет 70°С.
Применение в качестве теплоносителя воды дает
большую экономию металла труб за счет уменьшения их диаметра, снижает затраты
энергии, потребляемой сетевыми насосами, поскольку сокращается общее количество
воды, циркулирующей в системе. Использование одного теплоносителя для всех
видов тепловой нагрузки значительно упрощает систему теплоснабжения, делает её
дешевле в сооружении, надежнее в эксплуатации.
Имеющуюся потребность в паре молочного блока,
производительностью 3 т/сутки покрываем с помощью отдельного котла КВ-300м
(расчет пароснабжения молочного блока будет произведен в главе III дипломного
проекта).
Отопительно-производственные котельные в
зависимости от типа установленных в них котлов могут быть водогрейными,
паровыми или комбинированными - с паровыми и водогрейными котлами.
Расчетную тепловую мощность котельной принимают
по тепловой нагрузке для зимнего периода: Фуст =Фр, где:
Фуст - суммарная тепловая мощность всех котлов,
установленных в котельных, Вт.
В котельной должно быть не менее двух и не более
четырех стальных или шести чугунных котлов, причем котлы однотипные по
теплоносителю должны иметь одинаковую площадь поверхности нагрева.
Выбирать котлы следует такой тепловой мощности,
чтобы она была кратной летней тепловой нагрузке Фр.л.. Это делается для того,
чтобы более рационально использовать котлы, работающие в летний период на
горячее водоснабжение.
Максимальные расходы теплоты на все виды
теплопотребления для выбора котлов сведём с таблицу 2.4.
Таблица 2.4
|
№
п/п
|
Наименование
объекта
|
Максимальные
расходы теплоты, кВт
|
|
|
на
отопление
|
на
вентиляцию
|
на
горяч водоснабжения
|
|
|
зимой
|
Зимой
|
зимой
|
Летом
|
|
1
|
Коровник
на 400 голов
|
-
|
276,9
|
36,4
|
29,8
|
|
2
|
Телятник
на 224 головы с род. от на48к.
|
-
|
144,3
|
7,08
|
5,8
|
|
3
|
Сан/веет
пропускник на 50 человек
|
19,7
|
2,9
|
61,2
|
50,2
|
|
4
|
Бригадный
дом
|
6,5
|
0,9
|
-
|
-
|
|
5
|
Склад
конц кормов
|
17,04
|
-
|
-
|
-
|
|
6
|
Молочный
блок производит. Зт/сутки
|
9,7
|
0,3
|
36
|
29,5
|
|
Всего
по видам нагрузок
|
53
|
428
|
140,8
|
115,4
|
|
С
коэф-ом запаса 1,2
|
63,7
|
514,4
|
168,9
|
138,5
|
|
Всего
Фр.з/Фр.л.
|
747,2
|
138,6
|
Для получения теплоносителя - воды, температурой
95 С возьмем два водогрейных котла «Универсал-6» (типа КЧ-2) и один резервный.
Техническая характеристика котла «Универсал-6»
Площадь поверхности нагрева, м2
действительной 19,8
условной 36
Общее количество секций 18
Тепловая мощность котла, кВт 377
Габаритные размеры (с обмуровкой), мм
длина 115
ширина 1966
высота 2030
Топливо - антрацит, уголь, газ, мазут.
Избыточное рабочее давление воды в котле, кПа
491
Проверим условия выбора:
Фуст=n
Фка=2
377=754 кВт, где:- количество котлов установленных в котельной;
Фка - тепловая мощность одного котельного
агрегата, кВт.
Фр (747,2)
Фуст
(754)
Фрл.(138)
Фк.а.(377)
2.4 Расчет тепловых сетей
Водяные тепловые сети выполним двухтрубными (с
прямым и обратным трубопроводом) и закрытыми - без разбора части сетевой воды
из обратного трубопровода на горячее водоснабжение.
Рис. 2.6 - Тепловые сети
Таблица 2.5
|
№
уч-ка тепл сети
|
Длина
участка сети
|
Тепловая
нагрузка на участке
|
|
0-1
|
8
|
622,8
|
|
1-2
|
86,5
|
359,3
|
|
2-3
|
7
|
313,3
|
|
2-4
|
7
|
46
|
|
1-5
|
118
|
263,5
|
|
5-6
|
30
|
17,04
|
|
5-7
|
44
|
246,46
|
|
7-8
|
7
|
83,8
|
|
7-9
|
58
|
162,6
|
|
9-10
|
39
|
155,2
|
|
9-11
|
21
|
7,4
|
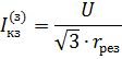
2.4.1 Гидравлический расчет тепловых
сетей
а) Участок 0-1
Расход теплоносителя:
, где:
-1 - расчетный расход теплоты, передаваемой
через данный участок, кВт;п и to - температура теплоносителя в прямом и
обратном трубопроводах, °С
Принимаем удельную потерю давления в
магистральном трубопроводе h=70 Па/м, а по приложению 2 [2] находим среднюю
плотность теплоносителя ρ=970 кг/м3,
тогда расчетный диаметр труб:
Принимаем стандартный диаметр d=108 мм.
Коэффициент трения:
Из приложения 4[1] берем коэффициенты местных
сопротивлений:
задвижка, ξ=0,4
- тройник на ответвление, ξ=1,5,
тогда
сумма коэффициентов местных сопротивлений ∑ξ=0,4+1,5=1,9
- для
одной трубы тепловой сети.
Эквивалентная длина местных сопротивлений:
Общие потери давления в подающем и обратном
трубопроводах.
, где:
- длина участка трубопровода, м, тогда
Нс=2
(8+7,89)
70=2224,9Па=2,2кПа.
б) Участок 1-2 Расход теплоносителя:
Принимаем удельную потерю давления в
магистральном трубопроводе h=70 Па/м.
Расчетный диаметр труб:

Принимаем стандартный диаметр d=89 мм.
Коэффициент трения:
Из приложения 4[1]
тройник на ответвление, ξ=1,5,
тогда
∑ξ=1,5
- для
одной трубы тепловой сети.
Общие потери давления в подающем и обратном трубопроводе:
=2
(86,5+5,34)
70=12,86 кПа
Эквивалентная длина местных сопротивлений:
в) Участок 2-4 Расход теплоносителя:
Принимаем удельную потерю давления в ответвлении
h=250 Па/м. Расчетный диаметр труб:
Принимаем стандартный диаметр d=32 мм.
Коэффициент трения:
Из приложения 4[1]
задвижка на вводе в здание, ξ=0,5,
∑ξ=0,5 для одной трубы тепловой сети.
Эквивалентная длина местных сопротивлений:
Общие потери давления в подающем и обратном
трубопроводах:
=2
(7+0,6)
250=3,8
кПа
Остальные участки тепловой сети рассчитываем
аналогично предыдущим, данные расчета сводим в таблицу 2.6.
Таблица 2.6
|
№уч-ка
сети
|
Расход
тепт-ля, кг/с
|
∑ξ
|
lэ,
мм
|
стандарт,
диаметр, мм
|
|
Нс,кПа
|
|
0-1
|
5,9
|
102
|
1,9
|
7,89
|
108
|
0,026
|
2,2
|
|
1-2
|
3,4
|
82
|
1,5
|
5,34
|
89
|
0,025
|
5,34
|
|
2-3
|
2,9
|
60
|
0,5
|
1,25
|
70
|
0,028
|
4,1
|
|
2-4
|
0,4
|
28
|
0,5
|
0,6
|
32
|
0,033
|
3,8
|
|
1-5
|
2,5
|
73
|
1,5
|
4,2
|
76
|
0,027
|
17
|
|
5-6
|
0,16
|
20
|
2
|
1,1
|
20
|
0,036
|
15,5
|
|
5-7
|
2,3
|
72
|
1,5
|
4,3
|
76
|
0,026
|
6,7
|
|
7-8
|
0,8
|
37
|
0,5
|
0,65
|
40
|
0,031
|
3,8
|
|
7-9
|
1,5
|
60
|
1,5
|
3,75
|
70
|
0,028
|
8,6
|
|
9-10
|
1,4
|
47
|
2
|
3,4
|
50
|
0,029
|
21,2
|
|
9-11
|
0,07
|
15
|
0,5
|
0,18
|
15
|
0,04
|
10,5
|
∑Hc=98,66 кПа
Подбор сетевых насосов.
Для принудительной циркуляции воды в тепловых
сетях в котельной устанавливаем сетевые насосы с электроприводом.
Подача сетевого насоса (м3/ч), равная часовому
расходу сетевой воды в подающей магистрали:
,
где: Фр.в.= Фр - Фс.н. - расчетная тепловая
нагрузка, покрываемая теплоносителем - водой, Вт;
Фен. - тепловая мощность потребляемая котельной
на собственные нужды, Вт
Фс.н=(0,03...0,1)
(∑Фо.т.+∑Фв+∑Фг.в.);
п и to- расчетные температуры прямой и обратной
воды, °С
ρо - плотность обратной
воды (приложение 2[2]; при to=70°C ρо
=977,8 кг/м3)
Фс.н=0,05
747,2=37,36 кВт
Фр.в=747,2-37,36=709,84 кВт, тогда
Давление, развиваемое сетевым насосом, зависит
от общего сопротивления тепловой сети. Если теплоноситель получают в
водогрейных котлах, то учитывают также потери давления в них:
Нн=Нс+Нк,
где Нк -потери давления в котлах, кПа
Нк=2
50=100кПа (стр.
[2]),
тогда: Нн=98,66+100=198,66 кПа.
Из приложения 15[1] выбираем два центробежных
насоса 2КМ-6 с электроприводом (один из них резервный), мощность
электродвигателя 4,5 кВт.
.4.2 Тепловой расчет сети
Определим удельные потери тепла в двухтрубной
водяной тепловой сети в непроходном канале для участков 0-1,1-2, и2-4.
а) Участок 0-1
диаметры общих трубопроводов 108 мм, расстояние
между осями труб 250 мм. Тепловую изоляцию выполним из минераловаттовых матов
толщиной 60 мм., λиз=0,064
Вт/м °С. Глубина заложения осей трубопроводов h=l,5 м. Средняя температура
теплоносителя в подающем трубопроводе 65°С (при tп=95°C), в обратном 50°С (при
=700С).
Температура окружающей среды (грунта) 5°С, λгр=1,7
Вт/м °С
Наружный диаметр изоляции:н.и.=0,108+2
0,06=0,228
Сопротивление теплопроводности изоляции:
,
где: dн.и. и dв.и. - наружный и внутренний
диаметры изоляции, м; λиз -
коэффициент теплопроводности изоляции Вт/м °С
Так как отношение h/dH.И.=1,5/0,228 > 2, то
Тепловое сопротивление грунта:
,
где: h - глубина заполнения оси трубопровода, м.
Поскольку геометрические размеры подающего и
обратного трубопроводов и их изоляции одинаковы, общее тепловое сопротивление
для обеих труб составит:
,2=Rч+Rгр=l,85+0,29=2,15 м°С/Вт
Так как теплопровод двух трубный, требуется
определить дополнительное сопротивление:
, где
- расстояние между осями труб, м,
Удельные потери тепла подающим трубопроводом:
, где: t1 и t2 -
средние температуры
теплоносителя в первом (подающем) и втором
(обратном) трубопроводах, °Сгр - температура окружающей среды (грунта)
Удельные потери тепла обратным трубопроводом:
Полученные значения q1 и q2 соответствуют
нормам, приведенным в таблице 15 [2]. Значит материал и толщина тепловой
изоляции выбраны верно.
б) Участок 1-2
Диаметры обоих трубопроводов 89 мм, расстояние
между осями труб 250 мм. Тепловую изоляцию выполним из минераловатовых матов, δиз==40
мм,
λиз=0,064 Вт/м °С.
Наружный диаметр изоляции:.И =0,089+2
0,04=0,169 м.
Сопротивление теплопроводности изоляции:
/dн.и.=1,5/0,169 > 2, то тепловое
сопротивление грунта:
Общее тепловое сопротивление для обеих труб:
,2= 1,59+0,33=1,92 м °С/Вт
Дополнительное сопротивление:
Удельные потери тепла в подающем трубопроводе:
в обратном трубопроводе:
Значения q1 и q2 соответствуют нормам (табл.
15[2])
в) Участок 2-4
Диаметры обоих трубопроводов 32 мм, расстояние
между осями труб 50 мм. Тепловую изоляцию выполним из минераловатовых матов,
толщиной 15 мм, λиз=0,064
Вт/м °С.
Наружный диаметр изоляции:
.И. =0,032+2
0,015=0,062 м.
Сопротивление теплопроводности изоляции:
Так как h/dн.и. =1,5/0,062 > 2, то тепловое
сопротивление грунта:
Общее тепловое сопротивление для обеих труб:
,2= 1,64+0,41=2,05 м°С/Вт
Дополнительное сопротивление:
Удельные потери тепла для прямого трубопровода:
для обратного трубопровода:
Значения q1 и q2 соответствуют нормам (табл. 15
[2])
2.5 Газоснабжение
Основным потребителем газа на данной
молочно-товарной ферме является общефермерская котельная (газ расходуется в
котлах для получения теплоты на отопление, вентиляцию и горячее водоснабжение
объектов фермы.) Газоснабжение животноводческих и производственных зданий не
требуется.
Газопотребление котельной:
) Часовой расход топлива (м3/ч)
где: Фр - расчетная тепловая нагрузка котельной,
кВт; q - удельная теплота сгорания топлива, кДж/м3 (для Саратовского газа q=35000
кДж/м3)
ηк.а - КПД
котлоагрегата (для котла «Универса-6», ηк.а=0,7)
2) Годовой расход топлива (тыс. м3)
,
где: Qгод- годовой расход теплоты, ГДж/год
(Определяется по графику тепловой нагрузки,
пункт 2 данного раздела дипломного проекта)
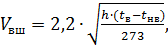
2.6 Водоснабжение холодной водой
По нормативам водопотребления отдельных
потребителей необходимо определить среднесуточный расход МТФ - Qcp.cуt. и
годовую потребность в воде.
Для проектирования системы водоснабжения и
последующей её правильной эксплуатации необходимо знать: количество воды и
режим её потребления. Объем водопотребления устанавливают по числу
водопотребителей.
Потребление воды в течение года, отдельных суток
- неравномерное. Эта неравномерность водопотребления может быть представлена
коэффициентом неравномерности:
Среднесуточный расход воды определяется по
формуле:
, где
q-среднесуточная норма водопотребления на
одного водопотребителя (на единицу
водопотребления), л/сут (табл.6[3]), п - количество потребителей (единиц)
Определим расчетные суточные расходы воды и сведем их в таблицу 2.7
Таблица 2.7
|
Наименование
|
Кол-во
|
Норма
|
Среднесут.
|
Коэф-т
|
Макс
|
|
водопотребителей
|
потребит(ед-
|
водопортеб
|
водопотр.
|
неравн.
|
сут
|
|
ца
потр), п
|
1
потребит,
|
Qcр.сут
|
Суточн
|
расход
|
|
|
л/сут
|
м3/ч
|
водопотр,
|
Qcуt.
|
|
|
|
|
Ксут.
мах
|
МАХ
|
|
Коровник
|
400
|
100
|
40
|
1,3
|
52
|
|
Телятник
с род
|
224/48
|
30/100
|
11,52
|
1,3
|
14,97
|
|
отд.
|
|
|
|
|
|
|
Молочн.
блок
|
2912
|
7
|
20,4
|
1,3
|
26,5
|
|
произ-ю
Зт/сут.
|
|
|
|
|
|
|
Веет/сан
про-к на
|
50
|
230
|
11,5
|
1,3
|
14,95
|
|
50
чел.
|
|
|
|
|
|
Используя коэффициенты неравномерности
водопотребления мы определили максимальные суточные расходы каждого
потребителя:
макс. сут=kмакс. сут
qср.сут,
макс. сут
=1 ,3 - для
сельских населенных пунктов. Годовой расход воды МТФ определяется по формуле:
год=∑Qcp. сут.
t,
где: t - число дней водопотребления МТФ в воду,
t=365 дней, тогда:
год=83,42
365=30448 м3/год
Все расчеты расходов воды сводим в таблицу 2.8.
Таблица 2.8
|
Среднесут
расход
|
Макс
суточ расход
|
м3
/сут
|
м3
/сут
|
м3/год
|
|
Коровник
на 400 голов
|
40
|
52
|
|
|
|
|
Телятник
с род отд.
|
11,52
|
14,97
|
|
|
|
|
Мол
блок произ-ю Зт/сут
|
20,4
|
26,5
|
|
|
|
|
Вет/сан
пропускник
|
11,5
|
14,95
|
|
|
|
|
∑Qcp.
сут
|
|
|
83,42
|
|
|
|
∑QСP.MAKC
|
|
|
|
108,4
|
|
|
Qгод
|
|
|
|
|
30448
|
Максимальный часовой расход воды по ферме (м /ч)
определяется по формуле:
где: kчас -
коэффициент часовой
неравномерности водопотребления, kчас-2,5
а) коровник:
б) телятник:
в) молочный блок:
г) вет-сан. пропускник:
Расчет секундных расходов воды в период
максимумов необходим для проектирования системы водоснабжения и выбора насосов.
Подсчитаем секундные расходы воды в часы
максимального водопотребления:
,
где: qпож - расходы на наружное тушение пожаров,
л/с. Принимается из таблицы 7[3].
а) коровник:
б) телятник:
в) молочный блок:

г) вет-сан пропускник:
Сумма секундных расходов воды в часы
максимального водопотребления по объектам МТФ
∑qc=11,5+5,4+5,75+5,4=28,05 л/с=0,028 м3/с
Необходимый диаметр трубопровода:
,
где: ρх.в.
- плотность холодной воды, равная 1000 кг/м3;
ρл - удельное
падение давления в трубопроводе, принимается 70 Па/м,
тогда:
,
Принимаем трубы диаметром 32 мм.
3. Проектирование электроснабжения
.1 Определение мощности
проектируемого объекта
Для подсчета мощности объекта составим таблицу
3.1., в которой все электроприёмники и их мощности.
Таблица 3.1
|
№
п/п
|
Оборудование
|
Потребляемая
мощность, кВт
|
Кол-во
|
|
1
|
Водонагреватель
ВЭТ-400
|
10,5
|
1
|
|
2
|
Установка
ОПФ-1-300
|
4,8
|
1
|
|
3
|
Вакуумная
установка УВУ60/45
|
4,0
|
2
|
|
4
|
Насос
молочный НМУ-6
|
1,1
|
1
|
|
5
|
Насос
36-Зу 3,5-10
|
1,1
|
1
|
|
6
|
Танк-охладитель
ТО 2
|
0,27
|
1
|
|
7
|
ВЭЛ
- 600
|
11,1
|
1
|
|
8
|
Насос
центробежный 1,5к-8/19
|
1,5
|
1
|
|
9
|
Холодильная
машина МХУ-8С
|
1
|
|
10
|
Приточная
система П1
|
0,25
|
1
|
|
11
|
Приточная
система П2
|
0,37
|
1
|
|
12
|
Вытяжная
система В1
|
0,75
|
1
|
|
13
|
Рабочее
освещение
|
3,37
|
1
|
Установленная мощность электроприемников
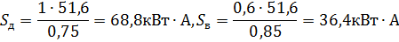
составит: Руст=49,2 кВт 3.2. Составление схемы внутриплощадочного
электроснабжения. Составим схему внутригогощадочной сети трансформаторной
подстанции 10/0,4 кВ (рис.2.), питающей МТФ по методике и справочным данным
[4].
Рис. 3.1
Так как потребители электроэнергии МТФ имеют
выраженную производственную характеристику, поэтому имеют максимум
энергопотребления в дневные часы. Коэффициент дневного максимума для таких
объектов kд=1, а коэффициент вечернего максимума kв=0,6
Дневные и вечерние максимумы объектов находим по
формуле:
где: kд и kв - коэффициенты дневного и вечернего
максимума нагрузок;
Р - мощность на вводе i-гo потребителя, кВт
cosφ - коэффициент
мощности в максимум нагрузки на вводах отдельных видов потребителей без учёта
компенсации (табл. 37.[3]).
а) коровник:
Аналогично рассчитываем дневные и вечерние
максимумы для отдельных объектов МТФ, результаты наносим на схему
внутришющадочной сети.
3.2 Суммирование нагрузок линий
Суммирование нагрузок по участкам линий 0,38 кВ
и на шинах ТП, питающей МТФ, выполняют так же, как и для других с/х
потребителей с учетом коэффициента одновременности ко или по таблице 36 [3].
Суммирование выполняют следующим образом. Если максимальные нагрузки
неоднородных потребителей и отличающихся по мощности более чем в 4 раза
суммируют табличным способом (табл. 36 [3]), путём сложения большей нагрузки с
табличной добавкой ΔS, соответствующей
меньшей нагрузке. Если максимальные нагрузки на вводах потребителей однородны и
отличаются друг от друга не более чем в 4 раза, то расчетные мощности участков
определяют путем суммирования максимальных нагрузок на вводах потребителей с
учётом коэффициента одновременности kо.
В результате суммирования расчетных мощностей
всех участков линии 0,38 кВ, определим расчетную мощность ни шинах 0,4 кВ
трансформаторной подстанции:
д.тп= 92,3+46,6=238,9 кВ
Ав.тп=1
11,9+24,2+0,76=136,86 кВ
А
Таблица 3.2 - Суммирование нагрузок потребителей
|
Расчетный
участок
|
Расчетная
мощность линии
|
Наружное
освещение
|
|
Sд,
кВ А
|
SB,
kB A
|
|
|
ТП
|
238,9
|
136,1
|
0,76
|
|
линия
1
|
|
1-2
|
68,1
|
37,2
|
0,4
|
|
2-8
|
52,6
|
27,9
|
0,3
|
|
2-3
|
27,5
|
15,9
|
0,19
|
|
линия
2
|
|
4-5
|
192,3
|
111,9
|
0,36
|
|
5-6
|
157,5
|
94,2
|
0,24
|
|
6-7
|
57,8
|
34,3
|
0,21
|
3.3 Выбор мощности ТП
Трансформатор выбираем по наибольшему максимуму,
то есть по дневному. Принимаем к установке трансформатор ТМ-250 10/0,4 (табл.
16.1 [4]) мощностью 250 кВ
А, наружной
установки.
Параметры трансформатора:
к=6,5%, Рк=З,7 кВт,
н-250 кВ
А, сочетание
напряжений Вн/Нн= 10/0,4 кВ
Коэффициент мощности на шинах 0,4 кВ ТП:
д.тп./Sв.тп=238,9/136,86=1,75,
Значит по таблице 38 [3]
=0,75;
=0,8
Потеря напряжения в трансформаторе (%):
, где
В дневной максимум:
ΔUтд = (1,4
0,75
+ 3,7
0,66)
=
3,3%
В вечерний максимум:
ΔUтв =(1,4
0,8
+ 3,7
0,6)
= 1,8%
3.4 Потери напряжения
Исходными данными для расчета электрических
линий напряжением до 35 кВ включительно являются нормы отклонений напряжения на
зажимах электроприемников, в соответствии с которыми отключение напряжения на
зажимах эл. приёмников при 100% нагрузке не должно выходить за пределы -5%, а
при 25%+5%.
Для определения допустимых потерь напряжения
обычно составляют таблицу отклонений напряжения. При составлении таблицы
учитывают изменение напряжения в каждом звене электрической сети. В качестве
контрольных точек, как правило, принимают наиболее удалённый и ближайший
электроприёмники потребительских подстанций в режимах 100% и 75% нагрузки.
Составим таблицу отклонения напряжения:
Таблица 3.3 - Допустимые отклонения напряжения
|
Участок
эл. сети
|
100%
|
75%
|
|
Линия
10 кВ
|
+2,5
|
-2,5
|
|
Отпайка
10 кВ
|
-2
|
-0,5
|
|
Трансформатор
- регулируемая надбавка -нерегулируемая надбавка -потеря
|
+2,5
+5 -3,3
|
+2,5
+5 -1,8
|
|
Линия
0,4 кВ
|
-2,5
|
-0,63
|
|
Внутренняя
сеть
|
-2,5
|
-0,63
|
|
Потребитель
|
-0,3
|
+1,44
|
3.5 Составление схемы внутренней
сети
Схема внутренней сети составляется на основе
плана расположения электрооборудования внутри молочного блока, (лист СГАУ).
В неё вносятся необходимые для расчета данные:
мощности оборудования и длины участков. Схему внутренней сети изобразим на
листе СГАУ.
3.6 Расчет внутренних сетей
Выбор сечения проводов внутренней
электропроводки
Расчёт внутренней электросети будем проводить по
допустимой потере напряжения, которая не должна превышать 2,5%. Выбирать марку,
сечение проводов, ПЗА на участках от щитов управления до потребителя (эл.
приёмника) считать не будем, так как поставляемое оборудование комплектное.
Выбираем марку и сечение провода, проходящего от
ЩР до ЩУ:
где: с - постоянный для данного провода
коэффициент, зависящий от напряжения сети, числа фаз и материала провода,-
длина участка, м
Р - мощность подаваемая по участку, кВт
допустимое падение
напряжения, %.
Согласно ПУЭ внутренняя проводка выполняется
только медными проводами, сечением не менее 2,5 мм2.
Выбираем сечение провода из стандартного ряда -
4 мм2, марка кабеля с медными жилами КВВГ5х4, кабель проложим в стальной трубе.
Проверка сечения проводов по
длительно-допустимому току
Ток протекаемый в проводе:
,
где: Р - мощность эл. приёмников, кВт-
напряжение сети, кВ
Для медного кабеля, проложенного в стальной
трубе допустимый ток Iдоп=25A. (табл. 46. [3]), значит выбранный провод
подходит по нагреву.
Определение фактического отклонения напряжения.
Уточним потери напряжения:
Выбор аппаратов защиты.
Для выбора автоматов необходимо рассчитать токи
к. з.:
где: r рез=ρ
l/F
- сопротивление цепи до точки к.з., Ом,
где: ρ -удельное
сопротивление. (Для меди р=0,0175 Ом*мм /м);- длина участка, м- сечение
провода, мм2рез=(0,0175
10)/4=0,04 Ом
Автомат также выберем по его номинальному току:
Iа=1,25
I,
где: I - ток в проводнике, А
А= 1,25
22=27,5 А.
Выбираем автомат ВА 47/39/4/32С
Для остальных участков автоматы выберем
аналогичным образом.
Выбор УЗО.
Выключатель дифференциальный (УЗО) предназначен
для защиты человека от поражения электрическим током при случайном
непреднамеренном прикосновении к токоведущим частям электроустановок при
повреждениях изоляции (установка 10 мА, 30 мА, 100 мА). Выключатели с
установкой срабатывания 300 мА и 500 мА предназначены для предотвращения
пожаров, вследствие протекания токов утечки на землю. При использовании
выключателя необходимо последовательно с ним включать автоматический
выключатель аналогичного или меньшего номинала. Так как функционально
выключатель не предусматривает защиты от сверх тока к.з. и перегрузки. УЗО
выбираем по его номинальному току и по току утечки 30 мА. Для участка цепи
установим УЗО ВД-1-63/4/3 2/30. Аналогично выберем УЗО для остальных участков и
сведем в таблицу.
3.7 Расчет внутриплощадочных сетей
Выбор сечения проводов линии 0,4 кВ
а) Участок 1-2
Примем сталеалюминевые голые провода АС-25.
Проверка провода по длительно - допустимому
току:
Ток в принятом проводе:
Согласно ПУЭ при данной силе тока сечение
провода на данном участке должно быть не менее 16 мм2, значит выбранный провод
проходит по длительному допустимому току.
Определение фактического отклонения напряжения.
Аналогичным образом определяем сечение остальных
проводов и результаты сводим в таблицу 3.4.
Таблица 3.4
|
Участок
|
Марка
и сечение провода
|
|
|
|
1-2
|
А-25
|
2,5
|
2,3
|
|
2-3
|
А-16
|
2,5
|
1,8
|
|
2-8
|
А-16
|
2,5
|
1,9
|
|
4-5
|
А-70
|
2,5
|
1,9
|
|
5-6
|
А-16
|
2,5
|
2,2
|
|
6-7
|
А-35
|
2,5
|
1,9
|
3.8 Расчёт отпайки ВЛ 10 кВ
Расчёт сечения проводов отпайки ВЛ 10 кВ.
Расчёт сечения проводов будет проводить по
экономической плотности
тока по формуле: F =
,
мм2, где: jэк - экономическая плотность тока,
равная 1,1 А/мм2;- ток в линии
=
= 12,7мм2, выберем
провод А16
Проверка сечения провода по длительно
допустимому току. Выбранный провод подходит по длительно допустимому току.
Определение фактического отклонения напряжения.
Фактическое отклонение напряжения определяется по формуле:
где: I - ток в линии, А;длина участка, м;
хо - удельное реактивное сопротивление, Ом/м
(14
0,38
0,16 + 14
1,8
0,16)
= 4,88
0,048%
3.9 Выбор регулируемой надбавки ТП
Подставив все полученные потери в сетях
определим величину регулируемой надбавки ТП.
Таблица 3.5 - Фактическое отклонение напряжения
|
Участок
эл. сети
|
100%
|
25%
|
|
Линия
10 кВ
|
+2,5
|
-2,5
|
|
Отпайка
10 кВ
|
-0,48
|
-0,012
|
|
Трансформатор
- регулируемая надбавка -нерегулируемая надбавка -потеря
|
-2,5
+5 -3, 3
|
+2,5
+5 -1,8
|
|
Линия
0,4 кВ
|
-2,3
|
-0,57
|
|
Внутренняя
сеть
|
-2,05
|
-0,51
|
|
Потребитель
|
-2,3
|
-2,3
|
4. Разработка пароснабжения
молочного блока
.1 Определение тепловой нагрузки
В молочном блоке пар используется для
пастеризации молока и для пропаривания молочных фляг.
Поток теплоты (Вт), расходуемой на пастеризацию
молока:
Фп.м=0,278
mм
См
(
-
),
где: mм - масса молока, обрабатываемая в
пастеризаторе, кг/ч. Так как производительность молочного блока 3 тонны молока
в сутки, то устанавливаем пастеризатор ОПФ-1-300, производительность которого
1000 л/час. Плотность молока ρм=1030
кг/м3, значит mм=1030 кг/ч;
См - теплоёмкость молока, равная 3,94 кДж/кг °С
- температура
молока до пастеризации, после дойки t/M=350C;
- температура
молока после пастеризации, °С. В режиме мгновенной пастеризации нагрев
происходит до 85°С без дальнейшей выдержки, значит
=85°C,
тогда:
Фп.м=0,278
1030
3,94
(85 - 35)=56408 Вт.
Поток теплоты, расходуемой на пропаривание
молочных флаг.
Поток теплоты (Вт), расходуемой на пропаривание
молочных фляг определяется по формуле:
Фпар=0,278
dф
n
hп,
где:
ф
- расход пара на пропаривание одной фляги, кг, dф=0,2 кг.- количество фляг,
пропариваемых за час. В молочном блоке, имеем 77 фляг по 38 литров каждая, в
соответствии с данной производительностью.п - энтальпия пара кДж/кг. В молочном
блоке используется пар с избыточным давлением 0,5 атм.=50,6 кПа, значит hп=2741
кДж/кг при tп=130°C тогда,
Фпар=0,278
0,2
77
2741=11734
Вт.
Суммарный
поток теплоты, расходуемый на пароснабжение молочного блока.
∑Фп=Фпм+Фпф=56408+11734=68142
Вт.
4.2
Определение расходов пара на пароснабжение молочного блока
Расход
пара на пастеризацию молока:
м
- производительность пастеризатора, кг/ч. Производительность ОПФ-1-300- 1030
кг/ч.
См
- теплоёмкость молока, равная 3,94 кДж/кг °С
и
-
температуры молока до начала и после пастеризации, соответственно 35 и 85
п -
энтальпия пара, кДж/кг, hп=2741 кДж/кгэнтальпия конденсата, кДж/кг:
=cK
tK,
где: ск - теплоёмкость конденсата водяного пара,
кДж/кг °С,
к=4,19кДж/кг°С;
- температура конденсата, Ск= tn-(5-8), так как
tп=130°C, то tK=130-8=122°С, тогда:
=4,19
122=511 кДж/кг;
ηп - тепловой К.П.Д.
пастеризатора, η=0,9
Тогда расход пара на пастеризацию:
Расход пара на пропаривание молочных фляг.
ф= dф
n,
где:ф
- расход пара на пропаривание одной фляги, кг, dф=0,2 кг.- количество фляг,
пропариваемых за час. n=77, тогда:
ф=
dф
n=0,2
77=15,4 кг/ч
2.3
Суммарный расход пара на пароснабженеие молочного блока
∑Dп=
Dп+ Dф=101+15,4=116,4 кг/ч
Для
выбора котлов полученные результаты сводим в таблицу 4.1.
Таблица
4.1
|
Потребители
пара
|
Тепловая
нагрузка, Вт
|
Расход
пара, кг/ч
|
|
Пастеризация
молока
|
56408
|
101
|
|
Пропаривание
молочных фляг
|
11734
|
15,4
|
|
Итого
|
68142
|
116,4
|
4.3 Выбор котла
Пароснабжение будем осуществлять от котла KB -
300м, установленного в общефермерской котельной. Его производительность и
тепловая мощность выше, чем нужды по паропотреблению в молочном блоке, поэтому
от него можно потреблять пар для кормоприготовлений в кормоцехе, строительство
которого находится в перспективе на данной молочно - товарной ферме.
Технические характеристики котла -
преобразователя KB - 300м:
парапроизводительность, кг/ч 400,
тепловая мощность (по нормальному пару h=2741
кДж/кг),кВт 298,
температура пара, °С 130,
площадь поверхности нагрева, м 14,
объем водяного пространства, м3 1,1,
К.П.Д. котла, % 85,
масса, кг 1490.
габаритные размеры, мм
длина 3180,
ширина 1660,
высота (без дымовой трубы) 2020.
Большинство чугунных секционных котлов
оборудованных паросборниками и соответствующей арматурой, могут работать в
режиме паровых котлов при избыточном давлении пара до 68,7 кПа. Барабан
паросборник устанавливают под пакетами секций котла и соединяют с ними
циркуляционными трубами. Пароводяная смесь из полостей секций поднимается в
паросборник, где происходит отделение пара от воды. Полученный пар поступает
непосредственно к потребителю или подаётся в бойлеры для нагрева воды систем
отопления и горячего водоснабжения.
Паровой котел KB - 300м представляет собой
пароводяную установку, вырабатывающую нагретый пар с температурой до 130°С и
нагревающую воду до 70°С для технологических нужд, он оборудован
теплообменником, нагревающим 1500 кг/ч воды. Котёл KB - 300м работает на жидком
топливе (тракторный керосин, дизельное или печное) и имеет устройство для
сжигания жидкого топлива ПН2 - 2 (пневматическая низконапорная горелка), пульт
управления, пароперегреватель, теплообменник для нагрева воды, регулятор уровня
воды в котле, датчики уровней, центробежный водяной насос, лючок для очистки
котла от шлама, электроконтактный манометр, взрывные клапаны.
Регулятор уровня поддерживает нормальный уровень
воды в котле на расстоянии 125... 175 мм от поверхности жаровой трубы. При
падении избыточного давления в водопроводе ниже 98,1 кПа подпитка котла
осуществляется электронасосом или ручным
насосом. В линию подпитки воды встроено противонакипное магнитное устройство.
(ПМУ).
Устройство для сжигания жидкого топлива состоит
из ПНГ, электродвигателя, вентилятора, поплавкового устройства, датчика
пламени.
Все части оборудования, кроме горелки, заключены
в металлический кожух, который предохраняет их от воздействия тепла, влаги и
пыли, а так же от механических повреждений.
Топливная система включает топливный бак,
вместимостью 300 л., топливный фильтр, поплавковое устройство для поддержания
постоянного уровня топлива перед горелкой, пневматическую низконапорную
горелку, электровентилятор. Топливный бак монтируют в отдельном помещении,
изолированном от котельной кирпичной стеной, но его можно размещать и вне
помещения под навесом. Бак крепится на высоких опорах, благодаря чему, топливо
поступает к горелке самотёком.
Пульт управления обеспечивает ручное и
автоматическое управление котлом и его защиту от возникновения аварийных
режимов. Если давление превысит допустимое, погаснет пламя горелки или
опустится уровень воды, то котел автоматически отключится от электросети,
прекратится подача топлива к горелке и одновременно с этим включится световая
сигнализация.
4.4 Расчёт трубопроводов системы
пароснабжения молочного блока
Давление пара в котле должно быть достаточным
для прохождения его от котла до наиболее удалённого потребителя. Избыточное
давление пара Р в начале паропровода принимают в зависимости от его длины l от
узла управления до потребителя; потери давления по длине (стр 23[1]):
, м.........20÷50
50÷100 100÷200 200÷300
Рн,кПа.......5 10 20 30
Рис. 4.1
Располагаемое давление в паропроводе длиной
l=100 м:
Р=Рн-1,5кПа,где:
Рн - давление в начале паропровода, кПа
,5- избыточное давление пара перед потребителем
для компенсации его гидравлического сопротивления, кПа.
Тогда P=10- 1,5=8,5 кПа.
Средняя удельная потеря давления на трение
(Па/м) в паропроводе:
,
где: 0,65 - коэффициент, учитывающий долю потери
давления на трение от общих потерь давления в трубопроводах.
По номограмме (рис.7 [1]) определяем диаметр
паропровода. Из точки соответствующей тепловой нагрузке 68 кВт восстанавливаем
перпендикуляр к оси абсцисс до пересечения с линией того диаметра трубопровода,
при котором R будет ближе к Rcp=55 Па/м. Находим d=50 мм, фактическое значение
R=70 Па/м при d=50 мм.
Ω=22,5м/с - скорость
движения пара.
Динамическое давление:
Рд= ω2
ρ/2,
где:
ρ - средняя плотность
пара, равная 0, 635 кг/м3.
Тогда Рд= 22,52
(0,635/2)=160 Па.
Общие потери давления по длине трубопровода.
=R
l=70
100=7000 Па.
Потери давления в местных сопротивления
трубопровода:
Z=∑ξ
Рд, где:
∑ξ - сумма коэффициентов
местных сопротивлений, тогда
=8,5
160=1360 Па,
тогда+Z=7000+1360=8360 Па
Запас по давлению:
По приложению 6[1] подбираем диаметр
конденсатопровода: d=20 мм. Результаты расчета паропровода сводим в таблицу
4.2.
Таблица 4.2
|
Ф,Вт
|
l,
м
|
d,
мм
|
ω,
м/с
|
Rф,
Па/м
|
Rl,Па
|
∑ξ
|
Рд,Па
|
Z,Пa
|
Rl+Z,
Па
|
|
68142
|
100
|
50
|
22,5
|
70
|
7000
|
8,5
|
160
|
1360
|
8360
|
4.5 Принцип работы пастеризатора
ОПФ-1-300
Пастеризационно-охладительные установки
ОПФ-1-300 используют для центробежной очистки, тонкослойной пастеризации,
выдержки и охлаждения молока в закрытом потоке.
Молоко в пастеризаторе 9 подогревается горячей
водой, подаваемой в аппарат насосом-11 из бойлера 10. Вода нагревается паром,
поступающим через инжектор 8 из паропровода котельной установки.
4.6 Расчёт газопотребления котла KB
- 300м
Количество тепла, израсходованного на
пароснабжение молочного блока: за год:
год=Фп
3600
t
10-6, мДж,
где: Фп - поток теплоты, расходуемой на
пароснабжение молочного блока, Вт,- число часов работы котла в год,=3
365=l095 дней в году,
тогда:
год=68142
3600
1095
10-6=268615мДж.
Годовой расход газа:
Нс.г=35 - удельная теплота сгорания саратовского
газа, мДж/м3, тогда:
5. Безопасность жизнедеятельности
.1 Анализ показателей БЖД
Все показатели БЖД (электробезопасность, молниезащита,
первичные средства пожаротушения, производственная санитария, охрана окружающей
среды) находятся в пределах допустимых значений согласно ГОСТ
12.1.033-81иГОСТ2.1.005-86.
5.2 Определение классов и категорий
объекта
Предусмотренные при проектировании зданий и
установок
противопожарные мероприятия, прежде всего,
зависят от степени пожарной опасности производственных помещений. С точки
зрения требований к строительным конструкциям помещения МТФ относятся к классу
П-2а опасности, а по категории производства по пожарной опасности - «D».
5.3 Разработка системы
электробезопасности
Описание принятой системы способов и средств
электробезопасности.
Для того чтобы надежно защитить объект от
воздействия любого вида перенапряжений, в первую очередь необходимо создать
эффективную систему заземления и выравнивания потенциалов с системой
электропитания TN-S или TN-C-S.
электрическая схема внутренней проводки
молочного блока представляет собой систему TN-C, где в качестве защитного
проводника используется PEN проводник, который одновременно выполняет функции
рабочего и нулевого защитного проводника. Для приведения этой системы к системе
TN-C-S, необходимо в групповом щитке (например в ВРУ), разделить PEN проводник
на отдельные проводники РЕ и N. Таким образом, образуется система TN-C-S.
Причем проводники РЕ и N должны прокладываться раздельно, а их соединение после
точки раздела недопустимо. Данная система в настоящее время - основная, которую
можно выполнить при проведении реконструкции.
5.4 Расчёт заземляющих устройств
Расчёт заземляющего устройства сводится к
определению его сопротивления. Для данного типа объекта сопротивление
заземления должно быть не более 4 Ом.
Размеры здания 12x12 м. На расстоянии 2-х метров
от здания проложен горизонтальный заземлитель из стальной полосы 40x4 мм.
Найдём количество вертикальных электродов и
сопротивление растекания заземлителя.
Удельное сопротивление грунта - ρ1=70
Ом/м
(верхнего слоя) и ρ2=280 Ом
м
- нижнего. В качестве вертикальных электродов возьмем сталь диаметром 12мм,
длиной 5м.
Сопротивление вертикального электрода,
находящегося в двухслойной земле:
, где
-
длина вертикального электрода, м- диаметр вертикального электрода, м-
расстояние от поверхности земли до вершины стержня, равное 3,3 м.
Δl1
и
l2 - части длины электрода в слоях, м
Длина контура: L=2+12+2=16 м.
Принимаем расстояние между электродами равным
длине электрода. Находим ориентировочное количество электродов:
Суммарное сопротивление в части заземлителя,
состоящего из вертикальных электродов, электрически связанных между собой, без
учёта соединяющий их полосы:
b - коэффициент,
учитывающий экранирование электродов соседними (рис.27.1.[4]).
Сопротивление растеканию горизонтальной
проложенной полосы, связывающей вертикальные электроды между собой, с учётом
экранирования:
,
г - сопротивление растеканию горизонтальной
полосы, Ом:
ηг - коэффициент
использования соединительной полосы в ряду электродов (рис.27.1.[4]).
Общее сопротивление растеканию заземлителя:
,
Сопротивление заземляющего устройства в пределах
допустимого значения.
5.5 Выбор устройств защитного
отключения
Применение УЗО в комплексе с правильно
выполненной системой уравнивания потенциалов позволяет ограничить и даже
исключить протекание токов утечки, блуждающих токов по проводящим элементам
конструкций зданий, в том числе и по трубопроводам.
УЗО было рассчитано и выбрано в IIIчасти
дипломного проекта -«проектирование электроснабжения».
5.6 Молниезащита
Молочный блок имеет габариты 12x12x3 м.
Ожидаемое количество прямых ударов молнии в здание за год:
NM=[(A+6
hM)
(B+6
hM)-7,7
h2M]
nм
10-6,
где:
А - длина здания, м;
В - ширина здания, м;м - наибольшая высота
здания, nм=3,6м;м - среднее количество поражений молнией 1 км2 земной
поверхности в год, зависящее от количества гроз в данной местности.
=[(12+6
3,6)
(12+6
3,6)-7,7
3,62]
•8,5
10-6=(1128,96
- 99,79)
8,5
10-6=0,008
При количестве грозовых часов в год не более
100, nм=8,5.
При таком количестве принятых ударов молнии за
год, здание молниезащиты не требует, независимо от степеней его огнестойкости и
наличии в нём взрыво- и пожароопасных зон.
5.7 Выбор первичных средств
пожаротушения
Согласно ГОСТ 12.1.033-81 понятие пожарная
безопасность означает состояние объекта, при котором с установленной
вероятностью исключается возможность возникновения и развития пожара,
воздействия на людей и животных опасных факторов пожара, а также обеспечивается
защита материальных ценностей.
Согласно СНиП2-2-80 «Противопожарные нормы
проектирований зданий и сооружений», в зависимости от материалов и конструкций,
из которых построены стены, перекрытия и другие части зданий, то есть по
степени огнестойкости конструкций, здания МТФ относятся к зданиям 2степени
огнестойкости. Все основные элементы из негорючих материалов, кроме внутренних
несущих стен и перегородок, которые могут быть трудно горючими с пределом
распространения огня не более 40 см. При этом в течение двух часов под
воздействием огня не теряется несущая способность строительных конструкций, в
них не появляется сквозных трещин, и температура на противоположной от огня
стороне не достигает 220°С.
Для устранения причин пожаров на
производственных объектах проводятся профилактические мероприятия.
Технические мероприятия предусматривают
соблюдение противопожарных норм при проектировании и строительстве зданий.
Эксплуатационные меры предусматривают правильную техническую эксплуатацию
производственного оборудования, рациональное содержание зданий и территории
предприятия. Режимные мероприятия предусматривают ограничение или запрещение в
пожароопасных местах открытого огня, курение и т.п. К основным средствам
тушения пожаров относятся противопожарное водоснабжение и технические средства
тушения пожаров.
Расход воды на противопожарные нужды рассчитан в
пункте 6 раздела II «Водоснабжение холодной водой».
Для тушения возгораний и пожаров используется
химический пенный огнетушитель ОХП-10, песок, снег, вёдра с водой, шанцевый
инструмент.
Потребность в огнетушителях определенное из
расчета 1 огнетушитель на 100 м помещений.
Суммарная площадь молочного блока - 144 м.
Значит необходимо 2 огнетушителя. В помещениях необходимо оборудовать пожарные
щиты у входа с инструментом для тушения пожара и периодически проводить
инструктаж с распределением обязанностей между исполнителями.
5.8 Производственная санитария
Численные нормативы на параметры микроклимата в
рабочей зоне указаны в ГОСТ2.1.005-86. Рабочей зоной считается пространство
высотой до двух метров над уровнем пола, где находятся рабочие места.
Микроклимат в рабочей зоне определяется
действующим на человека сочетанием температуры, влажности и скорости движения
воздуха, а так же температура окружающей поверхности.
Оптимальным считаются те сочетания параметров
микроклимата, которые при действительном воздействии на человека обеспечивают
сохранение нормального функционального и теплового сочетания организма без
напряжения его физиологических способностей к терморегуляции.
Отопление предусмотрено как для животноводческих
помещений МТФ, так и для производственно-вспомогательных.
Коровник и телятник обогреваются теплым
воздухом, который распределяется по воздуховодам. Нагрев воздуха осуществляется
при помощи калориферных установок.
Естественное освещение какой-либо точки в
помещении характеризуется коэффициентом естественной освещенности. Естественное
освещение бывает боковое и крышное. Для помещений с боковым освещением
нормируется максимальное значение этого коэффициента.
Норма искусственного освещения для
производственных помещений даны на номинальную освещенность рабочих
поверхностей, а так же зависят от контраста объекта и от степени темноты фона.
При проектировании искусственного освещения
принимают коэффициент запаса, учитывающий снижение освещенности от загрязнения
светильников.
5.9 Расчет искусственного освещения
Задачей расчета является определение требуемой
мощности электрической осветительной установки для 1 издания в производственном
помещении заданной освещенности.
При проектировании осветительной установки
необходимо решить следующие основные вопросы:
выбрать тип источника света - рекомендуются
газоразрядные лампы, за исключением мест, где температура воздуха может быть
менее +5 °С и напряжение в сети падать ниже 90 % номинального, а также местного
освещения (в этих случаях применяются лампы накаливания);
определить систему освещения (общая
локализованная или равномерная, комбинированная);
выбрать тип светильников с учетом характеристик
светораспределения, условий среды (конструктивного исполнения) и др.;
распределить светильники и определить их количество
(светильники могут располагаться рядами, в шахматном порядке, ромбовидно);
определить норму освещенности на рабочем месте.
Для расчета искусственного освещения используют в основном три метода.
Для расчета общего равномерного освещения при
горизонтальной рабочей поверхности основным является метод светового потока
(коэффициента использования), учитывающий световой поток, отраженный от потолка
и стен. Световой поток лампы Фл, лм, при лампах накаливания или световой поток
группы ламп светильника при люминесцентных лампах рассчитывают по формуле
где Ен - нормированная минимальная освещенность,
лк; S - площадь освещаемого помещения, м2; z - коэффициент неравномерности
освещения
(z = 1,1…1,5); k - коэффициент запаса, учитывающий
снижение освещенности из-за загрязнения и старения лампы (к=1,2...1,7) N-
число светильников; η-
коэффициент использования осветительной установки (η=
0,2...0,7); значение η определяют
в зависимости от показателя помещения
где А и В - длина и ширина помещения, м; Нр -
высота светильников над рабочей поверхностью, м.
Подсчитав световой поток лампы Фл, по таблице
подбирают ближайшую стандартную лампу и определяют электрическую мощность всей
осветительной установки.
=PH
N=40
8=320Bт
Удельная мощность:
=Ppac/S=320/35=9,l
где Р- удельная мощность, Вт/м (принимается из
справочника для помещений данной отрасли); S - площадь помещения, м2.
Ориентировочно необходимое число светильников n
по методу светового потока может быть определено из выражения
Где Ен - нормативная освещенность, лк; S -
площадь, подлежащая освещению, м2; k - коэффициент запаса (обычно принимается в
пределах 1,25…1,5 за исключением особо пыльных условий, для которых принимается
k=1,7); Фл - световой поток лампы выбранного типа прожектора, лм; η
-
коэффициент использования светового потока. Световая ведомость находится в
приложении.
5.10 Охрана окружающей среды
Деятельность, производство и работа данного
объекта не наносит вреда окружающей среде. Все экологические показатели в
пределах нормы.
В данном разделе были рассмотрены различные меры
и системы, обеспечивающие безопасность жизнедеятельности при работе на объектах
МТФ.
Мы рассмотрели вопросы электробезопасности,
производственной санитарии и пожарной безопасности. Выбрали марку и количество
огнетушителей.
6. Экономическая эффективность
проектных решений
Принятые проектные решения по энергообеспечению
МТФ требуют проверки их экономической эффективности.
В основу оценки экономической эффективности
дипломного проекта положены «Методические рекомендации по оценке эффективности
инвестиционных проектов и их отбору для финансирования».
Все методы экономических оценок классифицируются
в двух плоскостях: по их новизне в отечественной практике - традиционные и
современные; и по их отношению к фактору времени - без учета продолжительности
процесса инвестирования и времени действия инвестиций и с учетом этого.
Традиционный метод сравнительной эффективности
капиталовложений (инвестиций) без учета фактора времени, используемый для
экономического обоснования проекта, - это метод абсолютного срока окупаемости
дополнительных капиталовложений (инвестиций) в пароснабжение молочного блока за
счет снижения ущерба от порчи продукции.
Современные методы экономической оценки
эффективности инвестиций с учетом фактора времени, используемые для обоснования
экономической целесообразности энергообеспечения, - это методы чистого
дисконтированного дохода (интегрального эффекта) и индекса доходности.
В результате применения пастеризации снижается
технологический ущерб от порчи продукции. Рассчитаем снижение ущерба порчи
продукции. Фактический объём производства продукции составляет: Q=q
365,
где q - суточная производительность молочного
блока, ц.
= 30
365 = 10950 ц
Применение пастеризации молока на 5 % снижает
технологический брак. Дополнительный выход товарной продукции составит:
д= 0,05
10950 = 547,5 ц
Выручка от реализации дополнительного выхода
продукции составит:
В = Ц
Qд, где Ц - цена
молока, руб./ц.
В = 650
547,5 = 355875
руб.
Размер капитальных вложений (инвестиций)
определяется ценой оборудования и дополнительными расходами на приведение в
состояние
К = Д
Ц,
где Д - коэффициент, учитывающий дополнительные
расходы (транспортировка, хранение, пусконаладочные работы и т.п.);
Ц - цена оборудования, руб.
Капиталовложения в систему пароснабжения
рассчитываются в таблице 6.1.
Таблица 6.1 - Расчет капитальных затрат
(инвестиций) в систему пароснабжения молочного блока МТФ
|
Наименование
оборудования
|
Цена,
руб.
|
Количество
|
Стоимость,
руб.
|
|
1.
Котлоагрегат КВ-ЗООМ
|
276000
|
1
|
276000
|
|
2.
Паропровод
|
220
|
100
|
22000
|
|
3.
Пастеризационно-охладительная установка ОПФ-1-300
|
76000
|
1
|
76000
|
|
Дополнительные
расходы (30%)
|
|
|
112200
|
|
ИТОГО
|
|
|
486200
|
Эксплуатационные расходы рассчитываются по
формуле:
И = Иа + Иторх + Иэ + Ит,
где Иа - амортизационные отчисления, руб.;
ИТОРХ - затраты на техническое обслуживание и
ремонт, руб.;
Иэ - затраты на электроэнергию, руб.;
Ит - затраты на топливо, руб.
Амортизационные отчисления рассчитываются с
использованием установленных единых норм амортизации в процентах к
первоначальной (балансовой) стоимости оборудования:
Иа = К
а/100,
где К - капитальные вложения в систему
пароснабжения, руб.; а - норма амортизации, %.
Иа = 486200
15 / 100 = 72930
руб.
Затраты на техническое обслуживание и текущий
ремонт рассчитываются:
Иторх=К
r/100,
где К - капитальные вложения в систему
пароснабжения, руб.норма отчислений на ТО и ТР, %.
Иторх= 486200
10
/ 100= 48620 руб.
Затраты на электроэнергию рассчитываются:
,
где ∑Руст - установленная мощность
электрооборудования, кВт;
Тисп - время использования оборудования, ч/ год;
Цэ - тариф на электроэнергию, руб./кВт ч.
Иэ= 4,8 * 1095 * 2,7 = 14191 руб.
Затраты на топливо (газ) рассчитываются по
формуле:
Ит = Цт • qT,
где Цт - цена топлива, руб./м3;- годовой расход
топлива (газа), м.
Ит = 2,42
7674 = 18571 руб.
Суммарные эксплуатационные затраты за год
составят:
И = 72930 + 48620 + 14191 + 18571 = 154312 руб.
Экономическая эффективность (прибыль) от
использования системы пароснабжения молочного блока определяется как разница
между выручкой от продажи дополнительной продукции и эксплуатационными
затратами,.
Найдем экономическую эффективность проведения
данного мероприятия:
П = В - И,
Прибыль от продажи дополнительного объема молока
составит:
П = 355875 - 154312 = 201563 руб.
Рассчитаем срок окупаемости, который
определяется по формуле:
Ток=К/П,
где К - капитальные вложения, руб.
Ток = 486200 / 201563 == 2,41года
Расчетный срок окупаемости не превышает
нормативный (Токн = 7 лет), что свидетельствует о правильности проектных
решений.
В мировой практике наибольшее распространение
получил метод оценки экономической эффективности инвестиционного проекта с
использованием следующих четырех показателей: чистого дисконтированного дохода,
индекса доходности, внутренней нормы доходности и периода окупаемости
капитальных вложений.
При этом чистый дисконтированный доход - один из
важнейших показателей и критериев эффективности, который в ряде случаев
выступает как самостоятельная и единственная характеристика.
Чистый дисконтированный доход или интегральный
эффект определяется по формуле:
,
где I - затраты на инвестиции, руб.;- чистый
денежный доход за период эксплуатации объекта, руб.;
Е - норма дисконта;
Т - продолжительность расчетного периода или
горизонт расчета;- номер шага расчета по годам, начиная с момента начала
осуществления проекта.
В рыночной экономике при использовании
собственного капитала норма дисконта определяется исходя из депозитного
процента по вкладам, а на практике она выше этого процента за счет инфляции и
риска, связанного с инвестициями.
Индекс доходности или индекс прибыльности
проекта определяется по формуле:
Найдем чистый дисконтированный доход, который
предприятие получит в течение 6 лет, при норме дисконта 15%.
Расчет чистого дисконтированного дохода
представлен в таблице 6.2
Таблица 6.2 - Расчет чистого дисконтированного
дохода при ставке дисконта Е= 15%
|
Показатели
|
Горизонт
расчета (годы)
|
|
0
|
1
|
2
|
3
|
4
|
5
|
6
|
|
Капиталовложения,
тыс. руб.
|
486,2
|
-
|
-
|
-
|
-
|
-
|
-
|
|
Прибыль,
тыс. руб.
|
-486,2
|
201,56
|
201,56
|
201,56
|
201,56
|
201,56
|
201,56
|
|
Дисконтный
множитель
|
1
|
0,870
|
0,756
|
0,658
|
0,572
|
0,497
|
0,432
|
|
Приведенная
разность, тыс. руб.
|
-486,2
|
178,79
|
155,47
|
135,19
|
117,56
|
102,22
|
88,891
|
|
Чистый
дисконтированный доход (интегральный эффект), тыс. руб.
|
291,93
|
|
Индекс
доходности, руб./ руб.
|
778,13/486,2
= 1,6
|
Наличие положительного чистого дисконтированного
дохода или интегрального эффекта в размере 291930 руб. за 6 лет эксплуатации и
индекса доходности 1,6 руб./руб., что больше 1, свидетельствует об
экономической эффективности в пароснабжение молочного блока МТФ КХ «Сокол».
Все расчеты сводятся в таблицу 6.3, которая
выносится на графический лист дипломного проекта.
электроснабжение вентиляция пароснабжение
нагрузка
Таблица 6.3 - Экономическая эффективность
проектных решений
|
Наименование
показателей
|
Значение
|
|
1.
Капиталовложения (инвестиции) в систему пароснабжения молочного блока, руб.
|
486200
|
|
2.
Выручка от реализации дополнительной продукции, руб.
|
355875
|
|
3.
Эксплуатационные затраты, руб.
|
154312
|
|
в
т.ч. амортизационные отчисления
|
72930
|
|
затраты
на текущий ремонт
|
48620
|
|
затраты
на электроэнергию
|
14191
|
|
затраты
на топливо
|
18571
|
|
4.
Прибыль, руб.
|
201563
|
|
5.
Срок окупаемости, лет
|
2,41
|
|
6.
Чистый дисконтированный доход или интегральный эффект при Т= 6 лет Е=15%,
руб.
|
291930
|
|
7.
Индекс доходности, руб./руб.
|
1,6
|
Выводы
В результате выполнения дипломного проекта была
разработана схема энергообеспечения МТФ на 400 голов, включающая в себя
теплоснабжение, электроснабжение и водоснабжение объектов МТФ.
Разработанная система пароснабжения позволила
применять пастеризацию молока и пропаривание молочной посуды на месте - в самом
молочном блоке, входящем в состав МТФ. Это позволяет снизить ущерб от порчи
продукции и затраты на транспортировку.
Выбранный паровой котел имеет большую тепловую
мощность, чем нагрузка на пароснабжение молочного блока, поэтому этот же
котлоагрегат можно использовать для пароснабжения других объектов, например на
нужды кормоцеха, строительство которого находится в перспективе на данной МТФ.
Данный котлоагрегат установлен в общефермерской котельной, поэтому
обслуживается тем же персоналом, что и другие котлы, предназначенные для
теплоснабжения МТФ.
Общефермерская котельная имеет достаточную
мощность для снабжения теплом и горячей водой объектов МТФ, а так же может при
необходимости покрыть тепловые нагрузки потребителей в будущем, при расширении
производства или строительстве новых объектов. При расчёте электроснабжения
была выбрана необходимая мощность подстанции и необходимое сечение проводов ВЛ
и внутренней проводки. Расчёт газоснабжения и водоснабжения позволяет оценить
потребности МТФ в газе и холодной воде. Рассмотренные вопросы безопасности
жизнедеятельности позволили оценить значимость электро-, пожаробезопасности и
снижение травматизма на производстве. Экономическое обоснование проекта
доказало, что лишь та система является прогрессивной, которая обеспечивает
повышение производительности труда, снижение себестоимости работ и продукции,
ускорение окупаемости капитальных затрат.
Библиографический список
1. А.А.
Захаров. Практикум по применению теплоты в сельском хозяйстве. Москва:
Агропромиздат, 1985 г.
. А.А.
Захаров. Применение тепла в сельском хозяйстве. Москва: Колос, 1980 г.
. И.Л.
Каганов. Курсовое и дипломное проектирование. Москва: Агропромиздат, 1990г.
. И.А.
Будуко. «Электроснабжение сельского хозяйства».
. А.И.
Кирюшатов «Теплотехнические установки с/х производства, Саратов: 1989 г.
. Б.X.
Дроганов, А.В. Кузнецов, С.П. Рудобашта «Теплотехника и применение теплоты в
сельском хозяйстве» - М., Агропромиздат, 1990.
. В.В.
Михайлова. Определение экономической эффективности капитальных вложений при
сравнении различных вариантов с/х техники. Методические указания по
лабораторно-практическим занятием. Саратов: СГАУ 2006.-12с.
. В.В.
Михайлова, Л.М. Игнатьев. Методы отбора инновационных проектов для реализации.
Методические указания для дипломного проектирования.-Саратов: СГАУ, 2004. -
16с.
. СНиП
II-31-74 11.СНиП II-32-74
. СНиП
II-2-80
. ГОСТ
18599-73
. ГОСТ
12.1.033-81
. ГОСТ
2.1.005-86