Движение электрона в скрещенных полях. Управление с помощью магнитной оптики
ФЕДЕРАЛЬНОЕ
АГЕНТСТВО ПО ОБРАЗОВАНИЮ И НАУКЕ
ГОСУДАРСТВЕННОЕ
ОБРАЗОВАТЕЛЬНОЕ УЧРЕЖДЕНИЕ ВЫСШЕГО ПРОФЕССИОНАЛЬНОГО ОБРАЗОВАНИЯ «МОСКОВСКИЙ
ГОСУДАРСТВЕННЫЙ ИНСТИТУТ РАДИОТЕХНИКИ, ЭЛЕКТРОНИКИ И АВТОМАТИКИ (ТЕХНИЧЕСКИЙ
УНИВЕРСИТЕТ)»
Кафедра
технической электродинамики и электроники
ВАКУУМНАЯ И
ПЛАЗМЕННАЯ ЭЛЕКТРОНИКА
Курсовая
работа
Тема:
«Движение электрона в скрещенных полях. Управление с помощью магнитной оптики»
Выполнил: Муравьёв А.Н. ВЭП-6-05
Москва
2010г.
Содержание
1. Движение электрона в скрещенных
полях
. Управление с помощью магнитной
оптики
Список используемой литературы
1. Движение электрона в скрещенных полях
Под скрещенными полями будем понимать наложенные
друг на друга электрические и магнитные поля, перпендикулярные друг другу во
всех точках континуального пространства.
К первому типу скрещенных полей отнесём случай,
когда оба поля однородны и их векторы взаимно перпендикулярны.
Второй тип скрещенных полей состоит из
однородного магнитного поля и электрического поля, обладающего осевой
симметрией. Такое электрическое поле образуется в зазоре между коаксиальными
цилиндрами.
На рис. 1. показана траектория движения
электрона в скрещенных электрическом и магнитном полях.
Рис. 1. Движение электрона в скрещенных
электрическом и магнитном полях
Начальные условия запишем в виде:
В скрещенных полях на электрон действуют силы F,
определяемые соотношением:

= 
(1)
и тогда электрон движется с
ускорением:

(2)
В декартовой системе координат
ускорение можно записать:

(3)
где 
единичные векторы.
Аналогично:

(4)

, (5)

(6)
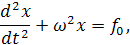
Уравнение (2) можно переписать в
виде:


(7)

где 
Тогда эта система уравнений (7)
примет вид:

(8)
где 
циклотронная частота.

(9)

(10)
Решение уравнения (10) запишем в
виде:
а это означает, что вдоль оси 
электрон движется прямолинейно и
равномерно.
Уравнение (10) проинтегрируем
(подобно тому, как уже интегрировали до этого):

(11)
Подставим (11) в (7) и получим:

(12)
Перепишем уравнение (12) в виде:
где 
Это выражение - известное уравнение
колебаний с правой частью, решение которого является функция:

(13)
где 
амплитуда колебаний, а величина 
является начальной фазой.
Для рассматриваемого случая решение
запишем в виде:

(14)
Анализ этого решения показывает, что
смещение по оси 
имеет постоянную составляющую,
которая зависит как от электрического, так и от магнитного полей, а переменная
составляющая - это колебания, частота которых зависит от магнитного поля.
Скорость по оси 
периодически изменяется

(15)
Решая совместно уравнения (14) и
(15) при 
имеем:
или 
. (16)
Возведя в квадрат и сложив оба уравнения,
получим:

=
или 
.
Разделив уравнения (16) одно на другое, имеем:

(17)
Таким образом, мы получили амплитуду
и начальную фазу колебательного уравнения. Теперь решим совместно уравнения (8)
и (10):

Проинтегрируем уравнение (10) и,
воспользовавшись соотношением (13), получим:
Проинтегрировав это уравнение,
получим выражение для траектории электрона по оси
:
Константа 
находится из начальных условий:
при 
или
Тогда
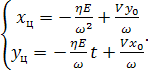
Выпишем окончательные выражения для
траектории электронов по координатам в систему параметрических уравнений:

(18)

(19)

(3.55)
Для определения траектории по
координатам 
и 
исключим параметр 
. Итак, при 

(20)
Это выражение - уравнение окружности
с радиусом 
и координатами центра, которые
описываются следующим образом:

(21)
Анализ показывает, что траектория
движения электронов в плоскости 
представляет собой окружность с
центром, которая равномерно смещается по оси 
и одновременно перпендикулярна полям

Скорость смещения определяется таким
образом:

(22)
Графически проекция траектории на
плоскость 
которая перпендикулярна магнитному
полю, изображена на рис. 2.
Эта кривая напоминает циклоиду -
кривую, описываемую какой-либо точкой колеса, катящегося без скольжения. В
нашем случае траектория имеет вид удлинённой циклоиды, радиус которой зависит
от напряжённости электрического поля и индукции магнитного поля.
Рис. 2. Проекция траектории
электрона, движущегося в скрещенных 
полях.
При смене знака напряжённости
траектория движения также меняет знак. Параметры циклоиды можно изменять путём
варьирования значений 
Циклоида может превратиться в прямую
линию, если в направлении 
начальная скорость отсутствует, а
начальная скорость в отрицательном направлении по оси
равна скорости сноса.
Другими словами, если сила Лоренца и
электростатическая силы равны, 
то смещение в направлении 
будет отсутствовать.
. Управление с помощью магнитной
оптики
Разновидности магнитных способов
управления нетрудно установить, исходя из анализа формулы магнитной силы (силы
Лоренца) 
Видно, что эта сила зависит не
только от величины вектора индукции 
но и от его ориентации по отношению
к вектору скорости 
т.е. от угла между этими векторами.
Следовательно, изменять силу магнитного поля по определённому закону можно,
варьируя либо значение индукции 
либо ориентацию вектора 
относительно вектора 
. Изменять значение 
в заданном пространстве (или
зазоре) взаимодействия можно либо изменением тока соленоида (если магнитное
поле создаётся магнитной катушкой), либо изменением расстояния между полюсными
наконечниками. На рис 3. приведена классификационная диаграмма различными
способами управления электронным потоком.
В качестве изображающей системы может быть использован
длинный соленоид, представляющей собой протяжённую катушку, длина которой во
много раз превышает её диаметр и по которой течёт ток. В центральной части
соленоида образуется практически однородное магнитное поле, направленное по оси
соленоида.
В таком случае из каждой точки эмиттера будет
исходить пучок спиральных линий, обладающих разными радиусами, но одинаковым
шагом (рис. 4).
Все электроны, вышедшие из точки 
соберутся в точке 
Точка 
является электронно-оптическим
изображением точки 
Рис. 3. Классификационная диаграмма способов
управления электронным потоком.
Рис. 4. Траектории электронов в однородном
магнитном поле: а - геометрия орбит электронов; б - траектории электронов вдоль
оси соленоида
Величина 
представляет собой циклотронную
длину волны, где 
циклотронная частота.
Короткая магнитная линза
представляет собой катушку (виток) с током. Все силовые линии такого витка с
током замкнуты, а наибольшее магнитное поле будет в центре катушки. Короткая магнитная
линза даёт колоколообразное распределение магнитного поля (рис. 5).
Рис. 5. Магнитное поле катушки с током,
образующее короткую магнитную линзу
Условно примем, что магнитное поле
сосредоточено в области, ограниченной плоскостями 
и 
Проведём анализ траектории движения
электрона, вышедшего из точки, расположенной на оси, но вне действующего
магнитного поля. Из этой точки эмитируются электроны с определённой скоростью и
углом наклона вектора скорости (рис. 6).
В точке 
вблизи магнитной линзы, на электрон
действует сила Лоренца 
при этом вектор магнитной индукции 
направлен по касательной к силовой
линии магнитного поля. Согласно правилу левой руки векторное произведение
определяет направление силы Лоренца от плоскости вверх. Эта сила 
получила название азимутальной силы,
которая выводит электрон из первоначальной плоскости, и вследствие этого
траектория электрона получает пространственное искривление.
Рис. 6. Траектории движения
электронов в короткой магнитной линзе (а) в меридиональной плоскости и проекция
траектории в поперечной плоскости (б)
В точке 
расположенной в центре линзы, на
электрон действует сила Лоренца. Одновременно на участке 
под действием азимутальной силы
возникает азимутальная скорость, направленная под углом 90°к силовым линиям
магнитного поля.
В точке 
взаимное расположение векторов 
и 
меняется, азимутальная компонента
меняет свой знак и тормозится угловое движение электрона. На выходном участке
линзы угловая скорость уменьшается и на выходе в точке 
становится равной нулю.
Точка 
является электронно-оптическим
изображением точки 
Такая линза является фокусирующей.
Выпишем без вывода уравнение
траектории в меридиональной плоскости в эквипотенциальном пространстве:
где 
координата в цилиндрической системе
координат.
Это уравнение описывает траекторию
электрона, лежащую в меридиональной плоскости, поворачивающейся вокруг оси с
угловой скоростью:

(23)
Таким образом, свойства электронных
траекторий в магнитном поле:
Ø изменение полярности поля не
изменяет траекторию в меридиональной плоскости;
Ø траектория электрона является
пространственной кривой;
Ø решение уравнения содержит отношение
заряда к массе для данной частицы, следовательно, в одном и том же магнитном
поле траектории электронов и ионов различных веществ существенно различаются;
Ø решения уравнений магнитной и
электростатической оптики аналогичны.
Поэтому при помощи параксиальных траекторий в
аксиально-симметричном магнитном поле можно получить неискажённое
электронно-оптическое изображение.
электрон электрический магнитный
линза
Список используемой литературы
1. Щука А.А. Электроника Учебное
пособие / Под ред. проф.А.С. Сигова - С - Петербург « БХВ-Петербург », 2006,
800 с.
. Сушков А.Д. Вакуумная электроника:
Физико-технические основы: Учебное пособие. - СПб.: Издательство «Лань»,
2004.-464 с.