Разработка технологической схемы производства детской творожной пасты на основе известной рецептуры для сбалансированного питания детей от 3-х лет
Введение
Полноценное питание детей - необходимое условие обеспечения
их здоровья, устойчивости к действию инфекций и других неблагоприятных
факторов. Приоритетная роль питания в поддержании здоровья детей и подростков
закреплена постановлением Правительства РФ «Концепция государственной политики
в области здорового питания населения РФ до 2010 г.» и президентской программой
«Дети России». Правильное питание обеспечивает нормальное физическое развитие
ребенка, предупреждает возникновение отклонений в развитии и росте,
способствует повышению сопротивляемости организма ребенка заразным заболеваниям
и неблагоприятным явлениям внешней среды. Пища ребенка должна содержать белки,
жиры, углеводы, минеральные соли, витамины и воду. Все указанные составные
части должны быть полноценными и входить в рацион питания детей в правильном
соотношении.
Но несмотря на сбалансированность продуктов питания, в нашем
регионе остро стоит проблема дефицита макро- и микронутриентов, в особенности
таких как йод, железо и медь. Для оптимального усвоения йода необходимо
достаточное поступление белка, железа, цинка, меди, витаминов А и Е, но с пищей
они не поступают в достаточном количестве и поэтому продукты питания следует
обогащать данными нутриетами для полноценного питания. Обогащение часто
употребляемых пищевых продуктов микронутриентами закреплено постановлением
Правительства РФ от 10.08.1998 №917 о концепции государственной политики в
области здорового питания населения российской федерации предусматривает либо
восполнение потерь в процессе технологической обработки и переработки, либо
дополнительное введение микронутриентов в продукты, в естественных условиях их
не содержащих, либо сочетание этих двух подходов. В этом отношении оптимальным
продуктом детского питания является творог, который можно обогатить
дополнительными нутриентами, которые при этом не изменят его органолептические
свойства. Этот молочный продукт является полноценным поставщиком необходимого
организму веществ таких как: белки, жиры, углеводы, минеральные вещества и
витамины, но не в достаточном колличестве.
Целью курсовой работы является разработка технологической
схемы производства детской творожной пасты на основе известной рецептуры для
сбалансированного питания детей от 3-х лет. С учетом физиологических потребностей
детей, в творожный продукт вносится пшеничная крупа и йодказеин, при этом
продукт обогащается необходимыми микронутриентами.
Задачи:
Рассчитать материальный баланс производства творожной пасты;
Рассчитать пищевую ценность творожной пасты;
Рассчитать аминокислотную и жирнокислотную сбалансированность
творожной пасты.
1. Литературный обзор
Молочные продукты - это продукты, обеспечивающие потребности
детского организма в основных пищевых ингредиентах в зависимости от возраста
ребенка. Ингредиенты детского питания должны обладать энергетической и
биологической ценностью, обеспечивать организм пищевыми компонентами (белок,
жир, углеводы, минеральные вещества) и защитными факторами (лизоцим,
бифидофлора). Белки молока содержат все необходимые организму аминокислоты, в
том числе восемь незаменимых (табл. 1), которые поступают в организм только с
пищей [1].
творожный аминокислотный жирнокислотный
Таблица 1 - Содержание незаменимых аминокислот в молоке
|
Белок, %
|
Аминокислоты,
мг/100 г. продукт
|
|
триптофан
|
лизин
|
метионин
|
валин
|
треонин
|
лейцин
|
изо-лейцин
|
фени-лаланин
|
гистидин
|
|
3,2
|
50
|
261
|
87
|
191
|
153
|
324
|
189
|
171
|
90
|
Суточная потребность человека в основных незаменимых
аминокислотах может быть обеспечена за счет потребления пол литра молока.
Только для удовлетворения потребности в метионине и фенилаланине необходимо
несколько большее количество молока. Потребляя 100 г. мягких сыров, человек
удовлетворяет суточную потребность в аминокислотах на 30 - 40%, а при
потреблении 100г твердых сыров - на 40 - 50%.
Жиры, как и белки, являются важнейшими компонентами творога.
Они благоприятно сбалансированы по составу. На их долю приходится в среднем 33%
калорийности пищевого рациона. При полном биологическом распаде 1 грамма жира
высвобождается 37,7 кДж. Молочный жир является наиболее энергетически ценным
компонентом молока, кроме того, он обуславливает определенный вкус и
консистенцию молочных продуктов, их высокую пищевую ценность. Он имеет низкую
температуру плавления и высокую степень дисперсности и поэтому хорошо всасывается
и усваивается. В молочном жире преобладают олеиновая, пальмитиновая,
миристиновая и стеариновая кислоты. Наличие незаменимых жирных кислот
(линолевой, линоленовой и арахидоновой) повышает биологическую ценность
молочного жира. Жир, входящий в состав творога, также очень важен для
рационального питания детей. Он восполняет энергетические затраты организма и
входит в состав многих структурных частей тела ребенка. Среднее значение
количества жира составляет 3.25%, из них: НЖК - 1,9%, МНЖК - 0,8%, ПНЖК - 0,2% [1].
Углеводы являются основным легкоусвояемым источником энергии,
необходимой организму для его жизнедеятельности. Они входят в состав
нуклеиновых кислот, мембран клеток, соединительной ткани, а также принимают
участие в обмене веществ, улучшают использование белков и жиров. Лактоза
является источником энергии, необходимой для работы сердца, печени, почек,
входит в состав клеток, коферментов, витаминов, участвует в синтезе белков и
жиров, имеет важное значение для внутриклеточного обмена. Разлагаясь в кишечнике
до молочной кислоты, лактоза способствует жизнедеятельности микрофлоры,
тормозящей развитие гнилостных процессов. Степень усвоения молочного сахара в
организме человека составляет 98%. В 100 г. молока содержится около 5,2%
углеводов [1].
Минеральные вещества (калий, кальций, натрий, фосфор, железо
и др.) необходимы для нормального течения в организме основных жизненных
процессов и в которых чрезвычайно нуждается детский организм. Минеральные
вещества (МВ), находящиеся в твороге участвуют в костеобразовании, питании
нервной системы и образовании гемоглобина крови. МВ участвуют в биологических
процессах, происходящих в организме, имеют свою специфическую активность и
могут считаться истинными биоэлементами. Кальций, фосфор, магний обеспечивают
построение и нормальное состояние тканей скелета. Натрий, калий поддерживают
нормальную осмотическую среду клеток в крови. Кальций в организме человека
участвует в формировании костной и других тканей, способствует свертыванию
крови, влияет на липидный обмен, активирует многие ферменты, регулирует
мышечную и нервную деятельность, а также проницаемость клеточных мембран. С
кальцием связаны величина мицелл казеина, свертывание молока и образование
сычужного сгустка. Фосфор входит в состав белка всех клеток организма, в
соединении с АТФ (аденозинтрифосфорной кислотой) создает внутренний источник
мускульной энергии, является составной частью нервной ткани и клеток мозга. Для
правильного питания важно не только содержание фосфора, но и соотношение его с
кальцием. Оптимальным считается соотношение кальция и фосфора 1:1,5. Общее
количество микроэлементов в молоке составляет менее 0,15%. Содержание
микроэлементов в молоке (табл. 2) находится в тесной зависимости от наличия их
в кормах [1].
Таблица 2 - Содержание минеральных веществ в молоке
|
Наименование МВ
|
К
|
Са
|
Р
|
Si
|
Zn
|
Fe
|
F
|
Cu
|
J
|
|
Массовая доля,
мг%
|
15,5
|
12,0
|
9,5
|
3,70
|
3,40
|
0,60
|
0,14
|
0,11
|
0,08
|
Дефицит в микронутриентах. Нехватка йода возникает при
суточном поступлении менее 20 мг. Недостаточное поступление йода с пищей
приводит к развитию зоба (увеличение щитовидной железы), значительный дефицит
йода причиняет отставание психического и физического развития детей
(кретинизм), у взрослых - снижает функции щитовидной железы. На континентальных
территориях, в том числе, и в нашей стране, в настоящее время есть регионы с
очень низким содержанием йода во внешней среде. Больше всего йода содержится в
морских водорослях: в 100 г. сухой ламинарии - 26-180 мг йода, в 100 г. сухой
морской капусты - 200-220 мг, в 100 г. морской рыбы и морепродуктов - от 300 до
1000 мг. В нашем регионе нет возможности получать через данные продукты
недостаток йода, поэтому для таких регионов источником йода является молоко,
яйца, овощи. Эффективным решением данной проблемы послужила добавка
«йодказеин». «Йодказеин» - перспективная пищевая добавка к детскому питанию для
решения проблемы йодной недостаточности детей раннего возраста [2].
Многочисленные эпидемиологические и эндокринологические
исследования, проводившиеся на протяжении многих лет, доказали, что основной
причиной эндемического зоба является йодная недостаточность среды обитания.
Наиболее приемлемым методом борьбы с эндемическим зобом в настоящее время
считается йодная профилактика путем йодирования пищевых продуктов. Добавка
«йодказеин», в которой йод связан прочной химической связью с тирозиновыми
остатками молочного белка, изготовлена на основе натурального, легко
усваиваемого белка молока, вследствие этого физиологичен. Готовится такая
добавка по ГОСТу Р 52783-2007. Высокая степень безопасности йодказеина
подтверждена обстоятельными доклиническими испытаниями. По данным проведенных
исследований добавление «Йодказеина» не усложняет технологический процесс, не
изменяет вкусовых качеств молока и кисломолочных продуктов и йод сохраняется в
них на протяжении всего срока реализации. «Йодказеин» вносят в виде раствора в
молоке - до пастеризации, в кисломолочные продукты - перед внесением закваски.
Норма внесения рассчитана, исходя из покрытия 60% суточной потребности в йоде
за счет каждого продукта и составляет для молока и кефира - 5 г «Йодказеина» на
тонну готовой продукции, для творога и сметаны - 12.5 г. на 1000 кг готовой
продукции [3].
Пшеничная крупа из твердых сортов пшеницы - это продукт с
высоким содержанием белков, минеральных веществ (табл. 3) и других компонентов.
В ней много каротиноидов (органические пигменты, придающие продукту желтую
окраску). Кроме того, пшеничные блюда легко перевариваются и усваиваются, что
дает возможность включать этот продукт в диетические меню и рацион детей
(малышам, из-за содержания глютена, пшеничные блюда стоит предлагать не ранее
7-8 месяцев - 1 года, в связи с тем, что глютен может вызывать аллергические
реакции) [4, 5].
Таблица 3 - Содержание минеральных веществ в пшеничной крупе
|
Нутриент
|
Содержание в
продукте, мг
|
Покрытие
суточной потребности, %
|
|
Железо (Fe):
|
2
|
(10 - 20)
|
|
Йод (I):
|
0,01
|
(6,7 - 8,3)
|
|
Калий (K):
|
300
|
(10 - 15)
|
|
Кальций (Ca):
|
250
|
(25 - 31,3)
|
|
Магний (Mg):
|
50
|
(6,3 - 12,5)
|
|
Марганец (Mn):
|
3.8
|
(38 - 76)
|
|
Медь (Cu):
|
0,05
|
(12,5 - 50)
|
|
Молибден (Mo):
|
0,002
|
(около 12,5)
|
|
Натрий (Na):
|
25
|
(0,6 - 1,3)
|
|
Селен (Se):
|
0,002
|
(19 - 63,3)
|
|
Фосфор (P):
|
250
|
(около 20,8)
|
|
Цинк (Zn):
|
2,8
|
(14 - 18,7)
|
2. Описание технологической схемы
Принятое молоко проходя через фильтр (Ф) поступает в ванну
продукта (В) благодаря насосу (Н1). Насосом (Н2) молоко
из ванны продукта (В) поступает на центробежный сепаратор молокоочиститель
(МО). Молоко охлаждают до температуры 4°С (охл) и перекачивают в танк хранения
(Тхр). Благодаря насосу (Н3) молоко поступает на
пастеризационно - охладительную установку (П1). В секции регенерации
тепла молоко подогревают до 45°С. После этого подогретое и очищенное молоко
поступает в сепаратор - сливкоотделитель (СО), где происходит разделение на
сливки 15% жирности и обезжиренное молоко. Полученное обезжиренное молоко
подают на ПОУ (П1), где пастеризуют при температуре 78 
°С в течение 15 с, а сливки подают на ПОУ (П2), где
пастеризуют при температуре 85 
°С в течение 15 с. После пастеризации и охлаждения в ПОУ (П2)
до температуры 6 
°С сливки поступают в танк хранения сливок (Тсл).
Обезжиренное молоко направляют в ПОУ (П1) в секцию
регенерации тепла, где молоко охлаждают сначала до 45 
а потом до температуры заквашивания 30 
°С. После этого обезжиренное молоко поступает в ферментер (Фр).
Молоко заквашивают закваской, приготовленной на чистых культурах мезофильных
молочнокислых стрептококков в ферментёре (Фр) при температуре молока 30±2 0С.
Перед внесением закваски в молоко добавляют «йодказеин», предварительно
растворенный в обезжиренном молоке в резервуаре для приготовления раствора
йодказеина (Рпй), перекаченный с помощью насоса (Н4).
Молоко оставляют в покое до образования сгустка требуемой кислотности 60±2 0Т.
Продолжительность сквашивания составляет 4-5 ч с момента внесения закваски.
Готовый сгусток с помощью насоса (Н5) подают в
сепаратор (С), предварительно охлаждают (охл). В сепараторе происходит
отделение творожного сгустка от сыворотки. Творожный продукт с помощью насоса
(Н6) поступает в резервуар смешивания (Рс). В резервуаре
смешивания (Рс) происходит смешивание продукта с пшеничной крупой,
предварительно сваренной на питьевой воде из пшеничной крупы в резервуаре для
приготовления пшеничной каши (Рк) и с 15% сливками поступающих с помощью насоса
(Н7) из танка хранения сливок (Тсл). Готовый продукт
благодаря асептическому насосу охлаждают (охл) до температуры 6 
°С, а затем молоко поступает в танк хранения готового продукта (Тгп),
откуда его и отправляют на фасовку. На фасовке творожную пасту упаковывают и
направляют на реализацию.
3.
Материальный баланс производства творожной пасты для детского питания
Таблица 4 - Пищевая ценность творожной пасты (Патент
№2243674) [6]
|
Содержание, %
|
Массовая доля
МВ, мг%
|
|
белки
|
жиры
|
углеводы
|
орг. кислоты
|
калий
|
натрий
|
железо
|
йод
|
медь
|
фтор
|
|
13,6
|
9,6
|
11,2
|
1,0
|
80,0
|
40,0
|
16,0
|
25,0
|
0,07
|
0,03
|
Таблица
5 - Рецептура творожной пасты [6]
|
Наименование
компонентов
|
Масса, кг
|
Массовая доля,
%
|
|
Молоко цельное
3%
|
1000
|
98,2606
|
|
Закваска
прямого внесения
|
-
|
-
|
|
Гомогенизированная
пшеничная каша
|
17,7
|
1,7392
|
|
Йод казеин
|
0,002
|
0,0002
|
|
Итого:
|
1017,702
|
100
|
Таблица 6 - Приемка, очистка,
резервирование
|
Приход
|
%
|
кг
|
Расход
|
%
|
кг
|
|
Молоко (3%
жирн.)
|
100
|
1000
|
Потери
|
0,2
|
2
|
|
|
|
Примеси
|
0,3
|
3
|
|
|
|
Молоко
очищенное (3% жирн.)
|
99,5
|
995
|
|
Итого
|
100
|
1000
|
Итого
|
100
|
1000
|
Таблица 7 - Подогревание,
сливкоотделение
|
Приход
|
%
|
кг
|
Расход
|
%
|
кг
|
|
Молоко (3%
жирн.)
|
100
|
995
|
Потери
|
0,15
|
1,49
|
|
|
|
Обезжиренное
молоко (0,05% жирн.)
|
80,2
|
797,5
|
|
|
|
Сливки (15%
жирн.)
|
19,69
|
196,01
|
|
Итого
|
100
|
995
|
Итого
|
100
|
995
|
Выход сливок (М сл, кг) с заданной жирностью
определяется по формуле
М сл = 100* (Ж м-Ж обр)/(Ж сл-Ж обр),
где Ж м - жирность
молока, %;
Ж обр - жирность
обрата, %;
Ж cл - жирность
сливок, %;
- количество исходного молока, %;
М cл =
100 (3-0,05)/(15-0,05) = 19,73%.
Потери составляют 0,15% на тонну: 995*0,15/100 =1,49 кг
Количество молока с учетом потерь
составит 995-1,49 = 993,51 кг
Количество образовавшихся сливок:
993,51*19,73/100 = 196,01 кг
Количество образовавшегося
обрата: 993,51-196,01 = 797,5 кг
Таблица 8 - Пастеризация,
охлаждение
|
Приход
|
%
|
кг
|
Расход
|
%
|
кг
|
|
Обезжиренное
молоко (0,05% жирн.)
|
100
|
797,5
|
Потери
|
0,15
|
1,19
|
|
|
|
Пастеризованное
обезжиренное молоко (0,05% жирн.)
|
99,85
|
796,31
|
|
Итого
|
100
|
797,5
|
Итого
|
100
|
797,5
|
Таблица 9 - Пастеризация,
охлаждение
|
Приход
|
%
|
кг
|
Расход
|
%
|
кг
|
|
Сливки (15%
жирн.)
|
100
|
196,01
|
Потери
|
0,15
|
0,29
|
|
|
|
Пастеризованные
сливки (15% жирн)
|
99,85
|
195,72
|
|
Итого
|
100
|
196,01
|
Итого
|
100
|
196,01
|
Таблица 10 - Приготовление
раствора йодказеина
|
Приход
|
%
|
кг
|
Расход
|
%
|
кг
|
|
Йодказеин
(порошок)
|
0,4
|
0,002
|
Потери
|
0,1
|
0,0005
|
|
Обезжиренное
молоко (0,05% жирн.)
|
99,6
|
0,500
|
Раствор
йодказеина
|
99,9
|
0,5015
|
|
Итого
|
100
|
0,502
|
Итого
|
100
|
0,502
|
Обезжиренное молоко оставшееся после приготовления раствора
йодказеина (0,05% жирн.) = 797,5 - 0,500
=797
Таблица 11 - Внесение раствора
йодказеина, заквашивание, сквашивание, подогрев
|
Приход
|
%
|
кг
|
Расход
|
%
|
Кг
|
|
Обезжиренное
молоко (0,05% жирн.)
|
100
|
797
|
Потери
|
0,2
|
1,59
|
|
Раствор
йодказеина
|
99,9
|
0,5015
|
Творожный сгусток
|
99,8
|
795,9
|
|
Закваска
прямого внесения
|
|
|
|
|
|
|
Итого
|
100
|
797,5
|
Итого
|
100
|
797,5
|
Таблица 12 - Сепарирование и
охлаждение творожного сгустка
|
Приход
|
%
|
кг
|
Расход
|
%
|
Кг
|
|
Творожный сгусток
|
100
|
795,9
|
Творожное зерно
|
12,54
|
99,81
|
|
|
|
Сыворотка (0,5% жирн.)
|
87,26
|
694,5
|
|
|
|
Потери
|
0,2
|
1,59
|
|
Итого
|
100
|
795,9
|
Итого
|
100
|
795,9
|
Выход творожного зерна (М т.з,
кг) с
заданными сухими веществами определяется по формуле:
М т.з =
100*(СВ м-СВ сыв)/(СВ
т.з-СВ сыв),
где СВ м - содержание
сухих веществ нормализованного молока (2,99% жирн.), %;
СВ сыв - содержание
сухих веществ сыворотки, %;
СВ т.з - содержание
сухих веществ творожного зерна, %;
- количество исходного молока, %;
М т.з =
100 (8,3-5,9)/(25-5,9) = 12,56%.
Потери составляют 0,5% на тонну: 795,9*0,2/100 = 1,59 кг
Количество образовавшейся
сыворотки с учетом потерь
(795,9-1,59)*8,3 = х*5,9 + (795,9
- 1,59-х)*25; х = 694,50
Количество образовавшегося
творога с учетом потерь
(795,9-1,59) - 694,5 = 99,81 кг
Таблица 13 - Гомогенизированние
пшеничной каши
|
Приход
|
%
|
кг
|
Расход
|
%
|
кг
|
|
Пшеничное зерно
|
13,78
|
2,44
|
99,9
|
17,699
|
|
Вода
|
86,22
|
15,26
|
Потери
|
0,01
|
0,001
|
|
Итого
|
100
|
17,7
|
Итого
|
100
|
17,7
|
Таблица 14 - Добавление
компонентов, стерилизация, гомогенизация
|
Приход
|
%
|
кг
|
Расход
|
%
|
кг
|
|
Творожное зерно
|
64,95
|
99,81
|
Творожная паста
|
99,9
|
153,47
|
|
Гогенизированая пшеничная каша
|
11,52
|
17,69
|
Потери
|
0,1
|
0,15
|
|
Пастеризованные
сливки (15% жирн)
|
23,53
|
36,12
|
|
|
|
|
Итого
|
100
|
153,62
|
Итого
|
100
|
153,62
|
Таблица 15 - Охлаждение,
асептический розлив, фасовка
|
Приход
|
%
|
кг
|
Расход
|
%
|
кг
|
|
Творожная паста
|
100
|
153,47
|
Потери
|
0,5
|
0,76
|
|
|
|
Творожная паста
|
99,5
|
152,71
|
|
Итого
|
100
|
153,47
|
Итого
|
100
|
153,47
|
Таблица 16 - Материальный
баланс всего технологического процесса
|
Приход
|
%
|
кг
|
Расход
|
%
|
кг
|
|
Молоко (3%
жирн.)
|
98,7
|
1000
|
Творожная паста
|
15,00
|
152,71
|
|
Закваска прямого вн.
|
-
|
-
|
Сыворотка
|
68,24
|
694,51
|
|
Гомогенизированная
пшеничная каша
|
1,713
|
17,7
|
Сливки
|
15,59
|
158,6
|
|
Йод казеин
|
0,002
|
0,002
|
Потери
|
0,88
|
8,91
|
|
|
|
Примеси
|
0,29
|
3
|
|
Итого
|
100
|
1017,702
|
Итого
|
100
|
1017,702
|
4. Расчет аминокислотного скора творожной пасты
Таблица 17 - Характеристика аминокислотного состава белок
содержащих ингредиентов
|
Наим. АК
|
Массовая доля
АК в эталонном белке, г/100 г. белка
|
Количество
белка внесен. с компонентом, г/100 г
|
Сi, ед. доли
|
kj
|
|
|
обезж. молоко
|
сливки
|
пшен. каша
|
твор. паста
|
|
|
|
Изо
|
4,6
|
4,18
|
0,92
|
0,25
|
5,35
|
1,163
|
0,67
|
|
Лей
|
9,8
|
7,33
|
1,51
|
0,49
|
9,33
|
0,95
|
0,82
|
|
Лиз
|
7,5
|
4,53
|
1,15
|
0,15
|
5,83
|
0,77
|
1
|
|
Мет + цис
|
4,0
|
2,62
|
0,57
|
0,17
|
3,3
|
0,82
|
0,94
|
|
Фен + тир
|
8,6
|
8,41
|
1,7
|
0,45
|
10,56
|
1,2 0,63
|
|
|
Тре
|
4,6
|
3,81
|
0,76
|
0,15
|
4,72
|
1,02
|
0,76
|
|
Три
|
1,5
|
1,35
|
0,35
|
0,05
|
1,75
|
1,16
|
0,66
|
|
Вал
|
5,2
|
4,32
|
1,12
|
0,23
|
5,67
|
1,09
|
0,71
|
Доля белков обезжиренного молока
в творожной пасте 0,77; доля белков сливок в творожной пасте 0,17, доля белков
пшеничной каши в творожной пасте 0,06
,
где
- содержание незаменимой i-й аминокислоты в сырье,
г/100 г. белка;
- массовая доля i-й незаменимой
аминокислоты, соответствующая физиологически необходимой норме (эталону), г/100
г. белка;
- коэффициент пересчета в проценты.изо =
5,35/4,6*100=162,1%
Расчёт коэффициента утилитарности незаменимых аминокислот
kj=
где Cmin - минимальный скор
незаменимых аминокислот оцениваемого белка по отношению к физиологической норме
(эталону), дол. ед.;
Сi - скор i-ой незаменимой
аминокислоты оцениваемого белка по отношению к физиологической норме (эталону),
дол. ед.
Kиле=
=0,7
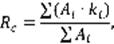
Расчёт коэффициента рациональности аминокислотного состава
где Аi - массовая
доля i-ой незаменимой аминокислоты в сырье,
г/100 г. белка.
Rc=
= 
=0,82 дол. ед
Расчёт показателя сопоставимой избыточности содержания незаменимых
аминокислот
у=
где АЭi -
массовая доля i-ой незаменимой аминокислоты,
соответствующая физиологически необходимой норме (эталону), г/100 г. белка.
у=
5. Характеристика жирнокислотного состава основных
жиросодержащих ингредиентов
Жирнокислотную сбалансированность оценивали по общему критерию алиментарной
адекватности, предложенному академиками Н.Н. Липатовым и А.Б. Лисициным
где
если
и
если
,
коэффициент жирнокислотного соответствия, дол. ед.,
массовая доля i-ой жирной
кислоты в сырье, г/100 г. жира,
массовая доля i-ой жирной
кислоты, соответствующая физиологически необходимой норме (эталону), г/100 г.
жира,
i=1 соответствует сумме насыщенных жирных кислот (НЖК),
i=2 - сумме мононенасыщенных жирных кислот (МНЖК),
i=3 - сумме полиненасыщенных жирных кислот (ПНЖК),
i=4 - линолевой, i=5 -
линоленовой, i=6 - арахидоновой
Таблица 17 - Характеристика жирнокислотного состава основных
жиросодержащих ингредиентов
|
Ингредиенты
|
Жирные кислоты,
г/100 г. жира
|
, доли ед.
|
|
НЖК
|
МНЖК
|
ПНЖК
|
Лино-левая
|
Линоленовая
|
Арахидоновая
|
i=1-3
|
i=1-6
|
|
Эталон
|
41,78
|
43,03
|
12,42
|
10,85
|
0,62
|
0,95
|
0,38
|
0,56
|
|
Молоко норм.
пастер.
|
59,78
|
29,44
|
5,84
|
2,5
|
0,84
|
2,5
|
|
|
|
7,17
|
3,53
|
0,7
|
1,75
|
0,1
|
0,3
|
|
|
|
Сливки 15%
|
59,7
|
30,31
|
4,71
|
2,1
|
0,9
|
1,71
|
|
|
|
9,55
|
4,84
|
0,75
|
0,33
|
0,14
|
0,27
|
|
|
|
Гомог. пшен.
каша
|
0,48
|
0,35
|
1,01
|
1
|
-
|
-
|
|
|
|
-
|
-
|
-
|
-
|
-
|
-
|
|
|
|
Готовый продукт
|
16,72
|
8,37
|
1,71
|
2,08
|
0,24
|
0,57
|
|
|
|
0,4
|
0,19
|
0,13
|
0,19
|
0,38
|
0,6
|
|
|
= 16,72/41,78=0,4L1-6=(0,4*0,19*0,13*0,19*0,38*0,6)1/6=(0,00048)
1/6=0,38 дол. ед.L1-3=(0,4*0,19*0,13) 1/3=(0,0098)1/3=0,56
дол. ед.
6. Пищевая и энергетическая ценность
Таблица 18 - Расчет энергетической ценности творожной пасты
|
Мягкий сыр
|
Белки, %
|
Жиры, %
|
Углеводы, %
|
Органические кислоты, %
|
Энергетическая ценность, ккал/100 г.
|
|
13,62
|
9,55
|
11,15
|
1,0
|
343,73
|
ЭЦ = 4 Б + 9 Ж + 4 УВ + 3,5 ОК,
где Б = 13,62 г., массовая доля
белка в 100 г. продукта;
Ж = 9,55 г., массовая доля жира в
100 г. продукта;
УВ = 11,15 г., массовая доля
углеводов в 100 г. продукта;
ОК = 1 г, массовая доля
органических кислот в 100 г. продукта;
4,0; 9,0; 4,0; 3,5 - коэффициенты
энергетической ценности соответственно белков, жиров, углеводов и органических
кислот входящих в состав продукта, ккал/г.
ЭЦ = 4 · 13,62 + 9 · 9,55 + 4 ·
11,15 +3,5·1 = 188,53 ккал/ 100 г. продукта
Таблица 19 - Расчёт пищевой
ценности творожной пасты
|
Наименование
компонента
|
Содержание в
100 г. продукта
|
Суточная
потребность, г/100 г.
|
Пищевая
ценность, %
|
|
Белки, г Жиры,
г Углеводы, г
|
13,62 9,55
11,15
|
68,0 68,0 272,0
|
20,02 14,1 5,5
|
|
Минеральные
вещества, мг: Калий Натрий Кальций Фосфор Железо Магний Йод Медь Цинк Фтор
|
80 40 160 190
0,6 10 20 0,07 0,395 0,03
|
400,0 500,0
800,0 700,0 10,0 80,0 80,0 0,3 4,0 1,2
|
20 8 20 27,1 6 12,5 25,0 23,3 9,87 2,5
|
Заключение
На основе рецептуры творожной пасты с добавлением раствора
«йодказеина» и гомогенизированной пшеничной каши была разработана
технологическая схема производства творожного продукта. Рассчитан материальный
баланс, жирнокислотный состав, биологическая, энергетическая и пищевая ценность
творожной пасты.
Рассчитанная биологическая ценность белка свидетельствуют о
том, что творожная паста имеет сбалансированный аминокислотный состав, о чем
свидетельствует высокий коэффициент рациональности аминокислотного состава,
равный 0,82 дол. ед. Показатель сопоставимой избыточности равен 14,57 г./100 г.
белка. Продукт сбалансирован по жирнокислотному составу, о чем свидетельствует
коэффициент жирнокислотного соответствия продукта по i=1-3 составляет 0,38 дол.
ед., а по i=1-6
составляет 0,56 дол. ед.
Продукт обладает высокой пищевой и энергетической ценностью.
100 г. продукта удовлетворяет суточную потребность детей старше одного года в
белках на 20,02%, в жирах - на 14,1%, в углеводах - на 5,5%, в йоде - на 25%, в
железе 6% и в меди на 23,3%. Энергетическая ценность составляет 343,73 ккал/100 г.
Список используемой литературы
1. Маюрникова Л. Здоровое питание детей - залог
будущего здоровья нации // Деловой Кузбасс» №8, август 2005 г. и №2, февраль
2006 г. Постановление Правительства Российской Федерации от 05.10.1999
. Крусь Г.Н. и др. Технология молока и молочных
продуктов / Г.Н. Крусь, А.Г. Храмцов, З.В. Волокитина, С.В. Карпычев; под ред.
А.М. Шалыгиной. - М.: КолосС, 2006. - 455 с.: ил. - (Учебники и учеб. пособия
для студентов высш. учеб. заведений).
. Справочные данные содержания аминокислот,
жирных кислот, витаминов, макро- и микроэлементов, органических кислот и
углеводов. Химический состав пищевых продуктов / Под ред. проф., д-ра техн.
наук И.М. Скурихина и проф., д-ра мед. наук М.Н. Волгарева. 2-е изд., перераб.
И доп. - М.: Агропромиздат, 1987. - 360 с.
. Цыб А.Ф., Розиев Р.А. «Йодказеин» как средство
для профилактики йодной недостаточности // Здоровье населения и среда обитания.
Информ. бюлл. ФЦ ГСЭН МЗ РФ, 2001. №2 (95). С. 18-22.
. Постановление №1119 «О мерах по профилактике
заболеваний, связанных с дефицитом йода» // Собрание законодательства
Российской Федерации, 1999, №42, ст. 5037
. Кузнецов В. В, Липатов Н.Н. Справочник
технолога молочного производства. Технология и рецептуры. Т. 6. Технология
детских молочных продуктов. - СПб.: ГИОРД, 2005. - 512 с.: ил.
. ГОСТ Р 52189-2003 Мука пшеничная. Общие технические
условия
. Иванова Т.Н. Товароведение и экспертиза
зерномучных товаров. М.; Академия, 2004 стр. 89.