|
N п/п
|
Электроприемники
|
Категория
надежности
|
|
1
|
Дробилки
молотковые
|
I
|
|
2
|
Дробилки
конусные
|
I
|
|
3
|
Мельницы
шаровые
|
I
|
|
4
|
Дымососы
|
I
|
|
5
|
Питатели
пластинчатые
|
I
|
|
6
|
Насосы
|
II
|
|
7
|
Краны
|
III
|
|
8
|
Освещение
|
II
|
1.3 Выбор
рода тока и напряжения
При проектировании электрооборудования
необходимо выбрать род тока (переменный или постоянный) и напряжение сети.
Для силовых электрических сетей
промышленных предприятий в основном применяется трехфазный переменный ток.
Постоянный ток рекомендуется использовать в тех случаях, когда он необходим по
условиям технологического процесса (зарядка аккумуляторных батарей, питание
гальванических ванн и магнитных столов), а также для плавного регулирования
частоты вращения электродвигателей. Если необходимость применения постоянного
тока не вызвана технико-экономическими расчетами, то для питания силового электрооборудования
используется трехфазный переменный ток.
При выборе напряжения следует учитывать
мощность, количество и расположение электроприемников, возможность их
совместного питания, а также технологические особенности производства.
На выбор напряжения (от центрального
распределительного пункта (ЦРП) до трансформаторных подстанций (ТП))
существенное влияние оказывает предполагаемое наличие на объекте
электродвигателей напряжением выше 1 кВ (6, 10 кВ), электрических печей и
других электроприемников.
При выборе напряжения для питания
непосредственно электроприемников необходимо обратить внимание на следующие
положения.
Номинальными напряжениями, применяемыми на
промышленных предприятиях для распределения электроэнергии (по ГОСТ 721-771),
являются 10; 6; 0,66; 0,38; 0,22 кВ.
Применять на низшей ступени распределения
электроэнергии напряжение выше 1кВ рекомендуется только в случае, если
установлено специальное электрооборудование, работающее при напряжении выше 1
кв.
Если двигатели необходимой мощности изготавливаются
на несколько напряжений, то вопрос выбора напряжения должен быть решен путем
технико-экономического сравнения вариантов.
В случае, если применение напряжения выше
1 кВ не вызвано технической необходимостью, следует рассмотреть варианты
использования напряжения 380 и 660 В. Применение более низких напряжений для
питания силовых потребителей экономически не оправдано.
При выборе одного из двух рекомендуемых
напряжений необходимо исходить из условия возможности совместного питания
силовых и осветительных электроприемников от общих трансформаторов.
На предприятиях с преобладанием
электроприемников малой мощности более выгодно использовать напряжение 380/220
В (если не доказана целесообразность применения иного напряжения).
Напряжение сетей постоянного тока
определяется напряжением питаемых электроприемников, мощностью
преобразовательных установок, удаленностью их от центра электрических нагрузок,
а также условиями окружающей среды.
Выбираем переменный трехфазный ток с
напряжением 6/0,38кВ.
1.4 Выбор
схемы электроснабжения
Распределение электроэнергии на низшей
ступени во многом зависит от схемы питания электроприемников. При выборе схемы
электрической сети для питания электрооборудования цеха рассматривают ее
коммутационную гибкость, надежность питания, экономичность, а также возможность
применения индустриальных методов монтажа электрической сети.
Электрическая сеть может выполняться по
радиальной, магистральной и смешанной схемам.
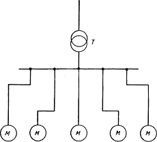
Радиальная схема - такая схема, при
которой от источника питания, линии электрической сети выполняются независимыми
друг от друга и без ответвленной по пути следования.
Рис. 1. Схема радиальной сети
При радиальной схеме достаточно мощные
электроприемники, как правило, получают питание непосредственно от подстанции,
а группа менее мощных и близко друг к другу расположенных электроприемников -
посредством распределительных пунктов, устанавливаемых как можно ближе к
геометрическому центру нагрузки. Распределительные пункты линии присоединяются
к главным распределительным щитам через рубильники и предохранители или
автоматы. При использовании радиальной схемы увеличивается количество аппаратов
управления и защиты, а также протяженность сети, что требует больших
капитальных затрат, однако данная схема надежна и проста в эксплуатации.
Магистральная схема - такая схема, при
которой питание нескольких ТП осуществляется ответвленными от одной или двух
проходящих рядом параллельных линий.
Рис. 2 Схема магистральной сети
Магистральные схемы рекомендуется
применять в следующих случаях:
а) когда нагрузка имеет сосредоточенный
характер, но отдельные узлы нагрузки расположены в одном направлении по
отношению к подстанции и на сравнительно небольшом расстоянии друг от друга;
б) когда нагрузка сравнительно равномерно
распределена. В практике проектирования чисто радиальные и магистральные схемы
применяются редко. Чаще пользуются
смешанными схемами, включающими элементы первых двух.
Для цехов, имеющих правильную планировку
оборудования (механические, механосборочные) и распределенную нагрузку,
рекомендуется применять непосредственное подключение электроприемников к
распределительным шинопроводам, которые питаются от распределительного пункта
подстанции. Распределительные шинопроводы выполняются в закрытых коробках и
подключаются к магистральным через рубильники и предохранители. Все ответвления
от магистральных и распределительных шинопроводов должны иметь защиту плавкими
предохранителями или автоматами.
Питающая сеть должна выполнятся таким
образом, чтобы длина трассы была как можно меньше, чтобы исключить протеки
мощности и обеспечить необходимую надежность электроснабжения.
Выбираем радиальную схему т.к. обладает большой гибкостью,
удобством эксплуатации и, как правило, строится ступенчатому принципу.
2.
Расчетно-технологическая часть
2.1 Расчет
электрических сетей
Электрические нагрузки систем электроснабжения определяют для
выбора числа и мощности силовых трансформаторов, мощности и места подключения
компенсирующих устройств, выбора и проверки токоведущих элементов по условию
допустимого нагрева, расчёта потерь и колебаний напряжения и выбора защиты.
Расчёт электрических нагрузок осуществляем методом установленной мощности и
коэффициента спроса.
. Группируем электроприемники по режиму работы и
технологическим признакам.
2. Определяем суммарную номинальную мощность для групп
потребителей:
кВт (2.1.1)
где
n - количество потребителей; Рном - активная номинальная мощность
электроприемников, кВт.
1. Определяем модуль силовой сборки.

(2.1.2)
. По каждой строке потребителей определяем сменные: активные и
реактивные мощности по НН
кВт (2.1.3)
где Kи - коэффициент использования.
(2.1.4)
. Суммируем Рн, Рсм и Qсм для
группы по по строке ИТОГО для НН
. Определяем Ки для группы НН
(2.1.5)
. Определяем по справочнику [1] эффективное число для групп
ел/приёмников
. Определяем Кmax для групп
эл/приёмников по справочнику [1]
. По каждой строке потребителей определяем максимальные нагрузки:
(2.1.6)
, кВАр (2.1.7)
(2.1.8)
. Определяем максимальный расчётный ток:
, А (2.1.9)
Все приведенные расчеты представлены в таблице 2.1
Таблица 2.1 Расчет электрических нагрузок
.2
Компенсация реактивной мощности
Компенсирующее устройство (статические конденсаторы или
синхронные двигатели) выбирается на основании технико-экономических расчетов;
при этом учитываются наличие избыточной мощности в синхронных двигателях, установленных
на механизмах, и возможность их работы как компенсаторов реактивной мощности.
Экономическая целесообразность применения того или иного вида компенсирующего
устройства определяется в соответствии с указаниями по компенсации реактивной
мощности. Выбор средств компенсации производится для режима наибольшего
потребления реактивной мощности в сети проектируемой установки.
Энергосистема должна выдать организации, проектирующей
присоединяемую к сети энергосистемы электроустановку, значения величин реактивной
мощности Qc, передаваемых из сети системы для режимов наибольшей и
наименьшей активной нагрузки системы, а также для послеаварийных режимов. При
выборе средств компенсации следует учитывать, что наибольший экономический
эффект достигается при их размещении в непосредственной близости от
потребляющих реактивную мощность электроприемников.
Передача реактивной мощности из сети 6-35 кВ в сеть до 1000 В
может быть экономически невыгодной, если это приводит увеличению числа цеховых
трансформаторов. Для электроустановок мощности, присоединяемых к действующим
сетям 6-10 кВ, экономически оправданной оказывается полная компенсация
реактивной мощности на стороне до 1000 В.
Нерегулируемые конденсаторы установки в сетях до 1000 В
размещаются в цехах у групповых распределительных пунктов, если окружающая
среда допускает такую установку. Место установки регулируемых конденсаторных
установок в сетях до 1000 В определяется с учетом требований регулирования
напряжения в сети или регулирования реактивной мощности. Установка
конденсаторных батарей на стороне 6-10 кВ цеховых подстанций не рекомендуется.
Индивидуальная компенсация целесообразна лишь у крупных электроприемников с
низким коэффициентом мощности и большим числом включений в год.
Для контроля наибольшей реактивной мощности, передаваемой из
сетей системы потребителю в режиме наибольшей активной нагрузки системы,
используются реактивные счетчики с указателями 30-минутного максимума и с реле
времени. Для контроля "реактивной энергии", выдаваемой потребителем в
сеть энергосистемы, в период ночного провала активных нагрузок системы
используются счетные механизмы реактивных счетчиков со стопором.
Наибольшее распространение на промышленных предприятиях имеют
конденсаторы (КБ) - крупные специальные устройства, предназначенные для
выработки реактивной ёмкостной мощности. Конденсаторы изготавливают на
напряжение 0,22, 0,38, 0,66, 6,3 и 10,5 кВ в однофазном и трёхфазном
исполнениях для внутренней и наружной установки. Они бывают масляные (КМ) и
соволовые (КС). Диэлектрическая проницаемость совола примерно вдвое больше, чем
масла. Широкое применение конденсаторов для компенсации реактивной мощности
объясняется их значительными преимуществами по сравнению с другими видами КУ:
незначительные удельные потери активной мощности до 0,005 кВт/кВАр, отсутствие
вращающихся частей, простота монтажа и эксплуатации, относительно невысокая
стоимость, малая масса, отсутствие шума во время работы.
Недостатки КБ: пожароопасность, наличие остаточного заряда,
повышающего опасность при обслуживании; чувствительность к перенапряжениям и
толчкам тока; возможность только ступенчатого, а не плавного регулирования
мощности.
Синхронные двигатели, применяемые для электропривода, обычно
изготовляются с номинальным коэффициентом мощности 0,9 при опережающем токе.
Они являются эффективным средством компенсации реактивной мощности нагрузки.
Развиваемая ими реактивная мощность определяется параметрами и режимом работы
двигателей и сети. За расчетную следует принимать номинальную реактивную
мощность двигателя при опережающем токе.
. Определяем реактивную мощность, которую необходимо
скомпенсировать на НН:
(2.2.1)
где a= a=0,75¸0,95 - коэффициент сменности предприятия;
tgj1 - соответствующий
коэффициенту мощности без компенсации;
tgj2 -
соответствующий коэффициенту мощности, который должен быть получен после
компенсации, tgj2 = 0,329 ¸ 0,395.
. Так как распределительное устройство будет иметь 2 секции,
находим реактивную мощность на одной из секции НН:
(2.2.2)
определяем по справочнику тип конденсаторных установок
УКЛН-0,38-300-150У3 U=0,38кВ Qк=300кВАр Габариты: 1920x500x1800
. Определяем сменную реактивную мощность с учётом компенсации.
Q´cм=Qсм-Qкн=1023-2*300=423кВАр (2.2.3)
. Определяем tgφ и cosφ
(2.2.4)
. Определяем полную максимальную мощность с учётом компенсации:
(2.2.5)
1. Определяем реактивную мощность, которую необходимо
скомпенсировать на BН:
(2.2.6)
где a= a=0,75¸0,95 - коэффициент сменности предприятия;
tgj1 - соответствующий
коэффициенту мощности без компенсации;
tgj2 -
соответствующий коэффициенту мощности, который должен быть получен после
компенсации, tgj2 = 0,329 ¸ 0,395.
. Так как распределительное устройство будет иметь 2 секции,
находим реактивную мощность на одной из секции НН:
(2.2.7)
определяем по справочнику тип конденсаторных установок
УКП-6,3-900 У3 U=6,3кВ Qк=900кВАр Габариты: 3010x8200x1600
. Определяем сменную реактивную мощность с учётом компенсации.
Q´cм=Qсм-Qвн=2340-2*900=540кВАр (2.2.8)
. Определяем tgφ и cosφ
(2.2.9)
. Определяем полную максимальную мощность с учётом компенсации:
(2.2.9)
2.3 Выбор
типа, числа и мощности силовых трансформаторов
Подстанции предприятий выбираются по требуемой надежности
электроснабжения и минимуму затрат. Местоположение подстанций определяется при
помощи расчетов по картограмме электрических нагрузок.
При выборе числа трансформаторов учитывают категорию
потребителей. Наиболее оптимально число трансформаторов - 2, т.к.
обеспечиваются условия надежности для 1 и 2 категории.
Определяем мощность трансформатора по условию
(2.3.1)
где n - количество трансформаторов.
Выбираем два варианта трансформаторов и заносим данные в таблицу
2.4
Таблица 2.4 Выбор трансформатора
|
N
|
Наименование
|
Iвар
|
IIвар
|
|
1
|
Тип
|
ТМ 1600/6
|
ТМ 2500/6
|
|
2
|
Sнт кВА
|
1600
|
2500
|
|
3
|
ВН/НН кВ
|
6/0,4
|
6/0,4
|
|
4
|
 Рхх кВТ3,33,85
|
|
|
|
5
|
 Ркз кВТ16,523,5
|
|
|
|
6
|
Uкз %
|
5,5
|
6,5
|
|
7
|
i0 %
|
1,3
|
1
|
|
8
|
Габариты
|
Длина, м
|
2,31
|
3,5
|
|
|
Ширина, м
|
1,37
|
2,226
|
|
|
Высота, м
|
2,6
|
3,6
|
|
9
|
Цена, руб.
|
4,15
|
5,8
|
. Определяем полную аварийную мощность Sав с условием Sав≥Smax
Sав=1,4*Sнт* (n-1) кВА (2.3.2)
Где 1,4 коэффициент загрузки трансформатора в аварийном
режиме
1) Sав=1,4*1600*1=2240 кВА
2) Sав=1,4*2500*1=3500 кВА
4 Определяем коэффициент загрузки β:
(2.3.3)
)
)
Потери активной мощности трансформатора
(2.3.4)
. Определяем потери реактивной мощности х. х. и к. з. 
Qхх,
Qкз)
(2.3.5)
(2.3.6)
. Определяем потери реактивной мощности в трансформаторах:
(2.3.7)
. Определяем время максимальных потерь:
(2.3.8)
где Tmax - время использования максимальной
нагрузки в год.
Время использования максимума нагрузки Тmax определяется характером нагрузки потребителей отдельных отраслей
промышленности и принимается:
для металлургической промышленности-до 6500 ч;
для химической - до 6000 ч;
для горнорудной - до 5000 ч;
для машиностроительной - до 4000 ч. [1] стр. 63
Тmax=6500 час
. Определяем активные потери электроэнергии:
(2.3.9)

. Определяем реактивные потери электроэнергии:
(2.3.10)
. Определяем потери электрической энергии
(2.3.11)
где Kп - коэффициент приведения потерь, Kп=0,06.
. Определяем издержки на потерю электроэнергии:
(2.3.12)
где C - стоимость 1 кВт×час (по указанию преподавателя)
. Определяем капитальные затраты:
(2.3.13)
Кинф - коэффициент инфляции
Кспр - стоимость трансформатора в руб.
. Определяем амортизационные издержки и издержки на ремонт:
(2.3.14)
где
- норма амортизационных отчислений;
- норма ремонтных отчислений.
. Определяем ущерб от не до выдачи продукции (эл. энергии) Рн:
(2.3.15)
(2.3.16)
Рсм - среднесменная мощность
-ущерб есть,
- ущерба нет
, (2.3.17)
где tр =100 час - время ремонта одного тр-ра,
ω=0,1 - коэффициент потока отказов
,
(2.3.18)
где У0 = 5руб - удельный убыток энергии
. Определяем приведённые годовые затраты:
, (2.3.19)
где Ен=0,12¸0,15 - нормативный коэффициент эффективности,
Таблица 2.5 Выбор типа, числа и мощности силовых трансформаторов
|
№
|
Обозначение
|
Единицы
измерения
|
I вариант
|
II вариант
|
|
1
|
Sрmax
|
кВА
|
1601,7
|
1601,7
|
|
2
|
Sнт
|
кВА
|
1600
|
2500
|
|
3
|
n
|
шт.
|
2
|
2
|
|
4
|
Sав
|
кВА
|
2240
|
3500
|
|
6
|
i0
|
%
|
1,3
|
1
|
|
7
|
Uкз
|
%
|
5,5
|
6,5
|
|
8
|
ΔPт
|
кВт
|
8,6
|
8,9
|
|
9
|
ΔQт
|
кВАр
|
52,6
|
58,7
|
|
10
|
Tmax
|
Час
|
6500
|
6500
|
|
11
|
Τ
|
Час
|
5247,9
|
5247,9
|
|
12
|
ΔWа
|
кВт×ч
|
45131,9
|
46706,3
|
|
13
|
ΔWр
|
кВАр×ч
|
276039,5
|
305952,6
|
|
14
|
ΔW
|
кВт×ч
|
61694,2
|
65063,4
|
|
15
|
K
|
руб.
|
415000
|
580000
|
|
16
|
И1
|
руб.
|
169658,5
|
178923,3
|
|
17
|
αа+αр
|
%
|
10,3
|
10,3
|
|
18
|
И2,3
|
руб.
|
42745
|
59740
|
|
19
|
У
|
руб.
|
-2250
|
39600
|
|
20
|
Затраты
|
руб.
|
264103,5
|
353663,3
|
Вывод: Выбираем трансформатор с наименьшими затратами то
есть, первый вариант ТМ 1600/6.
2.4 Выбор
питающих и распределительных сетей
2.4.1 Выбор
питающих и распределительных сетей выше 1000 В
Электрические сети, выбранные по току нагрузки и рассчитанные
на нагрев, проверяются на потерю напряжения. Согласно ПУЭ для силовых сетей
отклонение напряжения от номинального должно составлять не более ±5%. Для сетей
электрического освещения промышленных предприятий и общественных зданий
допускаются отклонения напряжения - 2,5 до +5%. Эти требования обусловлены тем,
что электрический момент зависит от квадрата подведённого напряжения и его
уменьшения ниже допустимого не обеспечит пуск механизмов; в сетях
электрического освещения снижение напряжения приводит к резкому снижению
светового потока и освещённости на рабочих местах.
Потери энергии при передаче по линии возрастают с увеличением
сопротивления линии, которые, в свою очередь, определяются сечением провода:
чем больше сечение провода, тем меньше потери. Однако при этом возрастают
расходы цветного металла и капитальные затраты на сооружение линии. Чтобы
выбрать экономически наиболее целесообразную линию, следует сравнить
капитальные затраты и ежегодные эксплуатационные расходы для нескольких линий.
Внутризаводское электроснабжение промышленных предприятий и
установок осуществляется в основном с помощью электрических сетей напряжением
6, 10, 35, 110 и 220 кВ.
Внутризаводское электроснабжение промышленных предприятий и
установок осуществляется в основном с помощью электрических сетей напряжением
6, 10, 35, 110 и 220 кВ.
Система электроснабжения промышленного предприятия (СЭС), представляющая
собой сочетание отдельных элементов, может быть условно разделена на: внешнюю и
внутреннюю. К внешней части СЭС относятся питающие сети 6-20 кВ, обеспечивающие
подачу электроэнергии на предприятие от точки присоединения к энергосистеме до
ГПП. К внутренней части СЭС относятся распределительные сети напряжением до 1
кВ и выше, предназначенные для распределения электроэнергии по территории
предприятия и внутри цехов.
Канализация электрической энергии - это распределение
электроэнергии с помощью воздушных, кабельных линий и токопроводов от места
производства до места потребления. В сетях напряжением выше 1 кВ промышленных
предприятий канализация электроэнергии может осуществляться с помощью кабельных
и воздушных линий и токопроводов.
Выбор того или иного конструктивного решения электрической
сети промышленного предприятия зависит от размещения нагрузок, плотности
застройки, ее насыщенности технологическими, сантехническими и транспортными
коммуникациями, уровня агрессивности грунтовых вод, степени загрязненности
воздуха, района гололедности.
Кабельной линией (КЛ) называется устройство для передачи
электроэнергии, состоящее из одного или нескольких параллельных кабелей с
соединительными, стопорными и концевыми муфтами (заделками) и крепежными
деталями. Гарантийный срок службы кабеля, как правило, не менее 25 лет.
В группу кабелей высокого напряжения входят кабели 6-110 кВ.
Такие кабели изготовляются с пластмассовой бумажной пропитанной изоляцией,
маслонаполненные и др.
Для внутризаводского электроснабжения промышленных
предприятий применяются различные способы прокладки КЛ: в земляных траншеях, в
кабельных каналах и туннелях, по эстакадам и галереям.
Когда территория предприятия загружена подземными
коммуникациями, приемлемым решением для прокладки большого потока кабелей может
явиться надземный способ по открытым эстакадам и закрытым галереям. Надземный
способ прокладки обеспечивает хороший отвод теплоты от кабелей благодаря
естественной вентиляции, удобство обслуживания.
Таблица 2.6 Выбор питающих и распределительных сетей ВН
|
Тип Линии
|
Imax А
|
jэк
|
Fэк
|
Fст
|
R0
|
X0
|
L км
|
Iдл. доп
|
∆U доп
|
∆U
|
Тип проводн.
|
|
КЛЭП
|
277
|
1,2
|
230,8
|
240
|
0,129
|
0,071
|
0,7
|
390
|
300
|
52,3
|
АСБ 3*240
|
|
КЛ дроб.
Конусн.
|
59,5
|
1,2
|
49,4
|
50
|
0,62
|
0,083
|
0,5
|
110
|
300
|
25,9
|
АСБ 3*50
|
|
КЛ дымосос
|
35,5
|
12
|
29,6
|
35
|
0,89
|
0,087
|
0,4
|
85
|
300
|
16,5
|
АСБ 3*35
|
|
Кабель к ТР
|
183,2
|
1,2
|
152,6
|
185
|
0,167
|
0,073
|
0,1
|
290
|
300
|
3,4
|
АСБ 3*185
|
|
Шина
|
277
|
1
|
277
|
50*6
|
0,118
|
0,156
|
0,09
|
1655
|
300
|
3,1
|
ША 50*6
|
. Определяем Imax. расч:
(2.4.1)
Дробилка
Дымосос
Тр-ор
Smax - из таблицы 1.
. Определяем расчётное сечение линии:
, (2.4.2)
КЛЭП
Дробилка
Дымосос
Трансформатор
Шина Fэк=277 мм2
где jэк - максимальная плотность тока, А/мм
Imax - из таблицы.
. Определяем расчётное сечение кабеля:
, (2.4.3)
КЛЭП
Дробилка
Дымосос
Трансформатор
Шина
. потери напряжения можно определить по формуле:
(2.4.4)
КЛЕП
Дробилка
Дымосос
Трансформатор
Шина
Допустимое напряжение
∆U=
2.4.2 Выбор
питающих и распределительных сетей ниже 1000 В
Электрические сети до 1кВ служат для передачи и распределения
электрической энергии к цеховым потребителям промышленных предприятий.
Потребители электроэнергии присоединяются через цеховые подстанции и
распределительные устройства при помощи защитных и пусковых аппаратов.
Электрические сети промышленных предприятий выполняются
внутренними и наружными. Наружные сети напряжением до 1 кВ имеют весьма
ограниченное распространение, т.к. на современных промышленных предприятиях
электропитание цеховых нагрузок производится от внутрицеховых встроенных или
пристроенных трансформаторных подстанций
В качестве основного электрооборудования для внутрицеховых
сетей напряжением до 1 кВ применяются: панели распределительные, силовые
распределительные шкафы, распределительные пункты, ящики с рубильниками и
предохранителями, ящики с блоками выключатель-предохранитель, щитки освещения,
плавкие предохранители, магнитные пускатели, контакторы, автоматические
выключатели и др.
Щиты, вводные устройства, шкафы, панели, щитки и другие
распределительные устройства современных конструкций - это законченные
комплектные устройства для приема и распределения электроэнергии, управления и
защиты ЭУ от перегрузок и коротких замыканий. В них смонтированы коммутационные
и защитные аппараты, измерительные приборы, аппаратура автоматики и
вспомогательные устройства (в цехах промышленных предприятий для распределения
электроэнергии применяются силовые распределительные шкафы ШР11)
Автоматические воздушные выключатели предназначены для
автоматического размыкания электрических сетей при нормальных режимах (КЗ и
перегрузках), для редких оперативных переключений (три - пять в час) при
нормальных режимах, а также для защиты электрических цепей при недопустимых
снижениях напряжения.
Выбор типа проводки, способа её выполнения, а т. же марок
провода и кабеля определяется характером окружающей среды, размещением
технологического оборудования и источников питания в цехе и другими
показателями. При выборе используют данные проектной и производственной
практики в соответствии с ПУЭ.
Для защиты от механических повреждений кабели внутри зданий
прокладывают в каналах. При этом необходимая защита от механических повреждений
обеспечивается перекрытием каналов несгораемыми плитами. Если число кабелей
прокладываемых в одном направлении, невелико, то их либо протягивают через
трубы, либо прикрывают швеллерным или уголковым железом.
Разновидностью прокладки под полом - модульная прокладка,
выполняемая в стальных, полиэтиленовых и винипластовых трубах с выходом труб на
колонки, к каждой из которых подключают группу механизмов.
Грунтовая прокладка кабеля является таким способом прокладки,
при котором кабель располагается под поверхностью земли. Существуют два
варианта грунтовой прокладки. В первом варианте (траншейной прокладки) кабель
протягивается внутри полужесткого пластикового кабелепровода или защитного
короба, проложенного в траншее под землей, не зависимо от кабеля. Кабелепровод
представляет собой сборную многосекционную конструкцию, состоящую из
пластиковых труб, соединенных торец в торец Несколько секций трубы
выстраиваются между оконечными точками кабельными структурами, после чего в них
протягивается кабель. Во втором варианте (прокладке с прямым заглублением) под
землей располагается только сам кабель без защитного кабелепровода. Каждый
способ имеет свои ограничения в применении и свои достоинства, но притом и
другом способе прокладки необходимо контролировать натяжение кабеля и избегать
образования на нем петель и изломов. Растяжения кабеля приводит к отклонению
его электрических параметров от нормативных значений, а излом и перегиб кабеля
становится точкой нерегулярности, в которой резко возрастают потери на
отражении.
Открытая прокладка проводов с креплением на роликах,
изоляторах, тросах и др. конструкциях является наиболее простой и дешёвой, но
не обеспечивает защиты от механических повреждений. Более совершенной является
прокладка проводов в лотках и коробках, выпускаемых в виде секций.
Магнитные пускатели предназначены главным образом для
дистанционного управления асинхронными электродвигателями с короткозамкнутым
ротором мощностью до 100кВт; для пуска непосредственным подключением к сети и
остановки электродвигателя (нереверсивные пускатели); для пуска, останова и
реверсаэлектродвигателя (реверсивные пускатели). В исполнении с тепловым реле
пускатели также защищают управляемые электродвигатели от перегрузок.
Для защиты внутрицеховых электрических сетей от токов КЗ
служат плавкие вставки. Они являются простейшими аппаратами токовой защиты,
действие которых основано на перегорании плавкой вставки. При размещении
предохранителей в электрической сети обязательным условием является обеспечение
селективности их действия. Это значит, что при КЗ на каком-либо участке сети
должна перегореть плавкая вставка только этого поврежденного участка.
Условия выбора предохранителей.
, А − для потребителей с лёгкими условиями пуска,
А − для потребителей с тяжёлыми условиями пуска,
Автоматические выключатели выбираются:
Iн. а≥ Iн. р, где
Iн. а− номинальный ток АВ,
Iн. р− номинальный ток расцепителя АВ,
Iн. р≥ Iдл− для
линии без ЭД,
Iн. р≥ 1,25 Iр. − для
линии с ЭД,
Расчетные и пиковые токи распределительных шкафов:
(2.4.5)
(2.4.6)
где
m=0,9 - коэффициент одновременности включения.
, А (2.4.7)
где
Kп = 5 ¸ 8 - коэффициент кратности тока, Kп = 1 - для печей, освещения и трансформатора.
Условия выборов сечения проводов и кабелей по расчетному току
Iдл. доп ≥ Iн
И по условиям срабатывания защиты
Iдл. доп≥ Iпл. вст. /3; Iдл. доп≥ Iср.
расч/4,5; Iср. расч= Kотс*Iном. расч.
Условия выбора магнитных пускателей
Iн≤Iн. пуск
К магнитным пускателем, необходимы, тепловые реле.
Расчетные данные заносим в таблицу 2.7
Таблица 2.7 Выбор защитной аппаратуры
|
Наименование
|
I ном
|
I пуск
|
Iп
|
Автоматич.
выключатель
|
Iср. р
|
Марка сечения
КЛ
|
Iдл. д
|
|
|
|
|
Тип
|
Iном
|
Котс
|
Iн. р
|
Iср. р
|
|
|
|
|
I секция
|
|
Кран
|
144
|
864
|
1080
|
ВА57Ф35
|
160
|
7
|
200
|
1120
|
248,8
|
АВВГ
3*185+1*150
|
260
|
|
Освещение
|
2167
|
2167
|
270,9
|
ВА57Ф35
|
250
|
3
|
312,5
|
750
|
166,6
|
АВВГ 3*120+1*95
|
200
|
|
Мел. Шаров.
|
212
|
1272
|
1590
|
ВА57Ф35
|
250
|
7
|
312,5
|
1750
|
388,8
|
2АВВГ
3*120+1*95
|
2*200
|
424
|
1653
|
2066
|
ВА55-39
|
630
|
5
|
787,5
|
3150
|
700
|
5АВВГ 3*70+1*50
|
5*140
|
|
Насосы
|
166
|
996
|
1245
|
ВА57Ф35
|
250
|
5
|
312,5
|
1250
|
272
|
2АВВГ 3*70+1*50
|
2*140
|
|
ШР2
|
332
|
1294
|
1617
|
ВА55-39
|
400
|
5
|
312,5
|
2000
|
444
|
2АВВГ
3*150+1*120
|
2*230
|
|
Питатели
|
99,3
|
595,8
|
744,75
|
ВА57Ф35
|
100
|
10
|
500
|
1000
|
222
|
АВВГ
3*150+1*120
|
230
|
|
Дробилки
|
136
|
816
|
1020
|
ВА57Ф35
|
160
|
7
|
125
|
1120
|
248
|
АВВГ
3*185+1*150
|
260
|
|
ШР3
|
235,3
|
1027,7
|
1284
|
ВА55-39
|
250
|
5
|
200
|
1250
|
277,9
|
2АВВГ 3*70+1*50
|
2*140
|
|
Итого по секции
|
1352
|
2488,8
|
3111
|
ВА55-41
|
1600
|
3
|
312,5
|
4800
|
1066
|
5АВВГ
3*150+1*120
|
5*230
|
|
II секция
|
|
Кран
|
144
|
864
|
1080
|
ВА57Ф35
|
160
|
7
|
200
|
1120
|
248,8
|
АВВГ
3*185+1*150
|
260
|
|
Освещение
|
134,8
|
134,8
|
167,7
|
ВА57Ф35
|
160
|
3
|
200
|
480
|
106,7
|
АВВГ 3*50+1*35
|
110
|
|
Мел. Шаров.
|
212
|
1272
|
1590
|
ВА57Ф35
|
250
|
7
|
312,5
|
1750
|
388,9
|
2АВВГ
3*120+1*95
|
2*200
|
|
ШР1
|
424
|
1653
|
2066,3
|
ВА55-39
|
630
|
5
|
787,5
|
3150
|
700
|
5АВВГ 3*70+1*50
|
5*140
|
|
Насосы
|
166
|
996
|
1245
|
ВА57Ф35
|
250
|
5
|
250
|
1250
|
277,9
|
2АВВГ 3*70+1*50
|
2*140
|
|
Питатели
|
99,3
|
595,8
|
747,7
|
ВА57Ф35
|
100
|
10
|
125
|
1000
|
222
|
2АВВГ
3*150+1*120
|
230
|
|
ШР2
|
364,6
|
923,9
|
1154,9
|
ВА55-39
|
400
|
3
|
500
|
1120
|
248,9
|
АВВГ
3*150+1*120
|
260
|
|
Дробилки
|
136
|
816
|
1020
|
ВА57Ф35
|
160
|
7
|
200
|
1120
|
248,
|
АВВГ
3*185+1*150
|
260
|
|
ШР3
|
272
|
1060,8
|
1326
|
ВА55-39
|
400
|
5
|
400
|
2000
|
444
|
2АВВГ
3*150+1*120
|
2*230
|
|
Итого по секции
|
1339
|
2477
|
3096
|
ВА55-41
|
1600
|
5
|
2000
|
8000
|
1777
|
5АВВГ
3*185+1*150
|
7*260
|
|
|
|
|
|
|
|
|
|
|
|
|
|
|
|
Таблица 2.8 Выбор магнитного реле
|
Оборудование
|
Iном
|
Магнитный
пускатель
|
Тепловое реле
|
|
|
Тип
|
Iном
|
Тип
|
Iном
|
|
Мельница
шаровая
|
212
|
КТП6033
|
250
|
-
|
-
|
|
Насос
|
166
|
ПМЛ7200
|
200
|
320004
|
200
|
|
Дробилка
|
136
|
ПМЛ7200
|
200
|
3160004
|
200
|
|
Питатели
|
99,3
|
ПМЛ6200
|
125
|
312504
|
200
|
|
Кран
|
144
|
КТП6023
|
160
|
-
|
-
|
Таблица 2.9 Выбор распределительного шкафа
|
Тип шкафа
|
Номинальный ток
шкафа
|
Количество
|
Размеры
(ширина)
|
|
I секция
|
|
ШР1 ЩО-01-02
|
4*250
|
4
|
800
|
|
ШР2
ЩО-70-1,2-21
|
4*100
|
4
|
800
|
|
ШР3
ЩО-70-1,2-21
|
4*100
|
4
|
800
|
|
II секция
|
|
ШР1 ЩО-01-02
|
4*250
|
4
|
800
|
|
ШР2
ЩО-70-1,2-21
|
4*100
|
4
|
800
|
|
ШР3 ЩО-01-02
|
4*250
|
4
|
800
|
|
Итого по I секции ЩО-01-36
|
1600
|
1
|
800
|
|
Итого по II сеции ЩО-01-36
|
1600
|
1
|
800
|
2.5 Расчет
токов КЗ
2.5.1 Расчет
токов КЗ выше 1000 В
В электрических установках могут возникать различные виды
коротких замыканий, сопровождающихся резким увеличением тока. Поэтому
электрооборудование, устанавливаемое в системах электроснабжения, должно быть
устойчивым к токам короткого замыкания и выбираться с учётом величин этих
токов.
Коротким замыканием (КЗ) называют всякое случайное или
преднамеренное, не предусмотренное нормальным режимом работы, электрическое
соединение различных точек электроустановки между собой или землей, при котором
токи в ветвях электроустановки резко возрастают, превышая наибольший допустимый
ток продолжительного режима (ГОСТ 26522-85).
Различают следующие виды замыканий: трёхфазное или
симметричное - три фазы соединяются между собой (1 - 7%), двухфазное - две фазы
соединяются между собой без соединения с землёй, однофазное - одна фаза
соединяется с нейтралью источника через землю (60 - 92 %), двойное замыкание на
землю - две фазы соединяются между собой и с землёй.
Причинами КЗ могут быть: механические повреждения изоляции -
проколы и разрушения кабелей при земляных работах; поломка фарфоровых
изоляторов; падение опор воздушных линий; старение, т.е. износ, изоляции,
приводящее постепенно к ухудшению электрических свойств изоляции; увлажнение
изоляции; различные набросы на провода воздушных линий; перекрытие фаз
животными и птицами; перекрытие между фазами вследствие атмосферных
перенапряжений. КЗ может возникнуть при неправильных оперативных переключениях,
например, при отключении нагруженной линии разъединителем, когда возникающая
дуга перекрывает изоляцию между фазами.
Последствиями коротких замыканий являются резкое увеличение
тока в короткозамкнутой цепи и снижение напряжения в отдельных точках системы.
Для уменьшения последствий коротких замыканий необходимо как
можно быстрее отключить поврежденный участок, чтодостигается применением
быстродействующих выключателей и релейной защиты с минимальной выдержкой
времени. Немаловажную роль играют автоматическое регулирование и форсировка
возбуждения генераторов, позволяющие поддерживать напряжение в аварийном режиме
на необходимом уровне. Все электрические аппараты и токоведущие части
электроустановок должны быть выбраны таким образом, чтобы исключалось их
разрушение при прохождении по ним наибольших возможных токов КЗ, в связи с чем
возникает необходимость расчета этих величину.
. Определяем расчетную схему:
. Составляем схему замещения:
. Принимаем базисные условия, расчёт в относительных
единицах:
Sб=100МВА (2.5.1)
Uб=1,05×Uн (2.5.2)
. (2.5.3)
(2.5.4)
(2.5.5)
где L - длина кабеля или шины, км;
X0 -
индуктивное сопротивление, Ом/км;
R0 -
активное сопротивление, Ом/км.
Таблица 2.10 Технические данные проводников
|
Наименование
|
R0
|
Rб*
|
X0
|
Xб*
|
L км
|
|
КЛЭП сГПП
|
0,129
|
0,22
|
0,071
|
0,12
|
0,7
|
|
КЛ к дроб.
конус.
|
0,62
|
0,8
|
0,083
|
0,1
|
0,5
|
|
КЛ к дымосос.
|
0,89
|
0,89
|
0,087
|
0,087
|
0,4
|
|
КЛ к тр-ру
|
0,167
|
0,04
|
0,073
|
0,018
|
0,1
|
|
Шина РУ
|
0,118
|
0,009
|
0,156
|
0,011
|
0,03
|
. Определяем результирующее сопротивление до всех точек КЗ:
(2.5.6)
(2.5.7)
(2.5.8)
. Определяем установившийся ток КЗ для каждой точки
(2.5.9)
. Определяем ударный ток КЗ для каждой точки:
(2.5.10)
где Kуд - ударный коэффициент, Kуд=1,8 - для ВЛЭП, Kуд=1,3 - для КЛЭП выше
1000В.
. Определяем действующий ток КЗ для каждой точки:
(2.5.11)
. Определяем ток подпитки:
(2.5.12)
(2.5.13)
(2.5.14)
(2.5.15)
Результаты заносим в таблицу.
Таблица 2.11. Расчет токов КЗ на стороне ВН.
|
№ КЗ
|
  Kуд , кА , кА , кА , кВА , кА , кА , кА
|
|
|
|
|
|
|
|
|
|
|
|
К1
|
0,23
|
0,13
|
0,26
|
1,3
|
35,3
|
64,2
|
38,3
|
384,7
|
30,7
|
64,7
|
30,8
|
|
К2
|
1,03
|
0,23
|
1,05
|
1,3
|
8,7
|
15,8
|
17,06
|
71,3
|
8,9
|
16,3
|
17,5
|
|
К3
|
1,12
|
0,217
|
1,14
|
1,3
|
8
|
14,6
|
8,6
|
87,2
|
8,2
|
14,9
|
8,8
|
|
К4
|
0,27
|
0,148
|
0,3
|
1,3
|
30,6
|
55,7
|
33,04
|
333,5
|
-
|
-
|
-
|
2.5.2 Расчет
токов КЗ ниже 1000 В
1. Составляем расчетную схему
2. Составляем схему замещения
Таблица 2.12. Сопротивления оборудования
|
N
|
Наименование
|
Rном, мОм
|
Xном, мОм
|
Rпер, мОм
|
|
1
|
Трансформатор
|
1,95
|
25,5
|
-
|
|
2
|
Тр-ор тока
|
-
|
-
|
-
|
|
3
|
Авт. №1
|
0,12
|
0,094
|
0,25
|
|
4
|
Шина
|
3,54
|
4,68
|
-
|
|
5
|
Авт. №2
|
0,12
|
0,094
|
0,25
|
|
6
|
КЛ№1
|
119,6
|
21,6
|
-
|
|
7
|
Авт. №3
|
0,12
|
0,094
|
0,25
|
|
8
|
Авт. №4
|
0,15
|
0,1
|
0,4
|
|
9
|
КЛ №2
|
5,16
|
1,52
|
-
|
|
10
|
К1
|
-
|
-
|
25
|
|
11
|
К2
|
-
|
-
|
20
|
|
12
|
К3
|
-
|
-
|
15
|
Таблица 2.13. Расчет точек КЗ на стороне НН
№ КЗ 

kуд
,
кА
,
кА
,
кА
,
кВА
,
кА
,
кА
,
|
кА
|
|
|
|
|
|
|
|
|
|
|
|
|
К1
|
30,6
|
31,2
|
43,7
|
1,3
|
5,2
|
9,6
|
5,6
|
3598
|
10,5
|
18,9
|
12,9
|
|
К2
|
145,5
|
52,9
|
154,8
|
1,3
|
1,5
|
2,73
|
1,62
|
1038
|
3,1
|
5,67
|
3,72
|
|
К3
|
146,2
|
54,5
|
156
|
1,3
|
1,48
|
2,69
|
1,59
|
1024
|
2,3
|
4,1
|
2,65
|
Rш=R0*l
(2.5.2.1)
Xш=X0*l (2.5.2.2)
Rк= (R0/2) *l (2.5.2.3)
Xк= (X0/2) *l (2.5.2.4)
I∞=Uб/ (1,73*Zрез) (2.5.2.5)
(2.5.2.5)
Sкз=1,73*Uср*I∞, кВА
(2.5.2.6)
I∞’=I∞+4*E*Iн, кА (2.5.2.7)
Iуд’=Iуд+7*E*Iн (2.5.2.8)
Iд’=Iд+5*E*Iн (2.5.2.9)
2.6 Выбор
электрооборудования подстанции
Условия выбора высоковольтного оборудования приводятся в справочниках.
Выбор производится путём сравнения расчётных данных с
допустимыми параметрами справочника.
Все результаты сравнения заносятся в таблицу 12.
. Выбор жёстких шин:
) Fэк≤ Fст,2) Iр ≤
Iдоп,
) σрасч≤ σдоп,
4) Вк
Вт
σрасч - это расчетное механическое усилие,
возникающее на шинах при протекании токов КЗ.
σдоп - допустимое усилие на токоведущей части.
σрасч=
(2.6.1)

- ударный ток КЗ
- расстояние между изоляторами крепления шин, см
a - расстояние между шинами, см

- момент сопротивления сечения шины, см3
Если шина расположена плашмя на изоляторе
(2.6.2)
Принимаем а - 35 см,
- 100-130 см.
Принимаем σдоп для следующих шин [1] стр.246
Медные МГМ …………..170 при t=300̊ С
Алюминиевые Al ………. 80 при t=200̊ С
Стальные ……………….. 190 при t=400̊ С
. Выбор изоляторов:
опорные
) Uр≤Uном,
) Fр≤ Fдин;
проходные
) Uр≤Uном,
2) Fр≤ Fдин,
) Iр ≤ Iном
Расчетная нагрузка (Н) на опорные изоляторы
(2.6.3)
. Выбор кабелей:
) по конструкции;
) Fэк≤Fст;
) Iр ≤ Iдоп;
) Uр≤Uном;
)
, (2.6.4)
Где Fmin -
условие проверки кабеля по термической стойкости;∞ - ток КЗ, А
пр =
tов+ tрз, где
ов
- собственное время отключения включения (справочная величина)рз 
0,6 с
с - постоянная величина, зависящая от материала жилы кабеля:
алюминиевые жилы ……………. с= 85
алюминиевые шины ……………. с= 88
. Выбор предохранителей:
) по конструкции и роду установки;
) Uр≤Uном;
) Iр ≤ Iном;
) Iк ≤ Iном. откл - номинальный ток
отключения
. Выбор разъединителей и отделителей:
) по конструкции;
) Uр≤Uном;
) Iр ≤ Iном;
) iy ≤ iдин;
) Вк
Вт
iдин -
предельный динамический ток по данным аппарата;
Вк - тепловой импульс от тока КЗ;
Вк = I2кз (tов+ tрз), кА2с, где
Вт - расчетный тепловой импульс аппарата,
Вт= Iт2
tт - допустимый тепловой импульс, где
Iт, кА;
tт, с - данные аппарата [3] стр.428
. Выбор высоковольтных выключателей:
) Uр≤Uном;
) Iр ≤ Iном;
) iy ≤ iпред. сквоз;
) Вк
Вт;
) Iк ≤ Iн. откл;
) Iд ≤ Iпред. сквоз
. Выбор трансформаторов тока:
) Uр≤Uном;
) Iр ≤ Iном;
) iy ≤ iдин;
) по конструкции и классу точности;
) Вк
Вт;
) Z2 ≤ Z2н - нагрузка вторичной цепи трансформатора.
Таблица 2.14 Выбор электрооборудования
|
№
|
Тип
оборудования
|
Условия выбора
|
Еденицы
измерения
|
Данные
|
|
|
|
|
Расчетные
|
Паспортные
|
|
1
|
Вводный
выключатель ВВЭ-10-31,5/630У3
|
Uсети≤Uном Iрасч≤Iном iуд≤Iпр. скв Вк≤Вт I∞≤Iном. откл iд≤Iпр. скв
|
кВ А кА кА2с
кА кА
|
6 277 64,7
1204,4 38,8 30,7
|
10 630 80
2976,8 80 31,5
|
|
2
|
Разъеденитель
РВЗ-10/1000IУ3
|
Uсети≤Uном Iрасч≤Iном iуд≤Iпр. скв Вк≤Вт
|
кВ А кА кА2с
|
6 16,3 59,3
1204,4
|
10 81 1000 1600
|
|
3
|
Шина ША 50*6
|
Fрасч≤Fст Iрасч≤Iдоп ϭрасч≤ϭдоп Вк≤Вт
|
мм2 А
МПа кА2с
|
277 277 18,6
1204,4
|
1655 50*6 80
2976,8
|
|
4
|
КЛЭП АСБ 3*240
|
Fрасч≤Fст Iрасч≤Iдоп Uсети≤Uном Fmin≤Fст
|
мм2 А
кВ мм2
|
277 230,8 6
0,37
|
390 240 6 240
|
|
5
|
Тр-ор тока
ТПЛК-10
|
Uсети≤Uном Iрасч≤Iном iуд≤Iэл. дин Вк≤Вт
|
кВ А кА кА2с
|
6 277 64,7
1204,4
|
10 600 74,5
2402,8
|
|
6
|
Тр-ор
напряжения ИТМ4-6-66У3 ТЗ
|
Uсети≤Uном
|
кВ
|
6
|
6
|
|
7
|
Выключатель 1
ВВТП-10/630У2
|
Uсети≤Uном Iрасч≤Iном iуд≤Iпр. скв Вк≤Вт I∞≤Iном. откл iд≤Iпр. скв
|
кВ А кА кА2с
кА кА
|
6 59,3 16,3 245
8,9 17,5
|
10 630 25 300
10 25
|
|
8
|
Разъединитель 1
РВФз-6/630 II-IIУ3
|
Uсети≤Uном Iрасч≤Iном iуд≤Iпр. скв Вк≤Вт
|
кВ А кА кА2с
|
6 59,3 16,3 245
|
6 630 52 1600
|
|
9
|
КЛ1 АСБ 3*50
|
Fрасч≤Fст Iрасч≤Iдоп Uсети≤Uном Fmin≤Fст
|
мм2 А
кВ мм2
|
49,4 59,3 6
0,09
|
50 110 6
|
|
10
|
Выключатель 2
ВВТП-10/630У2
|
Uсети≤Uном Iрасч≤Iном iуд≤Iпр. скв Вк≤Вт I∞≤Iном. откл iд≤Iпр. скв
|
кВ А кА кА2с
кА кА
|
6 35,5 14,9
61,95 8,2 8,8
|
10 630 25 300
10 25
|
|
11
|
Разъединитель 2
РВФз-6/630 II-IIУ3
|
Uсети≤Uном Iрасч≤Iном iуд≤Iпр. скв Вк≤Вт
|
кВ А кА кА2с
|
6 35,5 14,9
61,95
|
6 630 52 1600
|
|
12
|
КЛ2 АСБ 3*35
|
Fрасч≤Fст Iрасч≤Iдоп Uсети≤Uном Fmin≤Fст
|
мм2 А
кВ мм2
|
29,6 35,5 6
0,08
|
35 85 6
|
|
13
|
Выключатель 3
ВВ7-10-31,5/630У3
|
Uсети≤Uном Iрасч≤Iном iуд≤Iпр. скв Вк≤Вт I∞≤Iном. откл iд≤Iпр. скв
|
кВ А кА кА2с
кА кА
|
6 183,2 55,7
873,3 30,6 33
|
10 630 80
2976,7 31,5 80
|
|
14
|
Разъединитель 3
РВФз-6/630 II-IIУ3
|
Uсети≤Uном Iрасч≤Iном iуд≤Iпр. скв Вк≤Вт
|
кВ А кА кА2с
|
6 183,2 55,7
873,7
|
6 1000 81 3969
|
|
15
|
КЛ3 АСБ 3*185
|
Fрасч≤Fст Iрасч≤Iдоп Uсети≤Uном Fmin≤Fст
|
мм2 А
кВ мм2
|
185 290 6
|
2.7
Компоновка подстанции
При компоновке оборудования предусматриваются помещения
распредустройств ВН, помещения КТП, помещения КРУ НН.
Компоновка КТП в производственных зданиях должна решаться в
каждом отдельном случае, исходя из их конструкции, этажа установки, направления
трасс внешних кабелей и шинопроводов напряжением до 1 кВ.
Комплектные трансформаторные подстанции внутренней установки
выпускаются по виду охлаждения силового трансформатора следующего исполнения: с
масляным oxлаждением, с заполнением негорючим жидким диэлектриком, с воздушным
охлаждением (с сухим трансформатором мощностью до 2500 кВ. А). Кроме
трансформатора в комплект КТП входят вводной шкаф на напряжение 6-10 кВ и
распределительныe комплектные шкафы, при помощи которых можно собрать различные
по схеме КРУ напряжением до 1 кВ. КТП бывают одно - и двухтрансформаторными.
Они требуют двустоpоннего обслуживания. Однотрансформаторные КТП имеют левое и
правое исполнения.
На каждой пристроенной и встроенной закрытой подстанции,
расположенной по периметру промышленного здания, при установке КТП
рекомендуется применять масляные трансформаторы с суммарной мощностью до 6500
кВА, при этом расстояние между разными помещениями КТП не нормируется.
С точки зрения пожарной опасности нормативные документы
выдвигают ограничения по мощности и количеству КТП только с масляными
трансформаторами и при открытой установке их в цехе. Что касается КТП с сухими
трансформаторами или трансформаторами с негорючим жидким (твердым)
диэлектриком, никаких ограничивающих требований к их установке не
предъявляется.
В помещении КТП при необходимости можно устанавливать дpyгoe
комплектное электрооборудование напряжением до 1 кВ, например комплектные
конденсаторные установки.
Наиболее выгодное (оптимальное) место установки ККУ
необходимо определять согласно "Указаниям по проектированию компенсации
реактивной мощности в электрических сетях промышленных предприятий".
Установка ККУ зависит от сети и мощности конденсаторных установок. Если
распределительная сеть выполнена только кабельными линиями, ККУ любой мощности
рекомендуется присоединять непосредственно к шинам цеховой ПС.
При питании от одного трансформатора двух и более
магистральных шинопроводов к каждому из них присоединяется только по одной ККУ.
ДЛЯ схем с магистральными шинопроводами ККУ единичной мощностью до 400 кВАр подключаются
к сети без дополнительной установки отключающего аппарата (ввиду установки eгo
в комплекте ККУ), а при мощности более 400 кВАр через отключающий аппарат с
выполнением требований ПУЭ.
При мощности более 400 кВАр ККУ рекомендуется подключать к шинам
цеховой ПС с использованием соответствующего автоматического выключателя
подстанции.
На одиночном магистральном шинопроводе следует
предусматривать установку не более двух близких ПО мощности ККУ
В ЗРУ напряжением 10 (6) кВ должны устанавливаться шкафы КРУ
и ячейки КСО заводского изготовления. Шкафы КРУ, конструкция которых
предусматривает обслуживание их с одной стороны, устанавливаются вплотную к
стене, без прохода с задней стороны. Ширина коридора обслуживания должна
обеспечивать передвижение тележек КРУ; для их ремонта и хранения в помещении РП
предусматривается место или специальное помещение. Выходы из помещения РУ
выполняются наружу или в другое помещение с несгораемыми стенами и
перекрытиями, не содержащее пожаро- и взрывоопасных материалов, аппаратов и
производств, а также в другие отсеки РУ, отделенные от данного отсека дверью с
пределом огнестойкости не менее 0,6 ч. Часть РУ, находящаяся в ведении
энергоснабжающей организации, отделяется перегородкой или металлической сеткой
с дверью, запираемой на замок.
Выключатели, устанавливаемые в РУ 10 (6) кВ на внутрицеховых
РП, должны быть безмасляными или масломалообъемными.
В основных и вспомогательных помещениях РП могут
устанавливаться комплектные РУ открыто или в отдельных помещениях. При открытой
установке РУ напряжением до 1 кВ и выше должно быть применено комплектное
электрооборудование в исполнении не менее IP.
Пол внутрицеховой РП должен быть не ниже уровня пола цеха;
пол в помещении КРУ с выкатными тележками должен быть рассчитан на их частое перемещение
без повреждения его поверхности. При установке КРУ в отдельных помещениях
ширина прохода по фасаду должна определяться, исходя из следующих условий: для
однорядного исполнения - длина тележки КРУ плюс не менее 0,6 м; для двухрядного
исполнения - длина тележки КРУ плюс не менее 0,8 м.
Сужение прохода напротив выкатываемых тележек не допускается.
При наличии прохода с задней стороны КРУ (двустороннее обслуживание для их
осмотра) ширина его должна быть не менее 0,8 м; допускаются отдельные местные сужения
не более чем на ОД м.
Высота помещения должна быть не менее высоты КРУ, считая от
выступающих частей шкафов, плюс 0,8 м до потолка и 0,3 м до балок. Это
требование не распространяется на короба шинных перемычек, связывающих шкафы
КРУ, и на вводные питающие закрытые токопроводы. Допускается меньшая высота
помещения КРУ, если при этом обеспечиваются удобство и безопасность.
Рис.3 Компоновка подстанции
2.8 Выбор
релейной схемы и автоматизации одного из элементов системы
Релейная защита предназначена для отключения повреждённого
участка.
Аппараты релейной защиты - это специальные устройства (реле,
контакторы, автоматы и др.), обеспечивающие автоматическое отключение
поврежденной части электрической установки или сети. Если повреждение не
представляет для установки непосредственной опасности, то релейная защита
приводит в действие сигнальные устройства. Для обеспечения надежной работы
релейная защита должна:
) иметь избирательность (селективность), т.е. отключать высоковольтными
выключателями или автоматами только поврежденный участок установки. Время
срабатывания защиты характеризуется выдержкой времени, обеспечивающей
избирательность действия защиты. Выдержка времени определяется временем
действия выключателя поврежденного участка и временем срабатывания защиты;
) обладать достаточно высокой чувствительностью ко всем видам
повреждений на защищаемой линии и на линиях, питаемых от нее, а также к
изменившимся в связи с этим параметрам нормального режима работы (току, напряжению
и др.), что оценивается коэффициентом чувствительности;
) быть выполнена по наиболее простой схеме с наименьшим
числом аппаратов.
Реле, применяемые в релейной защите, классифицируют по
следующим признакам:
по принципу действия - электромагнитные, индукционные,
электродинамические, тепловые, электронные, магнитоэлектрические и др.;
по параметру действия - тока, напряжения, мощности, тепловые
и др.;
по способу воздействия на отключение - прямого и косвенного
действия.
Линии ЭСН цеховго тр-ра имеющего на ВН силовой выключатель с
пружинным приводом.
Требования:
. Составляем схему РЗ, рассчитать и выбрать элементы РЗ от
токов КЗ и перегрузки, проверить надежность РЗ.
Дано Трансформатор ТМ1600/6, Iк2 (3) =8,6кА, Iк1 (3) =38,3кА
Решение
Составляем схему РЗ требуемый РЗ от токов КЗ и перегрузки,
принимаем реле прямого действия питатели РТМ и РТВ, для защиты от междуфазных
КЗ принимается схема соединения ТТ и вторичных нагрузок на разность токов двух
фаз.
Так как есть ИН на ВН, то замыкания с одной фазы на землю
контролируется УКИ с включением сигнализации при нарушении.
На НН сеть с ГЗН, 4 проводная, следовательно все виды защиты
обеспечивается автоматом SF.
Так как трансформатор "сухой" то ГЗ не устанавливается.
. Выбор токового трансформатора
Определяем ток в линии ЭСН
(2.8.1)
Так как в линии ЭСН нет ЭД, то отстройка от пусковых токов не
требуется.
Принимаем к установке в РЗ трансформатора тока типа ТПШЛ-10 с I1=5000А и I2=5А в количестве 2 штуки.
Определяем коэффициент трансформации
Kт=I1/I2=5000/5=1000 (2.8.2)
. Выбор реле ТО типа РТМ
Определяем ток срабатывания реле
Iср. р=
(2.8.3)
Выбираем реле РТМ-III, Iср. р=30А
Определяем Ки (ТО) и над среднем ТО при наименьшем токе КЗ в
начале линии ЭСН
(2.8.4)
Iк км=
Iк (2) =0,87Iк (3)
Условие над Ku≥1,2
выполнено, следовательно, реле сработает.
Выбор реле МТЗ типа РТВ
Определяем ток срабатывания реле
Iср. р=
(2.8.5)
Iср. р≥Iнб/Кт
где Кзап=1 Ксх=1,25 Iнб=14,5
Выбираем реле РТВ-5-10, Iср.
р=5А
Определяем Кг (мтз) и над срабатыванием МТЗ на сеть
участка при Iк2 (3)
Кг= Iнти/Iкз=0,87*8600/1000*5=1,4 (2.8.6)
Условие выполнено Кг (мтз) ≥1,2

На рис. 3 приведена схема релейной защиты синхронного
электродвигателя мощностью более 2000 кВт. В качестве защиты от междуфазных
коротких замыканий в данной схеме установлена дифференциальная защита в
определенном исполнении. Реле РТМ включено на разность токов двух фаз, что
позволяет вторую токовую катушку РТМ, находящуюся в пружинном приводе,
использовать для защиты от асинхронного хода.
Защиту от перегрузок и от асинхронного хода осуществляет реле
РТВ (РТ-80), которое через промежуточное реле РПТ дешунтирует токовую
отключающую катушку реле РТМ. выполнение защиты повышает надежность ее действия
при асинхронном ходе электродвигателя, связанном со значительным снижением и колебанием
напряжения на шинах.
Защита минимального напряжения и защита от однофазного
замыкания на землю синхронного двигателя выполнены так же, как и асинхронного
двигателя.
Для дистанционного отключения двигателя используются
оперативные цепи переменного тока, действующие через промежуточное реле РП на
катушку отключения КО.
2.9 Расчет
заземления подстанции
При расчете заземляющего устройства определяются тип
заземлителей, их количество и место размещения, а также сечение заземляющих
проводников. Этот расчет производится для ожидаемого сопротивления заземляющего
устройства в соответствии с существующими требованиями ПУЭ.
Грунт, окружающий заземлители, не является однородным.
Наличие в нем песка, строительного мусора и грунтовых вод оказывает большое влияние
на сопротивление грунта. Поэтому ПУЭ рекомендуют определять удельное
сопротивление грунта путем непосредственных измерений в том месте, где будут
размещаться заземлители.
Полученное путем замеров удельное сопротивление грунта
является важнейшей величиной, определяющей сопротивление заземляющего
устройства. При этом необходимо учитывать сезонные колебания удельного
сопротивления грунта. Весной и осенью оно ниже, чем зимой и летом. Увеличение
удельного сопротивления земли в зимнее и сухое летнее время учитывается с
помощью коэффициентов повышения. Коэффициент повышения показывает, во сколько
раз расчетное удельное сопротивление грунта больше по сравнению с измеренным в
теплое время года (май - октябрь).
Чтобы создать надежный контакт со слоями грунта, не подверженными
промерзанию и высыханию, заземлители закладываются на глубину порядка 0,7 м (от
поверхности земли до верхней части заземлителя).
По форме расположения заземлителей различают выносные (или
сосредоточенные) и контурное заземления.
При выносном заземлении все заземлители сосредоточивают в
одном определенном месте, где располагают их на расстоянии не менее 2,5-3 мм
друг от друга. С помощью магистралей заземления к выносному заземлению
присоединяется электрооборудование.
При контурном заземлении заземлители располагаются по
периметру защищаемой территории; при большей величине территории заземлители
закладываются также внутри ее. Контурное заземление рекомендуется во всех
случаях, а в установках напряжением выше 1000 В оно является обязательным.
Способ размещения заземлителей (в ряд или по контуру)
определяется по плану установки. В установках с большими токами замыкания на
землю заземлители и полосы связи следует располагать так, чтобы обеспечить по
возможности равномерное распределение потенциала на площади, занятой
электрооборудованием. Для этого вдоль осей оборудования на глубине 0,5 м
прокладывают выравнивающие проводники, которые через каждые 6 м соединяют
поперечными проводниками. Выравнивание потенциалов предусматривают также у
входов и въездов на территорию предприятия.
Полосовая сталь, применяемая для электрической связи между
электродами, является дополнительным заземлением. Ввиду сравнительно большого
сопротивления соединительных полос оно мало влияет на общее сопротивление
заземляющего устройства. Поэтому в практических расчетах проводимость
соединительных полос можно не учитывать (за исключением больших контурных
заземлителей).
Дано
А*В=20*10 t=0,7м
Uклэп= 6 кВ Климатический район - IV
Lкл= 0,7 км Вертикальный уголок (75*75) Lв=3м
Uн= 0,4 кВ Вид ЗУ - контурное
=100 Ом*м (суглинок) Горизонтальный уголок - полоса (40*4 мм)
Определяем расчетное сопротивление вертикального электрода
rв= 0,3*100*1,3= 39 Ом
Определяем предельное сопротивление совмещения ЗУ
=297 Ом (2.9.1)
=
(2.9.2)
Rзу≤4 Ом
Определяем количество вертикальных уголков
=
=9,75 принимаем
=10 (2.9.3)
С учетом экранирования
=
=14,9 принимаем Nв=15 (2.9.4)
Расчет размещения ЗУ и расстояния между ними
Lп= (А+2) *2+ (В+2) *2= (20+2) *2+ (10+2) *2=68 м (2.9.5)
принимаем Nв=16
(2.9.6)
Lв=3 Lп=68
(2.9.7)
nв=0,67 nг=0,36
(2.9.8)
(2.9.9)
(2.9.10)
Rзуф (2,2) ≤Rзу (4) →ЗУ эффективное
Заключение
В ходе выполнения курсового проекта мы произвели расчет
электрических нагрузок. Выбрали количество и мощность трансформаторов с учетом
оптимального коэффициента их загрузки и категории питающихся электроприемников.
Выбрали наиболее надежный вариант сечения проводов и кабелей питающих и
распределительных линий. Произвели расчет токов короткого замыкания. Определили
мощность компенсирующих устройств. Произвели расчет оптимального количества и
сопротивление заземляющих устройств.
На основе произведенных расчетов можно сделать вывод, что
выбран наиболее оптимальный и рациональный вариант электроснабжения участка
огнеупорного цеха.
Источники
информации
1.
Неклепаев Б.Н., Крючков И.П. Электрическая часть электростанции и подстанции:
справочные материалы для курсового и дипломного проектирования - М.:
Энергоатомиздат, 1989. - 608 с.
.
Справочник по проектированию электрических сетей и электрооборудования / Под
ред. Ю.Г. Барыбина и др. - М.: Энергоатомиздат, 1991. - 464с.
.
Справочник по проектированию электроснабжения / Под ред. Ю.Г. Барыбина и др. -
М.: Энергоатомиздат, 1990. - 576 с.
.
Справочник по проектированию электроснабжения / Под ред.В.И. Круповича и др. -
М.: Энергия, 1980. - 456 с.
.
Шеховцов В.П. Расчёт и проектирование схем электроснабжения: методическое
пособие для курсового проектирование - М.: Форум - Инфра - М, 2003. - 214 с.
.
Справочник по электроснабжению и электрооборудованию: В 2 то - мах / Под ред.А.
А. Фёдорова - М.: Энергоатомиздат, 1986.1 т. - 586 с., 2 т. - 592 с
.
Правила устройства электроустановок / Главгосэнергонадзор России - 6-е издание
- М.: Энергосервис, 1998.