Конструкция и прочность авиационных двигателей

  • Вид работы:
    Курсовая работа (т)
  • Предмет:
    Транспорт, грузоперевозки
  • Язык:
    Русский
    ,
    Формат файла:
    MS Word
    716,99 Кб
  • Опубликовано:
    2014-11-22
Вы можете узнать стоимость помощи в написании студенческой работы.
Помощь в написании работы, которую точно примут!

Конструкция и прочность авиационных двигателей

Введение

Данный курсовой проект является результирующим в изучении ряда дисциплин, связанных с изучением ряда специальных дисциплин, таких как сопротивление материалов, термодинамика, теория авиационных двигателей и конструкционные материалы.

На различных этапах разработка курсового проекта идет в той или иной теме или с их взаимодействием, например: на этапе описания двигателя и компоновки силовой схемы используются типовые существующие двигатели аналоги, что подразумевает конструкцию двигателей, на этапе расчета геометрических характеристик - дисциплина теория авиационных двигателей, в ходе изучения которой были получены газодинамические и термодинамические параметры проточных частей двигателя. На этапе расчета на прочность используется сопротивление материалов, конструкционных материалов. При работе с индивидуальным заданием используется опыт эксплуатации двигателей.

1. Анализ возможных конструктивных схем и краткое описание конструкции проектируемого двигателя

Возможную конструкцию проектируемого двигателя частично предопределил курсовой проект по дисциплине «Теория авиационных двигателей», в котором было определены газовоздушные характеристики проточной части, а именно геометрические характеристики проточных частей.

Конструкция проектируемого ДТРД такая же как у многих современных двигателей: входное устройство, вентилятор, КНД с 2 ступенями, 13-ти ступенчатый КВД с поворотными лопатками НА, камера сгорания - трубчато-кольцевая, двухступенчатая ТВД с охлаждаемыми лопатками РК, 4-х ступенчатая ТНД с поворотными лопатками СА, и выходное устройство.

1.1 Общая характеристика двигателя

Унифицированный маршевый двигатель, представляет собой турбореактивный, двухконтурный, двухвальный двигатель со смешением потоков, оборудованный реверсивным устройством в наружном контуре.

.2 Входное устройство

Входное устройство - дозвукового типа предназначено для подвода воздуха к компрессору и преобразования с минимальными потерями кинетической энергии потока в потенциальную энергию давления.

.3 Компрессор

Компрессор двигателя двухкаскадный. Первый каскад представляет собой компрессор низкого давления, который состоит из вентилятора и двух подпорных ступеней. Так как у вентилятора степень сжатия невелика, после него установлены две подпорные ступени для поджатия воздуха перед КВД. Они расположены на одном валу с вентилятором и совместно с турбиной низкого давления.

Второй каскад - 13-ти ступенчатый осевой компрессор высокого давления с развитой механизацией, имеет регулируемый направляющий аппарат первой и второй ступени.

.4 Камера сгорания

Камера сгорания - комбинированная трубчато-кольцевая, состоит из 12 жаровых труб и кольцевого газосборника. В КС установлены 12 двухконтурных топливных форсунок и 2свечи зажигания.

.5 Турбина

Турбина предназначена для привода компрессоров высокого и низкого давлений, вспомогательных агрегатов и состоит из турбины высокого и низкого давления. Лопатки сопловых аппаратов и рабочих колес турбины высокого давления охлаждаемы, а сопловые аппараты и рабочие лопатки четырехступенчатой турбины низкого давления не охлаждаемы.

.6 Выходное устройство

Выходное устройство представляет собой реактивное нерегулируемое, сужающееся сопло, в котором происходит смешение потоков и дальнейшее расширение и ускорение газа.

1.7 Характеристика силовой схемы двигателя

Силовая схема двигателя может быть представлена как композиция силовых схем ротора и корпуса.

Кинематическая схема роторов двигателя состоит из двух не связаных между собой роторных систем:

объединенный ротор низкого давления, включающий вентилятор подпорные ступени и турбину низкого давления.

объединенный ротор высокого давления компрессора и турбины. Силовая схема двигателя схематически представлена на рис.1

Рис 1. Силовая схема двигателя

2. Определение геометрических характеристик проектируемого двигателя

.1 Схема двигателя с указанием рассчитываемых сечений

Схема рассчитываемых сечений показана на рис.2.

Рис.2. Схема расчетных сечений

.2 Расчет проходных сечений газовоздушного тракта двигателя

 , м2

Величины расхода газа , его температуры , и давления  в сечениях известны из курсовой работы по теории авиационных двигателей для взлетного режима при М=0 и Н=0.

Табл.1. Исходные данные для расчета проточных частей газовоздушного тракта

Исходные данные и результаты расчета геометрических х-к проточной части двигателя



вх вент

вых вент

вх кнд

вых кнд

вх квд

вых квд

вх твд

вых твд

вх тнд

вых тнд

P

97272

155635

155635

179612

179612

2431800

2298051

638649

638649

172427

Т

288

298

298

353,85

353,85

808,62

1263,75

950,01

950,01

288,15

q(L)

0,8

0,83

0,85

0,7

0,7

0,35

0,3

0,6

0,6

0,75

m

0,0404

0,0404

0,0404

0,0404

0,0404

0,0404

0,0356

0,0356

0,0356

0,0356

F

1,538445

0,942728

0,204716

0,234718

0,234718

0,052414

0,091802

0,143203

0,143203

0,233693

Dнар

1,483006

1,234198

0,851119

0,631405

0,631405

0,592805

0,649172

0,645732

0,645732

0,682021

Dвн

0,489392

0,567731

0,680895

0,315703

0,315703

0,533525

0,551796

0,484299

0,484299

0,409213

Dср

0,986199

0,900965

0,766007

0,473554

0,473554

0,563165

0,600484

0,565016

0,565016

0,545617

dотн

0,33

0,46

0,8

0,5

0,5

0,9

0,85

0,75

0,75

0,6

h

0,496807

0,333234

0,085112

0,157851

0,157851

0,02964

0,048688

0,080717

0,080717

0,136404

G

285

285

63,38

63,38

63,38

63,38

63,38

63,38

63,38

63,38



Располагая потребными площадями проходных сечений и задаваясь в каждом из расчетных сечений одним относительным диаметром втулки

=Dвн/Dнар

находят остальные размеры (3-6).

Наружный диаметр:

 , м.

Внутренний диаметр:

 , м.

Средний диаметр

 , м

Высота лопатки:

, м.

Для определения диаметральных размеров на выходе из каждого узла в соответствии с прототипом предварительно выбирают конфигурацию проточной части этого узла (Dнар=const; Dвн=const; Dср=const или комбинированные варианты).

Табл.2 Результаты определения диаметральных размеров каждого узла


.3 Определение максимального диаметрального размера двигателя

Определение числа ступеней компрессора и турбины.

Количество ступеней компрессора  находят по работе сжатия в каскаде  , задаваясь средней работой сжатия ступени Lст. Но так как относительные диаметры снимаются с двигателя аналога целесообразно выбрать такое число ступеней как на двигателе аналоге.

камера двигатель компрессор турбина

3. Краткое описание систем двигателя

.1 Топливная система

Система топливопитания предназначена для фильтрации топлива, поступающего в двигатель из самолетных баков, подвода топлива в автоматического управления.

Условно систему топливопитания можно разделить на системы низкого и высокого давления.

В работе топливной системы низкого давления участвуют следующие агрегаты:

центробежный подкачивающий насос,

топливо-масляный теплообменник,

основной топливный фильтр.

3.2 Система регулирования и управления

Система автоматического управления и топивопитания проектируемого двигателя предназначена для :

дозирования топлива в камеру сгорания и управления узлами двигателя на всех режимах его работы (запуск, установившиеся и переменные режимы)

взаимодействие с системами двигателя и самолета.

.3 Масляная система

Масляная система смазки и суфлирования двигателя представляет собой совокупность устройств и агрегатов, измерительных, контрольных и сигнализирующих приборов и коммуникаций, которые обеспечивают:

подвод необходимого количества масла для смазки и охлаждения деталей и узлов трения (подшипиков опор роторов, подшипников и зубьев агрегатов)

охлаждение стенок полостей опор роторов и труб суфлирования,

контроль состояния трущихся пар,

поддержание положительного перепада давления на лабиринтных уплотнениях опор и в маслобаке путем контролируемого сброса некоторой части воздуха, прорывающегося из полостей наддува.

Масляная система циркуляционная. Масло после отчистки, отделения воздуха и охлаждения снова возвращается в двигатель.

Маслосистема выполнена по замкнутому типу, масло после охлаждения и отчистки полностью возвращается в маслобак.

.4 Противообледенительная система

Противообледенительная система двигателя является воздушно-тепловой системой. Система предназначена для предотвращения образования обледенения двигателя и удаления образовавшегося обледенения.

Воздух отбираемый из-за 9 ступени квд подается на обогрев кока и входного устройства двигателя.

.5 Система охлаждения

Система охлаждения - система охлаждения турбины. ТВД охлаждается воздухом высокого давления.

Ротор ТНД и корпуса сопловых аппаратов турбины охлаждается воздухом низкого давления, отбираемым из-за подпорных ступеней компрессора.

3.6 Противопожарная система

Противопожарная система двигателя является частью противопожарной системы самолета. Каждая мотогандолла двигателя оборудована системой сигнализации о пожаре.

.7 Системы контроля параметров работы и технического состояния

Системы контроля параметров работы и технического состояния предназначена для оперативного контроля и диагностирования двигателя на всех этапах его эксплуатации.

Она выполняет следующие функции :

прием, преобразование аналоговых параметров и дискретных сигналов от датчиков и сигнализаторов двигателя,

контроль работы механизации компрессора,

контроль положения реверсивного устройства,

расчет и хранение информации о различных видах наработки двигателя,

контроль часового расхода топлива за полет,

контроль уровня масла при заправке и формирование и выдача сигнала на панель,

формирование признака работающего двигателя.

4. Расчеты на прочность

.1 Расчет на прочность рабочей лопатки

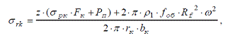
Определение напряжений растяжения от действия центробежных сил.

Первый случай. Площадь сечения лопатки постоянны по высоте.

Ϭ,Па =  Па

Для первого сечения лопатки напряжения

Ϭ,Па =  =8320*(1570^2)*((0,378^2-0,371^2)/2)= 53761638Па

В концевом сечении (R=R0) эти напряжения равны нулю, а в корневом сечении( R=Rk) они достигают максимального значения.

Ϭ== 2*8320*(457^2)*(1-0,2/1+0,2)= 2316831573 Па

Для первого сечения запас статической прочности

k =  =23

Таблица 3. Результаты расчета напряжений для лопатки с постоянной площадь по высоте пера


Таблица 4. Результаты расчета запаса прочности по длинне лопатки


Рис3. График зависимости напряжения по высоте пера лопатки

Рис 4. График зависимости запаса прочности для лопатки с постоянной площадью сечения по высоте

Второй случай. Площадь сечения лопатки изменяется вдоль радиуса по линейному закону.

 

Напряжения растяжения равны


Для первого сечения

= =((8320*(1570^2))/2)*((0,378^2-G16^2-(0,054/3)*(1-(86,1/154,5))*(0,328+2*0,378-(0,328+2*G16)*((G16-0,328)/0,054)^2)))= 20624764,6 Па

Запас прочности для первого сечения

К=1250E+6/20624764,6=60,6068

Таблица 5.Результаты расчета напряжений для лопатки с площадью пера меняющейся вдоль радиуса по линейному закону


Таблица 6 Результаты расчета запаса прочности для лопатки с площадью пера меняющейся вдоль радиуса по линейному закону


Рис 5. График зависимости напряжения по длинне пера лопатки

Рис6 График зависимости запаса прочности по высоте пера лопатки.

Третий случай. Площадь сечения лопатки изменяется по степенному закону.


Напряжения по высоте пера лопатки.

 

Напряжения по высоте пера лопатки для первого сечения

= =8320*1570^2*((0,378^2-G16^2)/2)-0,054*(1-0,557)*(((0,328/(1+0,55))+(0,054/(2+0,55))-((0,328/(1+0,55))+(G16-0,328/(2+0,55))))*(((G16-0,328)/0,054)^1,55)) = 53761638,12 Па

Таблица 7. Результаты расчета напряжений по длине пера лопатки для лопатки с площадью профиля меняющейся по степенному закону


Запас прочности для первого сечения

K=1250E+6/ 53761638,12 = 23,251

Таблица 8 Результаты расчета запаса прочности по высоте пера лопатки с площадью меняющейся по степенному закону


Рис 7 График зависимости напряжений по высоте лопатки

Рис.8 График зависимости запаса прочности по высоте пера лопатки.

Вывод

В первом и во втором случаях запас прочности для корневого сечения, не соответствует потребному, они равны 0,5 и 0,07 соответственно.

В третьем случае степенной закон профилирования обеспечивает потребный запас прочности лопатки при напряжениях от растягивающих центробежных сил и равен 1,5.

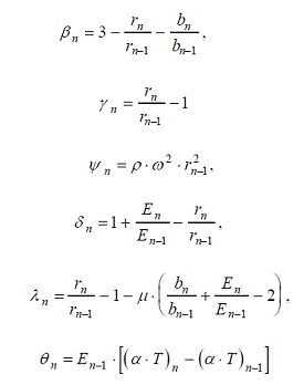
4.2 Расчет на прочность диска

Расчет производится для диска первой ступени турбины высокого давления.

Исходные данные для расчета.

Материал диска и лопатки одинаковы ХН73МБЮТ

ρ1=8320кг/мᵌ  =0  =0  =1  =0

ρ2=8320кг/мᵌ

μ=0,3

Таблица 9 Расчет диска на прочность

Аn

Bn

Cn

Dn

Ϭr, Па

Ϭϕ, Па

Ϭэ, Па

Кᵀτ

Ϭᵀ

0

0

1

0

6,2E+08

3E+08

5,3E+08

2,137

1200000000

0,104477612

-4E+06

0,895522

-1E+06

6E+07

3E+08

2,3E+08

4,983

1201455075

0,189995966

-9E+06

0,810004

-3E+06

1,1E+08

2E+08

2E+08

5,704

1180561791

0,250484558

-1E+07

0,715288

-5E+06

1,4E+08

2E+08

1,8E+08

6,244

1159668508

0,359370249

-2E+07

0,630191

-1E+07

2E+08

2E+08

1,8E+08

5,796

1125716922

0,449649587

-3E+07

0,628124

-1E+07

2,4E+08

2E+08

2,1E+08

4,909

1107435299

0,53645074

-4E+07

-2E+07

2,9E+08

1E+08

2,5E+08

4,193

1094376996

0,634531034

-6E+07

0,529172

-2E+07

3,3E+08

1E+08

2,9E+08

3,508

1081318694

0,771147984

-7E+07

0,479061

-3E+07

4E+08

1E+08

3,6E+08

2,809

1068260392

0,857944993

-9E+07

0,535477

-4E+07

4,4E+08

1E+08

3,9E+08

2,508

1042143787

0,774342132

-1E+08

0,59127

-6E+07

3,6E+08

1E+08

3,2E+08

2,802

950735672

0,763544849

-2E+08

0,590145

-8E+07

3,2E+08

8E+07

2,9E+08

3,133

943220339

0,702601807

-2E+08

0,554904

-1E+08

2,6E+08

6E+07

2,3E+08

2,752

671327684

0,57832077

-2E+08

0,515468

-1E+08

2E+08

5E+07

1,8E+08

3,102

573446328

0,520222016

-2E+08

0,490075

-9E+07

1,7E+08

4E+07

1,5E+08

3,257

508192090

0,283856202

-9E+07

0,409697

-8E+07

8,3E+07

4E+07

7,2E+07

6,134

464689266

0,305253185

-1E+08

0,3986

-8E+07

7E+07

3E+07

6E+07

5,421

345056497


Алгоритм расчета диска на прочнсть от растягивающих центрабежных сил с примерами расчета для сечения И1 с радиусом 0,074м

Температура по радиусу диска

=273+(300+(700-300))*((0,082-0,0695)/0,177)^2=273,4524562

Коэффициенты форм и упругих свойств материала

=0*0,86+1*0,10448=0,104477612

=0*0,816+(0-37348480)*0,10448=0,104477612

Коэффициенты температурных и центробежных нагрузок диска

=1*0,895+0*0,094=0,895

=0*0,895+0*0,09-0,3*37348480*0,104-0=-1170624

=3-1,104-1,03448=0,861039629

=1,104-1=0,104

=8320*(1000^2)*(0,074^2)= 37348480

=1+1-1,104=0,895522388

=1,104-1-0,3*(1,03+1-2)= 0,094132784

=1*((11111*273)-(111111*273))= -28406083,82

Значения радиальных контурных нагрузок

60 377 899,20

Напряжения в корневом сечении

=1/0,104*(60377899-(-3902080))= 615251229,5Па

Радиальные напряжения в сечениях

=0,104*615251229-3902080=60377899,15

Окружные напряжения в сеченях

=0,895*284053657,4+27235459=281611869,4

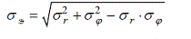
Эквивалентные растягивающие напряжения в сечениях

=((60377899,15^2)+(281611869,4^2)- 60377899,15*281611869,4)^0,5=256802653,1Па

Коэффмциент запаса длительной прочности

=(1212908755/256802653,1)*0,95=4,487

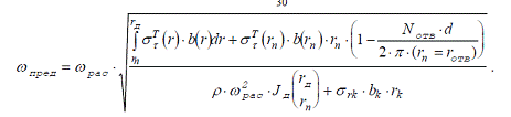
Коэффициент запасса по разрушающей частоте вращения


Коэффициент запаса по меридиальному сечению по разрушающей частоте.

Предельная угловая скорость

=1570,680628*(5555843,262/(8320*1570,680628^2*0,012608795+60 377 899,20*0,058*0,067)^0,5)=542194,1 рад/с

Момент инерции половины поперечного сечения

=Σ ((bn*rn^2+b(n-1)*r(n-1)^2)/2)*(rn-r(n-1))= 0,012608795 м⁴

Коэффициент запаса по цилендрическому сечению для сечений.

Для нулевого сечения

=

=1570*=((487200+12*10^8*0,058*0,067)/(0,000261273*1570^2+60377899*0,058*0,067))^0,5=4,67880419

Напряжения в нулевом сечении =615251229 Па

Радиальные контурные напряжения 60 377 899,20 Па

Таблица 10. Результаты расчета коэффициента запаса прочности по разрушающей частоте

№ сеч.

r,м

b,м

Ϭ,Па

Крв

0

0,067

0,058

1200000000

0,000261273

4,678804

1

0,074

0,06

1201455075

0,000329471

4,980021

2

0,082

0,06

1180561791

0,000404754

5,20151

3

0,09

0,06

1159668508

0,000487614

5,377194

4

0,103

0,05

1125716922

0,000533609

5,260467

5

0,11

0,04

1107435299

0,000485857

4,687985

6

0,115

0,033

1094376996

0,000437635

4,2879

7

0,12

0,027

1081318694

0,000389891

3,935825

8

0,125

0,021

1068260392

0,000329097

3,519492

9

0,135

0,018

1042143787

0,000329691

3,398935

10

0,17

0,018

950735671,6

0,000525941

3,85617

11

0,2

0,0175

943220339

0,000707803

4,007656

12

0,225

0,0184

671327683,6

0,00094025

3,610118

13

0,234

0,0215

573446327,7

0,001181446

3,551402

14

0,24

0,0236

508192090,4

0,001362892

3,520952

15

0,244

0,0343

464689265,5

0,002044804

4,061145

16

0,255

0,0324

345056497,2

0,002118041

3,521188




Σм⁴

0,012608795



Вывод

Расчеты диска первой ступени турбины показали что конструкция работоспособна, в целом имеет запасы прочности удовлетвояющие потребным.

Запас прочности по меридиальному сечению равен 36 что в более чем 25 раз превышает потребный запас прочности. В связи с этим следует пересмотреть профиль диска и уменьшить площади сечений до такого уровня прикотором напряжения в сечениях будут соответствовать нужному запасу прочности k=1,3

5. Индивидуальное задание курсового проектирования

Предложить конструктивные и технологические мероприятия по повышению эксплуатационной надежности камеры сгорания.

Чтобы предложить действительно что-то стоющее в данном вопросе, нужно очень хорошо представлять и понимать процессы которые происходят в КС и их физическую картину, «перелопатить» большую гору информации о повреждаемости КС, которая известна по прошлому опыту эксплуатации. Поэтому рассмотрим успехи и предложения ведущих двигателестроительных организаций.

Успешное решение задачи по созданию перспективной конструкции КС невозможно без применения новыхматериалов и технологий изготовления. В первую очередь это относится к жаровой трубе. Так, для повышения эффективности системы охлаждения требуется материалы с высокой рабочей температурой (1200 С и более), например такие как интерметаллиды и композиционные материалы на основе керамики.

Фирма Rolls-Royce применяет систему охлаждения типа «трансплай» с «толстым» (δ=500…600 мкм) теплозащитным покрытием стенок жаровой трубы. От исходного уровня расход воздуха на охлаждение уменьшается почти в два раза.

Фирма General Electric и Pratt&Whitney внедрили технологию конвективного охлаждения так же с «толстым» теплозащитным покрытием, что дало возможность исключить расход воздуха на пленочное охлаждение, используя его в процессе низкотемпературного горения.

Наиболее радикальным способом снижения расхода охлаждающего воздуха является применение керамики. Фирма Siemens на своих больших цилиндрических камерах сгорания применяет керамические плитки, не связанные жестко с основной конструкцией, а в газосборнике - металлические плитки, покрытые керамикой.

В результате межремонтный ресурс достиг уровня 100000 часов.

Несмотря на очевидные положительные стороны внедрения керамики в конструкцию КС, ее применение ограничивается такими свойствами как:

малые запасы прочности на изгиб и растяжение;

растрескивание при часто повторяющихся тепловых ударах;

трудности неразрушающего контроля деталей перед поставкой на двигатель.

Использованная литература

1. Б.П. Умушкин, Б.А. Чичков КПАД Пособие по выполнению курсового проекта.

. Б.А. Чичков.. Расчет на прочность дисков турбомашин с использованием численных методов.

. Л.П. Лозицкий, А.Н. Ветров. Конструкция и прочность авиационных газотурбинных двигателей.

. А.А. Иноземцев, Е.А. Коняев, В.В. Медведев. ПС-90А. Авиационный двигатель.

Похожие работы на - Конструкция и прочность авиационных двигателей

 

Не нашли материал для своей работы?
Поможем написать уникальную работу
Без плагиата!
Без нейросетей!