Терморезистивный датчик силы на сжатие

  • Вид работы:
    Контрольная работа
  • Предмет:
    Физика
  • Язык:
    Русский
    ,
    Формат файла:
    MS Word
    846,05 Кб
  • Опубликовано:
    2014-09-30
Вы можете узнать стоимость помощи в написании студенческой работы.
Помощь в написании работы, которую точно примут!

Терморезистивный датчик силы на сжатие

1. Техническое задание

тензорезистор модуль деформация

Необходимо рассчитать и спроектировать измерительный модуль для измерения силы F=100 кH на растяжение. Преобразователь деформации в электрический сигнал - фольговые тензорезисторы. Материал упругого элемента стержня - сталь. Рабочая температура: -30…+50 С. Точность измерения ±0.5%. Исполнение прибора должно соответствовать классу IP67.


. Описание выбранного датчика

.1 Назначение датчика

Данный прибор, а именно тензорезистивный датчик силы, позволяет измерять силу, действующую на него в определенном направлении (на растяжение).

.2 Технические характеристики

Основные параметры и характеристики тензорезисторов

Тензорезисторы характеризуются рядом параметров, основными из которых являются:

тензочувствительность Sт;

номинальное сопротивление R;

допустимая деформация εдоп;

погрешность преобразования.

Для обоих видов тензочувствительных материалов, проводниковых и полупроводниковых, тензоэффект характеризуется величиной тензочувствительности, устанавливающей связь между относительным изменением сопротивления и относительной деформацией в направлении измерений Тензочувствительность материала характеризуется зависимостью:

                                     (1)

где R; ΔR; Δ - длина и сопротивление тензочувствительного элемента и их приращение в следствии деформации;- коэффициент эластосопротивления, равный m =υΕм;

Εм - модуль упругости образца тензочувствительного материала;

υ - продольный коэффициент пьезосопротивления.

Физические основы. Преобразование деформации тензорезистором

Исходя из постановки задачи, требуется использовать тензорезистор в качестве преобразователя деформации в электрический сигнал.

Тензорезистор - резистор, способный менять свое сопротивление под воздействием нагрузки, которая вызывает изменение параметров тензорезистора. Возникает это вследствие тензоэффекта, т.е. способности чувствительного элемента менять свое сопротивление под действием внешней нагрузки. Изменение электрического сопротивления тела происходит как за счет изменения геометрических размеров тела, так и за счет изменения его удельного электрического сопротивления. В случае одноосной деформации относительное изменение сопротивления выражается по формуле [1]:

                                                             (2)

Эту формулу можно упростить и записать в виде:

где Кпр=1+2μ+m

Для нормальных металлов Кпр лежит в пределах от 0.6 до 5.5. Для пластических материалов коэффициент m равен 0, поэтому тензоффект определяется только изменением геометрии проводника. Ряд исследований показал, что m, а следовательно и Кпр, зависит от температуры незначительно. Для однородного материала, каким является материал тензочувствительного элемента тензорезистора, ρ не изменяется в небольшом диапазоне деформаций, следовательно Кпр тоже неизменно в этом диапазоне. Тогда справедливо, что:


Методика измерения с помощью тензорезистора заключается в том, что выходной сигнал определяется как отношение приращения электрического споротивления тензорезистора, полученное в результате деформации, к начальному значению (до деформации), т.е. ∆R/R = ξ(ε). C учетом этого, формулу (5) можно представить в виде определенных интеграллов:


Интеграл в правой части равества (6) является истинным значением деформации чувствительного элемента εч [1].Учитывая это и интегрируя левую часть, получим:

где

В итоге получаем:


Где ε - внешняя деформация. Так как выходной сигнал при деформации пропорционален среднему значению деформации εч базы, то целесообразно пользоваться коэффициентом передачи Kпер.ч = εчср/ ε [1].

В данном разделе указанны формулы которые будут использоваться в дальнейшем при расчете коэффициента передачи и изменения сопротивления.


3. Выбор и расчет параметров устройства

.1Расчет функции и коэффициента передачи с учетом влияния концевых и контактных участков

Общая схема тензорезистора приведена на (рис 2).

Рис. 2. Схема тензорезистора установленного на деформируемом упругом элементе

чувствительный элемент

концевые участки

контактные участки

связующее

деформируемая балка

Далее будем пользоваться следующими обозначениями:- Модуль сдвига связующего (Па)- Длина базы (м)- Сечение базы (м)- Периметр базы (м)

Е - модуль упругости базы (Па)- длина концевого участка (м)- длин контактного участка (м), P2 - периметры, соответственно, концевых и контактных площадок (м), Q2 - поперечные сечения, соответственно, концевых и контактных участков (м)

Е1, Е2 - модули упругости (Па)

Есть несколько допущений, при рассмотрении такой схемы тензорезистора[1]:

В слое связующего существуют только касательные(сдвиговые) напряжения, а в чувствительном элементе и исследуемой конструкции - только нормальные.

Сдвиговые напряжения равномерно распределены по периметрам.

Рассмотрим деформацию элемента длины базы:

Как видно из рисунка (3), при деформации ε упругого элемента происходит удлинение участка на нижней границе базы εx, при этом на верху (там где база не прилегает к упругому телу) происходит помимо удлинения εx еще прирощение δ(x).

Рис. 3. Деформация элемента базы

Исходя из этих соображений:



Эта формула носит название уравнение (закон) совместимости деформаций[1].Смещения  выражаются через напряжения сдвига S(x) как:


Вследствие влияния конечных и контактных участков O1O и O2O1, указанных на рисунке (2), εч не равно нулю для чувствительного элемента на концах базы (если бы этого влияния не было, то εч = 0 на концах базы и тогда можно рассматривать схему идеального тензорезистора). Но если принять начало координат по оси ОХ в очке O2, то можно считать что

ε2 (x=0) = 0.

Так как закон совместимости деформации соблюдается для любого отрезка, расположенного в слое связующего, то можно записать, что:


и учитывая выражение (11) и (10) получаем, что:

, где  и .

В последнем выражении hc2 -толщина связующего для рассматриваемого участка, а h2 - толщина рассматриваемого участка.(x2) - напряжение сдвига, которое приведет к возникновению нормальной силы, которая при х2=l2 равна:



Эта точка для участка O1O является точкой в которой x1 = 0, т.е. эта сила создает деформацию, граничную для участка O1O:


При рассмотрении всех участков, в итоге получим следующее уравнение для деформации базы:

εч (x) =

тогда Kпер. ч. с l1 и l2, расположенными симметрично с обоих концов нити

пер. ч. =

Коэффициенты b и b1 определяются аналогично с b2.

Для фольгового тензорезистора, который используется в данной курсовой работе, коэффициенты B1 и B2 определяются по формулам[1]:

=  и B2 =,

в этих формулах a1, a2 - ширина концевых и контактных участков, h - высота участка (было принято, что h = h1 = h2).

В данной курсовой работе используются фольговый тензорезистор 2ФКП-5-200 выполненный по ГОСТ 21616-91.

Рис. 4. Тензорезистор 2ФКП-5-200 (ГОСТ 21616-91)

Габаритные размеры данного тензорезистора: А = 11 мм, В = С = 5 мм.

Для этого тензорезистора:

с = h ≈ 0.03 мм

с ≈ a ≈ h ≈ 0.03 мм

= 2 мм

l = 5 мм= 1.5 мм

= h * a = 9 * 10-10 м2= a2 * h2 = 4.5 * 10-8 м2

С = С2 = 8.71≈ 9241≈ 413

ч = 1.7 * 1011 Па (материал фольги константа)= 15 * 108 Па Тензорезистор крепится при помощи фенолформальдегидного связующего, клей БФ - 2 выполненный по ГОСТ 12172-14

Как видно из рисунка (4) контактные участки практически равны концевым участкам, поэтому последние можно не учитывать. Т. о. B2 = 0.

Применяя формулу (18) к известным данным получаем, что Kпер. ч = 0.9775. Kпр. для константана равно Kпр. = 2.1. Тогда чувствительность тензорезистора:

= Kпер. ч * Kпр. = 2.0529.

Так как начальное сопротивление тензорезистора по паспорту равно 200 Ом, то согласно формуле (9) получаем:


Таким образом, было рассчитано изменение сопротивления в зависимости от деформации, которое необходимо при вычислении выходного сопротивления.

.2 Измерение с помощью тензорезистора

Рис. 5. Использование двух тензорезисторов для компенсации температурной погрешности

Рис. 6. Полумостовая схема включения тензорезисторов для компенсации температурной погрешности



Измерения с помощью тензодатчиков требуют регистрации очень малых изменений сопротивления. Чтобы измерять малое изменение сопротивления и скомпенсировать температурную погрешность, тензодатчики практически всегда используют в мостовой схеме (мост Уитстона, рис. 6), подключенной к источнику напряжения или тока (источнику питания моста). [2]

Общепринятого стандарта для питания моста не существует. Типовыми являются напряжения 3В и 10В. Ток через тензодатчик обычно составляет от 2 мА до 30 мА. Напряжение питания моста должно быть по возможности большим, чтобы увеличить отношение сигнала к шуму, и в то же время достаточно малым, чтобы минимизировать погрешность, вызванную саморазогревом датчика. [2]

Поскольку относительное удлинение зависит также от температуры, для компенсации температурной составляющей используют два тензочувствительных элемента, расположенных на общей подложке перпендикулярно друг другу (рис. 5). При этом температурные удлинения обоих элементов одинаковы, а удлинения вследствие воздействия деформирующей силы будут разные. Используя эти элементы в разных плечах измерительного моста (рис. 6), можно частично скомпенсировать температурную погрешность. [2]

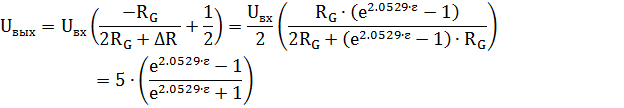
Выходное напряжение измерительного моста (рис. 6) равно:


При условии баланса моста его выходное напряжение равно 0, так как сопротивления R1 и R2 подбираются по номиналу так, чтобы они были равны номинальным сопротивлениям тензорезисторов, т.е. R1 = R2 = RG. Малейшая разбалансировка вследствие изменения сопротивления тензодатчика приводит к появлению напряжения на выходе.

Подставляя в формулу (21) ранее полученные значения, упрощая ее и учитывая, что Uвх = 10 В, получим функцию выходного сигнала от деформации:


.3 Упругий элемент

В качестве упругого элемента выбран стержень, материал этого упругого элемента Сталь 45 (холоднотянутая).

Характеристики материала, из которого изготовлен данный упругий элемент указаны в таблице 1:

Таблица 1. Характеристики холоднотянутой стали 45. [3]

Модуль упругости

2.05e+011

Н/м^2

Коэффициент Пуассона

0.29

Не применимо

Модуль сдвига

8e+010

Н/м^2

Плотность

7850

кг/м^3

Предел прочности при растяжении

625000000

Н/м^2

Предел прочности при сжатии в X


Н/м^2

Предел текучести

530000000

Н/м^2

Коэффициент теплового расширения

1.15e-005

/K

Теплопроводность

49.8

W/(м·K)

Удельная теплоемкость

J/(кг·K)

Коэффициент демпфирования материала

2.05e+011

Не применимо


Данный упругий элемент прошел исследование на прочность. По полученным данным, проведенным с помощью программы SolidWorks 2014, минимальный коэффициент запаса прочности при нагрузке 100кН равен 5.42. (рис 8).

Рис. 8. Исследование на запас прочности.

.4 Расчёт измерительного модуля

Учитывая параметры данного упругого элемента стержня, рассчитаем зависимость выходного напряжения от силы.

;

Механическое напряжение - отношение модуля внешней силы к площади сечения.

ε = ;

Подставляя формулу (23) в (24) мы получим зависимость деформации от силы:

ε = ;

Для стали модуль Юнга E=2,1*1011 Н/м2, а площадь сечения

S=π*R2=3.14*(0.05)2.

ε =

Получим заключительную формулу, подставив (25) в (22):


Данная функция необходима для вычисления приложенной нагрузки и будет использоваться непосредственно в блоке электроники, который обрабатывает полученный сигнал.

На рис. 9. представлена зависимость выходного сигнала от приложенной силы. Для допустимого диапазона измерений 0..100кН диапазон выходного сигнала равен 0..1 В.

Рис. 9. Зависимость выходного сигнала от приложенной силы


Указания по транспортировке и монтажу. Требования к классу защиты и климатическому исполнению

К датчику должен быть приложен паспорт, удостоверяющий его соответствие техническим требованиям.

Датчик должен быть завернут в конденсаторную бумагу по ГОСТ 1908-66, телефонную бумагу по ГОСТ 3553-73 или оберточную бумагу по ГОСТ 8273-75.

Датчик должен быть уложен в коробку из гофрированного картона по ГОСТ 7376-66.

На коробке должен быть проставлен штамп или наклеена этикетка с указанием:

товарного знака или наименования предприятия-изготовителя;

условного обозначения и количества датчиков;

фамилии или номера контролера и упаковщика;

даты выпуска.

Датчик, упакованный в соответствии с п.п 1-3, допускается транспортировать всеми видами транспорта при условии защиты его от механических повреждений и воздействия влаги, паров кислот и щелочей.

Условия хранения датчика при отсутствии воздействия на них паров кислот и щелочей должны быть не хуже условий хранения группы 1Л по ГОСТ 15150-69.

Изделие соответствует классу защиты IP67 (т.е. выполнена защита оболочкой от погружения в воду и пыленепроницаемость).

На корпусе любого тензометрического датчика стрелкой указывается направление нагрузки. Установку и монтаж тензодатчика необходимо провести так, чтобы силопередающее устройство воздействовало на тензодатчик, в направлении, указанном стрелкой на датчике. Основная часть тензодатчика жестко фиксируется на конструкции двумя болтами.

Список используемой литературы

Клокова Н.П. Тензорезисторы: Теория, методики расчета, разработки. - Машиностроение, 1990. - 224 стр.; с ил.://www.bookasutp.ru/Chapter6_3_5.aspx

Стали и сплавы. Марочник: Справочник/ Сост. В.Г. Сорокин, М.А. Гервасьев, В.С. Палеев под ред. В.Г. Сорокина. - М.: Интермет Инжиниринг, 2001. - 608 с.

Тищенко О.Ф. Учебное пособие для студентов приборостроительных специальностей вузов. «Атлас конструкций элементов приборных устройств» 1982 г. -116 с., c ил.

Квартин М.И. Электромеханические и магнитные устройства автоматики. М.: Высш. школа, 1979. - 352 с ил.

Похожие работы на - Терморезистивный датчик силы на сжатие

 

Не нашли материал для своей работы?
Поможем написать уникальную работу
Без плагиата!
Без нейросетей!