Физические основы количественного рентгеноструктурного анализа металлов. Дифрактометрический анализ дефектов кристаллического строения по эффекту уширения линий
МИНИСТЕРСТВО
ОБРАЗОВАНИЯ И НАУКИ РОССИЙСКОЙ ФЕДЕРАЦИИ
ФЕДЕРАЛЬНОЕ
ГОСУДАРСТВЕННОЕ БЮДЖЕТНОЕ ОБРАЗОВАТЕЛЬНОЕ
УЧРЕЖДЕНИЕ
ВЫСШЕГО ПРОФЕССИОНАЛЬНОГО ОБРАЗОВАНИЯ
«ДОНСКОЙ
ГОСУДАРСТВЕННЫЙ ТЕХНИЧЕСКИЙ УНИВЕРСИТЕТ»
(ДГТУ)
Курсовая
работа
по
дисциплине: Современные методы анализа и исследования структуры и свойств
материалов
на
тему: «Физические основы количественного рентгеноструктурного анализа металлов.
Дифрактометрический анализ дефектов кристаллического строения по эффекту
уширения линий»
Выполнил:
магистрант гр. ОММТ-11
Комиссаров Н.С.
Проверил: Желева А.В.
г.
Ростов-на-Дону, 2014г.
Содержание
Введение
. Историческая
справка
2. Экспериментальные
методы рентгеновского структурного анализа
3. Исследование
аморфных материалов и частично упорядоченных объектов
4. Строение
реальных металлов. Дефекты кристаллического строения
5. Уширение
спектральных линий
Использованная
литература
Введение
рентгеновский
структурный анализ металл
Рентгеновский структурный анализ
(рентгеноструктурный анализ) - методы исследования атомного строения вещества
по распределению в пространстве и интенсивностям рассеянного на анализируемом
объекте рентгеновское излучения. Р. с. а. кристаллических материалов позволяет
устанавливать координаты атомов с точностью до 0,1-0,01 нм, определять
характеристики тепловых колебаний этих атомов, включая анизотропию и отклонения
от гармонического закона, получать по экспериментальным дифракц
<#"801805.files/image001.gif"> ~ 10 нм и
меньше, т. е. порядка размеров атомов. Особенно успешно и с высокой точностью
методами Р. с. а. исследуют атомное строение кристаллических объектов,
структура которых обладает строгой периодичностью, и они, т. о., представляют
собой естественную трёхмерную дифракционную решётку для рентгеновского
излучения.
1. Историческая справка
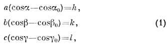
В основе Р. с. а. кристаллического вещества
лежит учение о симметрии кристаллов
<#"801805.files/image002.gif">, линейные
размеры элементарной ячейки кристалла а, b, с, углы падающего
и дифракционного
лучей
соотношениями
где h, k, l - целые числа (индексы
кристаллографические <#"801805.files/image006.gif">.
В 1913 У. Л. Брэгг и Г. В. Вульф
показали, что дифракционный рентгеновский пучок можно рассматривать как
отражение падающего луча от некоторой системы кристаллографических плоскостей с
межплоскостным расстоянием d:
где
- угол между отражающей плоскостью
и дифракционным лучом (угол Брэгга). В 1913-14 У. Г. и У. Л. Брэгги впервые
использовали дифракцию рентг. лучей для эксперим. проверки предсказанного ранее
У. Барлоу атомного строения кристаллов NaCl, Си, алмаза и др. В 1916 П. Дебай и
П. Шеррер предложили и разработали дифракц. методы рентгеноструктурных
исследований поликристаллических материалов (Дебая - Шеррера метод
<#"801805.files/image009.gif"> соответствующего характеристичного
излучения - Fe (
= 19,4 нм),
Си (
= 15,4 нм),
Мо (
= 7,1 нм),
Ag (
= 5,6 нм).
Позднее появились на порядок более мощные трубки с вращающимся анодом, для
структурных исследований используют также наиб. мощный, имеющий белый
(непрерывный) спектр излучения источник - рентг. синхротронное излучение
<#"801805.files/image014.gif"> применяемого в исследовании
синхретронного рентг. излучения, что имеет принципиальное значение при
использовании в Р. с. а. эффектов аномального рассеяния. В качестве детектора
излучения в Р. с. а. служит рентг. фотоплёнка, которую вытесняют
сцинтилляционные и полупроводниковые детекторы. Эффективность измерительной
систем резко возросла с применением координатных одномерных и двумерных
детекторов.
Количество п качество информации,
получаемой с помощью Р. с. а., зависят от точности измерений и обработки
экспериментальных данных. Алгоритмы обработки дифракционных данных определяются
используемым приближением теории взаимодействия рентг. излучения с веществом. В
1950-х гг. началось применение ЭВМ в технике рентгеноструктурного эксперимента
и для обработки экспериментальных данных. Созданы полностью автоматизированные
системы для исследования кристаллических материалов, которые проводят
эксперимент, обработку экспериментальных данных, основные процедуры по
построению и уточнению атомной модели структуры и, наконец, графическое
представление результатов исследования. Однако с помощью этих систем пока
нельзя изучать в автоматическом режиме кристаллы с псевдосимметрией, двойниковые
образцы и кристаллы с др. особенностями структуры.
. Экспериментальные методы рентгеновского
структурного анализа
Для реализации условий дифракции (1)
и регистрации положения в пространстве и интенсивностей дифрагированного рентг.
излучения служат рентг. камеры и рентг. дифрактометры с регистрацией излучения
соответственно фотогр. методами или детекторами излучения. Характер образца
(монокристалл или поликристалл, образец с частично упорядоченной структурой или
аморфное тело, жидкость пли газ), его размер и решаемая задача определяют
необходимую экспозицию и точность регистрации рассеянного рентг. излучения и,
следовательно, определённый метод Р. с. а.. Для изучения монокристаллов при
использовании в качестве источника рентг. излучения отпаянной рентг. трубки
достаточен объём образца ~10-3 мм3. Для получения качественной дифракционные
картины образец должен обладать возможно более совершенной структурой, причём
его блочность не препятствует структурным исследованиям. Реальное строение
крупных, почти совершенных монокристаллов исследует рентгеновская топография
<#"801805.files/image015.gif">
где D - диаметр кассеты,
-
расстояние между соответствующими прямыми на рентгенограмме.
Т. к.
постоянна, условия Лауэ (1)
выполняются за счёт изменения углов при качании или вращении образца. Обычно на
рентгенограммах качания и вращения образца дифракционные пятна перекрываются.
Чтобы избежать этого нежелательного эффекта, можно уменьшить угловую амплитуду
колебаний образца. Такой приём применяют, напр., в Р. с. а. белков, где
рентгенограммы качания используют для измерения интенсивностей дифракционных
отражений.
Рис. 1. Рентгенограмма качания
минерала сейдозерита
Na4MnTi(Zr,Ti)202(F,OH)2[Si2O7]2.
Рентгенгониометрические методы. Для
полного структурного исследования монокристалла методами Р. с. а. необходимо
определить положение в пространстве и измерить интегральные интенсивности всех
дифракционных отражений, возникающих при использовании излучения с данной
. Для этого
в процессе эксперимента образец должен с точностью порядка угловых минут
принимать ориентации, при которых выполняются условия (1) последовательно для
всех семейств кристаллографических плоскостей образца; при этом регистрируются
мн. сотни и даже тысячи дифракционных рефлексов. При регистрации дифракционные
картины на рентг. фотоплёнке интенсивности рефлексов определяются
микроденситометром по степени почернения и размеру дифракционных пятен. В
различных типах гониометров реализуются различные геометрические схемы
регистрации дифракционные картины. Полный набор интенсивностей дифракционных
отражений получают на серии рентгенограмм, на каждой рентгенограмме
регистрируются рефлексы, на кристаллографические индексы которых наложены
определенные ограничения.
Например, на разных рентгенограммах
регистрируются отражения типа hk0, hk1 (рис. 2). Для установления атомной
структуры кристалла, в элементарной ячейке которого содержится ~100 атомов,
необходимо измерить нескольких тысяч дифракционных отражений. В случае
монокристаллов белков объём эксперимента возрастает до 104-106 рефлексов.
Рис. 2. Рентгенограмма минерала
сейдозерита, полученная в рентгеновском гониометре Вайсенберга
Зарегистрированные дифракционные
отражения имеют индексы
. Отражения,
расположенные на одной кривой, характеризуются постоянным индексом k. При
замене фотоплёнки на счётчики рентг. квантов возрастают чувствительность и
точность измерения интенсивностей дифракционных отражений. В современных
автоматических дифрактометрах предусмотрены 4 оси вращения (3 у образца и 1 у
детектора), что позволяет реализовать в них различные по геометрии методы
регистрации дифракционных отражений. Такой прибор универсален, управление им
осуществляется с помощью ЭВМ и специально разработанных алгоритмов и программ.
Наличие ЭВМ позволяет ввести обратную связь, оптимизацию измерений каждого
дифракционного отражения и, следовательно, естественным образом планировать
весь дифракционный эксперимент. Измерения интенсивностей производятся с
необходимой для решаемой структурной задачи статистической точностью. Однако
увеличение точности измерения интенсивностей на порядок требует увеличения
времени измерений на два порядка. На точность измерений накладывает ограничение
качество исследуемого образца. Для белковых кристаллов (см. ниже) сокращение
времени эксперимента осуществляется за счёт использования двумерных детекторов,
в которых параллельно идёт измерение мн. десятков дифракционных отражений. При
этом утрачивается возможность оптимизации измерений на уровне отд. рефлекса.
Метод исследования поликристаллов
(метод Дебая - Шеррера)
Для Р. с. а. кристаллических
порошков, керамических материалов и др. поликристаллических объектов, состоящих
из большого числа мелких, случайным образом ориентированных друг относительно
друга монокристаллов, используется монохроматическое рентг. излучение.
Рентгенограмма от поликристаллического образца (де-баеграмма) представляет
собой совокупность концентричных колец, каждое из которых состоит из
дифракционных отражений от различным образом ориентированных в разных зёрнах
систем кристаллографических плоскостей с определённым межплоскостным
расстоянием d. Набор d и соответствующие им интенсивности дифракционных отражений
индивидуальны для каждого кристаллических вещества. Метод Дебая - Шеррера
используется при идентификации соединений и анализе смесей поликристаллических
веществ по качеств. и количеств. составу составляющих смеси фаз. Анализ
распределения интенсивностей в дебаевских кольцах позволяет оценить размеры
зёрен, наличие напряжений и преимущественных ориентации (текстурирования) в
расположении зёрен (см. Рентгенография материалов, Дебая - Шеррера метод).
В 1980 - 90-х гг. в Р. с. а. стал
применяться метод уточнения атомного строения кристаллических веществ по
дифракционным данным от поликристаллических материалов, предложенный X. М.
Ритвелдом (Н. М. Rietveld) для нейтронографических исследований. Метод Рптвелда
(метод полнопрофильного анализа) используется в том случае, когда известна
приближённая структурная модель изучаемого соединения, по точности результатов
он может конкурировать с рентгеноструктурными методами исследования
монокристаллов.
. Исследование аморфных материалов и
частично упорядоченных объектов
Чем ниже степень упорядоченности
атомного строения анализируемого вещества, тем более размытый, диффузный
характер имеет рассеянное им рентг. излучение. Однако дифракционного
исследования даже аморфных объектов дают возможность получить информацию об их
строении. Так, диаметр диффузного кольца на рентгенограмме от аморфного
вещества (рис. 3) позволяет оценить ср. межатомные расстояния в нём. С ростом
степени упорядоченности в строении объектов дифракционная картина усложняется
(рис. 4) и, следовательно, содержит больше структурной информации.
Рис. 3. Рентгенограмма аморфного
вещества - ацетата целлюлозы
Метод малоуглового рассеяния. В том
случае, когда размеры неоднородностей в объекте исследования превышают межатомные
расстояния и составляют от 0,5-1 до 103 нм, т. е. во много раз превышают длину
волны используемого излучения, рассеянное рентг. излучение концентрируется
вблизи первичного пучка - в области малых углов рассеяния. Распределение
интенсивности в этой области отражает особенности строения исследуемого
объекта. В зависимости от строения объекта и размеров неоднородностей
интенсивность рентг. рассеяния измеряют в углах от долей минуты до нескольких
градусов.
Рис. 4. Рентгенограммы биологических
объектов: а - волоса; б - натриевой соли ДНК во влажном состоянии; в - текстуры
натриевой соли ДНК
Малоуглового рассеяние применяют для
изучения пористых и мелкодисперсных материалов, сплавов и биол. объектов. Для
молекул белка и нуклеиновых кислот в растворах метод позволяет с невысоким
разрешением определять форму и размеры индивидуальной молекулы, мол. массу, в
вирусах - характер взаимной укладки составляющих их компонент (белка, нуклеиновых
кислот, липидов), в синтетических полимерах - упаковку полимерных цепей, в
порошках и сорбентах - распределение частиц и пор по размерам, в сплавах -
фиксировать возникновение новых фаз и определять размеры этих включений, в
текстурах (в частности, в жидких кристаллах) - упаковку частиц (молекул) в
различного рода надмолекулярные структуры. Эффективным оказался метод
малоуглового рассеяния и для исследования строения ленгмюровских плёнок. Он
применяется также в промышленности при контроле процессов изготовления
катализаторов, высокодисперсных углей и т. д.
Анализ атомной структуры кристаллов.
Определение атомной структуры кристаллов включает: установление формы и
размеров элементарной ячейки, симметрии кристалла (его принадлежности к одной
из 230 фёдоровских групп) и координат базисных атомов структуры. Прецизионные
структурные исследования позволяют, кроме того, получать количеств.
характеристики тепловых движений атомов в кристалле и пространственное
распределение в нём валентных электронов. Методами Лауэ и качания образца
определяют метрику кристаллических решётки. Для дальнейшего анализа необходимо
измерение интенсивностей всех возможных дифракционных отражений от исследуемого
образца при данной l. Первичная обработка экспериментальным данных учитывает
геометрию дифракционного эксперимента, поглощение излучения в образце,
поляризацию <#"801805.files/image025.gif">
в пространстве в ряд Фурье:
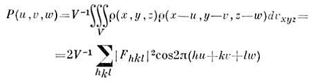
где V - объём элементарной ячейки кристалла,-
коэффициенты Фурье, которые в Р. с. а. наз. структурными амплитудами.
Каждая структурная амплитуда характеризуется
целыми числами h, k, l - кристаллографическими индексами в соответствии с (1) и
однозначно отвечает одному дифракционному отражению. Разложение (2) физически
реализуется в дифракционном эксперименте.
Основная сложность структурного исследования
состоит в том, что обычный дифракционный эксперимент даёт возможность измерить
интенсивности дифракционных пучков Ihkl но не позволяет фиксировать их фазы
.
Для мозаичного кристалла в кинематическом приближении
.
Анализ экспериментального массива
с учётом закономерных погасаний рефлексов позволяет однозначно установить его
принадлежность к одной из 122 рентг. групп симметрии. При отсутствии
аномального рассеяния дифракционная картина всегда центросимметрична. Для
определения фёдоровской группы симметрии необходимо независимо выяснить,
обладает ли кристалл центром симметрии. Эта задача может быть решена на основе
анализа аномальной составляющей рассеяния рентг. лучей. При отсутствии
последнего строят кривые статистического распределения
по их значениям, эти распределения различны для центросимметричных и
ацентричных кристаллов. Отсутствие центра симметрии может быть однозначно
установлено и по физ. свойствам кристалла (пироэлектрическим,
сегнетоэлектрическим и др.).
Фурье-преобразование соотношения (2) позволяет
получить расчётные ф-лы для вычисления величин Fhkl (в общем случае - комплексных):
где
- ат. фактор рассеяния рентг. излучения атомом jj, xj, yj, zj - его координаты;
суммирование идёт по всем N атомам элементарной ячейки.
Задача, обратная структурному исследованию,
решается следующим образом: если известна атомная модель структуры, то по (3)
вычисляются модули и фазы структурных амплитуд и, следовательно, интенсивности
дифракционных отражений. Дифракционный эксперимент даёт возможность измерить
мн. сотни не связанных симметрией амплитуд
, каждая из которых определяется по (3) набором координат базисных (независимых
по симметрии) атомов структуры. Таких структурных параметров существенно
меньше, чем модулей
, следовательно,
между последними должны существовать связи. Теория структурного анализа
установила связи разного типа: неравенства, линейные неравенства, структурные
произведения и детерминанты связи структурных амплитуд.
На основе наиболее эффективных статистических
связей развиты прямые методы определения фаз структурных амплитуд. Если взять
тройку больших по модулям структурных амплитуд, индексы которых связаны
простыми соотношениями h1 + h2 + h3 = 0, k1 + k2 + k3 = 0, l1 + l2 + l3 = 0, то
наиб. вероятная сумма фаз этих амплитуд будет равна нулю:
Вероятность выполнения равенства тем выше, чем
больше произведение спец. образом нормированных структурных амплитуд, входящих
в это соотношение. С ростом числа атомов N в элементарной ячейке кристалла надёжность
соотношения падает. На практике используются существенно более сложные
статистические соотношения и достаточно строгие оценки вероятностей выполнения
этих соотношений. Вычисления по этим соотношениям весьма громоздки, алгоритмы
сложны и реализуются только на мощных современных ЭВМ. Прямые методы дают
первые приближённые значения фаз и только наиб. сильных по нормированным
модулям структурных амплитуд.
Для практики структурных исследований важны
процедуры автоматического уточнения фаз структурных амплитуд. На основе
приближённого набора фаз
сильнейших
структурных амплитуд и по соответствующим экспериментальным модулям
по (2) вычисляется первое приближённое распределение электронной плотности в
кристалле
.
Затем
модифицируется на основе физ. и кристаллохим. информации о свойствах этого
распределения. Напр., во всех точках пространства
,
по модифициров. распределению
путём обращения
Фурье вычисляются уточнённые фазы
и вместе с экспериментальными значениями
используются для построения следующего приближения
и т. д. После получения достаточно точных значений
по
(2) строится трёхмерное распределение электронной плотности в кристалле. Оно по
существу является изображением исследуемой структуры, и вся сложность его
получения вызвана отсутствием собирающих линз для рентг. излучения.
Правильность полученной атомной модели проверяют
сравнением экспериментальных
и вычисленных
по (3) модулей структурных амплитуд. Количественная характеристика такого
сравнения - фактор расходимости
Этот фактор даёт возможность методом проб и
ошибок получить оптимальные результаты. Для некристаллических объектов это практически
единственный метод интерпретации дифракционной картины.
Определение фаз структурных амплитуд прямыми
методами осложняется при увеличении числа атомов в элементарной ячейке
кристалла. Псевдосимметрия и некоторые др. особенности его строения также ограничивают
возможности прямых методов.
Иной подход к определению атомного строения
кристаллов по рентг. дифракционным данным был предложен А. Л. Патерсоном (A. L.
Paterson). Атомная модель структуры строится на основе анализа ф-ции межатомных
векторов P(u,v,w)(ф-ции Патерсона), которая вычисляется по экспериментальным
значениям
.
Смысл этой ф-ции можно пояснить с помощью схемы её геом. построения. Атомную
структуру, содержащую в элементарной ячейке N атомов, помещаем параллельно
самой себе так, чтобы первый атом попал в начало координат. Если умножить
атомные веса всех атомов структуры на значение атомного веса первого атома, то
получим веса первых N пиков ф-ции межатомных векторов. Это т. н. изображение
структуры в первом атоме. Затем в начало координат помещаем таким же образом
построенное изображение структуры во втором атоме, затем в третьем и т. д.
Проделав эту процедуру со всеми N атомами структуры, получим N2 пиков ф-ции
Патерсона (рис. 5). Т. к. атомы не являются точками, полученная ф-ция
P(u,v,w)содержит достаточно размытые и перекрывающиеся пики:
Рис. 5. Схема построения функции межатомных
векторов для структуры, состоящей из трёх атомов.
[
- элемент объёма в
окрестности точки (х,у,z)]. Ф-ция межатомных векторов строится по квадратам
модулей экспериментальных структурных амплитуд и является свёрткой
распределения электронной плотности
с собой, но после инверсии в начале координат.
Рис. 6. Минерал баотит
Ba4Ti4(Ti,Nb)4[Si4O12]O16Cl; a - функция межатомных векторов, проекция на
плоскость аb, линии равного уровня значений функции проведены через равные
произвольные интервалы; б - проекция распределения электронной плотности на
плоскость аb, полученная путём интерпретации функции межатомных векторов и
уточнения атомной модели, сгущения линий равного уровня отвечают положениям
атомов в структуре; в - проекция атомной модели структуры на плоскость аb в
полинговских полиэдрах.
Атомы Si расположены внутри тетраэдров из атомов
кислорода, атомы Ti и Nb находятся в октаэдрах из атомов кислорода. Тетраэдры
[SiO4] и октаэдры [Ti(Nb)O6] в структуре баотита соединены, как показано на
рисунке. Атомы Ва и С1 показаны черными и светлыми кружками. Часть элементарной
ячейки кристалла, изображённая на рисунках а и б, отвечает на рисунке в
квадрату, выделенному штриховыми линиями.
Трудности интерпретации P(u,v,w)связаны с тем,
что среди N2 пиков этой ф-ции необходимо распознать пики одного изображения
структуры. Максимумы ф-ции Патерсона существенно перекрываются, что ещё более
осложняет её анализ. Наиб. прост для анализа случай, когда исследуемая структура
состоит из одного тяжёлого атома и несколько значительно более лёгких атомов. В
этом случае изображение структуры в тяжёлом атоме рельефно выступает на фоне
остальных пиков P(u,v,w). Разработан ряд методов систематич. анализа ф-ции
межатомных векторов. Наиб. эффективными из них являются суперпозиц. методы,
когда две или более копий P(u,v,w) в параллельном положении накладываются друг
на друга с соответствующими смещениями. При этом закономерно совпадающие на
всех копиях пики выделяют одно или несколько из N исходных изображении
структуры. Как правило, для единств. изображения структуры приходится
использовать дополнит. копии P(u,v,w). Проблема сводится к поиску необходимых
взаимных смещений этих копий. После локализации на суперпозиц. синтезе
приближённого распределения атомов в структуре этот синтез может быть
подвергнут обращению Фурье и т. о. он позволяет получить фазы структурных
амплитуд. Последние вместе с экспериментальным значениями
используются для построения
. Все процедуры
суперпозиции методов алгоритмизированы и реализованы в автоматическом режиме на
ЭВМ. На рис. 6 изображено атомное строение кристалла, установленное
суперпозиционными методами по ф-ции Патерсона.
Разрабатываются экспериментальные методы
определения фаз структурных амплитуд. Физ. основой этих методов служит эффект
Реннингера - многолучевая рентг. дифракция. При наличии одновременно рентг.
дифракционных отражений имеет место перекачка энергии между ними, которая
зависит от фазовых соотношений между данными дифракционными пучками. Вся
картина изменения интенсивностей при этом ограничена угловыми секундами и для
массовых структурных исследований эта методика практического значения пока не
приобрела.
В самостоятельный раздел Р. с. а. выделяют
прецизионные структурные исследования кристаллов, позволяющие получать по
дифракционным данным не только модели атомного строения исследуемых соединений,
но и количественные характеристики тепловых колебаний атомов, включая анизотропию
этих колебаний (рис. 7) и их отклонения от гармонического закона, а также
пространственное распределение валентных электронов в кристаллах. Последнее
важно для исследования связи между атомным строением и физ. свойствами
кристаллов. Для прецизионных исследований разрабатываются специальные методы
экспериментальных измерений и обработки дифракционных данных. В этом случае
необходимы учёт одновременных отражений, отклонений от кинематичности
дифракции, принятие во внимание динамических поправок теории дифракции и др.
тонких эффектов взаимодействия излучения с веществом. При уточнении структурных
параметров используют метод наим. квадратов, причём важнейшее значение имеет
учёт корреляции между уточняемыми параметрами.
Рисунок 7 - Эллипсоиды анизотропных тепловых
колебаний атомов стабильного нитрон-сильного радикала C13H17N2O2.
Р. с. а. используют для установления
связи атомного строения с физ. свойствами сегнетоэлектриков
<#"801805.files/image058.gif"> связана с
энгармонизмом тепловых колебаний атомов Те (рис. 8). Упругие свойства
тетрабората лития Li2B4О7, открывающие для него перспективы применения в
качестве детектора акустических волн, обусловлены характером хим. связей в этом
соединении. С помощью Р. с. а. исследуют распределение в кристалле валентных
электронов, реализующих межатомные связи в нём. Эти связи могут исследоваться с
помощью распределения деформационной электронной плотности, представляющей
собой разность
где
- распределение электронной
плотности в кристалле,
- сумма
сферически симметричных плотностей свободных (не вступивших в хим. связи)
атомов данной структуры, которые расположены соответственно в точках с
координатами xi, yi, zi. При установлении по рентг. дифракц. данным деформации
электронной плотности наиб. сложен учёт тепловых колебаний атомов, существ.
образом коррелирующих с характером и направлениями хим. связей. Т. о.,
деформационная плотность
отражает
перераспределение в пространстве той части электронной плотности атомов,
которая непосредственно участвует в образовании хим. связей (рис. 9).
Рис. 8. Ближайшее окружение теллура
атомами О в структуре
(a) и ангармоническая
составляющая распределения плотности вероятности нахождения атома Те в данной
точке пространства в процессе тепловых колебаний (б). Положительные (сплошные)
и отрицательные (штриховые) линии равного уровня проведены через 0,02
-3
Рис. 9. Сечение синтеза
деформационной электронной плотности кристалла Li2B4O7 плоскостью, проходящей
через атомы О треугольной группы ВО3, в центре которой находится атом В.
Максимумы на отрезках В - О указывают на ковалентный характер связей между
этими атомами. Штриховыми линиями выделены области, из которых электронная
плотность переместилась на химические связи. Линии равного уровня проведены
через 0,2 .
Рис. 10. Упорядоченное размещение
атомов Sr по позициям лантана в структуре
Атомы Сu
Структурные исследования
высокотемпературных сверхпроводников позволили установить их атомное строение и
его связь с их физ. свойствами. Было показано, что в монокристаллах
температура
перехода в сверхпроводящее состояние Тс зависит не только от кол-ва Sr, но и от
способа его статистического размещения. Равномерное распределение атомов Sr в
структуре является оптимальным для сверхпроводящих свойств. Концентрация Sr в
определенных слоях структуры (рис. 10) ведёт к потере в этих слоях части
кислорода и к понижению Тс. Для кристаллов
методами Р. с. а. установлено
упорядочение в размещении атомов О. В пределах одного кристалла установлено
наличие ромбических по симметрии областей локального состава
с Тс~90 К и
областей находятся в [СuО6]-октаэдрах. Дефектность по кислороду показана
отсутствием у одного из Cu-полиэдров одной кислородной вершины. Позиции,
полностью заселённые атомами La, показаны чёрными кружками. Светлые кружки -
позиции лантана, в которых сконцентрированы и статистически размещены все атомы
Sr.
с Тс ~ 60 К. В кристаллах с кол-вом
кислорода меньше чем 6,5 атома на элементарную ячейку, наряду с областями
ромбич. симметрии локального состава
появляются области тетрагональной
симметрии локального состава
, которые не переходят в
сверхпроводящее состояние.
Рис. 11. Атомная модель молекулы
гуанил-специфичной рибонуклеазы С2, построенная на основе рентгеноструктурного
исследования монокристаллов этого белка с разрешением 1,55
Для решения мн. задач физики
<#"801805.files/image078.gif">
Рис.10. Точечные дефекты
Вакансия - отсутствие атомов в узлах
кристаллической решетки, «дырки», которые образовались в результате различных
причин. Образуется при переходе атомов с поверхности в окружающую среду или из
узлов решетки на поверхность (границы зерен, пустоты, трещины и т. д.), в
результате пластической деформации, при бомбардировке тела атомами или частицами
высоких энергий (облучение в циклотроне или нейтронной облучение в ядерном
реакторе). Концентрация вакансий в значительной степени определяется
температурой тела. Перемещаясь по кристаллу, одиночные вакансии могут
встречаться. И объединяться в дивакансии. Скопление многих вакансий может
привести к образованию пор и пустот.
Дислоцированный атом - это атом, вышедший из
узла решетки и занявший место в междоузлие. Концентрация дислоцированных атомов
значительно меньше, чем вакансий, так как для их образования требуются
существенные затраты энергии. При этом на месте переместившегося атома
образуется вакансия.
Примесные атомы всегда присутствуют в металле,
так как практически невозможно выплавить химически чистый металл. Они могут
иметь размеры больше или меньше размеров основных атомов и располагаются в
узлах решетки или междоузлиях.
Точечные дефекты вызывают незначительные
искажения решетки, что может привести к изменению свойств тела
(электропроводность, магнитные свойства), их наличие способствует процессам диффузии
и протеканию фазовых превращений в твердом состоянии. При перемещении по
материалу дефекты могут взаимодействовать.
Линейные дефекты.
Основными линейными дефектами являются
дислокации. Априорное представление о дислокациях впервые использовано в 1934
году Орованом и Тейлером при исследовании пластической деформации
кристаллических материалов, для объяснения большой разницы между практической и
теоретической прочностью металла.
Дислокация - это дефекты кристаллического
строения, представляющие собой линии, вдоль и вблизи которых нарушено
характерное для кристалла правильное расположение атомных плоскостей.
Простейшие виды дислокаций - краевые и винтовые.
Краевая дислокация представляет собой линию,
вдоль которой обрывается внутри кристалла край “лишней“ полуплоскости (рис.11.)
а) б)
Рис.11. Краевая дислокация (а) и механизм ее
образования (б)
Неполная плоскость называется экстраплоскостью.
Большинство дислокаций образуются путем
сдвигового механизма. Ее образование можно описать при помощи следующей
операции. Надрезать кристалл по плоскости АВСD, сдвинуть нижнюю часть
относительно верхней на один период решетки в направлении, перпендикулярном АВ,
а затем вновь сблизить атомы на краях разреза внизу.
Наибольшие искажения в расположении атомов в
кристалле имеют место вблизи нижнего края экстраплоскости. Вправо и влево от
края экстраплоскости эти искажения малы (несколько периодов решетки), а вдоль
края экстраплоскости искажения простираются через весь кристалл и могут быть
очень велики (тысячи периодов решетки) (рис.12.).
Если экстраплоскость находится в верхней части
кристалла, то краевая дислокация - положительная (
),
если в нижней, то - отрицательная (
).
Дислокации одного знака отталкиваются, а противоположные притягиваются.
Рис.12. Искажения в кристаллической решетке при
наличии краевой дислокации
Другой тип дислокаций был описан Бюргерсом, и
получил название винтовая дислокация
Винтовая дислокация получена при помощи
частичного сдвига по плоскости Q вокруг линии EF (рис.13.) На поверхности
кристалла образуется ступенька, проходящая от точки Е до края кристалла. Такой
частичный сдвиг нарушает параллельность атомных слоев, кристалл превращается в
одну атомную плоскость, закрученную по винту в виде полого геликоида вокруг
линии EF, которая представляет границу, отделяющую часть плоскости скольжения,
где сдвиг уже произошел, от части, где сдвиг не начинался. Вдоль линии EF
наблюдается макроскопический характер области несовершенства, в других
направлениях ее размеры составляют несколько периодов.
Если переход от верхних горизонтов к нижним
осуществляется поворотом по часовой стрелке, то дислокация правая, а если
поворотом против часовой стрелки левая.
Рис. 13. Механизм образования винтовой
дислокации
Винтовая дислокация не связана с какой-либо
плоскостью скольжения, она может перемещаться по любой плоскости, проходящей через
линию дислокации. Вакансии и дислоцированные атомы к винтовой дислокации не
стекают.
В процессе кристаллизации атомы вещества,
выпадающие из пара или раствора, легко присоединяются к ступеньке, что приводит
к спиральному механизму роста кристалла.
Линии дислокаций не могут обрываться внутри
кристалла, они должны либо быть замкнутыми, образуя петлю, либо разветвляться
на несколько дислокаций, либо выходить на поверхность кристалла.
Дислокационная структура материала
характеризуется плотностью дислокаций.
Плотность дислокаций в кристалле определяется
как среднее число линий дислокаций, пересекающих внутри тела площадку площадью
1 м2, или как суммарная длина линий дислокаций в объеме 1 м3
(см-2; м-2)
Плотность дислокаций изменяется в широких
пределах и зависит от состояния материала. После тщательного отжига плотность
дислокаций составляет 105…107 м-2, в кристаллах с сильно деформированной
кристаллической решеткой плотность дислокаций достигает 1015…10 16 м -2.
Плотность дислокации в значительной мере
определяет пластичность и прочность материала (рис. 14.)
Рис.14. Влияние плотности дислокаций на
прочность
Минимальная прочность определяется критической
плотностью дислокаций
Если плотность меньше значения а, то
сопротивление деформированию резко возрастает, а прочность приближается к
теоретической. Повышение прочности достигается созданием металла с бездефектной
структурой, а также повышением плотности дислокаций, затрудняющим их движение.
В настоящее время созданы кристаллы без дефектов - нитевидные кристаллы длиной
до 2 мм, толщиной 0,5…20 мкм - “усы“ с прочностью, близкой к теоретической: для
железа
=
13000 МПа, для меди
=30000 МПа. При
упрочнении металлов увеличением плотности дислокаций, она не должна превышать
значений 1015…10 16 м -2. В противном случае образуются трещины.
Дислокации влияют не только на прочность и пластичность,
но и на другие свойства кристаллов. С увеличением плотности дислокаций
возрастает внутреннее, изменяются оптические свойства, повышается
электросопротивление металла. Дислокации увеличивают среднюю скорость диффузии
в кристалле, ускоряют старение и другие процессы, уменьшают химическую
стойкость, поэтому в результате обработки поверхности кристалла специальными
веществами в местах выхода дислокаций образуются ямки.
Дислокации образуются при образовании кристаллов
из расплава или газообразной фазы, при срастании блоков с малыми углами
разориентировки. При перемещении вакансий внутри кристалла, они
концентрируются, образуя полости в виде дисков. Если такие диски велики, то
энергетически выгодно “захлопывание” их с образованием по краю диска краевой дислокации.
Образуются дислокации при деформации, в процессе кристаллизации, при
термической обработке.
Поверхностные дефекты - границы зерен,
фрагментов и блоков (рис. 15.).

Размеры зерен составляют до 1000 мкм. Углы
разориентации составляют до нескольких десятков градусов (
).
Граница между зернами представляет собой тонкую
в 5 - 10 атомных диаметров поверхностную зону с максимальным нарушением порядка
в расположении атомов.
Строение переходного слоя способствует скоплению
в нем дислокаций. На границах зерен повышена концентрация примесей, которые
понижают поверхностную энергию. Однако и внутри зерна никогда не наблюдается
идеального строения кристаллической решетки. Имеются участки,
разориентированные один относительно другого на несколько градусов (
).
Эти участки называются фрагментами. Процесс деления зерен на фрагменты
называется фрагментацией или полигонизацией.
В свою очередь каждый фрагмент состоит из
блоков, размерами менее 10 мкм, разориентированных на угол менее одного градуса
(
).
Такую структуру называют блочной или мозаичной.
5. Уширение спектральных линий
Уширение спектральных линий - физ. процессы,
приводящие к немонохроматичности спектральных линий и определяющие их контуры.
Любое воздействие на излучающую или поглощающую квантовую систему (атом,
молекулу) влияет на контур спектральной линии (ширину и сдвиг). Радиационное
затухание ответственно за естественную ширину спектральной линии. Тепловое
движение в газе приводит к доплеровскому уширению. Взаимодействие атома или
молекулы с окружающими частицами вызывает уширение, сдвиг и асимметрию контура
спектральной линии, зависящие от сорта возмущающих частиц и характеристик их
движения.
В газах и плазме в зависимости от характера
воздействия окружающих частиц различают два осн. механизма У. с. л.- ударный и
квазистатический (статистический). Если в ср. длительность столкновения с
возмущающими частицами мала по сравнению с временем между двумя
последовательными столкновениями, то происходит ударное У. с. л. В этом случае
столкновения приводят к мгновенному сдвигу фазы и неупругой релаксации верх. и
нижних состояний излучающей системы, контур спектральной линии имеет
лоренцовскую форму, а ширина dw (w-круговая частота) и сдвиг линии D
пропорциональны концентрации возмущающих частиц N:
Здесь s' и s "-т. н. эфф. сечения уширения
и сдвига, u - относит. скорость движения частиц; угл. скобки означают
усреднение по скоростям. В некоторых случаях ударное У. с. л. практически
полностью обусловлено неупругой релаксацией верхних и нижних уровней а и b.
При этом сдвиг линии почти отсутствует, а
где sa,b -эфф. сечения неупругого рассеяния.
Как правило, хорошее количественное описание У.
с. л. даёт полуклассический подход, в котором излучающий атом рассматривается
как квантовая система, а относит. движение возмущающей частицы - как движение
по классической траектории в его поле. У. с. л. нейтральными частицами
определяется ударным механизмом вплоть до давлений в нескольких десятков атм.
Уширение электронами в плазме практически всегда имеет ударный характер. В
большинстве случаев в ударном приближении хорошо описывается центральная часть
контура спектральной линии.
В противоположном предельном случае очень
медленных столкновений можно считать, что в каждый момент имеют место сдвиг и
расщепление спектральной линии, соответствующие текущему значению внеш.
возмущения. Результирующий контур линии определяется усреднением по всем
возможным конфигурациям возмущающих частиц. Такой квазистатический механизм
определяет распределение интенсивности I(w) при больших отстройках от
центральной частоты, т. е. в крыле линии. Если потенциал взаимодействия V(R
)атома с возмущающей частицей убывает с расстоянием R между ними по степенному
закону
то
в крыле линии
Спектральные линии неводородоподобных атомов
обладают одним квазистатистическим крылом; исключение составляет случай
резонансного уширения. Воздействие положит. ионов на большинство линий
водородоподобных атомов во мн. случаях вполне удовлетворительно описывается в
квазистатическом приближении для всего контура. При этом в ф-ле (2) n = 2. В
случае a-линий (переходы
) необходимо
учитывать движение ионов.
К наибольшему У. с. л. приводит взаимодействие с
заряженными частицами в плазме-т. н. штарковское уширение. Для водородоподобных
линий основную роль играет квазистатическое уширение ионами за счёт линейного
Штарка эффекта,
При этом ширина линии
(Ni - концентрация ионов), а сдвиг практически
отсутствует. В случае неводородоподобных линий определяющим является уширение
электронами вследствие квадратичного эффекта Штарка. Штарковское уширение
широко используют для определения концентрации заряженных частиц.
Уширение нейтральными частицами существенно
зависит от типа радиационного перехода и сорта возмущающих частиц. Наибольшее
уширение, обусловленное резонансным диполь-дипольным взаимодействием,
наблюдается у резонансных линий атомов в однородном газе, т. е. при возмущении
излучающего атома атомами того же сорта. Такое же резонансное уширение имеет
место в том случае, когда один из уровней, между которыми происходит переход,
связан с основным состоянием оптически разрешённым переходом. В этом случае
сечение уширения 
см 2, сдвиг линии
мал по сравнению с шириной. Если возмущающими частицами являются атомы или
молекулы постороннего газа, уширение атомных линий определяется ван-дерваальсовским
взаимодействием
Характерные
сечения уширения s'~10-14-10-13 см , имеется сдвиг линии, который обычно
составляет ~30% ширины.
В молекулярных спектрах уширение линий
электронных переходов происходит аналогично У. с. л. неводородоподобных атомов.
Характер взаимодействия, которое определяет уширение колебательно-вращательное
и вращат. линий, зависит от симметрии излучающих и возмущающих молекул (см.
Молекула, Молекулярные спектры). Это может быть диполь-дипольное,
диполь-квадрупольное, квадруполь-квадрупольное, ван-дервальсовское
взаимодействия или их s'~(1-3).10-15 комбинации. Характерные сечения уширения
Рядом особенностей обладает У. с. л., связанных
с рид-берговскими уровнями атомов и молекул (см. Ридберговские состояния).
Особенно велико сечение уширения электронным ударом
и
при
При возмущении ридберговских уровней щелочных
металлов собств. давлением s'~5.10-12 см 2, а при возмущении посторонними
газами s'~10-14-10-13 см 2.
Иногда при повышении давления газа У. с. л.
из-за взаимодействия отсутствует и даже происходит сужение линии. Если эфф.
сечение уширения s' много меньше эфф. сечения упругих соударений s упр, то
имеет место эффект сужения Дике. При малом давлении буферного газа линия имеет
доплеровский уширенный контур. Если концентрация газа N повышается, так что
длина свободного пробега излучающей частицы
(где
l- длина волны спектральной линии), то упругие столкновения препятствуют
свободному движению молекул и доплеровское уширение линии уменьшается. При этом
ширина центральной части контура
При
дальнейшем повышении давления ширина линии достигает минимума и затем начинает
возрастать пропорционально
В оптической области спектра этот эффект
отсутствует. Слабо выраженный эффект Дике наблюдается на колебательных
переходах некоторых молекул. Значительное сужение может наблюдаться на
радиочастотных переходах между компонентами сверхтонкой структуры основных
состояния атомов. В некоторых случаях при повышении давления газа У. с. л. не
происходит вследствие интерференциальных эффектов.
Столкновения частиц приводят также и к изменению
скорости атома или молекулы, поэтому, вообще говоря, У. с. л., вызываемое
взаимодействием частиц, и доплеровское У. с, л. не являются статистически
независимыми. В обычных спектрах поглощения и испускания их статистическая
зависимость существенно проявляется только в эффекте сужения Дике, однако в
нелинейной спектроскопии статистическая зависимость ударного и доплеровского
уширения часто весьма существенна. Для её описания используется квантовое
кинетическое ур-ние.
Различают однородное и неоднородное У. с. л.
Если вероятность Pab(w) поглощения или испускания на частоте w, приводящего к
квантовому переходу
одинакова для всех
атомов, находящихся на уровне a, то линию наз. однородно уширенной. В
противоположном случае имеет место неоднородное уширение. Однородным являются
ударное и естественное У. с. л.; доплеровское и квазистатическое примеры
неоднородного уширения. При доплеровском уширении в резонанс с эл.-магн. волной
вступают лишь атомы, для которых с точностью до естественной или ударной ширины
dw выполняется условие:
(здесь k -волновой вектор эл.-магн. волны, u -
скорость атома). При квазистатическом уширении резонансно взаимодействуют с
полем волны те атомы, у которых сдвиг частоты в локальном микрополе равен
отстройке
Неоднородно уширены линии примесных ионов в
неоднородных кристаллах и аморфных твёрдых телах. Значительное однородное
уширение
испытывают
молекулярные линии в жидкостях и растворах. Вследствие перекрытия
колебательно-вращательных полос в большинстве случаев вместо отд. спектральных
линий в спектрах поглощения и люминесценции наблюдаются широкие полосы. Во мн.
экспериментах лазерной спектроскопии и радиоспектроскопии (особенно в пучковых)
время взаимодействия атомов или молекул с полем излучения мало по сравнению с
временем жизни возбуждённого уровня. В результате наблюдаемый контур линии
поглощения (или вынужденного испускания) испытывает т. н. время-пролётное (или
просто пролётное) уширение. При этом ширина контура
(d-
размер области взаимодействия). Форма контура зависит от распределения поля в
области взаимодействия.
Резонансное взаимодействие атомов с полем
интенсивной эл.-магн. волны приводит к полевому У. с. л. вследствие нелинейных
эффектов, напр. вследствие насыщения поглощения.
Структура электронных спектров кристаллов при
обычных условиях сильно размыта под действием тепловых колебаний атомов
кристаллической структуры, и в большинстве случаев наблюдаются широкие размытые
спектральные полосы. При гелиевой темп-ре можно наблюдать дискретные
спектральные линии, которые возникают при прямых переходах между экситонными
зонами, при переходах между дискретными уровнями электронов и дырок,
локализованных на дефектах решётки, либо на акцепторных или донорных примесях в
гомеополярных полупроводниках (см. Спектроскопия кристаллов). Помимо колебаний
атомов на форму и ширину экситонных линий влияют тип связи в кристалле, его
зонная структура и микроструктура экситонного возбуждения. В сильнолегированных
полупроводниках ширина линии может зависеть от степени легирования. Дискретные
линии наблюдаются и при комнатной темп-ре в поглощении и люминесценции
кристаллов, содержащих ионы переходных металлов (хром, железо, палладий,
платина и др.), лантанидов и трансурановых элементов, имеющих незаполненные d-
и f -оболочки. В кристаллах высокого качества линии таких примесных ионов,
напр. линия иона Сr3+ в рубине и линия Nd3+ в иттрий-алюминиевом гранате,
испытывают однородное уширение, обусловленное гл. обр. колебаниями атомов
кристаллической структуры.
Весьма многообразны причины уширения
радиочастотных линий электронного парамагнитного резонанса (ЭПР), ядерного
магнитного резонанса (ЯМР) и ядерного квад-рупольного резонанса (ЯКР). Наиб.
значит. влияние на их форму и ширину оказывают спин-решёточное взаимодействие,
спин-спиновое взаимодействие, неоднородность магн. поля и исследуемого объекта.
К уширению наблюдаемых линий ЭПР часто приводит неразрешённая сверхтонкая
структура. Ширина линий циклотронного (диамагнитного) резонанса,
соответствующая переходам между уровнями Ландау, определяется частотой
электрон-электронных соударений.
Использованная литература
1. Белов
Н. В., Структурная кристаллография, М., 1951;
2. Б
о к и й Г. Б., Порай-Кошиц М. А., Рентгеноструктурный анализ, 2 изд., т. 1, М.,
1964;
. Липсон
Г., Кокрен В., Определение структуры кристаллов, пер. с англ., М., 1956;
. Бюргер
М., Структура кристаллов и векторное пространство, пер. с англ., М., 1961;
. Г
и н ь е А., Рентгенография кристаллов. Теория и практика, пер. с франц., М.,
1961;
6. Stout
G, Н.,
J е
n s е
n L. Н.,
X-ray structure determination, N. Y.- L., 1968;
7. X
е и к е р Д. М., Рентгеновская дифрактометрия монокристаллов, Л., 1973;
. Бландел
Т., Джонсон Л., Кристаллография белка, пер. с англ., М., 1979;
. Вайнштейн
Б. К., Симметрия кристаллов. Методы структурной
кристаллографии,
М.,
1979;
10. Electron
and magnetization densities in molecules and crystals, ed. by P. Becker, N. Y.-
L., 1980;
11. Кристаллография
и
кристаллохимия,
М.,
1986;
12. Structure
and physical properties of crystals, Barselona, 1991. В.
И.
Симонов.
. Грим
Г., Уширение спектральных линий в плазме, пер. с англ., М., 1978;
. Вайнштейн
Л. А., Собель-ман И. И., Юков Е. А., Возбуждение атомов и уширение спектральных
линий, М., 1979;