Изучение влияния искусственного шума в 2-1-1 канале на безопасность передачи информации
Министерство
образования и науки Российской Федерации
Федеральное
государственное автономное образовательное учреждение высшего образования
«Нижегородский государственный университет
им. Н.И.
Лобачевского» (ННГУ)
Радиофизический
факультет
Специальность
«Информационная безопасность телекоммуникационных систем»
Кафедра
радиотехники
ОТЧЕТ
ПО НАУЧНО-ИССЛЕДОВАТЕЛЬСКОЙ ПРАКТИКЕ
Изучение
влияния искусственного шума в 2-1-1 канале на безопасность передачи информации
Научный руководитель ______________ /Пархачёв
В.В./
Студент группы 455 ________________ /Калюганов
Л.А./
г. Н.
Новгород, 2014
Содержание
Введение
. Теоретическая часть
.1 Вероятность битовой ошибки в
релеевском канале в системе с разнесённым приёмом
1.2 Использование искусственного
шума
.3 Пропускная способность и Secrecy
Capacity
2. Практическая часть
Вывод
Список литературы
Приложения
Введение
искусственный
шум информация передача
Одной из главных проблем в области беспроводных
систем связи является значительное увеличение скорости передачи данных и
повышение качества обслуживания пользователей (уменьшение вероятности ошибки
передачи информации). Эта проблема особенно актуальна в сотовых (мобильных)
беспроводных системах связи, работающих в сложных условиях распространения
сигналов. «Традиционные» пути ее решения, связанные с расширением частотной
полосы или с увеличением излучаемой мощности, исчерпали себя из-за высокой
стоимости частотных диапазонов и требований биологической защиты.
Излучение информации в открытый канал (свободное
пространство) делает такой обмен данными в этой среде уязвимым для
прослушивания. В данной работе рассматриваются проблемы секретной коммуникации
между двумя узлами, в канале с замираниями сигнала, в присутствии пассивного
перехвата сообщений. Предполагается, что у передатчика больше антенн, чем у
приёмника и перехватчика (MISO-система
2-1-1).
Передатчик обеспечивает секретность связи с
помощью передачи части из доступной мощности в искусственный шум, таким
образом, что канал перехватчика ослабляется быстрее, чем приёмника .
Цель работы. Изучить влияние искусственного шума
для обеспечения повышения секретности передачи информации для QPSK-сигнала
в MISO системе 2-1-1 в
канале с релеевскими замираниями.
1. Теоретическая часть
.1 Вероятность битовой ошибки в релеевском
канале в системе с разнесённым приёмом
Вероятность битовой ошибки в однолучевом
релеевском канале
Для систем сотовой (мобильной) связи характерно
многолучевое распространение сигналов. Принимаемый импульс представляет собой
сумму отдельных импульсов, отраженных от достаточно большого числа
рассеивателей (отражателей), располагающихся вокруг пользователя случайным
образом и имеющих случайную поверхность рассеяния. Поэтому сигнал может
искажаться при распространении через многолучевой канал. Важной характеристикой
многолучевой среды является временная дисперсия в канале, так как
переотраженные сигналы имеют разные задержки. Более того, задержки многолучевых
компонент изменяются во времени из-за движения пользователя, что приводит также
к частотной дисперсии в канале.
В данной работе предполагается, что длительность
импульса значительно превышает возможные задержки сигналов, обусловленные
рассеянием в пространственном канале. Поэтому межсимвольная интерференция
является пренебрежимо малой. Ширина полосы предполагается достаточно узкой и,
поэтому, канал является частотно-неселективным. Свойства такого канала могут
быть описаны с помощью комплексного коэффициента передачи h
сигналов из передающей антенны в приемную антенну [3].
Амплитуды и фазы коэффициента передачи h
являются случайными величинами из-за интерференции рассеянных сигналов. Если
прямой сигнал существенно ослаблен, то фаза коэффициента h
равновероятно распределена в пределах от 0 до 2π, а
амплитуда подчиняется релеевскому распределению. Релеевский канал, в котором
замирания сигналов являются наиболее глубокими, характерен для городских
условий. Для пригородных и сельских условий более характерным является
райсовский канал, когда наряду с рассеянными сигналами имеется прямой сигнал.
Предположим, что используется двоичная фазовая
модуляция сигналов, при которой каждый символ переносит один бит данных. В
современных системах связи, например, в CDMA
(Code Division
Multiple
Access) системах с
кодовым разделением пользователей, используется квадратурная фазовая модуляция,
когда каждый символ переносит два бита. Такая модуляция соответствует двум
двоичным фазово-модулированным сигналам в квадратуре. При этом интерференция
между сигналами в разных квадратурах отсутствует. Следовательно, вероятность битовой
ошибки не изменяется и приведенные результаты справедливы и для случая
квадратурной фазовой модуляции [1].
Рассмотрим вначале случай одной приемной
антенны, то есть однолучевой релеевский канал. Если передается символ d(t)
единичной амплитуды, то принятый сигнал x(t) можно представить в виде

(1)
где 
- коэффициент, определяющий
затухание и потери в канале связи;

- средняя излучаемая мощность; 
- собственный шум.
Будем считать собственный шум
случайным гауссовским процессом с нулевым средним и дисперсией 
, 
- знак статистического усреднения.
Для целей данной работы коэффициент 
можно без ограничения общности
считать равным единице (
.
Свойства пространственного канала
(коэффициента 
) изменяются со временем. Однако в
(1) данная зависимость не отражена, чтобы подчеркнуть, что изменения канала
являются существенно более медленными, чем длительность символа. Дисперсию
флуктуаций канального коэффициента можно считать равной единице, то есть 
=1.
Из (1) получим, что мгновенное
значение отношения сигнал/шум (ОСШ) равно:

(2)

=
/
- среднее ОСШ.
Амплитуда 
коэффициента передачи имеет
релеевское распределение. Следовательно, случайное ОСШ 
будет иметь экспоненциальное
распределение вида:
Найдём вероятность 
битовой ошибки, которая равна
отношению среднего числа неправильно принятых бит к общему числу переданных бит.
Так как ОСШ 
является случайной величиной, то
необходимо сначала найти вероятность битовой ошибки для всех возможных значений
ОСШ 
в (3). Затем должно быть выполнено
усреднение этой ошибки, используя функцию плотности вероятности 
ОСШ. Следовательно, чтобы найти
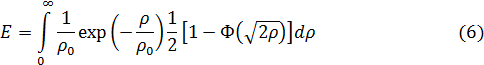
битовую ошибку при передаче через релеевский канал, необходимо вычислить
интеграл:
где 
- вероятность битовой ошибки в
статистическом канале без замираний при ОСШ равном 
.
Вероятность 
при бинарной модуляции определяется
интегралом вероятности Ф(x) и равна
Учитывая распределение (3) для ОСШ,
получим, что
Этот интеграл вычисляется. В
результате для вероятности битовой ошибки будем иметь
В случае достаточно большего
среднего ОСШ (
) формула (7) упрощается и принимает
вид
Таким образом, при больших ОСШ
вероятность битовой ошибки в релеевском канале обратно пропорциональна среднему
ОСШ. [1]
1.2 Использование искусственного шума
Положим, что приёмник (Боб) и перехватчик (Ева)
имеют по одной антенне. Примером такой ситуации является беспроводная локальная
сеть, с базовой станцией в качестве передатчика (Алиса) [7] (рис.1)
Рис. 1 Схема канала связи
Искусственный шум генерируется таким образом,
чтобы он имел нулевое значение на приёмнике. Это схема опирается на знание
канала приёмника. Благодаря этому, становится возможным «обнулить» шум у Боба,
и следовательно приёмник не зависит от искусственного шума. Однако, в общем
случае, канал перехватчика будет ухудшаться, так как свойства канала будут
отличаться от канала приёмника и, следовательно, некоторые компоненты будут
зашумлять перехватчик.
Опишем, как передатчик может генерировать
искусственный шум для подавления канала перехватчика. Передатчик выбирает xk
как сумму информационного сигнала sk
и искусственного шума wk:
xk = sk
+ wk (9)
Оба вектора являются комплексными векторами.
Вектор wk выбирается
таким образом, что произведение Hkwk
= 0. В тоже время произведение Gkwk
≠
0. В результате сигналы на приёмнике и перехватчике равны соответственно:
zk = Hksk
+ nk (10)
yk = Gksk
+ Gkwk + ek
В результате видно, как искусственный шум
обнуляется в канале приёмнике, но не обязательно в канале перехватчика. Таким
образом, канал перехватчика деградирует с высокой вероятностью, в то время, как
приёмник остаётся эффективным. [6]
.3 Пропускная способность и Secrecy
Capacity
Шенноновская пропускная способность равна
максимальному числу бит, которые можно передать без ошибки за одну секунду и в
полосе частот 1 Гц или, что эквивалентно, битовой загрузке символа. ПС
определяется только статистическими свойствами федингов и средней мощностью и
не зависит от способа помехоустойчивого кодирования данных. Если ρ
мгновенное
ОСШ, то шенноновская пропускная способность определяется выражением вида:
С=log2(1+ρ)
(11)
Для пары (hM,
hW) реализаций канала
с затуханиями cоответствует канал
с ОСШ ρM
на приёмнике и с ОСШ ρW
на перехватчике. Канал перехватчика деградирует быстрее, чем канал приёмника,
т.е. ОСШ у Евы будет ниже, чем ОСШ у Боба, то пропускная способность канала
будет вычисляться по формуле:
Сs
= CM - CW
(12)
где СМ = 1 / 2 log2(1+
ρM) - пропускная
способность канала приёмника и СW
= 1 / 2 log2(1+ ρW)
- обозначает пропускная способность канала перехватчика.[2]
Данное выражение имеет смысл секретной ёмкости
канала (Secretcy
Capacity).
Пропускная способность комплексного канала
соответственно получается:

(13)
В первом случае справедливо при ρM > ρW, а во
втором при ρM ≤ ρW.
Это уравнение соответствует
пропускной способности канала с приёмником и перехватчиком. На перехватчике
квазистатические замирания являются случайной величиной, поэтому система может
быть охарактеризована либо с точки зрения простой вероятности, либо с точки
зрения средней пропускной способности (secrecy capacity). [5]
2. Практическая часть
Для описания многолучевого релеевского канала и
изучения изменения вероятности битовой ошибки при передаче данных через данный
канал были написаны две программы. Обе программы написаны в среде «Matlab».
Первая программа [Приложение 1] моделирует и
иллюстрирует рассмотренный в данной работе многолучевой релеевский канал и MISO-канал
с приёмником (Bob) и
перехватчиком (Eva).
Рис.2 Вариант канала и MISO-системы.
Вторая программа [Приложение 2] рассчитывает
результаты применения искусственного шума (Artificial
noise) в MISO-системе.
Принципиальная блок-схема программы представлена ниже на рис.2.
Сначала задаёмся априорной вероятность битовой
ошибки на приёмнике (Bob).
В данном моделировании будет рассмотрен сигнал с квадратурной фазовой
манипуляцией (QPSK). С помощью
выражения (14)
переходим от вероятности битовой ошибки к ОСШ.
(14)
где Q(x) =
- гауссов интеграл ошибок.
Генерируем четыре случайных фазы по
равномерному распределению и четыре амплитуды по распределению Релея (т.к.
релеевский канал). Находим канальные коэффициенты: h1, h2, g1, g2.
Рис. 2. Блок схема программы
Считаем изменения канала медленными,
а следовательно дисперсию флуктуаций канального коэффициента полагаем равной
единице.
Моделируем искусственный шум (artificial noise). Введём
коэффициент α,
которым
обозначим долю искусственного шума на выходе передатчика по амплитуде.
x = h1 (S1 +
n1) + h2 (S2 + n2) (15)= h1S1 + h2S2 + h1n1 + h2n2
где S1 и S2 - сигналы
на антеннах передатчика, n1 и n2 -
искусственный шум.
Шумовые коэффициенты n1 и n2 выбираются
таким образом, чтобы выполнялось условие: h1n1 + h2n2 = 0, т.е. n1 = - 
n2.
Рассчитываем ОСШ с учётом
сгенерированного искусственного шума. Долю шума меняем от 0 до 100%. Для Боба
имеем:

= ρob (16)
Для Евы:

= ρoe (17)
Переводим полученные результаты в
децибелы.
Рассчитываем вероятность битовой
ошибки для Боба и Евы для различных параметров α.
Рассчитываем секретную ёмкость по
формуле (13).
Усредняем полученные результаты на
10 тысяч итераций.
Выводим получившиеся зависимости в
виде графиков.
Рис.3 Зависимость ОСШ от α при Р0b = 10-3
Рис.4 Зависимость BER от α при Р0b = 10-3
Рис.5 Зависимость Secrecy Capacity от α при Р0b = 10-3
Рис.6 Зависимость ОСШ от α при Р0b = 10-6
Рис.7 Зависимость BER от α при Р0b = 10-6
Рис.8 Зависимость Secrecy Capacity от α при Р0b = 10-6
Рис.9 Зависимость ОСШ от α при Р0b = 10-9
Рис.10 Зависимость BER от α при P0b =
10-9
Рис.11 Зависимость Secrecy Capacity от α при Р0b = 10-9
Вывод
Из приведённых выше графиков можно
сделать несколько выводов.
Применение искусственного шума
повышает секретность передачи информации.
При вводе искусственного шума канал
перехватчика ослабевает быстрее, чем канал приёмника.
Оптимальное соотношение амплитуд
полезного сигнала и искусственного шума видно из графиков отношения секретной
ёмкости к параметру α.
Максимальному
значению секретной ёмкости соответствует оптимальное значение параметра α (Рис.5,
Рис.8, Рис.11).
Причём при увеличении изначального
отношения сигнал/шум оптимальное значение параметра α увеличивается
(т.е. увеличивается доля искусственного шума).
Список литературы
. В.Т.
Ермолаев, А.Г. Флаксман Адаптивная пространственная обработка сигналов в
системах беспроводной связи. Нижний Новгород, 2006.
2. Скляр
Б. Цифровая связь. Теоретические основы и практическое применение. Пер.
с
англ.
М:,
Вильямс,
2003.
3. В.
Слюсар Системы MIMO:
принципы построения и обработка сигналов. Электроника: наука, технологии,
бизнес. Москва, 2005.
. Д.Н.
Ивлев, С.В. Панфилов Методическое пособие. Основные виды кодирования источника
и полосовой модуляции/демодуляции в цифровых системах связи Нижний Новгород,
2003
5. J.
Barros, M. R. D. Rodrigues Secrecy Capacity of Wireless Channels. University of
Cambridge, United Kingdom
. S.
Goel, R. Negi Guaranteeing Secrecy using Artificial Noise. Carnegie Mellon
University August,
2007
. M.
Bloch, J. Barros, M. R. D. Rodrigues, S. W. McLaughlin Information Theoretic
Security for Wireless Channels - Theory and Practice. University of Cambridge,
United Kingdom
Приложение 1
clc
lambda = 0.3; %
длина волны
raz = 100;
M = 100;
rastxy=10; %
расстояние между антеннами Алисы
Ax1 = 0;
Ay1 = rastxy/2*lambda;
Ax2 = 0;
Ay2 = -rastxy/2*lambda;
Bx = raz;
By = 0;
Ex = 0.75*raz+0.25*raz*rand;
Ey = raz-raz*2*rand;
Xscat = rand(1,M)*1.5*raz;=
rand(1,M)*2*raz - 2*raz/2;; plot(Ax1,Ay1,'p', Ax2,Ay2,'p', Bx,By,'p',
Ex,Ey,'p', Xscat,Yscat,'bl.');
Приложение
2
all= 1; ind=1;=1;=
10^-9; % Вероятность битовой ошибки=0:0.01:1;
% Q = 1/2 * erfc (x /(sqrt(2))); ------ гауссов
интеграл ошибок
rob0 = (erfcinv(2*P))^2
% rob0db = 10 * log10 (rob0);k =
1:1:10000;n = 1:1:4(ind) = 2*pi*rand();(ind) = 1.98*raylrnd(sqrt(2/pi));=
amp.*exp(1i*phi);=ind+1;= alfa*exp(1i*2*pi*rand());= -h(2) / h(1) * n2;
%
rob(index)=((abs(h(1))+abs(h(2))).^2)./squaresigma;
%
roe(index)=abs(conj(h(1))/abs(h(1))*h(3)+conj(h(2))/abs(h(2))*h(4))^2/squaresigma;(index,
1:101)=((1-alfa).^2.*(abs(h(1))+abs(h(2))).^2)./squaresigma;(index,
1:101)=((1alfa).^2.*abs(conj(h(1))/abs(h(1))*h(3)+conj(h(2))/abs(h(2))*h(4))^2).
/(squaresigma+(abs(n1*h(3)+n2*h(4))).^2);=
index + 1;= mean(rob1);= mean(roe1);
% ___________________ОСШ__________________________db
= 10 * log10 (rob2);db = 10 * log10 (roe2);; plot (alfa, rob2db, 'g-', alfa,
roe2db, 'r-')on('Artificial noise')('SNR, dB')('Bob', 'Eva')
%
________________BER________________________________= 0.5 * erfc(sqrt(rob2));=
0.5 * erfc(sqrt(roe2));; semilogy (alfa, Pb2, 'g-', alfa, Pe2,
'r-')on('Artificial noise')('BER')('Bob', 'Eva')
% ___________Secrecy
Capacity____________________________= 0.5 * log2( 1 + rob2 ) - 0.5 * log2 ( 1+
roe2 );; plot (alfa, SC, 'b-')on('Artificial noise')('Secrecy Capacity')