|
Модуль
Юнга ( )311 ГПа
|
|
|
Коэффициент
Пуассона( 0,024
|
|
|
Коэффициент
теплопроводности
|
199
Вт/(м*°C);
|
|
Теплоемкость
|
1,9
кДж/(кг*°C)
|
|
Плотность
|
1797
кг/м3
|
|
Температурный
коэффициент линейного расширения ( 12*10-6 °C
-1
|
|
Энерговыделение в зависимости от радиуса и
высоты мишени представлено приложении 1.
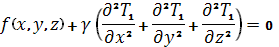
Данную задачу следует разделить на три этапа.
На первом этапе необходимо определить
температуру мишени, математическая постановка задачи сводится к решению
уравнения теплопроводности

(1)
с граничными условиями третьего рода (плотность
теплового потока q на границе
мишени пропорциональна разности температур между поверхностью тела и окружающей
средой) [5]:
Коэффициент теплоотдачи
α = 20
На втором этапе необходимо
определить термические напряжения, возникающие в связи с изменением теплового
состояния тела, для этого решить систему из трех дифференциальных уравнений
равновесия с учетом температурных составляющих
Здесь

, 
Здесь 
- температура, полученная в
качестве решения на первом этапе, 
- начальная температура тела (20°C).В качестве
граничного условия накладываем ограничение на перемещения: нижние торцевые
поверхности мишени - неподвижны (мишень стоит на твердом основании).
На третьем этапе необходимо определить
время выхода на стационарный режим, для этого решить уравнение теплопроводности

(3)
с граничными условиями такими же,
как на первом этапе. В качестве начального условия берется температура
окружающей среды. Время выхода на стационарный режим определим из условия:
будем считать, что система вышла на стационарный режим, если разница
максимальных температур стационарной и нестационарной задачи меньше 
°C.
В качестве критерия безопасной
работы выбрано следующее условие. Мишень признается безопасной, если
температура мишени меньше температуры плавления и максимальные напряжения
меньше предела прочности.
бериллиевый мишень термический
безопасность
Обзор литературы
Уравнение теплопроводности было выведено и
впервые исследовано в 1822 году в знаменитой работе Ж. Фурье “Аналитическая
теория тепла” [4], которая сыграла важную роль в развитии методов
математической физики и теории тригонометрический рядов.
Дальнейшие исследования этого уравнения привели
к нахождению аналитических решений в некоторых частных случаях с простой
геометрией тела (шар, неограниченный цилиндр, неограниченная пластина и др.)
[5].
Однако, в случае сложной геометрии тел с
непрерывно действующими источниками тепла нахождение аналитического решения
если и не невозможно, то весьма затруднительно, в связи с чем для решения
необходимо использовать численные методы.
Дифференциальные уравнения (2), называемые
термоэластическими уравнениями Дюгамеля-Неймана были получены Дюгамелем в 1835
г., исходя из метода системы материальных точек, связанных силами
межмолекулярного взаимодействия в духе Коши и Пуассона. Чуть позднее эти
уравнения были выведены Францем Нейманом [6]
Точные аналитические решения задач теории
упругости в пространственной постановке удалось получить лишь для некоторых
частных случаев, например, для задач об изгибе и кручении бруса, о действии
силы на вершину конического тела, задача Ламе, и др. [7,9]
В общем случае поставленная в данной работе
задача представляет собой пространственную задачу теории упругости,
аналитическое решение которой не представляется возможным, в связи с чем для
решения большого класса задач необходимо использовать численные методы.
Методы излагаются на основе результатов, представленных
в учебных пособиях Зенкевича, Моргана и Румянцева [2,3,8].
.1 Методы взвешенных невязок
Большая группа методов приближенного решения
дифференциальных уравнений базируется на математической формулировке, связанной
с интегральным представлением взвешенной невязки. Эту группу методов называют
методами взвешенных невязок.
Пусть имеется дифференциальное уравнение и
граничное условие к нему:
,
, (1)
,
. (2)
Здесь L−дифференциальный
оператор; xi
−
пространственные координаты; V
и S −
объем и внешняя граница исследуемой области; u0-
точное решение.
Будем считать, что некоторая функция
u также
является решением уравнения, и оно может быть аппроксимировано набором функций
:
, (3)
при этом коэффициенты
−
неизвестные величины, подлежащие определению с помощью некоторой математической
процедуры.
В методах невязки эта процедура
состоит из двух последовательных этапов. На первом этапе подстановкой
приближенного решения (3) в уравнение (1) находится функция
ошибка, или
невязка, которая характеризует степень отличия
от точного решения
:
. (4)
В итоге получается алгебраическое
уравнение, содержащее текущие координаты
и М по-прежнему неизвестных
коэффициентов
.
На втором этапе на функцию невязки
(4) накладываются требования, которые минимизируют или саму невязку (метод
коллокаций), или взвешенную невязку (метод наименьших квадратов и метод
Галеркина).
В методе коллокаций полагают, что
дифференциальное уравнение удовлетворяется только в некоторых выбранных
(произвольно) точках − точках коллокаций
, количество которых равно числу
неизвестных коэффициентов
. В этих М
точках невязка должна равняться нулю, что приводит к системе М алгебраических
уравнений для М коэффициентов
:
. (5)
В методах взвешенной невязки сначала
формируют взвешенную невязку путем ее умножения на некоторые весовые функции
, а затем
минимизируют ее в среднем:
. (6)
В методе наименьших квадратов −
методе Рэлея-Ритца − в качестве весовой функции выбирается сама ошибка,
т.е.
, и
требуется, чтобы полученная таким способом величина (функционал) была
минимальна:
. (7)
Для этого должно выполняться условие:
, (8)
приводящее к системе алгебраических уравнений
относительно неизвестных коэффициентов.
В методе Галеркина в качестве
весовых функций берутся сами функции
, называемые базисными, и требуется
их ортогональность невязке
:
. (9)
Если
− линейный оператор, то
система (9) переходит в систему алгебраических уравнений относительно
коэффициентов
.
.2 Основная концепция метода конечных элементов
Главная трудность при непосредственном
применении классических методов взвешенных невязок связана с выбором базисных
функций для области определения в целом. Эти функции должны не только
удовлетворять граничным условиям, но и достаточно полно описывать геометрию и
другие характеристики задачи. Все эти условия обычно трудно выполнить, особенно
для объектов (конструкций) сложной геометрии при наличии сложного теплообмена,
и поэтому возможности методов в их классическом смысле весьма ограничены.
С появлением быстродействующих ЭВМ получила
развитие идея локализации аппроксимирующих функций в малых областях
(подобластях), называемых конечными элементами
Важной особенностью МКЭ является то, что
первоначально при локальной аппроксимации функции на конечных элементах, их
можно рассматривать независимо друг от друга. Это значит, что каждый элемент
можно считать изолированным от всей совокупности и аппроксимировать функцию на
этом элементе с помощью ее значений в его узлах независимо от того, какое место
займет рассматриваемый элемент в связанной модели, и от поведения функции на
других конечных элементах. С математической точки зрения это означает
следующее. Для каждого элемента записывается локальная (элементная)
аппроксимирующая функция:
,
,
, (2.1)
где
− число узлов, принадлежащих
-му
элементу;
−
значения искомой функции в его узлах;
− базисная функция;
−
объем элемента.
Поскольку каждый элемент
рассматривается отдельно, то его свойства изучаются независимо от других
элементов, т.е. дифференциальное уравнение с соответствующими граничными
условиями решается для каждого
-го элемента, например, методом
Галеркина:
(2.2)
Полученные на основании (2.2)
матрицы для отдельных элементов, которые содержат в качестве неизвестной
узловые значения функции
, формируют
в глобальные матрицы для всей области определения. Разрешая полученную таким
образом систему алгебраических уравнений, определяют значения искомой функции в
узлах, что позволяет найти приближенное решение задачи для всей области в
целом:
,
,
, (2.3)
где
- число элементов, совокупность
которых аппроксимирует область
в целом.
Реализация в рамках МКЭ
представления области определения совокупностью конечных элементов
обусловливает следующие важные преимущества МКЭ, обеспечивая его широкое
применение для решения задач теории поля:
• локальная аппроксимация на каждом
элементе единственным образом определяется значениями искомой функции в узловых
точках;
• обеспечивается широкая вариация
задания граничных условий на отдельных участках границы (внешней и внутренней)
области;
• криволинейные участки границ
области могут быть аппроксимированы прямыми линиями;
• размеры и геометрическая форма
элементов могут быть разными;
• взаимные соединения элементов не
обязательно должны следовать какой-либо регулярной структуре;
• свойства материала каждого
элемента могут быть индивидуальными и, к тому же, анизотропными;
• обеспечивается возможность
повышения точности решения задачи путем увеличения количества элементов,
ограничиваемого лишь мощностью используемой ЭВМ;
• вследствие наличия общих узловых
точек, глобальные матрицы являются ленточными, т.е. содержат большое число
нулей.
В соответствии с концепцией МКЭ
основными этапами его применения к решению краевых задач теории поля являются
следующие:
• построение сетки из конечных
элементов, взаимосвязанных в узловых точках.
При этом границы внешних элементов
аппроксимируют границу области в целом;
• получение базисных функций
элементов;
• построение матричного
представления для каждого элемента на основании ;
• объединение всех элементов в
ансамбль путем матричных преобразований;
• задание краевых условий для
элементов;
• решение результирующей системы
уравнений: обыкновенных дифференциальных первого порядка (нестационарный
процесс) или алгебраических (стационарный процесс);
• вывод и оценка результатов; расчет
любой другой функции, зависящей от значений в узлах найденного решения задачи.
Первый этап конечно-элементной процедуры -
декомпозиция исследуемого объекта (конструкции или ее частей) на конечные элементы,
взаимосвязанные в узловых точках, - включает в себя следующие операции:
• выбор типов элементов, совокупность которых
аппроксимирует объект;
• задание размеров и, тем самым, количества
элементов;
• нумерацию элементов и узлов, и индексацию
последних.
2. Решение и результаты анализа
.1 Решение стационарной задачи
Для расчета температуры и термических напряжений
был использован пакет Mechanical APDL (ANSYS) 14.0, который решает уравнения
(1), (2), используя метод конечных элементов.
Для решения задачи использовался элемент solid227
(рис. 2). Элемент имеет десять узлов и до пяти степеней свободы на узел и
позволяет считать сопряженные тепловые и прочностные задачи.
Модель была разбита на 2186687 элементов (рис.
3).
Рис. 2. Геометрия элемента SOLID227
Рис. 3. Конечно-элементная модель.
Необходимые механические и теплофизические
постоянные взяты из таблицы 1
В качестве граничного условия задана
конвекция: температура окружающей среды - 20°C,
коэффициент теплоотдачи равен 20 Вт
<#"801298.files/image060.gif">
На рис. 5 показана эпюра термических напряжений
мишени.
Рис. 5. Эпюра термических напряжений мишени
Из решения видно, что максимальная температура в
стационарном режиме составляет 22,435°C;
максимальное напряжение - 0,959*107 Па, что соответствует критерию
безопасности; так как предел прочности бериллия - 0,57*109 Па, а
температура плавления-1278°C.
Для проверки сходимости результатов расчеты проводились трижды на разных
сетках. Разница значений максимальной температуры < 1%, что позволяет
утверждать о достоверности решения.
.3 Решение нестационарной задачи
Для расчета времени выхода на стационарный режим
был использован пакет Mechanical APDL (ANSYS) 14.0, который решает уравнение
(3), используя метод конечных элементов.
Для решения задачи использовался элемент solid87
(рис. 6). Элемент имеет десять узлов и одну степень свободы, температура, в
каждом узле.
Необходимые механические и теплофизические
постоянные взяты из таблицы 1.
Рис. 6. Геометрия элемента SOLID87
Модель была разбита на 3819017 элементов (рис.
6).
Рис. 6. Конечно-элементная модель
В качестве начального условия была
задана температура равная 20°C. В качестве граничного условия
задана конвекция: температура окружающей среды - 20°C, коэффициент
теплоотдачи равен 20 Вт
<#"801298.files/image064.gif">
Рис. 7.1. Температура в центре мишени (время 8
минут)
Рис. 7.2. Температура в центре мишени (время 1
час 8 минут)
Рис. 7.3. Температура в центре мишени (время 1
час 36 минут)
Рис. 7.4. Температура в центре мишени (время 2
часа 7 минут)
Из решения видно, что время выхода
на стационарный режим составляет ≈ 1 час 36 минут (разница максимальных
температур стационарной и нестационарной задачи меньше 
°C). Для
проверки результатов анализа расчеты проводились трижды на разных сетках. При
этом наблюдалась разница значений максимальной температуры < 1%.
Следовательно результаты расчетов можно считать достоверными.
Заключение
По результатам выполненной работы
могут быть сделаны следующие выводы.
. Отмечено, что в новом типе ядерных
установок - электроядерных установках (ЭЛЯУ) принципиально исключается
возможность тяжелой реактивностной аварии с разгоном реактора на мгновенных
нейтронах за счет того, что реакция деления ядер осуществляется в
подкритическом реакторе, а необходимая плотность нейтронного потока создается
за счет дополнительного источника нейтронов.
. Важным элементом, определяющим
работоспособность создаваемого дополнительного источника нейтронов, который
позволяет существенно повысить уровень безопасности реактора, является
бериллиевая мишень. Поэтому термический и прочностной анализ бериллиевой мишени
в электроядерной установке выбран основной целью данной работы.
. Проведен термический и прочностной
анализ работы бериллиевой мишени, выполненный с помощью методов расчетного
моделирования.
. Результаты расчетного исследования
показали, что бериллиевая мишень полностью соответствует критериям
безопасности, а именно, максимальная температура не превышает температуры
плавления, а максимальное напряжение меньше предела прочности. Таким образом,
безопасная эксплуатация данного типа мишеней в исследовательском реакторе У-3
возможна без необходимости в дополнительном охлаждении мишени.
Список литературы
1. Герасимов Л.Н., Кудинович И.В.,
Свистунов Ю.А., Струев В.П. Малогабаритная энергетическая электроядерная
установка: возможные технические решения // Известия РАН, 2005, №2, с.3-15.
2. Зенкевич О.
Метод конечных элементов в технике - М.: Мир, 1975.
3. Зенкевич
О., Морган К. Конечные элементы и аппроксимация: Пер. с англ. - М.: Мир, 1986
4. Кудрявцев П.С. Курс истории
физики: Учеб. пособие для студентов пед. ин-тов по физ. спец. - 2 изд., испр. и
доп. - М. : Просвещение, 1982. - 448 с.
5. Лыков А.В. Теория
теплопроводности - М.: Высшая школа, 1967. - 600 с.
. Пронина Ю.Г. Лекции по
теории упругости: Общие положения: Учебное пособие. СПб.: СПбГУ, 2004. -120 с.
. Работнов Ю. Н.
Сопротивление материалов. - М.: Физматгиз, 1962. - 456 с.
. Румянцев А.В. Метод
конечных элементов в задачах теплопроводности: Учебное пособие. Российский
госуниверситет им. И. Канта. - Калининград. 2010. - 95 с.
. Тимошенко С.П.. Гудьер Дж.,
Теория упругости, перев. с англ., Главная редакция физико-математической
литературы изд-ва «Наука». 1975.- 576 с.
Приложение 1
Удельное энерговыделение в зависимости от
радиуса и высоты мишени.