Разработка проекта цеха по производству сыров Литовский и Прибалтийский
Введение
сыр
микробиологический цех
В организации правильного питания одна из первостепенных
ролей отводится молочным продуктам. Это в полной мере относится и к сыру,
питательная ценность которого обусловлена высокой концентрацией в нем молочного
белка и жира, наличием незаменимых аминокислот, солей кальция и фосфора, так
необходимых для нормального развития организма человека.
В зависимости от вида сыра в нем может
содержаться до 30% белков. Наиболее богаты белками твердые прессуемые сыры.
Белки сыра включают весь комплекс аминокислот, необходимых человеку, в том
числе незаменимые (триптофан, фенил-аланин, изолейцин, лейцин, лизин, метионин,
треонин, валин), которые не синтезируются в организме человека, а поступают с
пищей.
Вырабатывают сыры как натуральные, так и
плавленые, с различным содержанием жира в сухом веществе (20, 30, 40, 45, 50,
55%) и нежирные. В некоторых сырах молочный жир частично заменяют растительными
жирами.
Высокая пищевая ценность сыра может быть
реализована только в том случае, если продукт будет обладать не только
стабильными показателями, но и гарантированной гигиенической безопасностью, в
частности микробиологической.
Согласно новому «Бизнес-плану производства сыра (с финансовой
моделью)», разработанному специалистами Intesco Research Group, в 2009 году
объемы российского производства этого вида молочной продукции практически
достигли докризисного показателя, который составлял 436,6 тыс. тонн. Однако в
2010 году объем производства сыра сократился на 0,7%. Об этом сообщает
«Восток-Медиа» со ссылкой на РБК.
Ведущие позиции на рынке производителей твердых сыров
занимают ТНВ «Сыр Стародубский» (Брянская область) и ОАО «Можгасыр» (Удмуртская
Республика). За этими игроками рынка следует ОАО «Сыркомбинат «Калининский»
(Краснодарский край).
Согласно данным таможенной статистики, основной
страной-импортером является Норвегия. Далее следует Литва и Германия, среди
прочих стран: Финляндия, Польша, Нидерланды, Аргентина, Франция, Дания и т.д.
Основной объем экспорта сыров в денежном выражении приходится на Казахстан и
Украину. Доля остальных стран-экспортеров, среди которых Азербайджан, Киргизия,
Узбекистан и другие не превышает 10%.
Несмотря на значительное количество разновидностей сыра на
российском рынке, нельзя сказать, что на нем присутствуют какие-либо брэнды:
практически все виды сыров - это, скорее, сорта и разновидности, а не марки.
Попытки отечественных производителей создать брэнды сыров единичны.
В нашей стране сложился вполне определенный стереотип
потребления сыра, отличающийся от европейских традиций. Прежде всего, сыр - не
самостоятельное блюдо, а, скорее, некий сопутствующий продукт: составляющая
часть бутербродов, компонент ряда салатов, соусов и так далее.
Сам кризис не сильно повлиял на рынок сыров. Покупатели со
средним и выше среднего уровнем дохода, которые покупали сыры по 400 - 800
рублей за кг и выше, не перестали совсем потреблять сыры и вряд ли могли
перейти на более дешевые (отечественные и импортные) сыры. А люди, которые
покупали российские сыры, костромские, сыры эдам, гауда, стали меньше покупать
сыров в принципе, но цены на них не очень изменились. Группа покупателей,
которая покупает сыр редко, чтобы побаловать себя, отказалась от сыра в пользу
чего-то более повседневного. А дорогие молочные продукты - биойогурты, питьевые
йогурты, йогурты с добавками - стали потреблять меньше.
При этом кризис дал хороший шанс отечественным производителя
усилить свои позиции на рынке, поскольку импортный сыр теряет позиции благодаря
девальвации рубля, повышению таможенных пошлин и торговым «молочным» и
«газовым» войнам с Белоруссией и Украиной.
1. Ассортимент и
характеристика выпускаемой продукции
Проектом предусмотрен следующий ассортимент молочной
продукции:
сыр Литовский, массой 5 кг
сыр Прибалтийский, массой 5 кг
Данная продукция вырабатывается в соответствии с
технологическими инструкциями. Сыр «Литовский» вырабатывается в соответствии ТУ
9225-070-04610209-98, сыр «Прибалтийский» вырабатывается в соответствии с ТУ
9225-070-04610209-2002.
Данный ассортимент вырабатываемой продукции выбран с учетом
полной переработки составных частей молока. Он позволяет обеспечить снабжение
всех категорий населения продукцией высокой пищевой энергетической ценности,
высокого качества. Все продукты на проектированном предприятии будут вырабатываться
под строгим контролем в соответствии с технологическими инструкциями.
.1 Характеристика Литовского сыра
Литовский сыр относится к группе сыров с низкой температурой
второго нагревания. Особенностью является пониженное содержание жира. По форме,
размеру и массе Литовский сыр должен соответствовать требованиям,
представленным в таблице 1.
Таблица 1 - Форма, размер и масса сыра «Литовского»
|
Форма сыра
|
Длина, см
|
Ширина, см.
|
Высота, см
|
Масса, кг
|
|
Прямоугольный брусок со слегка выпуклыми
боковыми поверхностями и округленными гранями
|
24-30
|
12-15
|
9-12
|
2,5-6,0
|
По физико-химическим показателям литовский сыр должен
соответствовать требованиям, указанных в таблице 2.
Таблица 2 - Физико-химические показатели сыра «Литовского».
|
Наименование показателей
|
Норма
|
|
Массовая доля жира в сухом веществе сыра, %, не
менее Массовая доля влаги, %, не более Массовая доля поваренной соли, %
|
30,0 52,0 2,0-3,0
|
По органолептическим показателям сыр литовский должен
соответствовать следующим требованиям, указанным в таблице 3.
Таблица 3 - Органолептические показатели сыра «Литовского».
|
Наименование показателей
|
Характеристика
|
|
Вкус и запах
|
Слабовыраженный сырный, кисловатый, допускается
лёгкая горечь и слабокормовой привкус
|
|
Консистенция
|
Плотная или слегка ломкая на изгибе
|
|
Рисунок
|
Неравномерный, состоит из глазков неправильно
угловатой или щелевидной формы, расположенных по всей массе сыра, допускается
отсутствие рисунка
|
|
Цвет теста
|
От белого до слабо-желтого, однородный по всей
массе
|
|
Внешний вид
|
Корка тонкая, без толстого подкоркового слоя,
покрыта специальной полимерной плёнкой, допускается незначительная деформация
головки сыра
|
Микробиологические показатели, содержания токсичных
элементов, антибиотиков, микотоксинов, пестицидов и радионуклидов в сыре не
должно превышать норм, указанных в ФЗ №88 «Технический регламент на молоко и
молочные продукты» 2008 г. и представленных в таблицах 4,5.
Таблица 4 - Микробиологические показатели сыра «Литовский».
|
Наименование продукта
|
КМАФАнМ, КОЕ/г, не более
|
Масса продукта, в которой не допускается
|
Примечания
|
|
|
БГКП
|
Патогенные в.т ч. сальмонеллы
|
|
|
Сыр литовский
|
_
|
0,001
|
25
|
S. aureus не более 100 КОЕ/г
|
Таблица 5 - Допустимые уровни содержания опасных веществ
|
Продукт
|
Потенциально опасные вещества
|
Допустимые уровни мг/кг (л, дм3) не
более
|
|
Сыр Литовский
|
Токсичные элементы: Свинец Мышьяк Кадмий Ртуть
Пестициды (в пересчете на жир): Гексанхлорциклогексан (альфа-, бетта-,
гамма-изомеры) ДДТ и его метаболиты Радионуклииды: Цезий-137 Стронций-90
Антибиотики Афлатоксин М1
|
0,3 0,2 0,1 0,02 1,25 1,0 100 Бк/л 25 Бк/л
Не допускаются 0,0005
|
Сыр выпускается в реализацию без подразделения на сорта в
возрасте 45 суток. Энергетическая ценность сыра составляет 252 ккал на 100 г.
продукта.
1.2 Характеристика сыра «Прибалтийский»
Сыр прибалтийский вырабатывают согласно ТУ
9225-070-04610209-2002. Прибалтийский сыр относится к группе сычужных сыров с
низкой температурой второго нагревания. В соответствии с ГОСТ 52686-06 «Сыры»
прибалтийский сыр при содержании влаги в обезжиренном веществе 60,4% относится к
группе полутвердых сыров. По форме, размеру и массе головки сыр «Прибалтийский»
должен соответствовать требованиям представленным в таблице 6.
Таблица 6 - Форма, размер и масса прибалтийского сыра.
|
Форма сыра
|
Диаметр, см
|
Высота, см
|
Масса, кг
|
|
низкий цилиндр со слегка выпуклыми боковыми
поверхностями и округленными гранями
|
26-28
|
8-10
|
3,5-11,0
|
По физико-химическим показателям литовский сыр должен
соответствовать требованиям, указанных в таблице 7.
Таблица 7 - Физико-химические показатели сыра «Прибалтийский».
|
Наименование показателей
|
Норма
|
|
Массовая доля жира в сухом веществе сыра, %, не
менее Массовая доля влаги, %, не более Массовая доля поваренной соли, %
|
20,0 55,0 2,0-3,0
|
По органолептическим показателям сыр литовский должен
соответствовать следующим требованиям, указанным в таблице 8.
Таблица 8 - Органолептические показатели сыра
«Прибалтийский».
|
Наименование показателей
|
Характеристика
|
|
Вкус и запах
|
Слабовыраженный сырный, кисловатый, допускается
лёгкая горечь и слабокормовой привкус
|
|
Консистенция
|
Тесто достаточно плотное, упругое; допускается
легкая ремнистость
|
|
Рисунок
|
Неравномерный, состоит из глазков неправильно
угловатой или щелевидной формы, расположенных по всей массе сыра, допускается
отсутствие рисунка
|
|
Цвет теста
|
От белого до слабо-желтого, однородный по всей
массе
|
|
Внешний вид
|
Корка тонкая, без толстого подкоркового слоя,
покрыта специальной полимерной плёнкой, допускается незначительная деформация
головки сыра
|
Микробиологические показатели, содержания токсичных
элементов, антибиотиков, микотоксинов, пестицидов и радионуклидов в сыре не
должно превышать норм, указанных в ФЗ №88 «Технический регламент на молоко и
молочные продукты» 2008 г. и представленных в таблице 9.
Таблица 9 - Микробиологические показатели сыра
«Прибалтийский».
|
Наименование продукта
|
КМАФАнМ, КОЕ/г, не более
|
Масса продукта, в которой не допускается
|
Примечания
|
|
|
БГКП
|
Патогенные в.т ч. сальмонеллы
|
|
|
Сыр Прибалтийский
|
_
|
0,001
|
25
|
S. aureus не более 50 КОЕ/г
|
Химический состав сыра «Прибалтийский» представлен в таблице
10.
Таблица 10 - Химический состав сыра «Прибалтийский».
|
Наименование показателя
|
Норма, г/100 гр продукта
|
|
Макро- и микроэлементы: Кальций Калий Магний
Фосфор Железо
|
8,0 1080 50 780 0,9
|
|
Аминокислоты: Незаменимые Заменимые
|
7,87 9,65
|
|
Витамины: Витамин А Витамин С Витамин РР
Витамин В6 Витамин В12 Витамин Е
|
0,1 мг 0,9 мг 0,4 мг 0,25 мг 1,4 мг 0,6 мкг
|
|
Энергетическая ценность
|
207 ккал/100 гр
|
2. Характеристика сырья, материалов и тары
2.1 Сырье для производства сыра
Требования к качеству сыропригодного молока
Молоко-сырье для сыроделия должно соответствовать требованиям
ТУ 9811-04640109-2004. Молоко должно быть получено от здоровых животных,
принадлежащих к стаду, благополучных по инфекционным заболеваниям. Условия
содержания животных, условия дойки, сбора и хранения молока должны
соответствовать требованиям санитарного и ветеринарного законодательства, что
должно быть подтверждено в установленном порядке.
Молоко не должно содержать ингибирующих веществ, быть
замороженным, подвергнутым термической обработке, полученным от животных
впервые 7 суток после отела и последние 10 суток перед запуском.
Сыропригодность - комплексная характеристика молока,
включающая в себя сенсорные (органолептические), физико-химические,
биологические и санитарно-гигиенические показатели.
По органолептическим показателям молоко должно
соответствовать требованиям, указанным в таблице 9.
Таблица 9 - Органолептические показатели молока коровьего
|
Наименование показателя (характеристика)
|
Содержание характеристики для молока коровьего
|
|
Консистенция
|
Однородная жидкость без осадка и хлопьев
|
|
Вкус и запах
|
Чистый, без посторонних привкусов и запахов, не
свойственных свежему натуральному коровьему молоку
|
|
Цвет
|
От белого до слабо желтого
|
По физико-химическим показателям молоко должно соответствовать
требованиям, указанным в таблице 10.
Таблица 10 - Физико-химические показатели молока коровьего
|
Наименование показателя
|
Значение показателя для молока коровьего
|
|
Кислотность, 0Т
|
16,0 - 19,0
|
|
Плотность, кг/м3, не менее
|
1027,0
|
|
Группа чистоты
|
I
|
|
Массовая доля белка, %, не менее
|
2,8
|
|
Массовая доля жира, %, не менее
|
3,1
|
По микробиологическим показателям молоко должно
соответствовать требованиям, указанным в таблице 11.
Таблица 11 - Микробиологические показатели молока коровьего
|
Наименование показателя
|
Значение показателя
|
|
Уровень бактериальной обсемененности по
редуктазной пробе, класс
|
I-II
|
|
Количество мезофильных аэробных и
факультативно-анаэробных микроорганизмов, КОЕ/см3, не более
|
1×106
|
|
Количество соматических клеток в 1 см3,
не более
|
5×105
|
|
Сычужно-бродильная проба, класс
|
I, II
|
|
Количество спор мезофильных анаэробных
лактатсбраживающих бактерий, в 1 см3, не более: - для сыров с
низкой температурой второго нагревания
|
13
|
Содержание патогенных микроорганизмов, в том числе
сальмонелл, токсичных элементов, микротоксинов, антибиотиков, радионуклеидов,
пестицидов в молоке должно соответствовать требованиям СанПиН 232 1078.
Требования к хлористому кальцию.
Кальций хлористый технический по ГОСТ
450-77, не ниже первого сорта;
Кальций хлористый по ТУ 6-09-4711-81;
Кальций хлористый водный по ГОСТ 4161-77 и
ТУ 6-09-5077-83.
Требования к закваске.
Для сыров «Прибалтийский» и «Литовский»
закваска готовится в соответствии с инструкцией по приготовлению закваски от
1992 года.
Планируется вырабатывать закваску из
бакпрепарата БП-Углич 4-концентрат мезофильных молочнокислых бактерий, видов: Lactococus lactis, Lactococus cremoris, Lactococus diacetilactis.
В одном грамме БП-Углич 4 содержится не
менее 150 млрд. жизнеспособных клеток. Планируется готовить закваску
беспересадочным способом одна порция на 300 литров молока.
По органолептическим показателям закваска
должна соответствовать требованиям таблицы 12.
Таблица 12 - Органолептические показатели
закваски БП-Углич 4
|
Наименование показателя
|
Характеристика
|
|
Вкус и запах
|
Чистый, кисломолочный, выраженный.
|
|
Сгусток
|
Ровный, достаточно плотный, без выделения
следов газообразования и отделения сыворотки
|
|
Цвет
|
Белый
|
По физико-химическим показателям закваска
БП-Углич 4 должна соответствовать требованиям таблицы 13.
Таблица 13 - Физико-химические показатели
закваски БП-Углич 4
|
Наименование показателя
|
Характеристика
|
|
Титруемая кислотность
|
95±50Т
|
|
Наличие углекислого газа
|
Поднятие сгустка закваски при ее нагревание до
температуры 90±2 0С на высоту не более 1 см.
|
|
Наличие ацетоина и диацетина
|
4±1 условных единиц.
|
По микробиологическим показателям закваска
БП-Углич 4 должна соответствовать требованиям таблицы 14.
Таблица 14 - Микробиологические показатели
закваски БП-Углич 4
|
Наименование показателя
|
Характеристика
|
|
Бактерии группы кишечной палочки, в 10 см3
|
Не допускается
|
Требования к ферментному препарату
Ферментный препарат ВНИИМС (ОСТ49 159-80)
должен соответствовать следующим основным требованиям.
Внешний вид - однородный порошок
желтовато-серого цвета с кристаллами соли; залах - специфический, свойственный
сычужному порошку и говяжьему пепсину; растворимость - 1 г ферментного
препарата должен растворяться в течение 10 мин в 100 см3
дистиллированной воды температурой 35°С; молокосвертывающая активность - не менее
100000 усл. ед; массовая доля влаги - не более 3,0%, поваренной соли - не менее
75,0%, жира - не более 6,0%; инактивация при рН 7,0 не допускается.
Требования к поваренной соли
Соль поваренная пищевая (ГОСТ 51574-2000) в молочной
промышленности применяется трех сортов: экстра, высший и первый. Вкус и запах
определяют в 5%-ном растворе соли. Вкус должен быть чистосоленым без
посторонних привкусов и запахов. Цвет соли сорта экстра - белый, для всех
прочих сортов - белый с оттенками (сероватый, желтоватый, розоватый в
зависимости от происхождения соли). Соль не должна содержать заметных на глаз
посторонних механических примесей. Соль сорта экстра должна проходить при
просеве (не менее 95%) через сито со стороной квадратного отверстия 0,8 мм. В
зависимости от размера зерен молотую соль делят на устанавливаемые просевом
номера помолов от 0 до 3. Реакция на лакмус водного раствора соли всех сортов
должна быть нейтральной или близкой к ней.
2.2 Требования к таре
Трудоемкость процессов, большие потери
сырной массы, низкий санитарный уровень в помещениях при обычном созревании
сыров требовали изменений условий созревания сыра. Только с появлением
полимерных пленочных материалов появилась возможность избежать потерь влаги при
испарении и потерь сырной массы во время моек сыра. Сократились трудовые
затраты, повысился санитарный уровень помещений для обработки и созревания
сыра.
Полимерные пленочные материалы. Их
используют для созревания и хранения сыров. Они имеют низкую
паровлагопроницаемость, что предохраняет сыры от испарения влаги с поверхности
сыра - «усушки». Низкая газопроницаемость пленок при плотном прилегании их к
поверхности сыра создает бескислородную среду на поверхности и практически
исключает развитие аэробной микрофлоры. Почти полное отсутствие влагообмена с
окружающей средой приводит к выравниванию влаги по всей массе сыра и в
поверхностном слое.
В сыроделии применяют для производства
сыров различные полимерные пленки, защитные полимерные покрытия из водных
дисперсий, а также комбинированные покрытия. Защитные полимерные пленки и
покрытия должны удовлетворять санитарно-гигиеническим, технологическим и
эксплуатационным требованиям. К полимерным материалам, находящимся в контакте с
пищевыми продуктами, предъявляют следующие санитарно-гигиенические требования:
физиологическая безвредность, инертность;
отсутствие веществ, изменяющих вкус и
запах продукта;
разрешение органов Госсаннадзора.
Полимерные пленки и покрытия должны иметь
низкую паро-, влагопроницаемость. Этот показатель не имеет нижнего предела, так
как чем меньше паровлагопроницаемость, тем меньше потери в весе сыра во время
созревания.
Требования к газопроницаемости пленок
необходимо дифференцировать по кислороду и диоксиду углерода. По отношению к
кислороду проницаемость должна находиться на таком низком уровне, чтобы
препятствовать развитию плесени. Степень проницаемости по отношению к диоксиду
углерода должна быть выше во избежание задержки его под пленкой. Пленка должна
пропускать такое количество диоксида углерода, при котором образуется нормальный
рисунок сыра.
Термоусадочные пакеты «АМИВАК» тип СН, тип СВ изготавливаются
по ТУ 2297-007-27147091-2000 и могут использоваться для упаковки, созревания,
хранения и реализации сычужных сыров. Всё больше стран мира уделяют большое
внимание экологической обстановке и утилизации упаковочных материалов.
Утилизация упаковки, несодержащей хлорсодержащих веществ наносит меньший вред
окружающей среде.
Термоусадка осуществляется путем погружения пакета с
продуктом в горячую воду или орошением его горячей водой с температурой от 90°С
до 95°С в течение 2-3 секунд.
3. Технологические схемы
и их обоснование
.1 Технологическая схема производства сыров
«Литовский» и «Прибалтийский»
Сыры «Литовский» и «Прибалтийский» относятся к группе
полутвердых сычужных сыров с низкой температурой второго нагревания.
Оценка качества приемка молока. Молоко из автомолцистерны
(поз 1) подается на счетно-измерительное устройство марки SMZ-2P (поз 3) самовсасывающим
насосом KSP 50/180 (поз 2), где проходит фильтр FP-20 для очистки молока от
крупных механических примесей, далее воздухоотделитель ОР-20 для удаления пены,
которая приводит к завышению показаний счетчика и молоко поступает на
расходомер РМ-2, фиксирующий объем поступившего молока.
Масса молока определяется по формуле:
(3.1)
где V - объем молока, см3;
с - плотность, кг/см3.
Затем молоко поступает в вертикальную емкость марки РМ-Б-4
вместимостью 4000 кг (поз. 4), где задерживается не более 30 минут.
Центробежным насосом (поз. 5) производительностью 10000 кг/ч молоко подают на
пластинчатую охладительную установку марки ООЛ-5 (поз. 6) производительностью
5000 л/ч, где оно охлаждается до температуры 10±2°С и насосом (поз. 5) через
трех ходовой кран поступает в вертикальные емкости марки РМ-Б-20 (поз. 7)
вместимостью 20000 кг для созревания и хранения. Созревание молока заключается
в выдержке его при температуре 10 ± 2°С 12 ± 2 часов.
Цель созревания: перевод нерастворимых солей кальция в растворимое
состояние, повышение титруемой кислотности на 1,5 ± 0,5°Т, улучшение
свертываемости молока сычужным ферментом, что способствует получению сгустка
хорошо отделяющего сыворотку.
После хранения молоко центробежным насосом (поз. 5) через
уравнительный бачок (поз. 8), подается в пластинчатую
пастеризационно-охладительную установку (поз. 9) марки А1-ОКЛ-5
производительностью 5000 л/ч в секцию регенерации, где нагревается до
температуры 40 - 45°С, затем подогретое молоко поступает на
сепаратор-сливкоотделитель (поз. 10) марки ОС2-НС производительностью 10000
л/ч, где происходит сепарирование молока. Сепарирование - процесс разделения
молока на две фракции: сливки и обезжиренное молоко. Сливки от сепарирования
отравляются в маслоцех, а обезжиренное молоко поступает в секцию пастеризации
пластинчатой пастеризационно-охладительной установки (поз. 9), где
осуществляется пастеризация при температуре 74±20С, выдержка в
течение 20 секунд происходит в трубчатом выдерживателе (поз. 21). молоко
проходит перепускной кран и недопастеризованное обезжиренное молоко
отправляется в уравнительный бак (поз. 8), а пропастеризованное поступает в
секцию регенерации, где охлаждается новыми порциями сырого молока, а затем в
секцию охлаждения, в которой происходит охлаждение смеси до 60С. По
окончании тепловой обработки обезжиренное молоко поступает в емкость (поз. 11),
для кратковременного хранения (по необходимости) и нормализации, составления
смеси на сыр. Цель нормализации - выработка продукта, соответствующего нормам
стандарта. Нормализация молока на сыры «Прибалтийский» и «Литовский»
производится в емкостях (поз. 11) путем смешения обезжиренного и цельного
созревшего молока, с учетом массовой доли жира и белка в смеси.
Нормализованная смесь из емкости (поз. 11) насосом (поз. 5) через
уравнительный бак (поз. 8) поступает в секцию регенерации
пастеризационно-охладительной установки (поз. 12), где подогревается до
температуры 400С. Цель подогрева - уменьшить вязкость молока перед
очисткой.
Очистка нормализованного молока проводится на
сепараторе-молокоочистителе. Цель очистки - удаление механическихпримесей.
Очищенное молоко, направляется в секцию пастеризации, где нагревается горячей
водой, поступающей из бойлера, до температуры 74±2°С. Молоко с требуемой
температурой пастеризации, направляется на трубчатый выдерживатель (поз. 21),
где выдерживается 20-25 секунд. Цель пастеризации - уничтожение патогенной и
технически вредной микрофлоры, получения сгустка хорошо выделяющего сыворотку.
С выдерживателя молоко направляется в секцию регенерации, отдавая, часть тепла
новым порциям молока идущего на переработку, затем пропастеризованное молоко
поступает в секцию охлаждения, где охлаждается до температуры свертывания и
внесения закваски 30 - 32°С.
Внесение компонентов. Молоко нормализованное с температурой 30 -
32°С поступает в сыродельную ванну марки В2 - ОСВ - 10 (поз. 14) вместимостью
10000 литров, где в молоко вносят водный раствор хлорида кальция (СаСl2) из расчета 40 ± 1, 5 грамм безводной соли на 100 кг молока в
виде водного раствора 40% концентрации. Цель внесения СаСl2 - восстановление солевого состава молока, который нарушился во
время пастеризации (при пастеризации часть солей кальция переходит из
растворимого в нерастворимое состояние), улучшается свертываемость молока.
В молоко вносят закваску в количестве 0,6 - 1% на 100 кг молока.
Микрофлора закваски - мезофильные молочнокислые бактерии:
Laktococcus laktis, Laktococcus cremoris, Laktococcus diacetilactis. Цель
внесения закваски: формирование вкуса, запаха, консистенции сыра в результате
микробиологических и биохимических процессов происходящих во время созревания.
Закваску готовят на нормализованном молоке в заквасочнике (поз.
16) марки ОЗУ - 300 вместимостью 330 л и подают с помощью ротационного насоса
(поз. 15) марки В3-ОРА-А2 производительностью 2000 кг/час.
Чтобы предупредить раннее вспучивание сыра, при использовании
подозрительного на наличие газообразующей микрофлоры (бактерий группы кишечных
палочек и маслянокислых бактерий) молока, допускается использовать химически
чистый нитрат калия или натрия из расчета 10-30 г. на 100 кг смеси.
Для свертывания молока необходимо внести в молоко
молокосвертывающий фермент, его вносят в количестве 2,5 гр. на 100 кг молока в
виде 2,5% водного раствора, количество фермента уточняют по кружке ВНИИМС.
Далее производят перемешивание в течение 5-7 минут.
Свертывание смеси происходит при температуре 30-320С.
Сгусток образуется в течение 30±5 минут, он должен быть нормальной плотности и
давать на расколе достаточно острые края с выделением прозрачно-зеленоватой
сыворотки.
По окончании свертывания производят обработку сгустка. Обработка
сгустка и зерна заключается в удалении из сгустка избытка сыворотки, и
оставления такого ее количества, которое необходимо для дальнейшего течения
биохимических процессов и получения сыра.
Обработка сгустка включает следующие операции: разрезка сгустка и
постановка зерна, проводят в течение 10 - 15 минут. Сгусток разрезают
специальными режущими устройствами на кубики 15 - 20 мм. Цель постановки зерна
- получить зерно определенной величины. Размер сырного зерна для Прибалтийского
сыра должен быть 15 ± 1 мм, для Литовского сыра 9 ± 1 мм. В процессе постановки
откачивают около 30% сыворотки насосом (поз. 18). После постановки зерна
продолжают вымешивание 10 - 15 минут. Цель вымешивания - дальнейшая обсушка зерна,
выделение сыворотки, уменьшение объема зерна (оно становится округлым, упругим,
плотным). Конец вымешивания определяют следующим образом: если сжатое в ладони
зерно не продавливается между пальцев, то можно считать, что зерно готово к
следующей операции - второму нагреванию.
В процессе вымешивания из сыродельной ванны откачивают еще около
30% сыворотки самовсасывающим насосом (поз. 18) производительностью 25000 л/час
в емкость для промежуточного хранения (поз. 37).
Второе нагревание проводят с целью ускорения обезвоживания сырного
зерна и регулирования молочнокислого процесса. Температуру второго нагревания
устанавливают в пределах от 35 до 380С для Литовского сыра и 330С
для Прибалтийского сыра, продолжительность 10 - 12 минут. В процессе второго
нагревания рекомендуется проводить частичную посолку сыра в зерне. Из расчета
200-300 г. соли на 100 кг смеси. После второго нагревания проводится обсушка
зерна - это вымешивание зерна при температуре второго нагревания. Конец обсушки
определяют: на зуб - зерно поскрипывает; при легком сжатии зерна в ладони
образуется столбик, который при встряхивании разламывается на части, а при
растирании между ладонями распадается на отдельные зерна. Продолжительность
обсушки зерна 15 - 20 минут. К концу обсушки кислотность сыворотки не должна
превышать 160Т.
Формование сыров Прибалтийский и Литовский можно проводить как
насыпью, так и из пласта. Планируем проводить формование сыров из пласта. Смесь
зерна и сыворотки при помощи центробежного насоса (поз. 17) производительностью
25000 л/час подают на формовочный аппарат марки Я5-ОФИ-1 (поз. 19)
производительностью 1000 кг. Целью формования является соединение разрозненного
сырного зерна в монолит и выделение части сыворотки, которая удаляется с
помощью самовсасывающего насоса (поз. 20). Сыр формуют из пласта. Пласт
подпрессовывают в течение 15 ± 5 минут при давлении 1-2 кПа.
После образования пласта его разрезают на бруски, бруски сырной
массы помещают в подготовленные формы, установленные на тележках (поз.
) выдерживают в течение около 20 - 30 минут для самопрессования.
Самопрессование проводят с целью дальнейшего обезвоживания, продолжается
развитие молочнокислого процесса. В процессе самопрессования давление
увеличивается, поэтому сыры переворачивают через 15 ± 5 минут. В процессе
самопрессования головки сыров маркируют. Цель маркировки - обеспечение
одинакового ухода за определенной партией сыра, соблюдение продолжительности
посолки, созревания, определения возраста сыра при отгрузке. Сыры маркируют
казеиновыми, пластмассовыми цифрами. При маркировке указывают число, месяц,
номер варки.
После самопрессования производят прессование на прессе
вертикального типа (поз. 23) марки Г8-ОПГ производительностью 24 головоки. Цель
прессования - уплотнение сырной массы, удаляются остатки межзерновой сыворотки,
образуется замкнутый поверхностный слой, продолжается развитие микрофлоры
закваски. При прессовании температура должна быть в пределах 18-20°С, более
низкая температура замедляет молочнокислый процесс и выделение сыворотки, что
может отрицательно сказаться на качестве готового продукта. Прессуют сыры в
течение 1,5 - 2,5 часов при постепенном повышении давления, которое не должно
превышать 35 кПа. Отпрессованный сыр должен иметь хорошую замкнутую поверхность
и активную кислотность в пределах 5,4 - 5,6 для Литовского сыра и 5,2 - 5,3 для
Прибалтийского сыра. Оптимальная массовая доля влаги в сыре после прессования
от 56 до 58%.
После прессования сыры взвешивают на товарных весах марки ВСП -
500 (поз. 24) производительностью 500 кг.
Посолка сыра. Сыры укладывают на контейнеры для посолки марки Т -
547 (поз. 27) вместимостью 450 кг и направляют на посолку в солильные бассейны
(поз. 26) в течении 2 - 3 суток.
Посолка является важнейшим технологическим фактором, влияющим на
качество сыра. Поваренная соль регулирует микробиологические и
биохимические процессы при созревании сыра, формирует вкус,
образование корки продукта, влияет на его консистенцию, рисунок и выход. Во
время посолки вследствие разности концентраций поваренной соли происходит диффузия
соли в сыр из рассола с одновременным выделением из него влаги.
Приготовление рассола. В пастеризованную, профильтрованную воду с
температурой 80 ± 10°С вносят пищевую поваренную соль не ниже первого сорта.
При более низкой температуре воды растворимость соли более низкая и требуется
больше времени для приготовления концентрированного рассола. Нагретый раствор
поваренной соли оставляют в сыродельной ванне марки В2 - ОСВ - 5 (поз. 28)
вместимостью 5000 литров для отстоя. Отстоявшийся рассол центробежным насосом
марки (поз. 5) через фильтр марки А1 - ОФШ (поз. 29) производительностью 10000
л/час, для фильтрации рассола, подается на трубчатый пастеризатор (поз. 30)
марки Т1 - ОУТ производительностью 10000 л/ч для пастеризации при температуре
85 ± 5°С, после пастеризации рассол подается на пластинчатую охладительную
установку марки ОО1 - У10 (поз. 31) производительностью 10000 л/час для
охлаждения рассола до температуры 10 ± 2°С и центробежным насосом (поз. 5)
направляют в бассейн для посолки (поз. 26). Концентрация рассола должна быть не
ниже 18%, температура 10 ± 2°С, кислотность рассола в пределах 60 - 70°Т.
В процессе посолки снижается массовая доля NaCl в рассоле в
результате перехода соли в сыр и выделение сыворотки из сыра в рассол. Рассол
обогащается молочной кислотой, молочным сахаром, азотистыми веществами,
частицами сырной массы, что создает условия для развития вредной микрофлоры в
рассоле. Повышается температура и кислотность, он становится не пригодным для
использования. Восстановление рассола заключается в регулировании концентрации
соли, кислотности, температуры и чистоты рассола. Сначала с целью нейтрализации
вносят известь или мел, перемешивают и оставляют в покое на одни сутки. Затем
осветленный раствор подают в помещение для приготовления рассола, где его
нагревают до температуры 80 ± 10 0С, вносят поваренную соль до
получения требуемой массовой доли NaCl в рассоле. Очищают, пастеризуют при
температуре 85 ± 5°С и охлаждают до температуры 10 ± 2°С. Готовый рассол
резервируют в специальной емкости или направляют в свободный очищенный от
осадка солильный бассейн. При правильном уходе за рассолом его заменяют новым
один раз в один год.
Созревание сыра. Контейнеры с сыром вынимают из солильного
бассейна при помощи электротельфера (поз. 25) и производится обсушка сыра.
Обсушка сыра ведется на стеллажах в солильном отделении 2 - 3 дня при
температуре 8 - 12оС и относительной влажности 90 - 95%.
Далее сыры перегружают на контейнер марки Т - 480
вместимостью 450 кг и перемещают в камеру созревания при температуре 12 - 14°С
и относительной влажности воздуха от 85 до 90% для созревания. Через две недели
после посолки сыр направляют в помещение для мойки и обсушки. Сыры моют на
моечной машине марки РЗ - МСЩ (поз. 32) производительностью 150 гол/час. После мойки
сыр отправляют на машину для обсушки марки М6 - ОЛА - 1 (поз. 33)
производительностью 150 гол/час. Затем сыр упаковывают на упаковочной машине
марки М6-АУД (поз. 34) производительностью 150-200 гол/час. Сыры покрывают
полимерной пленкой для предупреждения разрушения корки, развития слизи и
плесени, снизить потери сыра, повысить качество продукта, сократить затраты по
уходу за сыром. Упаковка считается удовлетворительной, если пленка плотно
облегает сыр, между ней и поверхностью сыра не образуется видимого воздушного
пространства и при легком надавливании под углом 30° к поверхности сыра пленка
не перемещается.
Упакованный в полимерную пленку сыр укладывают на контейнеры
для созревания марки Т - 480 (поз. 35) вместимостью 450 кг и направляют в
камеру для дальнейшего созревания. Общее время созревания сыров «Прибалтийский»
и «Литовский» 45 суток.
Созревание сыра - это комплекс сложных микробиологических,
биохимических и физико-химических процессов протекающих в сырной массе.
Сущность созревания сыра заключается в том, что в период
выдерживания в сырной массе под действием ферментов составные части молока
(белки, жиры, углеводы) подвергаются глубоким биохимическим превращениям,
обуславливающим появление в сыре специфического вкуса, аромата, рисунка, цвета.
Молочный сахар в процессе созревания сыров подвергается
воздействию молочнокислых бактерий и довольно быстро, через 5-10 дней полностью
сбраживается, основным продуктом сбраживания лактозы является молочная кислота.
Молочная кислота определяет кислотность сыра, которая влияет на скорость
созревания и консистенцию.
Ферментативный гидролиз белков является основным процессом
при созревании сыра. Белки под действием ферментов расщепляются на полипептиды,
олигопептиды, азотистые основания и в конечном итоге аминокислоты. Переход
нерастворимых белков в растворимое состояние способствует улучшению
консистенции сыров.
При декарбоксилировании аминокислот образуется углекислый
газ, он скапливается в пустотах сырной массы, постепенно расширяет их,
превращая в глазки.
Уход за сыром проводят для поддержания поверхности сыра в
необходимом состоянии, регулирования микробиологического, биохимического
процессов, сокращения потерь. Для равномерного наведения корки, сыры
переворачивают через 7-15 суток. Во время созревания упакованных сыров следят
за тем, чтобы вовремя обнаружить нарушение герметизации пакетов, что
сопровождается развитием на сырах поверхностной микрофлоры. Такие сыры моют и
после обсушивания повторно упаковывают в пленку, а в случае выделения сыворотки
под пленкой их также моют, обсушивают и повторно упаковывают в пленку.
По окончании созревания сыры упакованные в пленку укладывают
в ящики и транспортируют. Хранят сыр на предприятии около 45 суток.
.2 Технология приготовления закваски
Закваска готовится в соответствие с
инструкцией по приготовлению закваски от 1992 года. Планируется вырабатывать
закваску из бакпрепарата БП-Углич-4, концентрат мезофильных молочнокислых
бактерий.
Технологический процесс состоит из
следующих операций:
) Нормализованную смесь, полученную из
молока высшего или 1 сорта по ГОСТ 52054-2003 г. направляется в заквасочник;
) Пастеризация нормализованной смеси в
заквасочнике при температуре 95±1 0С и выдержке в течение 45±1
минут;
) Охлаждение смеси в заквасочнике до
температуры 30±1 0С;
) Внесение бакпрепарата, одна порция на
300 литров молока, сухой бакпрепарат растворяют в 15±5 миллилитров
пастеризованного и охлажденного молока;
) Перемешивание 10-15 мин;
) Сквашивание при температуре 30±1 0С,
в течение 16±2 часа, до кислотности 85-95 0Т;
) Охлаждение до 6±2 0С и
хранение не более 24 часов.
4. Продуктовые расчеты
.1 Схема технологического направления переработки
молока
Ассортимент вырабатываемой продукции:
1. Сыр «Литовский»;
2. Сыр «Прибалтийский».
.2 Данные к продуктовому расчету
Режим работы предприятия указан в таблице 15
Таблица 15 - Режим работы предприятия
|
Наименование предприятия
|
Количество условных суток максимальной загрузки
в течении года
|
Количество смен работы в
|
|
|
сутки
|
год
|
|
Сыр-завод
|
250
|
2
|
500
|
Физико-химические показатели сырья, полуфабрикатов, готовой
продукции, применяемые для расчетов в соответствии с действующими стандартами,
указаны в таблице 16
Таблица 16 - Физико-химические показатели сырья,
полуфабрикатов, готовой продукции в соответствии с действующими стандартами
|
Наименование сырья, полуфабрикатов, готовой
продукции
|
Массовая доля жира расчетная, %
|
Литература
|
Стандартные показатели
|
|
|
|
номер стандарта
|
массовая доля жира, не менее, %
|
массовая доля белка, не менее, %
|
|
Молоко цельное
|
3,4
|
Базисная
|
ТУ 9811-153-04610209-2004
|
3,1
|
2,8
|
|
Сливки от сепарирования
|
35
|
Планируется
|
-
|
-
|
-
|
|
Молоко обезжиренное
|
0,05
|
Планируется
|
-
|
-
|
-
|
|
Смесь на сыр Литовский
|
1,35
|
Ориентировочная
|
-
|
-
|
-
|
|
Смесь на сыр Прибалтийский
|
0,85
|
Ориентировочная
|
-
|
-
|
-
|
|
Готовая продукция: - сыр «Литовский»
|
-
|
По заданию
|
ТУ 9225-070-04610209-98
|
30
|
-
|
|
- сыр «Прибалтийский»
|
-
|
По заданию
|
ТУ 9225-070-04610209-2002
|
20
|
-
|
|
Вторичное сырье: - сыворотка подсырная
|
0,1
|
Приказ 369
|
-
|
-
|
|
Закваска на сыр Литовский
|
1,35
|
Планируется
|
-
|
-
|
-
|
|
Закваска на сыр Прибалтийский
|
0,85
|
Планируется
|
-
|
-
|
-
|
Нормы расхода сырья с учетом потерь при выработке и
расфасовке указаны в таблице 17
Таблица 17 - Нормы расхода сырья с учетом потерь при
выработке и расфасовке
|
Наименование продукта
|
Нормы расхода, кг/тт при выработке
|
Нормативный документ
|
Планируемый% фасовки
|
|
Сыр «Литовский»
|
13140
|
Приказ 369
|
головки в пленках 100%
|
|
Сыр «Прибалтийский»
|
14190
|
Приказ 369
|
головки в пленках 100%
|
Нормы потерь сырья и жира указаны в таблице 18
Таблица 18 - Нормы потерь сырья и жира
|
Наименование потерь
|
% потерь
|
Документ, откуда взяты потери
|
|
Потери сливок при сепарировании
|
0,27
|
Приказ 1025
|
|
Потери обезжиренного молока при сепарировании
|
0,4
|
Приказ 1025
|
|
Норма убыли сыра Литовского - сыра
Прибалтийского
|
6,5 6,3
|
Приказ 369
|
|
Норма сбора сыворотки
|
80
|
Приказ 369
|
Распределение продукции по ассортименту в разрезе смены
представлено в таблице 19.
Таблица 19 - Распределение продукции по ассортименту
|
Наименование сыра
|
Масса продукта, кг
|
|
смена
|
сутки
|
|
«Литовский» сыр
|
700
|
1400
|
|
«Прибалтийский» сыр
|
1100
|
2200
|
|
итог
|
1800
|
3600
|
.3 Условные обозначения величин
Мсм - масса смеси, кг;
Моб. - масса обезжиренного молока, кг;
М'об. - масса обезжиренного молока с учетом
потерь, кг;
Моб.сеп - масса обезжиренного молока от
сепарирования с учетом потерь,
Мм.сеп - масса молока цельного для сепарирования,
кг;
Мсл - масса сливок, кг;
М' сл - масса сливок с учетом потерь,
кг;
Мм.сыр - масса молока на сыр, кг;
Мн.м - масса нормализованного молока, кг;
Мз - масса закваски, кг;
Мн.м-з - масса смеси до заквашивания, кг;
Музс - масса условно зрелого сыра, кг;
Ми-п - масса сыра из-под пресса, кг;
Мсыв - масса сыворотки, кг;
МCaCl2 - масса хлористого кальция, кг;
Мр-ра CaCl2 - масса раствора
хлористого кальция, кг;
Мм.ф - масса молокосвертывающего фермента, кг;
Мр-ра м.ф - масса раствора молокосвертывающего
фермента, кг;
Мпсл - масса сливок, кг;
Ж.сыв - жирность сыворотки, кг;
Жм - жирность молока;%
Жсл - жирность сливок, %;
.4 Расчеты при производстве продуктов
Расчет при производстве сыра «Литовский»
Определим массу смеси на сыр
(4.1)
Масса закваски на сыр
(4.2)
Определим массу смеси без закваски
М см-з = Мсм - Мз (4.3)
М см-з = 9198 - 92 = 9106 кг
Определим массу цельного молока
Определим массу обезжиренного молока от сепарирования
Моб = Мсм-з - Мм (4.5)
Моб = 9106 - 3533,7 = 5572,3 кг
Проверка по жиробалансу
Мсм * Жсм = Мм*Жм + Моб*Жоб (4.6)
9106 * 1,35 = 3533,7 * 3,4 + 5572,3 * 0,05
12293,1 = 12293,2
Определяем количество головок сыра
Определяем массу сыра после прессования
Определим массу сыворотки
(4.9)
Определим массу хлористого кальция
Масса раствора хлористого кальция
Масса воды
М н2О = М р-ра - М СаСl2 (4.12)
М н2О = 9,2 - 3,68 = 5,52 кг
Масса молокосвертывающего фермента
Масса раствора молокосвертывающего фермента
Масса воды для растворения фермента
М н2О = М р-ра - М ф (4.15)
М н2О = 9,2 - 0,23 = 8,97 кг
Расчет при производстве сыра «Прибалтийский»
Определим массу смеси на сыр
Масса закваски на сыр
Определим массу смеси без закваски
М см-з = Мсм - Мз
М см-з = 15609 - 156,1 = 15452,9 кг
Определим массу цельного молока
Определим массу обезжиренного молока от сепарирования
Моб = Мсм-з - Мм
Моб = 15452,9 - 3690,24 = 11762,66 кг
Проверка по жиробалансу
Мсм * Жсм = Мм*Жм + Моб*Жоб
15452,9 * 0,85 = 3690,24 * 3,4 + 11762,66 * 0,05
13134,97 = 13134,95
Определяем количество головок сыра
Определяем массу сыра после прессования
Определим массу сыворотки
Определим массу хлористого кальция
Масса раствора хлористого кальция
Масса воды
М н2О = М р-ра - М СаСl2
М н2О = 15,6 - 6,24 = 9,36 кг
Масса молокосвертывающего фермента
Масса раствора молокосвертывающего фермента
Масса воды для растворения фермента
М н2О = М р-ра - М ф
М н2О = 15,6 - 0,39 = 15,21 кг
Расчет сепарирования
Определим массу обезжиренного молока на технологические нужды
Моб.т.н = Моб (л.с) + Моб (п.с) (4.16)
Моб. т.н = 5572,3 + 11762,66 = 17334,96 кг
Определим потери обезжиренного молока от сепарирования
Определим массу обезжиренного молока от сепарирования
Моб/ сеп. = М об. т.н + Поб (4.18)
М/об. сеп = 17334,96 + 69,34 = 17404,3 кг
Определим массу цельного молока на сепарирование

Определим массу сливок от сепарирования
Мсл = Мм - Моб/ сеп (4.20)
Мсл = 19249,38 - 17404,3 = 1845,08 кг
.4.3.6 Определим потери сливок при сепарировании
Определим массу сливок без потерь
М/сл = Мсл - Псл (4.22)
М/сл = 1845,08 - 4,98 = 1840,1 кг
Таблица 20 - Сводная таблица продуктового расчета
|
Наименование статьи
|
Масса, кг
|
|
смена
|
сутки
|
год
|
|
Приход молока цельного
|
26473,32
|
52946,64
|
13236660
|
|
Расход молока цельного - на сыр «Литовский» -
на сыр «Прибалтийский» - на сепарирование
|
3533,7 3690,24 19249,38
|
7067,4 7380,48 38498,76
|
1766850 1845210 9624690
|
|
Итого в расходе молока цельного
|
26473,32
|
52946,64
|
13236660
|
|
Приход сливок от сепарирования
|
1845,08
|
3690,16
|
922540
|
|
Расход сливок в маслоцех
|
1845,08
|
3690,16
|
922540
|
|
Приход обезжиренного молока от сепарирования
|
17334,96
|
34669,92
|
8667480
|
|
Расход обезжиренного молока - на нормализацию
сыра «Литовский» - на нормализацию сыра «Прибалтийский»
|
5572,3 11762,66
|
11144,6 23525,32
|
2786150 5881330
|
|
Итого в расходе обезжиренного молока
|
17334,96
|
34669,92
|
8667480
|
|
Смесь - на сыр «Литовский» - на сыр
«Прибалтийский»
|
9198 15609
|
18396 31218
|
4599000 7804500
|
|
Приход закваски - на сыр «Литовский» - на сыр
«Прибалтийский»
|
92 156,1
|
184 312,2
|
46000 78050
|
|
Расход закваски - на сыр «Литовский» - на сыр
«Прибалтийский»
|
92 156,1
|
184 312,2
|
46000 78050
|
|
Масса сыра из под пресса - Литовский -
Прибалтийский
|
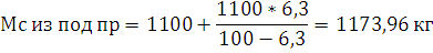
748,66 1173,96
|
1497,32 2347,92
|
374330 586980
|
|
Готовая продукция - сыр «Литовский» - сыр
Прбалтийский
|
700 1100
|
1400 2200
|
350000 550000
|
|
Приход сыворотки подсырной - от сыра литовского
- от сыра прибалтийского
|
7358,4 12487,2
|
14716,8 24974,4
|
3679200 6243600
|
|
Итого приход сыворотки
|
19845,6
|
39691,2
|
9922800
|
|
Отгрузка сыворотки в цех вторичного сырья
|
19845,6
|
39691,2
|
9922800
|
5. Технохимический и микробиологический контроль
производства
5.1 Цели и задачи технохимического контроля
Организация ТХК на молочных предприятиях преследует следующие
цели:
контроль качества заготовляемого молока и материалов;
контроль технологических процессов выработки продукции;
контроль качества готовой продукции;
контроль и анализ потерь сырья и жира.
Главная задача ТХК на производстве - обеспечить соответствие
качества молочной продукции требованиями стандартов.
а в таблице 21
Таблица 21 - Схема организации
технохимического контроля производства сыров «Литовский» и «Прибалтийский»
|
Участок контроля
|
Объект контроля
|
Вид контроля
|
Контролируемые показатели
|
Периодичность контроля
|
Место отбора проб
|
|
Приемный участок
|
Молоко на сыр (заготовляемое)
|
Органолептические показатели
|
Вкус, запах, цвет, консистенция
|
Каждая партия
|
Из цистерны
|
|
|
Физико-химические
|
Кислотность, плотность, массовая доля белка,
массовая доля жира, группа чистоты, натуральность, температура
|
Каждая партия
|
Из цистерны
|
|
МХО
|
Молоко при резервировании и созревании
|
Физико-химические
|
Температура, кислотность
|
Ежедневно
|
В каждой емкости
|
|
Аппаратный цех
|
Нормализованная смесь
|
Физико-химические
|
Кислотность, массовая доля жира, массовая доля
белка
|
Ежедневно
|
В каждой партии
|
|
Пастеризация смеси
|
Физико-химические
|
Кислотность, температура, выдержка
эффективность пастеризации
|
Ежедневно
|
При каждой выработке
|
|
Молоко перед свертыванием
|
Физико-химические
|
Кислотность, массовая доля жира, температура,
масса молока
|
Ежедневно
|
При каждой выработке
|
|
Свертывание молока
|
Физико-химические
|
Температура, продолжительность свертывания,
кислотность, качество сгустка.
|
Ежедневно каждая партия
|
Сыродельная ванна
|
|
Обработка сырного сгустка
|
Технические
|
Размер зерна, продолжительность обработки,
температура пульпы, готовность сырного зерна, масса вносимой воды.
|
Ежедневно
|
Сыродельная ванна
|
|
Сыворотка молочная
|
Физико-химические
|
Массовая доля жира, кислотность
|
При каждой выработке
|
Сыродельная ванна
|
|
Заквасочная
|
Закваска перед заквашиванием смеси или молока
|
Физико-химические показатели
|
Кислотность, ТЕжедневноИз всех
резервуаров с закваской
|
|
|
|
|
Органолептические показатели
|
Вкус, цвет, запах, консистенция
|
Ежедневно
|
Из всех резервуаров с закваской
|
|
Пресс цех
|
Самопрессование и прессование
|
Физико-химические
|
Кислотность, температура
|
Ежедневно
|
При каждой варке
|
|
|
органолептические
|
Внешний вид, продолжительность
|
Ежедневно
|
|
Сыр после прессования
|
Физико-химические
|
Массовая доля влаги, массовая доля жира,
активная кислотность
|
Ежедневно
|
При каждой варке
|
5.2 Задачи и функции микробиологического контроля
Перед работниками молочной промышленности поставлена задача
всемирного повышения качества и питательной ценности выпускаемой продукции,
расширение ассортимента и выпуск новых видов молочных продуктов. Чтобы
выполнить эти задачи необходимо повысить уровень микробиологического контроля,
повышать санитарно-гигиенические требования и технохимическую дисциплину на
предприятиях молочной промышленности. Без учета данных микробиологии нельзя не
только совершенствовать технологические процессы, но и создавать новые типы
машин и аппаратов.
Микробиологический контроль в молочной промышленности
заключается в проверке качества поступающего сырья и готовой продукции, а так
же в проверке санитарно-гигиенических режимов производства.
Существуют следующие виды микробиологического контроля:
. Контроль технологических процессов и готовой продукции.
Объектами контроля являются: сырое молоко, обезжиренное
молоко, сливки, контроль по ходу технологических процессов, контроль
полуфабрикатов, контроль закваски и готовой продукции. Этот вид контроля
осуществляют в соответствии со схемой организации микробиологического контроля
по инструкции.
. Санитарно-гигиенический контроль условий производства.
Объектами контроля являются: оборудование, посуда, руки
рабочих, вода, воздух, вспомогательные материалы, санитарная одежда.
5.3 Схема организации микробиологического
контроля производства сыров «Литовский» и «Прибалтийский»
Схема организации микробиологического контроля производства
проектируемого ассортимента продукции, представлена в таблице 22.
Таблица 22 - Схема организации микробиологического контроля
производства сыров пониженной жирности
|
Участок контроля
|
Исследуемый объект
|
Название анализа
|
Место отбора проб
|
Периодичность контроля
|
|
Производство сыра
|
Молоко сырое
|
Редуктазная проба Проба на наличие ингибирующих
веществ
|
Средняя проба молока от каждого поставщика
|
1 раз в декаду
|
|
|
Сычужно-бродильная проба
|
Средняя проба от каждого поставщика
|
1 раз
|
|
|
Проба на брожение
|
Средняя от поставщиков
|
1 раз
|
|
|
Общее количества анаэробных лактосбраживающих
бактерий
|
Средняя проба от каждого поставщика
|
1 раз
|
|
|
БГКП
|
средняя
|
1 раз
|
|
Молоко из пастеризатора
|
БГКП
|
Из пастеризатора
|
1 раз в 10 дней
|
|
Молоко после пастеризации Молоко после
пастеризации (перед внесением закваски)
|
БГКП
|
Из сыродельной ванны
|
1 раз в 10 дней
|
|
|
Общее количество анаэробных лактосбраживающих
бактерий
|
Из сыродельной ванны
|
1 раз в 10 дней
|
|
Сыр после прессования
|
БГКП Определение рН.
|
Выборочно из одной головки Каждая варка
|
1 раз в 10 дней
|
|
Вспомогательные материалы
|
Пергамент и др. материалы
|
МА и ФАМ БГКП
|
Из каждой партии
|
2-4 раза в год
|
|
Сычужный порошок, соль
|
МА и ФАМ
|
Из каждой партии
|
Каждая партия
|
.4 Схема санитарно-гигиенического контроля
производства
Схема санитарно-гигиенического контроля производства
представлена в таблице 23
Таблица 23 - Контроль санитарно-гигиенического состояния
производства
|
Участок контроля
|
Исследуемый объект
|
Название анализа
|
Место отбора проб
|
Периодичность контроля
|
|
Санитарно - гигиеническое состояние
|
Трубы резервуара
|
МА и ФАМ БГКП
|
|
Не менее 1 го раза в год
|
|
Сыродельные ванны
|
МА и ФАМ БГКП
|
|
Не менее 1 го раза в год
|
|
Пастеризаторы
|
МА и ФАМ БГКП
|
|
Не менее 1 го раза в год
|
|
Остальное оборудование инвентарь
|
БГКП
|
выборочно
|
Не реже 1 го раза в 10 дней
|
|
Воздух
|
Общее количество колоний Количество колоний,
дрожжей и плесеней
|
Из производственной установки
|
1 раз в месяц
|
|
Вода
|
МА и ФАМ БГКП
|
Из крана, в цехах, водоисточника Из крана,
водоисточника
|
1 раз в квартал или раз в месяц
|
|
Руки рабочих
|
БГКП
|
С рук рабочих
|
Не реже 1 го раза в неделю
|
|
|
Йодкрахмальная проба
|
С рук рабочих
|
1 раз в 10 дней
|
|
Вспомогательные материалы, полимерная пленка
|
МА и ФАМ БГКП
|
На пленке
|
Каждая партия
|
6. Санитарная обработка на предприятии
Для санитарной обработки оборудования следует применять
моющие и дезинфицирующие средства, разрешенные органами ГСЭН РФ для
использования в молочной промышленности в соответствии с инструкциями, разработчиком
ВНИМИ и утвержденными разработчиком или головным организациями отрасли.
Санитарную обработку оборудования на предприятиях
осуществляют согласно утвержденному графику. Моющие и дезинфицирующие растворы
готовят в отдельном помещении персонал, специально назначенным приказом
директора. В отделении для приготовления моющих и дезинфицирующих растворов
перед работай необходимо проверить герметичность трубопроводов подающих моющие
растворы, исправность вентиляции, насосов, приборы приемных резервуаров.
Для приготовления моющих и дезинфицирующих растворов, а также
ополаскивания необходимо использовать водопроводную воду, соответствующую
требования СанПин 2.3.2.1324-03 «Питьевая вода» и ГОСТ 2874-82 «Вода питьевая
гигиенические требования и контроль над качеством».
Температуру теплой воды для приготовления растворов в
интервале 25-400С. Оборудование и его детали, инвентарь, тару,
дезинфицируют после тщательной мойки, так как остатки загрязнения резко снижают
эффективность дезинфицирующих средств. Оборудование не используют после мойки и
дезинфекции более 6 часов в этом случае проводят вторичную дезинфекцию перед
началом работы.
Дезинфекция паром очень эффективна. При обработке
оборудования острым паром (115-1300С) температура поверхности
повышается на столько, что оставшиеся микроорганизмы уничтожаются.
Рекомендуемые щелочные моющие средства и их концентрации при
ручном и механизированном способах мойки:
ТМС «РОМ-АЦ-1», по массе 0,5-0,7%;
ТМС «Вимол», по массе 0,6-0,8%;
кальцинированная сода, по массе 2-4%;
ТМС «МС-37», по массе 0,7-0,9%.
Рекомендуемые щелочные средства и их концентрации только при
механизированном способе мойки:
каустическая сода (в пересчете на 100% веществ) 0,8-1%;
ТМС «Стекломой», по массе 0,5-0,6%;
ТМС «Ника-2», по объему 1-1,2%;
Рекомендуемые дезинфицирующие средства:
гипохлорид натрия марки А, Б (жидкость концентрированная
150-170 г. хлора в 1 литре) 150-200 мг.акт.;
«Санифект -128» по объему 0,1-0,2%.
Гипохлорид натрия выпускается химическими заводами в
соответствии с действующими ГОСТами. При температуре 20оС за 10 дней
теряется 10% первоначальной активности, поэтому на молочных заводах
концентрированные растворы гипохлоридов следует хранить не более 2 месяцев.
Растворы с содержание активного хлора ниже 100 мг/л не могут быть использованы
для дезинфекции. Азотная кислота бесцветная жидкость иногда с желтоватым
оттенком. Выпускают концентрированную и не концентрированную, особой чистоты и
специальную азотную кислоту.
Особенность мойки аппаратуры для обработки молока при высокой
температуре заключается в удалении моющими растворами, кроме остатков молока,
еще и молочного камня, которые способствует сохранению термофильных бактерий.
Мойку осуществляют в два основных этапа: сначала поверхность промывают одним из
щелочных растворов, затем после ополаскивания водой от остатков щелочного
раствора проводят мойку дезинфицирующим раствором.
6.1 Санитарная
обработка оборудования для производства сыров
Санитарную обработку сыродельных ванн, сыроизготовителей,
формовочных аппаратов, проводят после каждого опорожнения ручным или
механизированным способами.
Механизированный способ заключается в использовании
передвижных моечных или распылительных устройств в соответствии с инструкциями
по эксплуатации.
Ручным способом санитарную обработку проводят в следующей
последовательности:
ополоснуть водой до отсутствия остатков продукта;
промыть щелочным раствором температурой 45 - 50 0С (5 - 12 л
на единицу оборудования) в течение 10 - 15 мннут;
ополоснуть водой (25 - 45 0С) до полного отсутствия остатков
щелочного раствора;
продезинфицировать раствором дезинфектанта при температуре 35
- 40 0С (5 - 10 л на единицу оборудования) в течение 5-7 минут;
ополоснуть водой до полного отсутствия остатков
дезинфектанта.
Санитарная обработка сырных форм механизированным способом:
осуществляют на машинах туннельного или карусельного типа в
следующей последовательности:
ополоснуть водой до полного отсутствия остатков продукта;
промыть щелочным распором температурой 45-50 0С;
ополоснуть водой (25 - 45 0С) до полного отсутствия щелочного
раствора (контроль по индикаторной бумаге);
пропарить острым паром (115 - 130 0С) при давлении 0,3 атм в
течение 2 - 3 минут или продезинфицировать раствором дезинфектанта при
температуре 20 - 40 0С в течение 5 - 7 мин;
ополоснуть водой до полного отсутствия остатков
дезинфектанта.
Ручной способ санитарной обработки сырных форм:
ополоснуть формы от остатка продукта в ванне с теплой водой;
перенести формы в ванну с щелочным раствором (45 - 50 0С) и
промыть их с помощью щеток и ершей в течение 10 - 15 минут;
ополоснуть от остатков щелочного раствора путем погружения в
ванну с водой (25 - 45 0С);
продезинфицировать путем погружения форм в ванну с
дезинфектантом на 5 - 6 минут;
ополоснуть водой до полного отсутствия дезинфектанта и
высушить на специальных стеллажах.
Санитарную обработку солильных бассейнов проводят
механизированным или ручным способами при замене рассола в последовательности
указанной выше.
Санитарную обработку, прессов, контейнеров проводят ежедневно
по окончании технологического процесса на производстве:
ополоснуть горячей водой (55 - 60 0С);
промыть щелочным раствором температурой 45 - 50 0С с помощью
щеток и ершей в течение 5 - 7 минут;
ополоснуть водой (25 - 45 0С) до полного отсутствия щелочного
раствора (контроль по индикаторной бумаге);
продезинфицировать раствором дезинфектанта в течение 5 - 7
минут;
ополоснуть теплой водой до полного отсутствия дезинфектанта.
7. Подбор и расчет технологического оборудования
.1 Подбор оборудования для приемки молока
На проектируемом сыродельном заводе
планируется двукратная приемка молока в сутки. Согласно нормам технологического
проектирования устанавливается время приемки молока 4 часа в смену.
Для сортировки поступающего молока
проектируются 2 линии приемки: одна для сортового молока и 1 линия для
несортового молока.
Производительность линии приемки
рассчитывается по формуле:
Согласно расчетов, проектируется 2
счетно-измерительных устройства марки SMZ-2Р, производительностью от 2000 до
15000 л/ч.
В комплект счетно-измерительной установки
входят: самовсасывающий насос марки KSP 50/180, воздухоотделитель марки ОР-20,
двухсекционный сетчатый фильтр марки FP-2, счетчик расходомер марки РМ-2.
Для приемки несортового молока
проектируется отдельная линия, для которой подобрано следующее оборудование:
самовсасывающий насос марки 36-3Ц - 3,5-10, производительностью 13000 л/ч, весы
молочные СМИ-Р-500 грузоподъемностью 500 кг, бак молокоприемный марки
И1-ОБМ-2000 вместимостью 2000 литров, насос центробежный марки 36-1Ц - 2,8-20
производительностью 10000 л/ч.
7.2 Подбор емкостей для
промежуточного резервирования молока
Для промежуточного резервирования молока в течение 30 минут
перед охлаждением проектируются емкости, вместимость которых рассчитывается по
формуле:
Согласно расчета проектируется емкость
вертикального типа марки РМ-Б-4 вместимостью 4000 кг в количестве 1 шт.
Для хранения несортового молока
проектируется емкость вместимостью 10% от массы принятого молока.
Вместимость емкостей рассчитывается по формуле:
Проектируется емкость вертикального типа
марки РМ-Б-4 вместимостью 4000 кг.
7.3 Подбор оборудования
для подогрева, очистки, охлаждения молока
Подбор оборудования для подогрева,
очистки, охлаждения молока ведется по фактической производительности приемной
линии -
л/ч.
Для охлаждения принятого молока до
температуры 10±2 0С, проектируется пластинчато-охладительная
установка марки ООЛ-10 производительностью 10000 кг/ч.
Для подачи молока на подогрев
проектируются центробежный насос марки 36-1Ц2,8-20 производительностью 10000
кг/ч.
7.4 Подбор емкостей для
хранения молока на сыр
Для резервирования молока на сыродельном
заводе согласно нормам технологического проектирования необходимо иметь емкости
для хранения молока общей вместимостью 100% от суточного поступления молока.
Общая вместимость емкостей определяется по
формуле:
Согласно расчета, проектируются емкости
вертикального типа вместимостью марки РМ-Б - 20 вместимостью 20000 кг в
количестве 3 штук.
Из них:
на сепарирование Мм = 19249,38
кг, проектируется 1 емкость;
2 емкости используются для созревания
молока.
7.5 Подбор оборудования
для тепловой обработки молока
Для сепарирования молока и пастеризации
смеси на сыры «Литовский» и «Прибалтийский» проектируется пластинчатая
пастеризационно-охладительная установка для молока, обеспечивающая подогрев
молока до 400С, режим пастеризации 74±2 0С с выдержкой
20-25 секунд, с эффективным временем работы 6 часов в смену.
Производительность установки для
сепарирования определяется по формуле:
Согласно расчета, для тепловой обработки
проектируется пластинчатая пастеризационно-охладительная установка марки
А1-ОКЛ-5, производительностью 5000 кг/ч.
В комплект установки входит следующее
оборудование:
уравнительный бак;
насос для молока центробежный марки
36-1Ц2,8-20;
пластинчатый теплообменник трех
секционный;
бойлер;
насос для горячей воды;
трубчатый пастеризатор;
инжектор;
пульт управления.
Для обеспечения процесса сепарирования
установка доукомплектовывается сепаратором-сливкоотделителем, с нормализующим
устройством, марки ОС2-НС, производительностью 10000 кг/ч.
Для подачи молока на установку
проектируется центробежный насос марки 36-1Ц2,8-20, производительностью 10000
кг/ч.
Производительность установки для сепарирования
определяется по формуле:
С целью интенсификации процессов, для
тепловой обработки смеси на сыры проектируется пластинчатая
пастеризационно-охладительная установка марки А1-ОКЛ-5, производительностью
5000 кг/ч.
Время работы установки на пастеризацию
смеси на сыр «Литовский», определяется по формуле:
Время работы установки на «Прибалтийский»
определяется по формуле:
В комплект установки входит следующее
оборудование:
уравнительный бак;
насос для молока центробежный марки
36-1Ц2,8-20;
пластинчатый теплообменник трех
секционный;
бойлер;
насос для горячей воды;
трубчатый пастеризатор;
инжектор;
пульт управления.
7.6 Подбор оборудования
для резервирования смеси, сливок
Для резервирования сливок, полученных от
сепарирования молока, Мсл = 1840,1 кг, проектируется емкость, марки
Я1-ОМВ - 2,5, вместимостью 2500 кг.
Для резервирования обезжиренного молока от
сепарирования Моб=17334,96 кг, проектируем емкость марки РМ-Б-20, вместимостью
20 м3.
Для составления смеси на сыр «Литовский»
Мсм= 9198 кг проектируем емкость, марки РМ-Б-10, вместимостью 10 м3.
Для составления смеси на сыр
«Прибалтийский» Мсм = 15609 кг, проектируем емкость РМ-Б-10, вместимостью 10 м3,
в количестве 2 штук.
.7 Подбор сыродельных ванн
Для выработки сыров «Литовский» и
«Прибалтийский» (получение сгустка и образование зерна), проектируется
использовать сыродельные ванны, марки В2-ОСВ-10, вместимостью 10000 кг.
Количество варок определяем по формуле:
Итого в смену проектируется 3 варки, ванн
- 3 шт.
7.8 Подбор насосов
Для откачивания сыворотки из сыродельной
ванны проектируется самовсасывающий насос типа 50-3Ц7,1-20 производительностью
25 м3 /ч.
Проектируется откачивать сыворотку 2 раза
по 30%.
Масса сыворотки откаченной за один прием
рассчитывается по формуле:
Время работы насоса на первое и второе
откачивание сыворотки определяется по формуле:
7.9 Подбор насосов для
перекачивания сырного зерна
Для подачи сырного зерна с оставшейся
сывороткой на отделитель сыворотки проектируется насос для сырного зерна, марки
75-2Ц 7,1-3, производительностью 25 м3 /ч.
Масса зерна с оставшейся сывороткой
определяется по формуле:
Общие время работы насоса на подачу
сырного зерна определяется по формуле:
.10 Подбор формовочного
аппарата
Формование сыров производится насыпью, для
осуществления формования проектируем отделитель сыворотки марки Я7-00-23,
производительностью 25 м3/ч. В количестве двух штук, с учетом
вырабатываемого ассортимента сыров.
Для откачивания сыворотки из формовочного
аппарата проектируется насос марки 50-3Ц - 7,1-20, производительностью 25 м3
/ч.
7.11 Подбор прессов
Для прессования сыров проектируются пресса
марки Е8-ОПГ вместимостью 24 формы.
Количество прессов рассчитывается по
формуле:
где В-вместимость пресса в головках.
С учетом оборачиваемости проектируется 7
прессов
.12 Подбор оборудования
для взвешивания свежего сыра
Для взвешивания сыров после прессования
проектируются весы, марки ВСП-500, грузоподъемностью 500 кг.
7.13 Подбор оборудования
для посолки сыра
Для посолки сыров «Литовский» и
«Прибалтийский» проектируются контейнеры марки Т-547, вместимостью 450 кг.
Количество контейнеров определяется по
формуле:
где Z - продолжительность
посолки сыра в сутках.
G - вместимость
контейнера, кг.
7.14 Подбор оборудования
для созревания сыра
Для созревания сыров «Литовский» и
«Прибалтийский» проектируется контейнер, марки Т-480 вместимостью 450 кг.
Количество контейнеров рассчитывается по
формуле:
где Z - продолжительность
созревания в сутках;
G - вместимость
контейнера, кг.
Для мойки сыра проектируется машина марки
Р3-МСЩ, производительностью 100-150 головок в час.
Для обсушки поверхности сыра после мойки
проектируется машина марки М6-ОЛА/1, производительностью 100-150 г./ч.
Для упаковки сыра в пленку, проектируется
машина марки М6-АУД, производительностью 150-200 г./ч.
Для взвешивания зрелого сыра проектируется
весы марки ВСП-500 грузоподъемностью 500 кг.
.15 Оборудование для
приготовления рассола для солильных бассейнов
Для наведения рассола проектируется:
сыродельная ванна, марки В2-ОСВ-5
вместимостью 5000 л;
центробежный насос марки 36-1Ц - 2,8-20
производительностью 10000 кг/ч;
фильтр марки А1-ОФШ;
трубчатый пастеризатор марки Т1-ОУТ
производительностью 10000 кг/ч;
пластинчатый охладитель марки ОО1-У10
производительностью 10000 кг/ч.
7.16 Подбор средств
механизации
Для перемещения контейнеров в солильном
отделении проектируется электротельфер.
Для перемещения контейнеров в камерах
созревания проектируется электропогрузчик.
7.17 Оборудование для
приготовления закваски
Проектируется готовить закваску 1 раз в
сутки в первую смену:
Для производства закваски на сыры
проектируется заквасочная установка марки ОЗУ-300 вместимостью 330 кг, 2 шт. С
учетом хранения закваски выработанной в предыдущие сутки проектируем 4
заквасочные установки.
Для подачи закваски в сыродельные ванны,
проектируется насос ротационного типа, марки В3-ОРА-А2, производительностью
1000 кг/ч.
Общее время работы насоса рассчитывается
по формуле:
Время подачи закваски в одну сыродельную
ванну рассчитывается по формуле:
7.18 Подбор емкостей для резервирования сыворотки
Для резервирования сыворотки от сыра «Литовский», в
количестве 7358,4 кг, предусматриваем емкость РМБ-10, вместимостью 10 м3.
Для резервирования сыворотки от сыра «Прибалтийский», в
количестве 12487,2 кг, проектируем емкость РМ-Б-15.
Таблица 24 - Сводная таблица подбора
оборудования
|
Наименование оборудования
|
Кол-во
|
Марка
|
Произво-дительность
|
Габариты
|
|
|
|
|
длина
|
ширина
|
высота
|
|
Счетно-измерительное устройство
|
1
|
SMZ-2P
|
15000 кг/ч
|
1300
|
900
|
1240
|
|
Самовсасывающий насос
|
1
|
36-3Ц3,5-10
|
13000 кг/ч
|
520
|
225
|
503
|
|
Весы молочные
|
1
|
СМИ-500
|
500 кг/ч
|
1390
|
1120
|
1720
|
|
Бак молокоприемный
|
1
|
И1-ОБМ-2000
|
2000 кг
|
2850
|
1570
|
|
Насос центробежный
|
8
|
36-1Ц 2,8-20
|
10000 кг/ч
|
430
|
225
|
295
|
|
Емкость вертикальная
|
1
|
ОВМ - 2,5
|
2500 л
|
1426
|
1640
|
3000
|
|
Емкость вертикальная
|
2
|
РМ-Б-4
|
4000 кг
|
2015
|
2015
|
2350
|
|
Охладитель
|
1
|
ООЛ-10
|
10000 кг/ч
|
1300
|
600
|
1250
|
|
Емкость вертикальная
|
4
|
РМ-Б-20
|
20000 кг
|
2965
|
2820
|
5980
|
|
Емкость для нормализации
|
3
|
РМ-Б-10
|
10 000 кг
|
2224
|
2224
|
3800
|
|
Пластинчатая пастеризационно-охладительная
установка
|
2
|
А1-ОКЛ-5
|
5000 кг/ч
|
3700
|
3600
|
2500
|
|
Сыродельная ванна
|
3
|
В2-ОСВ-10
|
10000 кг
|
6260
|
3720
|
2815
|
|
Самовсасывающий насос
|
2
|
50-3Ц - 7,1-20
|
25000 кг/ч
|
825
|
365
|
690
|
|
Центробежный насос для сырного зерна
|
1
|
75-2Ц - 7,1-3
|
25000 кг/ч
|
530
|
300
|
460
|
|
Отделитель сыворотки
|
2
|
Я7-00-25
|
25000 кг/ч
|
1650
|
1220
|
1800
|
|
Пресса для сыра
|
7
|
Е8-ОПГ
|
24 гол.
|
2260
|
500
|
3120
|
|
Весы
|
2
|
ВСП-500
|
500 кг
|
1100
|
895
|
-
|
|
Контейнер для посолки
|
21
|
Т-547
|
450 кг
|
1080
|
855
|
1335
|
|
Контейнер для созревания
|
385
|
Т-480
|
450 кг
|
1104
|
898
|
1230
|
|
Машина для мойки сыра
|
1
|
Р3-МСЩ
|
100-150 гол/ч
|
1850
|
690
|
1175
|
|
Машина для обсушки сыра
|
1
|
М6-ОЛА/1
|
100-150 гол.
|
3505
|
1330
|
1750
|
|
Машина для упаковки сыра
|
1
|
М6-АУД
|
150-200 кг/ч
|
4370
|
1300
|
1870
|
|
Сыродельная ванна для рассола
|
1
|
В2-ОСВ-5
|
5000 кг
|
6200
|
2130
|
2300
|
|
Фильтр
|
1
|
А1-ОФШ
|
4500 кг/ч
|
250
|
250
|
400
|
|
Трубчатый пастеризатор
|
2
|
Т1-ОУТ
|
10000 кг/ч
|
1500
|
1250
|
2300
|
|
Пластинчатый охладитель
|
1
|
ОО1-У10
|
10000 кг/ч
|
1600
|
700
|
1250
|
|
Заквасочник
|
4
|
ОЗУ-300
|
330 кг/ч
|
1000
|
600
|
2000
|
|
Ротационный насос
|
1
|
В3-ОРА-А2
|
1000 кг/ч
|
480
|
330
|
250
|
|
Емкость для сыворотки
|
1
|
РМ-Б-15
|
15000 кг
|
2276
|
2276
|
4900
|
|
Емкость для сыворотки
|
1
|
РМ-Б-10
|
10000 кг
|
2224
|
2224
|
3800
|
8. Расчет производственных, складских и
вспомогательных помещений
Расчет площадей помещений производственного здания
предварительно производят для построения плана цеха.
Расчет осуществляется:
по площади, занимаемой технологическим и вспомогательным
оборудованием;
по количеству готового продукта, вырабатываемого в сутки (для
складских помещений и камер хранения готовой продукции);
по количеству персонала занятого на производстве (для расчета
санитарно-бытовых помещений).
8.1 Расчет площадей производственных площадей
Площадь цехов основного производства рассчитывается по
суммарной площади технологического оборудования с учетом коэффициента запаса
площади на площадки для обслуживания оборудования и проходы, проезды по
формуле:
(8.1)
где
- суммарная площадь, занятая
технологическим оборудованием без учета площадок, м2;
К - коэффициент запаса площади;
F - площадь цеха, м2.
Суммарная площадь оборудования определяется из сводной таблицы
раздела «Подбор и расчет оборудования».
Количество строительных прямоугольников определяется по формуле:
где 72 - количество м2 в одном строительном
прямоугольнике.
асчет площади приемного цеха и МХО
Таблица 25 - Площадь, занимаемая оборудованием приемного цеха
и МХО
|
Наименование оборудования
|
Марка оборудования
|
Количество единиц
|
Занимаемая площадь, м2
|
|
Счетно-измерительное устройство
|
SMZ-2P
|
1
|
1,17
|
|
Самовсасывающий насос
|
36-3Ц3,5-10
|
1
|
0,12
|
|
Весы
|
СМИ-500
|
1
|
1,56
|
|
Бак молокоприемный
|
И1-ОБМ-2000
|
1
|
4,47
|
|
Центробежный насос
|
36-1Ц2,8-20
|
3
|
0,3
|
|
Емкость для 30-ти минутной задержки
|
РМ-Б-4
|
1
|
4,06
|
|
Емкость для несортового молока
|
РМ-Б-4
|
1
|
4,06
|
|
Охладитель
|
ООЛ-10
|
1
|
0,78
|
|
Емкость для хранения и созревания
|
РМ - Б-20
|
3
|
25,08
|
|
ИТОГО:
|
41,6
|
Площадь приемного цеха рассчитывается по формуле (8.1):
Количество строительных прямоугольников определяется по
формуле (8.2):
Площадь уточнена методом моделирования и составляет 3
строительных прямоугольника.
Расчет площади аппаратного цеха
Таблица 26 - Площадь, занимаемая оборудованием аппаратного
цеха
|
Наименование оборудования
|
Марка оборудования
|
Количество единиц
|
Занимаемая площадь, м2
|
|
Пластинчатая пастеризационно-охладительная
установка
|
А1-ОКЛ-5
|
2
|
26,64
|
|
Сепаратор-нормализатор
|
ОС-2НС
|
1
|
1,02
|
|
Центробежный насос
|
36-1Ц2,8-20
|
4
|
0,56
|
|
Емкость для сливок
|
Я1-ОСВ-2
|
1
|
2,05
|
|
Емкость для обезжиренного молока
|
РМ-Б-20
|
1
|
8,36
|
|
Емкость для нормализации
|
РМ-Б-10
|
3
|
14,8
|
|
ИТОГО
|
53,43
|
Площадь аппаратного цеха рассчитывается по формуле (8.1):
F =5 *53,43 = 267,1 м2
Количество строительных прямоугольников определяется по
формуле (8.2):
Площадь уточнена методом моделирования и составляет 4
строительных прямоугольника.
Расчет площади сыродельного цеха
Таблица 27 - Площадь, занимаемая оборудованием сыродельного
цеха
|
Наименование оборудования
|
Марка оборудования
|
Количество единиц
|
Занимаемая площадь, м2
|
|
Сыродельная ванна
|
В2-ОСВ-10
|
3
|
69,86
|
|
Насос самовсасывающий
|
50-3Ц7,1-20
|
2
|
0,6
|
|
Насос для сырного зерна
|
75-2Ц7,1-3
|
1
|
0,16
|
|
Формовочный аппарат
|
Я5-ОФИ-1
|
2
|
30,14
|
|
Пресс
|
Г8-ОПГ
|
7
|
7,91
|
|
Весы для сыра
|
ВПС-500
|
1
|
0,98
|
|
Емкость для жирной сыворотки
|
РМ-Б-15
|
1
|
5,18
|
|
РМ-Б-10
|
1
|
4,95
|
|
ИТОГО:
|
119,78
|
Площадь сыродельного цеха рассчитывается по формуле (8.1):
Количество строительных прямоугольников определяется по
формуле (8.2):
Расчет площади отделения для мойки и упаковки сыра
Таблица 28 - Площадь, занимаемая оборудованием отделения для
мойки и упаковки сыра
|
Наименование оборудования
|
Марка оборудования
|
Количество единиц
|
Занимаемая площадь, м2
|
|
Машина для мойки сыра
|
Р3-МСЩ
|
1
|
1,28
|
|
Машина для обсушки
|
М6-ОЛА/1
|
1
|
4,66
|
|
Машина для упаковки сыра
|
М6-АУД
|
1
|
5,68
|
|
ИТОГО:
|
11,62
|
Площадь отделения для мойки и упаковки сыра рассчитывается по
формуле (8.1):
Количество строительных прямоугольников определяется по
формуле (8.2):
Площадь уточнена методом моделирования и составляет 1
строительный прямоугольник.
Расчет площади отделения для приготовления рассола
представлен в таблице 29.
Таблица 29 - Площадь, занимаемая оборудованием отделения для
приготовления рассола
|
Наименование оборудования
|
Марка оборудования
|
Количество единиц
|
Занимаемая площадь, м2
|
|
Сыродельная ванна для рассола
|
В2-ОСВ-5
|
1
|
13,2
|
|
Центробежный насос
|
36-1Ц - 2,8-20
|
2
|
0,2
|
|
Фильтр
|
А1-ОФШ
|
1
|
0,06
|
|
Трубчатый пастеризатор
|
Т1-ОУТ
|
1
|
1,88
|
|
Пластинчатый охладитель
|
ОО1-У10
|
1
|
1,12
|
|
ИТОГО
|
16,46
|
Площадь отделения для приготовления рассола рассчитывается по
формуле (8.1):
Количество строительных прямоугольников определяется по
формуле (8.2):
Расчет площади помещения для приготовления закваски на сыры
«Прибалтийский» и «Литовский»
Таблица 30 - Площадь, занимаемая оборудованием помещения для
приготовления закваски
|
Наименование оборудования
|
Марка оборудования
|
Количество единиц
|
Занимаемая площадь, м2
|
|
Заквасочник
|
Р3-ОЗУ-300
|
4
|
7,8
|
|
Насос
|
В3-ОРА-2
|
1
|
0,16
|
|
ИТОГО:
|
7,96
|
Площадь помещения приготовления закваски на сыры
рассчитывается по формуле (8.1):
Количество строительных прямоугольников определяется по
формуле (8.2):
Площадь уточнена методом моделирования и составляет 1
строительный прямоугольник.
.2 Расчет солильных бассейнов
Площадь
солильного бассейна рассчитывается по формуле:
где
- площадь солильного бассейна, м2;
- количество контейнеров, находящихся в бассейне
для посолки сыра, шт.;
- площадь, занятая одним контейнером, м2;
- коэффициент использования площади солильного
бассейна, К = 0,8
Ширину солильного бассейна рассчитывают по формуле:
где l - длина контейнера для посолки сыра, м;
,1 - расстояние между контейнерами, м.
Общая длина бассейна рассчитывается по формуле:
где L - длина солильного бассейна, м;
Ш - ширина бассейна, м.
Планируется 2 бассейна длиной 11 метров.
8.3 Расчет площади камеры созревания сыра
Расчет площади камеры хранения производится по формуле:
где М - масса сыра, подлежащая хранению за сутки, кг;
С - срок хранения сыра, в сутках;
m - укладочная масса сыра на 1 м2;
k - коэффициент использования площади.
Рассчитываем количество строительных прямоугольников по
формуле (8.2):
Для камеры хранения принимаем 4 строительных прямоугольников.
8.4 Сводная таблица площадей
Таблица 31 - Расчетные и проектные площади помещений
|
Наименование помещений
|
Площадь, м2
|
|
расчетная
|
проектная
|
|
Приемно-моечное отделение
|
-
|
144
|
|
Централизованная мойка
|
-
|
32
|
|
Склад химикатов
|
-
|
20
|
|
Комната сдатчиков
|
-
|
20
|
|
Приемная лаборатория
|
-
|
24
|
|
КИП и автоматика
|
|
24
|
|
Бак лаборатория
|
-
|
40
|
|
Бокс
|
-
|
18
|
|
Химическая лаборатория
|
-
|
42
|
|
Моечная
|
-
|
18
|
|
Тамбур
|
-
|
18
|
|
Приемный цех и МХО
|
283,05
|
288
|
|
Вентиляционная камера
|
-
|
72
|
|
Аппаратный цех
|
83,95
|
144
|
|
Заквасочная
|
39,8
|
48
|
|
Сыродельный цех
|
624,9
|
648
|
|
Помещение для мойки форм
|
-
|
36
|
|
Комната мастера
|
-
|
36
|
|
Камера созревания сыров
|
439
|
432
|
|
Склад соли
|
-
|
14
|
|
Отделение для приготовления рассола
|
65,84
|
58
|
|
Солильное отделение
|
-
|
144
|
|
Склад пленки
|
-
|
26
|
|
Отделение для мойки и упаковки сыра в пленку
|
58
|
46
|
|
Склад тары
|
-
|
40
|
|
Отделение упаковки сыра в ящики
|
-
|
58
|
|
Коридор
|
-
|
72
|
|
Экспедиция
|
-
|
46
|
|
Эстакада
|
-
|
144
|
9. Строительные конструкции
.1 Архитектурно-строительная часть
Проектируется предприятие одноэтажное прямоугольной формы, длиной
66 мм, шириной 36 м, высота производственных цехов 4,8 м, а цеха по
производству сахара-сырца и пристройках для емкостей 6 м. Проектируется сетка
колон 6
12, сечение колон 400
400 мм.
Каркас здания выполнен из железобетонных конструкций и состоит из
фундамента, колон, балок, плит перекрытия. Наружные стены самонесущие,
сплошные, выполнены из кирпича, толщина стены 510 мм. Внутренние перегородки толщиной
200 мм. Стены обладают необходимой теплозащитными свойствами, удовлетворяют
требованиям огнестойкости, прочности, морозостойкости, долговечности.
Оконные проемы в производственном здании проектируются шириной
2000 мм. Проектируются двери однопольные шириной 1000 мм, двупольные -2000 мм,
высотой 2400 мм. Полы должны удовлетворять санитарно-гигиеническим,
эксплуатационным и декоративным требованиям. Наиболее целесообразно принять
кислотоупорную плитку на жидком стекле, что обеспечивает увеличение срока
эксплуатации полов, а также герметичность и водонепроницаемость.
Пол находится на уровне 1,4 м от уровня земли и принят за нулевую
отметку. В камере хранения, в складе тары полы бетонированные. В лабораториях,
комнатах мастера, проектируется укладка линолеума по бетонному основанию.
Покрытие и кровля проектируются плоскими, с уклоном 2° для стока
осадков. Покрытие защищает здание от разных природных воздействий (дождя,
ветра, снега), а также воспринимает все действующие нагрузки и передает их на
колонны.
К складам и экспедиции примыкают эстакады, которые находятся на
уровне пола первого этажа. В камере созревания сыра имеется изоляция для
предупреждения потери холода. Толщина изоляции 250 мм.
Фундаментом называется подземная часть здания, на которую опираются
стены и колонны. Фундамент воспринимает нагрузки от здания и передает их на
основание (грунт). Нижняя часть фундамента, непосредственно опирающаяся на
грунт, называется подошвой фундамента. Фундаменты сооружают из бетона и
железобетона.
Бетонные или железобетонные фундаменты строят из сборных элементов
(блоков) заводского изготовления и из монолитного бетона или железобетона,
приготовляемого на месте строительства.
По конструкции фундаменты делятся на ленточные, или непрерывные,
прерывистые, столбчатые и сплошные.
Ленточные фундаменты сплошной линией тянутся по всему периметру
здания и обычно устраиваются под зданиями с несущими наружными стенами.
Ленточные фундаменты могут быть выполнены монолитными и сборными.
Прерывистые фундаменты устраивают на прочных естественных основах,
при которых блоки подушек укладывают с разрывами, заполняемыми грунтом.
Столбчатые фундаменты применяют в основном в промышленном
строительстве.
Сплошные фундаменты в виде сплошной железобетонной плиты под всем
зданием применяют при слабых и неоднородных грунтах и большой нагрузке,
передаваемой на фундамент.
Для предохранения стен здания от попадания в них грунтовых вод в
фундаментной стене укладывают горизонтальный гидроизоляционный слой, состоящий
из двух слоев рубероида (или из другого битуминозного материала), склеенного
битумной мастикой. Стены зданий опираются на
фундамент и могут быть несущими, самонесущими и ненесущими.
Несущие стены передают на фундамент кроме собственной массы массу крыши (с
нагрузкой от снега, ветра) и перекрытий с действующими на них эксплуатационными
нагрузками. Стена, передающая фундаменту нагрузку только собственной массы,
называется самонесущей. Стены, опирающиеся на каркас здания и воспринимающие
нагрузки от собственной массы и ветра в пределах одного этажа, называются
ненесущими.
.2 Принципы размещения оборудования
Расстановка оборудования выполнена методом плоскостного
моделирования, на плане здания в масштабе 1:100.
При размещение оборудования необходимо придерживаться следующих
требований:
расположение оборудования должно обеспечивать поточность
технологического процесса;
необходимо создать кротчайший путь движения сырья и продуктов его
переработки;
организовать группировку оборудования по назначению и
технологическим показателям;
обеспечить освещенность рабочих мест по существующим нормам;
создать удобство обслуживания машин и аппаратов;
учитывать требования промышленной санитарии, эстетики, техники
безопасности и охраны труда.
При расстановке оборудования, предусматривают проходы между
машинами и аппаратами шириной не менее 1 м, между машинами и стенами не менее
0,5 м.
Для обслуживания машин и аппаратов перед каждым из них со стороны
органов управления проектируются рабочие площадки по все длине машины шириной
от 2 до 3 м, перед каждым пультом управления должно быть предусмотрено
свободное пространство не менее 1 м.
В производственных цехах лабораториях и складах предусмотрены
лампы дневного света
В каждом цехе предусмотрены проходы для обслуживающего персонала,
а при необходимости для проезда внутризаводского транспорта. Административное
здание с производственным комплексом проектируется соединять теплым переходом.
Заключение
Данным проектом разработан сыродельный цех мощностью 1,8 т готовой
продукции в смену с разработкой следующего ассортимента:
сыр «Прибалтийский» м.д. жира в сухом веществе 20%;
сыр «Литовский», м.д. жира в сухом веществе 30%.
Проектом предусмотрены прогрессивные технологии, обеспечивающие
высокую производительность труда.
Для выработки продуктов подобрано современное высокопроизводительное
оборудование, установки, агрегаты, предусмотрена комплексная механизация.
Проектом предусмотрена выработка продуктов с соблюдением
санитарно-гигиенических правил, в соответствии с требованиями стандарта. Все
это обеспечивает выпуск продукции высокого качества и делает готовые продукты
конку-рентоспособными.
Предусмотрены ресурсо- и энергосберегающие технологии, что
обеспечивает снижение себестоимости выработанных продуктов.
Производство сыров «Прибалтийский» и «Литовский» является
безотходным производством, что свидетельствует о незначительном ущербе
окружающей среде.
Внедрение данного проекта в производство экономически
целесообразно.
Список используемой литературы
1. Журнал «Молочная промышленность» №6,10,
12, - 2009 г.;
2. Справочник технолога молочного
производства, том 3 - сыры. В.В. Кузнецов, Г.Г Шиллер; С-Пб, 2003 г.;
. Промышленная переработка вторичного
молочного сырья А.Г. Храмцов, С.В. Василисин; Москва, 2003 г.;
4. Крусь Г.Н, Кулешова И.М. «Технология сыра
и других молочных продуктов» - М.: Колос, 1992;
5. Справочник по оборудованию для
производства сыра и сыворотки Г.Г Шиллер, Москва 1990 г.;
6. В.А. Самойлов «Справочник технолога
молочного производства» том 7, С.П.Б. 2004 г.;
. СанПин 2.3.4.551 - 96;
. Инструкция по применению заквасок;
. Инструкции по микробиологическому
контролю;
10. Ткаль Т.К. «Технохимический контроль на
предприятиях молочной промышленности» - М.: Агропромиздат, 19904
11. В.В. Беляев «Охрана труда на предприятиях
мясной и молочной промышленности» Москва; Агропромиздат 1982 г.;
. Инструкция по санитарной обработке
оборудования, инвентаря и тары на предприятиях молочной промышленности;
. Н.К. Ростроса, П.В. Мордвинцева «Курсовое
и дипломное проектирование предприятий молочной промышленности», М:
Агропромиздат 1989 г.
14. «Сыры» - ГОСТ Р 52972 -2008
15. Шилер Г.П, Шнейдер Л.К «Оборудование для
производства сыра и сыворотки». - М.: Агропромиздат, 1990.-207 с.