Методы расчета источников питания различных схемных решений, с заранее заданным выходным напряжением
Содержание
Введение
. Понижающий мостовой
выпрямитель
. Расчет выпрямителя с
удвоением напряжения при автотрансформаторном питании от сетки
. Бестрансформаторный
выпрямитель с умножением напряжения
Литература
Приложение А
Приложение Б
Введение
В настоящее время, подавляющее
большинство бытовых и профессиональных электроприборов для своей работы требуют
постоянный электрический ток. Развитие цифровой электроники, привело к
применению цифровых управляющих узлов в электроинструментах, в управлении различными
электрическими двигателями и пр. По вышеназванным причинам особое значение
приобретает создание и производство надежных и эффективных преобразователей
переменного тока в постоянный, с заданным выходным напряжением и его
коэффициентом пульсации.
Целью настоящей работы является
рассмотрение методов расчета источников питания различных схемных решений, с
заранее заданными выходным напряжением и коэффициентом пульсации выходного
напряжения.
1. Понижающий мостовой выпрямитель
Исходные данные: Uн0 = 38 В; I0 = 415 мА; U1 = 127 В; f=50 Гц; Kп.вых = 0,1%.
Схема выпрямителя приведена на
рисунке 1
Рисунок 1 - Мостовая схема
выпрямителя с двойным LC-фильтром
Для выбора типа диодов используем
следующие соотношения для данного типа схем:

отсюда
Используя полученные
данные и данные приложения Б, выбираем диоды типа Д7Б с Uобр=100 В; Iср=300мА;
Ri=2 Ом.
Определяем сопротивление
трансформатора
Из выражения (4)
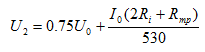
Напряжение на вторичной
обмотке трансформатора
Из выражения (5)
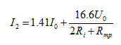
Токи в обмотках
трансформатора.
Ток вторичной обмотки
равен
Из выражения (36)
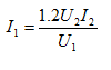
Ток первичной обмотки I1 равен
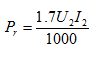
Вычисляем габаритную мощность
трансформатора, которая для двухполупериодной схемы определяется выражением
QcQ0 =1,6Pг для провода марки ПЭЛ; QcQ0 =2,0Pг для провода марки ПЭШО; QcQ0 =2,4Pг для провода марки ПШД.
Выбираем для нашего примера провод
марки ПЭЛ. При этом получаем

Из приложения А, в котором приведены
основные данные типовых Ш-образных пластин, по значению QсQ0 выбираем для сердечника трансформатора пластины типа Ш28 с Q0=5,88 см2, шириной среднего стержня сердечника, а=2,8
см, высотой окна h=4,2 см и шириной окна b= 1,4 см (как показано в приложении А). При этом получаем
Необходимая толщина
пакета пластин
Отношение с/а= 1/1,6= 1. Его
рекомендуется брать в пределах 1-2. Если отношение с/а выйдет за эти пределы,
то необходимо выбрать другой тип пластин.
Определяем число витков w и толщину провода d первичной и вторичной обмоток
трансформатора
Из выражения
Из выражения
витков
Из выражения
Из выражения
Расчет фильтра.
Емкость конденсатора на входе
фильтра.
Из выражения
Выбираем два электролитических
конденсатора по 150 мкФ, при этом С0 = 300 мкФ. Номинальное
напряжение конденсаторов

Из выражения
Коэффициент пульсаций выпрямленного
напряжения на входе фильтра
Из выражения
Необходимый коэффициент сглаживания
фильтра

Из выражения
Так как в нашем примере q>25 и I0>20 мА, выбираем двухзвенный LC-фильтр.
Коэффициент сглаживания одного звена
Из выражения
Определяем произведение LфСф по формуле

Из выражения
Задаемся емкостью Сф так,
чтобы индуктивность дросселя фильтра не превышала 5-10 Гн. Принимаем Сф
= 30 мкФ, при этом получаем
Из выражения
Принимая полную длину зазора в
сердечнике дросселя l = 1 мм, находим сечение сердечника Qc, число витков w
и диаметр провода d обмотки

Из выражения
Из выражения (24)
Из выражения
Сечение обмотки
Из выражения
По произведению QcQw=7,8
=12,5 см4
выбираем пластины типа Ш12 с сечением окна Qo=7,68 см2(как
показано в приложении А). С учетом объема, занимаемого стенками каркаса и
изоляционными прокладками, сечение Q0 должно быть несколько больше,
чем сечение обмотки Qw. Для выбранного типа пластин ширина сердечника
стержня а = 1,2 см, ширина окна сердечника b
= 1,6 см.
Проверяем значение
выпрямленного напряжения на нагрузке, для чего определяем среднюю длину обмотки
lw и сопротивление провода обмотки Rw

при этом падение напряжения на
двухзвенном фильтре


и напряжение на нагрузке

. Расчет выпрямителя с удвоением
напряжения при автотрансформаторном питании от сетки
Схема выпрямителя на
рисунке 2, исходные данные: Uн0
= 250 В; I0 = 80 мА; U1=127 В; Kп.вых
= 0,1 %
Рисунок 2- Схема
выпрямителя с удвоением напряжения и транзисторным фильтром
Выбираем вид диодов, для
чего определяем обратное напряжение


средний ток
Iср = I0 = 80 мА
Выбираем высоковольтные диоды типа
Д210 с Uобр = 500 В; Iср = 100 мА; Ri = 5 Ом (как показано в приложении Б).
Расчет автотрансформатора. Tак как U0 больше 2U1, то на первый взгляд требуется повышающий
автотрансформатор. Однако, так как Uн0 меньше чем на 2% меньше 2U1,
становится возможным либо отказаться от использования автотрансформатора, либо
использовать любой автотрансформатор с соотношением числа витков первичной и
вторичной обмоток 1:1.
Находим мощность автотрансформатора,
которая в схеме с удвоением напряжения равна

Определяем выходное напряжение
автотрансформатора, которое для схемы с удвоением напряжения равно
Принимая U2 =
124 В, определяем токи, 
ток первичной обмотки, 
ток вторичной обмотки
Габаритная мощность повышающего
автотрансформатора
По формулам находим произведение QcQ0 для сердечника, автотрансформатора. Приняв марку провода обмотки
ПЭШО, получаем

Найденному значению QcQ0 не соответствует ни один тип пластин из приложения А. Поэтому
принимаем решение отказаться от использования автотрансформатора и использовать
непосредственное подключение выпрямителя к сети.
Расчет фильтра. Емкость конденсатора
на входе фильтра.
Номинальное напряжение конденсаторов
должно удовлетворять

Коэффициент пульсации
напряжения на входе фильтра
При этом коэффициент сглаживания
фильтра должен быть
В качестве фильтра можно применить
LC-фильтр или транзисторный фильтр. Применим транзисторный фильтр. Выбираем
транзистор, коллекторный ток которого удовлетворяет условию Iкмакс≥ 2I0. Выберем транзистор типа П201 со следующими параметрами: Iкмакс = 1,5 А, h21э = 20, |Uкэмакс| ~ 30 В, обратный коллекторный ток IКБО≤ 0,4 мА, сопротивление коллекторного перехода rк
= 104 Ом (как показано в приложении В). Принимая сопротивление
резистора R1=100 Ом, находим емкость конденсатора
где m - число фаз выпрямления;
f = 50 Гц - частота сети.
Из выражения (44)
Номинальное напряжение конденсатора
должно удовлетворять условию Uc≥ 1,5I0R1 = 1,5·80·10-3·100 = 12 В. Задаемся падением напряжения
на транзисторе UKЭ~ (0,3ч 0,7)Uкэмакс, но не более 15-20
В. Принимаем Uкэ = 17 В.
Определяем сопротивление резистора
R2 по формуле


В исходном расчете из выражения

Из выражения для коэффициента
сглаживания фильтра (без конденсатора С0)
где fп - частота пульсаций выпрямленного напряжения (для
двухполупериодных схем fп = 2f0, для однополупериодных fп = fc).Находим емкость
конденсатора Сф, необходимую для получения требуемого значения q.
Принимаем Сф= 10 мкФ с
номинальным напряжением
Uc≥ 1,2Uн0
Uc=1,2·250=300 В
Проверяем значение выпрямленного
напряжения на нагрузке

где падение напряжения на фильтре
. Бестрансформаторный выпрямитель с
умножением напряжения
Произведем расчет выпрямителя с
умножением напряжения (рисунок 3), если заданы: Uн0 = 280 В; I0=17мА; U1=127 В; Kп.вых=0,3%.
Рисунок 3 - Схема выпрямителя с
утроением напряжения и однозвенным RC-фильтром
ток напряжение автотрансформаторный
Выбор числа каскадов
умножения и типа диодов. Желательно выбрать такое число каскадов, при котором
требуемое напряжение U2 было бы близким к напряжению U1 или несколько меньше его (U2
U1).В
этом случае можно применить схему с бестрансформаторным включением выпрямителя
в сеть. Подставив в формулу для U2 = 0,85 U0/n, вместо
напряжения U2 напряжение U1
найдем число каскадов
где принято

Обратное напряжение
равно


Выбираем диоды типа Д208 с Uобр = 300 В; Iср = 100 мА; Ri = 5 Ом (как
показано в приложении Б).
Так как в нашем примере напряжение
лишь немного меньше напряжения U1, то применим бестрансформаторное
включение выпрямителя в сеть. Для получения напряжения на входе выпрямителя,
равного U2, включается добавочный
резистор Rдоб. Это сопротивление
удобно определить экспериментально.
Расчет фильтра. Определяем емкости
конденсаторов.
Номинальное напряжение конденсаторов
Коэффициент пульсации напряжения на
входе фильтра
Для получения заданного Кп.вых
= 0,3% потребуется фильтр с коэффициентом сглаживания q= Кп.вх/ Кп.вых
=5,9/0,3=19,7. Для данного примера (q<25; I0<20 мА) выбираем
однозвенный RС-фильтр.
Произведение

Выбираем сопротивление Rф
из условия допустимого падения напряжения на фильтре
При этом получаем
Выбираем конденсатор с номинальным
напряжением
Uс≥1,2Uн0
Из выражения (65)с
= 1,2·280=336 В
Литература
1. Аккабанов А.Б., Тастенов А.Д.,
Кошербаев Т.А. Расчет однофазного стабилизированного источника питания. -
Павлодар: НИЦ ПГУ им. С. Торайгырова, 2005
. Хоровиц П., Хилл У. Искусство
схемотехники в 2-х томах. Том 1. - М.:Мир, 1986
. Розанов Ю.К. Основы силовой
электроники. - М.: Энергоатомиздат, 1992
Приложение А
Таблица 1 - Типы пластин
|
Размеры
|
|
|
Тип пластины
|
Ширина среднего стержня a, см
|
Ширина окна b, см
|
Высота окна h, см
|
Площадь окна  ,
смІПределы , 
|
|
|
Ш-10
|
1
|
0,5
|
1,5
|
0,75
|
0,75-1,5
|
|
Ш-10
|
1
|
0,65
|
1,8
|
0,17
|
1,17-2,34
|
|
Ш-10
|
1
|
1,2
|
3,6
|
4,32
|
4,32-8,64
|
|
Ш-12
|
1,2
|
0,6
|
1,8
|
1,08
|
1,56-3,12
|
|
УШ-12
|
1,2
|
0,8
|
2,2
|
1,76
|
2,53-5,06
|
|
Ш-12
|
1,2
|
4,8
|
7,68
|
11,1-22,2
|
|
Ш-14
|
1,4
|
0,7
|
2,1
|
1,47
|
2,88-5,76
|
|
Ш-14
|
1,4
|
0,9
|
2,5
|
2,25
|
4,41-8,82
|
|
Ш-15
|
1,5
|
1,35
|
2,7
|
3,65
|
8,21-16,4
|
|
Ш-16
|
1,6
|
0,8
|
2,4
|
1,92
|
4,91-9,82
|
|
УШ-16
|
1,6
|
1
|
2,8
|
2,8
|
7,17-14,3
|
|
Ш-18
|
1,8
|
0,9
|
2,7
|
2,43
|
7,87-15,7
|
|
Ш-19
|
1,9
|
1,2
|
3,35
|
4,02
|
14,5-29
|
|
Ш-20
|
2
|
1
|
3
|
3
|
12-24
|
|
Ш-20
|
2
|
1,7
|
4,7
|
7,99
|
32-64
|
|
УШ-22
|
2,2
|
1,4
|
3,9
|
5,46
|
26,4-52,8
|
|
Ш-25
|
2,5
|
2,5
|
6
|
15
|
93,7-180,7
|
|
Ш-25
|
3,15
|
5,8
|
18,3
|
114-228
|
|
Ш-28
|
2,8
|
1,4
|
4,2
|
5,88
|
46,5-93
|
|
УШ-30
|
3
|
1,9
|
5,3
|
10,1
|
91-182
|
|
Ш-32
|
3,2
|
3,6
|
7,2
|
25,9
|
265-530
|
|
УШ-35
|
3,5
|
2,2
|
6,15
|
13,5
|
165-330
|
|
УШ-40
|
4
|
2,6
|
7,2
|
18,7
|
300-600
|
Приложение Б
Таблица 2 - Диоды выпрямительные
|
Тип диода
|
|
|
|
|
Д7А
|
50
|
300
|
2
|
|
Д7Б
|
100
|
300
|
2
|
|
Д7В
|
150
|
300
|
2
|
|
Д7Г
|
200
|
300
|
2
|
|
Д7Д
|
300
|
300
|
2
|
|
Д206
|
100
|
100
|
5
|
|
Д207
|
200
|
100
|
5
|
|
Д208
|
300
|
5
|
|
Д209
|
400
|
100
|
5
|
|
Д210
|
500
|
100
|
5
|
|
Д211
|
600
|
100
|
5
|