Электроснабжение группы цехов завода по переработке медной руды
Содержание
Введение
. Расчет электрической нагрузки
предприятия
.1 Определение расчетных
электрических нагрузок до 1 кВ в целом по предприятию (корпусу) методом
коэффициентов расчетной активной нагрузки (в соответствии с РТМ 36.18.32.4-92)
.2 Расчет осветительных установок
цехов методом удельной нагрузки на единицу площади цеха
.3 Расчет числа цеховых
трансформаторов
.3.1 Расчет удельной плотности
нагрузки низкого напряжения на территории размещения электроприемников
предприятия и выбор желаемой номинальной мощности трансформаторов
.3.2 Расчет минимально-допустимого
числа цеховых трансформаторов по условию передачи активной мощности на
напряжение 0,4 кВ
.4 Определение мощности
компенсирующих устройств НН и распределение комплектных конденсаторных
установок (ККУ) НН по ЦТП
.5 Определение результирующих
нагрузок на стороне 6-10 кВ цеховых подстанций с учетом ККУ НН и потерь в
трансформаторах
.6 Расчет электрических нагрузок на
напряжении 6-10 кВ
. Проектирование схемы внешнего
электроснабжения
.1 Выбор рационального напряжения
связи предприятия с электроэнергетической системой (ЭЭС)
2.2 Выбор мощности
трансформаторов ГПП с учетом мощности устанавливаемых средств КРМ
2.3 Определение результирующей
нагрузки на границе балансового разграничения с энергосистемой при учете потерь
в трансформаторах ГПП
.4 Выбор сечения линии связи
предприятия с ЭЭС
3. Проектирование
схемы канализации электроэнергии по территории предприятия
.1 Построение
картограммы электрических нагрузок цехов и обособленных подразделений
предприятия
3.2 Разработка вариантов схем
канализации электроэнергии на предприятии с учетом требований по резервированию
электроснабжения, как по высокому, так и низкому напряжению
.3 Технико-экономическое сравнение
вариантов канализации электроэнергии на предприятии
4. Выбор оборудования и его проверка
по токам к.з.
.1 Расчет токов к.з. в сети
напряжением выше 1000 В
4.2 Проверка оборудования по токам
к.з.
. Качество электроэнергии в сети
напряжением выше 1000 В
.1 Расчет потерь напряжения в сети
напряжением выше 1000 В и цеховых трансформаторах
.2 Оценка отклонения напряжения на
зажимах высоковольтных потребителей электроэнергии и шинах низкого напряжения
цеховых трансформаторов
.3 Выбор схемы пуска высоковольтных
двигателей
. Конструктивное исполнение системы
электроснабжения
. Расчет заземления и грозозащиты
подстанции
.1 Выбор конструкции и расчет
параметров защитного заземления
.2 Расчёт молниезащиты
. Проектирование цехового
электроснабжения
.1 Характеристика цеха и технические
показатели электроприемников
.2 Разработка вариантов схем
цехового электроснабжения
8.3 Определение расчетных
электрических нагрузок и токов для выбора параметров защитных аппаратов и
токоведущих элементов цеховой сети
.4 Расчет параметров элементов
электроснабжения для вариантов схем электроснабжения цеха
.5 Светотехнический и
электротехнический расчет осветительной сети
.6 Расчет потерь активной и
реактивной мощности и напряжения в цеховой распределительной сети
.7 Технико-экономическое сравнение
вариантов схемы цеховой сети
Заключение
Библиографический список
Введение
Надежное и экономичное обеспечение промышленных
предприятий электрической энергией надлежащего качества в соответствии с
графиком ее потребления является важной задачей. Системы электроснабжения
промышленных предприятий создаются для обеспечения питания электроэнергией
промышленных электроприемников, к которым относятся электродвигатели различных
машин и механизмов, электросварочные и осветительные установки и др.
Инженерный проект - это модель будущей системы
электроснабжения, представленная в схемах, чертежах, таблицах и описаниях,
которые созданы в результате логического анализа исходных данных и на основе
расчетов и сопоставления вариантов. Система электроснабжения, как в схемах, так
и в конструктивных чертежах должна обеспечивать без существенной ее
реконструкции возможность роста электроснабжения объектами предприятия. Схема
электроснабжения должна строиться так, чтобы все ее элементы постоянно
находились под нагрузкой, а при аварии или плановом ремонте оставшиеся в работе
могли принять на себя нагрузку, обеспечив после необходимых переключений
функционирование основных производств предприятия.
В условиях действующих предприятий особую заботу
для энергетиков представляют задачи экономии электрической энергии, особенно в
части нормирования и регулирования электроснабжения.
Задача данного проекта - спроектировать систему
электроснабжения группы цехов завода по переработке медной руды.
Данная система электроснабжения должна
соответствовать самым современным требованиям к системам, таким как надежность,
экономичность, безопасность для человека и окружающей среды.
1. Характеристика объекта
По условиям данных на курсовое проектирование,
необходимо рассмотреть электроснабжение группы цехов завода по переработке
медной руды.
По стабильности расположения все
электроприемники имеют стационарное расположение.
Исходными данными на курсовой проект являются:
. Схема генерального плана завода.
. Сведения об электрических нагрузках по цехам
завода.
. Питание может быть осуществлено от подстанции
энергосистемы.
. Существующие уровни напряжений U1
и U2 на подстанции
энергосистемы 35 и 110 кВ.
. Мощность короткого замыкания на шинах
подстанции энергосистем SK:
на напряжении U1 600 MBA
и на U2 3000 МВА.
. Наивысшая температура окружающего воздуха -
22,6 °С и почвы (на глубине 0,7 м) - 15 °С.
. Расстояние от предприятия до подстанции
энергосистемы - 9 км.
. Коррозионная активность грунта предприятия -
высокая.
. Наличие блуждающих токов в грунте предприятия
- есть.
. Завод расположен в Оренбургской области.
Стоимость электроэнергии за 1 кВт-ч задается по уровню тарифа, установленному
Федеральной службой по тарифам.
Таблица 1.1
|
Наименование
субъекта Российской Федерации
|
Минимальный
уровень тарифа, коп/кВтч (с НДС)
|
Максимальный
уровень тарифа, коп/кВтч (с НДС)
|
|
Оренбургская
область
|
230,0
|
231,0
|
. Завод работает в две смены.
На чертеже №1 представлен план, на котором
обозначены места расположения ремонтно-механического цеха и других зданий.
Предприятие расположено в районе с умеренным климатом.
Производственные помещения в основном относятся
к помещениям с пыльной и нормальной средой. В целом по группам цехов завода -
около 50 МВт.
Таблица 1.2. Электрические нагрузки группы цехов
завода по переработке медной руды
|
№
|
Наименование
цеха, отделения участка
|
График
нагрузки ЭП
|
Количество
ЭП
|
Установленная
мощность Рн ЭП напряжения 0,4 кВ, кВт
|
Коэфф.
использования ки
|
Коэфф.
реактивной мощности tgц
|
|
|
|
|
|
|
|
|
|
|
|
min
|
max
|
У
|
|
|
|
1
|
Цех
разделения воздуха
|
переменный
|
10
|
5
|
130
|
260
|
0,12
|
0,75
|
|
|
практически
постоянный
|
260
|
3
|
30
|
2740
|
0,8
|
0,7
|
|
2
|
Цех
сжигания серы
|
переменный
|
60
|
3
|
79
|
1180
|
0,2
|
1,2
|
|
|
практически
постоянный
|
270
|
2
|
36
|
3600
|
0,85
|
0,62
|
|
3
|
Компрессорный
цех
|
практически
постоянный
|
40
|
1,5
|
10
|
130
|
0,85
|
0,52
|
|
4
|
Насосная
оборотного водоснабжения
|
практически
постоянный
|
120
|
3
|
11
|
500
|
0,85
|
0,52
|
|
5
|
Насосная
промстоков
|
практически
постоянный
|
200
|
1,5
|
16
|
1200
|
0,85
|
0,52
|
|
6
|
Центральная
котельная
|
практически
постоянный
|
90
|
5
|
48
|
1450
|
0,88
|
0,5
|
|
7
|
Хим.
Водоочистка
|
практически
постоянный
|
70
|
3
|
25
|
570
|
0,87
|
0,57
|
|
8
|
Ремонтно-механический
цех
|
См.
п.9
|
1. Расчет электрической нагрузки предприятия
.1 Определение расчетных электрических нагрузок
до 1 кВ в целом по предприятию (корпусу) методом коэффициентов расчетной
активной нагрузки (в соответствии с РТМ 36.18.32.4-92)
Расчет силовых низковольтных электрических
нагрузок выполним методом расчетных коэффициентов в соответствии с РТМ
36.18.32.4-92. Основные положения данного расчета следующие.
Расчетная активная Рр и реактивная Qp
мощность - это мощность, соответствующая такой неизменной токовой нагрузке iр,
которая эквивалентна фактической изменяющейся во времени нагрузке по
наибольшему возможному тепловому воздействию на элемент системы
электроснабжения. Вероятность превышения фактической нагрузки над расчетной не
более 0,05 на интервале осреднения, длительность которого принята равной трем
постоянным времени нагрева элемента системы электроснабжения 3То, через который
передается ток нагрузки (кабеля, провода, шинопровода, трансформатора и т. д.).
Для одиночных ЭП расчетная мощность принимается
равной номинальной, для одиночных ЭП повторно-кратковременного режима - равной
номинальной, приведенной к длительному режиму.
Коэффициент расчетной мощности Кр - отношение
расчетной активной мощности Рр к значению КиРн группы ЭП
Кр = Рр / Ки Рн
Коэффициент расчетной мощности зависит от
эффективного числа электроприемников, средневзвешенного коэффициента
использования, а также от постоянной времени нагрева сети, для которой
рассчитываются электрические нагрузки.
Приняты следующие постоянные
времени нагрева [15]:
То = 10 мин - для сетей
напряжением до 1 кВ, питающих распределительные шинопроводы, пункты, сборки,
щиты. Значения Кр для этих сетей принимаются по табл. 1 [16];
То = 2,5 ч - для магистральных
шинопроводов и цеховых трансформаторов. Значения Кр для этих сетей принимаются
по табл. 2 [16];
То ³
30 мин - для кабелей напряжением 6 кВ и выше, питающих цеховые трансформаторные
подстанции и распределительные устройства. Расчетная мощность для этих
элементов определяется при Кр = 1.
Коэффициент одновременности Ко - отношение
расчетной мощности на шинах 6 - 10 кВ к сумме расчетных мощностей потребителей,
подключенных к шинам 6 - 10 кВ РП, ГПП
Ко = РрS
/ SРр.
Расчет электрических нагрузок ЭП напряжением до
1 кВ производится для каждого узла питания (распределительного пункта, шкафа,
сборки, распределительного шинопровода, щита станций управления, троллея,
магистрального шинопровода, цеховой трансформаторной подстанции), а также по
цеху, корпусу в целом.
Исходные данные для расчета (графы 1-6) заполняются
на основании полученных от специалистов таблиц-заданий на проектирование
электротехнической части и согласно справочным материалам (графы 7, 8), в
которых приведены значения коэффициентов использования и реактивной мощности
для индивидуальных ЭП.
В графах 9 и 10 соответственно записываются
построчно величины kuPн
и kuPнtgj.
В итоговой строке определяются суммы этих величин
SkuPн
SkuPнtgj
Определяется групповой коэффициент использования
для данного узла питания
ku
= SkuPн
/ SPн
Значение ku
заносится в графу 5 итоговой строки.
Для последующего определения nэ в графе 12
построчно определяются для каждой характерной группы ЭП одинаковой мощности
величины
и в
итоговой строке - их суммарное значение S
. При
определении nэ по
упрощенной формуле графа 9 не заполняется.
Определяется эффективное число
электроприемников nэ следующим образом:
Как правило, nэ для
итоговой строки определяется по выражению
При значительном числе ЭП
(магистральные шинопроводы, шины цеховых трансформаторных подстанций, в целом
по цеху, корпусу, предприятию) nэ может определяться по упрощенной
формуле
nэ = 2SРн / рн.макс
Найденное по указанным выражениям значение nэ
округляется до ближайшего меньшего целого числа.
В зависимости от
средневзвешенного коэффициента использования и эффективного числа
электроприемников определяется коэффициент расчетной нагрузки Кр.
Расчетная активная мощность подключенных
к узлу питания ЭП напряжением до 1 кВ определяется по выражению
Рр = Кр S
Ки Рн
В случаях, когда расчетная
мощность Рр окажется меньше номинальной наиболее мощного электроприемника,
следует принимать Рр = рн.макс.
Расчетная реактивная мощность
определяется следующим образом:
Для питающих сетей напряжением
до 1 кВ в зависимости от nэ:
при nэ
£
10 Qр = 1,1 SКи
Рн tgj
при nэ
> 10 Qр = SКи
Рн tgj
Для магистральных шинопроводов и на шинах
цеховых трансформаторных подстанций, а также при определении реактивной
мощности в целом по цеху, корпусу, предприятию
Qр
= Кр SКи
Рн tgj = Рр tgj
К расчетной активной и
реактивной мощности силовых ЭП напряжением до 1 кВ должны быть при
необходимости добавлены осветительные нагрузки Рр.о и Qр.о.
Значение токовой расчетной
нагрузки, по которой выбирается сечение линии по допустимому нагреву,
определяется по выражению
где
- полная расчетная мощность, кВ×А, (графа
16).
Суммарные расчетные активные и
реактивные нагрузки потребителей до и выше 1000 В целом по предприятию
определяются суммированием соответствующих нагрузок всех цехов с учетом
расчетной нагрузки освещения, потерь мощности в трансформаторах цеховых
подстанций и потерь в высоковольтной линии.
определяем коэффициенты использования и, с
учетом данных табл. 1.1 производим расчет электрических нагрузок по предприятию
в целом для нагрузок до 1000 В.
При включении однофазного ЭП на фазное
напряжение он учитывается в графе 2 как эквивалентный трехфазный ЭП номинальной
мощностью
рн = 3рн.о; qн
= 3qн.о,
где рн.о, qн.о
- активная и реактивная мощности однофазного ЭП.
При включении однофазного ЭП на линейное
напряжение он учитывается как эквивалентный ЭП номинальной мощностью
При наличии группы однофазных ЭП, которые
распределены по фазам с неравномерностью не выше 15% по отношению к общей
мощности трехфазных и однофазных ЭП в группе, они могут быть представлены в
расчете как эквивалентная группа трехфазных ЭП с той же суммарной номинальной
мощностью.
В случае превышения указанной неравномерности
номинальная мощность эквивалентной группы трехфазных ЭП принимается равной
тройному значению мощности наиболее загруженной фазы.
1.2 Расчет осветительных установок цехов методом
удельной нагрузки на единицу площади цеха
При расчете необходимо учесть нагрузку
искусственного освещения цехов и территории завода. Эта нагрузка определяется
по удельной мощности освещения, по выражению:
где F - освещаемая площадь,
;
д - удельная плотность осветительной
нагрузки, Вт/м2;
КСО- коэффициент спроса
осветительной нагрузки; ц - коэффициент мощности осветительной нагрузки.
Для освещения всех цехов
используются дугоразрядные лампы (ДРЛ) с cosц=0.57 и (tgц=1.44).
Расчет освещения для цеха №1.
Расчеты для остальных помещений
сведем в табл. 1.3.
Таблица 1.3 - Расчет мощности освещения
|
№
по генплану
|
Наименование
потребителя
|
F,
м2
|
д,
Вт/м2
|
Ксо
|
Ро,
кВт
|
cosц
|
tgц
|
Qо,
кВар
|
|
1
|
Цех
разделения воздуха
|
7225
|
16
|
0,95
|
109,82
|
0,57
|
1,44
|
158,14
|
|
2
|
Цех
сжигания серы
|
4650
|
16
|
0,95
|
70,68
|
0,57
|
1,44
|
101,78
|
|
3
|
Компрессорный
цех
|
3150
|
14
|
0,9
|
39,69
|
0,57
|
1,44
|
57,15
|
|
4
|
Насосная
оборотного водоснабжения
|
1300
|
14
|
0,9
|
16,38
|
0,57
|
1,44
|
23,59
|
|
5
|
Насосная
промстоков
|
2062,5
|
14
|
0,9
|
25,99
|
0,57
|
1,44
|
37,43
|
|
6
|
Центральная
котельная
|
4550
|
12
|
0,95
|
51,87
|
0,57
|
1,44
|
74,69
|
|
7
|
Хим.
Водоочистка
|
3325
|
12
|
0,9
|
35,91
|
0,57
|
1,44
|
51,71
|
|
8
|
Кузнечно-прессовый
цех
|
875
|
16
|
0,95
|
13,3
|
0,57
|
1,44
|
19,15
|
|
|
ИТОГО
|
|
|
|
363,64
|
|
|
523,64
|
С учетом мощности освещения
активные и реактивные нагрузки цехов определятся из выражения:
С учетом потерь в сети 0,4 кВ:
.3 Расчет числа цеховых трансформаторов
.3.1 Расчет удельной плотности нагрузки низкого
напряжения на территории размещения электроприемников предприятия и выбор
желаемой номинальной мощности трансформаторов
Номинальные мощности трансформаторов (Sнтр)
определяются плотностью нагрузки цехов (производств) и выбираются, как правило,
одинаковыми для всей группы цехов (производств). Удельная плотность нагрузки
определяется по формуле
Где Smнн =
кВА -
суммарная полная расчетная низковольтная нагрузка зданий;
FП = 81420 м2
- площадь предприятия.
следовательно, рекомендуемая
мощность трансформаторов равна 1000 кВА.
1.3.2 Расчет минимально-допустимого числа
цеховых трансформаторов по условию передачи активной мощности на напряжение 0,4
кВ
Стоимость комплектных ТП очень высока и поэтому
при выборе средств компенсации реактивной мощности решающее значение имеет
число установленных трансформаторов. Минимальное возможное число
трансформаторов определяется по формуле:
где Рm
- расчетная активная мощность технологически связанных нагрузок (обычно
принимается среднее Рсм за наиболее загруженную смену), МВт;
bт - рекомендуемый коэффициент загрузки
трансформатора;
Sн.тр - номинальная
мощность одного трансформатора, МВА.
Полученное значение Nmin
округляется до ближайшего большего целого числа.
.4 Определение мощности компенсирующих устройств
НН и распределение комплектных конденсаторных установок (ККУ) НН по ЦТП
Наибольшая реактивная мощность Q1, которая может
быть передана в сеть напряжением до 1 кВ из сети 6 кВ без увеличения числа
трансформаторов, определяется как
Определяем мощность БК на напряжение 0,4 кВ:
НБК = УQрН - Q1 = 5586,02 - 4871,87 = 714,15
кВАр.
Мощность одной ККУ:
QНБК1 = 714,15/12 =
59,5 кВар.
На каждой из 6-ти подстанций установим на каждую
секцию по одной КБ типа АУКРМ-ЭМ 0,4-60-5 номинальной мощностью 60 кВар.
Фактическая мощность БК: НБК = 12*60 = 720 кВАр.
.5 Определение результирующих нагрузок на
стороне 6-10 кВ цеховых подстанций с учетом ККУ НН и потерь в трансформаторах
Для каждой подстанции суммируются
итоговые расчетные величины
, если nэ определяется по выражению
, узлов
питания, подключенных к сборным шинам низкого напряжения подстанции. По
средневзвешенному Ки и nэ определяется коэффициент расчетной нагрузки Кр и
расчетная силовая нагрузка на сборных шинах по выражениям:
Для двухтрансформаторных подстанций
расчет электрической нагрузки выполняется по подстанции целиком.
К расчетной мощности силовых
электроприемников добавляются осветительные нагрузки, с учетом потерь в
трансформаторах определяется результирующая нагрузка на стороне 6 - 10 кВ
подстанции.
Потери активной мощности в
трансформаторах
Кз - коэффициент загрузки
трансформатора. Определяется расчетом электрических нагрузок.
Потери реактивной мощности в
трансформаторах
где ДQX.X - потери
холостого хода, квар.
Определяются по выражению
ДQнагр - нагрузочные потери, квар.
Значения Iх.х и ек (в %) принимаются
согласно ГОСТ или ТУ;- номинальная мощность трансформатора, кВЧА.
Результирующие нагрузки для каждой
цеховой трансформаторной подстанции рекомендуется заносить в формуляр Ф202-90
(табл. 1.4).
Таблица 1.4 - Результирующие
электрические нагрузки цеховых трансформаторных подстанций
|
Наименование
|
Коэф.
реактивной мощности tgц
|
Расчетная
нагрузка
|
Количество
и мощность трансформ. шт., кВА
|
|
|
кВт
|
кВАр
|
кВА
|
|
|
|
Рр
|
Qp
|
Sp
|
|
|
ТП1-ТП6
|
|
|
|
|
12*1000
|
|
Силовая
нагрузка 0,4 кВ
|
0,63
|
7229,46
|
4554,56
|
8544,53
|
|
|
Осветительная
нагрузка
|
1,44
|
363,64
|
523,64
|
637,52
|
|
|
Итого
на стороне 0,4 кВ без учета потерь в сети 0,4 кВ
|
0,67
|
7593,1
|
5078,2
|
9134,73
|
|
|
Итого
на стороне 0,4 кВ с учетом потерь в сети 0,4 кВ
|
|
7851,27
|
5586,02
|
9635,67
|
|
|
Мощность
ККУ НН
|
|
|
-720
|
|
|
|
Итого
на стороне 0,4 кВ с учетом ККУ
|
0,62
|
7851,27
|
4866,02
|
9236,91
|
|
|
Потери
в трансформаторах
|
(Кз=0,77)
|
116,76
|
552
|
|
|
|
Итого
на стороне ВН
|
0,68
|
7968,03
|
5418,02
|
9635,58
|
|
.6 Расчет электрических нагрузок на напряжении
6-10 кВ
Предварительная привязка потребителей 6-10 кВ к
распределительным или главным понижающим подстанциям, исходя из их
территориального расположения и надежности электроснабжения.
До выполнения расчета следует осуществить
привязку потребителей 6-10 кВ к распределительным или главным понижающим
подстанциям, исходя из их территориального расположения и надежности
электроснабжения, при этом надо стремиться к равномерной загрузке секций
сборных шин 6-10 кВ.
Поскольку устанавливаем ГПП 110/6 кВ, то считать
ЦЭН всего предприятия целесообразно, и поэтому ГПП установим в ЦЭН, который
будет рассчитан ниже в соответствующем пункте.
Синхронные двигатели запитываем от центрального
РУ 6 кВ, находящегося в ГПП. Трансформаторные подстанции будут запитываться по
магистральной или радиальной схеме (это покажет технико-экономическое сравнение
вариантов канализации электроэнергии на предприятии).
Определение расчетной нагрузки на сборных шинах
6-10 кВ РУ или ГПП методом коэффициентов расчетной активной нагрузки (в
соответствии с РТМ 36.18.32.4-92).
Основными потребителями электроэнергии на
напряжении 6-10 кВ являются электродвигатели, трансформаторные понижающие
подстанции, преобразовательные подстанции и установки, термические
электроустановки [17].
Расчет присоединенных потребителей 6-10 кВ
выполняется для каждого РУ 6-10 кВ. Расчетную нагрузку каждой секции сборных
шин 6-10 кВ в нормальном режиме рекомендуется принимать как произведение общей
нагрузки на коэффициент 0,6, учитывающий неравномерность распределения нагрузки
по секциям сборных шин.
Запись электродвигателей в графы 1-4
производится построчно. В одну строку заносят электродвигатели одного
назначения с одинаковыми Ки, tgц и Рн.
Для электродвигателей заполняются согласно
справочным материалам. Значения коэффициентов загрузки указываются формуляра.
Для синхронных двигателей указывается
номинальный коэффициент реактивной мощности.
При отсутствии паспортных данных cosц = 0,9.
Определяются расчетные величины КиРн (или КзРн)
и КиРнtgц (или КзРнtgц) каждой характерной категории электродвигателей.
Генерируемая синхронными электродвигателями с
номинальной мощностью до 2500 кВт и частотой вращения до 1000 мин-1 реактивная
мощность не учитывается и в графе 8 проставляется прочерк. Для синхронных
электродвигателей с номинальной мощностью свыше 2500 кВт или с частотой
вращения свыше 1000 мин-1 независимо от номинальной мощности в графу 8
заносится со знаком минус номинальная реактивная мощность, равная Рнtgц.
Определяются итоговые суммарные значения УРн, РУ
и QУ всех потребителей 6-10 кВ и групповой средневзвешенный коэффициент
использования Ки, который заносится в итоговой строки.
В зависимости от значения средневзвешенного
коэффициента использования Ки и числа присоединений к сборным шинам 6-10 кВ РУ
или ГПП (без учета резервных электродвигателей) определяется коэффициент
одновременности Ко по [17].
Результирующая нагрузка 6-10 кВ составляет
Результирующие нагрузки ГПП рекомендуется
заносить в формуляр Ф220-90. К расчетной электрической нагрузке 6-10 кВ
добавляются электрические нагрузки сторонних потребителей и определяется
расчетная мощность на границе балансового разграничения с энергосистемой,
которая является исходной величиной для выполнения расчетов по определению
мощности средств КРМ. С учетом мощности устанавливаемых средств КРМ
осуществляется выбор мощности трансформаторов ГПП. При учете потерь в
трансформаторах определяется результирующая нагрузка на стороне 35-220 кВ ГПП.
Таблица 1.5
|
Наименование
|
Коэф.
реактивной мощности tgц
|
Расчетная
нагрузка
|
Количество
и мощность трансформ. шт. ґ кВА
|
|
|
кВт
|
кВАр
|
кВА
|
|
|
|
Рр
|
Qp
|
Sp
|
|
|
Результирующие
нагрузки ГПП
|
|
ГПП
110/6 кВ
|
|
|
|
|
2ґ25000
|
|
Электр.
нагрузка предприятия на стороне 6 кВ
|
0,38
|
28889,4
|
10977,97
|
30904,91
|
|
|
С
учетом неравномерности распределения нагрузки по сборным шинам
|
0,38
|
34667,28
|
13173,564
|
37085,89
|
|
|
Итого
на стороне 6 кВ
|
0,38
|
34667,28
|
13173,564
|
37085,89
|
|
|
Математическое
ожидание нагрузки
|
|
31200,55
|
11856,21
|
33377,3
|
|
|
Потери
в трансформаторе ГПП (см. п.3.6)
|
|
166,42
|
2809,12
|
|
|
|
Итого
на стороне 110 кВ
|
0,47
|
31366,97
|
14665,33
|
34625,98
|
|
2. Проектирование схемы внешнего
электроснабжения
.1 Выбор рационального напряжения связи
предприятия с электроэнергетической системой (ЭЭС)
Т.к. согласно исходным данным используется для
питания предприятия напряжение 35 или 110 кВ, то целесообразно установить ГПП
35/6 или ГПП 110/6 кВ.
Выбор желаемого напряжения ЛЭП или кабельной
линии произведем по формуле Илларионова:
где l
= 9 км - длина линии, Р = 31,4/2 = МВт - передаваемая активная мощность по
одной из двух цепей питающей линии в нормальном режиме.
Поскольку питание может быть осуществлено от
подстанции энергосистемы на напряжении 35 или 110 кВ, то выбираем стандартное
значение номинального напряжения (запитываем предприятие на напряжении 110 кВ):
Uном = 110 кВ.
2.2 Выбор мощности
трансформаторов ГПП с учетом мощности устанавливаемых средств КРМ
Математическое ожидание полной расчетной
нагрузки определено в табл. 2.6. Мощность трансформаторов ГПП выбирается по
формуле:
где
- математическое ожидание полной
расчетной нагрузки, кВА;
Кз - коэффициент загрузки трансформаторов;
nт - число
трансформаторов.
Таким образом, можно выбрать два
трансформатора ТДН-25000/110.
2.3 Определение результирующей нагрузки на
границе балансового разграничения с энергосистемой при учете потерь в
трансформаторах ГПП
Потери мощности в трансформаторах
двухтрансформаторной ГПП достаточно точно можно определить по выражениям:
Тогда расчетная полная мощность предприятия со
стороны высшего напряжения трансформаторов ГПП будет равна:
.4 Выбор сечения линии связи предприятия с ЭЭС
Определяем сечения линий связи предприятия с
ЭЭС.
В режиме максимальных нагрузок:
В послеаварийном режиме:
В соответствии с нормами технологического
проектирования (1-я редакция) НТП ЭПП-94 пунктом 7.9.1 для 2-сменных
предприятий (в нашем случае) Tм следует принимать 3600 ч.
Сечения проводов ЛЭП и сечения
кабелей в сетях выше 1000 В выбираются по экономической плотности тока,
соответствующее режиму максимальных нагрузок:
где IМ
- расчетный ток одной линии в нормальном режиме работы, т.е. увеличение тока в
послеаварийных и ремонтных режимах сети не учитывается;
jэк - экономическая
плотность тока для заданных условий работы.
Для алюминиевых неизолированных проводов экономическая
плотность тока равна:
jэк = 1,1 А/мм2.
По формуле (3.8) находим:
Ближайшее стандартное для 110 кВ сечение (с
учетом условия коронирования) - 95 мм2. Выбираем сталеалюминиевый
провод АС-95 с допустимым током нагрузки 330А.
Фактический длительный ток
нагрева в послеаварийном режиме (когда отключается одна из параллельных цепей)
равен 182 А, следовательно выбранное сечение проходит по допустимому току
нагрева в рабочих режимах: 182 < 330 А.
Проверке по потерям напряжения
воздушные линии 35 кВ и выше не подлежат, так как повышение уровня напряжения
путем увеличения сечения проводов по сравнению с применением на понижающих
подстанциях трансформаторов с РПН, экономически не оправдано [13].
3. Проектирование схемы
канализации электроэнергии по территории предприятия
.1 Построение картограммы
электрических нагрузок цехов и обособленных подразделений предприятия
В целях экономии металла и
электроэнергии важно, чтобы трансформаторные и преобразовательные подстанция
всех мощностей и напряжений (6-10, 35, 110-220 кВ) располагались возможно ближе
к центру питаемых ими групп нагрузок.
Координаты центра электрических
нагрузок (ЦЭН) определяются из соотношений:
где рi-мощность
i-го
электроприемника, хi и уi
- его координаты (оси ординат можно наносить на план цеха или завода
произвольно).
При нахождении ЦЭН предприятия
под рi подразумевают
расчетную нагрузку i-го цеха, а
под хi и уi
- координаты ЦЭН i-го цеха.
Т.к. ЦЭН каждого цеха не рассчитываются, то приближенно полагаем, что ЦЭН
каждого цеха расположен в геометрическом центре плоской фигуры цеха.
Для наглядного представления
распределения нагрузок по территорий завода и выбора мощности и типа ТП и РП,
применяем картограмму нагрузок, которая представляет собой размещенные на
генплане предприятия окружности, причем площади ограниченные этими
окружностями, в выбранном масштабе равны расчетным нагрузкам цехов. Дня каждого
цеха наносим свою окружность, центр которой совпадает с ЦЭН цеха. Радиус
окружности определяется из выражения
где Pmi
- расчетная нагрузка i-го
цexa;
m
- масштаб для определения площади круга (постоянный для всех цехов
предприятия).
Силовую нагрузку до и выше 1000
В изобразим отдельными кругами.
Поскольку устанавливаем ГПП
110/6 кВ, то считать ЦЭН всего предприятия целесообразно, и поэтому ГПП
установим непосредственно в ЦЭН предприятия.
Произведем расчет радиусов и диаметров
окружностей, характеризующих величины нагрузок соответствующих цехов, а также
ЦЭН (табл. 3.1).
Таблица 3.1 Расчет радиусов и диаметров окружностей,
характеризующих величины нагрузок соответствующих цехов и ЦЭН предприятия
|
№
цеха
|
Рр,
кВт
|
Qр,
кВар
|
Xi
|
Yi
|
PiXi
|
PiYi
|
QiXi
|
QiYi
|
Di
|
|
1
|
1999,54
|
1482,27
|
140
|
410
|
279935,6
|
819811,4
|
207517,8
|
607730,7
|
60,32
|
|
2
|
2707,48
|
1846,1
|
475
|
450
|
1286053
|
1218366
|
876897,5
|
830745
|
70,2
|
|
3
|
133,62
|
105,99
|
310
|
365
|
41422,2
|
48771,3
|
32856,9
|
38686,35
|
15,6
|
|
4
|
356,38
|
200,39
|
145
|
195
|
51675,1
|
69494,1
|
29056,55
|
39076,05
|
25,46
|
|
5
|
841,99
|
461,75
|
295
|
250
|
248387,1
|
210497,5
|
136216,25
|
115437,5
|
39,14
|
|
6
|
1072,67
|
585,09
|
400
|
245
|
429068
|
262804,2
|
234036
|
143347,1
|
44,18
|
|
7
|
457,43
|
291,97
|
550
|
255
|
251586,5
|
116644,7
|
160583,5
|
74452,35
|
28,86
|
|
8
|
194,54
|
223,07
|
550
|
170
|
106997
|
33071,8
|
122688,5
|
37921,9
|
18,82
|
|
Цех
разделения воздуха №1: СД
|
832
|
0
|
140
|
410
|
116480
|
341120
|
0
|
0
|
38,92
|
|
Цех
разделения воздуха №1: СД
|
1950
|
0
|
475
|
450
|
926250
|
877500
|
0
|
0
|
59,58
|
|
Цех
разделения воздуха №1: блок Т-Д
|
7312,5
|
3510
|
310
|
365
|
2266875
|
2669063
|
1088100
|
1281150
|
115,36
|
|
Цех
разделения воздуха №1: блок Т-Д
|
8125
|
3900
|
145
|
195
|
1178125
|
1584375
|
565500
|
760500
|
121,6
|
|
Компрессорный
цех №3: СД
|
3900
|
0
|
295
|
250
|
1150500
|
975000
|
0
|
0
|
84,24
|
|
Насосная
оборотного водоснабжения №4: СД
|
1638
|
0
|
400
|
245
|
655200
|
401310
|
0
|
0
|
54,6
|
|
Центральная
котельная №6: СД
|
0
|
550
|
255
|
343200
|
159120
|
0
|
0
|
33,7
|
|
Центральная
котельная №6: СД
|
1638
|
0
|
550
|
170
|
900900
|
278460
|
0
|
0
|
54,6
|
|
ИТОГО
|
33783,2
|
12606,6
|
|
|
10232654
|
10065408
|
3453453
|
3929047
|
|
|
Координаты
ЦЭН предприятия
|
302,892
|
297,942
|
273,939
|
311,67
|
|
|
|
Xp
|
Yp
|
Xq
|
Yq
|
|
Картограмма электрических нагрузок предприятия
представлена на чертеже №1.
Объединим цеха предприятия в группы и наметим
ориентировочно расположение цеховых трансформаторных подстанций для этих групп
цехов (чертеж №1).
Место установки ГПП 110/6 кВ целесообразно
расположить в ЦЭН к заводу от энергосистемы (чертеж №1).
Определим месторасположение цеховых подстанций.
В данном пункте необходимо распределить цеховую нагрузку по 7-ми
трансформаторным подстанциям ТП-1 - ТП-6 (шесть 2 х 1000 кВА).
Распределяем нагрузку цехов по трансформаторным
подстанциям и находим для каждой место для установки, исходя из ЦЭН для данной
группы цехов.
Таблица 3.2 Расчет ЦЭН группы цехов (ТП-1,2)
|
№
цеха
|
Рр,
кВт
|
Qр,
кВар
|
Xi
|
Yi
|
PiXi
|
PiYi
|
QiXi
|
QiYi
|
Di
|
|
2
|
2707,48
|
1846,1
|
475
|
450
|
1286053
|
1218366
|
876897,5
|
830745
|
70,2
|
|
ИТОГО
|
2707,48
|
1846,1
|
|
|
1286053
|
1218366
|
876897,5
|
830745
|
|
|
С
учетом ККУ
|
2707,48
|
1726,1
|
|
|
|
|
|
|
|
|
Координаты
ЦЭН группы цехов
|
475
|
450
|
475
|
450
|
|
Таблица 3.3 Расчет ЦЭН группы цехов (ТП-3,4)
|
№
цеха
|
Рр,
кВт
|
Qр,
кВар
|
Xi
|
Yi
|
PiXi
|
PiYi
|
QiXi
|
QiYi
|
m
|
Ri
|
Di
|
|
1
|
2
|
3
|
4
|
5
|
6
|
7
|
8
|
9
|
10
|
11
|
12
|
|
1
|
1999,54
|
1482,27
|
140
|
410
|
279935,6
|
819811,4
|
207517,8
|
607730,7
|
0,7
|
30,16
|
60,32
|
|
3
|
133,62
|
105,99
|
310
|
365
|
41422,2
|
48771,3
|
32856,9
|
38686,35
|
0,7
|
7,8
|
15,6
|
|
4
|
356,38
|
200,39
|
145
|
195
|
51675,1
|
69494,1
|
29056,55
|
39076,05
|
0,7
|
12,73
|
25,46
|
|
ИТОГО
|
2489,54
|
1788,65
|
|
|
373032,9
|
938076,8
|
269431,25
|
685493,1
|
|
|
|
|
С
учетом ККУ
|
2489,54
|
1668,65
|
|
|
|
|
|
|
|
|
|
|
Координаты
ЦЭН группы цехов
|
149,84
|
376,807
|
150,634
|
383,25
|
|
|
|
|
|
Xp
|
Yp
|
Xq
|
Yq
|
|
Таблица 3.4 Расчет ЦЭН группы цехов (ТП-5,6)
|
№
цеха
|
Рр,
кВт
|
Qр,
кВар
|
Xi
|
Yi
|
PiXi
|
PiYi
|
QiXi
|
QiYi
|
Di
|
|
5
|
841,99
|
461,75
|
295
|
250
|
248387,1
|
210497,5
|
136216,25
|
115437,5
|
39,14
|
|
6
|
1072,67
|
585,09
|
400
|
245
|
429068
|
262804,2
|
234036
|
143347,1
|
44,18
|
|
7
|
457,43
|
291,97
|
550
|
255
|
251586,5
|
116644,7
|
160583,5
|
74452,35
|
28,86
|
|
8
|
194,54
|
223,07
|
550
|
170
|
106997
|
33071,8
|
122688,5
|
37921,9
|
18,82
|
|
ИТОГО
|
2566,63
|
1561,88
|
|
|
1036039
|
623018,1
|
653524,25
|
371158,8
|
|
|
С
учетом ККУ
|
2566,63
|
1441,88
|
|
|
|
|
|
|
|
|
Координаты
ЦЭН группы цехов
|
403,657
|
242,738
|
418,422
|
237,64
|
|
3.2 Разработка вариантов схем канализации
электроэнергии на предприятии с учетом требований по резервированию
электроснабжения, как по высокому, так и низкому напряжению
Вариант 1.
Применим радиальную схему питания цеховых ТП
(рис.4.2) с глухим присоединением ТП к шинам ГПП.
Вариант 2.
Выбор параметров схем канализации электроэнергии
на предприятии
Выбор кабелей, питающих ЦТП.
В соответствии с «Указаниями по расчету
электрических нагрузок» Тяжпромэлектропроекта [17], постоянные времени нагрева
То ³
30 мин - для кабелей напряжением 6 кВ и выше, питающих цеховые трансформаторные
подстанции и распределительные устройства. Расчетная мощность для этих
элементов определяется при Кр = 1. Следовательно, Рр = Кр S
Ки Рн=S
Ки Рн, кроме того, учитывается и осветительная нагрузка (нагрузки для выбора
кабелей представлены в таблице ниже).
Произведем выбор питающих кабельных линий 6 кВ.
Расчетный ток кабеля:
где n
- число линий;
Sp - полная
расчетная электрическая нагрузка на четвертом уровне электроснабжения, кВА;
Ip - расчетный
ток линии, А;
Uном - номинальное
напряжение линии, кВ.
Для питающей кабельной линии (от ТП-1) по
формуле (4.3) определяем расчетный ток кабеля:
Сечение воздушных и кабельных линий выбирается
по экономической плотности тока [1]. Экономически целесообразное сечение F,
мм2, определяется из выражения:
где Iр - расчетный ток установки, А;
jэк - нормированное
значение экономической плотности тока, А/мм2
Для кабелей с бумажной и поливинилхлоридной
изоляцией jэк = 1,4.
Полученное сечение округляется до ближайшего
стандартного сечения. Расчетный ток должен соответствовать условиям нормальной
работы, при его определении не следует учитывать увеличение тока при аварийных
ситуациях и ремонтах сети.
Таким образом, для ТП-1:
Выбираем 2 кабеля для питания
двухтрансформаторной подстанции типа
с допустимым током Iдоп = 240 А.
Полученное по jэк сечение
кабеля или провода проверяется по нагреву расчетным током Iр:
где Iдоп - допустимый ПУЭ длительный
ток для проводов и кабелей;
kпрокл
учитывает условия прокладки: температуру окружающей среды и число параллельно
проложенных кабелей [1]. Учитывая, что в траншее для одной двухтрансформаторной
подстанции прокладывается не менее двух кабелей, то поправочный коэффициент kпрокл = 0,9.
Таким образом, по формуле:
Условие выполняется.
При питании подстанции двумя линиями при
отключении одной из них оставшаяся в работе должна быть проверена на допустимый
нагрев с учетом возможной послеаварийной перегрузки линии Iр.авар:
где kперегр
- коэффициент допустимой ПУЭ послеаварийной перегрузки.
Таким образом, по формуле:
Для остальных кабельных линий расчет аналогичен
(табл. 3.5).
Таблица 3.5 Выбор кабелей ВН
|
№
ТП
|
L,
м
|
Sр,
кВА
|
Iр,
А
|
Iр.
авар, А
|
Минимальное
сечение s, мм2 по jэк
|
Тип
кабеля и принятое сечение
|
Iдоп,
А
|
kпрокл
Iдоп, А
|
kпрокл
kперегр Iдоп, А
|
|
1
вариант
|
|
1
|
170
|
1605,45
|
154,67
|
309,34
|
110
|
ААШвУ
3 х 150 мм2
|
300
|
270
|
324
|
|
2
|
180
|
1605,45
|
154,67
|
309,34
|
110
|
ААШвУ
3 х 150 мм2
|
300
|
270
|
324
|
|
3
|
200
|
1498,52
|
144,37
|
288,74
|
103
|
ААШвУ
3 х 150 мм2
|
300
|
270
|
324
|
|
4
|
170
|
1498,52
|
288,74
|
103
|
ААШвУ
3 х 150 мм2
|
300
|
270
|
324
|
|
5
|
190
|
1471,96
|
141,81
|
283,62
|
101
|
ААШвУ
3 х 150 мм2
|
300
|
270
|
324
|
|
6
|
200
|
1471,96
|
141,81
|
283,62
|
101
|
ААШвУ
3 х 150 мм2
|
300
|
270
|
324
|
|
2
вариант
|
|
0,
1
|
200
|
3103,97
|
299,03
|
598,06
|
214
|
2ААШвУ
3 х 150 мм2
|
600
|
540
|
648
|
|
1,
2
|
20
|
2301,245
|
221,7
|
443,4
|
158
|
2ААШвУ
3 х 150 мм2
|
600
|
540
|
648
|
|
2,
3
|
200
|
1498,52
|
144,37
|
288,74
|
103
|
ААШвУ
3 х 150 мм2
|
300
|
270
|
324
|
|
0,
3
|
170
|
3103,97
|
299,03
|
598,06
|
214
|
2ААШвУ
3 х 150 мм2
|
600
|
540
|
648
|
|
0,
4
|
170
|
2221,22
|
213,99
|
427,98
|
153
|
2ААШвУ
3 х 150 мм2
|
600
|
540
|
648
|
|
4,
5
|
115
|
1471,96
|
141,81
|
283,62
|
101
|
ААШвУ
3 х 150 мм2
|
300
|
270
|
324
|
|
5,
6
|
130
|
1471,96
|
141,81
|
283,62
|
101
|
ААШвУ
3 х 150 мм2
|
300
|
270
|
324
|
|
6,
0
|
200
|
2221,22
|
213,99
|
427,98
|
153
|
2ААШвУ
3 х 150 мм2
|
600
|
540
|
648
|
.3 Технико-экономическое сравнение вариантов
канализации электроэнергии на предприятии
Для технико-экономического сравнения вариантов
необходимо рассчитать капитальные затраты на сооружение внутренней
электрической сети предприятия и затраты на ее эксплуатацию.
Экономическим критерием эффективности варианта
является минимум приведенных затрат:
З = ЕН∙К+И,
где ЕН = 1/ТОК - нормативный коэффициент;
зависит от срока возврата инвестиций;
К - единовременные капитальные затраты;
И - ежегодные эксплуатационные издержки; ущерб
от перерывов электроснабжения не считаем, так как неизвестна зависимость ущерба
от качества электроэнергии.
Эксплуатационные издержки определяются:
И = ИЦ + И∆А;
Стоимость потерь электроэнергии определяется по
формуле:
И∆А = b∙∆А,
где b - стоимость потерь
1 кВт∙ч электроэнергии.
При расчетах используем укрупненные показатели
(табл. 4.5).
где ф - время максимальных потерь, ч/год
ф = (0,124 + Тм /10000)І ∙8760,
где Тм - время использования max
нагрузки, ч/год.
Потери энергии в цеховой распределительной сети
определяются исходя из следующих условий: цеха работают в две смены: Тм = 3600
ч/год.
ф ≈ 1800 ч/год (по номограмме).
Для первого варианта потери мощности и энергии:
Для второго варианта аналогично:
Результирующие издержки:
И1 = 0,03*2664000 + 0,063*960000 + 247104*3,1 =
906422,4 руб./год.
И2 = 0,03*2868000 + 0,063*1160000 + 289638*3,1 =
1056997,8 руб./год.
Определяем приведенные затраты:
З1 = 0,12*3624000 + 906422,4 = 1341302,4
руб./год.
З2 = 0,12*4028000 + 1056997,8 = 1540357,8
руб./год.
Расхождение по затратам:
Расхождение между затратами составляет более 5%,
следовательно, варианты неравноценны, выбираем вариант 1 (радиальную схему) как
наиболее предпочтительный.
Таблица 3.6. Расчет стоимости высоковольтного
оборудования
|
Наименование
|
Тип
|
Цена,
тыс. руб/(руб/м)
|
Кол-во,
шт./м
|
ВСЕГО
|
|
1
вариант
|
|
КЛ
|
ААШвУ
3 х 150 мм2
|
1200
|
340
|
408
|
|
ААШвУ
3 х 150 мм2
|
1200
|
360
|
432
|
|
ААШвУ
3 х 150 мм2
|
1200
|
400
|
480
|
|
ААШвУ
3 х 150 мм2
|
1200
|
340
|
408
|
|
ААШвУ
3 х 150 мм2
|
1200
|
380
|
456
|
|
ААШвУ
3 х 150 мм2
|
1200
|
400
|
480
|
|
ИТОГО
по линиям
|
|
|
2664
|
|
Ячейка
КРУ
|
ВВТЭ-М-10-12,5/630
|
80
|
12
|
960
|
|
ИТОГО
|
3624
|
|
2
вариант
|
|
КЛ
|
2ААШвУ
3 х 150 мм2
|
2400
|
200
|
480
|
|
2ААШвУ
3 х 150 мм2
|
2400
|
40
|
96
|
|
ААШвУ
3 х 150 мм2
|
1200
|
400
|
480
|
|
2ААШвУ
3 х 150 мм2
|
2400
|
340
|
816
|
|
ААШвУ
3 х 150 мм2
|
1200
|
340
|
408
|
|
ААШвУ
3 х 150 мм2
|
1200
|
230
|
276
|
|
2ААШвУ
3 х 150 мм2
|
2400
|
130
|
312
|
|
ИТОГО
по линиям
|
|
|
2868
|
|
Предохранители
|
ПКТ-103-10-400-20
У3
|
15
|
12
|
180
|
|
Выключатели
нагрузки
|
ВН-11У3
|
55
|
12
|
660
|
|
Ячейка
КРУ
|
ВВТЭ-М-10-12,5/630
|
80
|
4
|
320
|
|
ИТОГО
|
4028
|
4. Выбор оборудования и его проверка по токам
к.з.
.1 Расчет токов к.з. в сети напряжением выше
1000 В
Все электрооборудование, устанавливаемое в
системах электроснабжения, должно быть устойчивым к токам КЗ и выбираться с
учетом величин этих токов.
При расчете токов КЗ в относительных
единицах (на стороне 6-10 кВ) все расчетные данные приводятся к базисному
напряжению и базисной мощности. За базисную мощность
может быть
выбрана мощность системы, суммарная номинальная мощность генераторов станции
или трансформаторов.
Рассчитаем токи к.з. на стороне 6 кВ с учетом
подпитывающего влияния СД, определим сопротивления двигателя.
Схема замещения системы электроснабжения
(рис.6.1) выше 1000 В представляет собой совокупность схем замещения ее
отдельных элементов (в основном в виде индуктивных сопротивлений), соединенных
между собой в той же последовательности, что и на расчетной схеме. Источники
питания (синхронные генераторы и электрическая система) во внешней схеме
электроснабжения кроме собственных реактивностей, имеют также и ЭДС
Исходные данные для расчета.
К одной секции подключены следующие СД, кВт:
х320; 2х1000, 1х11250, 2х1500, 4х630.
В качестве базисных величин
произвольно выбираем базисную мощность
:
и базисное напряжение,
приравниваемое к среднему номинальному (по шкале средних напряжений) той
ступени напряжения, на которой рассматривается к.з.:
; 10,5 кВ.
Базисный ток будем определять по
формуле:
Для приведенных ступеней напряжения
базисные токи будут соответственно равны:
На данном этапе расчета необходимо определить
токи к.з. в точках К1 и К2.
Трансформаторы ТР1 и ТР2:
Сопротивление и ЭДС системы:
Перейдем непосредственно к преобразованиям.
На данном этапе целесообразно рассмотреть только
одну секцию, поскольку для другой секции расчет будет идентичен.
Рассчитаем ток к.з. в точке К0, расположенной на
шинах ВН ГПП. При этом учитываются сопротивления воздушных линий и системы:
При расчете сопротивления нулевой
последовательности при к.з. в т. К0 сопротивление нулевой последовательности
воздушной линии в среднем 3 раза превышает сопротивление прямой
последовательности, поэтому сопротивления всех линий вводим в схему замещения в
виде утроенной величины:
Дополнительное сопротивление, для однофазного
к.з.:
Рассчитываем ток прямой последовательности в
фазе А для однофазного к.з.:
Ток прямой последовательности в кА:
Рассчитываем модуль тока поврежденной фазы при
заданном несимметричном однофазном КЗ:
где kу
- ударный коэффициент, который при расчете токов к.з. в сетях напряжением выше
1000 В можно принять равным 1,8 [14].
Сопротивления трансформаторов повышающей
подстанции, воздушных линий и сопротивления системы соединены последовательно,
поэтому сопротивление эквивалентное им будет равно
Таким образом, со стороны одного повышающего
трансформатора эквивалентная ЭДС и сопротивление внешней цепи будут равны:
Рис. 4.1
где
- результирующее значение
сверхпереходной ЭДС (см. выше).;
- базисный ток, соответствующий той
ступени напряжения, где произошло КЗ:
результирующее сопротивление
короткозамкнутой цепи;
дополнительная
реактивность, включающая в себя сопротивления участка короткозамкнутой цепи -
от точки КЗ до шин высокого напряжения понижающего трансформатора ТР1.
Ток от двигателей:
где
результирующее значение
сверхпереходной ЭДС двигателей «внутренней» части схемы СЭС;
полное результирующее сопротивление
«внутренней» части схемы.
Рис. 4.2
Параметры двигателя СД1:
Аналогично вычисляем параметры остальных
двигателей.
Преобразуем схему к виду.
Параметры эквивалентного двигателя СД:
Таблица 4.1 - Параметры двигателей
|
№
|
 
|
|
|
|
СД1-4
|
0,16
|
4*0,32/0,9=1,42
|
112,5
|
|
СД5-6
|
0,124
|
2*1,0/0,9=2,22
|
55,8
|
|
СД7
|
0,1
|
11,25/0,9=12,5
|
8
|
|
СД8-9
|
0,118
|
2*1,5/0,9=3,33
|
35,4
|
|
СД10-13
|
0,12
|
2*0,63/0,9=1,4
|
85,7
|
По ранее приведенной формуле находим ток от
двигателей:
Таким образом, сверхпереходной ток к.з. равен:
Наибольшее мгновенное значение полного тока КЗ
(ударный ток) определим по выражению [15]:
где
ударные коэффициенты внешней сети и
двигателей. Величина
зависит от
отношения
, то
. Величина
зависит от
мощности двигателя и может быть найдена по кривым
для
синхронных двигателей.
(серия СДН, СДИ).
Сопротивления питающей кабельной линии:
Ток КЗ в точке К2:
Ударный ток короткого замыкания, кА:
где
= 1,35 - ударный коэффициент,
зависящий от постоянной времени
.
4.2 Проверка оборудования по токам к.з.
ВВТЭ-М-10-12,5/630.
По напряжению электроустановки:
По длительному току:
По несиметричному току отключения:
По апериодической составляющей расчетного тока:
.
где
- собственное время отключения
выключателя с приводом;
- условное наименьшее время срабатывания
релейной защиты;
- содержание апериодической
составляющей.
По предельному сквозному току к.з. на
электродинамическую устойчивость:
По допустимому току термической устойчивости:
где
=0,1с - время отключения линии;
=0,01 - постоянная времени затухания
апериодической составляющей тока к.з.
Минимальное сечение проводника должно отвечать требованиям
по термической стойкости:
Минимальное сечение проводника,
:
где
- импульс квадратичного тока к.з.,
;
С = 98
- тепловая функция при номинальных
условиях [7].
Импульс квадратичного тока к.з.,
:
Проверка основного оборудования на 110 кВ.
Для защиты трансформатора ГПП на ВН используется
выключатель ВБНТ-110-20/1600УХЛ1.
По апериодической составляющей расчетного тока:
где
- собственное время отключения
выключателя с приводом;
- условное наименьшее время
срабатывания релейной защиты;
- содержание апериодической
составляющей.
Проверка разъединителя РДЗ-110/1600У1.
По предельному сквозному току к.з. на
электродинамическую устойчивость:
По допустимому току термической устойчивости:
где
и
- ток и время термической
устойчивости.
где
= 0,1с - время отключения линии;
=0,01 - постоянная времени затухания
апериодической составляющей тока к.з.
. Разъединитель подходит по
результатам проверки.
Выбор гибких шин РУ ВН.
Минимальное значение по термической
стойкости:
где
- тепловой коэффициент для
алюминия.
Проверка шин на схлестывание не
производится, так как
Проверка по условию коронирования не
производится, так как минимально допустимое сечение провода (
)
.
Выбор изоляторов
Выбор проходных изоляторов на НН
Выбирается проходной изолятор
ИП-10/1000-750УХЛ1.
Таблица 4.3. Выбор и проверка
проходных изоляторов на НН.
|
Условие
проверки
|
Расчетные
данные
|
Каталожные
данные
|
|
 
|
|
|
|
 
|
|
|


Выбор опорных изоляторов на ВН.
Выбираем опорный изолятор стержневого типа
ОНС-110-300:
Таблица 4.4. Выбор и проверка опорного изолятора
|
Расчетные
условия
|
Каталожные
данные
|
|
Uном.сети = 110 кВ
|
Uном = 110 кВ
|
|
Iраб,утяж = 188 А
|
Iном = 1000 А
|
|
Fрасч= ∙20,62∙1,9∙1∙10-7/(0,8)=174,56
Н Fдоп=0,6∙Fразр=0,6∙3430=2058Н
|
|
5. Качество электроэнергии в сети напряжением
выше 1000 В
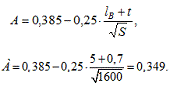
.1 Расчет потерь напряжения в сети напряжением
выше 1000 В и цеховых трансформаторах
Произведем расчет отклонения напряжения для
электроприемника ТП№1 в максимальном режиме работы.
Определяем падение напряжения в высоковольтной
воздушной линии ВЛ1:
Определяем напряжение в конце воздушной линии
110 кВ.
Определим параметры трансформатора для
определения потери напряжения в нем:
Определяем потерю напряжения в трансформаторе
ГПП:
Определяем напряжение на низкой стороне
трансформатора ГПП, приведенное к высокой стороне:
Определим отклонение напряжения в на шинах 6 кВ
ГПП.
Определяем падение напряжения в высоковольтной
кабельной линии КЛ1:
где
,
-
это активная и реактивная мощности передаваемые по одной КЛ в максимальном
режиме работы.
Определяем напряжение в конце кабельной линии 10
кВ.
Определим отклонение напряжения в конце
кабельной линии 10 кВ.
Отрегулируем напряжение на трансформаторе
устройством ПБВ - «поднимем» напряжение на величину +2,5%.
Произведем необходимые пересчеты:
Определим параметры трансформатора для
определения потери напряжения в нем:
Определяем потерю напряжения в трансформаторе:
Определяем напряжение на низкой стороне
трансформатора приведенное к высокой стороне:
Определим отклонение напряжения на низкой
стороне трансформатора:
5.2 Оценка отклонения напряжения на зажимах
высоковольтных потребителей электроэнергии и шинах низкого напряжения цеховых
трансформаторов
Согласно произведенным расчетам на всех
трансформаторах всех КТП в режиме максимальной нагрузки и режиме минимальной
нагрузки, а также в послеаварийном режиме работы напряжение на стороне НН
«поднято» устройством ПБВ на ступень +2,5.
Таблица 5.1 Определение отклонения напряжения в
максимальном режиме работы
|
№
КТП электроприемника
|
ТП-7
|
СД1
|
|
Режим
макс/мин/ПА
|
макс
|
макс
|
|
напряжение
в узле, В.
|
6300
|
6300
|
|
отклонение
напряжения, %
|
4,99
|
4,99
|
|
параметры
кабеля 10 кВ
|
r,
ом/км
|
0,59
|
|
|
х,
ом/км
|
0,09
|
|
|
L,
км
|
0,088
|
|
|
нагрузка
кабеля
|
Р,
кВт.
|
1337,29
|
|
|
Q,
кВАр.
|
143,06
|
|
|
напряжение
в узле, В.
|
6293,27
|
|
|
отклонение
напряжения, %
|
4,93
|
|
|
параметры
кабеля 6 кВ
|
r,
ом/км
|
|
0,59
|
|
х,
ом/км
|
|
0,09
|
|
L,
км
|
|
0,066
|
|
нагрузка
кабеля
|
Р,
кВт.
|
|
468
|
|
Q,
кВАр.
|
|
0
|
|
напряжение
в узле, В.
|
|
6297,07
|
|
отклонение
напряжения, %
|
|
4,95
|
|
с
учетом регулирования
|
напряжение
в узле, В.
|
6355,61
|
---
|
|
отклонение
напряжения, %
|
7,56
|
---
|
|
параметры
т-ра
|
r,
ом
|
0,71
|
---
|
|
х,
ом
|
3,79
|
---
|
|
нагрузка
т-ра
|
Р,
кВт.
|
1337,29
|
---
|
|
Q,
кВАр.
|
143,06
|
---
|
|
напряжение
в узле, В.
|
6273,45
|
|
|
отклонение
напряжения, %
|
2,7
|
|
Таблица 5.2 Определение отклонения напряжения в
минимальном режиме работы
|
№
КТП электроприемника
|
ТП-7
|
СД1
|
|
Режим
макс/мин/ПА
|
макс
|
макс
|
|
напряжение
в узле, В.
|
6000
|
6000
|
|
отклонение
напряжения, %
|
0
|
0
|
|
параметры
кабеля 10 кВ
|
r,
ом/км
|
0,59
|
|
|
х,
ом/км
|
0,09
|
|
|
L,
км
|
0,088
|
|
|
нагрузка
кабеля
|
Р,
кВт.
|
401,187
|
|
|
Q,
кВАр.
|
42,918
|
|
|
напряжение
в узле, В.
|
5997,88
|
|
|
отклонение
напряжения, %
|
-0,021
|
|
|
параметры
кабеля 6 кВ
|
r,
ом/км
|
|
0,59
|
|
х,
ом/км
|
|
0,09
|
|
L,
км
|
|
0,066
|
|
нагрузка
кабеля
|
Р,
кВт.
|
|
140,4
|
|
Q,
кВАр.
|
|
0
|
|
напряжение
в узле, В.
|
|
5999,08
|
|
отклонение
напряжения, %
|
|
-0,015
|
|
с
учетом регулирования
|
напряжение
в узле, В.
|
6247,83
|
---
|
|
отклонение
напряжения, %
|
2,48
|
---
|
|
параметры
т-ра
|
r,
ом
|
0,71
|
---
|
|
х,
ом
|
3,79
|
---
|
|
нагрузка
т-ра
|
Р,
кВт.
|
401,187
|
---
|
|
Q,
кВАр.
|
42,918
|
---
|
|
напряжение
в узле, В.
|
6096,01
|
|
|
отклонение
напряжения, %
|
0,82
|
|
Таблица 5.3 Определение отклонения напряжения в
послеаварийном режиме работы
|
№
КТП электроприемника
|
ТП-7
|
СД1
|
|
Режим
макс/мин/ПА
|
макс
|
макс
|
|
напряжение
в узле, В.
|
6300
|
6300
|
|
отклонение
напряжения, %
|
4,99
|
4,99
|
|
параметры
кабеля 10 кВ
|
r,
ом/км
|
0,59
|
|
|
х,
ом/км
|
0,09
|
|
|
L,
км
|
0,088
|
|
|
нагрузка
кабеля
|
Р,
кВт.
|
2674,58
|
|
|
Q,
кВАр.
|
286,12
|
|
|
напряжение
в узле, В.
|
6286,55
|
|
|
отклонение
напряжения, %
|
4,87
|
|
|
параметры
кабеля 6 кВ
|
r,
ом/км
|
|
0,59
|
|
х,
ом/км
|
|
0,09
|
|
L,
км
|
|
0,066
|
|
нагрузка
кабеля
|
Р,
кВт.
|
|
468
|
|
Q,
кВАр.
|
|
0
|
|
напряжение
в узле, В.
|
|
6297,07
|
|
отклонение
напряжения, %
|
|
4,95
|
|
с
учетом регулирования
|
напряжение
в узле, В.
|
6348,71
|
---
|
|
отклонение
напряжения, %
|
7,49
|
---
|
|
параметры
т-ра
|
r,
ом
|
0,71
|
---
|
|
х,
ом
|
3,79
|
---
|
|
нагрузка
т-ра
|
Р,
кВт.
|
2674,58
|
---
|
|
Q,
кВАр.
|
286,12
|
---
|
|
напряжение
в узле, В.
|
6283,78
|
|
|
отклонение
напряжения, %
|
-2,2
|
Синхронные двигатели получили широкое
распространение в промышленности для электроприводов, работающих с постоянной
скоростью (компрессоров, насосов и т.д.). В последнее время, вследствие
появления преобразовательной полупроводниковой техники, разрабатываются
регулируемые синхронные электроприводы.
Достоинства синхронных электродвигателей
Синхронный двигатель несколько сложнее, чем
асинхронный, но обладает рядом преимуществ, что позволяет применять его в ряде
случаев вместо асинхронного.
. Основным достоинством синхронного
электродвигателя является возможность получения оптимального режима по
реактивной энергии, который осуществляется путем автоматического регулирования
тока возбуждения двигателя. Синхронный двигатель может работать, не потребляя и
не отдавая реактивной энергии в сеть, при коэффициенте мощности (cosф)
равным единице. Если для предприятия необходима выработка реактивной энергии,
то синхронный
электродвигатель, работая с перевозбуждением, может отдавать ее в сеть.
2. Синхронные электродвигатели менее
чувствительны к колебаниям напряжения сети, чем асинхронные электродвигатели.
Их максимальный момент пропорционален напряжению сети, в то время как
критический момент асинхронного электродвигателя пропорционален квадрату
напряжения.
3. Синхронные электродвигатели имеют
высокую перегрузочную способность. Кроме того, перегрузочная способность
синхронного двигателя может быть автоматически увеличена за счет повышения тока
возбуждения, например, при резком кратковременном повышении нагрузки на валу
двигателя.
4. Скорость вращения синхронного
двигателя остается неизменной при любой нагрузке на валу в пределах его
перегрузочной способности.
Способы пуска синхронного электродвигателя
Возможны следующие способы пуска синхронного
двигателя: асинхронный пуск на полное напряжение сети и пуск на пониженное
напряжение через реактор или автотрансформатор.
Асинхронный пуск синхронного электродвигателя
Схема возбуждения синхронного двигателя с
глухоподключенным возбудителем довольно проста и может применяться в том
случае, если пусковые токи не вызывают падения напряжения в сети больше
допустимого и статистический момент нагрузки Мс < 0,4 Мном.
Асинхронный пуск синхронного двигателя
производится присоединением статора к сети. Двигатель разгоняется как
асинхронный до скорости вращения, близкой к синхронной.
В процессе асинхронного пуска
обмотка возбуждения замыкается на разрядное сопротивление, чтобы избежать
пробоя обмотки возбуждения при пуске, так как при малой скорости ротора в ней
могут возникнуть значительные перенапряжения. При скорости вращения, близкой к
синхронной, срабатывает контактор
<#"802260.files/image164.gif">
Рис. 5.1. Типовые узлы схем
возбуждения синхронного двигателя
Использование тиристорных
возбудителей для пуска синхронных электродвигателей
Слабым местом большинства
электроприводов с синхронными двигателям, значительно усложняющим эксплуатацию
и повышающим затраты, многие годы являлся электромашинный возбудитель. В
настоящее время широкое распространение для возбуждения синхронных двигателей
находят тиристорные возбудители. Они поставляются в комплектном виде.
Тиристорные возбудители синхронных
электродвигателей более надежны и имеют более высокий к.п.д. по сравнению с
электромашинными возбудителями. С их помощью легко решаются вопросы
оптимального регулирования тока возбуждения для поддержания постоянства cos фи,
напряжения на шинах, от которых питается синхронный двигатель, а также
ограничение токов ротора и статора синхронного двигателя в аварийных режимах.
Тиристорными возбудителями
комплектуется большинство выпускаемых крупных синхронных электродвигателей. Они
выполняют обычно следующие функции:
пуск синхронного двигателя с
включенным в цепь обмотки возбуждения пусковым резистором,
бесконтакное отключение пускового
резистора после окончания пуска синхронного двигателя и защиту его от
перегрева,
автоматическую подачу возбуждения в
нужный момент пуска синхронного электродвигателя,
автоматическое и ручное
регулирование тока возбуждения
необходимую форсировку возбуждения
при глубоких посадках напряжения на статоре и резких набросах нагрузки на валу
синхронного двигателя,
быстрое гашение поля синхронного
двигателя при необходимости снижения тока возбуждения и отключениях
электродвигателя,
защиту ротора синхронного двигателя
от длительной перегрузки по току и коротких замыканий.
Если пуск синхронного
электродвигателя производится на пониженное напряжение, то при «легком» пуске
возбуждение подается до включения обмотки статора на полное напряжение, а при
«тяжелом» пуске подача возбуждения происходит при полном напряжении в цепи
статора. Возможно подключение обмотки возбуждения двигателя к якорю возбудителя
последовательно с разрядным сопротивлением.
Процесс подачи возбуждения
синхронному двигателю автоматизируется двумя способами: в функции скорости и в
функции тока.
На схеме, приведенной на рисунке,
подача возбуждения синхронному двигателю осуществляется с помощью
электромагнитного реле постоянного тока КТ (реле времени
<#"802260.files/image165.gif">
Рис. 5.2. Подача возбуждения
синхронному двигателю в функции скорости
При пуске скольжение S = 1. По мере
разгона двигателя оно уменьшается и интервалы между выпрямленными полуволнами
тока возрастают; магнитный поток постепенно снижается по кривой Ф(t).
При скорости, близкой к синхронной,
магнитный поток реле успевает достигнуть значения потока отпадания реле Фот в
момент, когда через реле КТ ток не проходит. Реле теряет питание и своим
контактом создает цепь питания контактора КМ (на схеме цепь питания контактора
КМ не показана).
Рассмотрим контроль подачи
возбуждения в функции тока с помощью реле тока. При пусковом токе срабатывает
реле тока КА и размыкает свой контакт в цепи контактора КМ2.
Рис. 5.3. График изменения тока и
магнитного потока в реле времени КТ
Рис. 5.4. Контроль подачи возбуждения
синхронному двигателю в функции тока
При скорости, близкой к синхронной,
реле КА отпадает и замыкает свой контакт в цепи контактора КМ2. Контактор КМ2
срабатывает, замыкает свой контакт в цепи возбуждения машины и шунтирует
резистор Rразр.
Произведем проверку условий прямого
пуска СД, исходя из рассчитанных сопротивлений СД при расчете токов к.з.
При резких пусках: хдв ≥ 4 хс.
При частых пусках: хдв ≥ 9 хс.
Подставляя численные значения, при
резких пусках получаем
хдв / хс ≥ 9 или
,22 / 0,33 = 15,8 ≥ 9.
6. Конструктивное исполнение системы
электроснабжения
Существующая схема электроснабжения включает в
себя следующие элементы:
. Кабельные линии 6 кВ: трехжильный кабель марки
ААШв.
Вводной высоковольтный выключатель типа
ВВТЭ-М-10-12,5/630 защищает питающую шину 6 кВ ГПП.
. На трансформаторных подстанциях установлены
двухобмоточные трансформаторы типа ТМ-1000/6.
С учетом необходимости, а также наличия
оборудования схема заполнения РУ 6-10 кВ может иметь различные варианты по
числу ячеек, виду оборудования.
Предлагаемая схема электрических соединений шин
6 кВ ГПП представлена на однолинейной схеме. Схема электрических соединений на
стороне 6 кВ выполнена с одной секционированной системой шин.
Комплектное распределительное устройство (далее
- КРУ), состоящее из шкафов бронированного типа (с разделением на отсеки) и
шинных мостов к ним, предназначенных для приема и распределения электрической
энергии трехфазного переменного тока частотой 50 Гц на номинальное напряжение
до 10 кВ в сетях с изолированной или компенсированной нейтралью и могут
использоваться для комплектования закрытых распределительных устройств
электростанций, трансформаторных подстанций и распределительных пунктов.
В ЗРУ - 6 кВ предлагается установить вакуумные
выключатели серии ВВТЭ. Вакуумные выключатели предназначены для работы в
распределительных устройствах (КРУ) и камерах стационарных одностороннего
обслуживания (КСО).
Такая конструкция дает ряд преимуществ над
традиционными выключателями:
высокий механический ресурс;
малое потребление по цепям включения и
отключения;
малые габариты и вес;
низкая трудоемкость производства и как следствие
умеренная цена.
7. Расчет заземления и грозозащиты подстанции
.1 Выбор конструкции и расчет параметров
защитного заземления
Для электроустановок с эффективно заземленной
нейтралью напряжением 110 кВ заземлитель рассчитывается по допустимому
напряжению прикосновения (шага).
Площадь подстанции составляет м2.
Заземлитель предполагается выполнить из горизонтальных полосовых электродов
сечением 4 20 мм и
вертикальных электродов длиной = 5 м, диаметром = 12 мм,
глубина заложения электродов = 0,7 м. Удельное сопротивление
земли составляет Ом/м, = 100 Ом/м.
Полное время отключения выключателя = 0,055с. Время действия релейной
защиты =0,1 с.
Ток, стекающий с заземлителей
подстанции при однофазном КЗ в пределах подстанции, А,
где - ток однофазного КЗ в месте
повреждения, А;
- результирующее индуктивное
сопротивление нулевой последовательности до места КЗ, Ом;
- сопротивлении нулевой
последовательности трансформаторов, Ом, можно принять =34,7, .
Ток, стекающий с заземлителей
подстанции при внешнем однофазном КЗ, А
В дальнейших расчетах принимается
большее значение =2465 А.
Расчёт заземлителей производится по
допустимому напряжению шага.
Время отключения короткого замыкания
, с,
определяется по выражению
Согласно допустимое напряжение
прикосновения при составляет
445 В. Коэффициент прикосновения, , определяется по формуле
где функция, принимаемая для отношения равной 0,75
[8];
длина вертикального электрода, м;
длина горизонтального электрода, м;
расстояние между вертикальными
электродами, м;
коэффициент, определяемый по
сопротивлению тела человека и сопротивлению растекания тока от ступеней,
сопротивление тела человека, Ом.
Напряжение на заземлителе при
однофазном коротком замыкании , В,
Данное значение меньше допустимого,
равного 10 кВ.
Допустимое сопротивление
заземляющего устройства , Ом,
Действительный план заземляющего
устройства преобразуется в расчетную модель со стороной действительный
план и расчётная модель заземления подстанции представлены на рисунке 5.1.
Число ячеек на стороне квадрата
Принимается m = 4.
Длина полос в расчетной модели , м,
Длина стороны ячейки , м,
Число вертикальных заземлителей по
периметру контура при = k » 1 :
Общая длина вертикальных
заземлителей , м,
Относительная глубина погружения в
землю вертикальных электродов , м,
Коэффициент А
Эквивалентное удельное сопротивление
двухслойной земли , Ом/м,
где показатель степени, рассчитываемый
по формуле,
Общее сопротивление сложного
заземлителя , Ом,
Напряжение прикосновения, В,
Что больше допустимого значения 400 В.
Необходимо принять меры для снижения
.
Применяется подсыпка слоем гравия толщиной 0,2 м в рабочих местах. Подсыпка
гравием не влияет на растекание тока с заземляющего устройства, так как глубина
заложения заземлителей 0,7 м больше толщины слоя гравия, поэтому соотношение и величина
М остаются неизменными.
Удельное сопротивление верхнего слоя
в этом случае .=3000 Ом·м,
тогда
Из расчета видно, что подсыпка гравием
обеспечивает снижение напряжения прикосновения.
.2 Расчёт молниезащиты
Для защиты подстанции от прямых попаданий молнии
устанавливаются два стержневых молниеотвода, один из которых находится на
анкерной опоре отходящей линии электропередачи. Наиболее высокая точка
подстанции расположена на высоте 7 м (ОРУ).
Активная высота молниеотвода , м,
определяется по выражению
где высота молниеотвода, 30 м.
Зона защиты , м, одного
молниеотвода
где для м.
Наибольшая высота зоны защиты , м,
где расстояние между молниеотводами, м,
а = 52,8.
Ширина зоны защиты , м, на
уровнях
8. Проектирование цехового
электроснабжения
.1 Характеристика цеха и
технические показатели электроприемников
Отделение
кузнечно-прессовочного цеха имеет размеры 96Ч56 общей площадью 5376 м2.
Технологическое оборудование, потребляющее электроэнергию, размещено с учётом
соблюдения норм и правил эксплуатации.
Похожие работы на - Электроснабжение группы цехов завода по переработке медной руды
|