Исследование принципов построения и путей совершенствования многопозиционных радиолокационных систем
МИНИСТЕРСТВО
ОБРАЗОВАНИЯ И НАУКИ РОССИЙСКОЙ ФЕДЕРАЦИИ
Федеральное
государственное бюджетное образовательное учреждение высшего профессионального
образования
«КУБАНСКИЙ
ГОСУДАРСТВЕННЫЙ УНИВЕРСИТЕТ»
(ФГБОУ
ВПО «КубГУ»)
Физико-технический
факультет
Кафедра
оптоэлектроники
КУРСОВАЯ
РАБОТА
ИССЛЕДОВАНИЕ
ПРИНЦИПОВ ПОСТРОЕНИЯ И ПУТЕЙ СОВЕРШЕНСТВОВАНИЯ МНОГОПОЗИЦИОННЫХ
РАДИОЛОКАЦИОННЫХ СИСТЕМ
Работу выполнил
Кононенко Дмитрий Александрович
Курс 4
Специальность 210302 - Радиотехника
Научный руководитель
канд. техн. наук, доцент
А.Н. Казаков
Нормоконтролёр инженер
И.А. Прохорова
Краснодар
2013
РЕФЕРАТ
Курсовая работа 35 с., 4 рис., 12 источников.
МНОГОПОЗИЦИОННЫЕ РАДИОЛАКАЦИОННЕ СИСТЕМЫ, МПРЛС,
РАДИОЛОКАЦИЯ
Целью данной курсовой работы является
совершенствование учебно-методического комплекса Радиотехнические системы.
Основные результаты курсовой работы заключаются
в следующем: сделан обзор и систематизация методов построения многопозиционных
радиолокационных систем.
СОДЕРЖАНИЕ
Введение
. Обоснование необходимости
использования РЛС
. Основные преимущества
многопозиционных РЛС
. Недостатки МПРЛС
Заключение
Список использованных источников
Введение
Радиолокацией называют область науки и техники,
объединяющую методы и средства обнаружения, измерения координат и параметров
движения, а также определения свойств и характеристик различных объектов
(радиолокационных целей), основанных на использовании радиоволн, излучаемых,
ретранслируемых либо отражаемых (рассеиваемых) этими объектами. Процесс
обнаружения объектов, измерения их координат и параметров движения называют
радиолокационным наблюдением (иногда радиолокацией цели), а используемые для
этого системы - радиолокационными станциями (PЛC)
или радиолокаторами.
Радионавигация - область науки и техники,
охватывающая радиотехнические методы и средства вождения кораблей, летательных
и космических аппаратов, а также других движущихся объектов.
Таким образом, радиолокация и радионавигация
тесно связаны общностью решаемой ими задачи - определения координат объекта. Во
многих случаях РЛС применяют для решения чисто радионавигационных задач.
Радиоуправление - отрасль техники, включающая
радиотехнические методы и средства автоматического управления объектами.
Совокупность технических средств для такого управления называют системой
радиоуправления. В радиоуправлении используют как радиолокационные, так и
навигационные системы.
В зависимости от природы возникновения
электромагнитных волн, достигающих антенны РЛС и доставляющих информацию об
объекте радиолокационного наблюдения, различают активную, полуактивную,
активную с активным ответом и пассивную радиолокацию.
При активной радиолокации сигнал, принимаемый
приемником РЛС, создается в результате отражения (рассеяния) объектом
электромагнитных колебании, излучаемых антенной РЛС и облучающих объект.
Сигнал, излучаемый антенной РЛС, называют прямым или зондирующим, а принимаемый
приемной антенной РЛС - отраженным или радиолокационным. Таким образом, при
активной радиолокации применяют передатчик в составе РЛС и работают с отраженным
(рассеянным) сигналом.
При полуактивной радиолокации носителем
информации также является сигнал, отраженный объектом, но источник облучающих
объект радиоволн вынесен относительно приемника РЛС и может действовать
независимо от него. Передающее устройство, облучающее цель, может быть
расположено, например, на земле или корабле, а приемное, использующее
отраженный сигналена ракете, направленной на цель.
Возможность обнаружения объектов, не являющихся
источниками радиоизлучения - достоинство активного и полуактивного методов
радиолокации.
При активной радиолокации с активным ответом
применяют сигнал, ретранслируемый (переизлучаемый) специальным
приемопередатчиком (ответчиком), установленным на объекте. Приемник ответчика
принимает сигнал РЛС, который вызывает генерирование и излучение ответного
сигнала. Ответный сигнал может иметь мощность значительно большую, чем
отраженный, поэтому применение активного ответа позволяет существенно повысить
дальность действия и помехозащищенность системы. Кроме того, ответный сигнал
может быть использован для передачи дополнительной информации с объекта
(например, бортового номера самолета, его высоты и др.). С помощью ответчика
решается и задача опознавания объекта, т. е. отличия «своих» самолетов или
кораблей от «чужих». Принцип активного ответа широко применяется в
радионавигации и радиоуправлении, например в радиосистемах ближней навигации
(РСБН) и системах управления воздушным движением (УВД).
В пассивной радиолокации сигналом, принимаемым
РЛС, является естественное излучение объектов в радиодиапазоне преимущественно
теплового происхождения, поэтому пассивную радиолокацию называют также радио-теплолокацией.
Таким образом, в этом случае, так же как и в активной радиолокации, для
обнаружения объектов и определения их координат применяют радиосигнал. Однако
природа сигнала при этом иная-зондирование (облучение) объекта отсутствует, и
поэтому одна РЛС может определить лишь направление (пеленг) на объект, т. е.
осуществить радиопеленгование последнего. Поэтому пассивная радиолокация тесно
связана с радиопеленгацией- отраслью радионавигации, основанной на
использовании методов и средств определения направления на объекты, имеющие
источники радиоизлучения.
Таким образом, основой радиолокационного
обнаружения, определения координат и их производных, а возможно, и некоторых
других характеристик (размеров, формы, физических свойств) объектов является
радиосигнал, отраженный, переизлученный или, излученный объектами наблюдения. В
активной радиолокации источник электромагнитных колебаний - передающее
устройство РЛС. Но электромагнитные колебания зондирующего сигнала становятся
носителем информации об объекте, т. е. радиолокационным сигналом, лишь после их
отражения (рассеяния) объектом наблюдения. Однако от вида и параметров зондирующего
сигнала (энергии, несущей частоты, длительности и ширины спектра) зависят
основные характеристики РЛС: дальность действия, точность определения координат
и скорости объектов, разрешающая способность, т. е. тот объем информации,
который может быть получен при обработке радиолокационного сигнала.
Под зондирующим обычно понимают сигнал,
излучаемый антенной, поэтому его модуляция оказывается связанной также с
параметрами антенной системы и ее движением. Так, при повороте оси диаграммы
направленности антенны (ДНА) относительно направления на объект амплитуда
сигнала изменяется, т. е. появляется дополнительная амплитудная модуляция,
параметры которой зависят от ширины и формы ДНА, а также скорости ее поворота.
Антенная система определяет также поляризацию
зондирующего сигнала. В современных РЛС применяют линейную и круговую
поляризацию. Если отражающий объект попадает в зону облучения РЛС (в пределы
ширины ДНА), то создается отраженный сигнал, несущий информацию об объекте.
Факт приема сигнала свидетельствует об обнаружении объекта, а амплитуда, фаза,
частота, вид поляризации, время задержки относительно зондирующего сигнала и
направление прихода сигнала к приемной антенне позволяют оценить координаты
объекта, параметры его движения, а при наличии нескольких объектов - разделить
их, выделить объект с требуемыми свойствами и т. д.
Целью данной курсовой работы является
совершенствование учебно-методического комплекса Радиотехнические системы.
Для достижения этой цели необходимо решить
следующие задачи:
- рассмотреть разновидности МПРЛС;
исследовать принципы построения основных
разновидностей МПРЛС;
проанализировать недостатки основных
разновидностей МПРЛС;
рассмотреть перспективы развития
многопозиционных радиолокационных систем.
1.
Обоснование необходимости использования РЛС
Основная идея многопозиционной радиолокации
состоит в том, чтобы более эффективно (чем в обычных однопозиционных РЛС)
использовать информацию, заключенную в пространственных характеристиках
электромагнитного поля. Как известно, при облучении цели поле рассеяния
создается во всем пространстве (за исключением экранированных областей).
Однопозиционная РЛС извлекает информацию только из одного малого участка поля,
соответствующего апертуре (излучающая или принимающая излучение поверхность
сложных антенн.) приемной антенны. В МПРЛС информация извлекается из нескольких
разнесенных в пространстве участков поля рассеяния цели (или поля излучения
источников сигналов), что позволяет существенно повысить информативность,
помехозащищенность и ряд других более важных характеристик.
Развитие многопозиционной радиолокации
соответствует общей тенденции в технике - объединение отдельных технических
средств в системы, в которых благодаря совместному функционированию и
взаимодействию элементов значительно улучшаются основные характеристики и
появляются новые возможности.
Конечная задача МПРЛС, как и однопозиционных РЛС
обычно заключается в том, чтобы определить координаты целей и построить их
траектории (если они движутся относительно РЛС). Поэтому задачи обнаружения
сигналов и изменения их параметров следует, вообще говоря, рассматривать
совместно как единую статистическую задачу. Если в зоне действия
однопозиционной РЛС находится несколько целей, возникает задача отождествления
(идентификации) обнаруженных сигналов и замеров, относящихся к одним и тем же
целям и полученные в разные моменты времени. В МПРЛС, кроме этого, приходится
отождествлять замеры координат одних и тех же целей, сформированные
разнесенными в пространстве измерителями (межпозиционное отождествление). Таким
образом, в МПРЛС в случае многоцелевой ситуации следует рассматривать единую
статистическую задачу «обнаружение - отождествление - измерение» [1].
Однако практический опыт однопозиционной
радиолокации показывает, что раздельная оптимизация обнаружения сигналов и
измерения их параметров не приводит к заметным потерям. Как известно,
оптимальные (и близкие к оптимальным) обнаружители и измерители имеют
существенную общую часть и реализуются с помощью сходных устройств и
алгоритмов. Поэтому значительно более простое раздельное рассмотрение задач
обнаружения и измерения параметров сигналов в большинстве руководств по теории
радиолокации [2, 3, 4] вполне оправдано как с методической, так и с
практической точек зрения. Это же относится к задаче отождествления.
2.
Основные преимущества многопозиционных РЛС
Благодаря совместной обработке информации,
получаемой разнесенными позициями, МПРЛС обладает существенными преимуществами
по сравнению как с однопозиционной РЛС, так и с совокупностью отдельных РЛС, не
объединенных в многопозиционную систему. Ниже отметим основные преимущества
МПРЛС по сравнению с однопозиционными РЛС.
Возможность создания зоны действия
требуемой конфигурации с учетом ожидаемой радиолокационной обстановки.
По сравнению с однопозиционной РЛС дополнительными параметрами, определяющими
зону действия МПРЛС, являются геометрия системы позиций и алгоритм совместной
обработки информации. Это позволяет, в частности, расширить зону действия в
заданных направлениях. В МПРЛС с подвижными позициями имеется возможность
гибкой целенаправленной деформации зоны действия.
Энергетические преимущества.
Очевидно, что добавление к однопозиционной РЛС любого числа передающих и (или)
приемных позиций повышает общую энергетику системы. В МПРЛС появляются и дополнительные
энергетические преимущества. Прежде всего, существенный энергетический выигрыш
дает кооперативный прием сигналов, при котором энергия излучения каждой
передающей позиции используется всеми приемными позициями.
При достаточном разнесении позиций флуктуации
эхосигналов в разных приемных позициях (или эхосигналов, создаваемых в
результате облучения целей разными передающими позициями) статистически
независимы. Сглаживание флуктуаций при объединении информации может дать
дополнительный энергетический выигрыш, особенно если требуется обнаружить цели
с высокой вероятностью. Этот выигрыш возможен и в МПРЛС с автономным приемом, и
даже при объединении РЛС, работающих на разных частотах. При большом разнесении
позиций, когда угол между направлениями от цели на передающую и приемную
позиции β
приближается
к 180°, может значительно возрасти эффективная площадь рассеяния (ЭПР) цели, т.
е. интенсивность сигнала на входе приемной позиции. Существует и ряд
технических причин, обеспечивающих энергетические преимущества. Например,
разделение передающих и приемных позиций снижает потери СВЧ-энергии в
результате исключения антенных переключателей, устройств защиты приемников и
др.
Высокоточное измерение
пространственного положения цели.
В однопозиционной РЛС точность определения
положения цели в картинной плоскости по измерениям угловых координат обычно
значительно ниже точности измерения дальности, особенно для удаленных целей. В
МПРЛС появляется возможность определения трех координат цели путем измерения
дальности относительно нескольких разнесенных РЛС или суммарной дальности
(передающая позиция - цель - приемная позиция) относительно нескольких
разнесенных позиций.
На рисунке 1, а показаны сечения тел ошибок
после измерения координат цели каждой из двух разнесенных РЛС. В пространстве
каждое тело ошибок обычно представляет собой сильно сплюснутый эллипсоид. Их
пересечение образует тело ошибок при совместной обработке информации двух РЛС.
Видно, что резко возрастает точность оценки местоположения цели, причем главным
образом благодаря измерениям дальности. Можно считать, что измерения дальности
в МПРЛС позволяют повысить точность оценки угловых координат цели по сравнению
с однопозиционной РЛС.
а - МПРЛС из двух РЛС с автономным приемом
сигналов, б - МПРЛС с одной передающей Прд и двумя приемными Пр1 и Пр2
позициями
Рисунок 1 - Повышение точности измерения
координат цели:
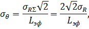
Для ориентировочных расчетов угловой точности
удобно пользоваться приближенным выражением среднеквадратической ошибки (СКО)
определения угловой координаты цели (в бистатической плоскости, проходящей
через цель и обе РЛС) по измерениям дальности в каждой паре РЛС:
где 
- СКО измерения дальности в каждой
РЛС (предполагается, что ошибки независимы, а СКО одинаковы);
L - база
между РЛС;

- эффективная база.
Если МПРЛС состоит не из двух РЛС, а
из одной приемопередающей и одной приемной позиций или одной передающей и двух
приемных позиций, то вместо (1) получим (см. рисунок. 1, б)
где 
- СКО измерения суммарной дальности
«передающая позиция - цель - приемная позиция»;

где c - скорость
света;

- СКО измерения времени прихода
сигнала (
).
Видно, что переход от системы из
двух РЛС с автономным приемом сигналов к МПРЛС с одной передающей и двумя
приемными позициями (одна из которых может быть совмещена с передающей)
эквивалентен уменьшению вдвое эффективной базы - «работает» только половина
эффективной базы 
.
Формулы (1) и (2) получены при
условии больших значений отношения дальности цели к базе (R/L>>1),
но для оценочных расчетов ими можно пользоваться уже при R>(2…3)L.
Из (1) и (2) следует, что при
высокой точности измерения дальности (т. е. широкополосных сигналах) и
достаточно больших базах СКО 
может быть значительно меньше, чем
при обычной однопозиционной пеленгации цели. Например, при 

по (1) получаем 
а по (2) 
Это свойство МПРЛС позволяет в
некоторых случаях заменить большие дорогостоящие антенны небольшими
слабонаправленными антеннами, сохранив при этом высокую точность определения
местоположения целей.
В то же время, из (1), (2) и рисунка
1 видно, что при малых базах 
(когда эллипсоиды ошибок почти
параллельны друг другу) и (или) больших ошибках измерения дальности 
уточнение углового положения цели
по измерениям дальности или суммарной дальности может быть незначительным. В
этом случае основной вклад в повышение точности дает объединение пеленгов, полученных
разнесенными позициями. Такое положение возникает, например, при измерении
малых углов места в наземных МПРЛС, так как эффективная база при этом
пропорциональна синусу угла места.
В общем случае если суммарное число
измеряемых разнесенными позициями МПРЛС «первичных координат» (дальностей,
суммарных дальностей, пеленгов) каждой цели превышает минимально необходимое
для определения ее пространственного положения, то избыточные измерения
используют для увеличения точности. При сопровождении цели в МПРЛС часто
возможен более высокий темп поступления информации, чем в однопозиционной РЛС,
что также повышает точность построения траекторий.
Возможность измерения вектора
скорости и ускорения цели доплеровским методом. Измерение
доплеровских смещений частоты сигналов в нескольких разнесенных позициях
позволяет найти вектор скорости цели.
В простейшей системе из двух РЛС,
разнесенных на базе L, при автономном приеме сигналов
измеряемые доплеровские сдвиги частоты (ДСЧ) равны 
и 
где v - вектор
скорости цели; r1, r2 - орты в
направлении от цели к РЛС1 и РЛС2. Если v лежит в
плоскости РЛС1, РЛС2 и цели (или если v - проекция
вектора скорости цели на эту плоскость), то из рисунка 2, а легко получить
простые формулы для СКО радиальной 
и тангенциальной (в той же
плоскости) 
составляющих v. Эти
формулы удобны для оценочных расчетов
где 
- СКО измерения ДСЧ в каждой РЛС
(считаем их одинаковыми);

- дина волны;
R - дальность
цели; 
и 
- то же, что в (1).
Приближенные равенства в правых
частях (1.3) соответствуют условию «малой базы»: R/L>>1,
когда 
Видно, что при одной и той же
точности измерения частоты 
СКО тангенциальной скорости в 
раз больше чем радиальной.
а - МПРЛС из двух РЛС с автономным приемом
сигналов; б - МПРЛС из одной РЛС и одной приемной ПР позиции (vR1
и
vR2
- радиальные скорости относительно РЛС1 и РЛС2; vR
и
vτ
- радиальная и тангенциальная скорости в МПРЛС)
Рисунок - 2 Доплеровское изменение вектора
скорости цели v
в
плоскости базы L
Если одну РЛС, например РЛС2,
заменить приемной позицией (рис. 1.2,б), то 
. При этом
Сравнивая (4) с (3), замечаем, что в

раз возросла СКО 
, а при измерении тангенциальной
скорости, как и при измерении угловой координаты, замена одной из РЛС на
приемную позицию приводит к тому, что «работает» только половина эффективной
базы. Тот же результат получим, если вместо приемной позиции поместим РЛС2 в
середине эффективной базы (на биссектрисе бистатического угла β).
Измеряя скорости изменения
доплеровских смещений частоты или дифференцируя составляющие вектора скорости,
можно получить вектор ускорения цели. Использование доплеровских оценок
скорости и ускорения повышает, точность построения траекторий и качество
сопровождения целей, особенно на участках, где происходят резкие изменения
скорости (маневр самолета или торможение баллистической цели при входе в
атмосферу). При определенных условиях МПРЛС может сопровождать цели по
результатам измерения только доплеровских смещений частоты, а также производных
дальности по времени более высоких порядков [7].
Возможность измерения трех координат
и вектора скорости источников излучения. В отличие от однопозиционной и
бистатической РЛС, которые в пассивном режиме определяют только направления
прихода сигналов, т. е. пеленги источников излучения, в МПРЛС можно получать
три пространственные координаты, а также их производные. Для этого используется
либо триангуляционный, либо гиперболический метод, либо их сочетание. При
триангуляции положение источника излучения в пространстве определяют по
пересечению пеленгов, полученных в разнесенных приемных позициях, при
гиперболическом методе - по пересечению гиперболоидов вращения с
фокусами в точках расположения приемных позиций. Каждый гиперболоид - это
поверхность, на которой находится источник, если фиксирована разность хода
излучаемых им сигналов (т. е. разность дальностей от источника до пары позиций).
Разность хода оценивается по задержке, которую надо ввести в тракт одной
позиции, чтобы добиться максимума взаимной корреляции сигналов, принятых этой
парой позиций. Отметим, что если дальность до источника сигнала R в несколько
раз больше базы между приемными позициями L, то при
использовании любого из этих методов ошибка измерения угловых координат
источника не зависит от дальности (так что линейная ошибка в картинной
плоскости пропорциональна дальности), а ошибка измерения дальности
пропорциональна квадрату дальности.
Для ориентировочного сравнения
точности местоопределения источника сигнала триангуляционным и гиперболическим
методами удобно пользоваться простым соотношением: при R/L>>1
измерение разности хода с СКО 
при гиперболическом методе примерно
эквивалентно измерению пеленга при триангуляционном методе с СКО
где 
- эффективная база между приемными
позициями.
Например, пара позиций, измеряющая
разность хода сигналов с СКО 
м при 
км примерно эквивалентна
пеленгатору, установленному в середине базы и измеряющему угловую координату
источника сигнала (в плоскости, проходящей через источник и обе позиции) с СКО 
.
Измерение доплеровского сдвига
частоты взаимно корреляционной функции сигналов, принятых парой разнесенных
позиций от движущегося источника, позволяет определять разность радиальных
скоростей источника относительно этих позиций. В МПРЛС с четырьмя и более
приемными позициями можно получить вектор скорости источника доплеровским
методом. При триангуляции оценка скорости источника сигналов возможна только
путем дифференцирования оценок координат.
Возможность измерения трех координат
и вектора скорости источника излучения в МПРЛС имеет важное значение для
построения их траекторий. Это относится и к ИАП, когда на фоне создаваемых ими
помех не удается сопровождать прикрываемые цели (в том числе и при
самоприкрытии, когда ИАП устанавливается на цели). Пассивный режим МПРЛС может
применяться также и для разведки местоположения РЛС противовоздушной обороны
(ПВО) противника.
Повышение разрешающей способности. Полной
характеристикой разрешающей способности РЛС и МПРЛС являются вероятностные и
точностные характеристики обнаружения и измерения параметров цели в присутствии
«мешающих» объектов или других источников помех. Для инженерных расчетов широко
применяется упрощенный («детерминистский») подход, основанный на рэлеевском
критерии разрешения. В качестве меры разрешающей способности по любому
радиолокационному параметру (дальности, угловым координатам, скорости)
принимают протяженность (по этому параметру) отклика на сигнал от точечной
цели.
Имеется в виду, что две точечные
цели можно разрешить, т. е. раздельно обнаружить, измерить параметры, если
расстояние между ними по какому-либо параметру больше протяженности отклика на
сигнал от каждой цели. Предполагается, что сигналы примерно одинаковы по
интенсивности. Протяженность отклика по выбранному уровню (например, -3 дБ от
максимума) называется элементом разрешения по соответствующему параметру.
Применение рэлеевского критерия позволяет наглядно оценить преимущества МПРЛС
по разрешающей способности.
Рассмотрим сначала активные МПРЛС
(или активный режим активно-пассивных МПРЛС). На рисунке 3 показаны две цели,
не разрешаемые однопозиционной РЛС1.
а - расположение РЛС и целей 1 и 2; б, в -
выходные сигналы приемников соответственно РЛС1 и РЛС2; элементы разрешения: δα
- по
углу (ширина главного лепестка ДН); δR
- по дальности, δtc
- по времени прихода сигналов)
Рисунок 3 - Разрешение в МПРЛС целей, не
разрешаемых одной РЛС1
Они находятся в одном элементе
разрешения по дальности и угловым координатам. Если, как это обычно бывает,
продольная разрешающая способность (по дальности) значительно выше разрешающей
способности РЛС в поперечных направлениях (в картинной плоскости), то различие
угловых координат целей относительно РЛС1 может оказаться достаточным для того,
чтобы РЛС2 разрешила их по дальности. Это можно трактовать как способность
МПРЛС разрешать по угловым координатам цели в главных лучах приемных диаграмм
направленности (ДН) антенн. Эквивалентную угловую разрешающую способность δθ системы из
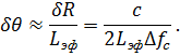
двух РЛС можно оценить через разрешающую способность каждой РЛС по дальности: 
(c - скорость
света, 
- ширина спектра сигнала). Нетрудно
показать, что если дальность целей R в несколько
раз больше базы L между РЛС, то
Если цели разрешаются приемной позицией по
суммарной дальности передающая позиция - цель - приемная позиция, то
Величину δθ в
(6) и (7) можно считать шириной главного лепестка «результирующей диаграммы
направленности» (РДН) соответственно пары РЛС и пары приемных позиций (в
плоскости, проходящей через цель и эти РЛС или приемные позиции). При
достаточно больших значениях произведения LэфΔfc
ширина РДН значительно меньше обычной ширины ДН
антенн. Например, при Lэф=
30 км, Δfc=10
МГц по (6) получаем δθ=10-3
рад ≈ 3,4′. Однако при малых углах θ между
линией базы и направлением на цель уменьшение эффективной базы Lэф=Lsinθ
приводит к расширению РДН и ухудшению разрешающей способности. Такое положение
возникает, например, а наземной МПРЛС при разрешении по углу места целей,
появляющихся из-за горизонта.
В пассивных
триангуляционных МПРЛС пространственный элемент разрешения определяется
областью пересечения ДН антенн. В отличие от Однопозиционной РЛС две
разнесенные приемные позиции с эффективной базой Lэф
обладают разрешающей способностью по дальности δR,
которую можно приближенно (при R>>L)
выразить формулой
где δα - ширина
главного лепестка ДН антенн приемных позиций (рисунок 4). Из (8) следует, что
разрешающая способность, как правило низкая. Например, при Lэф
= 30 км и δα = 10-2
рад ≈ 34′ δR
≈
30 км для R = 300 км и δR
≈
16,7 км для R
=
200
км. При этом разрешающая способность в поперечном (по отношению к дальности)
направлении оценивается величиной Rδα,
т.
е. при тех же условиях 3 и 2 км. Разрешение по дальности относительно каждой из
позиций может достигать Rδα
если угол между направлениями от источников сигнала на приемные позиции
приближается к 90°. В пассивных МПРЛС с корреляционной обработкой принятых
разнесенными позициями сигналов разрешающая способность определяется
протяженностью по задержке или разности хода главного лепестка огибающей
функции взаимной корреляции сигналов. Она равна соответственно Δτ≈1/Δfc
и δΔR≈c/Δfc.
При этом справедлива формула (7) для РДН пары приемных позиций (при R>>L).
При достаточно больших значениях произведения LэфΔfc
возможно надежное разрешение по разности хода
источников взаимно некоррелированных сигналов, находящихся в главных лепестках
ДН антенн приемных позиций, т. е. не разрешаемых по угловым координатам.
а - общая структура МПРЛС с корреляционной
обработкой сигналов и расположение источников 1 и 2; б - огибающие выходных
сигналов коррелятора (ЛЗτ
- линия задержки, Корр - коррелятор δτ - элемент
разрешения по разности запаздываний (задержке) сигналов)
Рисунок 4 - Разрешение по разности хода сигналов
источника излучения, не разрешаемых по угловым координатам в пассивной МПРЛС
Высокое «угловое» разрешение обеспечивает и
более высокое разрешение по дальности, чем у триангуляционных систем. Из (8) с
учетом (5) получаем оценку элемента разрешения по дальности при R>>L:
где δΔR
- элемент разрешения по разности хода.
Подчеркнем, что высокое пространственное
разрешение достигается в МПРЛС только для сигналов, коррелированных в
разнесенных позициях (после устранения различия запаздываний). Если случайные
процессы на входах приемных позиций взаимно не коррелированны, то в
пространстве не может сформироваться элемент разрешения, определяемый огибающей
функции взаимной корреляции. Именно такое положение возникает, как правило, при
наблюдении в МПРЛС пассивных помех - эхосигналов от скоплений мешающих
отражателей (СМО).
Увеличение пропускной способности.
Под пропускной способностью обычно понимается максимальное число целей, которое
РЛС может обслужить в течение определенного интервала времени [8]. В обзорных
РЛС с постоянным циклом обзора пропускная способность ограничивается только
возможностями обрабатывающей аппаратуры РЛС (например, производительностью ЭВМ,
рассчитывающей траектории целей). В последние годы получили широкое
распространение РЛС с электронным сканированием, в которых более рационально
используются энергетические и информационные ресурсы РЛС. Возможность быстрого
(за единицы микросекунд) переброса ДН антенн в любое направление (в пределах
сектора электронного сканирования) позволяет эффективно сочетать обзор и поиск
целей с сопровождением обнаруженных целей. Интервалы между зондированиями
сопровождаемых целей, а также энергия в каждом зондировании выбираются
адаптивно в результате анализа поступающей информации. Ограничения по числу
одновременно сопровождаемых целей определяются не только производительностью
аппаратуры, но и энергетическими и точностными характеристиками.
Пусть, например, для построения траекторий с
требуемой точностью интервал между зондированиями сопровождаемых целей должен
быть в среднем не более Тз, а энергия, излучаемая в каждом
зондировании, не менее ΔЭ. Если
средняя мощность, выделяемая PЛC
на сопровождение целей, равна Рсопр, то число целей, которое может
одновременно сопровождать РЛС,
где Рср - общая средняя мощность РЛС;
k<1 -
коэффициент, определяющий долю общей мощности РЛС, выделяемой для сопровождения
целей.
Выражение (10) показывает возможности увеличения
пропускной способности МПРЛС по сравнению с однопозиционной РЛС. Очевидно, что
дополнительные передающие позиции, увеличивающие Рср, повышают
пропускную способность. Но даже при одном и том же значении Рср
пропускная способность МПРЛС может быть существенно выше, чем у однопозиционной
РЛС, так как благодаря более высокой точности измерения координат (а также
доплеровскому измерению вектора скорости) цели в каждом зондировании удается
заметно увеличить интервал Т3. На участках полета самолета, близких
к прямолинейным, при полете ракеты по баллистической траектории снижение
дисперсии ошибок единичных замеров координат в 2-3 раза дает примерно такое же
увеличение допустимого интервала между зондированиями Т3, а
следовательно, повышение пропускной способности при сопровождении тоже в 2-3
раза. Благодаря кооперативному приему и связанному с этим повышению
энергетических и точностных характеристик, в МПРЛС может достигаться увеличение
пропускной способности и при выполнении ею других функций (поиск, распознавание
целей и др.).
Увеличение объема «сигнальной»
информации. Под «сигнальной» информацией (в
отличие от координатной) обычно понимают содержащуюся в эхосигналах информацию
о геометрических, физических и других характеристиках цели, а также
характеристиках ее движения вокруг собственного центра масс. Благодаря
одновременному наблюдению цели с различных направлений объем сигнальной
информации в МПРЛС существенно возрастает по сравнению с однопозиционной РЛС.
Измеряя амплитуду, фазу и поляризацию принятых
разнесенными позициями сигналов, можно определять размеры, форму и
характеристики собственного вращения цели точнее и за меньшее время. В
пространственно-когерентных МПРЛС с достаточно большими размерами апертуры
антенной системы (совокупности позиций) можно получать двумерное и даже
трехмерное радиоизображение (РИ) цели. При отсутствии длительной
пространственной когерентности можно получить несколько дальностных портретов
цели под разными ракурсами, а также двух- и трехмерные РИ путем измерения
разностей фаз эхосигналов от разрешенных по доплеровским частотам блестящих
точек цели.
Повышение защищенности от активных
помех. В МРПЛС можно применять все способы защиты от
активных помех одно- позиционных РЛС, но есть и дополнительные возможности.
Одно- позиционные РЛС способны подавлять помехи, действующие по боковым
лепесткам ДН антенн, но при воздействии помех по главным лепесткам ДН обычно не
могут обнаружить цели. В то же время создать такие помехи однопозиционной РЛС
нетрудно, так как направление на РЛС определяется по ее излучению. Это
позволяет создавать «прицельные по направлению» помехи. Плотность мощности
помех можно еще увеличить, применив «прицельные по частоте» помехи в полосе
частот зондирующего сигнала РЛС.
Значительно труднее создать прицельные по
направлению помехи бистатической РЛС, так как направление от ИАП на
неизлучающую приемную позицию часто неизвестно. Однако и бистатические РЛС
обычно не могут обнаружить цели при воздействии помех по главному лепестку ДН
приемной антенны.
Создать прицельные по направлению помехи
одновременно нескольким достаточно разнесенным позициям МПРЛС весьма сложно.
Вынужденное излучение в широком секторе снижает плотность мощности помех,
действующих на каждую позицию.
Против МПРЛС с несколькими передающими
позициями, работающими на разных частотах, и кооперативным приемом сигналов в
широком диапазоне частот неэффективны и прицельные по частоте помехи.
Вынужденное «размазывание» мощности ИАП по спектру приводит к дополнительному
снижению плотности мощности помех в полосе частот зондирующих сигналов.
Применение разнесенных передающих позиций,
излучающих сигналы различных типов и на разных частотах, а также разнесение
приемных и передающих позиций (особенно при кооперативном приеме сигналов)
затрудняют создание ответно-импульсных и имитационных помех [5]. Эффективность
таких помех можно еще снизить, если при обработке использовать различия времени
прихода сигналов от цели и ИАП в разнесенные приемные позиции [9, 10].
При достаточном разнесении позиций МПРЛС
значительно затрудняется создание помех по главным лепесткам ДН одновременно
нескольким позициям. Чтобы обеспечить близость ИАП к прикрываемой цели по
угловым координатам относительно всех позиций, необходимо сохранять малое
расстояние между целью и ИАП (в процессе их движения) по всем трем координатам.
Важная особенность МПРЛС состоит в том, что при
оптимальной совместной обработке сумм сигналов и помех, принимаемых
разнесенными позициями, подавляются помехи, взаимно коррелированные в разных
позициях, и выделяется полезный сигнал. Это позволяет в принципе обнаруживать
цели, прикрываемые помехами по главным лепесткам ДН приемных антенн [6].
Повышение защищенности от пассивных
помех. Благодаря пространственному разнесению позиций
объем области пересечения главных лепестков ДН передающей и приемных позиций
МПРЛС может быть намного меньше, чем объем области главного лепестка
приемопередающей ДН однопозиционной РЛС. При определенных условиях это приводит
к существенному снижению интенсивности пассивных помех на входах приемников.
Однако ослабление помех от отражателей, попавших
в область пересечения главного лепестка ДН передающей позиции и боковых
лепестков ДН приемной позиции (или боковых лепестков ДН передающей позиции и
главного лепестка ДН приемной позиции), определяется уровнем боковых лепестков
только одной позиции. Отсюда жесткие требования к уровню боковых лепестков ДН
антенн МПРЛС.
Против МПРЛС с разнесенными передающими и
приемными позициями малоэффективны источники мощных направленных пассивных
помех, например уголковые отражатели. Помехи от объемно-распределенных целей -
скоплений мешающих отражателей - оказываются, как правило, взаимно
некоррелированными в разных приемных позициях. При этом в отличие от активных
(пространственно-коррелированных) помех межпозиционная когерентная компенсация
пассивных помех, принятых разными позициями, невозможна. Однако благодаря
накоплению сигналов эффективность многопозиционных обнаружителей выше, чем
однопозиционных [11, 12].
Все методы селекции движущихся целей (СДЦ),
которые используются в однопозиционных РЛС, применимы и в МПРЛС. При этом в
МПРЛС нет некоторых ограничений, свойственных однопозиционным РЛС. Например,
методы СДЦ в однопозиционной РЛС неэффективны, если цель движется «по
параметру» относительно РЛС, так что радиальная скорость близка к нулю. Этот
недостаток устраняется в МПРЛС, так как радиальная скорость не может быть
близка к нулю одновременно относительно нескольких позиций. Аналогичным образом
преодолевается в МПРЛС и другой недостаток - наличие «слепых» радиальных
скоростей, поскольку радиальные скорости цели различны относительно разнесенных
позиций. Кроме того, если в составе МПРЛС несколько РЛС (или передающих
позиций), у них могут быть разные частоты повторения зондирующих импульсов.
В МПРЛС имеются более широкие возможности выбора
типа зондирующих сигналов для борьбы с пассивными помехами, чем в
однопозиционной РЛС. В частности, могут применяться когерентные пачки с малым
периодом повторения импульсов, т. е. широкой областью однозначности по
радиальной скорости. Если при этом возникает неоднозначность по дальности, ее
можно устранять, например, методом триангуляции.
Повышение живучести.
Рассредоточенность в пространстве и избыточное число позиций значительно
повышают живучесть МПРЛС по сравнению с однопозиционной РЛС и даже несколькими
РЛС, не объединенными в МПРЛС. В отличие от однопозиционной и
бистатической РЛС выход из строя одной или даже нескольких позиций МПРЛС не
приводит к полному нарушению работоспособности, а вызывает лишь определенное
ухудшение характеристик. Эту важную особенность (постепенное снижение
характеристик при выходе из строя отдельных компонентов МПРЛС) в зарубежной
литературе называют «изящной деградацией». Выход из строя может происходить как
в результате внешнего воздействия, так и из-за технических отказов аппаратуры,
так что «изящная деградация» отражает повышение не только живучести, но и
надежности МПРЛС. Этому способствует возможность изменения конфигурации МПРЛС
при выходе из строя отдельных позиций.
Разнесение передающих и приемных позиций затрудняет,
как уже отмечалось, определение положения неизлучающих приемных позиций
(особенно подвижных или быстро перебазируемых), что также повышает их
живучесть, в том числе при применении противорадиолокационных снарядов,
наводящихся по излучению РЛС. Для снижения уязвимости передающих позиций
рекомендуется ряд мер: вынесение передающих позиций из опасной зоны, например
от границы или линии фронта, размещение их на подвижных носителях, в частности
на беспилотных летательных аппаратах; применение нерегулярного поочередного
выключения передающих позиций при избыточном их числе (режим «мерцания») и др.
Дополнительно живучесть повышается при
децентрализации обработки информации в МПРЛС.
3.
Недостатки МПРЛС
Помимо достоинств МПРЛС имеют и определенные
недостатки. Как правило, это - дополнительные трудности, которые приходится
преодолевать при создании МПРЛС. Их можно рассматривать как «плату» за
преимущества.
Необходимость совместного управления
разнесенными позициями. В зависимости от типа МПРЛС
совместное управление может либо ограничиваться распределением подлежащих
обслуживанию целей между позициями, либо решать более сложные задачи
согласованного сканирования пространства, выбора частот излучения и приема,
типов зондирующих сигналов, использования тех или иных алгоритмов обработки
информации и др. В МПРЛС с подвижными позициями возникает задача управления
расположением позиций. Для повышения живучести МПРЛС важное значение имеет
децентрализация управления.
Необходимость передачи данных по
линиям связи. Для передачи данных в центры
обработки информации (ЦОИ) в составе МПРЛС должны быть межпозиционные линии
связи. По ним передается также командная информация для управления МПРЛС.
Создание линий связи с требуемыми
характеристиками не представляет принципиальных трудностей, но повышает
сложность и стоимость МПРЛС. Следует учитывать необходимость защиты линий связи
от помех, а в некоторых случаях - и от уничтожения противником. При объединении
траекторий или единичных замеров могут применяться линии малой пропускной
способности, вплоть до телефонных каналов. При объединении радиосигналов
требуются широкополосные линии. Для снижения требований к пропускной
способности применяют различные способы уплотнения (передача данных в стробах и
др.). Линии передачи командной информации обычно узкополосные.
Дополнительные требования по
синхронизации, передаче опорных колебаний и сигналов, фазированию разнесенных
позиций. Для организации совместной обработки информации
и управления МПРЛС необходима синхронизация разнесенных позиций. Точные
измерения координат целей эллиптическим или гиперболическим методами требуют
точной синхронизации. Хотя точная синхронизация разнесенных позиций связана с
определенными трудностями, эта задача решена в существующих системах. Так, в
МПРЛС MMS ошибка
синхронизации оценивается величиной 0,5 нс.
В МПРЛС с кооперативным приемом сигналов в
приемных позициях необходимо знать закон модуляции излученного зондирующего
сигнала. Для когерентной обработки эхосигналов (систем СДЦ) и измерения
доплеровских смещений частоты нужна взаимная привязка частот передатчиков и
гетеродинов приемников. Привязка частот гетеродинов требуется и при взаимно
корреляционной обработке помех в пассивных и активно-пассивных МПРЛС с
объединением на промежуточной частоте. В пространственно-когерентных МПРЛС
необходима еще и взаимная привязка начальных фаз сигналов в приемных (а в общем
случае и в передающих) позициях.
Повышение требований к устройствам
обработки сигналов и производительности вычислительных средств.
Этот недостаток является следствием одного из основных преимуществ МПРЛС -
значительного увеличения объема информации по сравнению с однопозиционной РЛС.
Нагрузка на вычислительные средства возрастает также из-за добавления
операций, специфических для МПРЛС. Это - преобразование результатов измерений
разными позициями в единую систему координат, отождествление данных, получаемых
разными позициями по каждой цели. Усложняются алгоритмы сопровождения целей.
Современное состояние техники обработки сигналов и вычислительной техники
позволяет выполнять предъявляемые требования.
Необходимость геодезической или
навигационной привязки и союстировки позиций. Для
объединения координатной информации, получаемой разнесенными позициями, и
построения результирующих траекторий объектов требуются знание местоположения и
союстировка позиций. Ошибки определения местоположения позиций и ориентации
осей местной системы координат каждой позиции непосредственно влияют на
точность выходной информации МПРЛС. Поэтому разрабатываются специальные методы и
алгоритмы для точной привязки и юстировки позиции. Наибольшие трудности
возникают в МПРЛС с подвижными позициями, для которых задача может решаться с
помощью навигационных средств и систем. Остаточные ошибки можно
рассматривать как неизвестные величины и оценивать их вместе с координатами
целей.
Как правило, МПРЛС из нескольких позиций с
линиями связи и центрами совместной обработки информации сложнее и дороже, чем
однопозиционная РЛС. Для одновременного наблюдения целей разнесенными позициями
часто требуются антенны с электронным сканированием, желательно многолучевые.
Однако сравнение по сложности и стоимости правомерно лишь при близких
технических характеристиках. Некоторые характеристики МПРЛС недостижимы в
однопозиционных РЛС, а реализация других требует резкого усложнения и
удорожания РЛС (например, применения фазированных антенных решеток огромных
размеров). МПРЛС со сравнительно простыми однотипными позициями дешевле, чем
однопозиционная РЛС с близкими техническими характеристиками. Конечно, применение
МПРЛС целесообразно тогда, когда обычная однопозиционная РЛС не может
справиться с поставленными задачами, т. е. при высоких требованиях к
информативности, помехозащищенности, живучести.
Во многих случаях можно получить значительный
эффект при небольших затратах путем объединения в МПРЛС имеющейся сети
однопозиционных РЛС или путем добавления к имеющимся однопозиционным РЛС
вынесенных приемных позиций.
техническое
преимущество многопозиционный радиолокационная система
Заключение
В настоящее время, несмотря на наличие хорошо
разработанных методов анализа и синтеза радиолокационных станций и систем
(РЛС)различного назначения, существуют проблемы проектирования, создания и
эксплуатации новых образцов данного вида радиолокационной техники. Это связано
прежде всего с усложнением целей и решаемых РЛС задач, повышением требований к
показателям качества функционирования (точности, информативности,
помехоустойчивости и т.д.), что, в свою очередь, приводит к усложнению их
структуры и процессов функционирования.
К преимуществам многопозиционных систем, по
сравнению с однопозиционными РЛС, следует отнести: более высокую
помехоустойчивость; высокую точность завязки и сопровождения траекторий целей;
большую информативность. Рассредоточенность в пространстве и избыточное число
позиций значительно повышают живучесть многопозиционных РЛС (МПРЛС). При этом
выход из строя какой-либо из позиций не приведет к полному нарушению
работоспособности, а вызовет лишь частичное ухудшение характеристик МПРЛС.
В классических работах методы обнаружения,
измерения координат и траекторий движения целей с помощью многопозиционных РЛС
- активных и пассивных - представлены достаточно широко. При этом подавляющее
число известных методов основано на предположении, что цель находится в дальней
зоне, т.е. дальность до цели в несколько раз превышает расстояние между
приемными станциями МПРЛС. Это дает возможность использовать линейные
малопараметрические модели (как правило, полиномиальные) для задач траекторных
измерений. Однако когда маневрирующая цель находится в ближней зоне, подобные
модели не позволяют учесть существенную нелинейность текущих измерений, что
неизбежно приводит к потерям в точности целеуказания. Особенно характерна такая
ситуация для МПРЛС малой дальности. На практике, возможно использование
траекторных моделей, учитывающих нелинейный характер перемещения цели
относительно системы многопозиционного измерения на малых дальностях. В
качестве алгоритма обработки можно использовать нелинейные варианты фильтра
Калмана., а также другие алгоритмы.
В военной области задачами РЛС являются
обнаружение и определение координат кораблей, самолетов и беспилотных объектов,
управление стрельбой и бомбометанием независимо от условий оптической
видимости, наблюдение за полем боя, бесконтактный подрыв зарядов и т. п. С
помощью РЛС решаются такие «невоенные» задачи, как, например, навигационное
обеспечение самолетов, кораблей и космических аппаратов, предупреждение
столкновений на суше, на море и в воздухе, разведка погоды и др.
Список
использованных источников
1 Черняк В. С. Многопозиционная
радиолокация / В. С. Черняк - М.: Радио и связь, 1993. - 416 с.
Ширман Я. Д. Теоретические основы
радиолокации / Я. Д. Ширман, В. Н. Голиков - М.: Сов. радио, 1984. - 560 с.
Дулевич В. Е. Теоретические основы
радиолокации / А. А. Коростелев, Н. Ф. Клюев - М.: Сов. радио, 1987. - 608 с.
4 Ширман Я. Д. Теория и техника
обработки радиолокационной информации на фоне помех / Я. Д. Ширман, В. Н.
Манжос - М.: Радио и связь, 1981. - 416с.
Максимов М. В. Защита от радиопомех
/ М. В. Максимов, М. П. Бобнев, Б. Х. Кривицкий - М.: Сов. радио, 1986. - 496
с.
Конторов Д. С. Введение в
радиолокационную схемотехнику / Д. С. Конторов, Ю. С. Голубев-Новожилов - М.:
Сов. радио, 1982. - 315с.
Цветнов В. В. Многопозиционные
радиотехнические системы / В. С. Кондратьев, А. Ф. Котов, Л. Н. Марков - М.:
Радио и связь, 1986. - 264 с.
8 Зайцев Д. В. Многопозиционные
радиолокационные системы / Д. В. Зайцев - М.: Радиотехника, 2007. - 96 с.
9 Гуров Г. Б. Обнаружение точечного
объекта разнесенной системой с переизлучением сигналов // Радиотехника и
электроника. - 1989. №5, - С. 5 - 9.
Попов Ю. Б. Оценка координат
воздушного объекта в многопозиционной РЛС с использованием фильтра Калмана //
ТУСУР. - 2011. - №1, - С. 22 - 28.
11 Weinstein E. Optimal source
localization and tracking array measurement // IEEE Trans. - 1998. - Vol. 30,
№2, - P. 69 - 76.
Zasada N. Multistatic radar
systems for aircraft defence // Signal. - 1997. - Vol. 34, №8, - P. 65 - 75.