Эллипсометрическое измерение температуропроводности наноструктурированных материалов с использованием импульсного лазерного излучения

  • Вид работы:
    Курсовая работа (т)
  • Предмет:
    Физика
  • Язык:
    Русский
    ,
    Формат файла:
    MS Word
    277,65 Кб
  • Опубликовано:
    2014-09-02
Вы можете узнать стоимость помощи в написании студенческой работы.
Помощь в написании работы, которую точно примут!

Эллипсометрическое измерение температуропроводности наноструктурированных материалов с использованием импульсного лазерного излучения












КУРСОВАЯ РАБОТА

По дисциплине «Физика»

Тема: «ЭЛЛИПСОМЕТРИЧЕСКОЕ ИЗМЕРЕНИЕ ТЕМПЕРАТУРОПРОВОДНОСТИ НАНОСТРУКТУРИРОВАННЫХ МАТЕРИАЛОВ С ИСПОЛЬЗОВАНИЕМ ИМПУЛЬСНОГО ЛАЗЕРНОГО ИЗЛУЧЕНИЯ»

ВВЕДЕНИЕ

В курсовой работа необходимо провести патентный поиск по своей диссертационной работе. Найти прототипы и аналоги работ, близких к своей диссертации и привести их в курсовой работе.

Кратко описать содержание диссертационной работы.

Подробно расписать методику испытаний.

Перед тем как приступить, ознакомимся с некоторыми понятиями.

Вид испытаний - классификационная группировка испытаний по определенному признаку (ГОСТ 16504).

Категория испытаний - вид испытаний, характеризуемый организационным признаком их проведения и принятием решений по результатам оценки объекта в целом (ГОСТ 16504).

Испытания, объединяемые по организационному уровню их проведения, относятся к таким категориям как государственные, межведомственные, ведомственные; по этапам разработки продукции - предварительные, приемочные; по этапам жизненного цикла готовой продукции - квалификационные, приемо-сдаточные, периодические, сертификационные и т.д.

Программа испытаний - организационно-методический документ, утвержденный в установленном порядке, обязательный к выполнению, устанавливающий объект и цели испытаний, виды, последовательность и объем проводимых экспериментов, порядок, условия, обеспечение и отчетность по ним, а также ответственность за обеспечение и проведение испытаний (ГОСТ 16504).

Метод испытаний - правила применения определенных принципов и средств испытаний (ГОСТ 16504).

Методика испытаний - организационно-методический документ, утвержденный и аттестованный в установленном порядке и содержащий подробное описание практических действий, используемых при проведении испытаний конкретного вида продукции по определенному методу (Р 50-601-42).

Типовая методика - организационно-методический документ, утвержденный и аттестованный в установленном порядке, содержащий сведения о методах испытаний по определению одной или нескольких взаимосвязанных характеристик однородной группы продукции.

Аттестация методики испытаний - официальное подтверждение пригодности методики испытаний для реализации конкретной цели испытаний в пределах установленной точности и (или) повторяемости и (или) воспроизводимости результатов испытаний (Р 50-601-42).

Условия испытаний - совокупность воздействующих факторов и (или) режимов функционирования объекта испытаний (ГОСТ 16504).

Средство испытаний - техническое устройство, вещество и (или) материал для проведения испытаний (ГОСТ 16504).

Данные испытаний - регистрируемые при испытаниях значения характеристик свойств объекта и (или) условий испытаний, наработок, а также других параметров, являющихся исходными для последующей обработки (ГОСТ 16504).

Результат испытаний - оценка характеристик свойств объекта, установление соответствия объекта заданным требованиям по данным испытаний, результаты анализа качества функционирования объекта в процессе испытаний (ГОСТ 16504).

Точность результатов испытаний - свойство испытаний, характеризуемое близостью результатов испытаний к действительным значениям характеристик объекта в определенных условиях испытаний (ГОСТ 16504).

Повторяемость результатов испытаний - близость взаимонезависимых результатов испытаний, полученных на одних и тех же или идентичных образцах, по одной и той же методике, в одной и той же лаборатории с применением одних и тех же средств испытаний и одними и теми же операторами в течение короткого интервала времени (Р 50-601-42).

Воспроизводимость результатов испытаний - близость взаимонезависимых результатов испытаний, полученных на одних и тех же или идентичных образцах, по одной и той же методике в разных лабораториях с применением различных средств испытаний и разными операторами (Р 50-601-42).

1. ПАТЕНТНЫЙ ПОИСК

температуропроводность нанопокрытие лазерный излучение

Начинаем патентный поиск с американской патентной базы.

Два главных недостатка американского патентного сервера - расширенный патентный поиск забезплатно работает не глубже 1975 года и трудности со скачиванием рисунков.

Входим на <#"802583.files/image001.gif">

Рисунок 1 - Патент US5536936 A

На данный патент ссылаются еще 26 патентов, несколько необходимых приведены ниже:

<#"802583.files/image002.gif">

Рисунок 2 - Патент US6268916 B1

Следующий патент, который ссылается на US5536936 A:

<#"802583.files/image003.gif">

Рисунок 3 - Патент US7239392 B2

Таким вот образом была проведена проверка патентных баз на предмет поиска прототипа и аналога.

2. КРАТКОЕ ОПИСАНИЕ ДИССЕРТАЦИИ

.1 Тема работы

Эллипсометрическое измерение температуропроводности наноструктурированных материалов с использованием импульсного лазерного излучения.

2.2 Актуальность

Работа посвящена измерению температуропроводности теплозащитных нанопокрытий в виде прозрачной пленки с помощью лазерного излучения оптическим способом. Данный способ измерения является бесконтактным, он не дает ошибку по сравнению с контактным способом измерения. Следовательно выбираем оптический способ измерения эллипсометрическим методом.

К важным характеристикам материалов относятся теплофизические свойства (ТФС) - теплопроводность, температуропроводность, теплоемкость.

Ранее измерение теплофизических свойств покрытий оптическим способом не применялось.

В качестве покрытия используется пленка, толщиной несколько нм. При измерении температуропроводности длина температурной волны должна превышать толщину образца, что ограничивает частоту модуляции сверху и требует размеров пятна нагрева больших толщины образца.

Использование такого покрытия может повышать или понижать теплофизические свойства материала.

Данный способ измерения также может использоваться для измерения толщины образца.

2.3 Объект исследования

Процессы температуропроводности в нанопокрытиях при воздействии лазерного излучения.

Регистрация температурных сигналов и их обработка.

2.4 Предмет исследования

Эллипсометрическое измерение температуропроводности нанопокрытий с использованием импульсного лазерного излучения.

2.5 Цель исследования

Разработка методики измерения комплекса ТФС теплозащитных нанопокрытий с использованием импульсного лазерного излучения.

Получение экспериментальных данных температуропроводности теплозащитных покрытий при различных температурах.

2.6 Задачи диссертационного исследования

Решить задачу измерения температуропроводности нанопокрытия при воздействии на него импульсного лазерного излучения.

Разработать методику измерения ТФС, произвести оценку методических погрешностей измерения ТФС.

Исследовать температурные зависимости, температуропроводности и теплоемкости систем: теплозащитное покрытие + материал.

2.7 Метод исследования

Имеется множество методов исследования температуропроводности. Одним из методов является импульсный метод.

Импульсный метод, который относится к нестационарным методам измерений, который в настоящее время широко распространен.

Способ создания импульса - метод оптического нагрева.

Источник тепла является импульсный оптический квантовый генератор (ОКГ). Выбранный тип источника является бесконтактным, что исключает потери в контактном слое, также упрощает процесс измерения.

2.8 Новизна решений

Математические решения температуропроводности для теплозащитных покрытий импульсным методом с помощью эллипсометра отсутствуют.

Решается задача температуропроводности.

2.9 Подготовка образцов

Для приготовления образцов используются измельченные порошки металлов с различным процентным содержанием. Механическое прессование исследуемых материалов осуществляется при одинаковых условиях. Для окончательной обработки образцов производим полирование исследуемой/испытываемой поверхности до требуемой чистоты поверхности. Промывание или продувание сжатым воздухом исследуемой поверхности образца. На образец наносится тонкая пленка - нанопокрытие.

2.10 Рассмотрение аналогичных работ

Ранее в работах [1] изучалась экспериментально временная зависимость оптических констант и элипсометрических параметров в полупроводниках и металлах при импульсном воздействии лазерного излучения.

При воздействии импульсным лазерным лучом на поверхность образца подается тепловое воздействие, фиксируется зависимость температуры от времени, вызванное этим импульсом.

2.11 Описание установки

На рисунке 4 представлена принципиальная оптическая схема установки.

Рисунок 4 - Принципиальная оптическая схема установки [3]

На рисунке 4 обозначены следующие элементы:

- держатель образца;

- греющий лазер;

- электрооптический модулятор;

- фокусирующий асферический объектив;

- вакуумная камера;

- предметный координатный стол эллипсометра;

- пробный He-Ne лазер;

, 9 - фокусирующие объективы пробного излучения;

- фотоприемник с предварительным усилителем;

- интерфейс и мини-ЭВМ;

- анализатор;

- поляризатор;

- компенсатор;

- образец.

Принцип действия: на предметный координатный стол эллипсометра 6, устанавливается ампула с образцом 15. На образец подается греющий лазер 2, который модулирован в электрооптическом модуляторе 3 и сфокусирован асферическим объективом 4 на образец в виде пятна нагрева.

(Полупроводниковый) пробный лазер 7 проходит через поляризатор 13 и компенсатор 14, модулируется и фокусируется на образец в виде эллипса объективом пробного излучения 8.

Достигнув поверхности образца лазер отражается и фокусируется объективом пробного излучения 9, затем поступает через анализатор 12 в фотоприемник с предварительным усилителем 10. Данные по модулируемому греющему и отраженному лазерам поступают по каналам связи на ЭВМ, где происходит разложение сигналов на короткие импульсы. Происходит сравнение и нахождение разности фаз. Далее рассмотрим графики.

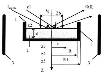
На рисунке 5 представлена принципиальная схема измерительной ячейки.

Рисунок 5 - Принципиальная схема измерительной ячейки [3]

На рисунке 5 обозначены следующие элементы:

- держатель образца;

- образец;

- внешний экран.

2.12 Анализ полученных данных

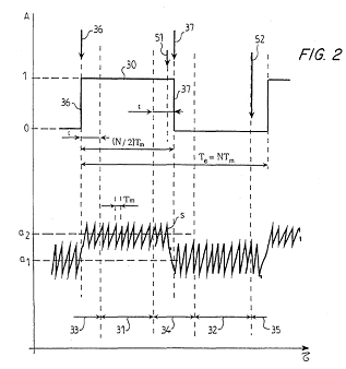
На рисунке 6 показан сигнал греющего лазера с периодом Те, который разворачивается с помощью модулятора, который затем имеет пульсирующую синусоидальную форму.

Рисунок 6 - Сигнал греющего лазера

На рисунке 7 показаны сигналы модулированного греющего лазера с периодом Те и пробный лазер с периодом Тс, который разворачивается с помощью модулятора, который затем также имеет пульсирующую синусоидальную форму.

Рисунок 7 - Сигнал пробного лазера

Сигналы/данные от оптической системы отраженного лазера передаются на ЭВМ, раскладываются, обрабатываются, сравниваются с данными от греющего (и пробного) лазера, что дает нам разность фаз.

Так как производятся измерения теплозащитного покрытия в виде прозрачной пленки, то в нашем случае рассматривается двухслойная система.

2.13 Расчет температуропроводности

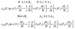
Приведены уравнения теплопроводности и граничные условия согласно геометрической модели:


с граничными условиями:


Изменение фазы луча φ вследствие его отражения находится по формуле (1).


где n - показатель преломления исследуемого образца;

λ - длина волны излучения;

α - угол падения пробного луча лазера;

d - толщина слоя образца/покрытия.

Затем по полученным данным рассчитываем температуропроводность по формуле.


где ω - циклическая частота модулятора;

t - время усреднения - достижения температуры половины от максимальной на обратной поверхности.


где х1, х2 - координаты точек измерения (х1 - координаты падения теплового лазера, х2 - пробного лазера).

Также можно найти температуропроводность по формуле (4)

 (4)

где λ - температуропроводность;

ρ - плотность;

Ср - изобарная <http://ru.wikipedia.org/wiki/%D0%98%D0%B7%D0%BE%D0%B1%D0%B0%D1%80%D0%B0> удельная теплоёмкость <http://ru.wikipedia.org/wiki/%D0%A3%D0%B4%D0%B5%D0%BB%D1%8C%D0%BD%D0%B0%D1%8F_%D1%82%D0%B5%D0%BF%D0%BB%D0%BE%D1%91%D0%BC%D0%BA%D0%BE%D1%81%D1%82%D1%8C>.

Данный способ измерения более/самый точный.

Метод дает возможность измерять параметры при высоких температурах.

3. МЕТОДИКА ИСПЫТАНИЙ

Методики испытаний, используемые для целей сертификации, должны быть разработаны и аттестованы согласно рекомендациям Р 50-601-42-94, которые полностью гармонизированы с Руководством ИСО/МЭК7 «Требования к стандартам, применяемым при сертификации <http://murenasert.ru/index> изделий». В случае если методика испытаний разработана давно и считается стандартизированной, то должна быть проверена ее возможность для применения в целях сертификации.

Состав и содержание методики испытаний

Методика испытаний, типовая методика для однородной группы продукции, как правило, включает следующие разделы.

. Область применения.

.1. Цель испытания.

.1.1. Произвести измерения теплофизических свойств нанопокрытий с различным процентным содержанием компонентов оптическим способом с использованием импульсного лазерного излучения.

.1.2. Разработать методику измерения.

.1. Тип испытываемой продукции.

Измельченный материал в виде порошка с различным %-ным содержанием компонентов - нанопорошки для покрытия. Порошок спрессован под давлением. Сделаны образцы. Нанесено покрытие.

.2. Объем выборки.

Испытание проводим на каждом образце.

.3. Требования к образцам.

.3.1. Подготовленные порошки измерить под микроскопом.

.3.2. Спрессовать образцы в одинаковых условиях, нанести покрытие. Исключить попадания пыли и посторонних примесей, грязи.

.3.3. Отсутствие пор в образцах.

.3.4. Толщина покрытия равномерная.

.3.5. Исследуемая поверхность должна быть чистой.

.3.6. Толщина покрытия до нескольких нм.

.3.7. Размеры образца: Ф10 мм, толщина 2 мм.

.4. Правила отбора образцов.

.4.1. Наличие на исследуемой поверхности прозрачной пленки - нанопокрытия.

.4.2. Отсутствие в образце пор и трещин.

.4.3. Поверхность под покрытие должна быть обработанной.

.5. Транспортировка и хранение.

.5.1. Упаковать и уложить в герметичную тару.

.5.2. транспортировать и хранить а таре.

.5.3. Отсутствие влаги, пыли, агрессивных веществ, паров и газов.

.6. Методы идентификации образцов.

.6.1. На таре предусмотреть наличие бирки с записью элементного состава и %-ного содержания образца и даты изготовления.

. Определяемые характеристики.

.1. Расстояние на образце от точки падения луча до точки снятия данных - Δr.

.2. Время достижения температуры обратной поверхности половины от максимальной - t1/2.

.3 Частота импульса лазерного излучения - ω.

.4 Разность фаз (сравнение падающего и отраженного лучей) - φ.

.5 Нахождение температуропроводности.

Необходимую точность произвести настройкой установки.

. Условия испытаний.

.1. Требования к окружающей среде.

.1.1. Температура 18…25°С

.1.2. Относительная влажность воздуха (без образования конденсата) - 70…85%.

.1.3 Отсутствие открытого огня и наличия легковоспламеняющихся веществ и газов.

.2. Режимы функционирования объекта.

.2.1. Режим измерения и обработки.

.2.2. Режим настройки.

.3. Критерии прекращения испытаний.

.3.1. Прекращение испытания в связи с получением требуемых параметров и характеристик.

.3.2. Аварийная ситуация.

. Средства испытаний.

.1. Средства испытаний - требования.

.1.1. Установка эллипсометра для измерения оптическим способом должна состоять из: греющего и пробного лазеров, электрооптического модулятора, фокусирующий асферического объектива, вакуумной камеры, предметного координатного стола эллипсометра, пробного He-Ne лазера, фокусирующих объективов пробного излучения, фотоприемника с предварительным усилителем, интерфейса и мини-ЭВМ, анализатора, поляризатора, компенсатора, образца.

.2. Порядок проведения испытаний.

.2.1. См. 2.3.

.2.2. Настройка установки: модулируем и фокусируем тепловой лазер, фокусируем пусковой/пробный лазер на образец. Фокусируем отраженный луч лазера для фотоприемника. Если есть необходимость - перемещаем образец.

.3. Обработка данных и оформление результатов испытаний.

.3.1. Обработка осуществляется на ЭВМ, осциллографах.

.3.2. Заносим данные в таблицу.

.3.3. Производятся расчеты по формуле, определяется погрешность измерения.

.4. Требования безопасности и охраны окружающей среды.

.4.1. Образец находится в вакууме.

.4.2. См. 4.1.

.4.3. Соблюдение техники безопасности, связанной с электроприборами, лазерной техникой, нагревательными элементами.

.4.4. При замыкании отключить прибор от сети.

.4.5. При возгорании вызвать пожарный расчет, воспользоваться установленными средствами пожаротушения.

ЗАКЛЮЧЕНИЕ

В процессе выполнения курсовой работы был проведен патентный поиск в патентных базах. Найдены прототипы и аналоги.

Кратко описано содержание диссертационной работы.

Также подробно расписаны разделы методики испытаний.

СПИСОК ЛИТЕРАТУРЫ

1. Spectroscopic ellipsometry under external exitational./ G. Jin, H. El Rhaleb, J.P. Roger, A.C. Boccara, J.L. Stehle // Thin Solid Films, 2010, V.234, p.375-379.

2. Загребин Л. Д., Ивлиев А. Д., Шабанов И. Н. и др. Кинетические свойства твердых растворов системы Fe-Ge при высоких температурах.//ФММ.-2009.-Т.94, №4.- С. 31.- 36.

. Уймин А.А. и др. Измерение температуропроводности пленок методом лазерного считывания. ВТСП-пленки в интервале температур 90-300 К. / Уймин А.А., Зиновьев В.Е., Коршунов И.Г., Каршышев А.В. // Письма в журнал технической физики.-2011.-Т.17.-вып.20.

4. <http://www.uspto.gov/>. Американская патентная база.

Похожие работы на - Эллипсометрическое измерение температуропроводности наноструктурированных материалов с использованием импульсного лазерного излучения

 

Не нашли материал для своей работы?
Поможем написать уникальную работу
Без плагиата!
Без нейросетей!