Исследование особенностей технической реализации и эффективности уплотнения нестационарных сигналов

  • Вид работы:
    Дипломная (ВКР)
  • Предмет:
    Информатика, ВТ, телекоммуникации
  • Язык:
    Русский
    ,
    Формат файла:
    MS Word
    192,02 Кб
  • Опубликовано:
    2015-05-08
Вы можете узнать стоимость помощи в написании студенческой работы.
Помощь в написании работы, которую точно примут!

Исследование особенностей технической реализации и эффективности уплотнения нестационарных сигналов

Министерство образования и науки Российской Федерации

Федеральное государственное бюджетное образовательное учреждение высшего профессионального образования

“КУБАНСКИЙ ГОСУДАРСТВЕННЫЙ УНИВЕРСИТЕТ”

Физико-технический факультет

Кафедра оптоэлектроники







ДИПЛОМНАЯ РАБОТА

ИССЛЕДОВАНИЕ ОСОБЕННОСТЕЙ ТЕХНИЧЕСКОЙ РЕАЛИЗАЦИИ И ЭФФЕКТИВНОСТИ УПЛОТНЕНИЯ НЕСТАЦИОНАРНЫХ СИГНАЛОВ

Автор Анцупов Иван Юрьевич

Научный руководитель А.Н.Казаков



Краснодар 2013

Реферат

Анцупов Иван Юрьевич. ИССЛЕДОВАНИЕ ОСОБЕННОСТЕЙ ТЕХНИЧЕСКОЙ РЕАЛИЗАЦИИ И ЭФФЕКТИВНОСТИ УПЛОТНЕНИЯ НЕСТАЦИОНАРНЫХ СИГНАЛОВ. Дипломная работа.

СИСТЕМЫ ПЕРЕДАЧИ И РАСПРЕДЕЛЕНИЯ ИНФОРМАЦИЯ ПОЛНОСВЯЗНАЯ СЕТЬ, МЕТОДЫ РАЗДЕЛЕНИЯ КАНАЛОВ, МЕТОДЫ РАСПРЕДЕЛЕНИЯ КАНАЛОВ, МНОЖЕСТВЕННЫЙ СЛУЧАЙНЫЙ ДОСТУП, КОДОВОЕ УПЛОТНЕНИЕ КАНАЛОВ.

Объект исследования - беспроводные сети передачи информации.

Цель работы - совершенствование учебно-методического комплекса дисциплины Радиотехнические системы

Результатом работы является рассмотрение двух вариантов построения систем с полносвязной структурой, которое показало, что при множественном случайном доступе система проще по реализации, но в ней возможны отказы в обслуживании, а при кодовом уплотнении данный недостаток отсутствует, но сложность построения выше.

Содержание

Введение

. Классификация и структура систем беспроводного доступа

.1 Особенности развития беспроводных систем и сетей

.2 Структура и типовое использование сетей БД

.3 Классификация систем беспроводного доступа

.4 Примеры радиолиний и сетей БД

. Анализ методов уплотнения и распределения каналов

.1 Методы разделения каналов

.2 Методы распределения каналов между абонентами

.2.1 Классификация методов распределения каналов

. Многоканальные и многоадресные системы передачи информации со статическим уплотнением

.1 Особенности использования шумоподобных сигналов

.2 Принципы построения систем с расширенным спектром

.3 Примеры шумоподобных сигналов

.4 Принципы технической реализации синхронного уплотнения источников информации

. Пример системы сбора информации на основе использования кодового уплотнения

.1 Математическая модель многоканальных систем связи с кодовым уплотнением каналов

.2 Оценка влияния взаимных помех на эффективность многоканальной системы

.3 Оценка эффективности систем радиохраны с ШПС

.3.1 Оценка спектральной эффективности

Заключение

Список использованных источников

Введение

В последние годы наряду с интенсивным развитием всех средств передачи информации наблюдается бурный рост сетей беспроводной связи (доступа), называемых Wi-Fi, WiMAX, WiMAN, Bluetooth, ZigBee, DECT и др. Именно вопросам проектирования и эксплуатации данных сетей и посвящена предлагаемая книга.

Останавливаясь на содержании используемых понятий, целесообразно начать с определения термина «связь», так как в самой его трактовке существуют разногласия. Часто под радиосвязью понимают передачу только конкретных видов информации, например, голосовой, факсимильной и т.п. При этом радиовещание, передачу технологических данных, радиоуправление из радиосвязи выделяют.

Такой подход может быть отвергнут, поскольку противоречит Регламенту радиосвязи. В соответствии с ним (гл. 1 разд. 1 ст. 1) под радиосвязью понимается «...электросвязь, осуществляемая посредством радиоволн», а под электросвязью - «...любая передача, излучение или прием знаков, сигналов, письменного текста, изображений и звуков или сообщений любого рода с помощью проводной, оптической или других электромагнитных систем».

Попытаемся теперь с помощью соответствующих определений выделить исследуемый здесь класс систем беспроводного доступа (БД) из множества систем радиосвязи.

Дело в том, что термин «беспроводной» представляет собой всего лишь русский аналог термина «радио», так что он нисколько не характеризует особенности рассматриваемых систем. Беспроводными считаются все системы радиосвязи от созданных А.С. Поповым и Г. Маркони до современных разработок. Чтобы выделить интересующие нас объекты, воспользуемся термином «беспроводной доступ». Его происхождение восходит к представлению о том, что основой сетей дальней связи служат базовые или магистральные сети, оканчивающиеся узлами связи, расположенными в населенных пунктах. Задачи доведения этих сетей непосредственно до абонента (задачи «последней мили» ) решаются посредством специальных местных сетей связи, которые имеет смысл именовать сетями доступа.

Традиционно такие сети реализовывались как проводные (кабельные или волоконно-оптические). Достаточно указать, например, на сети городской телефонной связи (ГТС). В них подключение абонентов к АТС осуществляется с помощью абонентских кабельных линий связи. Проводные сети доступа имеют существенные недостатки, например, не решена проблема доведения канала связи до абонента для перемещающихся абонентов. К ним только приближена точка доступа к сети.

Чтобы воспользоваться услугами телефонной сети общего пользования на улице, абоненту не требуется идти на ближайшую АТС, достаточно позвонить с таксофона, подключенного к АТС местной сетью. Здесь именно абонент должен идти к средству связи, а не средство связи к абоненту. Таким образом, местные сети может быть и решают задачу «последней мили», однако не до конца. Помощь в этом вопросе оказывают средства БД.

Ясно, что проводные средства связи принципиально не могут полностью обеспечить решение задачи «последней мили» при связи с подвижными объектами, идет ли речь о контроле и управлении ими или о передаче на (от) них информации любого типа.

В тех случаях, когда задача «последней мили» все таки решена проводными средствами, она осложняется необходимостью прокладки многочисленных кабелей. Это относится к ситуациям, когда заранее не известно местонахождение источников и потребителей или оно может периодически меняться.

Это приводит к заметным экономическим и эстетическим потерям. Достаточно вспомнить, например, нарушения дизайна жилых помещений, вызванные прокладкой многочисленных кабелей телефонной связи и Интернета, а также фидерами разводки телевизионных антенн. Кроме того, дизайн нарушается при многократных перекладках упомянутых сетей при изменениях размещения оборудования отдельных помещений и т.п. В последние годы широкое распространение получили системы БД, предназначенные для связи на весьма малые расстояния от нескольких сантиметров или десятков сантиметров (радиосоединение между телефонной гарнитурой и сотовым телефонным аппаратом или между медицинским зондом, введенным пациенту, и внешним контролирующим прибором). Несколько большие расстояния «перекрывают» радиомикрофоны дикторов, телевизионных ведущих и эстрадных исполнителей.

Системы БД, служащие для радиосвязи на малые расстояния, иногда по аналогии с системами «последней мили» называют системами «последнего дюйма».

Кроме сетей, решающих задачу «последней мили», к системам БД относятся локальные системы радиосвязи, обеспечивающие связь между сравнительно компактно расположенными объектами мониторинга и устройствами управления ими, например, сеть сбора технологической информации и управления технологическими процессами с единого пульта управления крупного завода, сеть внутриофисной телефонной связи сотрудников или единая сеть управления домашней электроникой.

Широко известны локальные вычислительные сети (ЛВС), объединяющие ряд компьютеров на предприятии. Все больше локальные сети используются в банках, на складах, предприятиях торговли для контроля наличия товаров, смены цен и т.д. Характерным для таких систем является обеспечение доступа множества отдельных источников информации к некоторым узлам ее сбора (мониторинг) или наоборот, узлов к многочисленным объектам (управление).

Цель работы: совершенствование учебно-методического комплекса дисциплины Радиотехнические системы

Перечень задач, подлежащих разработке

.        Обоснование необходимости передачи нестационарных сообщений

.        Анализ принципов технической реализации и эффективности временного уплотнения нестационарных источников

.        Анализ принципов технической реализации и эффективости кодового уплотнения нестационарных источников

.        Анализ эффективности кодового уплотнения нестационарных источников.

1. Классификация и структура систем беспроводного доступа

1.1 Особенности развития беспроводных систем и сетей


Первые системы БД появились в 1960-х гг. и обеспечивали доступ абонентов к проводной телефонной сети общего пользования. Первоначально абонентская информация передавалась в аналоговой форме. Затем был осуществлен переход к цифровой передаче речи. Основным видом сообщений оставался телефонный обмен, однако сигналы, поступающие по ТЧ-каналам, предварительно преобразовывались в цифровую форму. Для передачи данных, факса и т.п. использовались системы временного уплотнения. Цифровая информация передавалась лишь со скоростью не более 9,6 кБит/с. Такие системы БД достаточно распространены и в настоящее время.

С начала 1990-х гг. резко возросла потребность в сетях БД для передачи данных и других цифровых сообщений. Широкое использование получили локальные вычислительные сети, объединившие компьютеры в отдельных офисах, корпорациях и т.п. Возросли потребности доступа в Интернет, так как телефонные модемы для этой цели перестали удовлетворять пользователей из-за низкой скорости обмена. Все большее развитие получила связь с подвижными объектами, по самой своей природе относящаяся к БД. Если на первых порах такая связь ограничивалась в основном телефонным обменом, и ее успешно обеспечивали системы сотовой телефонии 1-го и 2-го поколений, то к настоящему моменту задачи подвижной связи стали более разнообразными. Они включают и передачу данных, в том числе высокоскоростную, и подвижный Интернет, и интерактивную передачу телепрограмм и видеоинформации, и аудио- и видеоконференц-связь, и многое другое. Большую роль начали играть задачи сопровождения транспортных средств и грузов, задачи мониторинга окружающей среды, медицинского мониторинга, контроля и управления производственными процессами и др. В последние годы появилось достаточно много необычных, нетрадиционных задач, которые, как оказалось, удобно решать средствами БД. Речь может идти, например, о централизованном управлении домашними электроприборами и радиоаппаратурой, автоматизации поиска товаров на складах, смене цен на ценниках крупных магазинов, помощи слепым и другим инвалидам и т. п. Уже сейчас большое развитие получили беспроводные микрофоны, системы дистанционного оповещения водителей об обстановке на дорогах и дистанционного навигационного обслуживания. Все более широкое использование находят сети БД в медицине для передачи информации о текущем состоянии больных, данных, получаемых при исследованиях с помощью зондов, управления медицинскими имплантантами и т.п. Количество направлений использования, а следовательно, и разнообразие типов актуальных систем БД, в последние годы очень быстро возрастает.

1.2 Структура и типовое использование сетей БД

Определив класс систем связи, относящихся к БД, остановимся на их структуре. Область их обслуживания распадается обычно на ряд сот. (Если в системе соты не создаются, то будем считать ее односотовой). Каждая сота обслуживается базовой станцией (БС). Для односотовых систем обслуживающую радиостанцию часто называют центральной станцией (ЦС). Каждый абонент сети БД оснащается радиооборудованием - абонентским терминалом (AT). Различают AT фиксированной (АТФС) и подвижной (АТПС) службы. Местоположение АТФС фиксировано, в то время как АТПС принадлежит мобильному абоненту и может перемещаться из соты в соту в пределах области обслуживания.

Отдельные соты объединяются в единую систему благодаря, как правило, общему контроллеру сети, соединенному с каждой БС. Конкретные сети БД редко бывают автономными, т.е. не взаимодействующими с другими (внешними) сетями. Как правило, они подключаются к некоторой магистральной сети, так что становится возможным обмен информацией между любым AT и произвольными внешними объектами, расстояние до которых практически не ограничено. Указанная магистральная сеть по отношению к рассматриваемой сети БД именуется опорной сетью.

С опорной сетью взаимодействует обычно контроллер сети, через который и осуществляется обмен информацией между сетью БД и опорной сетью. Точка подключения контроллера к опорной сети именуется точкой доступа (ТД). В ней устанавливается радиооборудование, необходимое для интерфейса между указанными сетями. Иногда для обмена информацией между БС сети БД используются возможности обмена опорной сети между подключенными к ней станциями. При этом применяют несколько ТД, к каждой из которых подключается своя БС. Контроллер сети БД совмещен с одной из БС, а остальные подключаются к нему с помощью опорной сети.

Описанная структура относится к наиболее часто встречающейся топологии сети БД, при которой организуются связи только между БС данной соты и расположенными в этой соте AT. Такая топология называется «звезда». Могут использоваться также и другие виды топологии. При полносвязном варианте топологии линия связи «точка-точка» создается между каждой парой абонентов. В других вариантах топологии структура соединительных линий упрощается, но требуется установление специальной дисциплины работы в сети. Именно, AT не может начать передавать информацию сразу, как только она поступает от абонента. Этому должен предшествовать анализ занятости каналов связи. Такой анализ может проводиться как средствами самой AT, так и путем обращения к другой станции сети. Возможен вариант, при котором среди всех AT сети один назначается ведущим, а остальные ведомыми. Ведущий AT наблюдает за работой сети и руководит выдачей и получением информации ведомыми AT.

При топологии «звезда» все ведомые AT поддерживают связь только с ведущим, который и аккумулирует всю поступающую от них (для них) информацию и транслирует ее по назначению ведомым AT. Таким образом, связь между ведомыми всегда осуществляется через ведущего. Вариант «общая шина» основывается на подключении всех AT сети к общему каналу радиосвязи. Ведущая станция обеспечивает занятие шины только одним AT в каждый данный момент времени, что исключает взаимные помехи между терминалами.

Со структурой сети тесно связан показатель, характеризующий способ ее организации. По этому показателю выделяют самоорганизующиеся сети, носящие в западной литературе название Mesh-сетей. Они строятся на базе AT, допускающих как работу сразу по нескольким направлениям, так и ретрансляцию сообщений, принятых от одной станции на другую. При этом математическое обеспечение станций строится так, что в сети методом «проб и ошибок» отыскиваются наиболее целесообразные маршруты передачи сообщений, и образующие их радиолинии фиксируются для дальнейшего использования. Такой поиск маршрутов периодически повторяется с целью отслеживать изменения трафика и конфигурации сети.

1.3 Классификация систем беспроводного доступа

В связи бурным развитием технологий БД их классификация находится в процессе становления. Зачастую роль ключевого признака классификации играют размеры области, обслуживаемой сетью. Выделяют следующие типы сетей БД: сети малого радиуса действия (СМРД), локальные сети (ЛС), городские (ГС), региональные (РгС) и глобальные сети (ГлС). Расстояние, на котором действуют СМРД, составляет ориентировочно от долей до нескольких метров, ЛС - от 1 м до десятков и сотен метров, ГС - несколько километров. Эти данные относятся к расстояниям, перекрываемым без ретрансляции. Однако практически все сети, находящиеся в эксплуатации, предусматривают возможность ретрансляции либо через внешние опорные сети, либо средствами самой данной сети. С учетом ретрансляции расстояние связи может быть значительно увеличено. Так, в РгС и ГС, использующих ретрансляцию, оно вообще не ограничено. Сети БД чаще всего относятся к ЛС или ГС и гораздо реже к ГлС

Различают локальные сети, сосредоточенные только внутри зданий, и сети, обслуживающие также окружающую здания территорию. Сети БД классифицируются по топологии. Выделяют соединения «точка-точка», и «точка-многоточка». Первые являются простейшими и соответствуют соединению только между двумя станциями. Вторые используются для передачи данных между рядом станций. При этом сети могут иметь различные описанные выше топологии.

Основные пользовательские характеристики систем БД представлены в табл. 1.1; в ней обозначено: ПН - прямое направление связи (от БС к AT) и ОН - обратное направление (от AT к БС). Сети БД классифицируют и по другим признакам. Важной характеристикой сети считается скорость передачи информации. По этому показателю различают низкоскоростные - ориентировочно до нескольких десятков кбит/с, среднескоростные - до 2 Мбит/с и высокоскоростные сети.

Наиболее часто используемые сетевые технологии БД, характеризуемые конкретными наборами основных показателей и параметров, имеют определенные названия. Однако эти названия зачастую не могут быть признаны достаточно содержательными и скорее должны рассматриваться как собственные имена тех или иных систем БД. Примерами могут служить Bluetooth, Zig Bee, Wi-Fi, WiMax, DECT, WiBro, iBurst. Каждая из этих технологий приблизительно соответствует одному из стандартов систем БД.

Любые варианты классификации систем БД оставляют неохваченными значительное число устройств. Дело в том, что в последние годы круг задач, решаемых системами БД, быстро расширяется, и далеко не всегда имеет смысл использование стандартизованного ранее оборудования для реализации новых задач. В этих случаях прибегают к созданию не-стандартизованного, специализированного оборудования, которое может оказаться полезным и при решении других аналогичных задач. Обычно соответствующие устройства оказываются достаточно простыми. Если разработчику при этом удается удачно использовать серийные цифровые схемы высокой степени интеграции, то решения получаются сравнительно дешевыми и экономически выгодными. Спектр номенклатуры такого оборудования, представленного на рынке, достаточно широк, и в ряде случаев оно оказывается весьма полезным для решения проблем БД.

Таблица 1- Системы БД и их основные характеристики

Условное наименование системы

Стандарты

Типовое назначение

Рабочие частоты, ГГц

Полоса частот канала, МГц

Максимальная скорость передачи, Мбит/с

Подвижность AT

Способ предоставления каналов абонентам

Максимальная мощность передатчика AT, мВт

Wi-Fi

IEEE 802.11

Локальные сети

2,4-2,4835; 5,15-5,35; 5,725-5,825

22

1 или 2

Полустационарные

Централизованный по запросу абонента

40 в диапазоне 2 ГГц, 200 в диапазоне 5,5 ГГц


802.11,b



22

5,5 или 11





802.11g



22

22 или 33





802.11n



20

54





802.11a


5,15-5,35;

20

54




WiMAX

IEEE 802.16

Городские сети


20;25;28

32-134

Полустационарные

Централизованный, по запросу абонента

250


802.16-2004


2-11

1,25-20

1-75





802.16e-2005


2-11 (ФС), 2-6 (ПС)

1,25-20

1-75

До 120 км/час



DECT

ETS300 175, 176

Микросотовые сети

1,88-1,90

1,728

0,032

Полустационарные

Выбирается AT

250

Высоко скоростные ССС

CDMA 2000, UMTS

Персональные сети

1920-1980; 2110-2170;*

1,25; 5

ПН-2,0; ОН-0,15; 0,384(UMTS)

До 120 км/час при двухкрат. снижении скор. ПРД

Централизованный или автономный конкурентный

250



До 5

ПН-14,4; ОН-5,8




Bluetooth

IEEE 802.15.1

Сети малого радиуса действия

2402-2483; 0,902-0,928.

1 или 2 или 3




1 (типовая)

ZigBee

IEEE 802.15.4


2,40-2,48

2

0,25







0,902-0,928

2

0,04







0,8680-0,8686

0,6

0,02





1.4 Примеры радиолиний и сетей БД


Состав и структура сетей. В состав радиостанции (PC) для сетей БД входят радиомодем, антенна и устройство первичного электропитания (рис. 1.1). В сетях БД под радиомодемом понимают блок, включающий приемник и передатчик для поддержания двусторонней радиосвязи.

Рисунок 1 Типовая структура PC

В конкретной реализации антенна и устройство питания могут встраиваться в радиомодем, а сам радиомодем может выполняться в виде, пригодном для применения в составе компьютера.

В зависимости от потребностей того или иного потребителя из PC могут создаваться радиолинии различной конфигурации. Типовые конфигурации представлены на рис. 1.2. Направление передачи показано стрелками

Рисунок 2 Типовые конфигурации сетей: а - «точка-точка» (дуплекс), б- «точка-многоточка» (дуплекс), в - «точка-многоточка» (симплекс)

Каждая радиолиния может быть одноканальной или многоканальной. В последнем случае в радиомодемы встраиваются соответствующие мультиплексоры.

Радиомодемы по скорости передачи информации можно разделить на высоко- и низкоскоростные. Низкоскоростные устройства излучают сигнал с шириной спектра 15-100 кГц и работают в диапазоне 150-800 МГц. Высокоскоростные радиомодемы занимают более широкий спектр и работают на частотах в пределах 0,9-5,7 ГГц. Излучаемая мощность может находиться в пределах от 1 до 800 мВт.

Низкоскоростные радиомодемы, используемые для передачи данных, имеют обычно шаг сетки рабочих частот не более 25 кГц и используются для надежного обмена информацией ограниченного объема. Радиосредства предназначены для обеспечения надежной транспортной среды при организации автоматизированных систем управления технологическими процессами, автоматизированных систем коммерческого учета электроэнергии, систем определения местоположения подвижных объектов и т.д. Радиомодемы используются в сетях передачи данных:

на промышленных предприятиях;

для обеспечения безопасности помещений и личности, осуществления охранной и пожарной сигнализации;

в системах контроля состояния окружающей среды;

на предприятиях топливно-энергетического комплекса;

в нефте- и газодобывающей промышленности для сбора, обработки, накопления и хранения данных об объемах производства и дистанционного управления объектами;

на нефте-, газо- и водопроводах для контроля потоков, дистанционного управления насосными станциями и аварийного их отключения;

в городских службах ЖКХ;

на горнодобывающих предприятиях;

для автоматизированного управления, например, на железнодорожном транспорте;

в транспортных организациях;

в системах позиционирования (GPS, ГЛОНАСС).

Радиомодемы обеспечивают:

·  передачу дискретной информации в дуплексном или симплексном режиме;

·  работу на радионаправлении (связь «точка-точка») и в радиосети (многоточечное соединение);

· передачу дискретной информации на скорости от 1 до 50 кбит/с;

·  передачу дискретной информации на расстояние 1-10 км и более в зависимости от трассы связи и используемого оборудования;

·  автоматическую защиту от ошибок передаваемой в радиоканале информации и автоматический запрос повторной передачи неправильно принятой части сообщения;

·  автоматическую ретрансляцию адресных сообщений в соответствии с маршрутом, содержащимся в передаваемом сообщении.

Ниже в качестве примеров описаны некоторые простейшие реализованные системы БД. Выбраны системы, радиомодемы для которых производятся серийно, иногда мелкими сериями. Номенклатура и поставщики такого оборудования приведены в гл. 18. Принятые ниже наименования описываемых систем выбраны условно исходя из типовых применений. Возможно их использование и для решения других аналогичных задач.

Передача сигнала тревоги. Система радиальной передачи сигнала тревоги (см. рис. 1.2, в) состоит из передатчика, который при необходимости включается и начинает излучать радиосигнал, и множества приемников, реагирующих на появление этого сигнала выдачей конкретной кодовой комбинации. Предусматривается также возможность низкоскоростной (до 2 кбит/с) симплексной циркулярной передачи информации. Рабочая частота сети фиксирована в диапазоне 200-450 МГц. Мониторинг и управление на малых расстояниях. Промышленностью выпускаются специальные комплекты микросхем, позволяющие создавать приемники и передатчики для обеспечения БД на расстоянии до 100 м с передачей информации на скоростях несколько кбит/с или порядка 100 кбит/с. Комплект включает также микроконтроллер, предназначенный для применения в составе радиолиний. С комплектом поставляется полная конструкторская документация, позволяющая элементарными средствами формировать из модулей комплекта приемники и передатчики радиолиний с требуемыми характеристиками. Выпускаются модули для работы в диапазонах 300-470 и 800-1000 МГц. Определяющей особенностью такого комплекта является его весьма низкая цена - типовой комплект модулей стоит примерно 30 евро.

Создаваемые радиолинии могут использоваться для передачи информации от простых датчиков, датчиков, содержащих встроенные микроконтроллеры, а также для создания беспроводных клавиатур, обеспечивающих дистанционное управление различными объектами.

Радиоуправление и мониторинг на средних расстояниях. Речь идет о создании сетей БД для сбора телеметрических данных и управления на расстоянии несколько километров. Для этой цели отечественными производителями разработан ряд радиомодемов в диапазоне 433 МГц. Работа в данном диапазоне обосновывается, кроме технических причин, и тем немаловажным обстоятельством, что действующий в нашей стране порядок распределения рабочих частот допускает их использование на безлицензионной основе. Последнее, конечно, не исключает необходимости сертификации оборудования.

В рассматриваемом варианте, по сравнению с описанными выше, увеличение дальности связи достигается не только ограничением скорости передачи информации до десятков кбит/с (в отдельных случаях до 100 кбит/с), но и за счет более сложных технических решений, включая помехоустойчивое кодирование информации.

Низкоскоростные радиорелейные станции (РРС). Такие РРС широко применяются для создания линий малоканальной телефонной связи и передачи данных в трудно доступных сельских районах, телефонизации сел, коттеджных поселков, вынесенных зон нового строительства и т.п. РРС обеспечивают передачу информации со скоростью от 256 до 2048 кбит/с при протяженности интервала ретрансляции порядка 50 км. Они работают на частотах не более 1 ГГц.

Оборудование включает встроенные системы уплотнения каналов (мультиплексоры) и соответствующее оборудование канальных окончаний, так что оконечное абонентское оборудование (например, телефонные аппараты) может подключаться к РРС непосредственно. Наряду с компактностью, РРС обеспечивают возможность оперативного, в течение одного или нескольких дней, развертывания соответствующих сетей связи.

Сбор данных с объектов магистральных нефтегазопроводов. Сеть сбора данных включает одну базовую станцию (БС) и несколько абонентских терминалов фиксированной службы (АТФС), размещенных вдоль нефтегазопровода. Сеть работает в диапазоне частот 400 МГц и обеспечивает суммарную скорость передачи в прямом направлении (от БС к ATM) 2048 кбит/с и такую же в обратном направлении. Предусмотрено гибкое распределение пропускной способности между отдельными АТФС. Радиус зоны обслуживания - до 25 км.

Для случая, когда пункт сбора данных расположен на большом расстоянии от БС, предусматривается сопряжение оборудования с каналами магистральных радиорелейных линий, проложенных вдоль трубопроводов. Это обеспечивает возможность выноса пункта сбора данных на неограниченное расстояние от контролируемого участка.

В сети используются различные контрольные датчики. В частности, это могут быть камеры видеонаблюдения. В общем случае на каждом контрольном пункте есть коммутатор, последовательно подключающий к АТФС различные датчики линейной телемеханики и одну или несколько камер видеонаблюдения (последние подключаются через видеосервер). При необходимости с каждого контрольного пункта может быть организована связь эксплуатационного или ремонтного персонала с помощью 1Р-телефонии.

Высокоскоростной доступ «точка-точка» (см. рис. 1.2, а). Часто развивающиеся предприятия нуждаются в расширении собственной сети связи за счет соединения главного офиса с далеко расположенными службами или производствами. При этом требуется передавать не только голосовые сообщения, но и большой объем данных. Нередко такая необходимость возникает у малых и средних предприятий, так как потребности в качественных коммуникациях в значительной мере определяются не только размерами производства, но и его характером. В связи с этим технические решения должны быть экономичными и вместе с тем обеспечивать услуги достаточно высокого качества. Практика показывает, что для подобных задач БД является эффективной альтернативой.

Соответствующее решение предлагается израильской компанией RedWin Ltd в виде семейства продуктов WinLink 1000. Последние представляют собой оборудование для магистральной линии высокоскоростной связи. Скорость передачи - до 48 Мбит/с, дальность - до 80 км. Передача ведется в одном из следующих диапазонов: 2,4; 2,5; 4,9 и 5,9 ГГц, причем создаются каналы Е1 и Ethernet.

Значительная часть потребителей оборудования WinLink 1000 - операторы сотовых сетей, провайдеры телекоммуникационных услуг, например, сетей Wi-Fi, Интернет-провайдеры и т.п. Сети WinLink 1000 используются в качестве транспортных магистральных сечей и применяются также в сетях связи вооруженных сил, государственной безопасности, коммунальных структур и др. более чем в 100 странах, включая Россию.

Функциональные дополнения к навигационным системам GPS/Глонасс. В последнее десятилетие все большее распространение находят приборы для определения географических координат объектов, использующие сигналы специальных навигационных спутников GPS и ГЛОНАСС. Такие приборы находят широкое бытовое (например, автомобильные навигаторы) и профессиональное применение (на транспорте, включая кораблевождение и самолетовождение, в системах посадки самолетов, в геологоразведке, картографии и т.п.). В случаях, когда точность, обеспечиваемая системой без принятия дополнительных специальных мер, оказывается недостаточной, используется оборудование, называемое функциональным дополнением к спутниковым навигационным системам (ФДСНС). С его помощью решается задача коррекции регулярных сильно коррелированных ошибок навигации. Соответствующие поправки регистрируется достаточно сложными региональными контрольно-корректирующими станциями (ККС) и транслируются по специальным сетям БД всем заинтересованным пользователям региона. Такие сети имеют простую структуру и осуществляют симплексную передачу поправок с низкой скоростью (примерно несколько сотен бит/с) в низкочастотном диапазоне (около 300 кГц).

Сети на программируемых радиомодемах. В борьбе за расширение рынка сбыта выпускаемых устройств для БД производители используют различные подходы и приемы. Одним из них является создание встраиваемых в другое оборудование программируемых модулей. Соответствующее программирование позволяет пользователю реализовывать выбранную им сетевую архитектуру исходя из специфики своих нужд. Конечно, структура и характеристики модуля в известной мере ограничивают возможности выбора архитектуры. Поэтому поставщики таких модулей одновременно поставляют и программно-аппаратные средства для разработки и загрузки соответствующего программного обеспечения.

Примером таких модулей служат одноплатные радиомодемы RWD-433. Их основу составляют однокристальные приемопередатчики, работающие в полосе частот 430-435 МГц при скорости передачи информации до 50 кбит/с. Модули содержат встроенный микроконтроллер. Как правило, сети, включающие такие микроконтроллеры, используются внутри зданий и сооружений в системах сбора данных, промышленной автоматики, пожарно-охранной сигнализации, в системах «умный дом» и т.п.

Сети, имеющие простую структуру, могут быть сформированы на базе встроенных в модули протоколов, поддерживающих варианты структур сети «точка-точка» и «звезда».

беспроводной доступ канал уплотнение

2. Анализ методов уплотнения и распределения каналов

2.1 Методы разделения каналов


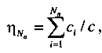
В системах радиодоступа, как и во всех системах радиосвязи, остро стоит вопрос эффективного использования доступных ресурсов, в частности, выделенной полосы частот ∆F, пропускной способности сети, энергетических, материальных и финансовых ресурсов. Как ни странно, все перечисленные ресурсы взаимозависимы и определяются техническими характеристиками оборудования систем радиодоступа. Важнейшую роль в обеспечении эффективности доступных радиоресурсов играют методы их распределения между всеми абонентскими станциями, входящими в систему. Под радиоресурсом понимают доступные для передачи полосы частот и временные интервалы.

Основными способами распределения радиоресурса являются частотное разделение, временное разделение, кодовое разделение, пространственное разделение, поляризационное разделение и разделение, использующее их комбинации.

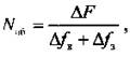
Эффективность методов разделения каналов оценивают количеством одновременно действующих абонентов Na и степенью использования пропускной способности

 (1)

где с - пропускная способность БС при Na =1; сi - пропускная способность i-й АС.


Рисунок 3. Принцип частотного разделения каналов

Число пользователей на одну базовую станцию (сектор) рассчитывается как

 (2)

где ∆fk - полоса частот, занимаемая полезным сигналом, нормируется по уровню -20 дБ от максимального значения спектральной плотности; ∆f3 - защитный интервал, служащий для снижения уровня помех но соседнему каналу до допустимого значения.

Эффективность использования полосы частот, т.е. увеличение числа одновременно действующих абонентов при фиксированной скорости передачи в абонентском канале может быть повышена за счет совершенствования методов модуляции и уменьшения благодаря этому необходимой полосы частот для одного канала. Например, переход от сигналом BRSК к сигналам GMSK с ВТ = 0,5 дает выигрыш в несколько раз. Однако существуют принципиальные ограничения по уменьшению занимаемой полосы частот. Основное преимущество технологии FDMA - простота оборудования, например по отношению к TDMA. При использовании FDMA не требуется синхронизация между каналами, так как каждый канал независим от остальных.

Наиболее важное ограничение FDMA - невозможность увеличения количества абонентских станций больше чем Nаб .

Временное уплотнение (ТDМА). Тот же радиоресурс можно распределить между АС, выделяя каждой из них всю полосу частот на ограниченный интервал времени Тк. Между интервалами Тк присутствуют защитные интервалы Т3, которые служат для снижения до допустимого уровня помех от соседнего временного канала (рис. 4, а).

Рисунок 4. Принцип временного (а) и частотно-временного (б) разделения каналов

Общее число абонентов для TDMA схемы определяется выражением

Nаб=T/(Tк+T3) (3)

Комбинированный частотно-временной способ Более общим способом разделения каналов является комбинированный частотно-временной способ (рис. 4, б). В этой ситуации АС может передавать информацию только в выделенной ему полосе частот и в пределах его интервала времени(DECT).

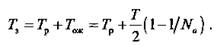
Способы FDMA и TDMA обеспечивают одинаковую скорость передачи при равном числе АС. Задержка передачи для FDMA равна задержке распространения Тр радиоволны от АС к БС, а для TDMA - к задержке распространения добавляется время ожидания передачи Тож:

(4)

Ортогональное частотное разделение. Второе дыхание методов частотного разделения каналов открылось в связи с появлением ортогонального частотного разделения (OFDMА), которое позволяет реализовать потенциальные характеристики за счет ортогональности подканалов. По своим характеристикам метод OFDMA аналогичен методам CDMA.

Метод кодового разделения каналов (CDMA) представляется практическим приложением сигналов с расширенным спектром.(3 раздел)

Дальнейшее повышение эффективности применения частотно-территориального ресурса связано с повторным использованием частот благодаря методам пространственного и поляризационного разделения каналов (SDMA и PDMA), которые реализуются за счет свойств антенных систем

Пространственные методы разделения каналов. Пространственные методы разделения каналов реализуют направленные свойства антенн и их способность раздельного приема сигналов, действующих в общей полосе частот в одно и то же время при приходе с разных направлений (рис. 7).

Рисунок 5. Принцип пространственного разделения каналов

Направление прихода сигнала θi определяет амплитудно-фазовое распределение Ьсi) на поверхности антенны. Отклик на принимаемый сигнал отражается выражением

J = ∫Lbc(θi)bA(θ)dL, (9)

где L - поверхность антенны; bА(θ) - амплитудно-фазовое распределение антенны. Если функции bсi) и ортогональны, то J= 0. Поэтому принят будет только сигнал, АФР которого согласовано с АФР антенны.

Традиционные антенные системы позволяют переиспользовать частоты (разделять каналы по направлению прихода) посредством направленных антенн, разделяя круговую зону обслуживания на К секторов с шириной диаграммы направленности ∆θ = 360°/К..

Дальнейшее применение и развитие методов пространственного разделения каналов основано на способах адаптивной пространственно-временной обработки сигналов. Адаптивные методы позволяют подстраивать характеристики антенных систем так, чтобы обеспечить максимальную эффективность использования радиоресурса. Результаты исследований но проектам MIMO (много входов много выходов). BLAST показывают, что возможно увеличение суммарной пропускной способности пропорционально числу элементов антенной системы. Применение адаптивных антенн дает дополнительные преимущества, такие как борьба с замираниями, улучшение энергетики радиолинии, снижение уровня помех и обеспечение требуемого уровня ЭМС, устранение влияния мешающих сигналов от других сетей и РЭС, функционирующих в полосе частот сети радиодоступа и др.

Разделение каналов по поляризации. Разделение каналов по поляризации (PDMA) использует две ортогональные поляризации сигналов, например, вертикальную и горизонтальную, либо круговые с противоположными направлениями вращения. Поэтому PDMA позволяет разделить не более двух каналов по поляризации в общем случае не ортогональных за счет адаптивных методов поляризационной обработки.

В общем случае максимальный эффект дают комбинированные методы разделения каналов, использующие все физические признаки радиосигналов, такие как частота, время, пространство и поляризация.

2.2 Методы распределения каналов между абонентами


2.2.1 Классификация методов распределения каналов

Использование радиоканалов возможно в случаях протоколов с фиксированным закреплением каналов (FAMA) за АС и предоставления каналов по требованию (DAMA). Фиксированное закрепление каналов оправдано, если АС создает непрерывный поток сообщений. Если передача информации осуществляется нерегулярно, протокол DAMA может оказаться заметно эффективнее, чем протокол с фиксированным закреплением каналов за счет статистического уплотнения каналов (транкинга каналов).

Протокол DAMA предполагает централизованное распределение радиоресурса на БС. Если распределение радиоресурса производится без участия БС, то говорят о протоколах множественного доступа (ПМД). При такой ситуации все АС работают по общему протоколу (набору правил). При этом распределение радиоресурса должно осуществляться всеми абонентскими станциями так, чтобы сохранялась возможность передачи сообщений для любой АС и в то же время достигалась высокая эффективность использования общего радиоресурса.

Для решения этой задачи применяют два типа протоколов: бесконфликтные и конфликтные.

Бесконфликтные протоколы основаны на жестко установленной очередности занятия радиоканала АС. При этом АС может сообщать об отсутствии сообщения или занимать канал в течение заданного интервала времени.

Конфликтные протоколы основаны на захвате любой из АС любого свободного радиоканалa. Если по радиоканалу пытаются передавать информацию две АС и более, то их сигналы накладываются (это событие называют конфликтом) друг на друга.

В этом случае прием полезных сигналов затруднен присутствием мешающих. При обнаружении конфликта АС прекращают передачу и через некоторое время снова предпринимают попытку передачи сообщений.

Во избежании конфликтов величина интервала времени до повторной передачи считается случайной, случайным часто оказывается и момент начала передачи сообщений, поэтому конфликтные протоколы называют протоколами случайного множественного дос-ступа (МД)

В системах радиодоступа для распределения радиоресурсов применяют все перечисленные протоколы и их комбинации

2.2.2 Характеристики наиболее распространенных протоколов доступа

Протоколы с предоставлением каналов по требованию (DAMA) могут быть реализованы при временном (TDMA) или частотном (FDMA) разделении каналов. На рис. 8 приведен пример реализации протокола с применением временного разделения в интервале времени, задаваемом длительностью кадра Тк

.

Рисунок 6. Принцип предоставления канала по требованию (DAMA)

Весь кадр делится на два подкадра: кадр линии «вверх», когда передают АС, а принимают БС, и кадр линии «вниз», когда передает БС, а принимают АС. Длительность кадров «вверх» и «вниз» может быть разной. Если используется временное разделение дуплексного: канала (TDD), то между кадрами «вниз» и «вверх» вводится защитный интервал Т3. В каждом кадре для организации канала управления выделяется интервал времени Токс общего канала сигнализации (ОКС). Информационные каналы АС выделяются базовой станцией по запросу, который передается по ОКС. Запросное сообщение короткое. Доступ АС к ОКС осуществляется по протоколам случайного множественного доступа.

Процедура обмена служебными сигналами по ОКС в процессе установления соединения между вызывающей и вызываемой АС показана на рис. 9.

Рисунок 7. Процесс установления соединения по ОКС

Вызывающая AC1 (инициатор) передает по ОКС сигнал «Запрос» на БС с указанием адреса вызываемого абонента и желаемого вида связи. БС на основе анализа загруженности канала выбирает пару свободных тайм-слотов (один для линии «вверх», другой для линии «вниз») и транслирует запрос вызываемому абоненту с указанием номеров выделенных тайм-слотов (ТС). На вызывающую АСi передастся подтверждение получения запроса так же с указанием номеров выделенных ТС. После обработки запроса вызываемым абонентом и ответа абонента на вызов БС передается подтверждение ответа на вызов, который транслируется БС на вызывающую АС1 Момент поступления подтверждения на вызывающую АС1 служит началом отсчета времени сеанса связи, после которого обе станции приступаю-т к обмену информацией по выделенным каналам. По окончании сеанса связи один из абонентов по ОКС передает на БС сигнал «Разъединение», после приема которого выделенные каналы считаются свободными.

Методы DAMA по отношению к методам FAMA позволяют повысить эффективность использования радиоресурса до 60...70%, т.е. увеличить количество АС на одну БС.

Процесс установления соединения по ОКС связан с задержками во времени. Время установления соединения Ту включает двукратную задержку распространения сигнала по радиоканалу и время обработки вызова вызываемым абонентом.

Задержки на этапе установления соединения снижают эффективность МД в тех случаях, когда основную долю трафика составляют короткие сообщения, длительность передачи которыx (Тс) меньше или примерно равна времени установления соединения.

Поэтому в тех случаях, когда в структуре передаваемого в сетях СС трафика преобладают короткие, прерывистые сообщения, передаваемые через случайные интервалы времени, наибольшее распространение получили методы случайного множественного доступа (СМД)

При СМД радиоканал разделяется по времени между всеми АС и выполняет роль моноканала. Все AC работают на одной несущей частоте и монопольно используют весь канал в течении времени передачи сообщения. Каждое сообщение, предназначенное для передачи, оформляется в виде пакета данных и содержит заголовок, в котором указаны адреса отправителя и получателя, а также дополнительная служебная информация, и концевик, который содержит кодовую проверочную последовательность (КПП), позволяющую оценить верность доставки сообщения. Все АС постоянно «прослушивают» моноканал и принимают все переданные пакеты (в том числе и собственные), выделяя среди них по адресу те, которые предназначены именно данной АС.

Успешный прием после ретрансляции через БС собственного пакета служит для АС передатчика положительной квитанцией-подтверждением успешной передачи пакета. Поскольку моменты начала передачи сообщения АС никак не согласованы между собой, то радиосигналы отдельных АС могут полностью или частично налагаться друг на друга на входе радиоприемной части БС. Конфликт обнаруживается всеми АС, прослушивающими моноканал, на основе анализа КПП. После обнаружения конфликта те АС, которые оказались в состоянии конфликта, предпринимают повторную попытку передачи пакета, причем каждая через собственный случайный интервал времени. В настоящее время в системах радиодоступа применяются следующие протоколы СМД: ALОNА, S-ALOHA, CSMA/CA, M/D/1. По протоколу P-ALOHA(асинхронная АЛОХА) пакеты данных передаются разными АС в случайные моменты времени. Моменты начала передачи между собой не синхронизированы, длина сообщений не фиксирована.

В случае наложения передаваемых разными АС пакетов происходит конфликт, и искаженные пакеты подлежат повторной передаче.

Выражение для средней пропускной способности для протокола Р-ALOHA записывается таким образом:

S=Gе-2GP ПР, (10)

где G - интенсивность поступления пакетов; РПР - вероятность правильного приема пакета данных. Максимальное значение S=0,184 достигается при G = 1, откуда следует, что эффективность использования ресурса 18%.

Повысить среднюю пропускную способность позволяет протокол S-ALOHA (синхронная АЛОХА), в котором все АС синхронизируют начала передачи пакетов по общим тактовым сигналам. Для S-АLOНА средняя пропускная способность определяется выражением

S=Ge-GРПР. (11)

Максимальное значение S=0,386 достигается при G= 1, что превышает пропускную способность P-ALOHA в два раза.

Дальнейшее повышение пропускной способности связано с применением протоколов с обнаружением и исправлением конфликтов CSMA/CA, модификация которых CSMA/CD хорошо зарекомендовала себя в сетях Ethernet.

Предельную эффективность для протоколов CSMA/CA задает протокол М/D/l. Он реализует правило обслуживания с очередью «первым пришел - первым обслужен». Для таких протоколов вероятность доставки пакета за заданное время определяется выражением

 (12)

где ТПРД = тпТс - время передачи сообщения, m - количество информационных символов и сообщении, п - количество циклов передачи; ρ =λТпрд; λ - интенсивность потока заявок;

k = [TЗ/Tnpд] - наименьшее целое, превышающее значение аргумента; РПР - вероятность правильного приема сообщений из m символов за п циклов передачи. Среднее время ожидания

Тож.=ТПРД ρ/(1-ρ) (13)

На рис. 10 приведены графики зависимости средней задержки доставки пакета от пропускной способности, характеризующие обменные соотношенияS ↔τ.

Рисунок 8. Обменные соотношения между пропускной способностью S и задержкой τ: 1 - P-ALONA; 2 - S-ALONA; 3 - CSMA/CA; 4 - M/D/1.

3. Многоканальные и многоадресные системы передачи информации со статистическим уплотнением

3.1 Особенности использования шумоподобных сигналов


Cистемы многоканальной передачи с ортогональными и линейно-независимыми сигналами требуют для нормальной работы той или иной синхронизации: точного совпадения спектра сигнала с полосой пропускания при ЧРК; точного совпадения временных интервалов передачи сигналов отдельных каналов при ВРК; точного определения моментов начала и конца тактового интервала в системах с разделением сигналов по форме активными фильтрами; точной установки момента отсчета в системе с согласованными фильтрами.


 (9.24)

при 0 £ t £ T, где T - длительность элементарного сигнала, а интегрирование производится на любом интервале от t до t+T.

Строго говоря, условие (9.24) выполняется только в случае, когда сигналы sк(t) представляют собой белый шум, т.е. имеют неограниченную ширину спектра и бесконечную дисперсию; для реальных сигналов оно невыполнимо. Вместе с тем, можно сформировать такие сигналы, для которых (9.24) выполняется приближенно в том смысле, что

 (9.24а)

при 0 £ t £ T, т.е. скалярные произведения сигналов при любом сдвиге по времени много меньше энергии элементарного сигнала. Такие сигналы можно назвать почти ортогональными. По своим свойствам почти ортогональные сигналы приближаются к белому шуму, поэтому их часто называют шумоподобными: их корреляционные функции и спектральные плотности мощности близки к аналогичным характеристикам квазибелого шума. Шумоподобные сигналы относятся к классу сложных сигналов, база которых B = 2FT >> 1, и являются дальнейшим развитием сигналов, различающихся по форме. Теории шумоподобных сигналов и вопросам их использования в различных системах связи посвящены работы Л.Е.Варакина [5]. Наиболее распространенным примером технической реализации почти ортогональных шумоподобных сигналов могут служить определенным образом сформированные псевдослучайные последовательности дискретных, в частности, двоичных радиоимпульсов. База сигналов при этом определяется числом импульсов в последовательности. Каждому каналу присваивается одна из множества почти ортогональных двоичных последовательностей, которая служит "адресом" канала. Это приводит к названию "асинхронные адресные системы связи" (ААСС).

Важным достоинством ААСС является то, что нет необходимости в центральной коммутационной станции; все абоненты имеют прямой доступ друг к другу без частотной перестройки приемных и передающих устройств. Здесь достаточно набрать "адрес" вызываемого абонента, т.е. изменить "форму" импульсной адресной последовательности.

В системах с закрепленным каналами ЧРК и ВРК добавление хотя бы одного нового абонента оказывается возможным лишь при исключении одного из имевшихся в системе. Значительно проще эта задача решается в ААСС. Здесь вследствие свободного доступа к линии связи могут вести передачу любые Na активных абонентов из N абонентов системы связи. При определении числа Na нужно учитывать, что вследствие неполной ортогональности каналов в ААСС неизбежны переходные помехи ("шумы неортогональности"), уровень которых растет по мере увеличения Na. Поэтому число одновременно работающих абонентов должно быть ограничено. Допустимое значение Na возрастает по мере увеличения базы сигнала, так как чем больше база сигнала, тем точнее выполняется условие (9.24 а).

В зависимости от времени активности абонентов (т.е. от доли времени, занимаемой k-м каналом для передачи сообщений) можно организовать, например, 1000 - канальную систему связи, в которой одновременно ведут передачу любые 50 абонентов из тысячи. В таких системах легко реализуются резервы пропускной способности, возникающие за счет малоактивных абонентов. Изучив статистику сообщений, передаваемых по каждому каналу, можно установить допустимое число каналов в системе N, при котором обеспечивается нормальная работа Na активных каналов.

3.2 Принципы построения систем с расширенным спектром


Часто основным показателем качества функционирования систем радиодоступа выступает устойчивость к внешним помехам. В такой ситуации находят широкое распространение сигналы с расширенным спектром, которые применяются также при решении задач множественного доступа, борьбы с замираниями, определения местоположения объектов и др.

Сигналы с расширенным спектром (СРС) занимают значительно большую полосу, чем требуется для передачи информационных символов. Иначе такие сигналы называют сигналами с большой базой

В = FT » 1,

где F- полоса частот, занимаемая сигналом; Т- длительность символа. Таким образом, под сигналом с расширенным спектром понимают сигнал, у которого в течении длительности информационного символа меняются параметры.

К основным преимуществам СРС относятся высокая помехоустойчивость, возможность борьбы с замираниями, применение кодового разделения каналов (CDMA) и изменения координат и параметров движения объектов.

Высокая помехоустойчивость обеспечивается увеличением отношения сигнал/(шум+помеха) на выходе коррелятора (рис. 2.34) или согласованного фильтра в В раз.

Рисунок 9 Структура системы связи с использованием сигналов с расширенным спектром









Рисунок 10 Временные диаграммы при формировании сигнала с расширенным спектром

Исходная последовательность данных d(t) с длительностью символа Тс (рис. 2.35) умножается на расширяющую последовательность r(t), изменяющуюся по псевдослучайному закону, а затем результирующая последовательность m(t) модулирует несущую, например по фазе. Расширение спектра при этом происходит во столько раз, во сколько длительность элементарного символа ПСП т0 меньше длительности символа последовательности данных В = Тс0.

Наиболее распространена двоичная или BPSK φi - = {0,π} модуляция, однако находят применение сигналы QPSK φi = {0, π/2, π, 3π/2} и многофазные сигналы. База сигнала ФМ ПСП определяется выражением

B =ТПСП/T0 = TПСПF,

где TПСП = NTo - длительность сигнала с расширенным спектром; F - полоса частот элементарного символа.

В результате длительного развития теории сигналов разработано значительное количество систем ФМ ПСП с хорошими корреляционными свойствами и оценкой значений боковых лепестков. Наиболее известными и распространенными являются М-последовательности, связанные с ними системы сигналов Голда, Касами; сигналы Уолша, сигналы Баркера, Фрэнка, сигналы на основе последовательностей Виленкина-Крестенсона др.

Применение конкретной системы СРС в системе радиодоступа определяет ключевые характеристики, такие как коэффициент повтора частот, возможности кодового разделения сигналов и количество одновременно действующих в общей полосе частот абонентов.

Реализация положительных свойств СРС требует обеспечения точной синхронизации приемника и передатчика (реализуется устройством синхронизации). В системах радиодоступа с кодовым разделением каналов синхронизировать требуется все передатчики и приемники, входящие в сектор базовой станции.

 

3.3 Примеры шумоподобных сигналов


В настоящее время усиленно разрабатываются методы синтеза сигналов с заданными автокорреляционными и взаимокорреляционными свойствами. Если рассматривать последовательности из n импульсов прямоугольной формы, которые могут принимать значения ±1, то простым перебором можно найти такие последовательности.

Таблица 9.1- Сигналы Баркера и их АКФ

N

Номер импульса

Максимум нормированного модуля АКФ



Основной

Дополнительный

2

1,-1

1

½

3

1,1,-1

1

1/3

4

1,1,-1,1

1

¼

4

1,1,1,-1

1

¼

5

1,1,1,-1,1

1

1/5

7

1,1,1,-1,-1,1,-1

1

1/7

11

1,-1,1,1,-1,1,1, 1,-1,-1,-1

1

1/11

13

1,1,1,1,1,-1,-1, 1,1,-1,1,-1,1

1

1/13


Последовательности Баркера имеют близкую к идеальной форме автокорреляционную функцию: абсолютное значение боковых лепестков не превышает 1/n основного. На рисунке 11а приведены последовательность (называемая также кодом) Баркера для n =11 и ее автокорреляционная функция (рисунок 11, б ).

Рисунок 11 Реализация последовательности Баркера (а) и ее автокорреляционная функция (б)

Прием последовательности s1(t) ("адрес" первого канала) рис. 9.10, а выполняется согласованным трансверсальным фильтром рис. 9.11.

Рисунок 12 Согласованный фильтр для последовательности Баркера

Фазоинверсные и фазосохраняющие каскады включены в порядке, соответствующем обратному порядку чередования биполярных импульсов n-последовательности (рис. 9.10, а): число этих каскадов равно числу элементов последовательности. Первый каскад включен до линии задержки, последний - на ее конце. При приеме n-последовательность продвигается по ЛЗ, и в момент, когда все импульсы совпадут по знаку с весами, включенными между отводами ЛЗ и суммирующим устройством, все импульсы сложатся синфазно, на выходе РУ появится наибольший импульс - согласованный фильтр зафиксирует адрес 1-го канала. При всех других сдвигах суммирование производится не в фазе (с разными знаками), и на выходе РУ появляются уровни, не превышающие по модулю 1/n от максимального значения.

Поскольку функции взаимной корреляции между последовательностями имеют наибольшее значения, не превышающее 1/n, то последовательность адреса чужого канала не может вызвать ложного срабатывания решающего устройства 1-го канала.

Исследования показывают, что последовательностей с "остатками" величины 1/n для n > 13 не существует. Поэтому для больших n приходится довольствоваться последовательностями, имеющими "остатки" большие, чем 1/n.

Несколько худшие автокорреляционные свойства по сравнению с баркеровскими последовательностями, но все же достаточно подходящие для использования в качестве адресных сигналов имеют линейные рекуррентные M- последовательности (ЛРП) или, как их еще называют, линейные последовательности сдвигового регистра максимальной длительности. Для ЛРП отношение главного максимума к максимальному боковому лепестку автокорреляционной функции растет приближенно как Ön, где n - число импульсов в последовательности.

Линейные рекуррентные последовательности обладают свойством хаотичности, которое заключается в следующем. Если из периода ЛПР, содержащего n = 2m - 1 членов, выбрать возможные отрезки m членов в каждом, то, во-первых, среди этих отрезков не будет совпадающих и, во-вторых, среди них найдутся любые комбинации из +1 и -1, состоящие из m членов (кроме запрещенной комбинации, состоящей только из +1). Эти свойства сходны со свойствами случайных биполярных последовательностей; поэтому ЛРП часто называют псевдослучайными или шумоподобными последовательностями.

3.4 Принципы технической реализации синхронного уплотнения источников информации

СПИ с КР можно разбить на два класса: синхронные адресные системы (САС) и асинхронные адресные системы (ААС). В данной разделе будут подробно рассмотрены синхронные адресные системы и будет произведено их сравнение с системами с частотным и временным разделением.

В САС передача информации осуществляется таким образом, что переносчики информации удовлетворяют условиям ортогональности (2.10), (2.11). Это обеспечивается выбором сигналов и синхронизацией их во времени. Как было отмечено ранее, и частотное, и временное разделение удовлетворяют этим условиям ортогональности и поэтому они также являются синхронными. Таким образом, частотное, временное и кодовое разделения абонентов (канатов) основаны на использовании ортогональности переносчиков информации. Поскольку ортогональность сигналов (или функций) является частным случаем линейной независимости сигналов (функций), то при общем описании и сравнении указанных методов разделения будем условно называть их линейным разделением. Естественно, что при линейном разделении (уплотнении) тракты передатчика и приемника должны быть линейными, так как при нелинейных трактах условия ортогональности (2.10), (2.11) будут нарушены и в результате появятся взаимные помехи между абонентами (междуканальные помехи).

На рис. представлены структурные схемы передающего и приемного устройств СПИ с линейным разделением и централизованным объединением абонентов. Информация от источников ИИ поступает на канальные модуляторы, где Lк - число каналов. В j-м канальном модуляторе (МД) переносчик сообщения - опорный канальный сигнал s0j (t) модулируется сообщением bj(t) так, что на выходе канального модулятора канальный сигнал sj (t) является функцией времени t и сообщения bj, т. е. sj (t) = s (t, bj (t)). При временном и кодовом разделении для обеспечения ортогональности канальных сигналов sj(t) необходима синхронизация всех опорных сигналов. Это обеспечивается в рассматриваемой системе специальным синхросигналом, передаваемым периодически с приемного устройства (предполагается, что в системе имеется обратный канал от пункта сбора информации до датчиков). Канальные сигналы с выходов канальных модуляторов поступают в канальные передатчики ПРД, где переводятся в требуемый диапазон частот (общий для всей системы сбора информации), усиливаются по мощности, а затем излучаются при помощи антенн.

Рисунок 13 Структурная схема передающей стороны беспроводной подсистемы сбора информации с датчиков системы охранной сигнализации

Поэтому групповой сигнал в данной системе формируется в пространстве как сумма канальных сигналов


Суммирование производится по всем источникам информации, хотя некоторые из них могут и не передавать информации в момент наблюдения t.

Приемное устройство состоит из приемника ПР, который оптимально обрабатывает групповой сигнал и выделяет сигнал синхронизации. Выделенный групповой сигнал поступает на устройство разделения УР, где групповой сигнал разделяется на канальные сигналы. Канальные сигналы поступают на входы канальных демодуляторов Д. Сигнал синхронизации или синхросигнал выделяется синхронизатором С2, который управляет ритмом работы канальных демодуляторов. Информация с выходов канальных демодуляторов поступает к получателям информации ПИ. Отметим, что структура приемника ПР определяется принятым методом модуляции несущего колебания канальными сигналами.

Поскольку методы модуляции несущего колебания канальными сигналами хорошо известны, то рассматривать их не будем.

Рисунок 14 Структурная схема приемной стороны беспроводной подсистемы сбора информации системы охранной сигнализации

Устройство разделения при ЧР является набором частотных разделительных фильтров, при BP - набором временных селекторов. При кодовом разделении функции разделения выполняют канальные демодуляторы. Структура канальных демодуляторов определяется методами передачи информации. Предположим, что информация передается в виде дискретных сообщений. При этом канальные демодуляторы являются приемниками дискретных сообщений. Структурные схемы оптимальных канальных демодуляторов при приеме дискретных сообщений совпадают со структурными схемами оптимальных приемников. Их свойства были достаточно подробно описаны в различных учебниках, поэтому будем считать, что свойства отдельного канала в многоканальной СПИ известны, и перейдем к рассмотрению особенностей, которые вносит совместная работа многих абонентов.

4. Пример системы сбора информации на основе использования кодового уплотнения

4.1 Математическая модель многоканальных систем связи с кодовым уплотнением каналов

Предположим, что источники информации подключены к линии связи постоянно и постоянно активны. Такие многоканальные системы называются системами с закрепленными каналами. Это нам необходимо для того, чтобы не учитывать влияние процессов входа в синхронизм, а также процессов установления связи между абонентами (протоколы системы сигнализации), которые существенно затруднят анализ, но при этом их влияние на эффективность процессов уплотнения и разделения каналов несущественно.

На практике используется, как правило, другой тип систем - систем с незакрепленными каналами.

Эти системы учитывают статистику активности каналов и имеют более высокую эффективность использования частотно-временных и энергетических ресурсов линии связи. Они в свою очередь подразделяются на системы с централизованным распределением (предоставлением каналов абонентам) и со случайным. Системы с централизованным распределением каналов в большей степени присущи проводным системам и сетям связи.

Последние часто называют системами множественного доступа. Они в большей степени распространены в системах беспроводного доступа. Эффективность функционирования таких систем зависит от законов распределения активности источников информации и описывается законами теории массового обслуживания.

Во вторых, рассмотрим синхронные системы, в которых начало и окончание информационных символов уплотняемых абонентов между собой строго синхронизированы. На практике используют и синхронные и асинхронные системы, первые, например, в сотовых системах при передачи информации от базовой станции к мобильным телефонам, а вторые, при передачи информации в противоположном направлении.

Рисунок 15 Структурная схема системы с кодовым уплотнением каналов

Если при линейном уплотнении уплотняются l источников информации (ИИ), то на передающей стороне формируется групповой сигнал вида

, (1)

где bki , - сообщение от i-ого ИИ при передаче k-ой реализации группового сигнала; si(t) - опорный канальный сигнал.

, (2)

где n(t) - аддитивная помеха.

На приемной стороне в j-ом канале УРК получим

, (3)

В том случае, если сигналы ортогональные, для которых выполняется соотношение  при i ≠ j , то второе слагаемое в последнем выражении равно нулю и, соответственно, напряжение на выходе системы разделения каналов не отличается от обычной одноканальной системы.

Однако, ортогональных сигналы в реальных системах реализовать невозможно, поскольку требование ортогональности выполняется на конечном интервале, равном длительности передаваемых сигналов, а сигналы с конечной длительностью имеют бесконечный спектр, а реальные линии связи имеют ограниченный спектр. Это кстати и объясняет и тенденцию современных систем к расширению спектра. Одной из причин является увеличение скорости передаваемой информации.

При использовании неортогональных канальных сигналов, для которых не выполняется соотношение  при i ≠ j , напряжение на выходе j-ого канала УРК эквивалентно

, (5)

где - отсчет шума приемника на выходе УРК, Е - энергия канальных сигналов.

То есть на помехоустойчивость линии связи влияет не только шум приемника, но и взаимные помехи (ВП), мощность которых пропорциональна мощности полезного сигнала, числу мешающих абонентов и взаимокорреляционным свойствам канальных (адресных) сигналах.

Наличие взаимных помех (межканальных, переходных, шумов неортогональности) между каналами системы и зависимость их мощности от мощности полезного сигнала является принципиальными свойствами многоканальных систем связи.

Наличие взаимных помех снижает помехоустойчивость системы, либо пропускную способность, поскольку мощность взаимных помех зависит от числа абонентов, уменьшение значения которого может уменьшить потери в помехоустойчивости.

Уровень (мощность) взаимных помех нельзя снизить увеличением мощности полезного сигнала, поскольку она пропорциональна этой мощности (часть энергии переходит из соседних каналов).

Таким образом, проблема взаимных помех является основной проблемой многоканальных систем, а поскольку в настоящее время подавляющее число линий и систем связи являются многоканальными, то и одной из основных проблем теории электросвязи.

4.2 Оценка влияния взаимных помех на эффективность многоканальной системы


Вероятность ошибок с учетом действия ВП при когерентном приеме в i-ом канале и передаче k-ой реализации ГС можно точно определить по формуле

,

где  - модуль нормированного относительно энергии канальных сигналов напряжения на выходе j-ого канала разделения при передаче k-ой реализации группового сигнала.

Средняя вероятность ошибки в j-ом канале может быть получена путем усреднения по всем возможным реализациям ГС, а средняя вероятность ошибки в многоканальной линии путем усреднения по всем каналам уплотнения.

Приближенная оценка вероятности ошибки может быть определена с учетом апроксимации суммарного действия шума приемника и ВП нормальным законом распределения

,

где  - среднеквадратическое значение отношение сигнал-помехи при линейно-независимых сигналах.

α - коэффициент, зависящий от вида модуляции (при амплитудной модуляции он равен 1/√2, при ортогональной - 1 и при фазовой - √2.

Если ввести обозначения

- отношение сигнал-шум;0 - спектральная плотность мощности;

- среднеквадратическое значение коэффициента взаимной корреляции, то среднеквадратическое отношение сигнал-помехи можно выразить в виде при ОМ и ФМ. При АМ необходимо учитывать, что мощность ВП будет пропорциональна только одновременно излучаемым канальным сигналам (то есть числу единиц).

.

Из данного выражения видно, что помехоустойчивость систем с линейным кодовым уплотнением не может быть увеличена путем увеличения мощности полезного сигнала, так как при этом увеличивается и мощность взаимных помех.

4.3 Оценка эффективности систем радиоохраны с ШПС


4.3.1 Оценка спектральной эффективности

Из всего перечня приведенных выше характеристик основными для сравнения различных беспроводных систем являютя помехоустойчивость и спектральная эффективность. Скорость передачи в данном случае является второстипенной характеристикой исходя из низкой информативности датчиков систем охранной сигнализации. Анализ рассматриваемых систем показал, что если в качестве адресов датчиков использовать ортогональные сигналы, то системы с одной зоной контроля с любыми способами уплотнения (временным, частотным либо кодовым) имеют примерно одинаковую спектральную эффективность, равную

γ = V/F ,

где V - скорость передачи информации датчиками системы; FЧР = LFД - ширина полосы частот, занимаемая системой с частотным уплотнением , обслуживающей L датчиков;

FД - ширина спектра передаваемых сообщений датчиками.

Однако, учитывая, что при использовании квазиортогональных шумоподобных сигналов, сформированных, например, на основе нелинейных псевдослучайных последовательностей, можно получить число сигналов, значительно превышающее значение базы сигналов, то можно получить существенный выигрыш в спектральной эффективности.

В этом случае полоса частот, занимаемая системой с кодовым уплотнением будет определяться не числом датчиков, а базой сигналов.

FКР =BFД

Сравнивая эти два выражения, учитывая, что скорости передачи информации датчиками (соотвественно, ширина спектра, занимаемая сообщениями) одинаковы, получим выражение для выигрыша в спектральной эффективности системы с кодовым уплотнением по сравнению с системой с узкополосными сигналами.

γКРЧР = L/B,

Из приведенного выражения видно, что системы с КР выгодно использовать при большом числе датчиков системы.

Количественный выигрыш при конкретных значениях параметров системы получить затруднительно из-за сложной зависимости числа сигналов с заданными взаимокорреляционными свойствами от базы сигналов.( в настоящее время таких точных теоретических зависимостей не существует). Их можно получить только путем компьютерного моделирования, что выходит за рамки проводимых исследований.

Для системы с КР и квазиортогональными сигналами приближенная оценка вероятности ошибки при когерентном приеме ФМ ШПС может быть определена с учетом апроксимации суммарного действия взаимных помех (ВП) нормальным законом распределения


где  - среднеквадратическое значение отношения сигнал-помехи.

F(x) = - интеграл вероятности;

l - число активных датчиков;

rСР - среднеквадратической значение коэффициентов взаимной корреляции;

h0 - среднеквадратическое значение уровня шума (по напряжению).

Если в системе мощность взаимных помех от всех активных датчиков (при их одновременном срабатывании) меньше мощности шума приемника и других помех, то формула для вероятности ошибки упрощается

.

Используя стандартную офисную программу Excel при h0 =2-3 получим значение вероятности ошибки примерно 10-3…10-5, что соотвествует требованиям, преъявляемым к современным беспроводным система передачи информации.

При использовании частотно-временных сигналов и сигналов с прыгающей частотой когерентный прием реализовать нельзя, поэтому используется некогерентный прием, например, с частотной , или с относительной фазовой манипуляцией.

При этом вероятность ошибки определяется выражением

P = 0,5exp(-αh02),

где α = 0,5 при ЧМ и 1 при ОФМ.

Расчеты, проведенные при помощи программы Excel показали, что при h0 =2-3 вероятность ошибки примерно на порядок больше при ОФМ и на два порядка при ЧМ. Это соответствует энергетическому проигрышу на 1,5-2 Дб, что весьма существенно.

При учете действия ВП помехоустойчивость системы может значительно снизиться, однако в этом случае могут использоваться специальные алгоритмы их компенсации, описанные , например, в [8,11,17].

Заключение

Достоинствами беспроводных систем связи являются их относительно низкая стоимость, быстрота развертывания и высокая мобильность, высокая структурная надежность.

Беспроводные системы незаменимы при строительстве газопроводов, атомных электростанций и других масштабных объектов, в случаях устранения последствий стихийных бедствий и аварий, в сельском хозяйстве, где строить сотовые системы экономически невыгодно.

При этом в отличие от одноканальных систем в многоканальных системах сжатие данных, как правило, производят за счет эффективной процедуры уплотнения источников информации. Наиболее целесообразными способами уплотнения являются адаптивный временной или кодовый, учитывающие статистику передаваемых данных.

При кодовом уплотнении с использованием квазиортогональных сигналов и процедур многопользовательской демодуляции эффективность уплотнения увеличивается с увеличением уплотняемых источников и их избыточности.

Основными методами реализации таких систем является множественный доступ с контролем несущей или кодовое разделение абонентов.

Построение системы с кодовым уплотнением каналов может быть реализовано с меньшей базой используемых сигналов, а значит и с меньшей полосой пропускания, если использовать прием сигналов с компенсацией взаимных помех. Выигрыш в полосе частот в зависимости от требуемой вероятности ошибки может примерно составлять 5-6 раз.

Список использованных источников

1       Берлин А.Н. Цифровые сотовые системы связи. - М.: Эко-Трендз, 2007. - 295 с.

         Варакин Л.Е., Шинаков Ю.С. CDMA: прошлое, настоящее, будущее. - М.: Международная академия связи, 2003. - 601 с.

         Вишневский В.М. и др. Широкополосные беспроводные сети передачи информации. - М.: Техносфера, 2005. - 592 с.

         Волков Л.Н., Немировский М.С, Шинаков Ю.С Системы цифровой радиосвязи. - М.: Эко-Трендз, 2005. - 392 с.

         Громаков Ю.А. Стандарты и системы подвижной радиосвязи. - М.: Мобильные ТелеСисте-мы-Экотрендз, 2007. - 240 с.

         Григорьев В.А., Лагутенко О.И., Распаев Ю.А. Сети и системы радиодоступа. - М.: Эко-Трендз, 2005. -384 с.

         Ипатов В. Широкополосные системы и кодовое разделение сигналов. Принципы и приложения. - М.: Техносфера, 2007. - 486 с.

         Крейнделин B.C. Новые методы обработки сигналов системах беспроводной связи. - СПб.: Линк, 2009. - 276 с.

         Матвеева М.М., Шинаков Ю.С. Системы связи с подвижными объектами. - М.: Радио и связь, 2002. - 450 с.

         Немировский М.С. Цифровая передача информации в радиосвязи. - М.: Связь, 1980. - 256 с.

         Прокис Дж. Цифровая связь. - М.: Радио и связь, 2000. - 798 с.

         Скляр Бернард. Цифровая связь. Теоретические основы и практическое применение. - М.; СПб.; Киев; Вильяме, 2003. - 1100 с.

         Томаси У. Электронные системы связи. - М.: Техносфера, 2007. - 1360 с.

         Финк Л. М. Теория передачи дискретных сообщений. - М.: Сов. радио, 1970. - 356 с.

         Цапенко М.П. измерительные информационные системы.- М.: Энергоатом издат, 2005. - 440с.

16     Зюко А.Г., Кловский Д.Д., Назаров М.В., Финк Л.М. Теория передачи сигналов. М: Радио и связь, 2001 г. -368 с.

17     Ключко В.И., Казаков А.Н. Эффективность компенсации взаимных помех в синхронных адресных системах связи/«Средства связи»-1986, с.48-53

Похожие работы на - Исследование особенностей технической реализации и эффективности уплотнения нестационарных сигналов

 

Не нашли материал для своей работы?
Поможем написать уникальную работу
Без плагиата!
Без нейросетей!