|
Позначення
|
Діапазон частот для основного типу хвиль Ггц
|
Внут. розміри, мм
|
Товщина стін
|
Затухання дБ/м
|
|
|
ширина
|
висота
|
|
На частоті Ггц
|
Теор. величина
|
Максим. величина
|
|
від
|
до
|
|
|
|
|
|
|
|
МЭК-100
|
8.20
|
12.5
|
22.860
|
10.160
|
1.270
|
9.84
|
0.110
|
0.143
|
Із таблиці №1 видно, фідерний тракт
у вигляді хвилевода має наступні геометричні розміри:
а = 0,2286 м. - ширина хвилеводу;
в = 0,1016 м. - висота хвилеводу.
4.Геометричні розміри решітки
На рис. 3 зображена схема ХЩА:
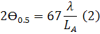
По заданій довжині хвилі та ширині
ДС визначимо розмір антени LA
Використовуючи формулу.
З формули (2) визначимо геометричні
розміри ХЩА:
Розрахуємо відстань між щілинами за
формулою.
d = 0.8 λ= 0.8
0.03 =
0.024 м.
За формулою
, розрахуємо кількість щілин ХЩА:
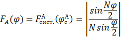
5.Електричний розрахунок антени
Для розрахунку багато щілинних антен
в площині, яка містить вісь хвилеводу, використовується правило перемноження
Бонч-Бруевича
.
- ДС однієї
щілини;
- множник системи;
ДС однієї щілини можна не
враховувати, бо направленість однієї щілини на результативну ДС практично не
впливає.
Тоді ДС антени буде розраховуватись
за формулою 
ДС однієї щілини має вигляд
:
Множник системи має вигляд
:
Де кут
,
розраховується за формулою
- кількість
елементів
d = 0.026 м.
Розрахунок ДС антени:
З графіка 1. видно, що практично
нами була розрахована антена, яка має ширину ДС, 2Ө0,5р= 2 0.
На графіку видно, що на рівні 0,707 Ө =0,0175рад., тоді для переходу до
градусів проведемо нескладні розрахунки:
Антен даного типу можна керувати
променем, тобто зміщувати головний максимум
,
це можливо при виконанні рівності
:
м.
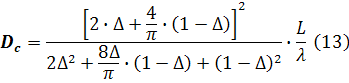
6.Визначення КСД антени
Коефіцієнт направленої дії даної
антени в напрямку максимального випромінення вираховується виразом
:
Тоді,
-
множник, враховуючий спрямовані властивості щілини.
А
-
визначає максимальний КНД системи, та розраховується за формулою
де
- висота при косину
соїдальному АР;
- довжина антени;
- довжина хвилі;
Таким чином розраховуємо КНД ХЩА
1495
Відзначимо, що максимальне значення
КСД ХЩА дорівнює сумі КНД окремих щілин, в заданому напрямку.
Висновок
Під антенними решітками звичайно
розуміють систему ідентичних однаково орієнтованих в просторі дискретних
випромінюючих елементів. В якості елементів решітки можуть бути використані
різні випромінювачі.
В дійсний час антенні решітки
знаходять все більше широке застосування в радіолокаційній техніці. Це
пояснюється тим,що за допомогою антенних решіток виходить розв’язати ряд
важливих задач радіолокації. К ним відносяться,наприклад:
здійснення швидкого качання проміння
антени електричним методом;
збільшення потужності виромінення
РЛС шляхом розміщення в каналах випромінювання решітки незалежних посилювачів
високочастотної енергії;
сумісність в одній РЛС ряда
функцій,наприклад , пошуку,супроводження й наведення (багатофункційні РЛС);
- можливість програмного управління
променем.
До позитивних властивостей антен
відносяться : простота і можливість виповнення їх на рівні з металевої поверхні
, на якій вони прорізані, це обумовило широке використання щілинних антен в
різноманітних літальних апаратах. Наступною перевагою щілинних антен являється
то, що вони позволяють легко реалізувати системи з електричним коливанням
променя.
Недоліком щілинних антен являються
недостатня діапазоність їх (даже не резонансних антен )і обмеження по
пропускній потужності.
промінь антена електричний
Література
1.Шифрин
Я.С. Расчет и проектирование антен сверхвысоких частот. Х., 1971.
.Шифрин
Я.С. Антени. Издание академии. Х., 1976.
.Усин
В.А. Присторї НВЧ та антени . Х., 1984.
.Белоусов
В.В. Авивционные антенно-фидарные устройства. Учебное пособие по курсовому и
дипломному проектированию . Х.,1974.
ено н