Исследование температурной зависимости свойств преобразователя оптического излучения
Дипломная
работа
Исследование
температурной зависимости свойств преобразователя оптического излучения
РЕФЕРАТ
оптический излучение
преобразователь прибор
ПРЕОБРАЗОВАТЕЛЬ ОПТИЧЕСКОГО ИЗЛУЧЕНИЯ,
ПИД-РЕГУЛЯТОР ОВЕН ТРМ101, ТЕМПЕРАТУРНАЯ ЗАВИСИМОСТЬ, НИОБАТ ЛИТИЯ, ТЕПЛОВАЯ
РАССТРОЙКА, ТЕПЛОВАЯ САМОФОКУСИРОВКА, ОПТИМАЛЬНЫЙ НАГРЕВ.
Объектом исследования данной дипломной работы
являются оптические свойства преобразователей оптического излучения при разных
температурах.
Целью дипломной работы является изучение
температурной зависимости оптических свойств преобразователей оптического
излучения.
В результате выполнения дипломной работы было
произведено изучение оптических свойств преобразователей оптического излучения,
при различных температурах и выведены зависимости этих показателей от
температуры образца. Также, в связи с возникшими сложностями, при попытках
нагревания кристалла было произведено изучение возможностей прибора для
нагревания кристаллов, собранного на базе ПИД-регулятора ОВЕН ТРМ101, и произведена
настройка прибора, написана инструкция по пользованию им, для возможности его
использования студентами в дальнейшем.
ВВЕДЕНИЕ
Люминесцентные параметры кристаллов, зависят от
их температуры, и для получения более полных знаний необходимо проводить
исследования при различных температурах. Для исследований было выбрано две
«температурные группы»:
. От температуры кипения азота, до
комнатной температуры.
. От комнатной температуры и до
температур плавления самих кристаллов.
Как то надо начать, но настройкой прибора до
этого никто не занимался, поэтому сначала была поставлена приоритетная задача:
изучить возможности прибора, а также составить подробную инструкцию для
использования прибора студентами в дальнейшем. При этом прибор необходимо было
настроить так, чтобы он удовлетворял следующим требованиям:
. Наиболее оптимальное время нагрева
(максимально быстрое, но при этом не разрушающее сам кристалл)
. Поддерживание необходимой температуры
нагрева в пределах ±1оС
. Минимальное количество параметров,
которые надо изменять для нормальной работы прибора.
Таким образом, целью дипломной работы так же
была настройка рабочего стенда, для изучения температурных зависимостей
оптических свойств кристаллов, в том числе ниобата лития, и испытание данного
прибора во время измерений.
1
Тепловая настройка, тепловой
синхронизм
В процессе генерации второй гармоники в
нелинейном кристалле происходит некоторое поглощение энергии основного
излучения и второй гармоники, и, как следствие, нагрев нелинейного кристалла. Он
играет существенную роль при относительно больших (больше 1Вт) средних
мощностях излучения, реализуемых в импульсных лазерах периодического действия
(частота повторения импульсов f=
10-103 Гц), квазинепрервных (f=10-103
кГц) и непрерывных лазерах. Нагрев кристалл, как правило, пространственно
неоднороден, что затрудняет, а зачастую и принципиально не позволяет
скомпенсировать тепловые эффекты.
1.1 Нелинейная тепловая расстройка,
нелинейная тепловая рефракция
В стационарном тепловом режиме световой пучок
распространяется в слабопоглощающей среде самосогласованно. Это означает, что
характеристики среды в известной мере определяются самим пучком, так что можно
говорить о самовоздействий светового пучка. В связи с этим используется термин
«тепловые самовоздействия».
В основе тепловых самовоздействий лежит
возникновение в нелинейном кристалле неоднородного температурного поля
вследствие поглощения излучения. Неоднородный нагрев кристалла приводит, в свою
очередь, к изменению показателей преломления волн основного излучения и второй
гармоники. Полное приращение ∆n
для каждого показателя преломления складывается из двух членов:
1
Здесь ∆nт
- приращение, связанное со свободным равномерным нагревом кристалла, а ∆n’
- приращение, обусловленное термоупругими напряжениями, возникающими из-за
неоднородного характера нагрева.
Пространственно-неоднородное распределение
значений показателей преломления обуславливает два побочных нелинейных эффекта,
влияющих на эффективность генерации второй гармоники. Во-первых, возникает
пространственно-неоднородное дисперсионное двулучепреломление B,
а, следовательно, и неоднородная по сечению пучка фазовая расстройка ∆k,
что существенно ограничивает эффективность преобразования. Во-вторых,
наблюдается эффект нелинейной рефракции (преломления). Иначе говоря, в
кристалле возникает тепловая линза, приводящая к тепловой самофокусировке или
самодефокусировке излучения.
Первый из указанных эффектов (возникновение
нелинейной тепловой расстройки) проявляется заметно раньше второго. При
рассмотрении тепловых самовоздействий вводят радиус тепловой самофокусировки Rнел,
который можно интерпретировать как фокусное расстояние тепловой линзы. При Rнел>>l
эффект нелинейной рефракции на длине кристалла l
не проявляется. При этом, однако, необходимо учитывать возникновение нелинейной
тепловой расстройки.
Фактически указанные эффекты имеют общее
происхождение. В результате возникновения неоднородного температурного поля (с
учетом вклада термоупругих напряжений) фазовый фронт световой искривляется.
Если на длине кристалла амплитудный профиль волны не успевает претерпеть
заметных изменений, то наблюдается только тепловая расстройка. В этом случае
фокальная точка для искривленного фронта лежит далеко за пределами кристалла (Rнел>>l),
и нелинейной рефракцией можно пренебречь. Говорят, что в рассматриваемом случае
имеет место внешняя тепловая самофокусировка. Если же Rнел
≤ l, то фокальная
точка попадает внутрь кристалла. То в таком случае имеет место внутренняя
тепловая фокусировка. Тогда амплитудный профиль успевает заметно измениться на
длине кристалла, что приводит к необходимости учета как тепловой расстройки,
так и к нелинейной рефракции[3].
Далее ограничимся лишь рассмотрением случая
внешней самофокусировки и, следовательно, будем пренебрегать нелинейной
рефракцией.
1.2 Основные допущения
Будем рассматривать аксионально-симметричную
задачу. Предположим, что нелинейный кристалл представляет собой цилиндр длинныlи
радиуса r0,
при этом r0<<l,
а усредненная по времени плотность мощности основного излучения на выходе
кристалла имеет вид:
(2)
Для импульсного или квазинепрерывного режима
усредненная плотность мощности S1(r,z)
выражается через мгновенную плотность мощности S1(r,z,t)
следующим образом:
(3)
Где f
- частота повторения импульсов.
Тепловую картину в кристалле условимся полагать
стационарной (будем использовать стационарное уравнение теплопроводности). Для
непрерывных лазеров это условие не вызывает возражений. В случае импульсных
лазеров периодического действия достаточно потребовать, чтобы выполнялось
неравенство:
(4)
Где τт
- характерное время установления теплового режима. Так, при ρ0=0,1см
можно принять τт≈1с;
в этом случае тепловую картину можно полагать стационарной при f>10
Гц.
Будем считать, что теплообмен кристалла с
окружающей средой (термостатом) осуществляется только через боковую
поверхность. При r0<<lможно
пренебречь краевыми эффектами в сечениях z=0
и z=l.
Наконец, будем пренебрегать дифракцией, апертурными эффектами и термоупругими
напряжениями, а также влиянием способа крепления нелинейного кристалла в лазере
с преобразованием частоты [7].
1.3 Критическая мощность самофокусировки
Температуру T(r,z)
в некоторой точке (r,z)
кристалла представим в виде
(5)
Здесь T(r0,z)
- температура боковой поверхности кристалла, ∆T(r,z)
- пространственно неоднородная «добавка», обусловленная поглощением излучения в
кристалле; ∆T(r0,z)=0.
Рисунок 1 - Зависимость температуры от
расстояния до центра пучка лазера
Функция T(r,z)
для некоторого фиксированного значения z
показана на рис.1; T0
- температура термостата, Тс - температура синхронизма (для данной
ориентации кристалла и данных значений λ1
и θс).
Благодаря внутренним источникам тепловыделения температура внутри кристалла тем
выше, чем меньше r. Обратим
внимание на наличие скачка температуры при переходе через боковую поверхность
кристалла. В результате возникает тепловой поток в направлении от кристалла к
термостату. В отсутствие этого потока говорят об идеальном тепловом контакте на
границе кристалл-термостат.
Волновая расстройка ∆k(r,z),
обусловленная отличием T(r,z)
от Tc, может быть
представлена в виде:
(6)
С учетом (5) перепишем это равенство следующим
образом:
(7)
Где
(8)
расстройка, связанная с отличием температуры
боковой поверхности кристалла (в сечении z)
от температуры синхронизма,
(9)
дополнительная расстройка, обусловленная
тепловыми самовоздействиями, или тепловая расстройка.
Используя (9), найдем полуширину ∆Т
температурной кривой синхронизма. Функция
Равна половине своего максимального значения при
∆kт.с.=π/l.
Подставляя в это равенство результат (9), находим искомую полуширину:
(10)
Введем критическую мощность тепловой
самофокусировки:
(11)
где ϰ - коэффициент теплопроводности. Если
средняя входная мощность основного излучения больше Pкр,
то фазовый фронт волны существенно искажается вследствие тепловых
самовоздействий.
Используя (11), перепишем (10) в виде
(12)
При Pкр=10-2
Вт, ϰ=1,3*10-2 Вт/см*К, l=4
см получаем ∆Т≈0,2 К. Приведенные оценки характерны для кристалла ADP.
Многие высокоэффективные кристаллы, например КТР, характеризуются значительно
более высокими ∆Т, достигающими единиц и даже десятков градусов. В этом
случае влиянием тепловых самовоздействий можно пренебречь[2].
С учетом (11) соотношения (8) и (9) преобразуются
к виду
(8а)
(9а)
1.4 Уравнение теплопроводности
Запишем уравнение теплопроводности в виде:
(13)
Это и есть стационарное уравнение
теплопроводности для аксиально-симметричного тела с внутренними источниками
тепловыделения. Последние описываются слагаемыми 2δiSi(r,z),
где S1(r,z)
и S2(r,z)
- усредненные по времени плотности мощности основного излучения и второй
гармоники соответственно.
Используя (9а), преобразуем уравнение (13) к
виду
(14)
Вводя усредненные по времени квадраты вещественных
амплитуд:
перепишем (14) следующим образом:
(15)
или
(16)
где ρ=r/ρ0.
При рассмотрении уравнения теплопроводности
используют условия разного типа. Граничные условия первого рода предполагают
задание определенных значений температур на поверхности тела. Граничные условия
второго рода задают на поверхности тела производную от температур по нормали к
поверхности, иначе говоря, задают плотность теплового потока через поверхность.
Граничные условия третьего рода предполагают, что тепловой поток через
поверхность тела пропорционален разности температур поверхности и термостата;
при этом задается коэффициент пропорциональности, его называют коэффициентом
теплоотдачи.
Граничные условия третьего рода в
рассматриваемом здесь случае могут быть записаны соотношением:
(17)
где α - коэффициент
теплоотдачи, ρ’= r0/ρ0.
С
учетом (8а) и (9а) преобразуем (17) к виду:
Это выражение можно переписать следующим
образом:
(18)
где
(19)
(20)
Безразмерный параметр Bi
(параметр Био) характеризует степень теплового контакта на границе
кристалл-термостат. При Bi→∞
тепловой контакт приближается к идеальному, что адекватно отсутствию теплового
потока через боковую поверхность кристалла. В этом случае граничное условие
(18) может быть заменено условием первого рода (задана постоянная температура
поверхности кристалла).
Исходя из системы укороченных уравнений для
вещественных амплитуд α1(z)
и α2(z)
и обобщенной фазы Ψ(z):
Полагая σ1=σ2=σ и
учитывая (7), перепишем эту систему в виде:
(21)
Введем вместо z
переменную ξ=zσa10,
где α10
- вещественная амплитуда волны основного излучения на входе кристалла на оси
пучка в максимуме импульса. Кроме того, введем обозначения:
(22)
В результате система уравнений (21) примет
следующий вид:
(23)
Генерация второй гармоники с учетом тепловых
самовоздействий может быть рассмотрена на основе решения систем укороченных
уравнений (23) совместно с уравнением теплопроводности (16). Таким образом,
надо решать следующую систему уравнений относительно функции u1,2(ρ,ξ,t),
Ψ(ρ,ξ), ∆k’т.с.(ρ,ξ):
(24)
с граничными условиями:
(25)
(26)
где Г’=Г/(2σα10).
Первые три уравнения в (24) - укороченные
уравнения для вещественных амплитуд и обобщенной фазы, четвертое - уравнение
теплопроводности.
Поскольку на практике применяются
слабопоглощающие нелинейные кристаллы, то в укороченных уравнениях в системе
(24) можно пренебречь потерями на поглощение излучения. Этого, однако, нельзя
делать в уравнении теплопроводности. Итак, вместо (24) можно без ограничения
общности рассматривать систему уравнений:
(27)
Заметим, что
(28)
Полагая для простоты, что импульсы основного
излучения и второй гармоники имеют прямоугольную форму:
(29)
где τи
- длительность импульса.
Также, поскольку u1(0,0;0)=1, получаем из (28)
(30)
Используя (2) и сопоставляя записанные выше
выражения, приходим к заключению, что
(31)
(32)
Отметим, что в случае прямоугольных (во времени)
световых импульсов справедливо соотношение:
(33)
Средняя мощность основного излучения в некотором
сечении ξ
определяется
выражением:
(34а)
Аналогично для средней мощности второй гармоники
имеем:
(34б)
Используя (32), находим из (34а):
(35)
Полагая ρ’>>1, можно
приближенно принять:
Вследствие пренебрежения в укороченных
уравнениях потерями на поглощение излучения имеет место соотношение:
(37)
Проинтегрируем четвертое уравнение в системе
(27) по ρ
от
0 до ρ’:
(38)
Используя (34), преобразуем (38) к
виду:
(39)
где:
(40)
- так называемые параметры теплового
самовоздействия.
Из (39) и (26) следует, что:
(41)
Вводя коэффициент преобразования по средней
мощности
(42)
И учитывая (27), перепишем (41) в виде:
(43)
1.5 Идеальный тепловой контакт
Перейдем к анализу различных ситуаций. Начнем со
случая, когда:
(44)
Это есть случай отсутствия дисперсии параметров
теплового самовоздействия при идеальном тепловом контакте кристалла с
термостатом. Условие v1=v2
означает,
что потери на поглощение излучения в кристалле, для волн основной частоты и
второй гармоники. При наличии идеального теплового контакта имеем:
(45)
В этом случае заданы граничные условия первого
рода: температура поверхности кристалла равна температуре термостата.
Перепишем четвертое уравнение в системе (27) с учетом
(29) и (36), положив n1=n2=n,
в виде:
(46)
Учитывая, что в рассматриваемом здесь случае v1=v2=v,
а значит, δ1’=δ2’=δ’,
и,
используя (40), преобразуем (46) к виду:
(47)
Далее, согласно (37),
и, следовательно,
(48)
Подставляя (48) в (47) и используя (31),
получаем:
(49)
В результате система уравнений (24) принимает
вид
(50)
Обратим внимание на то, что уравнение
теплопроводности «расцепилось» с укороченными уравнениями. Физически это
связанно с тем, что тепловая картина определяется поглощением суммарной средней
мощности взаимодействующих вон, которая в данном случае, при v1=v2,
практически постоянна в любом сечении ξ кристалла.
Из (49) видно, что тепловая расстройка ∆k’т.с.,
есть функция только радиальной переменной ρ и
постоянна по длине кристалла[6].
Последовательно проинтегрируем (49):
(51)
Вводя переменную интегрирования y=2ρ2,
перепишем (51) в виде:
(52)
Учитывая, что
(53)
где 
- интегральная показательная
функция, С=0,5772 - постоянная Эйлера-Маскерони, получаем окончательно:
(54)
Используя соотношение:
(55)
перепишем (54) с учетом (40) в виде:
(56)
Полагая ρ=ρ’
и учитывая, что при идеальном тепловом контакте Т(ρ’)=T0,
получаем из (56) выражение для температуры на оси пучка
(57)
Пусть δ=10-2
см-1, ϰ=2,6*10-3 Вт/см*К (LiNbO3)
, P1(0)=10
Вт, ρ’=2.
В
этом случае Т(0)-Т0=2 К, что заметно больше ширины температурной
кривой синхронизма; налицо весьма сильное влияние тепловых самовоздействий.
Вместе с тем, аналогичные расчеты для более современного кристалла
титанил-фосфита калия (КТР) показывают, что, поскольку ширина температурной
кривой синхронизма для этого кристалла даже для традиционно используемых срезов
составляет более 20оС, а для специального «аномально некритичного
среза» - более 200оС, то влиянием тепловых самовоздействий при ГВГ в
кристалле КТР в первом приближении можно пренебречь. Однако во всех случаях
использования кристаллов ГВГ лазерного излучения с большими средними мощностями
следует провести предварительные оценки перепада температур между центром луча
и термостатом и сравнить этот перепад с температурной шириной кривой
синхронизма[4].
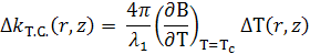
1.6 Замечания об оптимальной тепловой
расстройке
Полная расстройка ∆k(r)
на расстоянии r от оси пучка
определяется выражением:
(59)
Изменяя температуру термостата Т0,
можно управлять температурой Т(r)
и обеспечивать выполнение условия синхронизма, т. е. равенство Т(r)-Tc=0,
при разных значениях r.
На рис.2а условие синхронизма выполнено на оси
Рисунок 2 - Температурные кривые пучка, при r=0;
при этом во всех точках вне оси пучка имеем ∆k(r)<0.
На рис. 2б условие синхронизма выполнено при r=r1,
∆k<0 при r>r1
и ∆k>0 при 0≤r<r1.
Из общих соображений можно сделать вывод, что
выполнение условия синхронизма на оси пучка не обязательно является оптимальным
с точки зрения получения максимальной выходной мощности второй гармоники. Ведь
при r=0 пучок основного
излучения имеет наибольшую интенсивность; поэтому для приосевых парциальных
лучей процесс генерации второй гармоники может идти достаточно эффективно даже
при ∆k(0)≠0.
Обеспечивая выполнение условия синхронизма при некотором ненулевом значении
радиальной переменной r1.
В результате может быть реализована максимальная мощность второй гармоники. При
этом расстройку ∆kт.с.(r1)
называют оптимальной тепловой расстройкой. Величина r1,
а, следовательно, и требуемая температура термостата, могут быть вычислены
оптимизацией зависимости P2(∆k(0))[1].
2.
Практическая часть
Рабочая установка, для нагрева образцов
кристаллов состоит из ПИД-регулятора ОВЕН ТРМ101, нагревателя и термопары.
ПИД-регулятор ТРМ101 служит управляющим модулем. К выходу ТРМ101 подключен
нагреватель, на который подается управляющий сигнал от ПИД-регулятора. Так же
ко входу ПИД-регулятора подключен термоэлектрический преобразователь ДТПL014-00.20/2,
который, в зависимости от температуры исследуемого кристалла, подает на этот
вход определенный сигнал, за счет которого ТРМ101 рассчитывает управляющий
сигнал на выходе.
2.1 Описание возможностей ОВЕН ТРМ101
Лицевая панель ПИД-регулятора ОВЕН ТРМ101
состоит из:
. Экрана, на котором отображаются
необходимые параметры.
. Световых индикаторов, которыепоказывают
состояние, в котором находится прибор
. Кнопок управления прибором.
Внешний вид лицевой панели ПИД-регулятора
представлен на рисунке 3.
Рисунок 3 - Внешний вид лицевой панели ТРМ 101
Функции кнопок при программировании:
|
|
для
входа в МЕНЮ параметров, далее - в нужную группу параметров и для
циклического пролистывания параметров в группе (при этом значение текущего
параметра при каждом нажатии кнопки записывается в память).
|
|

|
служат
для перехода между пунктами МЕНЮ параметров;
|
|
|
увеличивает
значение параметра
|
|
|
уменьшает
значение параметра
|
|
 
|
Одновременное
нажатие кнопок - доступ к набору кода для входа в группу защищенных
параметров
|
Светодиоды показывающие состояние, в котором
находится прибор:
|
«СТОП»
|
регулятор
остановлен
|
|
«АН»
|
Идет
автонастройка
|
|
«РУЧ»
|
прибор
находится в режиме ручного управления
|
|
«RS»
|
прибор
осуществляет обмен данными с сетью RS 485
|
|
«К1»
|
включено
ВУ1
|
|
«К2»
|
включено
ВУ2
|
|
«AL»
|
регулируемая
величина выходит за заданные пределы;
|
|
«LBA»
|
обнаружен
обрыв в цепи регулирования.
|
В связи, с тем, что цифровой индикатор прибора
не способен в полной мере выводить символы латинского алфавита, каждой из букв
был присвоен соответствующий символ цифрового индикатора ТРМ101. Таблица
соответствия символов, показываемых на экране прибора, с буквами латинского
алфавита представлена ниже.
Настройка прибора осуществляется при помощи
задания параметров на экране, сами параметры распределены по группам.
Рабочая группа (LvoP):
· r-S
- запуск/остановка регулятора: rUn
= регулятор работает StoP
= регулятор остановлен;
· At
- запуск/остановка автонастройки: rUn
= автонастройка запущена StoP
= автонастройка остановлена;
· о - рассчитанное прибором значение
выходной мощности, от 0 до 100% (изменять нельзя)
Так же в рабочей группе находятся 2 варианта
режима «РАБОТА» :
. на верхнем индикаторе находится
значение измеренной величины;
. на верхнем индикаторе находится
значение измеренной величины, на нижнем - установка регулятора SP.
Значение установки можно изменять кнопками вверх и вниз (ограничено параметрами
SL-L
и SL-H
группы init)
Параметры основных настроек прибора (init):
· in-t
- тип входного датчика (типы датчиков указаны в описании к прибору);
· dPt
-
точность вывода температуры (0,1), задает число знаков после запятой при
отображении температуры на индикаторе;
· dP
- положение десятичной точки в значении измеряемой величины (0,1,2,3 знака
после запятой);
· in-L
- нижняя граница диапазона измерения -1999... 9999, с учетом положения
десятичной точки;
· in-H
- верхняя граница диапазона измерения -1999... 9999, с учетом положения
десятичной точки;
· SL-L
- нижняя граница задания уставки. Значения в ед. измерения, от нижней до
верхней границы диапазона измерения датчика;
· SL-H
- Верхняя гранима задания уставки. Значения в ед. измерения, от нижней до
верхней границы диапазона измерения датчика;
· SH
- Сдвиг характеристики датчика. Значения в ед. измерения -500... +500, с учетом
положения десятичной точки;
· KU
- Наклон характеристики датчика. Значения в относительных.ед. 0,500... 2,000;
· Fb
- Полоса цифровою фильтра. Значения в ед. измерения 0... 9999, с учетом
положения десятичной точки;
· In-F
- Постоянная времени цифрового фильтра. Значения 0... 999 с;
· ALt
- Тип логики работы компаратора (значения данного параметра указаны в описании
к прибору);
· AL-d
- порог срабатывания Х компаратора. Значения в ед. измерения, от in-L
до in-H.
При Alt = 0параметр
не появляется;
· AL-H
- гистерезис ∆ компаратора. Значения в ед. измерения от 0 до in-H.
При Alt = 0параметр
не появляется;
· An-L
- нижняя граница диапазона регистрации ЦАП 2. Значения в ед. измерения
-1999…9999, с учетом десятичной точки(появляется только для аналогового выхода
2);
· An-H
- верхняя граница диапазона регистрации ЦАП 2. Значения в ед. измерения
-1999…9999, с учетом десятичной точки(появляется только для аналогового выхода
2);
· Ev-1
- Функции ключа на дополнительном входе при дистанционном управлении
регулятором. none =
дополнительный вход не задействован, n-o
= запуск при размыкании ключа, n-C
= запуск при замыкании ключа;
· orEU
- способ управления при регулировании. or-d
= прямое управление (холодильник), or-r
= обратное управление (нагреватель);
· CP
- период следования управляющих импульсов. Значения 1…250с.
Параметры регулирования и LBA
(Adv):
· vSP
- скорость изменения уставки. Значения 0... 9999 ед. изм./мин, с учетом
положения десятичной точки
· CntL
- режим регулирования: Pid
= ПИД-регулятор, onoF = двухпозиционный регулятор;
· HYSt
- гистерезис при двухпозиционном регулировании. Значения 0... 9999 ед.
измерения с уютом положения десятичной точки;
· onST
- состояние выхода 1 в режиме "остановка регулирования": on
= "вкл." off =
“выкл.";
· onEr
- состояние выхода 1 в режиме 'ошибка": on
= "вкл." off =
“выкл.";
· rAmP
- режим быстрого выхода на уставку: on
= "вкл." off =
“выкл.";
· P
- полоса пропорциональности ПИД-регулятора. Значения 1... 9999 ед. измерения с
учетом положения десятичной точки;
· i
- интегральная постоянная ПИД-регулятора. Значения 0... 3999 с. При i
- 0 в регуляторе отключается действие интегральной составляющей;
· d
- дифференциальная постоянная ПИД-регулятора. Значения 0... 3999 с. При d
- 0 в регуляторе отключается действие дифференциальной составляющей;
· db
- зона нечувствительности ПИД-регулятора. Значения 0... 200 ед. измерения с
учетом положения десятичной точки;
· oL-L
- минимальная выходная мощность (нижний предел). Значения в % от 0 да oL-H;
· orL
- максимальная скорость изменения выходной мощности. Значения 0,2... 100 %/с;
· mvEr
- значение выходного сигнала в состоянии “ошибка”. Значения 0... 100%;
· mdSt
- состояние выхода 1 в режиме "остановка регулирования":
· mvSt
- значение выходной мощности в состоянии "остановка регулирования".
Значения 0... 100%;
· LbA
- время диагностики обрыва контура. Значения 0... 9999с с учетом положения
десятичной точки. При LbA=0
функция обнаружения обрыва контура не работает;
· LbAb
- ширина зоны диагностики обрыва контура. Значения 0... 9999 ед. измерения. При
LbA=0 параметр на
дисплее не появляется.
Параметры обмена по RS-485
(Comm)
· bPS
- скорость обмена в сети. Значения: 2.400,4.800,9.600,14.400
19.200,28.800,38.400,57.600,115.200 бит/с. Должна соответствовать параметру
сети;
· Addr
- номер прибора в сети. Значения 0... 2047. Запрещается устанавливать
одинаковые номера нескольким прибором в одной шине;
· ALEn
- длина сетевого адреса. Значения: 8 бит,16 бит;
· rSdL
- задержка ответа от прибора по RS-485 1..45мс.
Для того, чтобы перейти в какую либо из групп
параметром необходимо сначала зажать и удерживать в течении 6сек. кнопку
,
затем при помощи кнопок 
необходимую группу
параметров, после этого однократно нажать кнопку
.
Далее, в группе, переход между парраметрами осуществляется при помощи
однократного нажатия
, а изменение самих
парраметров: нажатием 
[5].
2.2 Програмирование ПИД-регулятора
В связи с тем, что прибор создан для нагрева
образцов кристаллов и последующего поддержания необходимой температуры,
основным задаваемым параметром является температура нагрева. Находится данный
параметр в рабочей группе, во втором варианте режима «РАБОТА». После
выставления температуры, для запуска прибора, необходимо параметр r-S
перевести в положение rUn.
При этом на выходе регулятора вырабатывается управляющий (выходной) сигнал Yi,
действие которого направлено на уменьшение отклонения Еi
(60)
Где: Xp- полоса
пропорциональности; Ei - разность между заданным Tуст и текущим Ti значением
измеряемой величины, или рассогласование; τд -
постоянная времени дифференцирования (программируемый параметр «дифференциальная
постоянная» - d); ∆Еi - разность
между двумя соседними измерениями Ei и Ei-1; ∆tизм - время
между двумя соседними измерениями; τи - постоянная времени
интегрирования (программируемый параметр «интегральная постоянная» - i); 
- накопленная сумма
рассогласований.
Из формулы () видно, что при
ПИД-регулировании сигнал управления зависит от:
. разницы между текущим
параметром Тi и заданным значением Туст
измеряемой величины Ei, которая реагирует на мгновенную
ошибку регулирования; отношение 
называется пропорциональной
составляющей выходного сигнала;
. скорости изменения
параметра 
, которая позволяет улучшить
качество переходного процесса; выражение 
называется дифференциальной
составляющей выходного сигнала;
. накопленной ошибки
регулирования 
, которая позволяет добиться
максимально быстрого достижения температуры уставки; выражение 
называется интегральной
составляющей выходного сигнала.
При нагреве так же существует вероятность
расколоть образец. Для того, чтобы свести ее к минимуму образец необходимо
нагревать медленно. За время нагрева отвечают несколько параметров, такие как:
. Интегральная постоянная (i)
-прямо пропорциональна времени нагрева;
. Дифференциальная постоянная (d)
- обратно пропорциональна времени нагрева;
. Скорость изменения уставки (vSP)
- прямо пропорциональна времени нагрева. При этом слишком маленькие значения данного
параметра (в зависимости от температуры кристалла) могут остановить нагрев, не
достигнув необходимой температуры.
. Максимальная выходная мощность (oL-H)
- прямо пропорциональна времени нагрева, так же следует начинать с небольшого
значения этого параметра, а затем, при необходимости, поднимать его (45%
хватает, чтобы нагреть до 200оС)
Соответственно изменение данных параметров будет
влиять на скорость нагрева кристалла.
Далее перейдем к поддержанию температуры. График
нагрева кристалла сначала до одной, а затем до другой температуры приведен на
рисунке 4.
Рисунок 4 - График нагрева кристалла
Как видно из графика, сам нагрев происходит
практически линейно, когда как поддержание необходимой температуры, происходит
с небольшими колебаниями, причем эти колебания затухают со временем. На размер
колебаний температуры влияет расположение образца на зажимах нагревателя (чем
ближе к нагревателю находится образец, тем меньше колебания температуры), а так
же один параметр: зона нечувствительности ПИД-регулятора (Xd).
Дан этот параметр для исключения излишних срабатываний регулятора при небольшом
значении рассогласования Ei
.
Рисунок 5 - Графическое обозначение зоны
нечувствительности.
Из рисунка 5 видно, что прибор будет выдавать
управляющий сигнал только после того, как регулируемая величина выйдет из этой
зоны. Зона нечувствительности не должна превышать необходимую точность
регулирования.
2.3 Алгоритм действий при проведении измерений
1. Закрепить образец на специальном зажиме,
причем как можно ближе к нагревателю, чтобы минимизировать колебания
температуры.
. Аналогично исследуемому образцу
прикрепить термопару, причем как можно большая площадь термопары должна
соприкасаться с образцом.
. Перед включением необходимо проверить
заземление прибора.
. Включить прибор в сеть 220В. При этом
на экране прибора должны появится либо один, либо два набора цифр, это значит,
что прибор закончил загрузку, а так же проверил все модули на наличие неисправностей.
. Если после включения прибора на экране
появилось два набора чисел (режим «работа 2»), можно выставлять температуру, до
которой будет нагреваться образец (нижний набор цифр) при помощи кнопок 
. Если же после
запуска на экране прибора появился только один набор цифр (режим «работа 1»),
необходимо сначала однократно нажать
,
чтобы переидти в режим установки температуры.
6. Когда выставлена температура нагрева
необходимо повернуть тумблер, находящийся на лицевой стороне справа от экрана,
по часовой стрелке до упора. При в нем загорится индикатор включения, это
чначит, что нагреватель подключен к выходу ТРМ101.
7. После этого необходимо однократно нажать
,
чтобы переидти в настройку парраметра r-S,
и перевести его в положение rUn.
Тогда прибор подаст на нагреватель управляющее напряжение, и исследуемый
кристалл начнет нагреваться.
. Затем надо перейти либо в режим «работа
1», либо «работа 2», чтобы можно было наблюдать температуру нагрева кристалла и
ожидать, когда кристалл нагреется до необходимой температуры.
. После нагрева, прибор переходит в режим
поддерживания температуры, при этом сама температура кристалла не
устанавливается равной выставленному на приборе значению, а колеблется в
пределах нескольких градусов от него как показано на рисунке 4. Со временем эти
колебания температуры становятся меньше, примерное время этого процесса
занимает 10-15 мин, соответственно по происшествию этого времени можно начинать
снятия необходимых показаний с кристалла.
. Если необходимо сделать замеры на
другой температуре, то можно в режиме «работа 2» выставить новую температуру,
затем несколько раз нажать кнопку
(до
момента, когда на экране прибора вновь появится изображение режима «работа 1»
или «работа 2»), чтобы прибор пересчитал необходимые значения и начал переход к
новой температуре.
Примечание: иногда требуется более «щадящий» нагрев
исследуемого кристалла, при этом необходимо увеличивать время нагрева.
Настройка необходимых для этого параметров описана в главе 2.2.
2.4 Измерения и графики зависимостей
2.4.1 Измерительная установка и измерения
Для проведения измерений свойств преобразователей
оптического излучения был использован стенд, состоящий из трех устройств:
1. YLF:Nd лазера
. Монохроматора
. Прибора, нагревающий кристаллы, на
основе ПИД-регулятора ОВЕН ТРМ101
Принципиальная блок-схема стенда показана на
рисунке 5.
Рисунок 5 - Принципиальная
блок-схема стенда для проведения измерений.
Перед началом измерений исследуемый
образец помещался на специальное крепление у нагревателя, затем включался лазер
и его луч направлялся так, чтобы проходя через кристалл, попадал в окошко
монохроматора. Затем кристалл нагревался до необходимой температуры и, при
помощи специальной программы на ПК проходил замер интенсивности излучения
преобразованного излучения лазера.
2.4.2 Полученные данные и графики зависимостей
Примером измерений, полученных при помощи
рабочего стенда, является измерение интенсивности излучения ниобата лития по
времени при различных температурах. Перед началом измерений температура в
комнате 23,9оС, затем образец начали греть до температур: 30С, 40оС,
50оС, 60оС, 70оС, 80оС, 80оС,
90оС, 100оС, 110оС, 120оС, 130оС,
140оС, и 150оС, при этом интенсивность люминесценции
уменьшалась прямо пропорционально температуре. График изменения интенсивности
люминесценции показан на рисунке 6.
Рисунок 6 - График изменения интенсивности
спектра нелинейного преобразователя излучения, в зависимости от температуры
нагрева.
Так же, при нагреве интенсивность спектра
уменьшалась не линейно, а по кривой, сначала, при нагреве до 50оС
она уменьшалась очень быстро, после же практически не менялась. При этом, после
50 и 100оС иногда наблюдалось небольшое усиление интенсивности
спектра, скорее всего это связано с тем, что измерения проводились не в полной
темноте, либо, с тем, что «ловилось» изображение в разные моменты импульса
лазера. Наиболее заметна эта зависимость, на графике, показывающем максимум
спектра, который при каждом замере приходился примерно на 527,5 мкм. График
изменения максимума спектра люминесценции показан на рисунке 7
Рисунок 7 - график зависимости максимума спектра
нелинейного преобразователя излучения.
Также с увеличением температуры кристалла
уменьшаласи и полуширина спектра, данная зависимость показана на рисунке 7
Рисунок 8 - график зависимости полуширины
спектра нелинейного преобразователя излучения от температуры
ЗАКЛЮЧЕНИЕ
В результате выполнения дипломной работы были
выполнены измерения оптических свойств PPLN преобразователя при разных
температурах. На основе полученных измерений были составлены графики
зависимости интенсивности излучения от температуры, при этом на графиках видно,
что интенсивность излучения убывает не линейно, а по кривой, причем, когда
температура исследуемого кристалла приближалась к 50оС и 100оС,
возникало небольшое увеличение интенсивности излучения.
Также, в связи с возникшими трудностями, при
нагревании кристаллов (разрушении кристаллов), были поставлены и выполнены
дополнительные задачи:
1. Подробно изучены и рассмотрены основные
функции и возможности составляющих установки для нагрева кристаллов. В
частности ПИД-регулятора ОВЕН ТРМ101, который является основной составляющей
стенда.
. Написана подробная инструкция по
использованию установки для нагрева кристаллов, для возможности использования
ее студентами в дальнейшем.
СПИСОК ИСПОЛЬЗОВАННЫХ ИСТОЧНИКОВ
1 Дмитриев В.Г. Прикладная
нелинейная оптика / В.Г. Дмитриев, Л.В. Тарасов. - М.: ФИЗМАТЛИТ, 2004. - 512с
Цернике Ф. Прикладная
нелинейная оптика / Ф. Цернике, Дж. Мидвинтер. - М.: МИР, 1976. - 260 с.
Ансельм А.И. Введение в
теорию полупроводников / А.И. Ансельм - М.: Лань, 2008. - 624 с.
Зегрия Г.Г. Основы физики
полупроводников / Г.Г. Зегрия, В.И. Перель. - М.: ФИЗМАТИТ, 2009. - 336 с.
ПИД-регулятор ОВЕН ТРМ101
[Техническое описание] - (Рус.) - http://www.owen.ru/catalog/86742259
[18.02.2012]
Игнатов А.Н.
Оптоэлектроника и нанофотоника / А.Н. Игнатов. - М.: Лань, 2010. - 544 с.
Астайкин А.И. Основы
оптоэлектроники / А.И. Астайкин, М.К. Смирнов. - М.: Высшая школа, 2007. - 280
с.
8 Generation of green
second harmonic with 60% conversion efficiency from a Q-switched microchip
laser in MgO:PPLN crystal// H. Zhao, K. Sukhoy, I.T. Lima, Jr. and A Major//
Laser Phys. Lett., 2012, Vol.9, p. 355.
Temperature Tuning
Characteristics of Periodically Poled Lithium Niobate for Second Harmonic
Generation at 490 nm// Movva Sai Krishna, U.S. Tripathi, Ashok Kaul, K.
Thyagarajan, M.R. Shenoy// Department of Physics, Indian Institute of
Technology Delhi, New Delhi, INDIA, 2012