Электроснабжение населенного пункта Борки
МИНИСТЕРСТВО СЕЛЬСКОГО ХОЗЯЙСТВА И
ПРОДОВОЛЬСТВИЯ РЕСПУБЛИКИ БЕЛАРУСЬ
УО «БЕЛОРУССКИЙ ГОСУДАРСТВЕННЫЙ
АГРАРНЫЙ
ТЕХНИЧЕСКИЙ УНИВЕРСИТЕТ»
Кафедра электроснабжения
Расчетно-пояснительная записка к
КУРСОВОЙ ПРОЕКТУ
по дисциплине «Электроснабжение сельского
хозяйства»
на тему
«Электроснабжение населенного пункта
Борки»
Студент 27эпт
группы
________Рытор
Ю.В.
Руководитель
_______Буров А.Л.
Минск 2013
СОДЕРЖАНИЕ
1.
Исходные данные
.
Расчет электрических нагрузок н.п. Выгор
. Выбор
надбавок на трансформаторе.
.
Выбор числа и мощности трансформаторов, определение месторасположения ТП
.
Электрический расчет сети напряжением 0.38 кВ
.
Электрический расчет сети 10кВ.
.
Определение потерь энергии
.
Расчет токов короткого замыкания
.
Конструктивное выполнение линий 10 и 0,38 кВ, трансформаторных подстанций
10/0,4 кВ
.
Защита от перенапряжений
.
Выбор аппаратуры подстанции.
.
Расчет контура заземления ТП 10/0.4 кВ
.
Защита отходящих линий
.
Литература.
АННОТАЦИЯ
Курсовая работа представлена расчетно-пояснительной запиской на 49
страницах машинописного текста, содержащей 22 таблицы, графическая часть,
включающая 2 листа формата А1.
В работе выполнены расчеты для определения расчетных электрических
нагрузок, выбор числа и мощности трансформаторов, были составлены расчетные
схемы сетей 10 и 0.38кВ, были произведены электрические расчеты этих сетей,
определение допустимых потерь напряжения в этих сетях, а также потерь
электрической энергии в этих сетях. Далее, было описано конструктивное
исполнение линий и ТП, защита от перенапряжений и заземление, произведен расчет
токов короткого замыкания и выбор аппаратов подстанции.
Графическая часть работы выполняется на листе формата А1 и включает в
себя план электрических сетей 0.38 и 10кВ, а также расчетную схему линии
0.38кВ, 10кВ.
Курсовой проект оформлен в соответствии с СТБ БАТУ 2007г на текстовом
редакторе MS Word2010,для расчетов была использована система
электронных таблиц MS Excel.
Введение
Электрификация, то есть производство, распределение и применение электрической
энергии во всех отраслях народного хозяйства - один из важнейших факторов
технического прогресса.
На базе электрификации стала развиваться промышленность, электроэнергия
стала «проникать» в сельское хозяйство и транспорт.
Сегодня все объекты сельского хозяйства используют электроэнергию, все
жилые дома в сельских населенных пунктах имеют электрический ввод. Воздушными
ЛЭП охвачены все населенные пункты. Однако, это не значит, что работы по
электрификации сельского хозяйства закончились - электрическая нагрузка в
сельском хозяйстве непрерывно возрастает, появляется необходимость в
реконструкции, расширении линий электропередачи.
Достаточно большие перспективы открываются перед электрификацией
сельского хозяйства в будущем. Намечается повысить энерговооруженность
сельского хозяйства, увеличить объем потребления электроэнергии в
сельскохозяйственном производстве, а также отпуск ее на коммунально-бытовые
нужды сельского населения.
Электроснабжение производственных предприятий и населенных пунктов в
сельской местности имеет свои особенности по сравнению с электроснабжением
промышленных предприятий и городов. Основные особенности - необходимость
подводить электроэнергию к огромному числу сравнительно маломощных
потребителей, рассредоточенных по все территории, низкое качество
электроэнергии, требования повышенной надежности и т.д.
Таким образом, можно сделать вывод о большом значении проблем
электроснабжения в сельском хозяйстве. От рационально решения этих проблем в
значительной степени зависит экономическая эффективность применения
электроэнергии в сельскохозяйственном производстве.
1. Исходные данные
Таблица 1.1 Исходные данные по производственным потребителям.
|
№
|
Потребитель
|
РД, кВт
|
QД, кВАр
|
РВ, кВт
|
QВ, кВАр
|
|
340
|
Плотницкая
|
10
|
8
|
1
|
-
|
|
345
|
Мельница с жерновым
поставом 6/4
|
8
|
6
|
1
|
-
|
|
350
|
Крупорушка
|
12
|
10
|
1
|
-
|
|
531
|
Бригадный дом с залом на
100 мест
|
4
|
-
|
7
|
-
|
|
532
|
Дом животноводов на 12 … 18
мест
|
3
|
-
|
5
|
-
|
|
538
|
Столовая на 35 -50 мест
|
9
|
4
|
3
|
0
|
|
551
|
Магазин на 4 рабочих места,
продовольственный
|
10
|
5
|
10
|
5
|
|
562
|
Прачечная
производительностью 0,125т белья в смену
|
10
|
6
|
10
|
6
|
2. Расчет электрических нагрузок н.п. Выгор
Разделим
населенный пункт на группы жилых домов и отдельных потребителей по соизмеримой
мощности. Каждой группе присвоим порядковый номер. После раздела получили 3
группы : №1 - жилые дома; №2 - плотницкая, мельница с жерновым поставом 6/4,
крупорушка, бригадный дом с залом на 100 мест; №3 - дом животноводов на 12 … 18
мест, столовая на 35 -50 мест, магазин на 4 рабочих места, продовольствен-ный,
прачечная производительностью 0,125т белья в смену.
Найдем
расчетную мощность.
Если мощность не отличается в 4 раза, то по формуле

.
В случае если нагрузка отличается более чем в 4 раза, или носит
разнородный характер то нагрузка группы определяется через надбавки.

группы
№1:

; 
где
кО - коэффициент одновременности [1, табл. 5.1]
РР
= 2,55 кВт/дом - расчетная нагрузка на вводе в сельский дом
(определена
по номограмме)
n - количество
домов в группе,
Рб
- большая мощность,
∆РМ
-надбавка меньшей мощности.
КД
=0,4 и КВ =1 - коэффициенты участия в дневном и вечернем максимуме .

Найдем
расчетную мощность группы №2:

;

.
Найдем
расчетную мощность группы №3:

;

Найдем
расчетную мощность уличного освещения по следующей формуле:
ул.осв.
- нагрузка уличного освещения, Вт;
Руд.ул.
- удельная нагрузка уличного освещения, Вт/м, для поселковых улиц с
асфальтобетонным и переходными видами покрытий и шириной проезжей части 5..7 м
Руд.ул. = 5,5 Вт/м;ул. - общая длина улиц, м, из плана поселка lул.=2364 м;
Подставляя
числовые значения, получаем:



Найдем
суммарную мощность населенного пункта:
Так
как 
, то
дальнейший расчет ведем по вечерней нагрузке.
Расчет средневзвешенного cosj.
Средневзвешенный cosj определяется из следующего выражения:
где Pi - мощность i-го потребителя, кВт;ji - коэффициент мощности i-го потребителя;
Коэффициент мощности потребителей определяется из треугольника мощностей:
где S - полная мощность потребителя, кВА;- активная мощность потребителя,
кВт;- реактивная мощность потребителя, квар;
Потребитель «Прачечная».
Подставляя числовые значения, получаем:
Аналогичным образом рассчитываем значения cosjд, cosjв для других производственных потребителей. Результаты
расчетов сводим в таблицу 2.1.
Таблица 2.1 Расчет коэффициентов мощности производственных потребителей
|
№
|
Потребитель
|
РД, кВт
|
QД, кВАр
|
РВ, кВт
|
QВ, кВАр
|
cosφд
|
cosφв
|
|
340
|
Плотницкая
|
10
|
8
|
1
|
-
|
0,78
|
1
|
|
345
|
Мельница с жерновым
поставом 6/4
|
8
|
6
|
1
|
-
|
0,8
|
1
|
|
350
|
Крупорушка
|
12
|
10
|
1
|
-
|
0,77
|
1
|
|
531
|
Бригадный дом с залом на
100 мест
|
4
|
-
|
7
|
-
|
1
|
1
|
|
532
|
Дом животноводов на 12 … 18
мест
|
3
|
-
|
5
|
-
|
1
|
1
|
|
538
|
Столовая на 35 -50 мест
|
9
|
4
|
3
|
0
|
0,91
|
1
|
|
551
|
Магазин на 4 рабочих места,
продовольственный
|
10
|
5
|
10
|
5
|
0,89
|
0,89
|
|
562
|
Прачечная
производительностью 0,125т белья в смену
|
10
|
6
|
10
|
6
|
0,86
|
0,86
|
Для жилых домов без электроплит принимаем (таблица 3.7 [5]):jд=0.9;jв=0.93.
Подставляя числовые значения, получаем:

Находим
предварительную мощность ТП :

,
где
P - расчетная нагрузка, кВт;jср.взв. - средневзвешенный
коэффициент мощности.
Подставляя
числовые значения в формулу определяем полную вечернюю мощность:
3. Выбор надбавок на трансформаторе
Определение допустимых потерь напряжения и оптимальных надбавок
трансформатора.
Исходными данными для расчета электрических сетей являются допустимые
нормы отклонения напряжения. Для сельскохозяйственных потребителей при нагрузке
100% оно не должно выходить за пределы -5%, а при нагрузке 25% за пределы +5%
от номинального.
Допустимые потери напряжения в линиях 10кВ и 0.38кВ определяются путем
составления таблиц отклонения напряжения. Как правило, при составлении таблиц
рассматривают ближайшую и удаленную трансформаторные подстанции в режиме
максимальной (100%) и минимально (25%) нагрузки. В нашем случае следует
определить потери напряжения и надбавку для проектируемой ТП.
Пользуясь методикой, изложенной в пункте 2.2 [6] определяем допустимые
потери напряжения и надбавку трансформатора.
Отклонение напряжения определяется из следующей формулы:

(3.1)

(3.2)
где
dU100, dU25 - отклонение напряжения при
100% и 25% нагрузке, %;
DU100, DU25 - потеря напряжения при 100% и 25% нагрузке, %;
Н100,
Н25 - надбавки при 100% и 25% нагрузке, %.
Для
нашего случая имеем, отклонение напряжения у потребителя:

, (3.3)
где dUп - отклонение
напряжения у потребителя, %;
dUш - отклонение напряжения на шинах питающей подстанции, %;
DUтр - падение напряжения в трансформаторе, %;
DU10 - падение напряжения в линии 10кВ, %;
DU0.38 - падение напряжения в линии 0.38кВ (складывается из наружных и
внутренних), %;
Из формулы (3.3) выражаем:

Подставляя
числовые значения, получаем:
Подставляя
числовые значения, получаем:

,
Определяем
снижение напряжения у потребителя при 25% нагрузке:
Так
как dUп 
5%,
делаем вывод, что допустимые потери напряжения и оптимальные надбавки
трансформатора определили верно.
Все
расчеты сводим в таблицу 3.1.
Таблица
3.1 Определение допустимых потерь напряжения и оптимальных надбавок
трансформатора
|
N п/п
|
Элементы схемы
|
Нагрузка
|
|
|
100%
|
25%
|
|
1
|
Шины питающей подстанции
|
+5
|
0
|
|
2
|
ВЛ - 10кВ
|
-6
|
-1,5
|
|
3
|
Трансформатор 10/0.38 кВ:
надбавка потери напряжения
|
+7,5 -4
|
+7,5 -1
|
|
4
|
Линия 0.38 кВ: потери во
внутренних сетях потери во внешних сетях
|
-7,5 -1,5
-6
|
0 0 0
|
|
5
|
Потребитель
|
-5.0
|
+5
|
4. Выбор числа и мощности трансформаторов,
определение месторасположения ТП
электрический
нагрузка трансформатор напряжение
Находим
приблизительное число ТП по формуле :

Где
Sр - расчетная мощность в населенном пункте, кВА;
F - площадь
населенного пункта, из плана поселка F = 0.307 км²;
DU0.38 - допустимая
потеря напряжения для ВЛ 0.38 кВ, %,
DU0.38 =-7.5 %.
Выбираем
одну ТП, Определяем мощность трансформатора по полной расчетной нагрузке
принимаем S= 100 кВА.
Принимаем
трансформатор типа ТМ-100-10/0,4 с параметрами:
Рх
= 0,33 кВт, Рк = 1,97 кВт, Uк = 4,5%,при 1ф.к.з. приведенная к 0.4 кВ
=0,072 Ом.
Для
определения места расположения ТП на план поселка наносим оси координат,
определяем координаты нагрузок и их групп. Результаты сводим в таблицу 4.1
Далее определяем координаты центра нагрузки, т.е. место расположения ТП.
По формулам находим координаты центра нагрузок:
где

и 
-
координаты центров нагрузок;

-
расчетная мощность потребителей или их групп.
Таблица
4.1 Результаты расчета нагрузки и определения координат нагрузок и их групп.
|
№ группы
|
Наименование объекта
|
Мощность РPi,кВт
|
xi
|
yi
|
РВi· xi
|
РВi· yi
|
|
1
|
д4
|
5,97
|
2,7
|
15,24
|
16,12
|
90,98
|
|
2
|
д5
|
6,76
|
1,2
|
12,3
|
8,11
|
83,15
|
|
3
|
д4
|
6,76
|
4,95
|
13,4
|
33,46
|
90,58
|
|
4
|
340
|
1
|
7,1
|
14,1
|
7,1
|
14,1
|
|
5
|
345
|
1
|
6,8
|
12,7
|
6,8
|
12,7
|
|
6
|
350
|
1
|
8,1
|
14,1
|
8,1
|
14,1
|
|
7
|
д6
|
7,65
|
10,1
|
13,3
|
77,27
|
101,75
|
|
8
|
д4
|
5,97
|
2,3
|
11
|
13,73
|
65,67
|
|
9
|
531
|
7
|
4
|
10,2
|
28
|
71,4
|
|
10
|
д4
|
5,97
|
4,9
|
11,25
|
29,25
|
67,16
|
|
11
|
532
|
5
|
6,7
|
10,2
|
33,5
|
51
|
|
12
|
5,97
|
7,8
|
11,25
|
46,57
|
67,16
|
|
13
|
д5
|
6,76
|
2,3
|
8,05
|
15,55
|
54,42
|
|
14
|
538
|
3
|
3,55
|
8,9
|
10,65
|
26,7
|
|
15
|
д4
|
5,97
|
4,6
|
8,1
|
27,46
|
48,36
|
|
16
|
551
|
10
|
6,5
|
8,9
|
65
|
89
|
|
17
|
д6
|
7,65
|
7,9
|
7,6
|
60,44
|
58,14
|
|
18
|
д4
|
5,97
|
10,2
|
9,4
|
60,89
|
56,12
|
|
19
|
д5
|
6,76
|
3,8
|
5,5
|
25,69
|
37,18
|
|
20
|
562
|
10
|
5
|
6,6
|
50
|
66
|
|
21
|
д3
|
4,9
|
5,25
|
4,1
|
25,73
|
20,09
|
|
22
|
д6
|
7,65
|
7,7
|
4,6
|
58,91
|
35,19
|
|
23
|
д6
|
7,65
|
5,25
|
1,7
|
40,1625
|
13,005
|
|
24
|
д5
|
6,76
|
8,2
|
1,5
|
55,432
|
10,14
|
Подставив табличные значения в формулы получим:
x=5.59
,
y=8.69
.
По технико-экономическими соображениями размещаем ТП не по указанным
параметрам, а ставим ее в x=6,25,
y=8,2.
5. Электрический расчет сети напряжением 0.38 кВ
Электрический расчет сети 0.38кВ производится с целью выбора сечения и
марки проводов линии, а также проверки качества напряжения у потребителя. При
расчете пользуемся методом расчета электрических сетей по экономическим
интервалам нагрузок, изложенным в пункте 3.2 [1].
Для расчета электрических нагрузок вычерчиваем план населенного пункта в
масштабе, располагаем на плане производственные нагрузки, группируем всех
коммунально-бытовых потребителей, присваиваем номера группам.
Расчетная
мощность соизмеримых потребителей определяется по формулам:

,
где
Pд, Pв, - соответственно расчетная дневная и вечерняя нагрузка потребителей и
их групп, кВт;- количество потребителей в группе, шт.;P - расчетная
нагрузка на вводе к потребителю, кВт, определяем в зависимости от существующего
годового потребления электроэнергии на одноквартирный жилой дом, на седьмой
год, Pр = 2,55 кВт;
kд, kв -
соответственно коэффициент участия нагрузки в дневном и вечернем максимуме, для
коммунальных потребителей kд = 0.4, kв = 1 ;
kO - коэффициент
одновременности (таблица 3.5 [5]).
Проведем
расчет для группы из 4 (Д-4) домов:
Аналогичным
образом рассчитываем нагрузки для других групп. Данные сводим в таблицу 5.1.
Таблица
5.1 Расчетные нагрузки коммунально-бытовых потребителей
|
Группа потребителей
|
Кол-во, групп
|
Ko
|
Pд, кВт
|
Pв, кВт
|
|
Группа из 3 домов (Д-3)
|
1
|
0,64
|
2.1
|
5,28
|
|
Группа из 4 домов (Д-4)
|
7
|
0,585
|
2.58
|
6,44
|
|
Группа из 5 домов (Д-5)
|
4
|
0,53
|
2.92
|
7,29
|
|
Группа из 6 домов (Д-6)
|
4
|
0.47
|
3.62
|
9.05
|
Составляем
расчетную схему зон, с нанесением мощностей и длин участков.
Рис 5.1 Расчетная схема ВЛ 0,38 кВ.
Определение
расчетных нагрузок. Находим расчетную мощность - если мощность не отличается в
4 раза, то по формуле 
,в
обратном случае по формуле 
.
Линия Л1 (Фидер 1) вечерняя нагрузка:
Участок
сети Расчет максимальной нагрузки
-6
8-6 
-6
-5
-4 
-1
-2
-1
-ТП 
Аналогичным образом рассчитываем линии, сводим в таблицу 5.2.
Определение
средневзвешенного коэффициента мощности.
Далее рассчитываем средневзвешенный коэффициент мощности по следующей
формуле:
где Pi - расчетная мощность i-го потребителя, кВт;ji - коэффициент мощности i-го
потребителя.
Пользуясь расчетной схемой, определяем средневзвешенный коэффициент
мощности:
|
Участок сети
|
Расчет коэффициента
мощности
|
|
9-6
|
|
|
8-6
|
|
|
7-6
|
|
|
6-5
|
|
|
5-4
|
|
|
4-1
|
|
|
3-2
|
|
|
2-1
|
|
|
1-ТП
|
|
Аналогичным образом рассчитываем линии, сводим в таблицу 5.2.
Определение
полной мощности на участках.
Определяем полную мощность по формуле:
где Рр - расчетная мощность на участке, кВт;j - коэффициент мощности на участке,
о.е.
Участок сети 9 - 6:
Аналогичным образом определяем полную мощность на других участках сети.
Полученные значения сводим в таблицу 5.2.
Определение
расчетного тока на одну фазу
Затем определяем расчетный ток по следующей формуле:
где Sр - расчетная мощность на участке, кВА;

-
линейное напряжение сети, кВ.
Получаем:
Участок сети 9 - 6:
Аналогичным образом определяем эквивалентную мощность на других участках
сети. Полученные значения сводим в таблицу 5.2.
Таблица 5.2 Результаты расчетов полной и эквивалентной мощностей.
|
Участок сети
|
Pв, кВт
|
сos𝜑, о.е.
|
S, кВА
|
Iр, А
|
|
Линия 1 (Фидер 1)
|
|
9--6
|
5,97
|
0,93
|
6,42
|
9,75
|
|
8--6
|
6,76
|
0,93
|
7,27
|
11,05
|
|
7--6
|
5,97
|
0,93
|
6,42
|
9,75
|
|
6--5
|
11,97
|
0,93
|
12,87
|
19,55
|
|
5--4
|
14,05
|
0,93
|
15,11
|
22,96
|
|
4--1
|
15,02
|
0,93
|
16,15
|
24,54
|
|
3--2
|
6,76
|
0,93
|
7,27
|
11,05
|
|
2--1
|
12,9
|
0,97
|
13,3
|
20,21
|
|
1-ТП
|
22,87
|
0,95
|
24,07
|
36,57
|
|
Линия 2 (Фидер 2)
|
|
19-17
|
7,65
|
0,93
|
8,23
|
12,5
|
|
18-17
|
1,5
|
1
|
1,5
|
2,28
|
|
17-16
|
9,15
|
0,95
|
9,63
|
14,63
|
|
16-13
|
12,75
|
0,94
|
13,56
|
20,6
|
|
15-13
|
5,97
|
0,93
|
6,42
|
9,75
|
|
14-13
|
11,25
|
0,93
|
12,1
|
18,38
|
|
13--10
|
23,2
|
0,93
|
24,95
|
37,91
|
|
12--11
|
7,65
|
0,93
|
8,23
|
12,5
|
|
11--10
|
11,475
|
0,93
|
12,34
|
18,75
|
|
10-ТП
|
30,2
|
0,93
|
32,47
|
49,33
|
|
Линия 3 (Фидер 3)
|
|
26-24
|
6,76
|
0,93
|
7,27
|
11,05
|
|
25-24
|
7,65
|
0,93
|
8,23
|
12,5
|
|
24-23
|
10,81
|
0,93
|
11,62
|
17,65
|
|
23-22
|
11,78
|
0,93
|
12,67
|
19,25
|
|
22-21
|
13,91
|
0,93
|
14,96
|
22,73
|
|
21-20
|
19,91
|
0,9
|
22,12
|
33,61
|
|
20-ТП
|
23,51
|
0,91
|
25,84
|
39,26
|
Предварительное
определение сечения проводов на участках линии.
В целях удобства монтажа и эксплуатации ВЛ рекомендуется применять не
более 3 - 4 сечений.
Толщина слоя гололеда b = 10мм. Для 1 группы по скоростному напору Vветра
= 16 м/с и наибольшей стреле провеса. Температура окружающей среды t=250C.
Для выбора сечения проводов используем таблицу 10 [2,2].
Подбираем:
Участок сети 9 - 6:
Расчетный ток на участке: 14,78 А, что менее допустимого тока нагрузки, Iнагр=115А.
Выбираем провод СИП-4 4x35+1x25 (т.к. по минимально допустимой
прочности сечение для ВЛ 0.38кВ - 35мм2).
Аналогичным образом предварительно подбираем сечения проводов для других
участков. Результаты сводим в таблицу 5.3.
Таблица 5.3 Предварительное определение сечения проводов на участках линии.
|
Участок сети
|
Расчетный ток нагрузки, А
|
Марка провода
|
Допустимый ток нагрузки, А
|
|
Линия 1 (Фидер 1)
|
|
9--6
|
9,75
|
СИП-4 4x35+1x25
|
115
|
|
8--6
|
11,05
|
СИП-4 4x35+1x25
|
115
|
|
7--6
|
9,75
|
СИП-4 4x35+1x25
|
|
6--5
|
19,55
|
СИП-4 4x35+1x25
|
115
|
|
5--4
|
22,96
|
СИП-4 4x35+1x25
|
115
|
|
4--1
|
24,54
|
СИП-4 4x35+1x25
|
115
|
|
3--2
|
11,05
|
СИП-4 4x35+1x25
|
115
|
|
2--1
|
20,21
|
СИП-4 4x35+1x25
|
115
|
|
1-ТП
|
36,57
|
СИП-4 4x35+1x25
|
115
|
|
Линия 2 (Фидер 2)
|
|
19-17
|
12,5
|
СИП-4 4x35+1x25
|
115
|
|
18-17
|
2,28
|
СИП-4 4x35+1x25
|
115
|
|
17-16
|
14,63
|
СИП-4 4x35+1x25
|
115
|
|
16-13
|
20,6
|
СИП-4 4x35+1x25
|
115
|
|
15-13
|
9,75
|
СИП-4 4x35+1x25
|
115
|
|
14-13
|
18,38
|
СИП-4 4x35+1x25
|
115
|
|
13--10
|
37,91
|
СИП-4 4x35+1x25
|
115
|
|
12--11
|
12,5
|
СИП-4 4x35+1x25
|
115
|
|
11--10
|
18,75
|
СИП-4 4x35+1x25
|
115
|
|
10-ТП
|
49,33
|
СИП-4 4x35+1x25
|
115
|
|
Линия 3 (Фидер 3)
|
|
26-24
|
11,05
|
СИП-4 4x35+1x25
|
115
|
|
25-24
|
12,5
|
СИП-4 4x35+1x25
|
115
|
|
24-23
|
17,65
|
СИП-4 4x35+1x25
|
115
|
|
23-22
|
19,25
|
СИП-4 4x35+1x25
|
115
|
|
22-21
|
22,73
|
СИП-4 4x35+1x25
|
115
|
|
21-20
|
33,61
|
СИП-4 4x35+1x25
|
115
|
|
20-ТП
|
39,26
|
СИП-4 4x35+1x25
|
115
|
Определение
потерь напряжения на участках линии.
Потеря напряжения на участке сети определяется по следующей формуле:
где SP - расчетная мощность участка сети,
кВА;

- длина
участка, км;

-
номинальное напряжение на участке, кВ;

-
соответственно, удельные активное и индуктивное сопротивления провода, Ом/км.
Принимаются по таблице 2.2 [10], 

;
Потеря
напряжения на участке сети в процентах определяется по следующей формуле:
Участок
9 - 6:



Аналогичным
образом рассчитываем потери напряжения на остальных участках линии.
Далее
проверяем падения напряжения до наиболее удаленного от ТП потребителя на каждой
линии.
В
случае если получившиеся значения потерь напряжения не удовлетворяют условию:

,
то
увеличиваем на одну ступень сечение проводника на головном участке (
- потеря
напряжения во внешних сетях линии 0,38кВ (таблица 3.1)) Если сечение проводника
на головном участке при предварительном выборе больше, чем на последующих, то
начинаем увеличивать сечение с участка меньшего сечения, следующего после
головного.
Результаты
расчетов сводим в таблицу 5.6.1.
В
нашем случае самые удаленные точками сети являются:
· для линии Л1: 7;
· для линии Л2: 19;
· для линии Л3: 26;
Падения напряжения для участков, связывающих эти точки линии с ТП, будет
определяется следующим образом:
Линия Л1 (Фидер 1):
Линия Л2 (Фидер 2):

Линия
Л3 (Фидер 3):
Получаем:
Линия Л1 (Фидер 1):

.
Линия
Л2 (Фидер 2):

.
Линия
Л3 (Фидер 3):

.
Все
значения падений напряжения, меньше допустимых (
) т.е.
условие выполнено и провода выбраны.
|
Участок сети
|
Pв, кВт
|
сosφ, о.е.
|
S, кВА
|
sinφ, о.е.
|
l, м
|
Марка провода
|
r0, Ом/км
|
x0, Ом/км
|
∆U, В
|
∆U%, %
|
|
Линия 1 (Фидер 1)
|
|
9--6
|
5,97
|
0,93
|
6,42
|
0,37
|
0,065
|
СИП-4А 4x35+1x25
|
0,868
|
0,087
|
0,922
|
0,243
|
|
8--6
|
6,76
|
0,93
|
7,27
|
0,37
|
0,08
|
СИП-4А 4x35+1x25
|
0,868
|
0,087
|
1,285
|
0,338
|
|
7--6
|
5,97
|
0,93
|
6,42
|
0,37
|
0,104
|
СИП-4А 4x35+1x25
|
0,868
|
0,087
|
1,475
|
0,388
|
|
6--5
|
11,97
|
0,93
|
12,87
|
0,37
|
0,088
|
СИП-4А 4x35+1x25
|
0,868
|
0,087
|
2,502
|
0,658
|
|
5--4
|
14,05
|
0,93
|
15,11
|
0,37
|
0,084
|
СИП-4А 4x35+1x25
|
0,868
|
0,087
|
2,804
|
0,738
|
|
4--1
|
15,02
|
0,93
|
16,15
|
0,37
|
0,07
|
СИП-4А 4x35+1x25
|
0,868
|
0,087
|
2,497
|
0,657
|
|
3--2
|
6,76
|
0,93
|
7,27
|
0,37
|
0,108
|
СИП-4А 4x35+1x25
|
0,868
|
0,087
|
1,734
|
0,456
|
|
2--1
|
12,9
|
0,97
|
13,3
|
0,24
|
0,056
|
СИП-4А 4x35+1x25
|
0,868
|
0,087
|
1,691
|
0,445
|
|
1-ТП
|
22,87
|
0,95
|
24,07
|
0,31
|
0,06
|
СИП-4А 4x35+1x25
|
0,868
|
0,087
|
3,236
|
0,852
|
|
Линия 2 (Фидер 2)
|
|
19-17
|
7,65
|
0,93
|
8,23
|
0,37
|
0,096
|
СИП-4А 4x35+1x25
|
0,868
|
0,087
|
1,468
|
0,386
|
|
18-17
|
1,5
|
1
|
1,5
|
0
|
0,028
|
СИП-4А 4x35+1x25
|
0,868
|
0,087
|
0,604
|
0,159
|
|
17-16
|
9,15
|
0,95
|
9,63
|
0,31
|
0,084
|
СИП-4А 4x35+1x25
|
0,868
|
0,087
|
1,476
|
0,388
|
|
16-13
|
12,75
|
0,94
|
13,56
|
0,34
|
0,072
|
СИП-4А 4x35+1x25
|
0,868
|
0,087
|
2,078
|
0,547
|
|
15-13
|
5,97
|
0,93
|
6,42
|
0,37
|
0,088
|
СИП-4А 4x35+1x25
|
0,868
|
0,087
|
2,9
|
0,763
|
|
14-13
|
11,25
|
0,93
|
12,1
|
0,37
|
0,052
|
СИП-4А 4x35+1x25
|
0,868
|
0,087
|
1,883
|
0,496
|
|
13--10
|
23,2
|
0,93
|
24,95
|
0,37
|
0,048
|
СИП-4А 4x35+1x25
|
0,868
|
0,087
|
0,734
|
0,193
|
|
12--11
|
7,65
|
0,93
|
8,23
|
0,37
|
0,12
|
СИП-4А 4x35+1x25
|
0,868
|
0,087
|
2,505
|
0,659
|
|
11--10
|
11,475
|
0,93
|
12,34
|
0,37
|
0,024
|
СИП-4А 4x35+1x25
|
0,868
|
0,087
|
1,027
|
0,27
|
|
10-ТП
|
30,2
|
0,93
|
32,47
|
0,37
|
0,06
|
СИП-4А 4x35+1x25
|
0,868
|
0,087
|
0,239
|
|
Линия 3 (Фидер 3)
|
|
26-24
|
6,76
|
0,93
|
7,27
|
0,37
|
0,13
|
СИП-4А 4x35+1x25
|
0,868
|
0,087
|
2,088
|
0,549
|
|
25-24
|
7,65
|
0,93
|
8,23
|
0,37
|
0,084
|
СИП-4А 4x35+1x25
|
0,868
|
0,087
|
1,527
|
0,402
|
|
24-23
|
10,81
|
0,93
|
11,62
|
0,37
|
0,025
|
СИП-4А 4x35+1x25
|
0,868
|
0,087
|
0,642
|
0,169
|
|
23-22
|
11,78
|
0,93
|
12,67
|
0,37
|
0,064
|
СИП-4А 4x35+1x25
|
0,868
|
0,087
|
1,791
|
0,471
|
|
22-21
|
13,91
|
0,93
|
14,96
|
0,37
|
0,068
|
СИП-4А 4x35+1x25
|
0,868
|
0,087
|
2,247
|
0,591
|
|
21-20
|
19,91
|
0,9
|
22,12
|
0,44
|
0,056
|
СИП-4А 4x35+1x25
|
0,868
|
0,087
|
2,671
|
0,703
|
|
20-ТП
|
23,51
|
0,91
|
25,84
|
0,41
|
0,056
|
СИП-4А 4x35+1x25
|
0,868
|
0,087
|
3,144
|
0,827
|
6. Электрический расчет сети 10кВ
Электрический расчет сети 10кВ производится с целью выбора сечения и
марки проводов линии, питающей ТП, а также проверки качества напряжения у
потребителя. При расчете пользуемся методом расчета электрических сетей по
экономическим интервалам нагрузок.
Рис 6.1 Расчетная схема ВЛ 10 кВ.
Определение
расчетных нагрузок.
Расчетные максимальные нагрузки (отдельно - дневные и вечерние) участков
сети определяются по сумме расчетных мощностей населенных пунктов,
расположенных за этим участком, по следующей формуле:
где Рр - расчетное значение максимальной мощность, кВт;
ΔP - надбавка потребителя меньшей
мощности, кВт;

-
мощность потребителя кВт;
Пользуясь
расчетной схемой высоковольтной сети (рис.6.1)определяем максимальные нагрузки.
|
Участок сети
|
Расчет максимальной
нагрузки
|
|
8--6
|
Рд = Р8д = 54,55 кВт, Рв =
Р8в = 90,81 кВт,
|
|
7--6
|
Рд = Р7д=60 кВт, Рв =
Р7в=120 кВт,
|
|
2--6
|
Рд = Р2д =90 кВт, Рв = Р2в
=110 кВт,
|
|
6--1
|
Рд=Р6д+ΔР7-6д+ΔР2-6д+ΔР8-6д=100+44+67+40,25=251,25 кВт, Рв =Р7-6в+ΔР6в+ΔР2-6в+ΔР8-6в =120+44+82+67,7=313,7 кВт,
|
|
10--9
|
Рд = Р10д=80кВт, Рв =
Р10в=60кВт,
|
|
9--1
|
Р= Р10-9д+ ΔР9д =80+28,4=108,4кВт, Рв = Рв+ ΔР10-9в =100+44=1,44кВт,
|
|
5--4
|
Рд = Р5д =30 кВт, Рв = Р5в
=50 кВт,
|
|
4--3
|
Рд = Р4д + ΔР5-4д = 70+20,4=90,4 кВт, Рв = Р4в + ΔР5-4в = 100+36,5=136,5 кВт,
|
|
3--1
|
Рд = Р3д+ ΔР4-3д = 100+67,3= 167,3кВт, Рв= Р4-3в+ ΔР3в = 136,5+94=230,5кВт,
|
1-ИП Рд
=Р6-1д+
Р1д+
Р9-1д+
Р3-1д =251,25+74,5+80+129= =534,75кВт,
Определение
средневзвешенного коэффициента мощности.
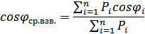
Далее рассчитываем средневзвешенный коэффициент мощности по следующей
формуле:
где Pi - расчетная мощность i - го потребителя, кВт;ji - коэффициент мощности i - го
потребителя, определяется по номограмме 3.1 [6] в зависимости от соотношения
Рп/Р0. Значения cosji
сведены в таблицу 6.1.
Таблица 6.1Значения cosj для всех участков линии.
|
Номер НП
|
Рп/Р0
|
cosjд
|
cosjв
|
|
1
|
0.5
|
0.86
|
0.85
|
|
2
|
0.4
|
0.83
|
0.87
|
|
3
|
0.3
|
0.85
|
0.88
|
|
4
|
0.5
|
0.82
|
0.85
|
|
5
|
0.4
|
0.83
|
0.87
|
|
6
|
0.3
|
0.85
|
0.88
|
|
7
|
0.5
|
0.82
|
0.88
|
|
8
|
-
|
0.86
|
0.81
|
|
9
|
0.6
|
0.79
|
0.83
|
|
10
|
0.5
|
0.82
|
0.85
|
Пользуясь расчетной схемой, определяем средневзвешенный коэффициент
мощности:
Участок сети 8 - 6:
сosjд = сosj8д =0,86,
сosjв = сosj8в =0,82 ,
Участок сети 7 - 6:
сosjд = сosj7д =0,82,
сosjв =.сosj7в=0,85,
Участок сети 2 - 6:
сosjд = сosj2д=0,83,
сosjв =.сosj2в=0,87,
Участок сети 6 - 1:
сosjд =(Р8-6д.сosj8-6д+ Р7-6д.сosj7-6д+ Р2-6д.сosj2-6д + Р6д.сosj6д)/(Р8-6д+Р7-6д+ Р2-6д +Р6д)=(54,55*0,86+60*0,86+90*0,83+100*0,85)/(54,55+60+90+100)=
0,84,
сosjв = (Р8-6в.сosj8-6в+ Р7-6в.сosj7-6в+ Р2-6в.сosj2-6в + Р6в.сosj6в)/(Р8-6в+Р7-6в+ Р2-6в
+Р6в)=(90,81*0,88+120*0,85+110*0,87+60*0,88)/()= 0,87,
Участок сети 10 - 9:
сosjд =.сosj10д=0,82,
сosjв =сosj10в=0,85,
Участок сети 9 - 1:
сosjд = (Р10-9д.сosj10-9д+ Р9д.сosj9д)/(Р10-9д+Р9д) =(80*0,85+40*0,79)/ /(80+40)=0,81,
сosjв = (Р10-9в.сosj10-9в+ Р9в.сosj9в)/(Р10-9в+Р9в) =(60*0,85+100*0,83)/ /(60+100)=0,84,
Участок сети 5 - 4:
сosjд = .сosj5д=0,83,
сosj4-10д =.сosj5в=0,87,
Участок сети 4 - 3:
сosjд = (Р5-4д.сosj5-4д+ Р4д.сosj4д)/(Р5-4д+ Р4д)=(30*0,83+70*0,82)/ /(30+70)=0,82,
сosjв = (Р5-4в.сosj5-4в+ Р4в.сosj4в)/(Р5-4в+ Р4в)=(50*0,87+100*0,85)/ /(50+100)=0,86,
Участок сети 3 - 1:
сosjд =(Р4-3д.сosj4-3д+ Р3д.сosj3д)/(Р4-3д+ Р3д)= (90,4*0,82+100*0,85)/ /(90,4+100)=0,84,
сosjв =(Р4-3в.сosj4-3в+Р3в.сosj3в)/(Р4-3в+Р3в)=(136,5*0,86+125*0,88)/ /(136,5+125)=0,87,
Участок сети 1 - ИП:
сosjд = (Р6-1д.сosj6-1д+ Р9-1д.сosj9-1д+ Р3-1д.сosj3-1д+
Р1д.сosj1д)/(Р6-1д+Р9-1д+Р3-1д +Р1д)=
(251,25*0,84+108,4*0,81+167,3*0,84+100*0,86)/(251,25+ +108,4+167,3+100)=0,84,
сosjв = (Р6-1в.сosj6-1в+ Р9-1в.сosj9-1в+ Р3-1в.сosj3-1в+
Р1в.сosj1в)/(Р6-1в+Р9-1в+
+Р3-1в +Р1в)= (313,7*0,87+144*0,84+230,5*0,87+150*0,85)/(313,7+
+144+230,5+150)=0,86,
Полученые расчеты заносим в таблицу 6.2
Определение
полных мощностей на участках сети.
Далее, определяем полную расчетную мощность на всех участках сети, кВА по
следующей формуле:
где Рр - расчетная мощность на участке, кВт;j - коэффициент мощности.
Участок сети 8 - 6:
Аналогичным образом определяем полную мощность на других участках сети.
Полученные значения сводим в таблицу 6.2.
Определение
расчетного тока на одну фазу
Затем определяем расчетный ток по следующей формуле:
где Sр - расчетная мощность на участке, кВА;

-
линейное напряжение сети, кВ.
Участок сети 8 - 6:
Аналогичным образом определяем расчетный ток на других участках сети.
Полученные значения сводим в таблицу 6.2.
Таблица 6.2.Результаты расчетов полной и эквивалентной мощностей.
|
Участок сети
|
Pд, кВт
|
Pв, кВт
|
COSд, о.е.
|
COSв, о.е.
|
Sд, кВА
|
Sв, кВА
|
Iрд, А
|
Iрв, А
|
|
8-6
|
54,55
|
90,81
|
0,86
|
0,88
|
63,43
|
103,19
|
3,66
|
5,96
|
|
7-6
|
60
|
120
|
0,82
|
0,85
|
73,17
|
141,18
|
4,22
|
8,15
|
|
2-6
|
90
|
110
|
0,83
|
0,87
|
108,43
|
126,44
|
6,26
|
7,3
|
|
6-1
|
251,25
|
313,7
|
0,84
|
0,87
|
299,11
|
360,57
|
17,27
|
20,82
|
|
10-9
|
80
|
60
|
0,82
|
0,85
|
97,56
|
70,59
|
5,63
|
4,08
|
|
9-1
|
108,4
|
144
|
0,81
|
0,84
|
133,83
|
171,43
|
7,73
|
9,9
|
|
5-4
|
30
|
50
|
0,83
|
0,87
|
36,14
|
57,47
|
2,09
|
3,32
|
|
4-3
|
90,4
|
136,5
|
0,82
|
0,86
|
110,24
|
158,72
|
6,36
|
9,16
|
|
3-1
|
167,3
|
230,5
|
0,84
|
0,87
|
199,17
|
264,94
|
11,5
|
15,3
|
|
1-ИП
|
534,75
|
715,7
|
0,84
|
0,86
|
636,61
|
832,21
|
36,75
|
48,05
|
Предварительное
определение сечения проводов на участках линии.
В целях удобства монтажа и эксплуатации ВЛ рекомендуется применять не
более 3 - 4 сечений.
Толщина слоя гололеда b = 10 мм. Т.к. рассчитываемая линия - 10кВ, то
повторяемость - 1 раз в 10 лет [5]. Район по гололеду - II [5].
Для выбора сечения проводов используем приложение 11 [2,4].
Провода выбираем самонесущие изолированные для линий 6-20кВ -
СИП-3.
Подбираем:
Участок 8 - 6:
Максимальный расчетный ток 5,96 А, по таблице 2,4 приложения 11 выбираем
сечение 35мм2 (учитываем, что по минимально допустимой прочности сечение для ВЛ
10кВ - 35мм2)
Аналогичным образом предварительно подбираем сечения проводов для других
участков. Результаты сводим в таблицу 6.3.
Таблица 6.3 Предварительное определение сечения проводов на участках
линии
|
Участок линии
|
Расчетный ток на одну фазу,
А
|
Марка провода
|
Допустимый ток нагрузки, А
|
|
8-6
|
5,96
|
СИП-3 3x35
|
200
|
|
7-6
|
8,15
|
СИП-3 3x35
|
200
|
|
2-6
|
7,3
|
СИП-3 3x35
|
200
|
|
6-1
|
20,82
|
СИП-3 3x35
|
200
|
|
10-9
|
4,08
|
СИП-3 3x35
|
200
|
|
9-1
|
9,9
|
СИП-3 3x35
|
200
|
|
5-4
|
3,32
|
СИП-3 3x35
|
200
|
|
4-3
|
9,16
|
200
|
|
3-1
|
15,3
|
СИП-3 3x35
|
200
|
|
1-ИП
|
48,05
|
СИП-3 3x35
|
200
|
Определение
потерь напряжения на участках линии.
Потеря напряжения на участке сети определяется по следующей формуле:
где SP - расчетная мощность участка сети,
кВА;

- длина
участка, км;

-
номинальное напряжение на участке, кВ;

-
соответственно, удельные активное и индуктивное сопротивления провода, Ом/км,
принимаются по таблице приложений 2.6 и 2.7 [11].
Потеря
напряжения на участке сети в процентах определяется по следующей формуле:
Участок
8 - 6:
Аналогичным
образом рассчитываем потери напряжения на остальных участках линии. Результаты
расчетов сводим в таблицу 6.4.
|
Участок сети
|
Pд, кВт
|
Pв, кВт
|
COSд, о.е.
|
COSв, о.е.
|
Sд, кВА
|
Sв, кВА
|
l, км
|
∆Uд%
|
∆Uв%
|
Марка провода
|
|
8-6
|
54,55
|
90,81
|
0,86
|
0,88
|
63,43
|
103,19
|
1,8
|
0,1143
|
0,1874
|
СИП-3 3x35
|
|
7-6
|
60
|
120
|
0,82
|
0,85
|
73,17
|
141,18
|
0,9
|
0,0645
|
0,1267
|
СИП-3 3x35
|
|
2-6
|
90
|
110
|
0,83
|
0,87
|
108,43
|
126,44
|
1,25
|
0,1337
|
0,1588
|
СИП-3 3x35
|
|
6-1
|
251,25
|
313,7
|
0,84
|
0,87
|
299,11
|
360,57
|
2,5
|
0,7405
|
0,9058
|
СИП-3 3x35
|
|
10-9
|
80
|
60
|
0,82
|
0,85
|
97,56
|
70,59
|
1,68
|
0,1605
|
0,1182
|
СИП-3 3x35
|
|
9-1
|
108,4
|
144
|
0,81
|
0,84
|
133,83
|
171,43
|
2,7
|
0,3525
|
0,4583
|
СИП-3 3x35
|
|
5-4
|
30
|
50
|
0,83
|
0,87
|
36,14
|
57,47
|
1,58
|
0,0563
|
0,0912
|
СИП-3 3x35
|
|
4-3
|
90,4
|
136,5
|
0,82
|
0,86
|
110,24
|
158,72
|
1,5
|
0,162
|
0,2383
|
СИП-3 3x35
|
|
3-1
|
167,3
|
230,5
|
0,84
|
0,87
|
199,17
|
264,94
|
1,8
|
0,355
|
0,4792
|
СИП-3 3x35
|
|
1-ИП
|
534,75
|
715,7
|
0,84
|
0,86
|
636,61
|
832,21
|
2,12
|
1,3364
|
1,766
|
СИП-3 3x35
|
Падения напряжения проверяем до заданного пункта. В нашем случае наиболее
протяженный участок 2 - ИП. Остальные участки нет необходимости проверять, так
как на этом участке наибольшая мощность. Падение напряжение для этого участка
будет определяется следующим образом:
Для участка 2-ИП:
Получаем:
Проверяем
условие 
где DUдоп - потеря напряжения в сети 10 кВ (таблица 3.2), DUдоп = 6%.
Так
как условие 6 ≥ 2.8306 выполняется, делаем вывод, что сечения и марки
проводов выбраны верно и остаются без изменений.
7.
Определение потерь энергии
Потери в
линии 0,38 кВ расчитываем по формуле:
Участок 9 - 6 :
Предварительно
находим значения
, Т по зависимости годового числа использования
максимальной нагрузки от потребления электроэнергииуч =6.42 кВА, следовательно
Т=1300 ч , и по графику находим
=565 ч.
Остальные расчеты сети 0,38 кВ проводим аналогично, а результаты сводим в
таблицу7.1.
Таблица 7.1 Результаты расчетов сети 0,38 кB
|
Участок сети
|
ro, Ом/км
|
l,км
|
Т,ч
|
τ,
ч
|
Sуч, кВА
|
∆W, кВт·ч
|
|
Линия 1 (Фидер 1)
|
|
9--6
|
0,868
|
0,065
|
1300
|
565
|
6,42
|
9,1
|
|
8--6
|
0,868
|
0,08
|
1300
|
565
|
7,27
|
14,36
|
|
7--6
|
0,868
|
0,104
|
1300
|
565
|
6,42
|
14,56
|
|
6--5
|
0,868
|
0,088
|
1700
|
757
|
12,87
|
66,33
|
|
5--4
|
0,868
|
0,084
|
1700
|
757
|
15,11
|
87,27
|
|
4--1
|
0,868
|
0,07
|
1700
|
757
|
16,15
|
83,08
|
|
3--2
|
0,868
|
0,108
|
1300
|
565
|
7,27
|
19,39
|
|
2--1
|
0,868
|
0,056
|
1700
|
757
|
13,3
|
45,08
|
|
1-ТП
|
0,868
|
0,06
|
1700
|
757
|
24,07
|
158,18
|
|
Линия 2 (Фидер 2)
|
|
19-17
|
0,868
|
0,096
|
1300
|
565
|
8,23
|
22,08
|
|
18-17
|
0,868
|
0,028
|
1300
|
565
|
1,5
|
0,21
|
|
17-16
|
0,868
|
0,084
|
1300
|
565
|
9,63
|
26,46
|
|
16-13
|
0,868
|
0,072
|
1700
|
757
|
13,56
|
60,24
|
|
15-13
|
0,868
|
0,088
|
1300
|
565
|
6,42
|
12,32
|
|
14-13
|
0,868
|
0,052
|
1700
|
757
|
12,1
|
34,64
|
|
13--10
|
0,868
|
0,048
|
1700
|
757
|
24,95
|
135,97
|
|
12--11
|
0,868
|
0,12
|
1300
|
565
|
8,23
|
27,6
|
|
11--10
|
0,868
|
0,024
|
1700
|
757
|
12,34
|
16,63
|
|
10-ТП
|
0,868
|
0,06
|
2200
|
1037
|
32,47
|
394,32
|
|
Линия 3 (Фидер 3)
|
|
26-24
|
0,868
|
0,13
|
1300
|
565
|
7,27
|
23,34
|
|
25-24
|
0,868
|
0,084
|
1300
|
565
|
8,23
|
19,32
|
|
24-23
|
0,868
|
0,025
|
1700
|
757
|
11,62
|
15,36
|
|
23-22
|
0,868
|
0,064
|
1700
|
757
|
12,67
|
46,75
|
|
22-21
|
0,868
|
0,068
|
1700
|
757
|
14,96
|
69,25
|
|
21-20
|
0,868
|
0,056
|
1700
|
757
|
22,12
|
124,68
|
|
20-ТП
|
0,868
|
0,056
|
2200
|
1037
|
25,84
|
Общая сумма потерь линий
Фидер№1: 
Фидер№2: 
Фидер
№3: 
Общая
потеря сети 380 В: 
Потери в
линии 10 кВ расчитываем по формуле:
Участок 8-6:
Предварительно
находим значения
, Т по зависимости годового числа использования
максимальной нагрузки от потребления электроэнергии Sуч = 103.19 кВА,
следовательно Т=2800 ч, и по графику нахожу
=1950 ч.
Остальные
расчеты сети 10 кВ проводим аналогично, а результаты сводим в таблицу7.2.
Таблица
7.1 Результаты расчетов сети 10 кB
|
Участок сети
|
ro, Ом/км
|
l,км
|
Т,ч
|
τ,
ч
|
Sуч(в), кВА
|
∆W, кВт·ч
|
|
8-6
|
0,986
|
1,8
|
2800
|
1950
|
103,19
|
368,52
|
|
7-6
|
0,986
|
0,9
|
2800
|
1950
|
141,18
|
344,91
|
|
2-6
|
0,986
|
1,25
|
2800
|
1950
|
126,44
|
384,23
|
|
6-1
|
0,986
|
2,5
|
3200
|
2000
|
360,57
|
6409,53
|
|
10-9
|
0,986
|
1,68
|
2200
|
1037
|
70,59
|
85,6
|
|
9-1
|
0,986
|
2,7
|
2800
|
1950
|
171,43
|
1525,63
|
|
5-4
|
0,986
|
1,58
|
2200
|
1037
|
57,47
|
53,36
|
|
4-3
|
0,986
|
1,5
|
2800
|
1950
|
158,72
|
726,55
|
|
3-1
|
0,986
|
1,8
|
3200
|
2000
|
264,94
|
2491,58
|
|
1-ИП
|
0,986
|
2,12
|
3400
|
2100
|
832,21
|
30401,7
|
|
Общие потери 10кВ
|
42791,6
|
Потери в
трансформаторе.
Потери энергии за год ∆W в трансформаторе складываются из потерь в обмотках трансформатора (∆РК)
и потери в стали (РХ.Х). Потери в обмотках при номинальной нагрузке принимаются
равными потерям короткого замыкания (РК), тогда
где ∆РК, ∆РХ.Х - принимаем из приложения 19 [5] в зависимости
от параметров трансформатора
Smax -
максимальная полная нагрузка трансформатора, кВ·А
SН -
номинальная мощность трансформатора, кВ·А
τ - время максимальных потерь, ч
- число часов в году.



Общие
потери в сети равны:
8. Расчет токов короткого замыкания
Составляем
расчетную схему
ST = 100 кВ·А, ∆Рк=1,97кВт
∆UК% =
4,5%, Zкз(1)=0,779 Ом
Рис. 8.1. Расчетная схема.
Задаемся
базисными значениями
SБ=100
МВА; UБВ=1,05UН=10,5 кВ; UБН=0,4
кВ.
Составляем схему замещения
ХС
ZT
Определяем
относительные базисные сопротивления
Система:

Определяем
сопротивление линии 10кВ
индуктивное

активное 
Трансформатор:

т.к его
величина очень мала
ВЛ
- 0,4 кВ:
Определяем
результирующее сопротивление до точки К1
К1
Z*K1
Определяем
базисный ток в точке К1
Определяем
токи и мощность к.з. в точке К1.
где КУ - ударный коэффициент, при к.з. в сетях 10кВ КУ=1,2, а 0,38 кВ
КУ=1.
Определяем
результирующее сопротивление до точки К2
К2
Z* K1
Определяем
базисный ток в точке К2
Определяем
токи и мощность к.з. в точке К2.
Определяем
результирующее сопротивление до точки К3
К3
Z*K3
Определяем
базисный ток в точке К3
Определяем
токи и мощность к.з. в точке К1.
Однофазный
ток к.з. определяем в именованных единицах
где


- полное
сопротивление петли;

-
сопротивление трансформатора току однофазного к.з., Ом.

Результаты
расчетов сводим в таблицу
Таблица
8.1 Результаты расчета токов к.з.
|
№ п/п
|
Место к.з.
|
Iк(3), кА
|
Iк(2), кА
|
Iк(1), кА
|
iук, кА
|
Sк(3), кВА
|
|
1
|
К1
|
0,911
|
0,793
|
-
|
1,546
|
16,568
|
|
2
|
К2
|
3,057
|
2,66
|
-
|
4,323
|
2,118
|
|
3
|
К3
|
0,619
|
0,539
|
0,23
|
0,875
|
0,429
|
9. Конструктивное выполнение линий 10 и 0,38 кВ,
трансформаторных подстанций 10/0,4 кВ
Конструктивно воздушные линии электропередачи напряжением до 1 кВ с
самонесущими изолированными проводами (ВЛИ) представляют собой воздушные линии
электропередачи, выполненные на опорах с применением железобетонных, деревянных
или металлических стоек, а также возможно к стенам зданий. К опорам или стенам
посредством специальной арматуры подвешены самонесущие изолированные провода
(СИП). Крепление СИП к опорам осуществляется в основном с помощью
металлоконструкций (крюков, бандажных лент и др.), поддерживающих и натяжных
зажимов. Соединения и ответвления проводов осуществляется с помощью
соединительных и ответвительных зажимов.
Конструкция СИП состоит из нулевого и фазных проводников, покрытых
изоляционной оболочкой и скрученных в один жгут. Изоляционная оболочка может
быть выполнена из светостабилизационного термопластичного или сшитого
полиэтилена (XLPE-кабеля). Дополнительно к фазным проводникам в жгут могут быть
включены 1-2 изолированные проводника для уличного освещения или контрольные
кабели. В настоящее время распространены три основные системы СИП напряжением
до 1 кВ.
Первая система самонесущих изолированных проводов напряжением до 1 кВ
представляет собой изолированные фазные проводники, скрученные вокруг
неизолированного нулевого проводника (жилы), который является несущим элементом
конструкции. Подвеска жгута осуществляется за нулевой проводник. Нулевой
проводник изготавливается из термоупроченного алюминиевого сплава, фазные
проводники - из алюминия. Сечение нулевого несущего проводника, как правило, на
одну ступень больше сечения фазных проводников.
Вторая система самонесущих изолированных проводов напряжением до 1 кВ с
изолированным нулевым несущим проводником (жилы) отличается от первой наличием
изоляционного покрова на нулевом несущем проводнике.
Третья система самонесущих изолированных проводов напряжением до 1 кВ без
несущего элемента (жилы) состоит из проводников одинакового сечения, покрытых
изоляционной оболочкой и скрученных между собой. Все проводники, в том числе и
нулевой изготавливается из алюминия. Подвеска жгута на промежуточных опорах и
закрепление на анкерных осуществляется за все проводники одновременно.
Система защищенных проводов напряжением 6-20 кВ представляет собой
воздушные линии электропередачи, выполненные на опорах с применением
железобетонных или металлических стоек, реже - деревянных. На опорах
посредством специальной арматуры подвешены защищенные провода. Крепление
проводов к опорам осуществляется в основном с помощью траверс (оголовков) и
изоляторов. Соединение и ответвления проводов осуществляется с помощью
соединительных и ответвительных зажимов. Помимо линейной арматуры неотъемлемой
частью конструкций опор являются устройства грозозащиты ВЛЗ.
Воздушные линии электропередачи могут включать марки проводов как
иностранных государств, так и российских производителей.
Марки проводов распространенные в настоящее время:
АМКА производства Финляндии, СИП-1, СИП-2 (ТУ 16.К-71-268-98) с
неизолированным несущим нулевым проводником;
АМКА-Т производства Финляндии, TORSADA - Франции, СИП-1А, СИП-2А, СИП-2
(ГОСТ Р 52373-2005) с изолированным несущем нулевым проводником;
ALUS производства Швеции, ЕХ - Норвегии, AsXS, AsXSn - Польши, СИП-4,
СИПн-4, СИПс-4, СИП-2AF без несущего элемента;
SAX, SAX-W производства Финляндии, СИП-3, ЗАЛП, ЗАЛП-В - защищенные
изолированные провода.
Защищенные провода изготавливаются из термоупрочненного алюминиевого
сплава. Провод покрыт изолирующей оболочкой из атмосферостойкого
светостабилизированного полиэтилена и имеет круглую форму сечения. В
конструкции провода может присутствовать водонабухающий слой, расположенный под
изолирующей оболочкой. Водонабухающий слой, предназначен для защиты провода от
проникновения атмосферной влаги.
Опоры устанавливаются согласно проекту на ВЛИ и могут
реализовы-ваться на основе стоек:
железобетонных (типа СВ95 и СВ85),
деревянных (типа С1 и С2),
или металлических.
Для электроснабжения населенных пунктов широко применяются закрытые
трансформаторные подстанции (ЗТП) 10/0,38 кВ. Конструктивно ЗТП могут быть
выполнены в виде кирпичных одно и двухэтажных зданий с распределительными
устройствами высшего и низшего напряжений и трансформаторным отделением. В ЗТП
в основном установлены два абсолютно одинаковых силовых трансформатора, один
рабочий а второй - резервный.
10. Защита от перенапряжений
Защита оборудования подстанций от перенапряжений осуществляется
вентильными разрядниками типа РВП -10 со стороны высшего напряжения и типа РВН
- 0,5 со стороны 0,4 кВ. Кроме этого типа разрядников для защиты линейной
изоляции и срезания амплитуды волн перенапряжений применяются трубчатые
разрядники типа РТ или РТВ на линиях высшего напряжения и искровые промежутки (совмещенные
с повторными заземлениями нулевого рабочего проводника) на стороне низшего
напряжения.
При наличии кабельных вставок длиной до 100 метров в сетях 10 кВ и выше
(выводы на подстанцию, проходы под ответственными шоссейными и железными
дорогами и т.д.) устанавливается один комплект разрядников либо на шинах
подстанции, либо на опоре, где воздушная линия переходит в кабельную. Если
подстанция имеет несколько кабельных выводов, то комплект разрядников
устанавливается на каждом вводе. Причем, при длине ввода более 100м они
устанавливаются на шинах потребительской подстанции, имеющей общий учет
электроэнергии.
11. Выбор аппаратуры подстанции
После выбора типа и мощности ТП, расчета токов короткого замыкания
производим выбор оборудования ТП.
Для обеспечения надежной работы электрические аппараты должны быть
выбраны по условиям максимального рабочего режима и проверены по режиму токов
короткого замыкания.
Составляем схему электрических соединений подстанции (Рисунок 10.1), на
которой показываем все основные электрические аппараты. Расчет сводится к
сравнению каталожных величин аппаратов с расчетными.
Рисунок 10.1
В соответствии с ПУЭ электрические аппараты выбирают по следующим
параметрам:
. Разъединители выбирают по:
номинальному
напряжению: 
;
·
конструкции и
роду уставок;
номинальному
току: .
;
условию
динамической устойчивости: 
;
условию
термической устойчивости: 
.
2. Плавкие предохранители выбирают по:
номинальному
напряжению: 
;
·
номинальному току
плавкой вставки;
·
роду установки;
предельному
отключающему току: 
.
3. Разрядники выбирают по:
номинальному
напряжению: 
.;
·
защитным
характеристикам.
4. Рубильники выбирают по:
номинальному
напряжению: 
номинальному
току: 
;
5. Автоматические выключатели выбирают по:
- номинальному
напряжению: 
;
номинальному
току: 
;
проверке
на динамическую устойчивость: 
;
току
теплового расцепителя: 
;
току
электромагнитного расцепителя: 
.
Расчет ведем по первой зоне.
Таким образом для выбора электрической аппаратуры нам необходимо
рассчитать следующие параметры:
·
фиктивное время
отключения определяется следующим образом:
где tзащ. - выдержка времени защиты на
питающей стороне линии 10кВ, принимаем для МТЗ tзащ. = 1.2c;
tв. -
собственное время отключения выключателя, принимаем tв. = 0,2с.
Получаем:
Далее, используя полученные значения, производим выбор аппаратуры.
Результаты выбора сводим в таблицы.
Выбор разъединителя
Выбор предохранителя
|
Расчетные значения
|
ПКТ101-10-10-31,5 У3
|
|
Внутренняя установка
|
Внутренняя установка
|
Выбор рубильника
Выбор автоматических выключателей
Для фидера №1
Для фидера №2
Для фидера №3
12. Расчет контура заземления ТП 10/0.4 кВ
На ВЛ до 1000 В с заземленной нейтралью должны быть заземлены крюки или
штыри фазных проводов и нулевого через 120 м. Сопротивление заземления должно
быть не более 30 Ом. Эти заземлители могут рассматриваться как повторное
заземление нулевого провода. Такое заземление обязательно делается на опорах с
ответвлением к вводу в здание, где имеются большие хозяйственные ценности. При
этом предыдущее заземление должно от концевой опоры с заземлением не более чем
на 100 м.
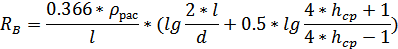
Определяем сопротивление грунта для стержневых заземлителей:
Где
к1 - коэффициент сезонности. Для РБ принимаем 
=1,15;
к2 - коэффициент учитывающий состояние грунта при измерении.
При средней увлажненности и принимаем к2=1.



Сопротивление
вертикального заземлителя из круглой стали:
где
-
расчетное удельное сопротивление грунта, Ом*м;- длина электрода, м;- диаметр
стержня, м;

-
глубина заложения, м.
Примем l = 5 м, d =0,012 м,
= 3,3 м.
Общее сопротивление всех повторных заземлителей:
где

-
количество всех повторных заземлителей присоединенных к данной
сети
(определяем по генплану населенного пункта).
Сопротивление
искусственного заземлителя:
Определяем
число стержней:
Принимаем
3 стержня и располагаем их через 5 м друг от друга.
Сопротивление
полосы связи:
Определяем
действительное число стержней:
Принимаем
3 стержня.
В
соответствие с ПУЭ сопротивление заземляющего устройства при
присоединении
к нему электрооборудования напряжением до и выше 1000 В не должно быть более 10
Ом и 
, если
последнее меньше 10 Ом.
Ток
замыкания на землю в системах с изолированной нейтралью определяют по формуле:

-
номинальное напряжение сети, кВ;

, - длина
электрически связанных воздушных и кабельных линий, включая ответвления, км. (
=2.3 км,

=0 из
схемы сети 10 кВ).
Принимаем
для расчета наименьшее из этих значений 
Сопротивление
заземляющих устройств с учетом повторных заземлений нулевого провода:
Заземление
выполнено правильно.
13. Защита отходящих линий
Основными аппаратами защиты сетей 0,38кВ от кротких замыканий и
перегрузок являются предохранители и автоматические выключатели. Учитывая, что
сеть 0,38кВ работает с глухозаземленной нейтралью, защиту от коротких замыканий
следует выполнить в каждой фазе.
В трансформаторных подстанциях 10/0,4кВ наибольшее распространение
получили автоматические выключатели типов ВА 51,ВА 52,АП50, А3100 и А3700. В
ряде случаев используются блоки «предохранитель - автоматический выключатель»
типа БПВ-31(32…34) с предохранителями ПР-2.
Для защиты от однофазных коротких замыканий в нулевом проводе
устанавливают реле тока типа РЭ5+1Т, действующее на независимый расцепитель.
14. Литература
1. Расчёт электрических нагрузок в сетях
сельскохозяйственного назначения: Метод. пособие для студентов с.х. вузов/ Янукович
Г.И., 2-е изд., - Мн.; БГАТУ, 2004. - 108с.;
ил.
2. Расчёт линий электропередачи
сельскохозяйственного назначения: Учебн. пособие для студентов с.х. вузов/
Янукович Г.И., 2-е издание, доп. - Мн.: БГАТУ, 2004. - 105с.
3. Расчёт токов короткого замыкания и
выбор электрических аппаратов: учеб.-метод. пособие / Г.И.Янукович. - Минск:
БГАТУ, 2007. - 216с.
4. Электромнабжение сельского хозяйства
/И.А.Будзко, Т.Б.Лещинская, В.И.Сукманов. - М.: Колос, 2000. - 536с.
5. Методические указания к выполнению
курсового проекта по дисциплине «Электроснабжение сельского хозяйства», - Мн.,
1985.
6. Неклепаев Б.Н., Крючков И.П.
«Электрическая часть электростанций и подстанций», - М.: Энергоатомиздат, 1989.
7. Справочник по строительству
электрических сетей 0.38 - 35кВ. - М.: Энергоиздат, 1982.
8. Справочник по проектированию
электрических сетей в сельской местности. - М.: Энергия, 1990.
9. Пособие по проектированию воздушных
линий электропередачи напряжением 0,38-20кВ с самонесущими изолированными и
защищенными проводами . Книга 1. Система защищенных проводов напряжением до 1
кВ без отдельного несущего элемента. Ред.2, доп. С-Пб: ENSTO - ОАО «РОСЭП», 2005г.
10.Пособие по
проектированию воздушных линий электропередачи напряжением 0,38-20кВ с
самонесущими изолированными и защищенными проводами . Книга 4. Система
защищенных проводов напряжением 6-20 кВ. Редакция 2. Том 1., С-Пб: ENSTO - ОАО «РОСЭП», 2005г.