Анализ акустических параметров зала

  • Вид работы:
    Контрольная работа
  • Предмет:
    Физика
  • Язык:
    Русский
    ,
    Формат файла:
    MS Word
    1,37 Мб
  • Опубликовано:
    2015-03-07
Вы можете узнать стоимость помощи в написании студенческой работы.
Помощь в написании работы, которую точно примут!

Анализ акустических параметров зала

1. Анализ акустических параметров зала

Рис. 1. Эскиз зала

Рассматриваемый зал представляет собой прямоугольный параллелепипед длиной и шириной 30 м и высотой 7,5 м. Пол гладкий, места слушателей расположены в середине зала, подъема для аудитории и трибуны для выступающего нет.

Сидения не закрепленные, в виде отдельных кресел, количество их может меняться в зависимости от количества присутствующих. Максимальное количество мест - около 400. На момент обследования в заде было 120 кресел, покрытых дерматином. Средняя площадь поверхности кресла - 0,8 м2.

Материал облицовки стен - деревянные панели. В средней части боковых стен находятся двери размером 3×2,5 м. Средние фрагменты боковых стен (7,5 метра по обе стороны от средней линии) вместо деревянных панелей покрыты штукатуркой. Пол покрыт линолеумом, потолок оштукатурен. Центральная часть потолка в виде круга диаметром 20 м поднята вверх на 1 м, по периметру поднятия расположены светильники. В центре передней и задней стенки имеются экраны размером 6×4 м. Окон нет.

Параметры зала показаны в табл. 1.

Таблица 1 Параметры зала

Параметр

Обозначение

Значение

Площадь зала, м2

900

Объем зала, м3

6750

Площадь стен, м2

900

в т.ч.:



- оштукатеренных

225

- декоративные панели

636

- экран

24

- двери

15

Площадь кресел, м2

96


.1 Расчет геометрических отражений

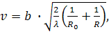
В инженерной практике расчет геометрических отражений (главным образом первых) является основным способом контроля правильности выбора формы помещения и очертаний его внутренних поверхностей. Расчет геометрических отражений необходим для определения критериев акустического качества помещений. Проверим, можно ли в данных условиях рассматривать распространение звука в зале с точки зрения геометрической оптики. Пусть для примера точка приема, отражения и источника расположены в центральной плоскости зала. Источник (И) находится на высоте 1,5 м на расстоянии 4 м от передней стены, приемник (П) - на расстоянии 1 м от задней стены на высоте 1,5 м, точка отражения (О) - на потолке посередине между ними (рис. 2).

Рис. 2. Расчетный пример для распространения звука в зале

Введем безразмерные величины:

 

 

где  - углы падения и отражения;

 

 

𝜆 = 0,68 м - длина звуковой волны;

a = 30 м - длина зала;

b = 30 м - ширина зала;

R0 - расстояние от источника звука до точки отражения;

 

 - расстояние от точки отражения до точки приема;

 

 

 

Абсолютное отклонение фактического уровня звукового давления в точке приема от уровня, соответствующего строго геометрическому отражению, не превысит, дБ:

 

Так как ∆L  5, то применение геометрических отражений можно считать допустимым.

.2 Определение дополнительных акустических параметров зала

Для расчетов основных акустических критериев зала (плотности энергии и времени реверберации) необходимо определить основной фонд поглощения  средний коэффициент поглощения  и средний коэффициент отражения  по формулам:

 

 

 

Зная габаритные размеры зала и площади ограничивающих поверхностей, рассчитаем ,  на октавных частотах и результаты занесем в таблицу 2.

Таблица 2 Результаты расчета , , .


Согласно геометрической теории для дальнейших расчетов рассмотрим три точки приема.

Источник звука расположим на высоте 1,2 м в центральной плоскости зала на расстоянии 4 м от передней стены.

-я точка приема находится в начале зала у правой стены на расстоянии 4 м вдоль центральной плоскости зала от источника звука на высоте 1 м.

-я точка приема находится в центральной плоскости зала посередине между источником звука и задней стенкой на высоте 1 м.


Таблица 1 Расположение источника, точек отражения и приема

Наименование точки

х, м

y, м

z, м

Источник

4

0

1,5

1-я точка отражения (потолок)

15

0

8,5

2-я точка отражения (пол)

15

0

0

3-я точка отражения (седина задней стены)

30

0

3,75

1-я точка приема (начало зала справа)

4

15

1

2-я точка приема (середина зала)

15

0

1

3-я точка приема (конец зала слева)

30

-15

1

Направление оси источника

30

0

1,5


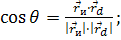
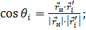
Для точек приема нам необходимо знать следующие дополнительные параметры:

rd - расстояние от источника до точки приема (определяется по относительным координатам точек);

 - угол между акустической осью источника и направлением на рассматриваемую точку приема. Определяется по координатам векторов;

 

 

 

 - вектор оси источника звука;

 - вектор, направленный от источника звука к приемнику;

 - коэффициент направленности источника для угла между его акустической осью и направлением на рассматриваемую точку находим по формуле

 

Для точек отражения необходимо знать:

 - расстояние от источника до i-й отражающей поверхности. Находим по координатам точек;

 - расстояние от -й отражающей поверхности до точки приема. Находим по координатам точек;

 - угол между акустической осью источника и направлением на рассматриваемую точку отражения;

 

 

 - вектор, направленный от источника звука к точке отражения;

 - коэффициент направленности источника для угла между его акустической осью и направлением вектора ;

 - коэффициент отражения i-й поверхности помещения;

Результаты расчетов приведены в табл. 2.

Таблица 2 Значения дополнительных параметров для точек приема и отражения

№ точки приема

№ точки отражения

1

15,53

75,1

3

11,23

16,78

11,6

0,997

0,9

2

15,01

1,000

1,9

1

13,04

8,50

32,5

0,980

0,5

3

30,02

0,983

30,0

2

11,10

21,24

7,8

0,999

0,79


Рис. 2. Расположение источника и точек приема (П)

.3 Расчет плотности энергии

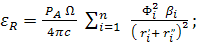
Модель звукового поля в стационарном режиме с точки зрения геометрической теории примем в виде:

 

где ε - общая плотность звуковой энергии; εD - плотность энергии прямого звука:

 

 

 

εN - плотность энергии первых звуковых отражений:

 

 

εR - плотность диффузной звуковой энергии:

 

РА = 0,63 Вт - мощность источника звука;

ρ = 1,22 кг/м3 - плотность воздуха;

с = 340 м/с - скорость звука;

Ω = 4,8 - коэффициент осевой концентрации;

 - средний квадрат звукового давления.

 

 

 

 

 

 

 

 

Подставив полученные значения εD, εR и εN в формулу (3.7) найдем числовое значение общей плотности звуковой энергии, которая равна:

 

Зная значение плотности звуковой энергии ε найдем интенсивность I и уровень интенсивности LI.

 

 

 

где I0 = 10-12 соответствует нулевому уровню интенсивности.

 

По графику кривых равной громкости (рис. 2.8) видно, что уровень интенсивности LI равный 105 дБ соответствует уровню громкости 100 фон который находится в области слухового восприятия человеческого уха. Не выше порога осязания и не ниже порога слышимости. Для хорошего восприятия необходимый уровень звучания не меньше 85 фон.

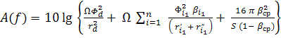
1.4 Частотный анализ звукового поля

Метод контроля акустического качества мест различных залов основан на частотном анализе звукового поля. В соответствии с этим методом определяется величина А в зависимости от частоты.

В нашем случае величину А рассчитываем в трех выбранных точках приема для всех октавных частот по формуле:

 

Первое слагаемое в скобках характеризует прямой путь звука из источника к приемнику, второе - первые отражения, третье - диффузное рассеяние звука.

Прямые пути звука и первые отражения показаны на рис. 3. В общем случае для каждого приемника существует шесть точек первого отражения (от четырех стен, пола и потолка), однако если приемник находится в непосредственной близости от одной из стен, соответствующие точки отражения виртуализируются и первое отражение совпадает с линией прямого распространения звука.

На рис. 3 совпадающие проекции точек отражения от пола и потолка показаны как одна точка в середине линии прямого распространения звука.


Таблица 3 Геометрические характеристики путей распространения звука



Рис. 3. Прямые пути из источника (И) к приемникам (П) и первые отражения, обозначенные точками отражений (О).

Результаты расчетов А(f) представлены в таблице 4. Далее находим среднее значение величины А - А0 в зависимости от объема зала по рисунку 2.10.

На основании расчетов характеристик А(f) и А0 построим форму А1(f), которая определяется как

 

 

где = -5.

Таблица 4 Значения величин А, А0 и А1

f Гц

125

250

500

1000

2000

4000

А

-4,7

-6

-5,7

-5,1

-4,8

-2,9

А0

-5

-5

-5

-5

-5

-5

А1

0,3

-1

-0,7

-0,1

0,2

2,1



Сравним получившуюся характеристику А1(f) с оптимальной формой характеристики А(f).

Рис. 4. Оптимальная форма характеристики А(f) и полученная характеристика А1(f)

По рисунку 3.1 видно, что А1(f) не существенно отклоняется от оптимальной характеристики и выходит из допустимую область, которая обозначена штриховкой.

.5 Расчет времени реверберации

Находим количество отражений N в точках отражений:

акустический звуковой поле реверберация

 

Зная количество отражений N и средний коэффициент поглощения αср можем рассчитать время реверберации на всех октавных частотах:

 

Оптимальное время реверберации находим по рис. 5. Данный зал в основном предназначен для речевых передач поэтому по графику берем характеристику 1. Соответственно Топт при V = 6750 м3 будет равно 1,1 с.

Рис. 5. Зависимость оптимальной реверберации для частоты 500 Гц от объема помещения: 1 - для речевых передач; 2 - для малых музыкальных форм и оперных театров; 3 - для концертных залов (симфоническая музыка); 4 - для органной музыки пунктиром дана приближенная аналитическая зависимость.

Рис. 6. Частотная зависимость времени оптимальной реверберации: 1 - для музыкальных программ; 2 - для речевых передач. Красной линией показана расчетная характеристика.

По рис. 6 определим частотную характеристику оптимального времени реверберации. Полученные значения занесем в табл. 5.

Таблица 5 Время реверберации на октавных частотах

f , Гц

125

250

500

1000

2000

4000

Tрас

0,65

0,49

0,53

0,58

0,61

0,92


Построим частотные зависимости оптимального времени реверберации и расчетного и сравним их.

Регулирование значения времени реверберации производим путем подбора звукопоглощающих материалов. Для приближения к оптимальному значению Трев , αср должно быть меньше имеющегося на СЧ и больше на ВЧ и НЧ.

Заменим фанерное покрытие потолка гипсовыми перфорированными плитами с пористым заполнителем и воздушной прослойкой 200 мм.

Проведем аналогичные расчеты Аф∑, αср, βср и результаты занесем в таблицу 6.

Таблица 6 Результаты расчета , , .


Найдем время реверберации с учетом замены материалов. Полученные значения занесем в таблицу 7.

Таблица 7 Время реверберации на октавных частотах

f , Гц125250500100020004000







Tрас

0,68

0,76

0,88

0,87

0,88

0,88


Сравним расчетную частотную характеристику с оптимальной (рис. 6).

Рис. 6. Частотная зависимость времени реверберации после замены покрытия потолка

По рис. 6 видно, что расчетная характеристика укладывается в допуски оптимального времени реверберации, т.е. подбор материалов произведен правильно.

2. Выбор и расчет системы озвучения и звукоусиления

 

.1 Выбор системы озвучения


Системы озвучения и звукоусиления представляют собой совокупность усилительных и электроакустических устройств, предназначенных для воспроизведения звукового сигнала и обеспечивающих хорошую слышимость на достаточно большой площади. Система звукоусиления отличается от системы озвучения наличием акустической обратной связи, обусловленной тем, что микрофон, принимающий сигнал для усиления, находится в звуковом поле громкоговорителей, излучающих усиленный сигнал.

Озвучением называют громкоговорящее воспроизведение акустических сигналов (вещание, звукозаписи, различной информации, в том числе сигналов оповещения гражданской обороны и др.) в заданных местах расположения слушателей или на открытом воздухе.

Усиление звука применяют для увеличения акустического сигнала в условиях, когда из-за недостаточной мощности источника звука (оратор, чтец, солист и т. п.), больших размеров озвучиваемой поверхности или заглушённого помещения уровень звука в месте расположения слушателя оказывается ниже требуемого.

В зависимости от расположения громкоговорителей по отношению к озвучиваемой площади, системы озвучения подразделяют на сосредоточенные, зональные и распределенные.

В данном конкретном случае для достижения наилучших значений уровней звукового давления во всех точка озвучиваемой поверхности будем использовать распределённую систему.

Распределёнными называют системы, в которых звук к слушателю приходит от всех или большей части громкоговорителей с примерно одинаковым уровнем. Ряд громкоговорителей, расположенных так, что их акустические оси взаимно параллельны и направлены в одну сторону, образуют так называемую одномерную или линейную цепочку. В закрытых помещениях одномерная цепочка составляется из громкоговорителей, расположенных на одной или двух боковых стенах помещения, или на потолке в виде одной или двух цепочек. Двумерная распределенная система образуется громкоговорителями, расположенными по всему потолку.

Звуковые колонки (4 штуки) расположим в углах зала на высоте 4 м. Акустические оси колонок направим на точку, которая находится в центре зала на высоте 1,2 м (на уровне голов сидящих слушателей).

Высота установки громкоговорителей над уровнем голов слушателей равна:

,

где  - высота центра громкоговорителя над уровнем пола,

 - уровень голов слушателей над полом.

Сделаем предварительный выбор типов громкоговорителей.

требуемое звуковое давление: == 0,35 Па

 уровень прямого звука для удаленной точки (для речи )

расстояние от громкоговорителя до удалённой точки:

 

где  - длина зала,  - ширина зала.

- номинальное звуковое давление для громкоговорителя, которое должно быть не менее:

 

где n = 4 - количество громкоговорителей.

По полученным данным выбираем колонки ILS30 (звуковая колонка обеспечивает высокую четкость звука. Корпус изготовлен из пластика с металлической решёткой. Комплектуется приспособлением для крепления к стене и поворота в двух плоскостях. Применяется для озвучения помещений любой акустической сложности) со следующими параметрами:

- номинальная мощность: 30 Вт

чувствительность 88 дБ

диапазон частот 100 Гц-18 кГц

- размеры (ШхВхГ) 22х40х20 см

2.2    Расчет уровней звукового поля


Вычислим звуковое давление, которое создают в характерных точках зала четыре громкоговорителя. Характерные точки и расположение громкоговорителей показаны на рис. 7 кружками и квадратами соответственно. Характерные точки расположены в разных концах и в центре зала и позволяют примерно оценить полный разброс громкости звучания громкоговорителей по всей площади зала.

Поскольку громкоговорители расположены симметрично, то расчёт можно провести только для одного громкоговорителя, сложив затем картины распределения звукового давления от четырёх громкоговорителей с учётом их расположения. Начало координат расположим в центре громкоговорителя, ось х направим горизонтально по диагонали зала, ось y - перпендикулярно ей.

Рисунок 8 - Расположение осей координат, характерных точек (круги) и громкоговорителей (квадраты) в зале

Координаты характерных точек показаны в таблице 8

Таблица 8 Координаты характерных точек

№ точки

x, м

y, м

z, м

1

10,61

10,61

-2,80

2

10,61

-10,61

-2,80

3

21,21

0,00

-2,80

4

31,82

10,61

5

31,82

-10,61

-2,80


При расчётах учитываем, что оси громкоговорителей ориентированы в направлении головы слушателя, сидящего в центре зала. Высота подвеса громкоговорителей - 4 м, высота головы сидящего слушателя - 1,2 м. Поэтому угол наклона оси громкоговорителя к горизонтали составляет

 

Эксцентриситеты громкоговорителей в вертикальной и горизонтальной плоскостях:

 

 

 

где  - высота и ширина громкоговорителя.

В таблице 6 показаны расчёты звуковых давлений, создаваемых в характерных точках одним из громкоговорителей. Расчёты для других громкоговорителей дадут аналогичные результаты с учётом симметрии их расположения.

В таблице показаны координаты характерных точек, координаты громкоговорителей, координаты точек в системе координат громкоговорителя, а также координаты точек в наклонной системе координат, где начало координат находится в точке подвеса громкоговорителя, а ось x направлена вдоль оси громкоговорителя:

 

 

 

 

 

 

Звуковое давление в каждой точке вычисляется по формуле

 

где  - звуковой давление, создаваемое громкоговорителем на акустической оси на расстоянии 1 м. В таблицах предполагается, что . При необходимости использовать громкоговорители с большим стандартным давлением, эти числа можно пропорционально скорректировать.

Таблица 9 Расчёт звукового давления для громкоговорителя 1

№ точки

Δx

Δy

Δz

u

v

w

p, Па

1

10,61

10,61

-2,80

10,85

10,61

-1,60

0,0297

2

10,61

-10,61

-2,80

10,85

-10,61

-1,60

0,0297

3

21,21

0,00

-2,80

21,39

0,00

-0,42

0,0614

4

31,82

10,61

-2,80

31,93

10,61

0,77

0,0436

5

31,82

-10,61

-2,80

31,93

-10,61

0,77


В таблице 10 показаны звуковые давления, создаваемые в 5 характерных точках всеми 4 громкоговорителями. Каждый квадрат 3х3 соответствует одному из громкоговорителей, каждая клетка этого квадрата соответствует одной характерной точке и содержит звуковое давление, создаваемое в этой точке соответствующим громкоговорителем.

Таблица 10 Картина звуковых давлений (Па), создаваемых громкоговорителями в характерных точках

0,029668


0,04356


0,061395


0,029668


0,04356

0,04356


0,029668


0,061395


0,04356


0,029668

0,029668


0,029668


0,061395


0,04356


0,04356

0,04356


0,04356


0,061395


0,029668


0,029668


В таблице 8 показано результирующее давление в 5 характерных точках. Сложение давлений, создаваемых отдельными громкоговорителями, производилось по формуле

 

Таблица 11 Суммарное звуковое давление от 4 громкоговорителей в 5 характерных точках

0,074533


0,074533


0,12279


0,074533


0,074533


Как видно из таблицы, при стандартном давлении одиночного громкоговорителя 1 Па, в рассмотренных точках зала создаётся суммарное звуковое давление 0,12...0,18 Па. Чтобы суммарное звуковое давление центре зала достигло требуемых 0,4 Па, необходимо увеличить давление отдельного громкоговорителя до

 

Тогда распределение звукового давления в характерных точках станет таким, как показано в таблице 11. В таблице 12 показаны уровни звукового давления, рассчитанные по формуле

 

Таблица 12 Суммарное звуковое давление от 4 громкоговорителей в 8 характерных точках при стандартном давлении громкоговорителя 3,25 Па

0,400245


0,400245


0,659382


0,400245


0,400245


Таблица 13 Уровни звукового давления (дБ) от 4 громкоговорителей в 5 характерных точках при стандартном давлении громкоговорителя 3,25 Па

86,05

 

86,05

 

90,38

 

86,05

 

86,05


Неравномерность озвучения составляет 90,4 - 86,1 = 4,3 дБ, что приемлемо для воспроизведения речи.

Список использованных источников

1. Макриненко Л.И. Акустика помещений общественных зданий. - М.: Стройиздат, 1986. -173 с.

Приложение А

Расположение расчетных точек источника, отражения и приемника

Рис. А.1. Прямое распространение звука и первые отражения для приемника № 1

Похожие работы на - Анализ акустических параметров зала

 

Не нашли материал для своей работы?
Поможем написать уникальную работу
Без плагиата!
Без нейросетей!