Обоснование оптимальной логистической схемы доставки минеральных удобрений с использованием судов СК 'Волжское пароходство'
Федеральное
агентство морского и речного транспорта
Федеральное бюджетное образовательное
учреждение
высшего профессионального образования
Волжская государственная академия
водного транспорта
Факультет экономики и управления
ДИПЛОМНЫЙ ПРОЕКТ
Обоснование оптимальной логистической
схемы доставки минеральных удобрений с использованием судов СК "Волжское
пароходство"
Разработал студент
В.С. Антипин
Руководитель дипломного проекта
проф., д.т.н. В.Л. Зюзин
г.
Содержание
Введение
1. Современное состояние перевозок минеральных удобрений в
Российской Федерации
1.1 Значение минеральных удобрений для сельского хозяйства и их
основные характеристики
1.2 Применяемые способы и схемы транспортирования минеральных
удобрений в Российской Федерации
2. Анализ деятельности ОАО "СК "Волжское
пароходство"
2.1 Производственно-экономические показатели использования флота
2.2 Направления развития компании в перевозках грузов
3. Обоснования по выбору оптимального варианта
транспортно-логистических схем доставки минеральных удобрений
3.1 Выбор схем и средств доставки груза
3.2 Расчет основных параметров логистических схем доставки
3.3 Расчет стоимости перевозки по выбранным схемам с учетом потерь
минеральных удобрений
3.4 Методика обоснования и выбора экономически целесообразных схем
перевозок путем решения многокритериальной задачи
Заключение
Список используемой литературы
Приложения
Введение
С переходом на интенсивный путь развития и рыночные отношения
улучшение транспортного обслуживания грузовладельцев превращается в один из
главных источников роста производительности и экономии всех видов ресурсов и в
промышленности, и на транспорте.
Транспортной стратегией Российской Федерации на период до
2020 года одной из приоритетных задач определено создание современной системы
путей сообщения, терминального хозяйства и транспортно-экпедиционного
обслуживания грузовладельцев. Это обусловлено, в первую очередь, стабильным
увеличением ВВП в России и, как следствие, ростом грузопотоков [8].
Основным видом транспорта для перевозки минеральных удобрений
в Российской Федерации является железнодорожный. Автомобильный транспорт до
1990 г. традиционно использовался для внутриузловых перевозок с целью доставки
минеральных удобрений от районных распределительных баз до складов колхозов и
совхозов, на расстоянии до 50 км. В условиях отсутствия государственного
распределения минеральных удобрений и соответственно обоснованных схем и планов
перевозок между различными видами транспорта, при действии договорных цен на
продукцию и её доставку, автомобильный транспорт стал также широко
использоваться на средних и даже дальних линиях перевозки. Это увеличивает в
целом стоимость продукции в пунктах реализации, увеличивая инфляцию, которая в
нашей стране и так достаточно высока (уровень инфляции в 2010 г. составлял в
целом по России 8,8%).
Речной транспорт до 1990 г. широко использовался для
перевозки всех видов минеральных удобрений перевозимых как навалом, так и в
таре. Его использование для доставки грузов в прямом водном или смешанном
сообщении, как правило, обосновывалось экономическими расчетами и
регламентировалось государственными планами перевозок, утверждаемых Госснабом и
Госпланом Российской Федерации. Однако в настоящее время роль речного
транспорта в перевозках минеральных удобрений минимальна, особенно внутри
страны, где его вытесняют железнодорожный и автомобильный транспорт. При
перевозке минеральных удобрений за пределы страны водный транспорт, с учетом
использования судов река-море плавания, успешно конкурирует с другими видами
транспорта.
Разнообразие свойств минеральных удобрений определяют широкий
диапазон возможных способов их перемещения (навалом, в таре, в жидком виде), а
также применения тех или иных видов транспорта и транспортных средств (вагонов,
судов, автомобилей). Поэтому проблема выбора для грузоотправителей и
грузополучателей (грузовладельцев), а также самих транспортников, наилучших
способов и схем доставки минеральных удобрений внутри Российской Федерации,
является в настоящее время достаточно актуальной.
Учитывая постоянный рост перевозок, и соответственно,
возрастающее практическое значение этой проблемы, выбрана тема дипломного
проекта. Целью исследований в работе является изучение сложившейся организации
перевозок удобрений в СК "Волжское пароходство" и разработка путей ее
совершенствования на основе использования логистических подходов, а также
обоснование и выбор оптимальных схем доставки минеральных удобрений.
Для достижения указанной цели в проекте поставлены следующие
задачи:
· провести развернутый анализ современного
состояния транспортирования минеральных удобрений в Российской Федерации;
· сформировать основные методические
положения по определению оптимальных схем доставки;
· проанализировать использование флота ОАО
"СК "Волжское пароходство" на перевозках минеральных удобрений;
груз перевозка минеральное удобрение
· разработать альтернативные схемы доставки
минеральных удобрений с участием трех видов транспорта из порта Тольятти в порт
Кавказ и в порт Астрахань;
· определить основные
эксплуатационно-экономические показатели доставки удобрений в заданные пункты;
· проанализировать основные параметры схем
доставки и на основе принятых критериев выбрать оптимальную из них;
· определить основные направления
использования логистики в выбранной схеме доставки.
Объектом исследования в дипломном проекте являются схемы
перевозок минеральных удобрений различными видами транспорта на линиях:
Тольятти - порт Кавказ; Тольятти - порт Астрахань.
1.
Современное состояние перевозок минеральных удобрений в Российской Федерации
1.1 Значение
минеральных удобрений для сельского хозяйства и их основные характеристики
Минеральные удобрения в соответствии с требованиями
государственных стандартов и технических условий по физико-химическим свойствам
подразделяются на следующие основные виды:
· азотные (карбамид, сульфат аммония,
сульфат аммония натрия, аммиачная, кальциевая и натриевая селитры, цианамид
кальция);
· фосфорные (суперфосфаты, боросуперфосфат,
преципитат, мука фосфоритная, фосфатшлак, термофосфат);
· калийные (хлористый калий, калийная соль,
сульфат калия);
· комплексные (нитрофоска, нитрофос,
нитроаммофоска, аммофос);
· микроудобрения (молибденовокислый аммоний,
борнодатолитовые удобрения, огарки колчедановые, пиритные);
· известковые: пылевидные с влажностью до
1,5% (стандартная известняковая и доломитовая мука промышленного производства,
цементная пыль, сланцевая зола, молотые мартеновские и электросталеплавильные
шлаки); слабопылящие с влажностью более 1,5% (нестандартная известняковая и
доломитовая мука, известковый туф, мергель, мел рыхлый);
· жидкие (водный и безводный аммиак,
аммиакаты и жидкие комплексные удобрения) [10].
Азотные удобрения представляют собой комплексы неорганических
веществ, обогащающих почву элементами азотного питания, необходимыми для
растений, и влияющими на микробиологические процессы.
Амофоска
<#"802809.files/image002.gif">
Аммиачная селитра
<#"802809.files/image003.gif">
Аммофос
<#"802809.files/image004.gif">
Диаммофос
<#"802809.files/image005.gif">
Карбамид
<#"802809.files/image006.gif">
Сульфат аммония
<#"802809.files/image007.gif">
|
1.2
|
|
|
1.3
|
|
. Смешанное сообщение с одной перевалкой:
. Смешанное сообщение с двумя перевалками:
|
3.1
|
|
|
3.2
|
|
|
3.3
|
|
|
3.4
|
|
|
3.5
|
|
|
3.6
|
|
|
3.7
|
|
|
3.8
|
|
|
3.9
|
|
|
3.10
|
|
|
3.11
|
|
|
3.12
|
|
Автомобильный транспорт, являясь одним из наиболее гибких
видов транспорта, участвует в перевозках минеральных удобрений всех видов и
занимает важное звено в системе перевозок минеральных удобрений всех видов и в
системе перевозок "от двери до двери".
Высокая стоимость перевозки грузов автомобильным транспортом
и низкая грузоподъемность подвижного состава (по сравнению с железнодорожным и
водным транспортом) предопределяет его использование в смешанном
автомобильно-водном или автомобильно-железнодорожном сообщении на расстояниях
не более 50 км. Он связывает химические комбинаты и карьеры с портами и
станциями речного, морского и железнодорожного транспорта и завершает во многих
случаях доставку удобрений до потребителей. Автомобильный транспорт в настоящее
время используется на перевозках грузов на средних и дальних расстояниях,
создавая серьезную конкуренцию другим видам транспорта.
Учитывая многообразие видов минеральных удобрений и их
свойств, они перевозятся в серийных бортовых автомобилях общего назначения, в
грузовых автомобилях с закрытым кузовом (типа фургон), автомобилях-самосвалах,
а также специализированных автомобилях-цистернах (автоцементовозах) и
контейнеровозах.
Азотные, фосфорные и комплексные удобрения на автомобильном
транспорте перевозят в таре - пакетами в автофургонах.
Возможна перевозка этих видов удобрений в специальных
контейнерах жесткой конструкции - контейнеровозами, а полужесткой и мягкой
конструкции - бортовых автомобилях.
Жидкие азотные и комплексные удобрения на автомобильном
транспорте перевозят в специальных автомобилях-цистернах с покрытием из
углеродистой стали, обеспечивающих механизированную саморазгрузку цистерны
благодаря воздушному насосу.
Погрузку пылевидных удобрений в автомобили-цементовозы
выполняют при помощи стационарных пневматических погрузочных установок. При
доставке минеральных удобрений в затаренном виде (бумажных или полиэтиленовых
мешках) в качестве машин, обеспечивающих комплексную механизацию
погрузо-разгрузочных работ, применяют вилочные электро- и автопогрузчики, краны
с подвесными вилочными захватами и автомобили-самопогрузчики кранового типа.
При перевозке удобрений автотранспортом используются
специализированные автомашины с закрытым кузовом, а при перевозке обычными
автомашинами (особенно незатаренных удобрений) кузова оборудуются верхними
непромокаемыми укрытиями. После выгрузки удобрений кузова автомобилей должны
быть тщательно вычищены.
На перевозках удобрений применяются следующие типы
специализированных автомобилей:
· для перевозки сыпучих удобрений -
автоцементовозы, минераловозы;
· для перевозки наливных удобрений -
автоцистерны.
Железнодорожный транспорт принимает участие в перевозках
минеральных удобрений всех видов. Для этих целей используется универсальный и
специализированный подвижной состав.
Калийные удобрения принимают к перевозке на железнодорожном
транспорте в таре (полимерных мешках, сформированных на поддонах) и насыпью в
вагонах-хопперах.
Комплексные удобрения предъявляются к перевозке на
железнодорожном транспорте в затаренном виде (полимерные мешки) и перевозятся в
крытых вагонах для штучных грузов.
Известковые материалы перевозятся навалом в полувагонах, а
пылевидные - в крытых вагонах.
На перевозках удобрений могут использоваться следующие типы
специализированных вагонов:
· для перевозки сыпучих удобрений -
саморазгружающиеся вагоны (опрокидывающиеся вагоны, вагоны-хопперы и т.д.);
· для перевозки наливных удобрений -
вагоны-цистерны или вагоны-резервуары, облицованные внутри керамикой и т.д.,
резервуары для перевозки химических грузов.
На речном транспорте удобрения, перевозящиеся навалом,
транспортируются в судах открытого типа за исключением пылевидных удобрений,
которые перевозятся в судах закрытого типа и специализированных
саморазгружающихся судах и в контейнерах - в судах универсального типа.
Азотные и фосфорные удобрения перевозятся, в основном, в
затаренном виде - пакетами. Фосфоритная мука в большей мере предъявляется к
перевозке навалом и транспортируется в судах закрытого типа (универсальных и
специализированных). Перевозки фосфоритной муки в пакетах осуществляются также
в судах закрытого типа.
Калийные удобрения перевозятся в затаренном виде (бумажные и
полимерные мешки) - в судах закрытого типа и навалом - в судах закрытого типа с
антикоррозийным покрытием трюмов.
Для перевозки жидких удобрений используются танкеры и
переоборудованные под наливные грузы суда с антикоррозионным покрытием трюмов.
При перегрузке навалочных удобрений применяют механические,
пневматические машины и машины смешанного действия. Погрузку порошкообразных
грузов чаще всего осуществляют нагнетательными пневматическими установками.
Выгрузку слеживающихся удобрений производят грейферные перегружатели.
На перевозках минеральных удобрений в таре (специальных
контейнерах и пакетах, сформированных из полиэтиленовых или бумажных
крафт-мешков на поддонах) в портах получили распространение схемы механизации
перегрузки портальными кранами с авто - и электропогрузчиками.
Наибольшей сохранностью обладает перевозка удобрений в таре
(например, при перевозке удобрений транспортными пакетами в термоусадочной
пленке потерь почти нет).
Среди специализированных судов, используемых для перевозки
наливных удобрений, можно отметить танкеры, химовозы, нефтерудовозы.
Кроме того, на перевозках жидких удобрений могут использоваться
несамоходные баржи (проектов 232, 1532, 16802, Р-27, Р-43, Р-167, 81370 и др.)
Это различные толкаемые наливные секции советской постройки.
Для осуществления перевозок жидких удобрений в общем случае
могут быть использованы: а) существующие суда, б) переоборудованные суда и в)
суда новой постройки.
Следует отметить, что при перевозке жидких удобрений водным
транспортом в судах смешанного река-море плавания экономические показатели на
20-30% лучше, чем при их же перевозке по распространенной в настоящее время
схеме с использованием железной дороги и морских судов, что указывает на
целесообразность увеличения объемов водной перевозки жидких удобрений, а также
о возможности привлечения на водный транспорт других жидких химических грузов.
Так, многие предприятия готовы рассмотреть вопрос передачи на водный транспорт
метанола, гидроксиламина органического (лактам-воды), акрило-нитрила,
моноэтиленгликоля, дихлорэтана, циклогексанона, жидких удобрений. Одновременно
с этим опыт перевозки жидких химгрузов в речных танкерах практически
отсутствует, а предприятия в большинстве своем не имеют специализированных
грузовых причалов для таких танкеров.
Таким образом, подводя итоги, можно сделать следующие выводы:
· в Российской Федерации минеральные
удобрения перевозятся следующими способами: навалом, наливом, в таре;
· удобрения перевозятся автомобильным,
железнодорожным, морским и речным транспортом;
· из всего многообразия схем перевозок
удобрений можно выделить 21 типовую схему транспортирования минеральных удобрений
с участием одного или нескольких видов транспорта;
· первичной транспортной тарой для перевозок
удобрений являются полиэтиленовые или бумажные мешки массой до 50 кг [10].
.3
Методические положения по определению основных параметров перевозок минеральных
удобрений
Основными участниками процесса транспортирования минеральных
удобрений являются заводы-производители, транспортные и
транспортно-экспедиционные предприятия, организующие и обеспечивающие доставку,
а также районные распределительно-торговые базы, принимающие минеральные
удобрения от транзитного транспорта и распределяющие их или, как правило, оптом
торгующие ими.
Возможные схемы доставки минеральных удобрений в прямом
железнодорожном и смешанном железнодорожно-водно-автомобильном сообщениях,
могут быть представлены в унифицированном виде как транспортно-технологические
логистические схемы, что показано в приложении 3.
Раскроем подробнее основные фазы (блоки) и технологические
операции при доставке минеральных удобрений по двум указанным выше схемам
(табл. 1.2-1.3).
Таблица 1.2
Фазы (блоки) и технологические операции доставки минеральных
удобрений в прямом железнодорожном сообщении
|
Номер и название фазы (блока)
|
Номер и название технологической операции
|
|
I. Начальная фаза
|
1. Формирование партии удобрений (вагонной,
маршрутной) отправителем 2. Передача партии удобрений магистральному
железнодорожному транспорту
|
|
VI. Доставка удобрений железнодорожным
транспортом
|
8. Прием партии удобрений магистральным
железнодорожным транспортом 9. Перевозка железнодорожным транспортом
|
|
VII. Конечная фаза
|
14. Окончание перевозки железнодорожным
транспортом 15. Передача партии удобрений районной распределительной
базе-получателю
|
При доставке удобрений в прямом железнодорожном сообщении
(табл. 1.2) отмечаются три фазы (I, IV, VII) и технологическая схема будет
иметь шесть операций и вид:
Формирование партии минеральных удобрений (вагонной, маршрутной)
отправителем - это производственно-складская операция у завода-изготовителя
продукции, где должна быть подготовлена целая партия груза определенным
способом.
Передача партии минеральных удобрений магистральному
железнодорожному транспорту - это транспортно-складская операция.
Железнодорожный транспорт подает подвижной состав под
завизированную накладную, т.е. под готовую к отгрузке партию груза.
Таблица 1.3
Фазы (блоки) и технологические операции доставки минеральных
удобрений в смешанном железнодорожно-водно-автомобильном сообщении
|
Номер и название фазы (блока)
|
Номер и название технологической операции
|
|
1
|
2
|
|
I. Начальная фаза
|
1. Формирование автомобильной партии удобрений
отправителем 2. Передача партии удобрений местному транспорту
|
|
II. Перемещение удобрения местным транспортом
|
3. Прием партии удобрений автомобильным или
железнодорожным транспортом 4. Перевозка партии удобрений автомобильным
транспортом до речного порта (порта I перевалки)
|
|
III. Перевалка удобрений в порту отправления (I
перевалка)
|
5. Передача удобрений с местного автомобильного
или железнодорожного транспорта речному порту (выгрузка из транспортного
средства и др.) 6. Перегрузочные и складские операции в порту отправления 7.
Передача удобрений на магистральный речной транспорт (погрузка в судно и др.)
|
|
IV. Перемещение удобрений транзитным речным
транспортом
|
8. Прием удобрений на транзитное судно 9.
Перевозка удобрений в судне до порта назначения (II перевалки)
|
|
V. Перевалка (перегрузка) удобрений в порту
назначения (II перевалки)
|
10. Передача удобрений в порту назначения (II перевалки)
11. Перегрузочные и складские операции с партией удобрений в порту назначения
12. Передача партии удобрений на местный автомобильный или железнодорожный
транспорт (погрузка в транспортное средство и др.)
|
|
VI. Перемещение удобрений местным транспортом
|
13. Начало перевозки удобрений местным
транспортом 14. Окончание перевозки удобрений местным транспортом (выгрузка
из транспортного средства и др.)
|
|
VII. Конечная фаза
|
15. Передача судовой партии удобрений с
местного транспорта районной распределительной базе-получателю
|
При доставке удобрений в смешанном
железнодорожно-водно-автомобильном сообщении (табл. 1.3) отмечаются все
пятнадцать операций и технологическая схема будет иметь вид:
Указанные схемы дают возможность составить технологические
процессы доставки удобрений с обозначением временных характеристик.
В типовом процессе транспортирования минеральных удобрений по
технологическим схемам, представленным выше, необходимо:
· учитывать максимально возможное количество
временных факторов, влияющих на продолжительность доставки груза;
· охватить работу и услуги всех участвующих
в доставке груза транспортных и транспортно-экспедиционных предприятий;
· основываться при определении временных
показателей прежде всего на действующих нормативах перевозки и перегрузки
грузов (нормах суточного пробега, судо-часовых нормах и др.), а при их
отсутствии - на косвенном применении установленных норм и показателей (скорости
движения транспортных средств, производительности перегрузочных машин и др.);
· предусматривать дополнительное время на
прием-передачу партий минеральных удобрений с одного вида транспорта на другой
или с одного транспортного средства на другое, на оформление транспортных документов
в соответствии с действующими Правилами перевозок грузов на каждом виде
транспорта и др.
· оценивать и отражать качество
транспортного обслуживания грузовладельцев и, прежде всего - во временном
интервале, обязательное выполнение нормативных сроков доставки удобрений;
· учитывать возможность использования
компьютерных информационных технологий, в том числе для составления конкретных
документов технологического процесса передачи их по электронной почте
заинтересованным предприятиям и лицам.
Формирование аналитических зависимостей для определения
временных показателей доставки удобрений по той или иной технологической схеме,
вызывает необходимость их условного обозначения, что сделано в табл. 1.4.
Таблица 1.4
Условное обозначение продолжительности технологических
операций доставки минеральных удобрений
Аналитические выражения для определения расчетного срока доставки
партий минеральных удобрений будут иметь следующий общий вид.. Смешанное
железнодорожно-водно-автомобильное сообщение (судовая партия)
Вагонными отправками
|
|
(1.1)
|
Автомобильными отправками
|
(1.2)
|
|
. Прямое железнодорожное сообщение
Вагонная отправка
|
(1.3)
|
|
Маршрутная отправка
|
(1.4)
|
|
Развернутые аналитические зависимости определения времени
доставки партий удобрений приведены ниже (результат во всех зависимостях
получается в часах).. Смешанное железнодорожно-водно-автомобильное сообщение
(судовая партия)
Вагонными отправками
|
(1.5)
|
|
Автомобильными отправками
|
(1.6)
|
|
. Прямое железнодорожное сообщение
Вагонная отправка
|
(1.7)
|
|
Маршрутная отправка
|
(1.8)
|
|
Обязательным условием определения срока доставки минеральных
удобрений по всем приведенным аналитическим выражениям является то, что они
должны начинаться и заканчиваться одними и теми же технологическими операциями
(соответственно Т1 и Т15), чтобы результаты были адекватны для сравнения.
Кроме того, следует иметь в виду, что аналитические выражения
унифицированы по двум изложенным видам сообщения, но расчетное время доставки
каждой партии удобрений будет разным и зависеть от конкретных используемых
транспортных средств, их специализации применительно к перевозимому грузу, а
также способам его предъявления к перевозке (навалом; в транспортной таре - в
транспортных пакетах, в специализированных или универсальных контейнерах;
наливом).
Все это должно учитываться при решении конкретной
практической задачи.
Для определения оптимальных способов и схем перевозки партии
минеральных удобрений по той или иной принятой транспортно-технологической
схеме необходимо:
· регламентировать в
экономико-математической модели типовые условия, способы и схемы
транспортирования минеральных удобрений, от которых зависит прямо или косвенно
стоимость доставки;
· учесть в модели ранее разработанные
аналитические выражения для определения временных показателей доставки
минеральных удобрений, которые во многом предопределяют стоимость и качество
транспортирования;
· учесть возможные или вероятностные потери
(несохранность) минеральных удобрений при тех или иных способе и схеме
доставки;
· отразить в модели основные конкурентные
составляющие, влияющие на стоимость и качество доставки минеральных удобрений
как с точки зрения интересов заводов-изготовителей (грузоотправителей), так и
районных распределительных баз (грузополучателей);
· обеспечить одинаковый методический подход
к формированию типичной ЭММ, пригодной для расчета стоимости доставки любых
видов минеральных удобрений между пунктами отправления и назначения по
обусловленным транспортно-технологическим схемам;
· получить в конце исследований развернутые
аналитические выражения, пригодные для определения стоимости доставки партий
любых видов удобрений.
Исходя из вышеизложенного и системных позиций, на которых
базируются наши исследования, определим требуемые данные для разработки ЭММ и
соответственно примем следующие обозначения:- множество способов доставки или
средств транспортирования определенной партии минеральных удобрений от заданного
завода-изготовителя (пункта отправления) до заданной районной распределительной
базы (пункта назначения),- множество транспортных средств, рассматриваемых в
намеченных схемах доставки,
Сi - суммарная стоимость перевозки 1 т минеральных удобрений i-ым
способом или в средстве транспортирования (для тарных удобрений), руб/т;пу -
заданная партия минеральных удобрений, т;
Впi - норма времени грузовой обработки на погрузку, выгрузку,
перевалку удобрений, перевозимых i-ым способом или в средстве транспортирования,
т/ч;нi - затраты времени непосредственно на перевозку i-ым способом или в
средстве транспортирования, ч;
Тпу - время, отведенное грузовладельцем на перевозку партии
минеральных удобрений, ч;
Пyi - пропускная способность транспортного узла при обработке
транспортных средств, загруженных i-ым способом или средством
транспортирования, т/сут;
П if - провозная способность f-го транспортного средства,
загруженного i-ым способом, ткм/сут;- расстояние перевозки минеральных
удобрений i-ым способом, км;
чi - загрузка i-го средства транспортирования, используемого
для перевозки минеральных удобрений, т/сут;
jf - количество имеющихся в наличии f-ых
транспортных средств, ед;- количество имеющихся в наличии i-ых средств
транспортирования, ед;- норма загрузки транспортного средства i-ым способом или
средством транспортирования, т;Н i - размер возможного недоиспользования
максимальной загрузки транспортного средства i-ым способом или средством
транспортирования, при котором сохраняется тот же размер ставки на перевозку
удобрений, т;- число отправлений транспортных средств, загруженных i-ым
способом или средством транспортирования,, ед.
В качестве искомой переменной принимается:
Хi - количество минеральных удобрений в определенной
(судовой) партии, предъявляемой отправителем к перевозке i-ым способом или в
средстве транспортирования (для тарных удобрений), т.
Поиск оптимального набора искомых переменных определения
стоимости доставки заданной партии минеральных удобрений (оптимального способа
и схемы доставки) может быть произведен путем реализации следующей ЭММ;
Функция цели - минимизация стоимости доставки заданной партии
минеральных удобрений путем применения того или иного способа и средства
транспортирования (i):
|
(1.9)
|
|
Ограничения:
. По количеству предъявленных к перевозке минеральных
удобрений:
|
(1.10)
|
|
. По времени выполнения перевозки заданной партии минеральных
удобрений по определенной транспортно-технологической схеме:
|
(1.11)
|
|
. По наличию транспортных средств, участвующих в доставке
заданной партии минеральных удобрений в определенной
транспортно-технологической схеме доставки:
|
(1.12)
|
|
. По пропускной способности транспортных узлов в определенной
транспортно-технологической схеме доставки:
|
(1.13)
|
|
. По наличию специализированных средств транспортирования
определенного типа:
|
(1.14)
|
|
6. По использованию грузоподъемности транспортных средств:
|
(1.15)
|
|
. Неотрицательность переменных:
Далее приводятся аналитические зависимости, которые могут
быть использованы для определения отдельных необходимых составляющих ЭММ при её
раскрытии.
Суммарная стоимость перевозки 1 т минеральных удобрений по
той или иной транспортно-технологической схеме доставки будет определяться по
аналитической зависимости общего вида, руб:
|
Сijd = Сд + Спкt + Снг,
|
(1.16)
|
где Сд - полная стоимость доставки минеральных удобрений от
определенного завода-изготовителя до районной распределительной базы, руб/т;
Спкt - плата банку за пользование кредитом на доставку
минеральных удобрений, что определяется также с учетом срока доставки (t) всего
обусловленного груза, руб/т;
Снг - стоимость несохранности груза при доставке минеральных
удобрений, что определяется расчетом с учетом принятых нормативов потерь или
норм естественной убыли, руб/т.
Стоимость доставки минеральных удобрений от определенного
завода-изготовителя до районной распределительной базы в f-ом транспортном
средстве с использованием i-го способа или средства транспортирования может
быть рассчитана по формуле, руб/т:
|
Сд if = Siflif + Sпррif,
|
(1.17)
|
где Sif - тарифная ставка за перевозку в f-ом транспортном
средстве с использованием i-го способа или средства транспортирования,
руб/ткм;- продолжительность тарифного участка доставки удобрений i-ым способом
или в средстве транспортирования f-ым транспортным средством, км;пррif - сбор
на погрузку-выгрузку (перевалку) груза, перевозимого с использованием i-го
способа или средства транспортирования в f-ом транспортном средстве, руб/т.
Плата банку за пользование кредитом на доставку заданной
партии минеральных удобрений определяется по формуле, руб/т:
|
Спкt = (Сд´Сб´ΣТ) / (100´365´24).
|
(1.18)
|
Сб - средняя годовая банковская ставка за кредит, %;
ΣТ - общая
продолжительность доставки груза, ч.
Стоимость несохранности груза при доставке заданной партии
определяется расчетом с учетом принятых нормативов потерь или норм естественной
убыли, руб/т:
|
Снг if = Ц´Nубif / 100, (1.19)
|
|
где Ц - стоимость груза, руб/т;
где Nубi - норма естественной убыли груза при перевозке в
f-ом транспортном средстве с использованием i-го способа или средства
транспортирования, %.
Таким образом, через стоимость доставки всей партии
минеральных удобрений определяется в комплексе конкурентоспособность
завода-изготовителя удобрений и транспортной системы при рассмотрении схемы, по
которой доставляются минеральные удобрения грузополучателям [10].
2. Анализ
деятельности ОАО "СК "Волжское пароходство"
2.1
Производственно-экономические показатели использования флота
ОАО "Судоходная компания "Волжское
пароходство" является одной из ведущих компаний России в осуществлении
речных перевозок. Основной целью компании является полное удовлетворение
платежеспособного спроса предприятий, организаций и физических лиц в
транспортных услугах пароходства.
ОАО "Судоходная компания "Волжское
пароходство" - транспортное предприятие Российской Федерации,
осуществляющее: перевозки грузов на внутренних водных путях; в смешанном
"река-море" и заграничном сообщении; перевозки пассажиров.
Экономические границы рынка транспортных услуг компании
сложились под воздействием экономических связей, постоянных поставок между
собой смежных регионов, городов и предприятий России.
Преобладающими и имеющими приоритетное значение для
хозяйственной деятельности компании являются:
· грузовые перевозки по водным путям России
по территории Волжского, Северо-Западного, Камского, Бельского и Волго-Донского
бассейнов;
· международные грузовые перевозки,
осуществляемые флотом "река-море" плавания в Балтийском, Каспийском,
Северном, Черном, Средиземном морях и на европейском побережье Атлантического
океана;
· туристические и пассажирские перевозки в
Центральном и Северо-Западном бассейне.
Оказание услуг на внутреннем рынке речных перевозок
ограничено периодом навигации, таким образом, сезонность оказывает большое
влияние на работу внутреннего грузового флота и пассажирских флота. Флот
смешанного "река-море" плавания работает круглогодично.
Выполнение перед клиентурой пароходства общепринятой
номенклатуры услуг и предоставление дополнительных услуг обеспечивает создание
имиджа компании как надежного партнера по предоставлению качественных
транспортных услуг.
Грузовой флот внутреннего плавания осуществляет перевозки
практически всех видов сухогрузов: удобрения, зерно, лес, соль, уголь, металл,
щебень, гравий и другие строительные грузы, химические грузы, контейнеры,
тяжеловесные и крупногабаритные грузы, и другие товары народного потребления.
Кроме того, буксирный флот занят на буксировке секций с мазутом, малых и
крупнотоннажных плавсредств, в основном, в плесе от Череповца до Астрахани.
Географические области эксплуатационной деятельности
грузового флота внутреннего плавания, приносящие 10 и более процентов доходов,
включают территории Северо-Запада (включая Ладожское и Онежское озера),
Центрального бассейна (Татарстан, Самарская, Астраханская области), Камского и
Южного бассейнов (включая работу в Азовском море).
В 2010 году приоритетами деятельности Пароходства, как и
прежде, являлись надежная и бесперебойная организация перевозок грузов и
пассажиров, эффективная подготовка флота к эксплуатационному периоду и
стабильная работа во время навигации, реализация инвестиционной программы,
направленной на развитие и модернизацию флота.
В минувшем 2010 году Пароходство подтвердило репутацию
надежной и стабильной компании. Общество демонстрировало высокий уровень
финансовой устойчивости. Опережающие темпы роста выручки (20%) над темпами
роста себестоимости оказанных услуг (13%), обусловили увеличение прибыли от
продаж против уровня 2009 года на 279 млн. руб. (или на 76%). Чистая прибыль в
2010 году получена в сумме 555 млн. руб., что на 119 млн. руб. (или на
27,3%") больше чем в 2009 году. Основные показатели деятельности компании
и ключевые финансовые показатели приведены в приложениях 4,5.
Увеличение объемов продаж в 2010 году против 2009 года,
жесткий контроль производственных затрат позволили Пароходству достигнуть в
2010 году более высоких показателей доходности.
В 2010 году выручка от реализации услуг по основным видам
деятельности составила 4 067,1 млн. рублей, что выше уровня 2009 года на 671,5
млн. рублей, или на 19,8%. Кроме того, в течение 2010 года получен демередж в
сумме 35,4 млн. рублей. Наибольший удельный вес в структуре выручки занимают
доходы от работы грузового флота - 72,6%, доля доходов пассажирского флота -
26,8%.
Себестоимость оказанных услуг сложилась в сумме 3 420,7 млн.
руб., рост затрат против уровня 2009 года составил 393,4 млн. руб. или 13%.
В результате прибыль от продаж получена в сумме 646,4 млн.
руб. (+ 279,1 млн. руб. или 76% к уровню 2009 г.), чистая прибыль - 555 млн.
руб. (+ 119,1 млн. руб. или 27,3% к уровню 2009 г.).
Показатель EBITDA за 2010 г. составил 761 млн. руб., что на
19 % выше уровня 2009 г.
Рентабельность по показателю EBITDA за 2010 г. составила 19
%, оставшись на уровне 2009 г.
Денежный поток от операционной деятельности за 2010 год
составил 698 млн. рублей, что сравнению с 2009 годом больше на 268 млн. руб.
или на 62,3%.
Доходы от перевозки грузов и пассажиров составили 4 043 млн.
рублей, что выше 2009 года на 675 млн. рублей или на 20%:
от перевозки грузов - 2 796 млн. рублей, с ростом к
2009 г. на 662 млн. рублей,
- от перевозок пассажиров - 1 039 млн. рублей, со
снижением к 2009 г. на 16 млн. рублей,
от аренды флота 195 млн. рублей с ростом к 2009 г.
на 29 млн. рублей.
Основные факторы увеличения выручки по услугам за перевозки
грузов в 2010 году против 2009 года:
Рост средней доходной ставки с учетом структурных
сдвигов - 359 млн. руб., из них по экспортным перевозкам - 328 млн. руб.;
- Увеличение объемов перевозок - 274 млн. руб., в том
числе 215 млн. руб. - увеличение доходов по внутренним перевозкам, в основном,
за счет увеличения перевозок строительных грузов (оживление на строительном
рынке);
Более высокий курс доллара США - 29 млн. руб.
Основную долю расходов в себестоимости работ и услуг
составляет топливо (29%), фонд оплаты труда (25%), ремонт (14%), прочие расходы
(22%). По сравнению с 2009 г себестоимость работ и услуг выросла на 13%.
Фонд оплаты труда увеличился на 22%, затраты на топливо на
12%, ремонт на 19%, прочие расходы на 3%.
Увеличение расходов на оплату труда связано, в основном, с
увеличением уровня оплаты труда: в течение года должностные оклады
увеличивались дважды: с 01.01.2010 года (плавсостав и берег) - на 20% и с 01
апреля 2010 г. (плавсостав) - на 10%.
Увеличение затрат на топливо обусловлено ростом расхода
топлива в натуре (увеличение навигационного периода, ввод в эксплуатацию 3-х
судов от ОАО "Северо-Западное пароходство" и 5-ти барже-буксирных
составов) и более высокой ценой топлива, основные производственные показатели
работы компании приведены в приложении 6.
2.2
Направления развития компании в перевозках грузов
Стратегия ОАО "Судоходная компания "Волжское
пароходство" - сохранение достигнутого положения на рынке, расширение
рынка транспортных услуг в Европейской части Российской Федерации.
Этапы:
Сохранение достигнутого положения и имиджа как надежного
перевозчика на внутренних и экспортных перевозках. Сохранение имеющейся
клиентуры.
Строительство новых высокоэффективных судов, в то же время
сохранение имеющегося флота на перевозках грузов при условии наличия
необходимой прибыли от работы этих судов.
Увеличение грузопотоков за счет строительства нового флота, а
также выбытия с рынка перевозок устаревающего флота сторонних судовладельцев.
Увеличение прибыли за счет:
улучшения эффективности работы при выполнении перевозок
обновленным флотом;
выбора наиболее выгодных для перевозок грузопотоков (тарифная
политика);
за счет сокращения простоев флота.
Структура Общества отвечает требованиям времени. Пароходство
является высокотехнологичным предприятием, включает в себя техническую,
фрахтовую и эксплуатационную составляющие.
Конкурентное преимущество Пароходства складывается из
следующих факторов:
наличие большого количества судов, способных удовлетворить
потребности крупных фрахтователей в перевозках больших обьемов грузов;
способность гарантированно обеспечить выполнение принятых
обязательств по доставке и сохранности грузов.
Реализуя конкурентное преимущество перед другими судоходными
компаниями в Обществе решаются следующие задачи:
структурирование грузопотоков, ориентируясь на перевозку
экспортных грузов как наиболее эффективных;
поддержка отношений с традиционными партнерами, продление
существующих контрактов;
организация ремонта и технического обслуживания флота в
соответствии с потребностями рынка;
работа с агентами по сокращению портовых расходов.
Несмотря на непростые экономические условия, в 2010 году наша
судоходная Компания начала реализацию обширной инвестиционной программы. Для
обеспечения роста объемов перевозок грузов принято решение о строительстве
серии грузовых самоходных судов.
Целесообразность строительства новых современных сухогрузных
судов определяется высоким уровнем спроса на речные перевозки, естественным
старением флота Компании, усилением требований контролирующих органов.
Эксплуатация новых судов будет осуществляться по наиболее
эффективным и рентабельным направлениям работы Пароходства в Северо-Западном,
Центральном, Южном и Приволжском Федеральных округа. Кроме того, реализация
строительства нового флота позволит провести модернизацию флота Пароходства,
обладающего достаточно высоким уровнем износа. Строительство новых сухогрузных
судов позволит повысить качество предлагаемых услуг, увеличить долю в нише
речных перевозок, снизить издержки по топливным и прочим составляющим, понизить
уровень воздействия на окружающую среду
Компания признана на рынке надёжным партнёром в течении
многолетнего периода. После обновления флота Пароходство получает возможность
позиционировать себя одной из немногих динамично технологически развивающихся
судоходных компаний, что позволит качественно преумножить положительный имидж
Пароходства среди клиентов и повысить уровень доверия контрагентов.
Строительство серии судов RSD44 осуществляется по программе
государственной поддержки отечественного судостроения. Строительство судов
ведется совместным финансированием государственной Объединенной
Судостроительной Корпорацией (85%) и будущим владельцем судов - Пароходством
(15%) на условиях субсидирования государством процентов по кредиту в размере
2/3 ставки рефинансирования ЦБ РФ. Вся программа строительства судов рассчитана
на 3 года и предполагает затраты более 4,7 млрд. рублей. Строительство
головного судна на Окской судоверфи (г. Навашино, Нижегородская область) начато
в феврале 2010 года. 23 ноября 2010 г на Окской судоверфи состоялась церемония
спуска на воду головного теплохода серии 10 речных грузовых сухогрузов проекта
RSD44. Это первый большегрузный речной теплоход, построенный на российской
верфи за последние 20 лет.
В 2011 году планируется ввести в эксплуатацию и задействовать
на перевозках грузов в Южном и Северном бассейнах 3 новых сухогрузных
теплохода. Ввод в эксплуатацию будет осуществляться в соответствии с графиком
поставки судов по судостроительному контракту, после ходовых испытаний.
На протяжении ряда последних лет структура рынка транспортных
услуг не претерпевает серьезных изменений и в ближайшие годы сохранит
тенденции, позволяющие обеспечить Обществу достигнутые позиции в наиболее
эффективных и стабильных сегментах рынка.
Грузовой флот внутреннего плавания осуществляет перевозки
практически всех видов сухогрузов: удобрения различных видов, в таре и навалом,
зерновые грузы, соль, металл, щебень, гравий и другие строительные грузы,
химические грузы, тяжеловесные и крупногабаритные грузы, а также другие виды
грузов. Кроме указанного выше, буксирный флот занят на буксировке секций с
мазутом, а также выполняет работы по буксировке малых и крупнотоннажных
плавсредств в плесе С. Петербург, Ростов-на-Дону - Астрахань.
Наиболее важными грузопотоками являются
перевозка серы из п. Бузан (Астраханская область) на якорную
стоянку Керченского пролива.
перевозка металла из г. Череповец в г. Санкт-Петербург,
Астрахань, Ростов, Тольятти-Астрахань, Пермь-Астрахань.
перевозка хлористого калия из Камского региона (п. Соликамск)
в г. Санкт-Петербург и на рейдовые стоянки Керченского пролива.
перевозка удобрения (карбамид и др.) со Средней Волги (п.
Тольятти) в Санкт-Петербург.
перевозка аммиачной селитры из п. Березники на стоянки
Керченского пролива и в Санкт-Петербург
перевозка щебня из пунктов Ладоги, Онеги в пункты Верхней,
Средней Волги.
перевозка обогащенной песчано-гравийной смеси из п. Камы на
Нижний Новгород.
перевозка соли из Ахтубинска на пункты р. Волга.
Основу перевозок внутри страны составляют строительные грузы.
Экспортные перевозки представлены серой, металлом и удобрениями. Но в
зависимости от конъюнктуры рынка грузопотоки меняются, и Общество
незамедлительно реагирует на изменения рынка, передислоцируя флот между
перевозками.
Основным направлением в использовании транзитного
пассажирского флота компании является фрахтование судов для последующей
организация туристических круизов туроператорами. Пассажирскими судами компании
перевозится основной поток туристов по направлениям "Москва -
Санкт-Петербург", "Москва - Астрахань", "Москва -
Ростов", "Нижний Новгород - Астрахань", "Нижний Новгород -
Санкт - Петербург", из Самары в Астрахань, Пермь, Москву и
Санкт-Петербург. На местных маршрутах в Нижегородской области перевозки
пассажиров выполняются водоизмещающим и скоростным флотом.
3.
Обоснования по выбору оптимального варианта транспортно-логистических схем
доставки минеральных удобрений
.1 Выбор схем
и средств доставки груза
Выбор исходных схем транспортирования минеральных удобрений:
схема
Завод-изготовитель удобрений → Местный транспорт АВТ →
Речной порт отправления Тольятти → Магистральный транспорт РТ →
Порт назначения …
схема
Завод-изготовитель удобрений → Местный транспорт ЖДТ →
Речной порт отправления Тольятти → Магистральный транспорт РТ→ Порт
назначения …

Завод-изготовитель удобрений → Магистральный транспорт ЖДТ→
Порт назначения …
Схема водного пути от порта Тольятти до порта Кавказ включает в
себя:
Порт Тольятти - Река Волга - Куйбышевское водохранилище - вниз по
течению р. Волга Саратовское водохранилище - Волгоградское водохранилище -
Волго-Донской канал - Цимлянское водохранилище - р. Дон - Таганрогский залив -
Азовское море - Керченский пролив - порт Кавказ.
Схема водных путей от порта Тольятти до порта Кавказ в приложении
7.
Схема водного пути от порта Тольятти до порта Астрахань включает в
себя:
Порт Тольятти - Река Волга - Куйбышевское водохранилище - вниз по
течению р. Волга Саратовское водохранилище - Волгоградское водохранилище - р.
Волга - порт Астрахань.
Схема водных путей от порта Тольятти до порта Астрахань в
приложении 8.
Схема ж/д пути от Тольятти до Кавказа включает в себя:
Ульяновская область (Тольятти) - Саратовская область -
Волгоградская область - Ростовская область - Краснодарский край (Кавказ).
Схема ж/д путей от Тольятти до Кавказа в приложении 9.
Схема ж/д пути от Тольятти до Астрахани включает в себя:
Ульяновская область (Тольятти) - Саратовская область -
Волгоградская область - Астраханская область (Астрахань).
Схема ж/д путей от Тольятти до Астрахани в приложении 10.
Выбор транспортных средств для перевозки удобрений
1. Выбор судов
При выборе судов необходимо учитывать, чтобы их класс и
размеры соответствовали условиям плавания: ветро-волновой режим, глубины (табл.
3.1), габариты шлюзов (табл. 3.2), подходных каналов и мостов и условиям
обработки в портах.
Таблица 3.1
Характеристика участков водного пути
|
Название гидроузла
|
Гарантированная глубина, м
|
|
Река Волга
|
3,5 - 4,8
|
|
Куйбышевское водохранилище
|
10,0
|
|
Саратовское водохранилище
|
7,0
|
|
Волгоградское водохранилище
|
10,0
|
|
Река Дон
|
3,6 - 13,0
|
|
ВДСК
|
3,5 - 5,0
|
|
Цимлянское водохранилище
|
9,0
|
|
Таганрогский залив
|
4,9
|
|
Азовское море
|
14,0
|
|
Керченский пролив
|
18,0
|
Таблица 3.2
Характеристика судопропускных сооружений
|
№
|
Наименование комплексных гидроузлов
|
Количество
|
Полезные размеры камер, м
|
Год ввода
|
|
|
шлюзов
|
ниток
|
камер
|
длина
|
ширина
|
глубина на короле
|
|
|
1
|
2
|
3
|
4
|
5
|
6
|
7
|
8
|
9
|
|
Река Волга
|
|
1.
|
Куйбышевский шлюз
|
2
|
Двухниточных
|
однокамерных
|
290
|
30
|
5,1
|
1958
|
|
2.
|
Балаковский шлюз Саратобл.
|
|
Двухниточный
|
однокамерный
|
283
|
30
|
5,5
|
1968
|
|
3.
|
Саратовский
|
|
Двухниточный
|
однокамерный
|
290
|
30
|
5,1
|
1972
|
|
4.
|
Волгоградский шлюз
|
|
Двухниточный
|
двухкамерный
|
290
|
30
|
5,5
|
1959
|
|
5.
|
Астраханский шлюз
|
|
|
Однокамерный
|
290
|
30
|
5,4
|
|
|
Река Дон
|
|
6.
|
Цимлянский Ростов. обл. № 14 - 15
|
2
|
|
Однокамерных
|
145
|
18
|
4
|
1952
|
|
7.
|
Кочетовский шлюз
|
|
|
Однокамерный
|
145
|
17,7
|
3,6
|
1920
|
|
8.
|
Константиновский шлюз
|
|
|
Однокамерный
|
145
|
18
|
4,9
|
|
|
9.
|
Николаевский
|
|
|
Однокамерный
|
145
|
18
|
4,0
|
|
|
Волго-Донской судоходный канал им. Ленина
|
|
10.
|
Шлюз № 1 - 13
|
|
|
|
145
|
17,8
|
4
|
|
|
|
|
|
|
|
|
|
|
|
По итогам выполнения анализа этих характеристик выбираются
два типа судов, которые отвечают ограничениям, установленным условиями плавания
и транспортными характеристиками заданных грузов.
Типы судов выбраны исходя из характеристик флота,
эксплуатируемого в центральных бассейнах Европейской части России, такие как:
грузовой теплоход "Волго-Дон" (проект 1565);
грузовой теплоход "Сормовский" (проект 1557).
Характеристики судов приняты в соответствии с информацией
[18] и представлены в табл.3.3.
Таблица 3.3
Характеристика судов, используемых для перевозки азотных
удобрений
|
т/х "ВОЛГО-ДОН" проект 1565
|
т/х "Сормовский" проект 1557
|
|
1
|
2
|
3
|
|
Класс судна
|
"М-СП" Российского Речного регистра
|
КМ*ЛЗП Российского Морского Регистра
судоходства
|
|
Тип судна
|
Двухвинтовой сухогрузный теплоход с носовым
подруливающим устройством
|
Сухогрузный теплоход "река-море" с
закрытыми трюмами
|
|
Назначение судна
|
Перевозка генеральных, сыпучих, навалочных,
лесных грузов, а также тяжеловесных грузов
|
Перевозка генеральных, сыпучих, навалочных,
лесных грузов, грузов в контейнерах
|
|
Район плавания
|
Теплоходы данного проекта эксплуатируются во
внутренних водных путях РФ, а также между портами Балтийского, Северного и
Средиземного морей
|
Теплоходы данного проекта эксплуатируются в
Северном, Балтийском, Каспийском, Азовском, Черном и Средиземном морях.
|
|
Теплоходы построены
|
на верфи "Олтеница" (Румыния)
|
в Рыбинском судостроительном заводе имени
Володарского
|
|
Длина наибольшая, м
|
138,3
|
114,0
|
|
Длина между перпендикулярами, м
|
135,0
|
90,2
|
|
Ширина габаритная, м
|
16,7
|
13,2
|
|
Ширина расчетная, м
|
16,5
|
13,0
|
|
Высота борта, м
|
5,5
|
5,5
|
|
Осадка в реке, м
|
3,6
|
3,5
|
|
Габаритная высота в балласте, м
|
14,87
|
13,2
|
|
Скорость судна при полной загрузке, узл. /км.
ч.
|
9/16
|
10
|
|
Грузоподъемность, т.
|
3600
|
3000
|
|
Мощность, л. с.
|
1800
|
1320
|
|
Вместимость грузовых трюмов, куб. м. /куб. ф.
|
6270/221393,7
|
3475/122702,25
|
|
трюм №1
|
3100/109461
|
1057/37322,67
|
|
трюм №2
|
3170/111932,7
|
1248/44066,88
|
|
трюм №3
|
-
|
1170/41312,7
|
|
Размеры трюмов, м
|
|
|
|
трюм №1
|
44,4*13,1
|
16,56*8,4
|
|
трюм №2
|
45,0*13,1
|
16,56*10,2
|
|
Окончание табл.3.3
|
|
1
|
2
|
3
|
|
трюм №3
|
-
|
16,56*10,2
|
|
Экипаж, чел.
|
14
|
14
|
|
Энергетическая установка:
|
|
|
|
Главный двигатель
|
2 дизеля 6ЧРН 36/45 (G60) мощностью по 660 кВт
|
2 дизеля 6NVDS48-2U мощностью по 640 кВт
|
|
Вспомогательные двигатели
|
2 дизель-генератора 6Ч 18/22-100/1500 мощностью
по 100кВт, дизель генератор ДГА-50 мощностью 50 кВт, и стояночный двигатель
6Ч12/14 мощностью по 50 кВт
|
3 дизель-генератора ДГФА 100/1500 мощностью по
100кВт, аварийный дизель-генератор ДГА-50М-9Р мощностью по 50 кВт
|
|
Стоимость содержания, руб/сут:
|
|
|
|
В ходу
|
44700
|
37380
|
|
На стоянке
|
20400
|
21630
|
Нормы загрузки судов принимаются в соответствии с информацией
[13] и сформированы в табл.3.4.
Таблица 3.4
Нормы загрузки судов
|
Пункты
|
Тип судна (состава)
|
Грузоподъемность, т
|
Род груза
|
Норма загрузки, т
|
|
Отправления
|
Назначения
|
|
|
|
|
|
Тольятти
|
Порт Кавказ
|
"В-Д"
|
3600
|
удобрения
|
3600
|
|
Тольятти
|
Астрахань
|
"В-Д"
|
3600
|
удобрения
|
3600
|
|
Тольятти
|
Порт Кавказ
|
"Сормовский"
|
3000
|
удобрения
|
3000
|
|
Тольятти
|
Астрахань
|
"Сормовский"
|
3000
|
удобрения
|
3000
|
Нормы времени следования судов принимаются в соответствии с
информацией [12] и представлены в табл.3.5.
Таблица 3.5
Нормы времени следования судов по маршрутам: порт Тольятти -
порт Кавказ и порт Тольятти - порт Астрахань
|
Пункты от - до
|
Расстояние, км
|
Стоянки в пути, ч
|
Нормы ходового времени с грузом по типам судов,
ч
|
|
|
Волго - Дон
|
Сормовский
|
Волго - Дон
|
Сормовский
|
|
1
|
2
|
3
|
4
|
5
|
6
|
|
А) Порт Тольятти - Порт Кавказ
|
|
Тольятти - Красноармейск
|
914
|
9
|
9
|
49
|
52
|
|
Красноармейск - Азов
|
579
|
34
|
32
|
45
|
44
|
|
Азов - (порт Кавказ)
|
356
|
0
|
0
|
24
|
22
|
|
Итого А):
|
1849
|
43
|
41
|
118
|
118
|
|
Б) Порт Тольятти - Порт Астрахань
|
|
Тольятти - Астрахань
|
1380
|
11
|
11
|
72
|
75
|
|
Итого Б):
|
1380
|
11
|
11
|
72
|
75
|
. Выбор вагонов
Характеристика выгона взята из источника [7] и представлена в
табл. 3.6.
Таблица 3.6
Характеристика вагона: 4-осный крытый вагон-хоппер для сырья
минеральных удобрений, модель 19-Х051
|
Наименование
|
вагон-хоппер для сырья минеральных удобрений,
модель 19-Х051
|
|
1
|
2
|
|
Назначение
|
для бестарной перевозки насыпных
гранулированных минеральных удобрений.
|
|
Номер проекта
|
738 00 000-0
|
|
Модель вагона
|
19-Х051
|
|
Тип вагона
|
902
|
|
Изготовитель
|
КрВЗ
|
|
Грузоподъемность, т
|
64
|
|
Масса тары вагона, т
|
20
|
|
Окончание табл.3.6
|
|
Нагрузка:
|
205,8 (21)
|
|
погонная, кН/м (тс/м)
|
68.11 (6.95)
|
|
Скорость конструкционная, км/ч
|
120
|
|
Габарит
|
1 - Т
|
|
База вагона, мм
|
7870
|
|
Длина, мм:
|
|
|
по осям сцепления автосцепок
|
12090
|
|
по концевым 6алам рамы (длина рамы)
|
10870
|
|
Ширина максимальная, мм
|
3270
|
|
Высота от уровня верха головок рельсов, мм:
|
|
|
максимальная
|
4177
|
|
до разгрузочных устройств
|
286
|
|
Количество осей, шт
|
4
|
|
Модель 2-осной тележки
|
18 100
|
|
Наличие переходной площадки
|
есть
|
|
Наличие переходной площадки с ручным тормозом
|
нет
|
|
Наличии стояночного тормоза
|
есть
|
|
Объем кузова, м3
|
57
|
|
Длина мм:
|
|
|
по верхней обвязке
|
7552
|
|
кузова внутри (по верху)
|
7352
|
|
Ширина максимальная, мм
|
|
|
по крыше
|
3270
|
|
по стойкам
|
3238
|
|
Количество люков, шт
|
|
|
загрузочных
|
2
|
|
разгрузочных
|
2
|
|
Размеры люка в свету, мм
|
|
|
загрузочных
|
3620х700
|
|
разгрузочных
|
4500х800
|
|
Угол наклона торцовых стенок, град
|
55
|
|
Угол наклона бункеров, град
|
47
|
|
Год постановки на серийное производство
|
1972
|
Определим количество вагонов, требуемое для перевозки
удобрений:
ваг В-Д = 3600/64 = 56,25 = 57 вагонов.ваг
Сорм = 3000/64 = 46,9 = 47 вагонов.
Для перевозки 3600 т удобрений требуется 57 вагонов-хопперов,
а для перевозки 3000 т удобрений требуется 47 вагонов-хопперов.
. Выбор автомобилей
Характеристика автомобиля взята из источника [2] и
представлена в табл.3.7.
Таблица 3.7
Технические характеристики автомобиля КАМАЗ 45143
|
Наименование
|
автомобиль КАМАЗ 45143
|
|
1
|
2
|
|
Модель автомобиля
|
45143
|
|
Грузоподъемность автомобиля, кг
|
10250
|
|
Масса КАМАЗ 45143, кг:
|
|
-снаряженная автомобиля
|
9250
|
|
-полная автомобиля
|
19650
|
|
Внутренние размеры платформы автомобиля, мм
|
5258Ч2320Ч635
|
|
Площадь платформы автомобиля, м2
|
12,2
|
|
Объем платформы автомобиля, м3:
|
|
- КАМАЗ 45143 с основными бортами
|
7,8
|
|
- КАМАЗ 45143 с доп. деревянными бортами
|
10
|
|
- КАМАЗ 45143 с доп. металлическими бортами
|
15,4
|
|
Направление разгрузки автомобиля
|
влево, вправо
|
|
Время разгрузки автомобиля, с
|
19
|
|
Угол опрокидывания платформы автомобиля, град.
|
50
|
|
Габаритные размеры автомобиля, мм
|
7615Ч2500Ч2900
|
|
Максимальная скорость КАМАЗ 45143, км/ч
|
80
|
|
Базовое шасси КАМАЗ 45143:
|
|
Модель
|
КАМАЗ 53215
|
|
Базовый прицеп-самосвал КАМАЗ 45143:
|
|
Модель
|
8560-10-02
|
|
Двигатель КАМАЗ 45143:
|
|
Модель
|
740.31 (Евро-2)
|
|
Тип
|
дизельный с турбонаддувом
|
|
Максимальная мощность, л. с. (кВт), при 2200
об/мин
|
240 (176)
|
Определим количество рейсов автомобилей, требуемых для
перевозки удобрений:
авто В-Д= 3600/10,25 = 351,2 = 352 рейсов
автомобилей.авто Сорм = 3000/10,25 = 292,7 = 293 рейсов
автомобилей.
Для перевозки 3600 т удобрений требуется 352 рейсов
автомобилей, а для перевозки 3000 т удобрений требуется 293 рейсов автомобилей.
3.2 Расчет
основных параметров логистических схем доставки
Определение продолжительности рейса производится с
разделением его на время погрузки груза, перевозки и выгрузки. Время перевозки
судном разделено на время хода с грузом и время стоянок в пути, связанные с
прохождением гидроузлов и каналов. Ходовое время по реке рассчитывается в
соответствии с нормативами [12].
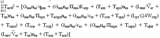
Расчеты времени и стоимости перевозки будут расписаны по 1а)
схеме:
Завод-изготовитель удобрений → Местный транспорт АВТ →
Речной порт отправления Тольятти → Магистральный транспорт РТ →
Порт назначения Кавказ.
а)
Время рейса, сут., рассчитывается по следующей формуле:
Т = t погр авт+ t пер авт+
t выгр авт+ t погр водн+ t пер
водн+ t выгр водн, (3.1)
где t погр авт - время погрузки груза в
автомобили, сут.:
погр авт = Qф / СЧН, (3.2)
где Qф - фактическое количество груза, требуемое
погрузить, выгрузить, т;
СЧН - судо-часовая норма загрузки/разгрузки судов (вагонов,
автомобилей), т/час, СЧН удобр. = 96 т/ч.
погр. В-Давт = 3600/96 = 37,5 = 38 ч.
= 1,6 сут.погр. Сормавт = 3000/96 = 31,25 = 31,5 ч. = 1,3
сут.
пер авт - время перевозки груза
автомобильным транспортом, сут.:
пер авто = L / V / 24, (3.3)
где - расстояние перевозки автомобильным транспортом, км,
расстояние от завода изготовителя удобрений до порта Тольятти L = 50 км.;-
средняя скорость автомобиля по городу, V = 30 км/ч;
- переводим в сутки.
пер. авто = 50/30/24 = 0,07 сут.
выгр авт - время выгрузки груза из
автомобилей, сут.;
выгр. В-Давт = t погр. В-Давт
= Qф / СЧН = 3600/96 = 37,5 = 38 ч. = 1,6 сут.выгр. Сормавт
= t погр. Сормавт = Qф / СЧН = 3000/96 = 31,25
= 31,5 ч. = 1,3 сут.
погр водн - время погрузки груза в судно,
сут.;
погр. В-Дводн = t погр. В-Давт
= Qф / СЧН = 3600/96 = 37,5 = 38 ч. = 1,6 сут.погр. Сормводн
= t погр. Сормавт = Qф / СЧН = 3000/96 = 31,25
= 31,5 ч. = 1,3 сут.
пер водн - время перевозки груза водным
транспортом, сут., рассчитывается по формуле:
пер водн = tх + tст,
(3.4)
где х - ходовое время с грузом, принимается в
соответствии с табл.3.5;ст - время стоянок судна в пути, принимается
в соответствии с табл.3.5;
пер. В-Дводн = 118 + 43 = 161 ч. / 24 = 6,71 сут.пер.
Сормводн = 118 + 41 = 159 ч. / 24 = 6,63 сут.
выгр водн - время выгрузки груза из судна, сут.;
выгр. В-Дводн = t погр. В-Дводн
= = Qф / СЧН = 3600/96 = 37,5 = 38 ч. = 1,6 сут.выгр. Сормводн
= t погр. Сормводн = = Qф / СЧН = 3000/96 =
31,25 = 31,5 ч. = 1,3 сут.
Т В-Д= 1,6 + 0,07 + 1,6 + 1,6 + 6,71 + 1,6 = 13,03
сут.
Т Сорм= 1,3 + 0,07 + 1,3 + 1,3 + 6,63 + 1,3 =
11,90 сут.
Расходы по этому варианту доставки груза определяются по
выражению, руб.:
Э = Э погр авт+ Э пер авт+
Э выгр авт+ Э погр водн+ Э пер
водн+ Э выгр водн, (3.5)
где Э погр, выгр авт - расходы на
погрузку, выгрузку на автомобильном транспорте, руб.:
Э погр, выгр авт = (Qф * СТ погр
авто) * число погр., выгр., (3.6)
где СТ погр авто - стоимость грузовых
работ (для удобрений СТ = 90 руб/т);
число погр., выгр. - требуемое число погрузок и выгрузок, в
нашем случаи одна погрузка и одна выгрузка, Т.о. число погр., выгр. = 2.
Э погр, выгр. В-Давт = (3600 * 90) * 2
= 648000 руб.
Э погр, выгр. Сорм. авт = (3000 * 90) *
2 = 540000 руб.
Э пер авт - расходы на перевозку
автомобилями, руб.:
Э пер авт = (t пер авто
* S пер авто) * n авто, (3.7)
пер авто - ставка перевозки автомобильным
транспортом, руб/сут., S пер авто = 15600 руб/сут.;авто
- количество транспортных средств (автомобилей, вагонов), рассчитано в пункте
3.1.
Э пер. В-Давт = (0,07 * 15600) * 352 =
384384 руб.
Э пер. Сормавт = (0,07 * 15600) * 293 =
319956 руб.
Э погр, выгр водн - расходы на погрузку,
выгрузку на водном транспорте, руб.:
Э погр, выгр водн = (Qф * СТ
погр водн) * число погр., выгр., (3.8)
Э погр, выгр. В-Дводн = (3600 * 90) * 2
= 648000 руб.
Э погр, выгр. Сорм. водн = (3000 * 90)
* 2 = 540000 руб.
Э пер водн - расходы на перевозку
водным транспортом, руб.
Расходы на перевозку водным транспортом определяются по
выражению:
Э пер водн = Эp + Эв +
Эпк + Эд, (3.9)
Эp - расходы по рейсу, руб., определяются по
выражению:
Эp = tх * Sх + tст
* Sст, (3.10)
х - ходовое время с грузом, принимается в
соответствии с табл.3.5; Sх - стоимость содержания судна в ходу,
руб., принимается в соответствии с табл.3.3; tст - время стоянок
судна в пути, принимается в соответствии с табл.3.5; Sст - стоимость
содержания i-ого судна на стоянке, руб., принимается в соответствии с табл.3.3.
Эp В-Д = 118/24 * 44700 + 43/24 * 20400
= 256325,00 руб.
Эp Сорм = 118/24 * 37380 + 41/24 *
21630 = 220736,25 руб.
Эв - расходы на выплаты экипажу, руб.,
определяются по выражению:
Эв = ∑ (Кп * Sзп) * t пер водн,
(3.11)
где Кп - количество персонала, чел.;зп - выплаты, руб.
Эв В-Д = 1 * 570 + 1 * 435 + 1 * 420 +
1 * 390 + 1 * 480 + 1 * 435 + 1 * 420 + 1 * 405 + 1 * 405 + 1 * 300 + 3 * 300 +
1 * 300 = 5460 * 6,71 = 36627,5 руб.;
Эв Сорм = 1 * 570 + 1 * 435 + 1 * 420 +
1 * 390 + 1 * 480 + 1 * 435 + 1 * 420 + 1 * 405 + 1 * 405 + 1 * 300 + 3 * 300 +
1 * 300 = 5460 * 6,63 = 36172,5 руб.
Эпк - расходы на портовые и канальные сборы, руб.
Эпк В-Д = 99000 + 45000 + 27600 =
171600 руб.
Эпк Сорм = 129000 + 45000 + 24000 =
198000 руб.
Эд - дисбурсментские расходы по судну, руб,
принимается в соответствии с табл.3.8 - 3.9.
Таблица 3.8
Дисбурсментские расходы по Волго-Дону по рейсу Тольятти -
Кавказ
|
Расходы
|
Сборы, $
|
|
Корабельный
|
2163,67
|
|
Маячный
|
858,60
|
|
Причальный
|
151,11
|
|
Якорный
|
3,43
|
|
Экологический
|
480,81
|
|
Лоцманская проводка
|
120, 20
|
|
Агенский сбор
|
800,00
|
|
Итого
|
4577,83
|
Таблица 3.9
Дисбурсментские расходы по Сормовскому по рейсу Тольятти -
Кавказ
|
Расходы
|
Сборы, $
|
|
Корабельный
|
1251,39
|
|
Маячный
|
496,58
|
|
Причальный
|
87,40
|
|
Якорный
|
1,99
|
|
Экологический
|
278,09
|
|
Лоцманская проводка
|
69,52
|
|
Агенский сбор
|
800,00
|
|
Итого
|
2984,97
|
Э пер. В-Дводн = 256325,00 + 36627,5 +
171600 + 4577,83 = 469130,33 руб.
Э пер. Сормводн = 220736,25 + 36172,5 +
198000 + 2984,97 = 457893,72 руб.
Э В-Д = 648000 + 384384 + 648000 + 469130,33 =
2149514,33 руб.
Э Сорм = 540000 + 319956 + 540000 + 457893,72 =
1857849,72 руб.
Стоимость доставки удобрений на одну тонну:
Э 1т В-Д = 2149514,33/3600 = 597,09
руб/т.
Э 1т Сорм = 1857849,72/3000 = 619,28
руб/т.
Расчеты по рейсам 1б) Завод-изготовитель удобрений →
Местный транспорт АВТ → Речной порт отправления Тольятти →
Магистральный транспорт РТ → Порт назначения Астрахань; 2а)
Завод-изготовитель удобрений → Местный транспорт ЖДТ → Речной порт
отправления Тольятти → Магистральный транспорт РТ→ Порт назначения
Кавказ; 2б) Завод-изготовитель удобрений → Местный транспорт ЖДТ →
Речной порт отправления Тольятти → Магистральный транспорт РТ→ Порт
назначения Астрахань представлены в табл.3.10 - 3.11.
Расчеты времени и стоимости перевозки по 3-м схемам:
Завод-изготовитель удобрений → Магистральный транспорт
ЖДТ→ Порт назначения Кавказ.
а)
Время рейса, сут., рассчитывается по следующей формуле:
Т = t погр ж/д+ t пер ж/д+
t выгр ж/д, (3.12)
где t погр ж/д - время погрузки груза в
вагоны, сут.;
погр. В-Дж/д = 3600/96 = 37,5 = 38 ч.
= 1,6 сут.погр. Сормж/д = 3000/96 = 31,25 = 31,5 ч. = 1,3
сут.
пер ж/д - время перевозки груза
железнодорожным транспортом, сут.;пер. ж/д = 8 сут.
(вычислено с помощью программы СТМ).выгр ж/д - время
выгрузки груза из вагонов, сут.
выгр. В-Дж/д = t погр. В-Дж/д
= 3600/96 = 37,5 = 38 ч. = 1,6 сут.выгр. Сормж/д = t погр.
Сормж/д = 3000/96 = 31,25 = 31,5 ч. = 1,3 сут.
Т В-Д = 1,6 + 8 + 1,6 = 11,13 сут.
Т Сорм = 1,3 + 8 + 1,3 = 10,60 сут.
Расходы по этому варианту доставки груза определяются по
выражению, руб.:
Э = Э погр ж/д+ Э пер ж/д+
Э выгр ж/д, (3.13)
где Э погр, выгр ж/д - расходы на
погрузку, выгрузку на железнодорожном транспорте, руб.
Э погр, выгр. В-Дж/д = (3600 * 90) * 2
= 648000 руб.
Э погр, выгр. Сорм. ж/д = (3000 * 90) *
2 = 540000 руб.
Э пер ж/д - расходы на перевозку
железной дорогой, руб.
Э пер ж/д = Э пер 1ж/д
ваг * n ваг, (3.14)
Э пер 1ж/д ваг - расходы на перевозку 1
вагона (вычислено с помощью программы СТМ), руб.;ваг - количество
вагонов, рассчитано в пункте 3.1.
Э пер. В-Д ж/д = 68504 * 57 = 3904785
руб.
Э пер. В-Д ж/д = 68504 * 47 = 3219688
руб.
Э В-Д = 648000 + 3904785 = 4552785 руб.
Э Сорм = 540000 + 3219688 = 3759688 руб.
Стоимость доставки удобрений на одну тонну:
Э 1т В-Д = 4552785/3600 = 1264,66
руб/т.
Э 1т Сорм = 3759688/3000 = 1253,23
руб/т.
Завод-изготовитель удобрений → Магистральный транспорт
ЖДТ→ Порт назначения Астрахань.
3б)
погр. В-Дж/д = 3600/96 = 37,5 = 38 ч.
= 1,6 сут.погр. Сормж/д = 3000/96 = 31,25 = 31,5 ч. = 1,3
сут.
пер. ж/д = 6 сут. (вычислено с помощью программы
СТМ).выгр ж/д - время выгрузки груза из вагонов, сут.
выгр. В-Дж/д = t погр. В-Дж/д
= 3600/96 = 37,5 = 38 ч. = 1,6 сут.выгр. Сормж/д = t погр.
Сормж/д = 3000/96 = 31,25 = 31,5 ч. = 1,3 сут.
Т В-Д = 1,6 + 6 + 1,6 = 9,13 сут.
Т Сорм = 1,3 + 6 + 1,3 = 8,60 сут.
Э погр, выгр. В-Дж/д = (3600 * 90) * 2
= 648000 руб.
Э погр, выгр. Сорм. ж/д = (3000 * 90) *
2 = 540000 руб.
Э пер. В-Д ж/д = 49477 * 57 = 2820189
руб.
Э пер. В-Д ж/д = 49477 * 47 = 2325419
руб.
Э В-Д = 648000 + 2820189 = 3468189 руб.
Э Сорм = 540000 + 2325419 = 2865419 руб.
Э 1т В-Д = 3468189/3600 = 963,39 руб/т.
Э 1т Сорм = 2865419/3000 = 955,14
руб/т.
Таблица 3.10
Время рейса по всем вариантам перевозок удобрений
|
Номер схемы рейса
|
Кол-во удобрений, т.
|
Расстояние до порта, км
|
Расстояние рейса, км
|
t погр авт (ж/д), сут.
|
t пер авт (ж/д), сут.
|
t выгр авт (ж/д), сут
|
t погр водн (ж/д), сут.
|
t пер водн (ж/д), сут
|
t выгр водн (ж/д), сут.
|
Время рейса, сут
|
|
1а) В-Д
|
3600
|
50
|
1849
|
1,6
|
0,07
|
1,6
|
1,6
|
6,71
|
1,6
|
13,03
|
|
1а) Сорм
|
3000
|
50
|
1849
|
1,3
|
0,07
|
1,3
|
1,3
|
6,63
|
1,3
|
11,90
|
|
1б) В-Д
|
3600
|
50
|
1380
|
1,6
|
0,07
|
1,6
|
1,6
|
3,46
|
1,6
|
9,78
|
|
1б) Сорм
|
3000
|
50
|
1380
|
1,3
|
0,07
|
1,3
|
1,3
|
3,58
|
1,3
|
8,86
|
|
2а) В-Д
|
3600
|
50
|
1849
|
1,6
|
3,00
|
1,6
|
1,6
|
6,71
|
1,6
|
15,96
|
|
2а) Сорм
|
3000
|
50
|
1849
|
1,3
|
3,00
|
1,3
|
1,3
|
6,63
|
1,3
|
14,83
|
|
2б) В-Д
|
3600
|
50
|
1380
|
3,00
|
1,6
|
1,6
|
3,46
|
1,6
|
12,71
|
|
2б) Сорм
|
3000
|
50
|
1380
|
1,3
|
3,00
|
1,3
|
1,3
|
3,58
|
1,3
|
11,79
|
|
3а) 57ваг
|
3600
|
|
1793
|
|
|
|
1,6
|
8,00
|
1,6
|
11,13
|
|
3а) 47ваг
|
3000
|
|
1793
|
|
|
|
1,3
|
8,00
|
1,3
|
10,60
|
|
3б) 57ваг
|
3600
|
|
1115
|
|
|
|
1,6
|
6,00
|
1,6
|
9,13
|
|
3б) 47ваг
|
3000
|
|
1115
|
|
|
|
1,3
|
6,00
|
1,3
|
8,60
|
Из табл.3.10 видно, что наименьшее время рейса перевозки
удобрений из Тольятти до Кавказа (а) по варианту 3а) 47ваг Сорм. (3000 т.),
т.е. в прямом железнодорожном сообщении составляет 10,60 сут. А из Тольятти до
Астрахани (б) также по варианту 3б) 47ваг Сорм. (3000 т.) в прямом
железнодорожном сообщении составляет 8,60 сут.
Таблица 3.11
Стоимость доставки минеральных удобрений по всем вариантам
перевозок
|
Номер схемы рейса
|
Кол-во удобрений, т.
|
Число рейсов автом-й (вагонов), ед.
|
Э погр, вы гр авт (ж/д),
руб.
|
Э пер авт (ж/д), руб.
|
Э погр, выгр водн (ж/д),
руб.
|
Эp
|
Эв
|
Эпк
|
Эд
|
Э пер водн (ж/д), руб.
|
Стоимость доставки, руб.
|
Стоимость доставки на тонну, руб/т
|
|
1а) В-Д
|
3600
|
352
|
648000
|
384384
|
648000
|
256325,00
|
36627,5
|
171600
|
4577,83
|
469130,33
|
2149514,33
|
597,09
|
|
1а) Сорм
|
3000
|
293
|
540000
|
319956
|
540000
|
220736,25
|
36172,5
|
198000
|
2984,97
|
457893,72
|
1857849,72
|
619,28
|
|
1б) В-Д
|
3600
|
352
|
648000
|
384384
|
648000
|
143450,00
|
18882,5
|
171600
|
3997,42
|
337929,92
|
2018313,92
|
560,64
|
|
1б) Сорм
|
3000
|
293
|
540000
|
319956
|
540000
|
126726,25
|
19565,0
|
198000
|
2649,28
|
346940,53
|
1746896,53
|
582,30
|
|
2а) В-Д
|
3600
|
57
|
648000
|
650598
|
648000
|
256325,00
|
36627,5
|
171600
|
4577,83
|
469130,33
|
2415728,33
|
671,04
|
|
2а) Сорм
|
3000
|
47
|
540000
|
536458
|
540000
|
220736,25
|
36172,5
|
198000
|
2984,97
|
457893,72
|
2074351,72
|
691,45
|
|
2б) В-Д
|
3600
|
57
|
648000
|
650598
|
648000
|
143450,00
|
18882,5
|
171600
|
3997,42
|
337929,92
|
2284527,92
|
634,59
|
|
2б) Сорм
|
3000
|
47
|
540000
|
536458
|
540000
|
126726,25
|
19565,0
|
198000
|
2649,28
|
346940,53
|
1963398,53
|
654,47
|
|
3а) 57ваг
|
3600
|
57
|
|
|
648000
|
|
|
|
|
3904785
|
4552785
|
1264,66
|
|
3а) 47ваг
|
3000
|
47
|
|
|
540000
|
|
|
|
|
3219688
|
3759688
|
1253,23
|
|
3б) 57ваг
|
3600
|
57
|
|
|
648000
|
|
|
|
|
2820189
|
3468189
|
963,39
|
|
3б) 47ваг
|
3000
|
47
|
|
|
540000
|
|
|
|
|
2325419
|
2865419
|
955,14
|
Рассчитав и рассмотрев показатели расходов и стоимости
доставки на одну тонну, я пришел к выводу, что для перевозки азотных удобрений
из Тольятти на Кавказ оптимальным вариантом будет вариант доставки 1а) В-Д,
т.е. с использованием от завода до порта Тольятти: автомобиля КАМАЗ 45143; и
т/х проекта № 1565 "Волго-Дон". А для перевозки азотных удобрений из
Тольятти в Астрахань оптимальным вариантом также будет 1б) В-Д, т.е. вариант
доставки с использованием от завода до порта Тольятти: автомобиля КАМАЗ 45143;
и т/х проекта № 1565 "Волго-Дон".
Для осуществления любой перевозки нужны денежные средства для
погашения расходов по перевозке. В табл.3.12 рассчитан вариант банковского
кредита под 12% годовых с учетом срока доставки минеральных удобрений.
Таблица 3.12
Стоимость доставки минеральных удобрений с учетом срока
доставки
|
Номер схемы рейса
|
Пункт назначения
|
Тип судна (кол-во груза)
|
Время рейса, сут
|
Стоимость доставки, руб.
|
Годовой банковский процен, %
|
Плата за кредит, руб.
|
Стоимость доставки с учетом срока доставки,
руб.
|
Стоимость доставки с учетом срока доставки на
тонну, руб/т
|
|
1а) В-Д
|
Кавказ
|
В-Д (3600)
|
13,03
|
2149514,33
|
12,00
|
9206,99
|
2158721,32
|
599,64
|
|
1а) Сорм
|
Кавказ
|
Сорм (3000)
|
11,90
|
1857849,72
|
|
7270,55
|
1865120,27
|
621,71
|
|
1б) В-Д
|
Астрахань
|
В-Д (3600)
|
9,78
|
2018313,92
|
|
6488,46
|
2024802,38
|
562,45
|
|
1б) Сорм
|
Астрахань
|
Сорм (3000)
|
8,86
|
1746896,53
|
|
5089,45
|
1751985,98
|
584,00
|
|
2а) В-Д
|
Кавказ
|
В-Д (3600)
|
15,96
|
2415728,33
|
|
12674,30
|
2428402,63
|
674,56
|
|
2а) Сорм
|
Кавказ
|
Сорм (3000)
|
14,83
|
2074351,72
|
|
10116,02
|
2084467,74
|
694,82
|
|
2б) В-Д
|
Астрахань
|
В-Д (3600)
|
12,71
|
2284527,92
|
|
9544,95
|
2294072,86
|
637,24
|
|
2б) Сорм
|
Астрахань
|
Сорм (3000)
|
11,79
|
1963398,53
|
|
7611,53
|
1971010,06
|
657,00
|
|
3а) 57ваг
|
Кавказ
|
В-Д (3600)
|
11,13
|
4552785,00
|
|
16651,97
|
4569436,97
|
1269,29
|
|
3а) 47ваг
|
Кавказ
|
Сорм (3000)
|
10,60
|
3759688,00
|
|
13107,41
|
3772795,41
|
1257,60
|
|
3б) 57ваг
|
Астрахань
|
В-Д (3600)
|
9,13
|
3468189,00
|
|
10404,57
|
3478593,57
|
966,28
|
|
3б) 47ваг
|
Астрахань
|
Сорм (3000)
|
8,60
|
2865419,00
|
|
8105,60
|
2873524,60
|
957,84
|
Как видно из табл.3.12 показатели стоимости доставки
минеральных удобрений с учетом срока доставки на одну тонну увеличились по
сравнению с табл.3.11 показателей стоимости доставки минеральных удобрений по
всем вариантам перевозок, т.к. прибавились ещё выплаты за кредит. Я пришел к
выводу, что для перевозки азотных удобрений из Тольятти на Кавказ оптимальным
вариантом всё же будет вариант доставки 1а) В-Д, т.е. с использованием от
завода до порта Тольятти: автомобиля КАМАЗ 45143; и т/х проекта № 1565 "Волго-Дон".
А для перевозки азотных удобрений из Тольятти в Астрахань оптимальным вариантом
также будет вариант доставки 1б) В-Д, т.е. с использованием от завода до порта
Тольятти: автомобиля КАМАЗ 45143; и т/х проекта № 1565 "Волго-Дон".
.3 Расчет
стоимости перевозки по выбранным схемам с учетом потерь минеральных удобрений
Несохранность грузов в процессе их перевозки и хранения на
складах зависит от ряда факторов. К ним относятся: при перевозке тарно-штучных
грузов - ошибки при составлении грузового плана или нарушения высоты
складирования, недостаток или некачественность прокладочного материала,
подмочка груза или отсутствие вентиляции в трюмах и на складах, некачественное
крепление груза в трюмах и на палубе.
Нередко повреждения грузов происходят при их перегрузке. Это
зависит от неправильного выбора грузозахватных приспособлений или их
неправильного использования, недозволенных приемов работы или непрочных
грузозахватных приспособлений, нарушения технологии перегрузочных работ.
Естественная убыль - это уменьшение массы
товарно-материальных ценностей из-за естественного изменения биологических и
(или) физико-химических свойств при сохранении качества ценностей в пределах
требований (норм), устанавливаемых нормативно-правовыми актами. Такое
определение естественной убыли содержится в Методических рекомендациях по
разработке норм естественной убыли, утвержденных приказом Минэкономразвития
России от 31.03.2003 N 95. Потери от естественной убыли возникают при хранении
и транспортировке материальных ценностей. К естественной убыли относятся
усушка, утруска, выветривание, испарение и т.п.
Обратите внимание: к естественной убыли не относятся
технологические потери и потери от брака, потери товарно-материальных ценностей
при их хранении и транспортировке, которые вызваны нарушением требований и
стандартов, технических и технологических условий, правил технической
эксплуатации оборудования и повреждением тары. Причины возникновения
естественной убыли кроются в особенностях физико-химических свойств материалов.
Как уже говорилось, естественная убыль может возникать вследствие усушки,
выветривания или испарения, например, при хранении. Чтобы выявить такие потери,
необходимо воспользоваться нормами естественной убыли. Под нормами естественной
убыли следует понимать предельно допустимую величину безвозвратных потерь
материалов. Такие потери возникают при транспортировке и хранении
товарно-материальных ценностей вследствие изменения физико-химических и
биологических свойств материалов. В постановлении <#"802809.files/image051.gif">. Чем выше ранг критерия (важность), тем
больше его вес. При этом присваиваемые веса должны удовлетворять следующим
условиям:
, (3.15)
На следующем этапе формируется обобщенная функция цели, которая
имеет следующий вид:
-, при решении задачи на минимальное значение обобщенного
критерия. (3.17)
Здесь:
- значение нормализованного критерия;
- признак критерия;
При решении задачи на общий максимум:
, нормализация критериев выполняется по
следующим выражениям:
, (3.18)
для первой группы критериев
, (3.19)
для второй группы критериев
При решении задачи на общий минимум:
нормализация критериев выполняется по
выражениям:
, - для первой группы критериев; (3.20)
, - для второй группы критериев, (3.21)
где:
- значения критериев первой и второй
групп;
- максимальные и минимальные значения конкретных
критериев.
Выбор эффективной схемы перевозок осуществляется по
соответствующему экстремальному значению обобщенного нормализованного критерия
"Fo".
Таблица 3.14.
Обобщенная функция цели по маршруту из Тольятти на Кавказ
|
Вариант схемы
|
Критерии
|
Размерность
|
Значение критерия (М)
|
Вес критерия (а)
|
Нормализованный критерий (Мz)
|
Обобщенная функция цели (F)
|
|
1а
|
Срок доставки (Т)
|
сут.
|
13,03
|
0,1
|
0,18
|
0,606
|
|
Стоимость доставки (С1)
|
руб.
|
597,09
|
0,15
|
0,52
|
|
|
Стоимость с учетом срока доставки (С2)
|
руб.
|
599,64
|
0,5
|
0,52
|
|
|
Качество (К)
|
б/р
|
0,968
|
0,25
|
1
|
|
|
2а
|
Срок доставки (Т)
|
сут.
|
15,96
|
0,1
|
0
|
0,548
|
|
Стоимость доставки (С1)
|
руб.
|
671,04
|
0,15
|
0,47
|
|
|
Стоимость с учетом срока доставки (С2)
|
руб.
|
674,56
|
0,5
|
0,47
|
|
|
Качество (К)
|
б/р
|
0,938
|
0,25
|
0,97
|
|
|
3а
|
Срок доставки (Т)
|
сут.
|
11,13
|
0,1
|
0,3
|
0,277
|
|
Стоимость доставки (С1)
|
руб.
|
1264,66
|
0,15
|
0
|
|
|
Стоимость с учетом срока доставки (С2)
|
руб.
|
1269,29
|
0,5
|
0
|
|
|
Качество (К)
|
б/р
|
0,954
|
0,25
|
0,99
|
|
Таблица 3.15.
Обобщенная функция цели по маршруту из Тольятти до Астрахани
|
Вариант схемы
|
Критерии
|
Размерность
|
Значение критерия (М)
|
Вес критерия (а)
|
Нормализованый критерий (Мz)
|
Обобщенная функция цели (F)
|
|
1б
|
Срок доставки (Т)
|
сут.
|
9,78
|
0,1
|
0,23
|
0,544
|
|
Стоимость доставки (С1)
|
руб.
|
560,64
|
0,15
|
0,42
|
|
|
Стоимость с учетом срока доставки (С2)
|
руб.
|
562,45
|
0,5
|
0,42
|
|
|
Качество (К)
|
б/р
|
0,968
|
0,25
|
1
|
|
|
2б
|
Срок доставки (Т)
|
сут.
|
12,71
|
0,1
|
0
|
0,464
|
|
Стоимость доставки (С1)
|
руб.
|
634,59
|
0,15
|
0,34
|
|
|
Стоимость с учетом срока доставки (С2)
|
руб.
|
637,24
|
0,5
|
0,34
|
|
|
Качество (К)
|
б/р
|
0,938
|
0,25
|
0,97
|
|
|
3б
|
Срок доставки (Т)
|
сут.
|
9,13
|
0,1
|
0,28
|
0,275
|
|
Стоимость доставки (С1)
|
руб.
|
963,39
|
0,15
|
0
|
|
|
Стоимость с учетом срока доставки (С2)
|
руб.
|
966,28
|
0,5
|
0
|
|
|
Качество (К)
|
б/р
|
0,954
|
0,25
|
0,99
|
|
В результате проведённых расчетов, по заданным критериям,
очевидно, что оптимальными являются варианты 1а и 1б транспортно-логистических
схем доставки удобрений.
Таблица 3.16.
Показатели стоимости доставки минеральных удобрений по
транспортно - логистическим схемам (отправитель ОАО Тольяттиазот)
|
Номер схемы рейса
|
Пункт назначения
|
Схема доставки
|
Тип судна (кол-во груза)
|
Стоимость доставки удобрений, руб/т
|
|
|
|
|
без учета качества перевозки
|
с учетом срока доставки
|
с учетом потерь груза
|
|
1а) В-Д
|
Кавказ
|
АВТ-Порт-РТ
|
В-Д (3600)
|
597,09
|
599,64
|
853,09
|
|
1а) Сорм
|
Кавказ
|
АВТ-Порт-РТ
|
Сорм (3000)
|
619,28
|
621,71
|
875,28
|
|
1б) В-Д
|
Астрахань
|
АВТ-Порт-РТ
|
В-Д (3600)
|
560,64
|
562,45
|
816,64
|
|
1б) Сорм
|
Астрахань
|
АВТ-Порт-РТ
|
Сорм (3000)
|
582,30
|
584,00
|
838,30
|
|
2а) В-Д
|
Кавказ
|
ЖДТ-Порт-РТ
|
В-Д (3600)
|
671,04
|
674,56
|
1167,04
|
|
2а) Сорм
|
Кавказ
|
ЖДТ-Порт-РТ
|
Сорм (3000)
|
691,45
|
694,82
|
1187,45
|
|
2б) В-Д
|
Астрахань
|
ЖДТ-Порт-РТ
|
В-Д (3600)
|
634,59
|
637,24
|
1130,59
|
|
2б) Сорм
|
Астрахань
|
ЖДТ-Порт-РТ
|
Сорм (3000)
|
654,47
|
657,00
|
1150,47
|
|
3а) 57ваг
|
Кавказ
|
ЖДТ
|
В-Д (3600)
|
1264,66
|
1269,29
|
1632,66
|
|
3а) 47ваг
|
Кавказ
|
ЖДТ
|
Сорм (3000)
|
1253,23
|
1257,60
|
1621,23
|
|
3б) 57ваг
|
Астрахань
|
ЖДТ
|
В-Д (3600)
|
963,39
|
966,28
|
1331,39
|
|
3б) 47ваг
|
Астрахань
|
ЖДТ
|
Сорм (3000)
|
955,14
|
957,84
|
1323,14
|
Я пришел к выводу, что для перевозки азотных удобрений из
Тольятти на Кавказ оптимальным вариантом будет вариант доставки 1а) В-Д, т.е. с
использованием от завода до порта Тольятти: автомобиля КАМАЗ 45143; и т/х
проекта № 1565 "Волго-Дон". А для перевозки азотных удобрений из
Тольятти в Астрахань оптимальным вариантом также будет вариант доставки 1б)
В-Д, т.е. с использованием от завода до порта Тольятти: автомобиля КАМАЗ 45143;
и т/х проекта № 1565 "Волго-Дон".
Эффективность доставки удобрений из Тольятти до Кавказа с
использованием проекта 1565 составляет на одну тонну (с учетом качественных
показателей) 853,09, за все 3600 т. - 3071114,33 руб.
При доставке железной дорогой этого количества удобрений
составит 1632,66 руб/т, а за все 3600 т - 5877585,00 руб.
Таким образом, стоимость доставки удобрений по варианту из
Тольятти до Кавказа с использованием одного Волго - Дона по сравнению с
железной дорогой будет меньше на 2806470,67 руб.
Эффективность доставки удобрений из Тольятти до Астрахани с
использованием проекта 1565 составляет на одну тонну (с учетом качественных
показателей) 816,64, за все 3600 т. - 2939913,92 руб.
При доставке железной дорогой этого количества удобрений
составит 1331,39 руб/т, а за все 3600 т - 4792989,00 руб.
Таким образом, стоимость доставки удобрений по варианту из
Тольятти до Астрахани с использованием одного Волго - Дона по сравнению с
железной дорогой будет меньше на 1853075,08 руб.
Общий экономический эффект от внедрения оптимальных способов
доставки составит 4659545,75 руб.
Так как в дипломном проекте выполняются три основные принципы
логистики: точно в срок, с высоким качеством и минимальными издержками,
следовательно, рассмотренные схемы перевозок являются логистическими.
Заключение
В ходе выполнения данного дипломного проекта были произведены
следующие действия:
. В первой главе было проанализировано современное
состояние перевозок минеральных удобрений на речном, железнодорожном и
автомобильном видах транспорта. Анализ показал, что имеется ряд нерешенных
практических и теоретических задач при определении эффективных способов и схем
транспортирования минеральных удобрений.
Изучены основные характеристики минеральных удобрений,
требования к их таре, упаковке, транспортированию, а также приведены возможные
схемы доставки минеральных удобрений с участием всех трех видов транспорта и
каждого из них в отдельности. Выделены типичные способы и средства
транспортирования удобрений, нашедшие широкое применение.
Представлена методика формирования временных показателей
типового технологического процесса транспортирования минеральных удобрений,
учитывающая различные временные факторы, влияющие на продолжительность доставки
груза. Методика охватывает работу и услуги всех участвующих в доставке груза
транспортных и транспортно-экспедиционных предприятий, основывается на
действующих нормативах перевозки и перегрузки грузов, предусматривает
дополнительное время на прием-передачу партий минеральных удобрений с одного
вида транспорта на другой или с одного транспортного средства на другое, на
оформление транспортных документов в соответствии с действующими Правилами
перевозок грузов на каждом виде транспорта и др.
Представлена сформированная экономико-математическая модель
для определения стоимости доставки минеральных удобрений с учетом обоснованных
ранее транспортно-технологических логистических схем доставки партии удобрений
речным, железнодорожным и автомобильным и транспортом непосредственно от склада
производителя, где формируется партия, до районных баз.
. Во второй главе дипломного проекта была рассмотрена
работа СК "Волжское пароходство", в которой было подробно изложено ее
местоположение в настоящее время на рынке речных транспортных услуг, изучены
производственные и экономические показатели использования флота и также на
перевозках минеральных удобрений.
3. В третьей главе были сформированы схемы доставки
удобрений с участием трех видов транспорта, подобраны два вида судна, вагон и
автомобиль, для которых и произведены расчеты времени рейса и расходов на
перевозку.
Из расчетов времени рейсов видно (табл.3.10), что наименьшее
время рейса перевозки удобрений из Тольятти до Кавказа (а) это по варианту 3а)
47ваг Сорм. (3000 т.), т.е. в прямом железнодорожном сообщении составляет 10,60
сут. А из Тольятти до Астрахани (б) также по варианту 3б) 47ваг Сорм. (3000 т.)
в прямом железнодорожном сообщении составляет 8,60 сут.
Были выбраны наиболее экономичные варианты доставки
удобрений, с учетом использования банковского кредита и с учетом потерь груза,
по двум линиям:
а Тольятти - Кавказ - автомобиля КАМАЗ 45143; и т/х проекта №
1565 "Волго-Дон";
б Тольятти - Астрахань - также автомобиля КАМАЗ 45143; и т/х
проекта № 1565 "Волго-Дон".
Эффективность доставки удобрений из Тольятти до Кавказа с
использованием проекта 1565 составляет на одну тонну (с учетом качественных
показателей) 853,09, за все 3600 т. - 3071114,33 руб.
При доставке железной дорогой этого количества удобрений
составит 1632,66 руб/т, а за все 3600 т - 5877585,00 руб.
Таким образом, стоимость доставки удобрений по варианту из
Тольятти до Кавказа с использованием одного "Волго-Дона" по сравнению
с железной дорогой будет меньше на 2806470,67 руб.
Эффективность доставки удобрений из Тольятти до Астрахани с
использованием проекта 1565 составляет на одну тонну (с учетом качественных
показателей) 816,64, за все 3600 т. - 2939913,92 руб.
При доставке железной дорогой этого количества удобрений
составит 1331,39 руб/т, а за все 3600 т - 4792989,00 руб.
Таким образом, стоимость доставки удобрений по варианту из
Тольятти до Астрахани с использованием одного "Волго-Дона" по
сравнению с железной дорогой будет меньше на 1853075,08 руб.
Общий экономический эффект от внедрения оптимальных способов
доставки составит 4659545,75 руб.
Следовательно, цели и задачи дипломного проектирования по
данной теме полностью выполнены.
Список
используемой литературы
1. Бучин
Е.Д. Взаимодействие внутреннего водного транспорта с морским, железнодорожным и
автомобильным. - М.: Транспорт, 1985. - 221 с.
2. Васильев
Б.С., Высоцкий М.С., Гаврилов К.Л. и др. Автомобильный справочник. Под общ.
ред.В.М. Приходько. - М.: ОАО "Издательство "Машиностроение",
2004. - 704 с.
. Веселов
Ю.Б. "Коммерческое обеспечение внешнеторговой перевозки груза":
Методические указания по выполнению раздела дипломной работы для студентов
очного и заочного обучения. - Н. Новгород: Издательство ФГОУ ВПО ВГАВТ, 2004 г.
- 48 с.
. Веселов
Ю.Б., Ситнов А.Н., "Организационно-коммерческое обеспечение внешнеторговой
перевозки груза", Н. Новгород: Издательство ВГАВТ, 1999г. - 19 с.
. Гладышев
А.Н. Перевозка минеральных удобрений речным транспортом. - М.: Транспорт, 1973,
64 с.
. Гладышев
А.Н. Технико-экономическое обоснование эффективности перевозки и перегрузки
карбамида. Материалы научно-технической конференции. Ч.1. Горький, ГИИВТ, 1970,
с.50-52.
. Зюзин
В.Л. "Логистика, транспортные системы и комплексы".Н. Новгород:
Издательство ФГОУ ВПО ВГАВТ, 2009 г.
. Костров
В.Н., Телегин А.И., Ничипорук А.О. Транспортная экспедиция: методики
определения технологии и логистических схем доставки грузов: учеб. пособие - Н.
Новгород: Изд-во ФГОУ ВПО "ВГАВТ", 2008. - 60 с.
. Ничипорук
А.О. Методика формирования временных показателей типового технологического
процесса транспортирования минеральных удобрений. Вестник ВГАВТ. - Н. Новгород;
Изд-во ФГОУ ВПО ВГАВТ, 2005.
. Ничипорук
А.О. Методические основы определения оптимальных способов и схем
транспортирования минеральных удобрений: монография - Н. Новгород: Изд-во ФГОУ
ВПО "ВГАВТ", 2009. - 108 с.
. Ничипорук
А.О. Требования к формированию экономико-математической модели для выбора
оптимальных способов и схем доставки химических удобрений. Вестник ВГАВТ - Н.
Новгород: Изд-во ВГОУ ВПО ВГАВТ, 2006.
. Нормы
времени следования транзитного флота пароходств центральных бассейнов. МРФ
РСФСР, ГУПиЭФ, М.: 1990. - 138 с.
. Нормы
загрузки транзитных судов. МРФ РСФСР. - М.: 1988. - 10 с.
. Отчет
ОАО "СК "Волжское пароходство" за 2009 и 2010 г. г.
. Павлович
А.И. Анализ и предложения по совершенствованию системы доставки минеральных
удобрений на внутренний и внешний рынок. Вестник ВГАВТ. Выпуск 3. Экономика и
управление на транспорте. - Н. Новгород: Изд-во ВГАВТ, 2002, 176 с.
. Правила
перевозок грузов в прямом смешанном железнодорожно-водном сообщении. - М.:
Транспорт, 1985. - 85 с.
. Правила
перевозок грузов (речной транспорт), ч.1. Минтранс РФ. Департамент речного
транспорта. - Н. Новгород, 1994.
. Справочник
диспетчера речного флота. - М.: МРФ РСФСР, ГУПиЭФ, 1990. - 168 с.
. Телегин
А.И., Гладышев А.Н. Результаты опытных перевозок по определению потерь
минеральных и химических удобрений. Сборник ЦБНТИ Минречфлота, вып.12 (36). -
М.: Транспорт, 1976. - с.22-26.
. Телегин
А.И., Гладышев А.Н., Гуров Н.Е. Регламентация правил перевозок минеральных и
химических грузов речным транспортом. Тезисы НТК. - Горький: ГИИВТ, 1975. -
с.132-133.
Приложения
Приложение 1
Физико-химические свойства азотных удобрений (сульфат аммония
и карбамида)
|
Удобрение
|
Основной химический состав
|
Внешний вид
|
Содержание влаги, %
|
Объемная масса, т/м3
|
Растворимость в воде
|
Слеживаемость
|
Гигроскопичность
|
Специфические свойства
|
|
Сульфат аммония
|
(NH4) 2SO4
|
Порошок бело-розового цвета
|
До 1,5
|
0,8
|
Сильная
|
Слабая
|
Очень слабая
|
1. Агрессивен (содержит свободную серную
кислоту), особенно при увлажнении.2. Нельзя смешивать со щелочными
удобрениями - теряет азот
|
|
Карбамид
|
CO (NH2) 2
|
а) мелкокристаллический порошок, б) гранулы
размером 1 - 3 мм
|
До 0,3
|
0,65
|
Сильная
|
а) слабаяб) не слеживается
|
Слабая при умеренной влажности, очень сильная
при высокой влажности воздуха
|
Содержит в качестве примеси свободный аммиак
(NH3) порядка 0,015%
|