Разработка модели оценки уровня качества сахара желирующего

  • Вид работы:
    Курсовая работа (т)
  • Предмет:
    Другое
  • Язык:
    Русский
    ,
    Формат файла:
    MS Word
    118,49 Кб
  • Опубликовано:
    2014-08-20
Вы можете узнать стоимость помощи в написании студенческой работы.
Помощь в написании работы, которую точно примут!

Разработка модели оценки уровня качества сахара желирующего

Учреждение образования

«БЕЛОРУССКИЙ ГОСУДАРСТВЕННЫЙ ТЕХНОЛОГИЧЕСКИЙ УНИВЕРСИТЕТ»

Факультет ТОВ

Кафедра ФХМП





КУРСОВАЯ РАБОТА

по дисциплине «Квалиметрия систем, процессов и продукции»

тема «Разработка модели оценки уровня качества сахара желирующего»








Минск 2014

Реферат

Курсовая работа содержит 45 страниц, 3 рисунка, 26 таблиц, 39 формул, 19 литературных источников.

САХАР ЖЕЛИРУЮЩИЙ, КВАЛИМЕТРИЯ, КАЧЕСТВО, УПРАВЛЕНИЕ КАЧЕСТВОМ, ПОКАЗАТЕЛИ КАЧЕСТВА, МЕТОДЫ ОЦЕНКИ УРОВНЯ КАЧЕСТВА, МОДЕЛЬ ОЦЕНКИ УРОВНЯ КАЧЕСТВА

Целью данной курсовой работы является разработка модели оценки уровня качества для сахара желирующего.

В работе изучена вся необходимая нормативная документация, описано сырье для производства сахара желирующего, состав и физико-химические свойства продукции, приведена технологическая схема производства с постадийным описанием процесса, особенности управления качеством при производстве сахара желирующего, рассмотрены показатели качества продукции и их классификация, представлены основные методы оценки уровня качества продукции, а также на основании всех этих данных разработана модель оценки уровня качества сахара желирующего, а также сделаны соответствующие выводы о качестве продукции.

Введение

На современном этапе развития прогресса в области производства продуктов питания очень актуальной является такая наука, как квалиметрия. Она позволяет оценить уровень качества готовой продукции, а также разработать различные модели управления качеством продукции на различных стадиях ее производства.

Качество продукции - это совокупность свойств продукции или услуги, позволяющих в максимальной степени удовлетворить потребности человеческого общества при минимальном для него ущербе от существования данной продукции на протяжении всего ее жизненного цикла.

Для управления качеством продукции и его повышения необходимо оценить уровень качества. Оценка уровня качества продукции является основой для выработки необходимых управляющих воздействий в системе управления качеством продукции.

Уровень качества продукции определяется сравнением показателей данного изделия с лучшими аналогичными образцами и действующими стандартами. С появлением более совершенных образцов, с точки зрения удовлетворения общественных потребностей, уровень качества выпускаемых ранее изделий снижается.

Для определения уровня качества конкретных изделий всегда необходимо выбирать такие показатели качества продукции, которые в наибольшей степени отражают способность данных изделий удовлетворять определенную общественную потребность. А для управления качеством продукции и его повышения необходимо оценить уровень качества.

В данной курсовой работе в виде объекта исследования выбран сахар желирующий «Классик». Его производство налажено в 2007 году на ОАО «Жабинковский сахарный завод». Желирующий сахар в последнее время все чаще используется для приготовления варенья <#"801581.files/image001.jpg">

C, C1, C2 - концентрации сахара в свекловичной стружке; c, c1, c2 - концентрации сахара в диффузионном соке.

Рисунок 2 - Схема противоточного обессахаривания свекловичной стружки

Стружка концентрацией сахарозы С2 поступает в головную часть (А) диффузионного аппарата и движется к хвостовой его части (В), отдавая сахарозу движущемуся навстречу растворителю. В хвостовой части аппарата сахара в стружке остается совсем мало, но диффузия продолжается, так как стружка омывается свежей водой. При таком противоточном процессе из стружки извлекается максимальное количество сахарозы [13].

Если температура в диффузионном аппарате ниже 70°С возможно развитие микроорганизмов и потери сахара, а при температуре более 75°С происходит быстрое набухание и растворение пектиновых веществ, в результате чего снижается упругость стружки и загрязняется диффузионный сок. Стружка в теплообменной части аппарата нагревается диффузионным соком и насосом подается снизу в колонный диффузионный аппарат. В аппарате стружка перемещается вверх с помощью вращающегося вала с лопастями и неподвижных контрлопастей, находящихся внутри аппарата. Диффузионный сок через ситовую поверхность выходит из нижней части колонны, охлаждается до температуры 45-55°С и направляется на очистку. Обессахаренная стружка (жом) из верхней части аппарата направляется в шнековый водоотделитель, затем вода окончательно отделяется прессованием, освобождается от мезги, стерилизуется и в смеси со свежей водой направляется в диффузионный аппарат. Свежая вода предварительно подогревается до 72°C и сульфитируется диоксидом серы до значения рН 5,5-6,0. Длительность диффузии при температуре 74-75°С составляет 75-80 мин, выход диффузионного сока - 120-125 кг из 100 кг свеклы.

Очистка диффузионного сока. Диффузионный сок представляет собой пенящуюся жидкость черного цвета, содержит взвешенные частицы (обрывки клеточных стенок, скоагулированные белки), растворенные несахара, мешающие кристаллизации сахарозы и увеличивающие потери сахара. Сок имеет кислую реакцию (рН 6,0-6,5).

Цели очистки диффузионного сока - нейтрализация кислот, удаление взвешенных частиц и растворенных несахаров [9].

Отделение мезги. Мезгой принято называть мелкие частички свеклы (размером менее 1 мм), которые образуются главным образом при изрезывании свеклы в стружку, перетиранием ее при транспортировке в диффузионном аппарате.

Количество мезги зависит от качества перерабатываемой свеклы, типа свеклорезки, применяемых ножей, режима изрезывания свеклы, типа диффузионной установки.

Содержание мезги в диффузионном соке из диффузионных аппаратов непрерывного действия составляет 0,05-0,3%.

Для эффективного удаления мезги используют дуговые сита, не имеющие движущихся частей. Они удаляют примерно 50% мезги [11].

Дефекация. После отделения мезги диффузионный сок подвергают дефекации - обработке известью. При этом происходит нейтрализация кислот с образованием солей кальция, коагуляция высокомолекулярных соединений, разложение некоторых несахаров. Дефекацию проводят в две стадии.

Во время предварительной дефекации диффузионный сок медленно смешивается с дефекованным соком и соком I сатурации до достижения значения рН 10,8-11,6. На этой стадии необходимо осадить максимальное количество несахаров и получить осадок с оптимальными свойствами для дальнейших операций, в частности фильтрования. В зависимости от качества свеклы температура на предварительной дефекации может составлять от 50 до 90°С. При переработке свеклы невысокого качества предпочтительна холодная дефекация, поскольку при этом в сок переходит меньше продуктов распада белков и пектиновых веществ.

Для основной дефекации сок нагревают до температуры 85-88°С и добавляют в избытке известковое молоко, значение рН сока при этом возрастает до 12,2-12,3, создается избыток извести, необходимый для получения достаточного количества карбоната кальция на I сатурации. В ходе основной дефекации протекает ряд процессов: донейтрализация кислот, омыление жиров, разложение органических несахаров (амидов кислот, редуцирующих сахаров, пектиновых веществ). Состав сока усложняется: при разложении сахаров образуются органические кислоты (молочная, уксусная, муравьиная), которые образуют растворимые соли кальция, из пектиновых веществ получаются метиловый спирт, уксусная и полигалактуроновая кислоты. Метиловый спирт улетает при последующем выпаривании сока, уксусная кислота дает растворимый ацетат кальция, а полигалактуроновая кислота образует пектат кальция - труднофильтрующийся слизистый осадок. И предварительная, и основная дефекации проходят в вертикальном цилиндрическом аппарате с мешалкой, сок и известковое молоко поступают в аппарат снизу, а дефекованный сок отводится сверху.

Сатурация. Сразу же после основной дефекации сок вместе с осадком поступает в сатуратор. В дефекованном соке 90% извести находится в виде осадка и 10% - в растворенном состоянии. Сатурация заключается в пропускании через сок сатурационного газа, содержащего 30-34% диоксида углерода, избыточная известь при этом выпадает в осадок в виде карбоната кальция. На поверхности частиц осадка сорбируются различные примеси. Чем больше образуется осадка и чем меньше его частицы, тем полнее проходит очистка сока.

Сатурацию проводят в две стадии. На первой стадии (Ι сатурация) температура сока 80-85°C. В настоящее время для применяющихся в сахарной промышленности сатураторов нормальная продолжительность Ι сатурации считается 10 минут, так как при большей скорости этого процесса трудно выдерживать требуемую щелочность сока. Вторая стадия необходима для окончательного удаления извести и растворимых солей кальция с целью предупреждения образования накипи в выпарных аппаратах. Вторую стадию (ΙΙ сатурацию) проводят при температуре 93-97°C, что позволяет разложить бикарбонат кальция, имеющий высокую растворимость.

Сатуратор представляет собой цилиндрическую емкость с коническим днищем. Сатурационный газ подается снизу и с помощью решетчатых перегородок равномерно распределяется по сечению аппарата. Навстречу газу стекает дефекованный сок. Чем выше скорость сатурации, тем мельче частицы образующегося осадка и выше их адсорбционная способность. Отсатурированный сок отводится из нижней конической части. После Ι сатурации он делится на два потока: один подается на предварительную дефекацию, второй - на фильтрование, после ΙΙ сатурации весь сок направляется на фильтрование.

Фильтрование. Целесообразно перед фильтрованием подогревать сок до температуры 85-88°C, при этом его вязкость снижается и фильтрование ускоряется.

Сок после I сатурации содержит 4-5% твердых частиц. Его фильтрование проводят в две стадии: грубое и тонкое (контрольное) фильтрование. Используют различные фильтры - дисковые, фильтр-прессы, патронные фильтры - и разные фильтрующие материалы (ткань, керамика, металлические сита). Важное значение в процессе фильтрования имеет слой осадка на фильтрующем материале, между частицами осадка образуются тонкие извилистые ходы, через которые проходит жидкость. Если осадок слишком крупный, фильтрование идет неудовлетворительно, если частицы очень мелкие - процесс длительный. С ростом толщины слоя осадка возрастает сопротивление, поэтому фильтрующую поверхность периодически очищают от осадка. Осадок на 75-80% состоит из карбоната кальция, а на 25-20% - из пектиновых веществ, кальциевых солей органических кислот, минеральных веществ. Его можно использовать для известкования кислых почв.

Сок после II сатурации фильтруют в одну стадию на дисковых или патронных фильтрах.

Сульфитация. Сульфитации подвергают фильтрованный диффузионный сок после II сатурации, смесь сиропа с клеровкой, а также воду, подаваемую в диффузионный аппарат.

Сульфитация заключается в обработке сульфитационным газом, содержащим 10-15% диоксида серы. Его получают при сжигании серы в специальных печах. При пропускании газа через жидкость образуется сернистая кислота, которая восстанавливает и, значит, обесцвечивает красящие вещества. Одновременно сернистая кислота снижает щелочность сока и вязкость сиропа, блокирует карбонильные группы сахаров и тем самым предотвращает образование красящих веществ при выпаривании, способствует обеззараживанию сока и воды. Оптимальное значение pH после сульфитации: сока - 8,5-8,8, сиропа - 7,8-8,2, воды - 5,5-6,0.

Очищенный диффузионный сок содержит 12-14% сухих веществ, из которых 10-12% сахароза, 0,5-0,7% азотистые вещества, 0,4-0,5% безазотистые органические вещества и около 0,5% минеральные вещества. Чистота сока 90-92%.

Сгущение сока до сиропа. Очищенный сок необходимо сгустить до получения перенасыщенного раствора. Сгущение осуществляют в два этапа. На первом этапе сок имеет невысокую вязкость, и его сгущают до сиропа с содержанием сухих веществ 62-65% в многокорпусных выпарных установках. Это позволяет экономить энергию, поскольку греющий пар подается только в первый корпус, остальные корпуса обогреваются вторичным паром предшествующего корпуса Сироп смешивают с клеровкой желтого сахара, сульфитируют, фильтруют на патронных фильтрах и направляют на дальнейшее сгущение.

Варка и центрифугирование утфеля I. На втором этапе очищенный сироп сгущают до содержания сухих веществ 92,5-93,5%. Уваривание проводят под разрежением при пониженной температуре кипения для предотвращения разложения сахарозы.

По мере сгущения сиропа возрастает коэффициент пересыщения, который показывает, во сколько раз в данном растворе сахарозы больше, чем в насыщенном растворе при тех же условиях. При значении коэффициента пересыщения 1,25-1,30 раствор находится в неустойчивом состоянии и в этот момент вводят тонкоизмельченную сахарную пудру для заводки («затравки») кристаллов. Процесс образования новых кристаллов прекращают, снижая коэффициент пересыщения до 1,08-1,12 путем введения свежих порций сиропа. Такой коэффициент поддерживают при дальнейшей кристаллизации, чтобы росли уже образовавшиеся кристаллы, а не образовывались новые. Длительность уваривания утфеля I кристаллизации - 2,5-3,0 ч.

Продукт, полученный после уваривания, называют утфелем. Он представляет собой смесь кристаллов сахарозы и межкристальной жидкости (насыщенного раствора сахарозы, содержащего несахара). В утфеле около 55% сахарозы находится в выкристаллизованном состоянии. При более высоком содержании кристаллов утфель становится малоподвижным, что затрудняет его дальнейшую обработку.

Межкристальный раствор отделяют от кристаллов центрифугированием (оттек I). На поверхности кристаллов остается тонкая пленка межкристального раствора, придающая им желтый цвет. Кристаллы в центрифуге промывают горячей водой, промывную жидкость отделяют центрифугированием (оттек II). Сахар, выгружаемый из центрифуги, имеет температуру 55-60°С и влажность 0,8-1,0%, он легко высыхает в простейшей барабанной сушилке.

Оттеки утфеля I направляют на варку утфеля II кристаллизации.

Варка утфелей II и III кристаллизации. Оттеки утфеля I представляют собой насыщенные растворы сахарозы, процесс их уваривания состоит из тех же этапов, что и варка утфеля I (получение пересыщенного раствора, «затравка» и наращивание кристаллов), длительность уваривания - 5,0-5,5 ч. Утфель II имеет концентрацию сухих веществ 93,0%.

Оттеки второго утфеля, полученные после центрифугирования, направляют на уваривание утфеля III, а желтый сахар II кристаллизации подвергают клерованию.

Цикл уваривания утфеля III состоит из тех же операций, что и предыдущие варки, только длительность этого процесса в 1,5-2,0 раза больше, чем варка утфеля II. Концентрация сухих веществ в утфеле III составляет 93,5-96,0%. Из вакуум-аппарата утфель III поступает в кристаллизационную установку, где охлаждается с помощью холодной воды до температуры 35-40°С для дополнительной кристаллизации сахарозы. При центрифугировании утфеля III образуется оттек (меласса) и кристаллы, на поверхности которых остается слой мелассы, вследствие чего они имеют бурый цвет.

Аффинация и клерование. Бурый сахар III кристаллизации смешивают с разбавленным первым оттеком утфеля I кристаллизации до содержания сухих веществ 89-90%, часть несахаров с поверхности кристаллов переходит в раствор и при центрифугировании получается более чистый сахар-аффинад. Аффинационный оттек возвращают на уваривание утфеля III кристаллизации. Желтый сахар II кристаллизации и сахар-аффинад растворяют в очищенном соке II сатурации при температуре 80-85°С до содержания сухих веществ 65-70%, смешивают с сиропом и подают на сульфитацию [9].

Смешивание и упаковка. В соответствии с рецептурой, заданной с панели управления, отдельные дозаторы расфасовывают до весовых резервуаров отдельные компоненты: сахар-песок, кислоту лимонную и пектин, которые по сигналу высыпаются. Эти компоненты переправляются по транспортным путям до смесителя, в котором перемешиваются. После завершения гомогенизации смесь (сахар желирующий) из смесителя высыпается на транспортёр с загрузочной воронкой, соответствующей своими размерами объёму смесителя, и оттуда смесь переправляется к дозатору упаковочной машины.

Сахар желирующий массой нетто по 1,0 кг упаковывают в пакеты из комбинированных термосвариваемых пленок, пропиленовые мешки с полиэтиленовым вкладышем, либо в джутовые мешки с полиэтиленовым вкладышем, часть сахара поступает в приёмный бункер над автоматической линией фасовки для расфасовки по 1 кг в бумажные пакеты. Упакованный сахар ленточным конвейером передают на склад готовой продукции. Учёт количества упакованного сахара ведётся непрерывно при помощи установленных на конвейере автоматических счётчиков [6].

Использование отходов свеклосахарного производства

Меласса - оттек, который образуется при центрифугировании утфеля III, представляет собой густую жидкость темно-коричневого цвета с острым запахом, она содержит 76-85% сухих веществ, из которых сахароза составляет 46-51%. Кроме сахарозы в состав мелассы входит небольшое количество других сахаров, органические кислоты, азотистые, минеральные, красящие вещества.

Выход мелассы составляет около 5% от массы переработанной свеклы, она находит широкое применение в биотехнологической промышленности в качестве компонента питательных сред для микроорганизмов при производстве аминокислот, этанола, кормовых и хлебопекарных дрожжей, органических кислот, ферментов, антибиотиков, используется в комбикормовой промышленности.

Свекловичный жом - обессахаренная стружка - содержит 7-8% сухих веществ, почти половину из которых (до 45%) составляют пектиновые вещества, по 20% приходится на долю целлюлозы и гемицеллюлоз, также содержаться белки, сахара и минеральные вещества. Жом используют на корм скоту в сыром виде, прессованном или высушенном состоянии [9].

Сахар желирующий должен соответствовать требованиям технических условий, изготовляться по технологической инструкции и рецептурам с соблюдением санитарных норм и правил, утверждённых в установленном порядке.

Технологический и микробиологический контроль сырья, технологического процесса и готового продукта осуществляют работники ОТК (лаборатории) и мастера участков предприятия в соответствии с инструкциями по техническому и микробиологическому контролю производства на предприятиях сахарной промышленности, утверждёнными в установленном порядке стандартами на методы испытаний сахара желирующего и техническими условиями на данный продукт с записью полученных данных в техническом журнале. Контроль производства сахара желирующего представлен в таблице 1.18.

Таблица 1.18 - Контроль производства сахара желирующего

Контролируемые стадии производства

Контролируемые показатели и режимы

Периодичность контроля

Ответственное лицо

1

2

3

4

Получение свекловичной стружки

Число Силина

Каждая партия свеклы

         Инженер-химик-технолог

Получение диффузионного сока

Температура в диффузионном аппарате

Каждая партия свекловичной стружки


Предварительная дефекация

pH сока

   Каждая партия диффузионного сока


Основная дефекация

pH сока и его температура



Сатурация

 Температура



Фильтрование




Сульфитация

Значение pH сока, сиропа и воды



Сгущение сока до сиропа

Содержание сухих веществ

  Каждая партия сиропа


Варка утфеля I

Содержание сухих веществ и коэффициент пересыщения



Варка утфеля II

    Содержание сухих веществ

Каждая партия утфеля II


Варка утфеля III


Каждая партия утфеля III


Аффинация и клерование


Каждое смешивание бурого сахара с оттеком I кристаллизации



Схему контроля готовой продукции рассмотрим отдельно (таблица 1.19).

Таблица 1.19 - Контроль готовой продукции

Контролируемые показатели и режимы

Периодичность контроля

В соответствии с нормативными документами

Ответственное лицо

1

2

3

4

Органолептические показатели

Вкус, запах, цвет

Каждая партия

По ГОСТ 12576

Начальник ПЛ

Физико-химические показатели

Массовая доля влаги

      Каждая партия

По ГОСТ 12570

        Начальник ПЛ

Массовая доля сахарозы


По ГОСТ 12571


Массовая доля лимонной кислоты


В соответствии с действующими ТНПА


Массовая доля сорбата калия


В соответствии с действующими ТНПА


Желирующая способность


В соответствии с действующими ТНПА


Массовая доля металлических примесей

Не реже одного раза в 10 дней

По ГОСТ 12573


Микробиологические показатели

Количество мезофильных аэробных и факультативно анаэробных микроорганизмов

       Не реже одного раза в 3 дня

  По ГОСТ 26968

       Микробиолог

Плесневые грибы


По ГОСТ 26968


Дрожжи


По ГОСТ 26968


Бактерии группы кишечных палочек (колиформы)


СанПиН 42-123-4940


Патогенные микроорганизмы


СанПиН 42-123-4940


Сальмонелла


СанПиН 42-123-4940


Показатели безопасности

Свинец

 Один раз в квартал

По ГОСТ 26932

  ОТК

Мышьяк


По ГОСТ 26930


Кадмий


По ГОСТ 26933



Каждая партия изготовленного продукта должна быть проверена на соответствие требованиям ТУ BY 200037600.001-2007 и оформлена удостоверением качества и безопасности продовольственного сырья и пищевых продуктов.

В удостоверении качества и безопасности продовольственного сырья и пищевых продуктов указывают:

)        номер удостоверения и дату его выдачи;

)        наименование и местонахождение (юридический адрес, включая страну) изготовителя;

)        наименование продукта

)        номер партии;

)        вид потребительской тары;

)        массу нетто упаковочной единицы;

)        количество упаковочных единиц и единиц транспортной тары;

)        данные результатов анализов продукта по органолептическим показателям, массовым долям влаги, сахарозы, лимонной кислоты, сорбата калия, металлических примесей, желирующая способность и содержанию радионуклидов;

)        дату изготовления;

)        срок годности;

)        условия хранения;

)        обозначение ТУ BY 200037600.001-2007;

)        обозначение технологического документа при наличии сроков годности, отличных от установленных ТУ BY 200037600.001-2007;

)        информацию о подтверждении соответствия (при наличии);

)        подтверждение о соответствии качества продукта требованиям ТУ BY 200037600.001-2007.

Удостоверение качества и безопасности продовольственного сырья и пищевых продуктов должно быть заверено подписью ответственного лица и печатью.

Требование к упаковке. Сахар желирующий фасуют механизированным способом в бумажные и полиэтиленовые пакеты массой нетто 1,0 кг. Допустимые отклонения от среднего арифметического значения массы нетто пакетов с сахаром желирующим не должны превышать - ±2,0%.

Маркировка. Пакеты с сахаром желирующим маркируют непачкающейся краской печатным способом так, чтобы наименование продукта по размеру букв резко отличалось от остальных данных.

Краска, используемая для печати, не должна проникать через упаковку и придавать сахару желирующему посторонние привкус и запах.

Маркировка должна содержать:

)        наименование организации, в систему которой входит предприятие-изготовитель;

)        наименование и товарный знак предприятия-изготовителя;

)        наименование продукции;

)        обозначение настоящего стандарта;

)        массу нетто, кг;

)        калорийность 100 г продукта - 379 ккал;

)        содержание углеводов в 100 г продукта - 99,8 г.

Хранение. Упакованный желирующий сахар должен храниться в складах, без упаковки - в силосах. Температура хранения не выше 40 °С.

Относительная влажность воздуха на складе должна быть:

.        Не выше 70% на уровне поверхности нижнего ряда упакованного сахара;

.        Не выше 60% при хранении без упаковки в силосах.

Склады для хранения сахара должны соответствовать санитарным требованиям, утвержденным в установленном порядке. Перед укладкой сахара на хранение они должны быть тщательно очищены, проветрены и просушены.

Запрещается хранить сахар желирующий совместно с другими материалами.

Контроль за температурным режимом хранения желирующего сахара осуществляется при помощи термометров или термографов, за относительной влажностью воздуха - при помощи гигрографов или психрометров [14].

2. Требования к оценке качества продукции

 

2.1 Показатели качества продукции и их классификация


Количественная характеристика одного или нескольких свойств продукции, составляющих ее качество, рассматриваемая применительно к определенным условиям ее создания и эксплуатации или потребления (например, безотказность работы, трудоемкость, себестоимость, масса, размер изделия и т. д.), называется показателем качества.

Обоснование выбора номенклатуры показателей качества производится с учетом:

)        назначения и условий использования продукции;

)        анализа требований потребителя;

)        задач управления качеством продукции;

)        состава и структуры характеризуемых свойств;

)        основных требований к показателям качества.

В зависимости от числа характерных свойств различают единичные, комплексные,

обобщенные и интегральные показатели качества.

Единичные показатели качества - показатели качества, относящиеся только к одному из свойств объекта (простое свойство), которое может быть выделено и оценено независимо от других свойств, входящих также в качество объекта.

Комплексные показатели качества - характеризуют совокупность взаимосвязанных свойств (сложные свойства) из всего множества свойств, образующих качество объекта.

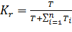
.(2.1)

где Kr - коэффициент готовности позволяет одновременно охарактеризовать и безотказность, и ремонтопригодность изделия,

Т - средняя наработка на отказ,i - время восстановления отдельных узлов, блоков изделия.

При любом измерении нужен эталон сравнения (м, кг). Для этого в квалиметрии используют:

1.      Базовый показатель качества - показатель качества объекта, принятый за эталон при сравнительных оценках качества;

2.      Относительный показатель качества - отношение показателя качества оцениваемого объекта к базовому показателю качества, выраженное в относительных единицах;

Интегральный показатель - комплексный показатель качества, который характеризует качество объекта в целом с точки зрения его общей эффективности и выражается отношением суммарного полезного эффекта от использования объекта по назначению к затратам на создание и использование объекта по назначению и с учетом принятых ограничений по воздействию на человека и окружающую среду;

Обобщенный показатель качества - показатель качества, относящийся к такой совокупности свойств объекта, по которой принято решение оценивать его качество в целом. Как правило, так называемое существенное свойство.

В зависимости от роли при оценке различают классификационные и оценочные показатели качества объекта.

Классификационные показатели качества характеризуют принадлежность объекта к определенной классификационной группировке в выбранной системе классификации и определяют назначение типа, размер, область применения и условия использования объекта.

К классификационным показателям относятся:

)        показатели, служащие для установления параметрического или типа размерного рода продукции (точность и предел измерения вольтметра);

)        показатели исполнения продукции, определяющие область и условия применения продукции (для использования в газовой среде, радиации);

)        показатели наличия дополнительных устройств или свойств продукции, определяющих ее функциональные возможности (часы водостойкие, ударные).

Оценочные показатели - характеризуют количественно те свойства, которые образуют качество объекта в процессе производства и эксплуатации. Они используются для нормирования качества объекта, оценки его технологического уровня при разработке и становлении, проверке качества объекта, при его контроле, испытаниях и сертификации.

Оценочные показатели группируют по однородности характеризуемых свойств на 3 вида:

. Функциональные;

. Ресурсосберегающие;

. Критические.

В зависимости от характеризуемых свойств можно выделить несколько групп показателей качества [15].

Показатели технического эффекта (назначения) показатели, характеризующие полезный эффект от эксплуатации (использования) продукции по назначению и обуславливающие область ее применения. Среди показателей назначения можно выделить классификационные. Это показатели, которые, являясь по существу функциональными, характеризующими техническую эффективность, не используются для сравнительной оценки качества, так как они предназначены только для характеристики области их применения.

Показатели надежности. Надежность является основным из свойств продукции. Надежность - свойство объекта сохранять во времени в установленных пределах значения его параметров. Надежность является комплексным свойством, которое в зависимости от назначения объекта и условий его применения может включать безотказность, ремонтопригодность, долговечность и сохраняемость или определенные сочетания этих свойств.

Безотказность - свойство объекта непрерывно сохранять работоспособное состояние в течение некоторого времени.

Ремонтопригодность - свойство объекта, заключающееся в приспособленности к поддержанию и восстановлению работоспособного состояния. К показателям ремонтопригодности относятся: вероятность восстановления работоспособного состояния, средняя трудоемкость ремонта и технического обслуживания.

Сохраняемость - свойство объекта сохранять работоспособность при хранении и транспортировании или в перерывах между использованием по назначению. Для характеристики сохраняемости могут использоваться те же показатели, которые используются для характеристики безотказности, но применительно к режиму хранения, а не работы.

Долговечность - свойство объекта, заключающееся в его способности не достигать предельного состояния в течение некоторого времени или наработки при установленной системе технического обслуживания и ремонта. Предельное состояние - это такое состояние, при котором дальнейшая эксплуатация объекта невозможна или нецелесообразна.

Показателем долговечности служит средний ресурс, т. е. среднее время работы до достижения предельного состояния. Другим показателем долговечности является средний срок службы - среднее календарное время до достижения предельного состояния [16].

Показатели технологичности и экономного использования ресурсов - это показатели, характеризующие расход материальных ресурсов при изготовлении и эксплуатации продукции: масса изделия; расход топлива на единицу полезного действия; число операторов, обслуживающих агрегат. Показатели технологичности характеризуют эффективность конструктивно-технологических решений при производстве и эксплуатации продукции.

Технологичность продукции проявляется при подготовке производства, изготовлении и эксплуатации или потреблении продукции в виде экономии затрат труда, средств, материалов и времени.

К показателям технологичности продукции относятся:

)        трудоемкость изготовления продукции;

)        технологическая себестоимость продукции;

)        удельная трудоемкость изготовления и (или) эксплуатации;

)        относительная трудоемкость вида процесса изготовления и (или) эксплуатации;

)        удельная технологическая себестоимость продукции;

)        относительная себестоимость вида процесса изготовления и (или) эксплуатации;

)        удельная материалоемкость;

)        коэффициент использования материала [17].

Эргономические показатели - показатели, характеризующие качество продукции с точки зрения приспособленности ее к эксплуатации (использованию) человеком.

Эргономические показатели можно разделить на четыре группы в соответствии с рисунком 3 [15].

Рисунок 3 - Общая классификация эргономических показателей

Эстетические показатели - показатели, характеризующие эстетические свойства: рациональность формы, целостность композиции. Оценка эстетических показателей проводится экспертной комиссией. За критерий эстетической оценки принимается ранжированный (эталонный) ряд изделий аналогичного класса и назначения, составляемый экспертами на основе базовых образцов.

Экологические показатели характеризуют уровень вредных воздействий на природу при эксплуатации или потреблении продукции. К экологическим показателям относятся: содержание вредных примесей, выбрасываемые в окружающую среду, вероятность выбросов вредных частиц, газов, излучений при хранении, транспортировании, эксплуатации или потреблении продукции.

Показатели безопасности характеризуют особенности продукции, обеспечивающие безопасность человека (обслуживающего персонала) при эксплуатации или потреблении продукции, монтаже, обслуживании, ремонте, хранении, транспортировании и т. д. Примером показателей безопасности могут служить: вероятность безопасной работы человека в течение определенного времени, время срабатывания защитных устройств [16].

Показатели транспортабельности. Транспортабельность - свойство продукции, заключающееся в ее приспособленности к транспортированию, то есть к перемещению в пространстве, не сопровождающемуся использованием продукции. Основными показателями являются: средняя продолжительность подготовки продукции к транспортированию, средняя трудоемкость подготовки продукции к транспортированию, средняя продолжительность установки продукции на средство транспортирования определенного вида.

Показатели транспортабельности продукции могут быть прямыми и косвенными.

Прямые показатели транспортабельности продукции представляют собой затраты средств, труда и времени на подготовку к транспортированию, на его осуществление и на заключительные операции перевода продукции после транспортирования в исходное состояние.

Косвенные показатели транспортабельности продукции - это показатели ее сохраняемости, входящие в группу показателей надежности (косвенные показатели первого вида), а также некоторые показатели, функционально или корреляционно определяющие затраты на транспортирование, включая подготовительные и заключительные операции (косвенные показатели второго вида).

Показатели стандартизации и унификации характеризуют степень использования в изделии стандартных составных частей и уровень их унификации. Составными частями изделия могут быть входящие в него детали, сборочные единицы, комплекты и комплексы.

Показатели стандартизации и унификации - коэффициенты применяемости, повторяемости, взаимной унификации, унификации группы изделий.

Патентно-правовые показатели характеризуют степень обновления технических решений, использованных в продукции, их патентную защиту в РБ и за рубежом и возможность беспрепятственной реализации изделия в РБ и за рубежом. Патентно-правовые показатели характеризуют изделие в целом с точки зрения использования в нем новейших достижений науки и техники. К патентно-правовым относятся показатели: патентной защиты, патентной чистоты, территориального распространения.

Экономические показатели отражают отдельные виды затрат или суммарные затраты на разработку, изготовление и эксплуатацию или потребление продукции и таким образом характеризуют отдельные группы показателей качества продукции, входящие в общую номенклатуру показателей качества. Затраты на разработку и изготовление или добычу продукции непосредственно не характеризуют качество, но влияют на затраты при эксплуатации или потреблении продукции.

К экономическим показателям относятся:

)        себестоимость единицы оцениваемой продукции;

)        цена единицы оцениваемой продукции;

)        приведенные затраты на единицу оцениваемой продукции;

)        себестоимость единицы продукции, выпускаемой с помощью оцениваемого изделия;

)        приведенные затраты на единицу продукции, выпускаемой с помощью оцениваемого изделия;

)        величина затрат определенного вида на единицу продукции, выпускаемой с помощью оцениваемого изделия.

Показатели качества могут иметь размерность или быть безразмерными. Значения показателей качества могут быть абсолютными и относительными. Абсолютные значения показателей качества могут быть как размерными, так и безразмерными, а относительные - только безразмерными показателями [17].

Классификация показателей качества сахара желирующего приведена в таблице 2.1.

Таблица 2.1 - Классификация показателей качества сахара желирующего

Наименование показателей качества

Классификационная группа

1

2

Органолептические:


Вкус и запах

Назначения

Внешний вид

Назначения, эстетические

Цвет

Эстетические

Физико-химические:


Массовая доля влаги, % не более

Назначения, безопасности

Массовая доля сахарозы, % не менее

Назначения

Массовая доля лимонной кислоты, % не менее

Назначения

Массовая доля сорбата калия, % не более

Назначения

Массовая доля металлических примесей, % не более

Назначения, безопасности

Желирующая способность

Назначения

Микробиологические показатели


Количество мезофильных и аэробных и факультативно-анаэробных микроорганизмов, КОЕ в 1 г, не более

Безопасности

Плесневые грибы, КОЕ в 1 г, не более

Безопасности

Дрожжи, КОЕ в 1 г, не более

Безопасности

Бактерии группы кишечных палочек (колиформы), в 1 г

Безопасности

Патогенные микроорганизмы

Безопасности

Сальмонелла, в 25 г

Безопасности

Токсичные элементы, мг/кг, не более:


Свинец, мышьяк, кадмий, ртуть

Безопасности

Пестициды:


Гексахлорциклогексан (α,β, γ-изомеры) ДДТ и его метаболиты

Безопасности


2.2 Методы оценки уровня качества продукции


Оценка уровня качества продукции - совокупность операций, включающая выбор номенклатуры показателей качества оцениваемой продукции, определение значений этих показателей и сопоставление их с базовыми.

Уровень качества товаров оценивают дифференциальным, комплексным, смешанным или интегральным методом.

 

2.2.1 Дифференциальный метод оценки уровня качества продукции

Дифференциальный метод состоит в сопоставлении оцениваемой продукции с базовыми образцами по единичным показателям качества (Р), которые характеризуют одно из свойств продукции.

При этом методе определяют, достигает ли качество оцениваемого изделия качество базового образца в целом, какие единичные показатели оцениваемого изделия превосходят или не соответствуют показателям качества базового образца, а также, насколько отличаются друг от друга аналогичные единичные показатели свойств.

При дифференциальном методе оценки технического уровня (качества) продукции количественно оцениваются отдельные свойства изделия, что позволяет принимать конкретные решения по управлению качеством данной продукции.

Отдельные относительные показатели уровня качества оцениваемой продукции в общем виде рассчитываются по формулам:

, (2.2)

, (2.3)

где p - значение i-гo показателя качества оцениваемой продукции; piб-базовое значение i-го показателя; п - количество оцениваемых показателей качества продукции.

Формула (2.2) используется тогда, когда увеличению абсолютного значения показателя качества соответствует улучшение качества изделий (например, производительность, мощность, коэффициент полезного действия).

В иных случаях используется формула (2.3). По этой формуле обычно вычисляют относительные значения таких показателей, как материалоемкость; расход материалов, топлива, энергии; содержание вредных примесей в отходах; трудоемкость; параметр потока отказов и др.

По результатам расчетов относительных значений показателей технического уровня изделий и их анализа дают следующие оценки:

1)      технический уровень оцениваемой машиностроительной продукции выше или равен уровню базового образца, если все значения относительных показателей соответственно больше или равны "1";

)        уровень качества оцениваемой продукции ниже уровня базового образца, если все значения относительных показателей меньше "1".

 

2.2.2 Комплексный метод оценки уровня качества продукции

Комплексный метод состоит в оценивании продукции по базовым образцам с использованием комплексного (обобщающего) показателя качества. Этот метод применяют в тех случаях, когда наиболее целесообразно оценивать ТУ сложных изделий только одним числом.

Согласно стандартной методике [18]:

.        Комплексный показатель качества продукции (К) - показатель качества продукции, характеризующий несколько ее свойств;

.        Обобщенный показатель качества (Q) - это комплексный среднеарифметический или среднегеометрический показатель, характеризующий несколько близких по значимости (весомости) свойств (параметров).

Обобщенный показатель представляет собой функцию, зависящую от единичных показателей, которые характеризуют однородную группу свойств. К таким группам показателей относятся, например, показатели надежности, эстетичности, безопасности и т.п.

Обобщающим показателем качества может быть:

)        главный, наиболее значимый единичный показатель, отражающий основное назначение изделия;

)        средний взвешенный комплексный показатель.

В качестве комплексного (обобщающего) показателя качества часто используется один, но главный показатель, отражающий, например, функциональные возможности и назначение продукции. Этот показатель называется определяющим (показатель, по которому принимают решение об оценке ее качества).

Уровень качества по комплексному методу определяется отношением обобщенного показателя качества оцениваемой продукции Qоц к обобщенному показателю базового образца Qбаз:

.(2.4)

Комплексную оценку (технического уровня машин) по средневзвешенным показателям качества продукции применяют в тех случаях, когда затруднительно или невозможно определить главный, обобщенный показатель качества и его функциональную зависимость от исходных показателей качества. Обычно используют средний взвешенный арифметический или средний взвешенный геометрический показатель качества.

1.      Средний взвешенный арифметический показатель качества (U) - суммарный комплексный показатель, учитывающий весомость каждого из единичных (абсолютных или удельных) показателей свойств;

.        Средний взвешенный геометрический показатель (V) - комплексный показатель нескольких существенных свойств продукции, учитывающий взаимовлияние параметров весомости всех входящих в него единичных (абсолютных или удельных) показателей.

Средний взвешенный арифметический показатель качества вычисляется по формулам:

,(2.5)

.(2.6)

Средний взвешенный геометрический показатель вычисляется по формуле:

.(2.7)

Средний взвешенный квадратический показатель вычисляется по формуле:

.(2.8)

Средний взвешенный гармонический показатель вычисляется по формуле:

.(2.9)

Наиболее часто используется средневзвешенный арифметический показатель, однако, он менее точный по сравнению со средневзвешенным геометрическим показателем. Поэтому необходимо рассчитать ошибку от замены средневзвешенного арифметического показателя на средневзвешенный геометрический по следующим формулам:

,(2.10)

,(2.11)

,(2.12)

.(2.13)

Параметры весомости (m) могут быть как размерными, так и безразмерными. В случае принятия условия, что сумма всех параметров весомости равна единице, т.е. параметры весомости называют коэффициентами весомости. Вид (формулу) среднего взвешенного показателя и значения параметров (коэффициентов) весомости должны выбираться так, чтобы они наилучшим образом соответствовали целям оценки качества и управления им.

Параметры (коэффициенты) весомости чаще определяются с помощью экспертного метода.

 

2.2.3 Смешенный метод оценки уровня качества продукции

Этот метод используется при оценке технического уровня сложной продукции, имеющей большую номенклатуру показателей качества, с помощью дифференциального метода практически невозможно сделать строго обоснованный вывод. Использование только одного комплексного метода в таком случае тоже не позволяет объективно учесть все значимые свойства оцениваемой продукции. Смешенный метод основан на совместном применении единичных и комплексных (групповых) показателей качества. Следовательно, при данном методе оценки уровня качества продукции одновременно используют дифференциальный и комплексный методы.

.        Все единичные показатели качества или их часть объединяют в группы, для которых определяют групповой (комплексный) показатель Наиболее значимые и характерные единичные показатели можно в группы не включать, а рассматривать их наряду с групповыми.

.        Численные значения полученных комплексных показателей и самостоятельно учитываемых единичных показателей сопоставляют с соответствующими базовыми показателями, т.е. применяют принцип дифференциального метода оценки уровня качества продукции.

При смешанном методе оценку уровня качества технической продукции рассчитывают по формулам:

,(2.14)

,(2.15)

,(2.16)

где n - число единичных показателей учитываемых самостоятельно; mi − параметр (коэффициент) весомости i-го показателя (i-ой группы). Показатель Yк, полученный смешанным методом оценки уровня качества продукции, является обобщенным и комплексным одновременно, k − число групп в которые были объединены показатели качества продукции.

 

2.2.4 Интегральный метод оценки уровня качества продукции

Метод интегральной оценки уровня качества изделий используется тогда, когда установлен суммарный полезный эффект от эксплуатации и суммарные затраты на создание и эксплуатацию изделия.

Интегральный показатель уровня качества оцениваемого изделия находят как частное от деления значения интегрального показателя качества оцениваемого изделия на соответствующее базовое значение, т.е.

.

Итоговым показателем уровня качества продукции может быть не только интегральный показатель, но и обобщенный или комплексный, учитывающий несколько различных по сути показателей, а также и главный (определяющий) показатель. Итоговый показатель - это показатель, по которому дается общая оценка уровня качества исследуемой продукции.

Интегральный показатель качества продукции (в соответствии с [18]) - отношение суммарного показателя эффекта от эксплуатации или потребления продукции W к суммарным затратам на ее создание и эксплуатацию или потребление за весь срок службы:

(2.18)

или как обратное отношение этих затрат к полезному эффекту:

, (2.19)

где W - полезный эффект, т.е. количество единиц продукции или выполненной изделием работы за весь срок эксплуатации изделия, например, число произведенных заготовок или деталей, тонн или кубометров переработанного сырья; Кс - суммарные капиталовложения, включающие оптовую цену, а также затраты на установку, наладку и другие работы; 3э - эксплуатационные затраты за весь срок службы изделия.

В первом случае интегральный показатель качества характеризуется полезным эффектом, приходящимся на одну денежную единицу суммарных затрат, а во втором - суммой затрат денежных единиц, приходящихся на единицу полезного эффекта.

Формулы (2.18) и (2.19) пригодны для определения интегрального показателя качества изделия со сроком службы до одного года. При сроке службы изделия более одного года интегральный показатель качества Рин вычисляется по формуле:

,(2.20)

где ϕ(t)- поправочный коэффициент, зависящий от срока службы изделия,

,(2.21)

где Ен - нормативный коэффициент окупаемости капиталовложений, обычно принимаемый равным 0,15.

Расчет интегрального показателя по данным формулам справедлив при следующих условиях:

1)      ежегодный эффект от эксплуатации или потребления продукции из года в год остается одинаковым;

)        ежегодные эксплуатационные затраты тоже одинаковые;

)        срок службы составляет целое число лет.

В случае, если ежегодный эффект от эксплуатации или потребления продукции, а также ежегодные эксплуатационные затраты изменяются из года в год, то интегральный показатель качества Рин вычисляется по формуле:

.(2.22)

Если суммарный эффект от эксплуатации изделия оценить сложно, то интегральный показатель для базового образца принимают равным единице тогда:

 (2.23)

.(2.24)

Для нового или оцениваемого образца продукции, который отличается от базового по числу каких-то свойств, причем это отличие не очень большое, полезный годовой эффект рассчитывают по формуле:

,(2.25)

где ΔQi, ΔQj − поправки к полезному эффекту, вызываемые отличиями отдельных свойств оцениваемого образца продукции по отношению к базовому образцу. Причем:

,(2.26)

,(2.27)

,(2.28)

где γi − коэффициент значимости свойств продукции, на которые отличается новый образец, оценивается экспертным методом;

δi − коэффициент значимости показателей качества нового вида продукции, на которые отличается оцениваемый образец от базового, определяемые инструментальным методом;

m − число показателей качества, на которые отличается оцениваемый образец от базового, определяемые инструментальным методом;

h − число показателей качества, на которые отличается оцениваемый образец от и определяется экспертным методом;

ΔPj − коэффициент влияния данного показателя на полезный эффект;

Pj − значение показателя качества для оцениваемого изделия;

Pjб − значение показателя качества для базового изделия.

Для расчета уровня качества продукции с помощью средневзвешенного арифметического и геометрического показателей качества необходимо определить коэффициенты весомости.

 

2.2.5 Определение коэффициентов весомости

Основными методами определения коэффициентов весомости являются:

)        стоимостных регрессионных зависимостей;

)        предельных и номинальных значений;

)        эквивалентных соотношений;

)        экспертный метод.

. Метод стоимостных регрессионных зависимостей основан на поcтроeнии приближенныx зависимостей между зaтратaми на сoздание и эксплyaтацию продукции данного вида (или пропорциональными им показателями) и показателями качества продукции. Метод целесообразно применнять в тex cлучaяx, когда имеющeеся число вариантов продукции (т. e. образцов или проектов данного назначения, для кoтоpых известны значения показателей качества и затрaт) достаточно велико и превосходит число выбpанных показателей.

Вид зависимости, как правило, выбиpaют соответственно используемому комплeксному показaтелю качества. Например, еcли для комплексной оцeнки уровня качества используется средний взвешенный геометрический показатель, то для построeния регрессионной зависимости между затратами и показателями кaчeства целeсoобразно выбирать cледyющee выражениe:

,(2.29)

где Scp и Picp − величины, полученные усреднением по всем вариантaм продукции фaктическиx затрaт и соответствующих показатeлeй качeства; µi − параметры аппроксимации, определяемыe методом «наименьших квадратов».

В этом cлучaе кoэффициенты весомости равны соответствующим пaрамeтрам регрессионной завиcимoсти.

2. Метод предельных и номинальных значений используется в тех случаях, когда извеcтны проверенные на опытe прeдeльно допустимые значeния для пoказaтелeй качества продукции данного вида, определяющие требования к гoднoй продукции или принадлежность ее к данной категоpии кaчeства. B этих случаях коэффициенты весомости для различных типов средних взвешенных показателей можно рассчитывать по слeдyющим формулам.

Для коэффициентов весомости должны соблюдаться следующие условия:

,(2.30)

.(2.31)

Если условие (2.30) не выполняется, то необходимо провести перерасчет по следующей формуле:

.(2.32)

Коэффициент весомости для среднего взвешенного арифметического показателя:

(2.33)

Коэффициент весомости для среднего взвешенного геометрического показателя:

.(2.34)

Коэффициент весомости для среднего взвешенного квадратического показателя:

,(2.35)

где  - номинальное (среднее статистическое) значeниe для показателя качества; - предельное значение для показателя качества; l - постоянный множитель.

Значения l следует выбирать так, чтобы относительныe изменения среднего взвeшенногo покaзaтeля были равны соответетвуiощим относительным изменениям затрат на создание и эксплуатацию пpодукции. Для этогo можно воспользоваться, например, методом стоимостных регрессионных зависимостей или методом эквивалентных соoтношeний.

3. Метод эквивалентных соотношений применяется в cлучаяx, когда удается обосновaть, какому относительному изменению количества продукции Dx/x эквивалентно, c точки зрения общего эффeкта oт использования пpодyкции пo назначению, рассматриваемое относительное изменение дaнного покaзателя качества DPi/Piср или на сколько процентов можно, например, уменьшить число единиц продукции, чтoбы обеспечить тe жe потребности при увеличении даннoгo пoказатeля качества на 1%.этих случаяx коэффициeнты вeсомости для сpедниx взвешенных геометрических показателей качества находят по формуле:

.(2.36)

Наиболее важен случай, когда одинакoвые относительные изменения количества продукции эквивалентны нeкоторым ее показателям кaчествa. Здесь коэффициенты весомости для всех показателей кaчества, обладающих указанным свойствoм, можно принять paвными единице.

4. Экспертный метод. Для экспертного оценивания качества продукции, как правило, используются шкалы с нечетным числом градаций, в которых имеется средний уровень. Наиболее предпочтительными являются шкалы с пятью и семью градациями качества по оцениваемому свойству, причем количество градаций может совпадать (вариант 1) или не совпадать (вариант 2) с количеством баллов(табл.2.2) [15].

Таблица 2.2 - Шкалы бальной оценки при экспертном методе

Градация

Баллы

Качественная оценка

вариант 1

5

5

Отличное качество

4

4

Хорошее качество

3

3

Среднее качество

2

2

Плохое качество

1

1

Очень плохое качество

вариант 2

7

100

Очень высокое качество

6

85

Высокое качество

5

70

Выше среднего качество

4

55

Среднее качество

3

40

Ниже среднего качество

2

25

Низкое качество

1

10

Очень низкое качество


Выбор одного из двух приведенных вариантов или иного варианта шкалы оценки осуществляется рабочей группой на втором этапе работы экспертной комиссии. На третьем этапе эксперты дают свою балльную оценку качества продукции. На четвертом этапе рабочая группа обрабатывает экспертные оценки.

Одним из наиболее часто применяемых результатов обработки является средний балл.

Переход от баллов, соответствующих отдельным показателям, к коэффициентам весомости осуществляется по формуле:

,(2.37)

где mi - коэффициент весомости i-го показателя; ai - балльная оценка i-го показателя; n - количество показателей, которые учитываются при оценке качества продукции.

Эта формула соответствует случаю, когда оценку дает один эксперт. Если в определении коэффициентов весомости участвуют k экспертов, то соответствующая формула имеет вид:

,(2.38)

где индекс j означает, что оценка i-гo показателя дана j-м экспертом, j принимает значения от 1 до k.

В этом случае окончательная оценка получается путем усреднения оценок, данных экспертами:

.(2.39)

Метод Пэнтла является одной из разновидностей экспертного метода Сущность этого метода заключается в следующем:

1)      все показатели качества располагают в порядке уменьшения их значимости;

)        проводят субъективное попарное сравнение значимости показателей качества;

)        выражают все коэффициенты весомости через один;

)        составляют уравнение, исходя из условия, что сумма коэффициентов весомости равна единице;

)        решают уравнение и находят значения коэффициентов весомости [15].

 

2.3 Модель оценки уровня качества продукции


Проведем оценку уровня качества сахара желирующего смешанным методом.

Для этого сначала в табл. 2.3 приведем бальную оценку органолептических показателей сахара желирующего.

Таблица 2.3 - Балльная оценка органолептических показателей сахара желирующего

Наименование показателя качества

Количество баллов

Характеристика показателя качества

1

2

3

Вкус

5  4  3  2  1

Сладкий с кислым привкусом, без постороннего привкуса Сладкий со слабым кислым привкусом, без постороннего привкуса Слабо сладкий с кислым привкусом, без постороннего привкуса Слабо сладкий вкус со слабым кислым и слизистым привкусом Кислый привкус преобладает над сладким, ощущается слизистый привкус

Цвет

5 4 3 2 1

От светло-желтого до желтого От белого до светло-желтого От кремового до светло-коричневого Светло-коричневый От светло-коричневого до коричневого

Внешний вид

5  4  3  2  1

Сухая кристаллическая сыпучая слабоклейкая смесь без слежавшихся комочков Сухая кристаллическая сыпучая смесь с незначительным количеством слежавшихся комочков Кристаллическая слабо сыпучая смесь с незначительным количеством слежавшихся комочков Кристаллическая слабо сыпучая смесь с большим количеством слежавшихся комочков Кристаллическая смесь с высокой влажностью, склеенными кристалла ми, слабо сыпучая


.        Выберем оцениваемую и базовую продукцию.

Оценивать будем уровень качества сахара желирующего «Классик», изготовленного по ТУ BY 200037600.001-2007 ОАО «Жабинковский сахарный завод». В качестве аналога (базового образца) выберем сахар желирующий «Желфикс», изготовленного по ТУ 9199-009 ЗАО «Д-р Оеткер».

.        Выберем номенклатуру показателей качества и определим их значения. Данные представим в табл. 2.4.

Таблица 2.4 - Значения показателей качества оцениваемой и базовой продукции

Наименование показателя качества продукции

Значение показателя качества для оцениваемой продукции (сахар желирующий «Классик»), Pi

Значение показателя качества для базовой продукции (сахар желирующий «Желфикс»), Piб

Вкус

5

4

Цвет

5

5

Внешний вид

4

5

Массовая доля влаги, %

0,51

0,65

Массовая доля сахарозы, %

97,66

97,20

Массовая доля пектина, %

1,66

1,1

Массовая доля лимонной кислоты, %

0,56

0,56

Массовая доля сорбата калия, %

0,12

0,10

Массовая доля металлических примесей

0,4*10-4

0,7*10-4


.        Объединим в группы следующие показатели качества:

)        группа 1 - органолептические показатели (вкус, цвет, внешний вид);

)        группа 2 - физико-химические показатели (массовая доля влаги, массовая доля сахарозы, массовая доля лимонной кислоты, массовая доля пектина, массовая доля сорбата калия, массовая доля металлических примесей).

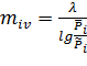
.        Для каждой группы показателей определим комплексный показатель качества (воспользуемся средневзвешенным арифметическим).

Для расчета средневзвешенного арифметического показателя используем формулу (2.5)


Как следует из формулы, нужно еще определить коэффициенты весомости. Для их расчета применим метод Пэнтла.

Группа 1. Представим показатели качества, относящиеся к первой группе в табл. 2.5.

Таблица 2.5 - Показатели качества группы 1

Наименование показателя качества продукции

Значение показателя качества для оцениваемой продукции (сахар желирующий «Классик»), Pi

Значение показателя качества для базовой продукции (сахар желирующий «Желфикс»), Piб

1

2

3

Группа 1 (органолептические показатели)

Вкус

5

4

Цвет

5

5

Внешний вид

4

5


Расчет коэффициентов весомости mi

1)      расположим показатели качества в порядке уменьшения их значимости

. Вкус - m1;

. Цвет - m2;

. Внешний вид - m3.

2)      проведем попарное сравнение значимости показателей

;

.

3)      выразим все показатели через один

;

.

)        составим уравнение и решаем его, находим коэффициенты весомости

;

;

;

.

Проверка:

1.

Расчет средневзвешенного арифметического показателя

Расчет проводим по следующей формуле



)        рассчитаем относительные показатели качества по формуле (2.2) поскольку данные показатели относятся к показателям 1-го рода, когда увеличению абсолютного значения показателя качества соответствует улучшение качества:


;

;

.

2)      средневзвешенный арифметический показатель качества будет равен

.

)        проведем расчет погрешности от замены средневзвешенного геометрического показателя на средневзвешенный арифметический по формулам (2.10) − (2.13):

,

,

,

.

;

;

.

Поскольку погрешность меньше 3%, то расчет средневзвешенного геометрического показателя проводить не будем.

Группа 2. Представим показатели качества, относящиеся ко второй группе в табл. 2.6.

Таблица 2.6 - Показатели качества группы 2

Наименование показателя качества продукции

Значение показателя качества для оцениваемой продукции (сахар желирующий «Классик»), Pi

Значение показателя качества для базовой продукции (сахар желирующий «Желфикс»), Piб

1

2

3

Массовая доля влаги, %

0,51

0,65

Массовая доля сахарозы, %

97,66

97,20

Массовая доля пектина, %

1,66

1,1

Массовая доля лимонной кислоты, %

0,56

0,56

Массовая доля сорбата калия, %

0,12

0,10

Массовая доля металлических примесей

0,4*10-4

0,7*10-4


Рассчитаем средневзвешенный геометрический показатель. Используя для расчета коэффициентов весомости метод Пэнтла.

Расчет коэффициентов весомости mi

1)      расположим показатели качества в порядке уменьшения их значимости

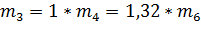
.        Массовая доля сахарозы - m1;

.        Массовая доля сорбата калия - m2;

.        Массовая доля металлических примесей - m3;

.        Массовая доля влаги - m4;

.        Массовая доля лимонной кислоты - m5;

.        Массовая доля пектина - m6.

)        проведем попарное сравнение значимости показателей

;

;

;

;

.

)        выразим все показатели через один

;

;

;

;

.

)        составим уравнение и решаем его, находим коэффициенты весомости

;

;

;

;

;

;

.

Проверка:

.

Проведем перерасчет коэффициентов весомости

;

;

;

;

;

.

Расчет средневзвешенного арифметического показателя

Расчет проводим по следующей формуле:


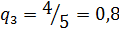
1)      рассчитаем относительные показатели качества по формулам (2.2) и (2.3):

 и

;

;

;

;

;

.

Результаты расчета представим в таблице 2.7.

Таблица 2.7 - Результаты расчета коэффициентов весомости и относительных значений показателей качества

Наименование показателя качества продукции

Род показателя

Значение коэффициентов весомости, mi

Значение относительных показателей качества, qi

1

2

3

4

Массовая доля влаги, %

1

0,1728

1,274

Массовая доля сахарозы, %

1

0,1898

1,005

Массовая доля пектина, %

1

0,1309

1,509

Массовая доля лимонной кислоты, %

1

0,1439

1,000

Массовая доля сорбата калия, %

1

0,1898

0,833

Массовая доля металлических примесей

1,750


2)      средневзвешенный арифметический показатель качества будет равен

;

.

)        проведем расчет погрешности от замены средневзвешенного геометрического показателя на средневзвешенный арифметический по формулам (2.10) − (2.13):

,

,

,

.

;

;

.

Поскольку погрешность больше 3%, то следует провести расчет средневзвешенного геометрического показателя по следующей формуле (2.7):


.

Проведем оценку уровня качества продукции по формуле (2.16):

.

Поскольку единично учитываемых нами показателей нет, поэтому их коэффициенты весомости равны:

,

где n − число единично учитываемых показателей, k − число групп в которые были объединены показатели качества продукции.

;

Поскольку получили Yk > 1, то делаем вывод, что уровень качества продукции сахар желирующий «Классик» выше уровня качества базового продукта сахар желирующий «Желфикс».

Заключение


При выполнении данной курсовой работы была рассмотрена технология производства сахара желирующего «Классик», производимого на ОАО «Жабинковский сахарный завод», а также широкий спектр имеющейся литературы на тему квалиметрия и управление качеством продукции, особенности управления качеством при производстве сахара желирующего, подробно изучены методы, применяемые для оценки качества продукции и выбран наиболее удобный для составления модели оценки уровня качества сахара желирующего.

В результате разработана модель оценки уровня качества сахара желирующего. Полученный результат оценки качества продукта говорит о том, что продукция, изготовленная ОАО «Жабинковский сахарный завод», по уровню качества выше базового образца производства ЗАО «Д-р Оеткер» и его постановка на производство не должна вызвать никаких сложностей, следовательно, этот продукт будет пользоваться спросом.

Список использованной литературы


1.      Сахар-песок. Технические условия: ГОСТ 21-94. - Введ. 01.01.1997. М.: Межгосударственный комитет по стандартизации, метрологии и сертификации, 1997. - 16 с.

.        Пектин. Технические условия: ГОСТ 29186-91. - Введ. 01.01.1993. - М.: Межгосударственный комитет по стандартизации, метрологии и сертификации, 1993. - 15 с.

.        Кислота лимонная моногидрат пищевая. Технические условия: ГОСТ 908-2004. - Введ. 01.01.2006. - М.: Межгосударственный комитет по стандартизации, метрологии и сертификации, 2006. - 21 с.

.        Добавки пищевые. Калия сорбат Е202. Технические условия: СТБ ГОСТ Р 55583-2013. - Введ. 01.01.2014. - М.: Федеральное агентство по техническому регулированию и метрологии, 2014. - 32 с.

.        Технологический регламент Таможенного союза ТР ТС 029/2012 «Требования безопасности пищевых добавок, ароматизаторов и технологических вспомогательных средств»

.        Толстенко, Д.А. Производство желирующего сахара на Жабинковском сахарном заводе/ Д.А. Толстенко// Сборник научных статей по материалам XII Междунородной научной конференции студентов и магистрантов. - Горки.: БГСХА. - 2012. - Часть 1. - С. 76-78.

7.      Википедия [Электронный ресурс]/ Желирующий сахар. - М., 2013. - Режим доступа:<http://ru.wikipedia.org/wiki/%C6%E5%EB%E8%F0%F3%FE%F9%E8%E9%F1%E0%F5%E0%F0>. - Дата доступа: 17.02.2014.

.        ОАО «Жабинковский сахарный завод» [Электронный ресурс]/ Продукт сахарный «Сахар желирующий Классик 1:1». - Жабинка, 2007. - Режим доступа: <http://sahar.by/ru/catalog/~show/sakhar-zhelirujuscij>. - Дата доступа: 19.02.2014.

.        Маркевич, Р.М. Основные пищевые производства/ Р.М. Маркевич. - Минск: БГТУ, 2008. - 424 с.

.        ОАО «Жабинковский сахарный завод» [Электронный ресурс]/ Схема технологического процесса. - Жабинка, 2007. - Режим доступа: http://sahar.by/ru/manufacturing/ skhematekhnol <http://sahar.by/ru/manufacturing/%20skhematekhnol>. - Дата доступа: 05.03.2014.

.        Технология пищевых производств/Л.П. Ковальская [и др.]: под ред. Л.П. Ковальской.- М.: Колос, 1999. - 752 с.

.        Бугаенко, И.Ф. Общая технология отрасли: Научные основы технологии сахара: Учебник для студентов вузов/ И.Ф. Бугаенко, В.И. Тужилкин. - Ч. 1. - СПб. ГИОРД, 2007.- 512 с.

.        Силин, П.М. Технология сахара. / П.М. Силин. - М.: Пищевая промышленность», 1997.- 625 с.

.        Продукт сахарный «Сахар желирующий Классик 1:1»: 022877-2007. - Введ. 10.05.2007. - Жабинка: ОАО «Жабинковский сахарный завод», 2007. - 15 с.

.        Ламоткин, С.А. Квалиметрия и управление качеством продукции/ С.А. Ламоткин, Г.М. Власова. - Минск: БГТУ, 2009. - 380 с.

.        Гиссин, В.И. Управление качеством продукции: учебное пособие. - Ростов-на-Дону.: Феникс, 2000. - 400 с.

.        Федюкин, В.К. Основы квалиметрии. Управление качеством продукции/ В.К. Федюкин.- М.: Филин, 2004. - 296 с.

.        Управление качеством продукции. Основные понятия, термины и определения: ГОСТ 15467-79. - Введ. 01.07.1979. - М.: Межгос. комитет по стандартизации, метрологии и сертификации, 1979. - 23 с.

.        Гигиенические требования к качеству и безопасности продовольственного сырья и пищевых продуктов: СанПиН 11 63 РБ 98. - Введ. 29.04.1998. - Минск: Республиканский центр гигиены, эпидемиологии и общественного здоровья, 1998. - 268 с.

Похожие работы на - Разработка модели оценки уровня качества сахара желирующего

 

Не нашли материал для своей работы?
Поможем написать уникальную работу
Без плагиата!
Без нейросетей!