5-поверховий житловий будинок на 30 квартир

  • Вид работы:
    Контрольная работа
  • Предмет:
    Строительство
  • Язык:
    Украинский
    ,
    Формат файла:
    MS Word
    111,81 Кб
  • Опубликовано:
    2015-07-17
Вы можете узнать стоимость помощи в написании студенческой работы.
Помощь в написании работы, которую точно примут!

5-поверховий житловий будинок на 30 квартир

1.      Вихідні дані на проектування

планувальний архітектурний будівля фасад

Запроектовано 5 поверховий житловий будинок на 30 квартир.

ü  Схема: № 9А

ü  Місце будівництва: м. Хмельницький.

ü  Рельєф будівельного майданчика: спокійний.

ü  Ґрунти на території майданчика: піски.

ü  Глибина залягання несучого шару ґрунту: 2,0 м.

ü  Рівень ґрунтових вод від поверхні землі: 1,5 м.

ü  Конструктивна система: стінова.

ü  Фундаменти: мілкого закладення (стрічкові збірні)

ü  Стіни: великі блоки (легкобетонні)

ü  Перегородки: цегляні.

ü  Перекриття: збірне залізобетонне (плити круглопустотні).

ü  Сходи: збірні марші і площадки

ü  Покриття: з горищем (холодним).

ü  Дах: схилий.

ü  Покрівля: з дрібно розмірних елементів (метало черепиця).

ü  Підземна частина: без підвалу.

Графічна частина виконана на форматі А-1 на комп’ютері у програмі

КОМПАС-3D V13.

1. Об’ємно планувальне рішення

Згідно із завданням кафедри архітектури необхідно розробити архітектурно-конструктивний проект двохсекційного п’ятиповерхового тридцяти квартирного житлового будинку зі стінами з великих блоків у м. Хмельницький.

Загальна площа будинку складає 1599.7 . Житлова площа - 503.30 Основний набір приміщень наведений на функціональній схемі зв’язків приміщень.

Функціональна схема зв’язків приміщень


Габаритні розміри будинку в плані: в осях 1-13 - 360000 мм, в осях А-Г - 12000 мм. Висота поверху - 2,8 м. Висота будинку від рівня землі до гребеня даху - 18980 мм. Основні прольоти прийняті - 1500, 3000 та 6000 мм. За умовну відмітку 0,000 прийнято рівень підлоги першого поверху.

Форма будівлі прямокутника з балконом по фасаду 1 - 13. Зв'язок із зовнішньою ділянкою забезпечується двома входами.

Загальна кількість квартир у будівлі, що проектується - 30, у тому числі: двокімнатних - 20, трьохкімнатних - 10.

Робочі креслення розроблені на всю будівлю.

Конструктивна схема будівлі: безкаркасна з повздовжніми і поперечними несучими стінами.

Санвузли розташовані поряд з кухнею.

У двохкімнатних квартирах запроектовані балкони. В будівлі передбачено сміттєпровід.

Вхід до будівлі вирішено безпосередньо через сходову клітку.

Просторова жорсткість будівлі забезпечується сумісною роботою фундаментів, повздовжніх та поперечних стін та плит перекриття.

Клас будівлі - ІІ

Ступінь довговічності - ІІ

Таблиця 1. Експлікація квартир

Тип квартири

Кількість

Площа, м2



Житлова

Загальна

Двокімнатна 1-го виду

10

27,72

48,55

Двокімнатна 2-го виду

10

25,71

48,89

Трьохкімнатна

10

42,71

62,73


Таблиця 2. Склад квартир

Тип квартири

К - ть квартир

Назва приміщення, позначання

Площа м2




житлова

допоміжні

загальна

літніх приміщень

приведена

Двохкімнатна 1-го виду

10

Загальна кімната

16,24







Спальня

11,48







Кухня, К


12,03






Санвузол, СВ


1,24






Ванна


3,48






Передпокій


4,08






Балкон




6,76




Всього

27,72

20,83

48,55

6,76

55,31

Двохкімнатна 2-го виду

10

Загальна кімната

14,88







Спальня

10,83







Кухня, К


12,05






Санвузол, СВ


1,2






Ванна


3,52






Передпокій


6,41






Всього

25,71

23,18

48,89


48,89

Трьохкімнатна

20

Загальна кімната

15,76







Спальня № 1

10,71







Спальня № 2

16,24







Кухня, К


10,76






Санвузол, СВ


1,24






Ванна


3,39






Передпокій


4,63






Всього

42,71

20,02

62,73


62,73

2.      Конструктивні рішення будівлі

Конструктивна схема будинку - стінова.

Фундаменти:

Під несучі стіни будинку запроектовані фундаменти мілкого закладення, стрічкові збірні. Глибина закладення підошви фундаментів приймається -3,1 м. Фундаменти захищені від зовнішніх атмосферних впливів литим асфальтовим вимощенням на відстань 1000 мм навколо всього будинку, а від впливу ґрунтових вод водостійкою тришаровою гідроізоляцією.

Ґрунтові води до глибини 1,50 м.

Зовнішні стіни:

Конструктивне рішення зовнішніх стін прийнято - великі блоки (легкобетонні). Прив'язка стін до осей у такому співвідношенні 300х100 мм. Така товщина необхідна для забезпечення стійкості стосовно вітрових й ударних навантажень, а також для збільшення тепло- і звукоізоляційної здатності стін.

Висота поверху приймається 2,8 м.

Внутрішні стіни й перегородки:

Внутрішні несучі стіни виконуються з внутрішніх великих блоків з прив’язкою 100×100 мм.

Внутрішньоквартирні перегородки в житлових приміщеннях, сан. вузлах прийняті гіпсобетонні панелі товщиною 80 мм.

Перекриття й підлоги:

Система обпирання для конструктивної схеми будинку (з повздовжніми та поперечними несучими стінами) - залізобетонні плити товщиною 220 мм, що опираються по двом сторонам та анкеруються.

Сходи: Відповідно до завдання сходи прийняті збірні марші і площадки.

Дах: В житловому будинку запроектовано холодне горище. Вихід на горище зі сходової клітки по драбині. Покрівля - метало черепиця (відповідно завдання).

Вікна:повинні забезпечувати достатню освітленість приміщень, їх вентиляцію і як огороджувальні елементи задовольняти теплотехнічним та акустичним вимогам. В той же час розміри та розташування вікон повинно бути пов'язане з архітектурно-художнім рішенням фасадів та інтер'єрів житлової будівлі.    Із зовнішньої сторони прорізу виконуємо злив з оцинкованої сталі.

Двері: рухоме (мобільне) огородження в прорізах стін і перегородок. Призначення дверей - евакуація, вхід і вихід людей із приміщення. Основні вимоги: геометричність і зручність відкривання-закривання, тепло- і звукоізоляція приміщення; необхідна міцність, довговічність та економічність конструкції.

Під час проектування внутрішніх дверей користуємося вимогами ДСТУ 6629-94. Розміри дверей призначаємо з розрахунком забезпечення необхідної пропускної здатності та можливості вільного перенесення меблів.

Кількість дверей, обраних для заповнення прорізів, наведена в специфікації.

Балкон - це виступаюча з площини фасаду загороджена площадка, призначена для відпочинку в літній час.

Внутрішнє оздоблення:

Стіни:

а) житлові приміщення та передпокої - обклеювання шпалерами покращеної якості на всю висоту приміщення;

б) кухні - облицювання керамічною плиткою на висоту 1,6 м, вище поліпшене фарбування.

в) санвузли - облицювання керамічною плиткою на всю висоту.

д) сходова клітка, вестибюль - масляне фарбування смуги висотою 0,5 м, вище - поліпшене клейове фарбування на всю висоту приміщення.

е) сміттєва камера - облицювання глазурованою плиткою стін на висоту 1,4 м, вище - масляне фарбування.

Стелі: всі внутрішні приміщення - поліпшене клейова побілка, сміттєва камера - фарбується масляною фарбою.

Підлоги:

а) приміщення квартир (житлові кімнати, коридори, передні й т. д.) - штучні на всіх поверхах, на 1-ому поверсі додаткові шари теплоізоляції.

б) кухні, ванні кімнати, вбиральні - керамічна декоративна плитка для підлог.

Інженерне обладнання

Опалення:

Опалення передбачається верхньої розводки 2-х трубними системами з горизонтальними по квартирними ділянками, що мають у межах квартир арматури для відключення, і вузли обліку теплоносія, які встановлені у ванних кімнатах. Теплоносій у системі опалення - вода t = 70…90 °С.

Вентиляція:

Вентиляція квартир природна забезпечується нещільностями в віконних та дверних прорізах, а також влаштовані вентиляційні блоки, які виходять на дах.

Водопостачання, каналізація й водостік:

Передбачено пристрій господарсько-питного водопроводу й централізованого гарячого водопостачання.

Водопроводи монтуються з оцинкованих сталевих труб за ГОСТ 3262-75.

Каналізація передбачається господарсько-побутова з відводом стічних вод у зовнішню мережу.

Передбачається пристрій зовнішніх водостоків. Випуск зливових вод - на тротуар (відкритий випуск)

Газопостачання:

Передбачено постачання природнього газу низького тиску.

Газопровід прокладається по зовнішніх стінах будинку. Введення газопроводу в будинок передбачаються в кухні 1-го поверху. Газові стояки прокладаються відкрито в кухнях. На кожному поквартирному відгалудженні газопроводу в кухні передбачається установка коркового крану, що відключає, і газового лічильника для поквартирного обліку газу.

Електроустаткування:

Електричне освітлення передбачає освітлення:входів, сходів, коридорів, горища виконується від УВР.

Електричне освітлення квартир виконується від поверхових щитів ЩЕ, встановлених в електропанелі.

В кожній квартирі встановлюється електричний дзвінок із кнопкою.

Передбачено пристрій евакуаційного освітлення - на сходах, на входах у під'їзди; аварійне освітлення - в електрощитовій. Напруга робочого й евакуаційного освітлення - 220В.

3. Теплотехнічний розрахунок огороджуючої консрукції

Вихідні дані:

Призначення будинку: житловий;

Район будівництва: м. Хмельницький;

Температурна зона району будівництва (ДБН В.2.6-31:2006. Ст. 18): І зона (більше 3501 градусо-діб)

Мінімальний допустимий опір теплопередачі зовнішньої стіни житлового будинку (прийнято з таблиці 1, ДБН В.2.6-31:2006):

Розрахункова температура внутрішнього повітря в приміщенні житлового будинку та відносна вологість внутрішнього повітря (додаток Г, таблиця Г2, ДБН В.2.6-31:2006):

Тепловологісний режим приміщень житлового будинку (додаток Г, таблиця Г2, ДБН В.2.6-31:2006):

При:

режим нормальний.

Умови експлуатації матеріалів конструкції зовнішньої стіни приймаються (додаток К, ДБН В.2.6-31:2006) за типом Б.

Коефіцієнт тепловіддачі внутрішньої та зовнішньої поверхонь стіни житлового будинку приймаються (додаток Е, ДБН В.2.6-31:2006):





Розрахункова схема зовнішньої стіни житлового будинку


Таблиця 3. Технологічні характеристики матеріалів зовнішньої стіни

№ ша- ру

Назва матеріалу

Густина Товщина шару, Коефіцієнт теплопровідності, Термічний опір шару  




1

Розчин складний (пісок, вапно, цемент) (п. 84)

1700

0.02

0.87

2

Керамзитобетон на керамзитовому в’яжучому (п. 58)

1000

0.40

0.41

3

Розчин цементно-піщаний (п. 85)

1600

0.015

0.81







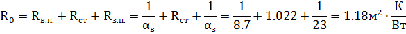
Повний термічний опір теплопередачі конструкції стіни:



Перевіряємо виконання умови теплотехнічного розрахунку


Висновок: умова не виконується. Прийнята конструкція стіни не відповідає кліматичним умовам району будівництва, тому змінюємо конструкцію стіни включаючи до неї термовкаладиши, а саме блоки пінополістерольні.



Після проведення додаткового обрахунку, остаточно приймаємо стіновий блок товщиною 400 мм включаючи до них термовкладиши із блоків пінополістерольних товщиною 73 мм.

4.      Архітектурно - художнє вирішення фасадів

Архітектурна виразність житлового будинку складається з композиції окремих об’ємів, форми даху, форми вікон, дверей та їх заповнень, а також колористичного вирішення опорядження фасадів.

Будинок, що проектується має об’ємну композицію, яку завершує дуже гострий чотирьох скатний дах, який знаходиться на одному рівні. Головний та дворовий фасади мають індивідуальний вигляд.

Задній фасад має десять великих балконів із огородженням з металевих елементів.

Карнизи, виступаючі та западаючі частини будівлі створюють світлотінь на всіх поверхнях, що надає будинку більшої пластичності. Розташування вікон на фасаді та їх групування ритмічне, що відповідає планувальному рішенню.

Колористичним рішенням фасадів передбачено використання теплих кольорів золотистої гамми.

Рельєфність фасаду надає світлотінь від елементів обшивки. Покрівля даху, метало черепиця червоного кольору, має виражений рельєф.

Таблиця 4. Специфікація збірних конструкцій

Марка

Позначення

Найменування

Кількість на поверх

Маса, кг

Примітки




1

2-4

5

загальна



Блоки зовнішніх стін

ЗБВ-1

1.133.1-5

СБІ.1 12.22.4-2-1

24

24

24

120

1475


ЗБВ-2

1.133.1-5

СБІ.2 15.22.4-2-2

4

4

4

20

1895


ЗБВ-3

1.133.1-5

СБІ.1 9.22.4-2-1

22

22

22

110

1120


ЗБВ-4

1.133.1-5

СБІ.2 12.22.4-2-1

2

2

2

10

1540


ЗБВ-5

1.133.1-5

СБІ.2 15.22.4-2-1

4

4

4

20

1895


ЗБВ-16

1.133.1-5

СБ2.1 12.8.3-2-1

16

16

16

80

370


ЗБВ-17

1.133.1-5

СБ2.1 15.8.3-2-1

6

6

6

30

655


Блоки внутрішніх стін

ВВБ-6

1.134-1

ВБЛ-12.28.2-1 л

2

2

2

10



ВВБ-7

1.134-1

ВБ-15.28.2-1

37

37

37

185



ВВБ-8

1.134-1

ВБЛ-27.28.2-5 л

2

2

2

10



ВВБ-9

1.134-1

ВБЛ-12.28.2-1п

2

2

2

10



ВВБ-10

1.134-1

ВБЛ-27.28.2-5п

2

2

2

10



ВВБ-11

1.134-1

СБВ 15.26.2-Т-2.1.2

4

4

4

20



ВВБ-12

1.134-1

СБВ 18.26.2-Т-2.1.2

4

4

20



ВВБ-13

1.134-1

СБВ 18.26.2-Т-1

8

8

8

40



Вентиляційні блоки

ВВБ-14

1.134-3

ВБВ-15.28.3

4

4

4

20



ВВБ-15

1.134-3

ВБВ-12.28.3

2

2

2

10



Перемичкові блоки

ПБ-1

1.133.1-5

СБ3 27.6.4-4ІІ-1







ПБ-2

1.133.1-5

СБ3 24.6.4-4ІІ-2







ПБ-3*

1.133.1-5

СБ3 11.6.4-4ІІ-3







ПБ-4*

1.133.1-5

СБ3 10.6.4-4ІІ-4







Цокольні блоки

ЦБ-1

1.133.1-5

СБ7.1 9.13.40-Т-1

-

-

-




ЦБ-2

1.133.1-5

СБ7.1 12.13.40-Т-2

-

-

-




ЦБ-3*

1.133.1-5

СБ7.1 16.13.40-Т-3

-

-

-




ЦБ-4*

1.133.1-5

СБ7.1 10.13.40-Т-4

-

-

-




Плити перекриття

ПП-1

1.141-10

ПК 60-15-8

28

28

28

140



ПП-2

1.141-10

ПК 30-15-8

16

16

16

80



ПП-3

1.141-10

ПК 60-12-8

4

4

4

20



ПП-4

1.141-10

ПК 42-15-8

2

2

2

10



ПП-7

1.141-10

ПК 54-15-8

2

2

2

10



Балконні плити

ПП-5

1.137.1-9

ПБ-36.12-5

2

2

2

10

1300


ПП-6

1.137.1-9

ПБ-24.12-5

2

2

2

10

875


Фундаментні плити

ФП 1

1.112-1

ФЛ 14.24

-

-

-

38



ФП 2

1.112-1

ФЛ 14.12

-

-

-

4



ФП 3

1.112-1

ФЛ 12.24

-

-

-

32



ФП 4

1.112-1

ФЛ 12.8

-

-

-

12



ФП 5

1.112-1

ФЛ 12.12

-

-

-

2



1

2

3

4

5

6

7

8

9

ФП 6

1.112-1

ФЛ 14,8

-

-

-

2



Залізобетонні перемички



3ПБ21-8

2

-

-

4



Козирки


1.238-1

КВ 18.22-Т

1

-

-

2

750


Сходові марші


1.151.1-6

ЛМ 27.12.14-4

1

2

1

8

1520


Сходові площадки


1.152.1-8

ЛП 28.12

2

2

1

9

990


Двері

Д-1

ДСТ 6629-94

ДГ 2.1-0.9

18

16

16

82



Д-2

ДСТ 6629-94

ДО 2.1-1.2

2

2

2

10



Д-3

ДСТ 6629-94

ДО 2.1-1.5

2

2

2

10



Д-4

ДСТ 6629-94

ДГ 2.1-0.7

12

12

12

60



Д-5

ДСТ 6629-94

ДО 2.1-0.8

4

4

4

20



Д-6

ДСТ 6629-94

ДО 2.1-1.2

4

2

2

12



Д-7

ДСТ 6629-94

ДГ 2.1-1.2

2

-

-

2



5.      Техніко-економічні показники

~       Площа забудови - 508,6 ;

~       Загальна площа будинку - 1735,6 ;

~       Площа літніх приміщень - 67,6 ;

~       Будівельний об’єм - 4339

~       Поверховість - 5 поверхів;

~       Умовна висота будинку - малоповерховий;

~       Площу вбудованих нежитлових приміщень - 774,3 .

Список використаної літератури

1.   ДБН В.2.2-15-2005. Житлові будинки. Основні положення. - К.:Державний комітет України з будівництва та архітектури, 2005-36 с.

2.      ДБН 2.6-31:2006. Теплова ізоляція будівель. - К.: МБАЖКГУ, 2006-71 с.

.        ДСТУ БА.2.4-8-95. Умовні позначення елементів санітарно - технічних систем.

.        СНиП ІІ-В. 8-71. Полы. Нормы проектирования. - М.: Стройиздат, 1972.

.        ДСТУ Б А.2.4-7:2009. Правила виконання архітектурно - будівельних робочих креслень. - К.: Мінрегіонбуд України, 2009 -75 с.

.        ДСТУ Б В.2.6-55:2008. Перемички залізобетонні для будівель із цегляними стінами. Технічні умови. - К.: Мінрегіонбуд України, 2008 -725с

.        Маклакова Т.Г., Нанасова С.М. Конструкции гражданских зданий: Учебник. - М.: Издательство АСВ, 2010.-296 с.

.        Шерешевский И.А. Конструирование гражданских зданий. Учеб. пособие для техникумов. - М.: «Архитектура - С», 2005, - 176 с.: ил.

.        Конструкции гражданских зданий: Учеб. пособие для вузов/ Т.Г. Маклакова, С.М. Нанасова, Е.Д. Бородай, В.П. Житков; Под ред. Т.Г. Маклаковой. - М.: Стройиздат, 1986. - 135 с.: ил.

.        Основания, фундаменти и подземние сооружения/ М.И. Горбунов-Посадов, В.А. Ильичов, В.И. Крутов и др.; Под общ. ред. Е.А. Сорочана и Ю.Г. Трофименкова. - М.: Стройиздат, 1985. - 480 с.: ил. - (Справочник проектировщика).

.        Архитектурное проектирование/ Пономарев В.А.: Учебник для вузов. - М.: «Архитектура - С», 2008. - 736 с.: илл.

.        Русскевич Н.Л., Ткач Д.И., Ткач М.Н. Справочник по инженерно - строительному черчению. - К.: Будівельник, 1987. - 264 с.

Похожие работы на - 5-поверховий житловий будинок на 30 квартир

 

Не нашли материал для своей работы?
Поможем написать уникальную работу
Без плагиата!
Без нейросетей!