Инерциальная навигация мобильных роботов
РЕФЕРАТ
Объект исследования - инерциальная навигация
мобильных роботов.
Цель работы - Разработка подсистемы коррекции
ошибок положення объекта.
Разработка производилась на персональном
компьютере (тактовая частота процессора 2,3 ГГц, объем оперативной памяти - 3
Гб, жесткого диска - 320 Гб).
Результат работы - рассмотрено инерциальную
навигацию мобильных роботов и разработана подсистема коррекции ошибок положення
объекта.
Область использования - полученные результаты
навигационных задач могут выполняться на современных вычислительных машинах в
режиме реального времени, то есть могут быть использованы для создания
автономных мобильных систем в городских условиях.
РЕФЕРАТ
Об’єкт дослідження - інерціальна навігація
мобільних роботів.
Мета роботи - Розробка підсистеми корекціх
похибок положення об’єкта.
Розробка здійснювалась на персональному
комп’ютері (тактова частота процесора 2,3 ГГц, обсяг оперативної пам’яті - 3
Гб, жорсткого диска - 320 Гб).
Результат роботи - розглянуто інерціальну
навігацію мобільних роботів та розроблено підсистему корекції похибок положення
об’єкта.
Область використання - Отримані результати
навігаційних завдань можуть виконуватися на сучасних обчислювальних машинах в
режимі реального часу, тобто можуть бути використані для створення автономних
мобільних систем у міських умовах.
ABSTRACT
of study - inertial navigation of mobile
robots.- Development of a subsystem error correction of the object.was carried
out using personal computer (CPU clock speed of 2.3 GHz, RAM - 3 GB Hard Drive
- 320 GB).result - discussed the inertial navigation of mobile robots and
developed the subsystem error correction position of the object.of use - the
results are navigation tasks can be performed on modern computers in real time,
that can be used to build autonomous mobile systems in urban environments.
ПЕРЕЧЕНЬ УСЛОВНЫХ ОБОЗНАЧЕНИЙ, СИМВОЛОВ, ЕДИНИЦ
СОКРАЩЕНИЙ И ТЕРМИНОВ
- глобальная система позиционирования (Global
Positioning System);
ИМР - интеллектуальный мобильный робот;
ИНС - инерциальная навигационная система.
МР - мобильный робот;
МРИЧС - мобильный робот для использования в
чрезвычайных ситуациях;
ПК - персональный компьютер;
САПР - система автоматизированого
проектирования;
СП - сенсорная подсистема;
СУ - система управления;
ЧПУ - числовое программное управление.
ВВЕДЕНИЕ
За последние десятилетия мировая робототехника и
технологии, связанные с ними, развиваются стремительными темпами, приобретая
все большую возможность использования роботов в различных областях человеческой
деятельности. В первую очередь, это связано с постоянным совершенствованием
характеристик двигателей для роботов, источников энергии, вычислительных
средств бортовых систем и, главным образом, развития средств сенсорного
оснащения. Это позволяет не только улучшить управление движением робота
(например, повысить точность), но и создавать системы повышенного уровня
адаптивного управления, что открывает новые возможности для использования
роботов.
С другой стороны, в настоящее время в
большинстве случаев человек оказывается причиной дорожно-транспортного
происшествия. Поэтому современные автомобили оснащаются широким перечнем
электронных технологий, призванных помогать водителю, которые известны как
технологии автономного вождения и служат для того, чтобы свести к минимуму влияние
человеческого фактора ошибок, которые могут привести к дорожно-транспортному
происшествию.
Сейчас разработчики систем с использованием
искусственного интеллекта могут оснастить свои творения системой навигации GPS,
видеокамерами и множеством дополнительных детекторов, в результате чего
возможности современных роботов увеличиваются.
Навигация в робототехнике имеет ряд существенных
особенностей, не позволяющих использовать навигационное оборудование для иных
объектов (автомобилей, кораблей, самолетов и пр.) с достаточной эффективностью.
Поэтому каждый раз, обеспечивая навигационными возможностями мобильный робот,
приходится применять несколько различных навигационных средств, заново решая
задачи комплексирования и обработки информации, учета особенностей кинематики и
динамики объекта и т.д.
Таким образом, необходимо создание сложного
универсального навигационного комплекса, готового к применению на мобильных
роботах любых размеров, комплектации и назначения[1].
Люди давно осознали значение навигационных средств
и не случайно искусственный навигационный ориентир - Александрийский маяк
считался одним из семи чудес света.
Первым применением инерциальных методов в
навигации можно считать появление корабельных гирокомпасов в начале этого века.
Одновременно с работой над компасами возникла идея создания систем инерциальной
навигации, в которых текущее местоположение движущегося объекта определяется
интегрированием измеряемых на борту ускорений. Замечательное свойство - полная
автономность систем инерциальной навигации - аналогично свойству часов измерять
время вне зависимости от контактов с внешним миром.
Целью данной бакалаврской работы является
определение задач и разработка подсистемы коррекции ошибок положения объекта. Для
успешной навигации в пространстве система робота должна уметь строить маршрут,
управлять параметрами движения (задавать угол поворота колес и скорость их
вращения), правильно интерпретировать сведения об окружающем мире, получаемые
от датчиков, и постоянно отслеживать собственные координаты. Компьютерные
системы построения маршрута разработаны достаточно хорошо. Первоначально они
создавались для простейших виртуальных сред, и программа, моделирующая действия
робота, быстро находила оптимальный путь к цели в двумерных лабиринтах и
комнатах, наполненных простыми препятствиями. Когда появились быстрые
процессоры, стало возможным формировать траекторию движения уже на сложных
трехмерных картах, причем в реальном времени [2].
датчиковый гироскоп демпфер навигация
1. АНАЛИЗ ПРЕДМЕТНОЙ ОБЛАСТИ
1.1 Анализ
технического задания
В техническом задании на бакалаврскую работу
поставлена задача разработки подсистемы коррекции положения объекта в
инерциальной навигации мобильного робота.
Мобильные робототехнические системы применяются
сегодня в самых разных отраслях корпоративные заказчики интересуются
многофункциональными промышленными роботами, массовый покупатель активно
приобретает интеллектуальные пылесосы и роботы-собачки, службы безопасности и
спасения рассчитывают на автономные устройства, способные без устали выполнять
задачи слежения и поиска. При этом все подобные устройства в идеале должны
уверенно перемещаться в незнакомой и непредсказуемой обстановке реального мира.
Пока основной проблемой всех ныне существующих
мобильных аппаратов, перемещающихся самостоятельно, без управления со стороны
человека, остается навигация. Для успешной навигации в пространстве бортовая
система робота должна уметь строить маршрут, управлять параметрами движения
(задавать угол поворота колес и скорость их вращения), правильно
интерпретировать сведения об окружающем мире, получаемые от датчиков, и
постоянно отслеживать собственные координаты.
Для реализации поставленной задачи необходимо:
а) провести анализ различных видов навигации;
б) составить карту местности;
в) произвести коррекцию траектории движения
робота;
г) спланировать оптимальный маршрут движения,
ведущего к цели;
д) реализовать управление локальными
перемещениями по выработанному маршруту;
е) реализовать обход дополнительно выявляемых в
ходе движения препятствий и опасных мест.
В качестве примера рассмотрим робота для
использования в чрезвычайных ситуациях (МРИЧС).
Назначение робота - инспекция территорий,
зараженных химическими веществами или находящихся под угрозой заражения, работа
в условиях сильной задымленности во время тушения пожара, самостоятельное
патрулирование назначенных территорий, взятие проб, передача телеметрической и
визуальной информации о состоянии объекта.
Система управления робота и программное
обеспечение имеют модульную структуру, допускают модернизацию и расширение в
части доработок, обеспечение помехоустойчивости, тестирования повышения
надежности, самодиагностики, а также выполнения дополнительных функций и
улучшения других тактико-технических характеристик.
Управление роботом осуществляется автономной СУ
(бортовым компьютером) или по радио с помощью телерадиомодуля или по кабелю. СУ
объединена с подсистемами датчиков, управления и связи [3].
1.2 Анализ
проектирования системы инерциальной навигации
Робототехника - область науки и техники,
ориентированная на создание роботов и робототехнических систем, предназначенных
для автоматизации сложных технологических процессов и операций, в том числе,
выполняемых в неопределённых условиях, для замены человека при выполнении
тяжелых, утомительных и опасных работ.
Далеко не всегда условия окружающей среды
позволяют человеку выполнять то или иное действие непосредственно. Это может
быть работа со взрывоопасными материалами, отравляющими веществами,
пожаротушение и многие другие задачи. В таких ситуациях на помощь человеку
приходят мобильные роботы для использования в чрезвычайных ситуациях.
МР имеет ряд сенсоров для восприятия окружающей
его среды, ряд исполнительных устройств (эффекторов) для воздействия на среду и
систему управления, которая позволяет роботу совершать целенаправленные и
полезные действия рисунок 1.1.
Рисунок 1.1 - Базовые элементы всех
роботизированных систем
МРИЧС использует дистанционные датчики, датчики
температуры, датчики химических веществ, датчики радиации и др. для восприятия
окружающей его среды, а также двигательные устройства в качестве эффекторов для
воздействия на среду рисунок 1.2.
Рисунок 1.2 - Замкнутая кольцевая система во
взаимодействии с окружающей средой
В замкнутой кольцевой системе сенсоры возбуждают
систему управления, в зависимости от изменений в окружающей среде рисунок 1.2.
В другом случае действует так называемая обратная связь. Если система
управления определяет действие, которое изменяет среду, сенсоры подтверждают
данное изменение, отправляя информацию о новом состоянии окружающей среды в
систему управления [4].
Применение МРИЧС позволяет исключить угрозу
здоровью и жизни человека-оператора. Таким образом, актуальной является проблема
создания мобильных роботов, обладающих способностями к самостоятельному
передвижению и автоматическому выполнению поставленных задач. Важную роль при
этом играет создание системы навигации, позволяющей составлять карту среды, в
которой функционирует МР, планировать маршрут, ведущий к цели и обход
препятствий, встречающихся на пути.
В настоящее время в большинстве случаев
управление роботом осуществляет человек-оператор на уровне движений, при этом
от человека требуется непрерывное наблюдение за роботом и оперативное
управление его действиями. Такой подход определяется неспособностью робота
принимать самостоятельные решения и имеет ряд недостатков. К ним можно отнести
необходимость организации и постоянной поддержки канала связи с
человеком-оператором (кабельная связь или радиосвязь), что существенно
ограничивает область применения робота [5].
При выполнении технологических операций
оператор, получая от системы технического зрения информацию об объекте и
процессе выполняемых работ, непрерывно осуществляет ручное управление
исполнительными механизмами манипулятора и транспортного средства. Сложный
процесс управления в сочетании с характером выполняемых работ, требующих
повышенного внимания и осторожности, приводит к быстрой утомляемости оператора
и, как следствие, увеличению вероятности ошибочных действий. Кроме того,
человек не всегда может правильно оценить обстановку по данным телеметрии и
осуществить адекватное управление. Указанных недостатков можно избежать, если
управление со стороны человека-оператора будет проводиться не на уровне задания
отдельных движений, а на уровне постановки цели. В этом случае робот должен
самостоятельно (или при минимальном участии человека) выполнять поставленные
задачи [6].
Лет десять тому назад казалось, что решить
вопросы навигации роботов будет несложно. Представлялось, что достаточно
распознать изображение, опознать заданные объекты, измерить до них расстояние -
и задача решена.
Первые системы обеспечения навигации роботов
создавались на основе сканирующих датчиков, в том числе телевидения,
локационных и стереодальномеров. Специальная вычислительная схема робота в
конечном итоге сводила электрические сигналы к аналогам различных препятствий и
делала вывод о целесообразности того или иного движения. Стандартными признаками
препятствий, воспринимаемых роботом, стали стена, навес, яма - обрыв, наклон,
опасность для дальномера и другие упрощенные или укрупненные детали сцены.
Обычно задачу технического зрения робота при навигации разбивают на три уровня,
соответствующих дальней, средней и ближней навигации.
Система дальней навигации предназначена для
планирования основного маршрута движения робота. Главной функцией машинного
зрения при этом является распознавание ориентиров. Оптико-электронная схема,
обеспечивающая решение данной задачи, состоит из объектива с переменным
фокусным расстоянием (трансфокатора), электронного блока, управляющего камерой,
механизма, реализующего наклон или поворот камеры, а также системы
распознавания ориентира. Входные сигналы определяются грубой картой видимости,
визуальными моделями ориентиров, картой местности и описанием задачи.
Представления о внешней среде базируются на карте областей видимости
(проходимости робота), местоположении робота, последовательности расположения
областей, через которые проходит маршрут движения.
Система промежуточной (средней) навигации
содержит карту, которая является подмножеством карты системы дальней навигации
с более подробным содержанием. Задача навигации состоит в обеспечении движения
в пределах однородной видимости, т. е. робот проходит коридоры свободного
пространства (прямой полосы местности, где не требуется маневрирования).
Система промежуточной навигации предполагает чередование таких коридоров и их
последовательную корректировку путем увеличения ширины и разбиения маршрута на
более мелкие участки. Входные сигналы этой системы основаны на карте дальней
навигации, моделях известных препятствий и явных ориентиров местности,
маршруте, спланированном на базе системы дальней навигации. Система
промежуточной навигации обеспечивает общий анализ изображений для последующей
сегментации и распознавания, качественное определение расстояний, накопление
ориентиров и планирование маршрута. Представление о внешнем мире даст карта
коридоров свободного пространства, на которой отмечены основные характерные
признаки препятствий и местности.
Система ближней навигации предназначена для
непосредственного измерения расстояний в сочетании с многоаспектным
определением подпространства промежуточной безопасной зоны, в пределах которой
перемещается робот, а также анализа структуры местности. Входными данными
служат информация, поступающая от модулей счисления пройденного пути и курса,
сведения о свободном пространстве. Система должна измерять расстояния,
оценивать структуру местности, определять безопасный обход препятствий и
планировать прохождение по определенным трассам. Отдельной задачей
системы ближней навигации является следование по дорогам. В ее состав входят
планирование последовательности ощущаемых изменений дороги, преодоление пересеченных
и искривленных участков, крутых спусков и подъемов дороги, а также, обеспечение
навигации при наличии другого робота. Таким образом, эта задача, являясь
частной для всей навигации робота, была связана с первыми этапами разработки
навигационных систем роботов.

Основной процесс управления при навигации робота
состоит в передаче задач от уровней с большей степенью абстракции к уровням с
меньшей ее степенью, а информация о состоянии робота проходит в обратном
направлении. При этом каждый уровень навигации хранит карту своей рабочей зоны
робота и имеет специальные видеодатчики с соответствующими визуальными
возможностями [7].
1.3 Гонка «Крепкий
орешек»
В феврале 2003 г. DAPRA объявила о проведение 13
марта 2004 г. гонки автомобилей - роботов «Крепкий орешек». Без вмешательства
человека машины должны были преодолеть 320 км по незнакомой пересеченной
местности не более чем за 10 часов. Ни один созданный к тому времени робот не
смог бы справиться с заданием.
Правилами этой гонки, роботы должны быть
полностью автономными. В ходе заезда они не могут получать от человека никаких
сигналов(кроме команды аварийной остановки). Машины должны оставаться в
пределах отведенной полосы движения. Ни один робот не имеет права умышленно
создавать препятствие своим соперникам. Гонка проводится с раздельным стартом,
порядок которого определяется в квалификации заездах. Если в 2004 г. ни одна
машина не выполнит условий, гонка будет повторяться ежегодно, пока не будет
выявлен победитель или не закончится финансирование.
За два часа до начала гонки представители DAPRA
выдают каждой команде компакт-диск с записью последовательности GPS-координат
контрольных точек, расстояние между которыми составляет от 45 до 300 м. Ширина
полосы движения между контрольными точками непостоянна: на некоторых участках
машины должны оставаться в пределах узкого трехметрового коридора. Общая длина
трассы может составлять от 240 до 336 км рисунок 1.4
Рисунок 1.4 - Возможные маршруты гонки «Крепкий
орешек»
.4 Автомобиль -
робот SANDSTORM
Одна из команд подготовила 58-страничное
техническое описание своего робота SANDSTOR.
Важнее всего предоставить роботу предельно
подробную и точную навигационную карту.
Но поскольку истинный маршрут станет известен
только за два часа до старта, ребята провели тысячи часов, собирая и комбинирую
карты, модели и аэрофотографии всей потенциальной области гонки.
Компьютерная программа использовала накопленные
сведения для расчета сложности преодоления каждого квадратного метра
поверхности. Некоторые участки, на пример обрывы и границы коридора, были
отмечены как непреодолимым для робота. Равным участком, в частности ложам
высохших озер, приписали нулевую степень сложности. В день гонки данные о
фактической трассе были переданы по высокоскоростной линии связи центру
управления «Красной команды», где армия компьютеров рассчитала оптимальный
маршрут, опираясь на предварительные оценки сложности рельефа. Затем ребята
разделили трассу на участки и отладили компьютерный план таким образом, чтобы
исключить ошибки, из-за которых робот может пойти по опасному пути.
Окончательные указания по навигации были переделаны роботу перед самым началом
гонки.
Перед началом гонки «Красная команда»
рассчитывает наилучший маршрут и передает роботу подробные указание (в форме
географических координат каждого метра пути). В соответствии с ними робот
движется от старта до финиша, обходя неожиданные препятствия (например,
остановившиеся машины). Чтобы успешно преодолеть трассу, нужно уметь решать
четыре сложных задачи:
а) Определение местоположения;
б) Обнаружение препятствий;
в) Коррекция маршрута;
г) Стойкость к пыли и ударам;
Навигационный компьютер Applanix получает данные
от двух GPS-приемников, трех оптоволоконных гироскопов, трех кремневых
акселерометров и сверхточного одометра.
По этим данным он определяет свое местоположение
с точностью до 50 см и ориентацию с точностью до 0.4 .
Для обнаружения препятствий Sandstorm использует
четыре вида датчиков. Лазер дальней зоны 50 раз в секунду регистрирует профиль
местности, и на основе ряда последовательных профилей компьютер строит
трехмерную модель рельефа. Лазеры ближней зоны ведут наблюдение во все стороны
от робота. Стереокамера посылает видеосигнал на специальный компьютер, который
по полученным изображениям рассчитывает наклон и степень неровностей местности.
Вращающаяся антенна радара позволяет обнаруживать препятствие даже тогда, когда
пыль или прямой свет ослепляют другие датчики.
Даже самые лучшие карты быстро устаревают,
поэтому на борту робота имеются три компьютера на процессорах Xeon,
использующие информацию от всех датчиков для обновления данных о степени
сложности каждого квадратного метра местности. Дорогам с твердым покрытием
прописывается нулевая степень сложности, а обрывам и роботам - соперникам -
бесконечная большая. Несколько раз в секунду процессоры Itanium 2 проверяют, не
проходит ли намеченный маршрут через участки повышенной сложности. При
необходимости программа - планировщик рассчитывает другие возможные пути и
переносит точки привязки на кратчайший из них. Команда оснастила робота
гоночными рессорами, амортизаторами и защитными ограждениями радиатора, а также
понизила давление в шинах. Для защиты компьютеров электронный блок подвешен на
пружинных треножниках с амортизаторами и закреплен сверхпрочными упругими
стропами. Двенадцать упрочненных жестких дисков блока объединены в избыточные
пары [8]. Когда Sandstorm будет трястись со скоростью 48 км/ч по «стиральной
доске» из грязи, смотрящие вперед датчики смогут сохранять устойчивое
положение. Поэтому инженеры «Красной команды» сконструировали и построили
карданный подвес с компьютерным управлением (вверху), который обеспечивает
фокусировку и стабилизацию видеокамеры и лазера дальней зоны.
Для измерения и компенсации крена, тангажа и
рыскания машины предусмотрены три оптоволоконных гироскопа и три прецизионных
привода.
Радар подобным же образом закреплен болтами на
одноосном карданном подвесе рисунок 1.12.
Рисунок 1.5 - Общий вид робота SANDSTORM: 1.
Скребок с пневмоприводом; 2. Вращающаяся антенна радара; 3. Сканирующий лазер
ближней зоны; 4. Сканирующий лазер дальней зоны; 5. Стереокамера; 6.
Специальный видеопроцессор; 7. GPS -антенна 1; 8. GPS -антенна 2; 9. GPS
антенна 3; 10. Сканирующий лазер ближней зоны; 11. Винтовые пружины и
амортизаторы; 12. Компьютеры на парах процессоров Xeon 3 ГГц; 13. Навигационный
компьютер Applanix; 14. Компьютер на 4 процессорах Itanium 2; 15. Сверхточный
одометр; 16. 5-кВт дизель-генератор Mechron; 17. Электронный блок; 18.
Сверхмощный амортизатор; 19. Ограждение радиатора
Перед самым началом испытаний произошло короткое
замыкание в радиоприемнике экстренного торможения, с помощью которого
руководители гонки могут остановить любого взбесившегося робота. Робот прошел
всего 190 км из 240 км и направлялся к холмам, поэтому его пришлось остановить.
2. ВЫБОР И ОБОСНОВАНИЕ НАПРАВЛЕНИЯ РАЗРАБОТКИ
2.1 Обзор аналогичных
конструкций
Навигация мобильного робота охватывает большой
диапазон различных технологий и применений. Она опирается как на очень старые
технологии, так и на самые продвинутые достижения науки и техники [9]
Робототехники выделяют три навигационные
системы:
а) глобальная - определение абсолютных координат
устройства при движении по длинным маршрутам;
б) локальная - определение координат устройства
по отношению к некоторой (обычно стартовой) точке. Эта схема востребована
разработчиками тактических беспилотных самолетов и наземных роботов,
выполняющих миссии в пределах заранее известной области;
в) персональная - позиционирование роботом
частей своего тела и взаимодействие с близлежащими предметами, что актуально
для устройств, снабженных манипуляторами.
Считается, что чем крупнее аппарат, тем выше для
него важность глобальной навигации и ниже - персональной. У роботов-малышей все
наоборот.
Системы навигации классифицируются еще по одному
признаку - они могут быть пассивными и активными. Пассивная система навигации
подразумевает прием информации о собственных координатах и других
характеристиках своего движения от внешних источников, а активная рассчитана на
определение местоположения только своими силами. Как правило, все глобальные
схемы навигации пассивные, локальные бывают и теми и другими, а персональные
схемы - всегда активные.
Первые модели промышленных роботов с более или
менее автономной навигацией, созданные в 60-е годы, передвигались по маршруту,
жестко заданному с помощью электрических кабелей, проложенных под полом
заводских сооружений. На роботах устанавливались несложные устройства приема
электромагнитного излучения кабеля, позволявшие определять направление
перемещения. Аппараты могли двигаться по различным маршрутам благодаря тому,
что по нескольким кабелям передавался сигнал с разной частотой. Но такая схема
была дорогой и негибкой.
С появлением первых систем машинного зрения
удалось отказаться от кабелей и перейти к навигации по ярко нарисованным (или
флуоресцентным) линиям на полу. Робот с помощью камеры следил за такой линией и
самостоятельно двигался вдоль нее. Правда, линии часто стирались, нередко
загораживались другими аппаратами и людьми, а на перекрестках, где сходилось
несколько маршрутных линий, роботы обычно терялись и останавливались, не в
силах понять, куда же двигаться дальше.
Испытывались и другие похожие концепции. По
маршруту движения на определенной высоте размещались предметы-маркеры заданной
формы, которые робот с помощью простых датчиков "ощупывал", узнавая
тем самым свое местонахождение. Но такая схема навигации основана на
нежелательном физически активном контакте машины с окружающим миром, что может
привести к разрушительным последствиям. Кроме того, роботы не всегда могли
правильно идентифицировать маркеры, а расположение последних приходилось
выбирать очень точно.
Постепенно модели маркерной навигации были
оснащены более совершенными аналоговыми датчиками, научившимися измерять силу
реакции контакта и определять форму маркера, а сейчас в этих целях применяются
цифровые матричные датчики, способные получать от маркеров подробные данные об
окружающей среде.
Следующий способ навигации - это использование
лазерных дальномеров и ультразвуковых генераторов (сонаров). Однако лазерный
луч поможет получить образ среды только в зоне прямой видимости. Кроме того, на
пути луча часто возникают мелкие помехи, вносящие погрешность в такой образ. А
ультразвуковые датчики характеризуются большим временем отклика (если робот
находится на большом и открытом пространстве), порядка десятых долей секунды,
что не позволяет роботу перемещаться быстро. Скорость звука в разных условиях
также может "плавать", влияя на точность оценки расстояния, в
результате в "голове" робота искажается общая картина окружающей
среды. Создание трехмерных карт с помощью лазеров в масштабе реального времени
еще более затруднительно и, как минимум, требует существенных вычислительных
мощностей, которые пока не удается воплотить в виде компактных бортовых плат.
По этим причинам ценность информации, поступающей от бортовых датчиков,
невелика. Роботу необходимо перевести ее в формальное и структурированное
"словесное" описание мира (задача распознавания) [10].
Одним из способов организации движения робота в
заранее не определённой среде может быть использование алгоритмов системы
управления движением робота, снабжённого оптронной линейкой - датчиком слежения
за полосой, нанесённой на поверхность полигона. Был предложен метод организации
движения робота на оснащённом системой маяков полигоне, основанный на
построении виртуальной полосы, которая формируется в бортовом компьютере робота
с таким расчётом, чтобы она огибала включённые маяки и обеспечивала прохождение
заданной трассы. Автономное определение на борту робота его обобщённых
координат позволяет сформировать «виртуальную оптронную линейку», сигнал с
которой пропорционален отклонению робота от виртуальной полосы [11].
Сегодня, большинство роботов, ориентирующихся на
местности, полагаются на одометрию (odometry - измерение пройденного пути) как
на основу навигационной системы. Обычный одометрический измеритель включает в себя
оптические кодировщики, спаренные с вращающимися осями.
Вот некоторые вращательные сенсоры, измеряющие
перемещение и скорость используемые сегодня:
а) кодеры со щеточными контактами;
б) потенциометры;
в) оптические кодеры;
г) магнитные кодеры;
д) индуктивные кодеры;
е) емкостные кодеры.
Одноканальный тахометр - простейший вид кодера.
В основе механики - дискретный источник света,
пульсирующий определенное количество раз за один оборот вала. Увеличение
количества импульсов за оборот увеличивает разрешение кодера (и его стоимость).
Это устройство хорошо подходит как измеритель скорости с обратной связью в
средне и высокоскоростных системах управления. Но у них появляются проблемы с
помехами и стабильностью на малых скоростях из-за ошибок дискретизации. К этим
проблемам добавляется то, что одноканальный тахометр не способен определить
направление вращения и, как следствие, не может быть использован как
позиционирующий сенсор.
Одометрия дает хорошую кратковременную точность,
недорогая и обладает очень большой частотой дискретизации. Но начальная идея
одометрии - объединение увеличивающейся во времени двигательной информации,
которое неизбежно приводит к накоплению ошибок. На практике, накапливаемые
ошибки ориентации являются причиной большинства ошибок позиционирования,
количество которых увеличивается пропорционально пути, пройденному роботом.
Однако широко принято, что одометрия - очень важная часть навигационной системы
робота и задача навигации упростилась, если точность одометрии была бы
увеличена.
Ниже приведено несколько причин, по которым
одометрия используется в МР:
а) данные одометрии могут быть объединены
технологией абсолютного позиционирования (и другими технологиями) для получения
лучшей и более точной оценки положения;
б) одометрия может быть использована в абсолютно
позиционировании, улучшенном ориентирами (маяками) на местности.
Давая необходимую точность позиционирования,
повышая точность одометрии - это позволяет уменьшить частоту обновлений в
абсолютном позиционировании. Как следствие - для данного маршрута требуется
меньше маяков;
в) в некоторых ситуациях одометрия применима
только в качестве навигационного информатора.
Альтернативный метод одометрии - инерциальнная
навигация. Принцип работы включает непрерывное считывание даже малейшего ускорения
по каждой из трех осей направлений и перемещение во времени, чтобы вычислить и
положение. Платформа сенсора стабилизируется гироскопом, это необходимо для
сохранения строгой ориентации трех акселерометров на протяжении всего процесса.
Хотя концепция метода проста, специфика
реализации весьма требовательна. Главным образом это вызвано ошибками, причиной
которых является стабильность (ее отсутствие), для обеспечения которой, чтобы
гарантировать корректность вычисления положения, используются гироскопы. Одним
из преимуществ инерционной навигации является возможность обеспечивать быстрые,
динамические измерения.
Существует навигация по карте. Картографическое
позиционирование (также известное как «карто соответствующая» или "map
matching") - это технология, по которой робот использует сенсоры для
построения локальной карты местности. Эта локальная карта потом сравнивается с
глобальной, предварительно сохраненной в памяти. После нахождения совпадений
робот вычисляет свое текущее положение и ориентацию на местности.
Основные преимущества картографического
позиционирования приведены ниже:
а) она, используется на местности со структурой
типичной для помещения и получает информацию о положении в окружении, не
изменяя его;
б) она может быть использована для создания и
обновления карты местности. Карты местности играют большую роль в других
задачах МР, например при глобальном планировании пути;
в) она позволяет роботу изучить новую местность
и повышает точность позиционирования при ее (местности) исследовании.
Недостатки картографической навигации связаны со
следующими требованиями:
а) на местности должно быть достаточное
количество стационарных, хорошо различимых деталей, по которым будет
производиться сопоставление сенсоров должно быть ровно столько, сколько необходимо
(в зависимости от поставленной задачи);
б) должна быть доступна значительная
чувствительная и вычислительная мощность.
Один из самых энергоемких аспектов
картографической навигации - сопоставление карт. Сопоставление происходит при
первоначальном извлечении характерных признаков, далее определяется точное
соответствие между изображением и характеристиками модели. Работа по
сопоставлению карт в сфере машинного зрения чаще всего фокусируется на общей
проблеме сопоставления изображения, полученного из случайного положения и
ориентации, по отношению к модели.
Алгоритмы сравнения можно разделить на
алгоритмы, основанные на анализе изображения и основанные на анализе
характерных признаков. Первые отличаются от вторых тем, что, во-первых, по
карте сопоставить данные очень информативной точки на местности проще, чем
данные представляющие собой малый набор особенностей. Вычисления в алгоритмах
основанных на анализе характерных признаков быстрее, чем в алгоритмах
основанных на анализе изображения и не требуют хороших предварительных головных
вычислений. А вычисления в алгоритмах основанных на анализе изображения могут
выполняться на меньшем количестве точек, чем требуется для вычисления в
алгоритмах основанных на анализе характерных признаков, могут управляться не
идеальной моделью местности и являются более точными.
Как и в навигации по ориентирам, выгодно
использовать приблизительное вычисление положения, основанные на одометрии, для
создания примерной визуальной сцены (по имеющейся карте), которую будет «видеть»
робот. Далее, эта созданная сцена сравнивается с тем, что сейчас видит робот.
Эта процедура эффективно снижает время необходимое для нахождения соответствий.
В картографическом позиционировании выделяют два
общих способа представления карт: геометрическое и топологическое. На
геометрической карте объекты представляются в соответствии с их абсолютными
геометрическими отношениями. Это может быть сеточная карта или более
абстрактная линейная или полигональная карта. С другой стороны - топологический
подход, он больше базируется на протоколировании геометрических отношений между
отслеженными особенностями, чем на их абсолютное положение в координатах относительно
некоторой системы отсчета. В отличии от геометрических карт, топологические
карт могут строиться и поддерживаться без какой-либо положения робота. Как
результат, этот подход может использоваться для интеграции карт больших
территорий, так как все связи между узлами скорее относительные, чем абсолютные
[8].
2.2 Принцип построения
навигационных систем
Пусть Ox*y*z* - инерциальная система
координат МР, Oxyz - подвижная система координат МР, жестко связанная с
некоторым подвижным твердым телом рисунок 2.1. Ускорение материальной точки M
относительно системы Ox*y*z* называется абсолютным ускорением и обозначается 
.
В инерциальной системе координат для
любой материальной точки, обладающей массой m, справедлив второй закон Ньютона

(2.1)
здесь F - равнодействующая
приложенных к рассматриваемой точке сил. Согласно теореме кинематики,
Кориолиса, вектор абсолютного ускорения точки равен геометрической сумме трех
ускорений

(2.2)
где 
- относительное;

- переносное;

- кориолисово ускорения точки.
Относительным ускорением 
называется ускорение точки
относительно подвижной системы координат. Переносным ускорением 
относительно неподвижной системы
координат называется ускорение той точки подвижной системы координат, с которой
в данный момент совпадает рассматриваемая точка.
Кориолисово ускорение 
определяется как удвоенное
векторное произведение угловой скорости подвижной системы Ω на вектор
относительной скорости точки 

(2.3)
Направление вектора кориолисова
ускорения определяется правилом Н.Е. Жуковского: надо вектор относительной
скорости точки повернуть в плоскости, перпендикулярной вектору угловой скорости
Ω, на 90 по направлению вращения подвижной системы координат.
Рисунок 2.1 - Подвижная система
координат
Если подставить выражение для
абсолютного ускорения, в закон Ньютона, а затем перенести слагаемые с
переносным и кориолисовым ускорениями в правую часть, то получится
дифференциальное уравнение движения точки в неинерциальной системе координат
называются соответственно переносной и кориолисовой силами инерции.

(2.4)
в этом уравнении векторы

(2.5)

(2.6)
Таким образом, основной результат
динамики относительно движения материальной точки можно сформулировать
следующим образом.
Уравнения движения материальной
точки в неинерциальной системе координат можно записать в форме второго закона
Ньютона, если к действующим на точку ньютоновым силам добавить переносную и
кориолисовы силы инерции.
В случае, когда материальная точка
находится в равновесии в подвижной системе координат, ее координаты будут
постоянны, относительная скорость 
,относительное ускорение 
и кориолисово ускорение 
обращаются в нуль.
Следовательно из уравнения 2.4
получается следующее векторные уравнения равновесия материальной точки в
неинерциальной системе координат

(2.7)
уравнение 2.7 эквивалентно трем
скалярным уравнениям

(2.8)

(2.9)

(2.10)
Точность работы инерциальной системы
во многом определяется точностью измерения ускорения. Источники погрешностей
акселерометра связанны с неточностями измерения перемещения чувствительной
массы, неточным знанием жесткости пружины К, наличием сил сухого и вязкого
трения и т.д. Иногда для разгрузки подшипников подвеса маятника акселерометра
чувствительная масса помещается в жидкости с большим удельным весом так, что бы
ее вес уравновешивался гидростатическими силами. Благодаря этому на много
порядков снижается сухое трение в осях подвеса и увеличивается ударная и
вибрационная стойкость прибора. Известны конструкции акселерометра, в которых
чувствительная масса подвешивается в вакууме в электрическом или магнитном поле
неконтактного подвеса. Современные акселерометры позволяют с высокой точностью
(до 
g) измерять ускорение подвижных
объектов.
Суть метода определения
местоположения объекта с помощью двукратного интегрирования состоит в определении
координат объекта посредством расположенных на нем гироскопов, маятников
(акселерометров) и часов без использования во время движения сторонней
информации.
В настоящее время большинство
навигационных задач с очень высокой точностью (доли метра) решается с помощью
систем спутниковой навигации GPS (Global Position System) и ГЛОНАСС.
В настоящее время можно указать
следующих потенциальных потребителей и области применения микромеханических
инерциальных датчиков и систем:
автомобилестроение (активная подвеска,
автоматическое управление, навигация, системы безопасности, противоугонные
системы);
авиация (навигация и ориентация
малых, а также сверхмалых беспилотных летательных аппаратов);
морской и речной флот (навигация и
ориентация малых динамичных надводных и подводных аппаратов);
космос (системы навигации и
ориентации для космонавта в открытом космосе, малые спутники, создание и
управление больших космических конструкций);
нефте и продуктопроводы;
робототехника (датчики и системы
контроля кинематических параметров движения манипуляторов, управление
мобильными роботами и специальными микророботами);
спорт (контроль параметров движения
спортсмена, спортивные тренажеры);
медицина (контроль состояния
пациента по измерению параметров его движения), реабилитационные тренажеры,
активные протезы, система навигации и ориентации для слепых, управляемые
медицинские зонды, включая операции на человеческом мозге;
системы виртуальной реальности
(трехмерные компьютерные мыши, шлемы, перчатки с отображением силовых полей,
игровые системы, профессиональные тренажеры);
бытовая техника (датчики и системы
контроля бытовых приборов и их функциональные узлы, детские игрушки, бинокли).
3.
РАЗРАБОТКА ПОДСИСТЕМЫ КОРРЕКЦИИ ОШИБОК ПОЛОЖЕНИЯ ОБЪЕКТА
.1 Выбор и
описание гироскопического интегратора
Основное требование, предъявляемое к
гироскопическим интеграторам точность сохранения заданного положения платформы
относительно опорного трехгранника при действии на неё различных динамических
возмущений и ускорений со стороны объекта, на котором она установлена, линейных
и вибрационных перегрузок. Точностные характеристики - главные факторы,
определяющие эффективность выполнения задачи, поставленной перед системой
навигации.
Рассмотрим поплавковый
гироскопический интегратор. Принцип его действия заключается в следующем:
линейное ускорение воспринимается непосредственно чувствительным элементом -
поплавком, выполненным в виде пластины, погруженной в жидкость. Под действием
линейного ускорения пластина отклоняется от положения равновесия, преобразуя
тем самым величину линейного ускорения, а в пропорциональную ей величину угла
поворота j. При помощи
датчика перемещения значение j
преобразуется в электрический сигнал, который после усиления и выпрямления
подается на обмотки датчика момента, развивающего момент противодействия
линейному ускорению и стремящегося вернуть поплавок в положение равновесия.
Сила тока, протекающего по электрической цепи гироскопа, прямо пропорциональна
измеряемому ускорению и является выходным сигналом. Для успокоения колебаний
подвижной системы в приборах обычно применяются демпферы. В гироскопах данной
конструкции роль демпферов выполняют датчик момента и жидкость, которой
заполнена внутренняя полость прибора.
Кинематическая схема поплавкового
гироскопического интегратора представлена на рисунке 3.1.
Рисунок 3.1 - Кинематическая схема поплавкового
гироскопического интегратора: 1. Герметичный корпус; 2. Герметичный поплавок;
3. Ротор; 4. Жидкость; 5. Статор; 6. Ротор с осью поплавка; 7. Второй статор;
8. Ротор датчика момента
Плотность жидкости выбирается
такой, чтобы опоры поплавка были практически полностью разгружены от его веса.
Жидкость играет также роль демпфера. Ее высокий коэффициент вязкости и малый
зазор между корпусом прибора и поплавком обеспечивают весьма значительное
демпфирование колебаний поплавка вокруг оси Ох.
Поплавковый гироскопический интегратор является
прецизионным прибором. Основные достоинства двухстепенных поплавковых
гироскопических интеграторов состоят в высокой точности (собственный уход -
десятые и сотые доли градуса в 1 ч); малой подверженности вибрационным, ударным
и др. возмущающим воздействиям; возможности использования для решения широкого
класса задач, возлагаемых на гироскопические устройства.
3.2 Анализ ошибок
датчиковой системы
Любой из обычно встречающихся главных источников
ошибок можно отнести к одному из пяти перечисленных ниже основных классов:)
Ошибки конструкции. Эти ошибки связаны с реализацией системы в комплексе,
например ошибки выставки и юстировки элементов на платформе;
б) Ошибки элементов. Сюда относятся отклонения
реальных элементов от расчетного режима;
в) Ошибки алгоритма системы. Имеются в виду
любые приближения, принятые с целью упрощения системы при формировании ее
алгоритма;
г) Ошибки, связанные с подготовкой системы.
Например, ошибки, обусловленные неидеальностью средств, используемых при
выставке системы;
д) Ошибки, связанные с маневрами. Эти ошибки
связаны с изменениями в ускорении и по этому для объектов, движущихся в
крейсерском режиме, зависят в первую очередь от числа маневров и
продолжительности их во время полета. Ошибки конструкции. Чтобы облегчить
анализ ошибок этой категории, определим следующие оси:


- оси чувствительности
акселерометров, расположенных по осям x, y и z соответственно,

- входные оси гироскопов,
стабилизирующих оси x, y и z соответственно.
В идеальном случае оси 
и 
расположены вдоль оси x, оси 
и 
вдоль оси y, а ось 
- вдоль оси z. В действительности,
однако, из-за наличия установочных погрешностей, направления соответствующих
осей не совпадают.
Координаты платформы:

, 
, 
.
Ошибки реальных элементов системы.
Измерители расстояния (дважды интегрирующие акселерометры). В идеальном случае
измерители расстояния работают, как точные двойные интеграторы, однако на
практике имеют место связанные с ними погрешности. Так, обычно имеет место
ошибка в величине масштабного коэффициента k вследствие нелинейности, выходная
величина моментного датчика соответствует произведению (1 + k') на входную
величину, где k'<<1, и является функцией входного воздействия. На
практике величина k' предполагается постоянной, так что произведение k' на
входное воздействие есть погрешность за счет нелинейности моментного датчика.
Прибор имеет погрешность смещения (
) вследствие нестабильности
аппаратуры балансировки.
Гироскопы и стабилизированные
платформы. В рассматриваемом типе инерциальных систем для управления положением
платформы используются поплавковые гироскопы. Гироскопы и стабилизированная
платформа составляют единое целое, и погрешности их будут рассматриваться
совместно.
Имеется много причин, вызывающих
дрейф гироскопа относительно входной оси. Среди них следует упомянуть разбаланс
масс, конвекционные потоки в жидкости из-за градиента температуры, трение в
подшипниках, неравножесткость подшипников, нелинейность моментного датчика и
кинематический дрейф, вызванный вибрациями платформы. Вследствие различной
природы источников результирующая скорость дрейфа имеет составляющие:
постоянную, пропорциональную ускорению, пропорциональную квадрату ускорения и
случайную.
Источники ошибок, зависящие от
ускорения, такие, как разбаланс масс, конвекционные потоки, неравножесткость,
обычно рассматриваются отдельно. Отдельно рассматриваются также нелинейность
моментного датчика и кинематический дрейф.
Разбаланс масс гироскопа. Вследствие
ускорения, испытываемого гироскопом, создается момент, который может иметь
составляющую, действующую вокруг выходной оси. Тогда результирующая скорость
дрейфа определится выражением[13]:

(3.1)
Н - кинетический момент ротора
гироскопа;- ускорение;

- единичный вектор направления
выходной оси;

- вектор расстояния от центра
тяжести до точки приложения выталкивающей силы в жидкости;

(
A) - отклонение величины (
A) от ее значения в момент, когда
гироскоп был сбалансирован.
Если выходные оси горизонтальных
гироскопов вертикальны, то все вертикальные ускорения на эти гироскопы не
действуют.
Для азимутального гироскопа, однако,
вертикальные ускорения, отличающиеся от g, могут вносить некоторые ошибки.
Неравножесткостъ. Дрейф вследствие
неравножесткости возникает в том случае, когда центр тяжести поплавка смещается
перпендикулярно линии действия приложенного ускорения. Из-за этого будет
создаваться момент, имеющий составляющую вдоль выходной оси. Соотношение,
характеризующее этот дрейф, суть:

(3.2)
где
- смещение центра тяжести поплавка
Величина
пропорциональная
величинам М и A. В процессе выставки, когда g является полным ускорением,
очевидно, что дрейф вследствие неравножесткости равен нулю для всех трех
гироскопов. (Для горизонтальных гироскопов вектор g параллелен единичному
вектору 
, для зимутальных гироскопов
параллельно
g.)
Для горизонтальных гироскопов даже в
процессе движения лишь горизонтальные составляющие ускорения создают моменты
относительно выходной оси.
Можно показать, что эти скорости
дрейфа пропорциональны величине

где 
- горизонтальная составляющая
ускорения и 
- угол между направлением вектора 
горизонтального ускорения и осью x
платформы.
Скорость дрейфа вследствие
неравножесткости максимальна, когда 
нечетная величина, кратная 45°.
Скорость дрейфа азимутального
гироскопа пропорциональна величине:
(sin 2az)(sin 2ah) (3.3)
где 
- угол между вектором А и
горизонтальной плоскостью;

- угол между горизонтальной
составляющей 
вектора ускорения и выходной осью
азимутального гироскопа.
Вычислитель сигнала, подаваемого на
моментный датчик гироскопа.
Погрешности сигналов, подаваемых на
моментные датчики гироскопов, зависят от того, каким образом они формируются.
При анализе ошибок эти погрешности не отделяются от погрешности 
входного сигнала моментного датчика
гироскопа. Величина 
обозначает разность между
фактическим сигналом, подаваемым на моментный датчик гироскопа, и сигналом в
случае, если вычислитель работает идеально.
Ошибки алгоритмов и подготовки
системы. Основными ошибками этого класса, учитываемыми при анализе погрешностей
системы, являются те, которые связаны с определением сигналов, подаваемых на
моментные датчики гироскопов), и с измерением расстояния (вычислением
координат) объекта. Режимы работы системы определенным образом влияют на
погрешности системы и должны учитываться при анализе ее ошибок. Так, можно
указать на смещение нуля акселерометров и начальную ошибку горизонтирования
(наклон платформы). Если смещение нуля акселерометра точно не сбалансировано и
вместе с тем акселерометр используется для горизонтирования платформы, то
указанные две погрешности являются коррелированными и должны складываться
алгебраически.
Если же для выставки используются
некоторые внешние устройства (например, уровни, теодолиты и т. д.), то погрешность
смещения нуля акселерометра и начальная ошибка горизонтирования платформы
являются некоррелированными и должны суммироваться, как среднеквадратичные
отклонения (см. ниже о статистическом анализе погрешностей). Из этого примера
следует, что каждый определенный режим работы системы должен анализироваться
независимо с точки зрения корреляции погрешностей.
Круговая вероятная ошибка является
общепринятой статистической мерой, используемой при определении точности
системы.
Когда компоненты, соответствующие
ряду независимых источников погрешностей, суммируются, то кривая распределения
для суммарной погрешности очень близко приближается к хорошо известной кривой
нормального распределения. Даже всего лишь для трех источников погрешностей с
равномерным распределением результирующая суммарная ошибка отличается от кривой
нормального закона лишь на несколько процентов. Для инерциальной навигационной
системы, которая характеризуется большим числом малых независимых источников
погрешностей, суммарная погрешность подчиняется нормальному закону
распределения.
3.2 Расчет статических и динамических параметров
гироскопа
К основным статическим параметрам гироскопа
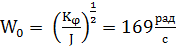
относится чувствительность - предел отношения приращения входной величины,
которая может быть обнаружена на выходе. Чувствительность напрямую связанна со
значениями чувствительности отдельных преобразовательных элементов, входящих в
состав гироскопа.
В разрабатываемом приборе общая чувствительность
будет равна:

(3.4)
где 
- общая крутизна характеристики
прибора;

- крутизна характеристики датчика
перемещения;

- крутизна характеристики
чувствительного элемента;

- коэффициент усиления усилителя.
Рассчитаем чувствительность
гироскопа для исходных данных:

(максимальный угол поворота
системы);

= 9.8 с/м2 (максимальное значение
измеряемой величины).
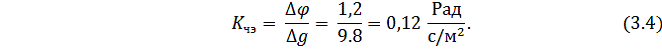
Найдем 
как отношение максимального угла
поворота подвижной системы Dj
к максимальному значению измеряемой физической величины Dg:
(3.5)
Зададимся значением коэффициента
усиления 
= 50 и найдем 
:
(3.6)
Расчет динамических параметров
прибора включает в себя определение частоты собственных колебаний подвижной
системы, степени успокоения и постоянной времени. Указанные параметры в общем
случае можно найти из уравнения движения подвижной системы:
*j² - Cj*j¢ + Kj*j = 0 (3.7)
где J - момент инерции подвижной
системы относительно оси вращения;
Сj
- удельный демпфирующий момент;
Кj
- угловая жесткость противодействующего элемента;
j
- угол поворота подвижной системы относительно оси вращения.
Найдем момент инерции подвижной
системы. Для этого разобьем подвижную систему на простейшие элементы, для
которых момент инерции найти гораздо проще. В данном случае подвижную систему
делим на цилиндр - ось подвижной системы, параллелепипед - инерционная масса,
пустотелые цилиндры - каркасы катушек датчиков момента и перемещения.
Воспользуемся теоремой Штейнера и
найдем общий момент инерции
(3.8)
Определяем угловую жесткость
противодействующего элемента 
:

= 
*
*
(3.9)

= 1*0,00051*50 = 0.0255 Н*м (3.10)
определяем частоту собственных не
демпфированных колебаний

(3.11)
Величину удельного демпфирующего
момента, предварительно задавшись значением степени успокоения x = 0,7, определяем следующим
образом

(3.12)
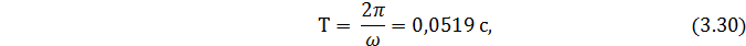
Определяем частоту собственных колебаний
подвижной системы прибора
(3.13)
определяем период собственных колебаний по
формуле
(3.14)
3.2.1 Расчет демпферов
Демпферы авиаприборов предназначены для создания
сил или моментов с целью успокоения (демпфирования) колебаний подвижной
системы. Эти моменты (силы) пропорциональны скорости движения подвижной системы
и вводятся в гироскоп с целью повышения его динамических характеристик, то есть
для получения меньшего времени ее успокоения, причем степень успокоения должна
оставаться постоянной, как при изменении внешних условий, так и при всех
возможных в процессе работы скоростях поворота подвижной системы.
Следовательно, при конструировании демпферов необходимо учесть все эти
требования.
Часто в конструкциях приборов демпфирование
подвижной системы осуществляют не одним, а несколькими типами демпферов, поэтому
общий демпфирующий момент подвижной системы будет находиться как сумма моментов
каждого демпфера.
В данном гироскопе применяются три вида
демпферов. Демпфирующий момент первого создается за счет вязкого трения
жидкости о поплавок в зазоре между поплавком и корпусом. Второй - два
гидравлических поршневых, которые осуществляют демпфирование за счет
поступательного перемещения элементов поплавка в замкнутом пространстве с
незначительными зазорами. Третий - 2 кольцевых катушечных демпфера, являющихся
составной частью датчика момента (силы). Подвижная система является поплавком,
погруженным в жидкость. При перемещении поплавка, жидкость создаёт
противодействующую силу.
Таким образом жидкость является
демпфером. Выведено, что коэффициент демпфирования в данном случае равен 5-10%
от 
С1 = 10%*
= 9.3*10-4 Н*с*м (3.15)
Для нахождения удельного
демпфирующего момента кольцевого катушечного демпфера нам дано:
R=7,2 мм, Rn=7,2 мм (геометрические
параметры датчика);
B=0,94 Тл (магнитная индукция в
зазоре);
rк=40 Ом (сопротивление катушки);

(3.16)
Таким образом, зная суммарный
удельный демпфирующий момент 
, равный 93*10-4 Н*с*м, находим С3.

= С1 + С2 + С3 (3.17)
С3=(93-9.3-54.83)*10-4=28.87*10-4 Н*с*м (3.18)
зная удельный демпфирующий момент С3,
создаваемый за счет вязкого трения жидкости о поплавок в зазоре между поплавком
и корпусом, найдем величину зазора.
(3.19)
рассчитаем степень успокоения
(3.20)
3.2.2 Расчет датчика
перемещения
Датчик перемещения - это элемент
информационно-измерительной цепи, осуществляющий преобразование линейных или
угловых перемещений в пропорциональные им электрические сигналы.
Индукция в рабочем пространстве датчика В = 0,15
Тл
Фр=BS (3.21)
где S - площадь зазора обмотки.
Для обмоток возбуждения
Фp = 0,15*5*10-6 = 0.75*10-6 Вб (3.22)
найдем проводимость в кольцевом зазоре и
проводимость утечки
(3.23)
(3.24)
определим значение магнитного потока и индукции
в магнитопроводе
(3.25)

(3.26)

(3.27)
Найдем требуемое число витков
обмотки возбуждения.
(3.28)
Найдем максимальное количество располагаемых
витков. Коэффициент заполнения примем равным 0,6. Диаметр провода обмотки с
изоляцией возьмем равным 0,07 мм
(3.29)
Как видно, требуемое число витков обмотки
катушки возбуждения не превышает максимального их количества. Найдем величину
тока в обмотке
(3.30)
В соответствии с допускаемой величиной плотности
тока проверим провод обмотки возбуждения на перегрев.
(3.31)
Допускаемое значение плотности тока, с учетом
того, что провод обмоток изготовлен из меди, а также того, что обмотки
погружены в непроводящую жидкость марки БЛП составит 80 - 100 А / мм².
Таким образом, найденное значение полностью удовлетворяет заданному условию.
3.2.3 Расчет опорной
подвижной системы
Опора представляет собой устройство,
обеспечивающее движение одной детали относительно другой по заданной траектории
с требуемой точностью. Она состоит из опорной части называемой цапфой и
охватывающей ее детали, называемой подшипником. Основным требованием,
предъявляемым к опорам авиационных приборов является момент трения, так как
высокий момент трения приводит к нечувствительности прибора или же в его
отказе, в том случае, когда момент трения превосходит движущие силы. Поэтому
при расчете чувствительных опор основным является нахождение момента трения.
(3.32)
где 
=3.14

- диаметр цапфы- радиальная
нагрузкажидкое трение
Зададимся исходными данными:
u = 0.004;

= 0.2 мм;
Учитывая, что подвижная система
находится в жидкости, Q находится как разность веса системы и архимедовой силы,
действующей на нее
=P-Fа (3.33)
а - архимедова сила
=m*g - V*ρ*g (3.34)
- V = 23.04*10-9 м3 (объем опоры);
- 
= 1920 кг/м3
Q =5*10-3-0.442368*10-3 = 4.557*10-3 H (3.35)
воспользуемся формулой 3.32 для нахождения
момента трения
(3.36)
4. ОХРАНА ТРУДА
4.1 Анализ условий
труда на рабочем месте
Размеры лабораторного помещения, в котором будет
разрабатываться система коррекции ошибок положения объекта, составляет
7х5,6х3м. Рабочее место состоит из стола, стула и персонального компьютера. В
помещении работает 4 человека. Площадь помещения составляет 39,2 м2, объём -
117,6 м3. Согласно ДСанПиН 3.3.2.007-98 площадь на одно рабочее место должна
составлять не менее 6 м2, а объем - 20 м3. Для данного помещения рабочая
площадь и объем на одного человека соответствует нормам, так как в нашем случае
площадь на одно рабочее место составляет 9,8 м2, а объем - 29,4 м3.
В качестве машины выступает персональный
компьютер, среда - лаборатория. Предмет труда - проектирование лабораторного
макета. Все элементы «Ч-М-С» влияют друг на друга, при этом некоторые связи
могут быть опасными и вредными. Выделяют три типа связей между элементами
«человек» и «машина»:
Ч1 - это человек, управляющий машиной, главным
образом для выполнения основной задачи системы - производства конечного
продукта;
Ч2 - это человек, как биологический объект,
влияет на производственную среду (энерговыделение от человека);
Ч3 - это человек, его психофизиологическое
состояние под воздействием производственных факторов (усталость, умственное
перенапряжение);
М1 - выполнение основной технологической функции
(ПЭВМ);
М2 - элемент функции аварийной защиты
(оборудование, которое предотвращает возникновение опасных факторов);
М3 - функционирование машины как источника
вредных воздействий на человека и среду (влияние, обусловленное вредными производственными
факторами).
Рисунок 4.1 - Структура системы «Ч-М-С» для
рабочего места
Таблица 4.1 - Характеристики связей в системе
«Ч-М-С»
|
Направление
связи
|
Описание
связи
|
|
Ч1-
М1
|
Включение,
обслуживание и работа с ПЭВМ, а так же с ее периферийными устройствами.
|
|
Ч2
- среда
|
Человек
воздействует на среду как биологический объект: выделение влаги, потребление
воздуха, изменение температуры в помещении, изменение влажности в помещении.
|
|
Ч3
- Ч1
|
Влияние
людей в группе друг на друга психофизическими факторами, такими как
настроение и т. д.
|
Среда
воздействует на человека физическими явлениями, такими как температура
воздуха, атмосферное давление, влажность воздуха и т. д.
|
|
М3
- среда
|
Влияние
машины на окружающую среду: выделение тепла, электромагнитного излучения.
|
|
М1
- Ч1
|
Влияние
вредных факторов и выделений от машины на психофизическое состояние человека.
|
|
Ч1
- М2
|
Влияние
человека на функциональность систем аварийной защиты в лаборатории.
|
|
М1
- М2
|
Информация
от машины, которая влияет на способность к реакции на аварийные ситуации
машины: повышенные ионизационные излучения, повышенные показатели
статического электричества в воздухе.
|
|
Ч3
- Ч2
|
Психофизические
явления, такие как: нервные перегрузки, усталость и т. д., которые влияют на
интенсивность обмена веществ в организме человека:
|
|
Среда
- М1
|
Воздействия
среды на выполнение машиной технологических операций: изменение температуры,
влажности, что может привести к загрязнению и запыленности контактов. А так
же изменение напряжения в сети.
|
|
М2
- М1
|
Управляющее
воздействие, которое подается на машину в случае аварийной ситуациию
|
|
|
|
Исходя из данной системы «Ч-М-С» можно
определить перечень потенциально опасный и вредных производственных факторов
помещения:
физические факторы: недостаточная освещенность
рабочей зоны, запыленность воздуха, повышенный уровень шума;
психофизиологические факторы: перенапряжение
зрительных анализаторов, умственное перенапряжение.
Химических и биологических опасных факторов в
помещении не наблюдается.
Из перечисленных выше факторов, был выбран
доминирующий фактор: недостаточная освещенность рабочей зоны.
4.2 Промышленная
безопасность в лаборатории
Питание компьютеров осуществляется от трехфазной
четырехпроводной электрической сети переменного тока с глухо-заземленной
нейтралью и напряжением 220 В, частотой 50 Гц.
Согласно НПАОП 40.1-1.21-98 помещение можно
отнести к категории без повышенной опасности, так как в помещении отсутствуют
факторы, которые вызывают повышенную или особую опасность.
Согласно требованиям НПАОП 0.00-4.12-05 провели
вводный, первичный на рабочем месте, повторный, целевой и внеплановый
инструктажи. Содержание инструктажа соответствует требованиям НПАОП
0.00-4.12-05. Инструктаж был зафиксирован в соответствующих журналах с подписями
инструктируемых и инструктора.
Для создания безопасных условий труда необходимо
провести ряд организационных и технических мероприятий. Согласно НПАОП
40.1-1.32-01 для предотвращения поражения человека электрическим током в
помещении применяется система зануления.
4.3 Производственная
санитария в лаборатории
Работа в лаборатории производится сидя и не
требует физического напряжения. Поэтому она относится к категории Іа (легкие
физические работы, энергозатраты до 120 ккал/ч).
Оптимальные нормы температуры, относительной
влажности и скорости движения воздуха в рабочей зоне производственных помещений
для категории работ Iа следующие в соответствии с ДСН 3.3.6.042-99:
в холодный период: температура 22-24°С,
относительная влажность 40-60 %, скорость движения воздуха
меньше или равна 0,1 м/с;
в теплый период: температура 23-25°С,
относительная влажность 40-60 %, скорость движения меньше или
равна 0,1 м/с.
Для создания благоприятных условий труда, то
есть снижения психофизиологических факторов, немаловажное значение играет
планировка рабочего места, которая удовлетворяет требованиям удобства при
работе, экономии энергии и времени работников. При планировании рабочего места
рекомендуется учитывать зоны досягаемости рук оператора при конкретном
расположении дисплея и клавиатуры. Для обеспечения оптимальных условий работы
зрительных анализаторов необходима определенная цветовая отделка помещения.
Помещения, имеющие вычислительную технику, окрашиваются в соответствии с цветом
технических средств. Выбор цвета определяется рядом факторов, в том числе
конструкцией здания, характером выполняемой работы, освещенностью, количеством
работающих.
При проектировании искусственного освещения в
помещениях, необходимо руководствоваться требованиями ДБН В.2.5-28-2006.
Согласно тому, что в нашем помещении характеристика работы зрения можно отнести
к высокой точности, третьего разряда, контраст объекта с фоном средний, а
характеристика фона тоже средняя, то общая освещенность не должна превышать 200
лк.
В случае превышения уровня звукового давления в
помещении, сравнительно нормам ДСН 3.3.6.037-99, принимаются меры для улучшения
шумового режима: экранирования, облицовку стен и стен с звукопоглощающим
материалом. Санитарные нормы распространяются на шум, инфразвук и ультразвук. Эти
нормы отвечают за классификацию производственных акустических колебаний, методы
гигиенической оценки производственного шума, требования к измерениям на рабочих
местах, а также параметры, которые нормируются и их допустимые величины. Расчет
искусственного освещения. Цель проверочного расчета - определение фактической
освещенности в помещении. Основная расчетная формула метода коэффициента
использования светового потока.
- фактическая освещенность, лк;-
площадь освещаемого помещения;- коэффициент неравномерности освещенности, z =
1,1;
- коэффициент запаса, учитывающий
запыление светильников и износ источников запаса света в процессе эксплуатации.
Для помещения дисплейного зала, освещаемого люминесцентными лампами и при
условии чистки светильников не реже двух раз в год,
= 1,4 -
1,5;- число светильников в ряду;
- коэффициент использования
светового потока ламп;
- коэффициент затенения,
= 0,8;
n - число рядов;
Вариант 2:
= 1750;
= 4;
= 3;
= 0,57;= 3.
Для начала определим показатель
:
=
=
Затем определим показатель
:
Получаем, что
= 444.5
>
= 400
Уровень освещения помещения
соответствует нормам.
4.4 Пожарная
безопасность лаборатории
Согласно нормам НАПБ Б.03.002-2007 по степени
пожаровзрывоопасности данное производство относится к категории Б, т. к.
помещение может иметь горючую пыль и волокна, а так же помещение не относится к
категориям А или В. Согласно ДБН В.1.1.7-2002 здание относится к І-ой степени
огнестойкости. Согласно НПАОП 40.1-1.01-97 помещение по пожароопасности
относится к классу П-IIа.
Причиной пожара в помещении могут быть короткое
замыкание электропроводки, неисправность электрооборудования, нагревание
проводников, курение в непредназначенных для этого местах, нарушение правил
пожарной безопасности, а также повышенная температура внутри помещения.
Для предупреждения пожаров предлагается проводить
обязательный инструктаж по пожарной безопасности, следить за доступностью и
сроком годности средств пожаротушения, исполнять установленный режим
эксплуатации электрических сетей и оборудования, не курить в помещениях. Нами
предлагается разместить в рабочем помещении 3 ручных порошковых огнетушителя
типа ВВК - 1,4, т. к. данный вид огнетушителей является универсальным, и
используется для тушения практически всех видов пожаров: для тушения пожаров
класса А - горение твердых веществ; класса В - горение жидких веществ, как
растворимых в воде, так и нерастворимых; класса С - газообразных веществ, чаще
всего, бытового газа. С расчета один огнетушитель на 3 ПК, но в одном помещении
их должно быть не менее двух (НАПБ Б.03.001-2004).
Около выхода из комнаты расположен план
эвакуации на случай экстренной ситуации.
ВЫВОДЫ
Разработка интеллектуальных мобильных роботов
(ИМР) для различных производственных и исследовательских целей является весьма
важной и актуальной задачей.
В настоящее время выполнено огромное число
исследований, связанных с разработкой алгоритмов управления, обеспечивающих
решение с помощью мобильных роботов таких нетривиальных операций, как:
составление карты местности, её уточнение, планирование траекторий, обход
препятствий, выявляемых при движении, проникновение в труднодоступные зоны и
т.д.
По причине возрастающих с каждым годом
требований к автономности мобильных робототехнических средств существует
необходимость создания сложного навигационного комплекса для наземных мобильных
роботов, позволяющего расширить их функциональные возможности по ориентации на
местности, составлению карт, проходу по безопасным маршрутам и т.п. В данной
работе техническое задание было изучено и полностью решено.
Дальнейшие исследования новых типов мобильных
роботов стимулируется многочисленными приложениями в самых различных областях
человеческой деятельности (автоматизация управления движением транспортных
средств, борьба с терроризмом и разминирование подозрительных предметов, работа
в условиях сильной задымленности во время пожаротушение, инспекция территорий,
зараженных химическими веществами, самостоятельное патрулирование назначенных
территорий и др.).
Для эффективного функционирования
интеллектуальные роботы снабжены системой восприятия внешней среды, средствами анализа
ситуаций и принятия решений и осуществляют планирование движения (в том числе и
построение трассы). Алгоритм навигации и управления могут быть применены при
создании систем управления современных мобильных робототехнических систем,
оснащенных различными типами датчиков для облегчения работы оператора.
Полученные решение навигационных задач могут выполнятся на современных
вычислительных машинах в режиме реального времени, то есть могут быть
использованы для создания автономных мобильных систем в городских условиях.
Теория систем инерциальной навигации, идеи
которой начали зарождаться еще в начале нашего века, в настоящие время является
вполне завершенным разделом мехатроники. Однако последние достижение как в
области теоретической механики, электроники, информатики, так и при создании
новых типов микромеханических гироскопов позволяют ожидать появление новых
подходов к решению рассмотренных задач.
Ошибки, которые встречаются в инерциальной
навигации могу возникнуть через ошибки в конструкции; ошибки элементов; ошибки
алгоритма системы; ошибки, связанные с подготовкой системы; ошибки, связанные с
маневрами.
Основные достоинства двухстепенных поплавковых
гироскопических интеграторов состоят в высокой точности (собственный уход -
десятые и сотые доли градуса в 1 ч); малой подверженности вибрационным, ударным
и др. возмущающим воздействиям; возможности использования для решения широкого
класса задач, возлагаемых на гироскопические устройства.
ПЕРЕЧЕНЬ ССЫЛОК
1.
Гейтс, Б. Механическое будущее [Текст] / Б. Гейтс // Журн. «В мире науки». -
2007. - №7. - С. 37-43
.
Бобровский, С.Н. Навигация мобильных роботов [Текст] / С.Н. Гончаров// Журн. PC
Week. - 2004. - №9. - С. 60-63
.
Управление роботами. Состояние и перспективы [Текст] : материалы ХХ общ.
собрания академии навигации и управления движением, 26 октября 2005 г.
С.-Петербург / редкол : П.К.Плотников (отв. ред.). - С.-Петербург:
Электроприбор, 2008. - 20 с.
.
Палагин В.А. Техническое задание на перспективную разработку мобильного робота
для использования в чрезвычайных ситуациях [Текст] / Разработка СКБ
«Робототехника и мехаторника» ХНУРЕ - Харьков, 2008. - 18 с.
.
Баранов, Д.Н. Разработка интеллектуальной системы управления мобильными
роботами на основе следящей системы технического зрения и нечеткой логики
[Текст] : автореф. дис. кандидата техн. наук: 12.06.08 / Д.Н. Баранов; [Ун-т
«СТАНКИН»]. - М., 2008. - 222с.
.
Однородные управляющие структуры адаптивных роботов [Текст] : А.В. Каляев, Ю.В.
Чернухин и др.; гл. ред. физ.-мат. лит. - М.: Наука, 1990. - 152 с.
.
Управление роботами от ЭВМ [Текст] : учеб. / Е. И. Юревич, С.И. Новаченко, В.А.
Павлов и др.; под. ред. Е. И. Юревича - Л. : Энергия, 1980. - 264с.