Волоконные висмутовые усилители

  • Вид работы:
    Курсовая работа (т)
  • Предмет:
    Информатика, ВТ, телекоммуникации
  • Язык:
    Русский
    ,
    Формат файла:
    MS Word
    1,23 Мб
  • Опубликовано:
    2015-04-02
Вы можете узнать стоимость помощи в написании студенческой работы.
Помощь в написании работы, которую точно примут!

Волоконные висмутовые усилители

МИНИСТЕРСТВО ОБРАЗОВАНИЯ И НАУКИ РОССИЙСКОЙ ФЕДЕРАЦИИ

Федеральное государственное бюджетное образовательное учреждение высшего профессионального образования

«КУБАНСКИЙ ГОСУДАРСТВЕННЫЙ УНИВЕРСИТЕТ»

(ФГБОУ ВПО «КубГУ»)

Физико-технический факультет

Кафедра оптоэлектроники





КУРСОВАЯ РАБОТА

Волоконные висмутовые усилители


Работу выполнил Прокошев Александр Александрович

Курс 3

Специальность 210401 - Физика и техника оптической связи

Научный руководитель

канд. физ.-мат. наук, доцент Галуцкий В.В.

Нормоконтролер инженер И. А. Прохорова


Краснодар 2012

РЕФЕРАТ

Курсовая работа: 27 с., 10 рис., 10 источников.

ВОЛОКОННЫЕ УСИЛИТЕЛИ,ВОЛОКОННЫЕ ЛАЗЕРЫ, ВИСМУТОВЫЕ УСИЛИТЕЛИ, ОПТИЧЕСКОЕ ВОЛОКНО, ШУМ УСИЛИТЕЛЯ

Объектом разработки данной курсовой работы являетсяперспективы создания висмутовых усилителей, их современная роль в оптоэлектронике, проблемы и недостатки висмутовых усилителей.

Целью работы является изучение проблемы создания и использования в оптических линиях связи волоконных висмутовых усилителей.

В результате выполнения курсовой работы был проведено исследование современных усилителей на основе висмута, их актуальность и перспектива развития данного направления в волоконной оптике, их конкурентоспособность с волоконными эрбиевыми усилителями так же были рассмотрены лазеры на основе висмутового волокна.

висмут усилитель волоконная оптика лазер

СОДЕРЖАНИЕ

Обозначения и сокращения

Введение

. Область применения волоконных висмутовых усилителей

.1 Исследование активных висмутовых центров

. Достижения в технологии получения и использование

. Проблемы, которые существуют в использовании

Заключение

Список литературы

ОБОЗНАЧЕНИЯ И СОКРАЩЕНИЯ

АВЦ

активный висмутовый центр

% ат

концентрация ионов-активаторов в атомных процентах

ИК

инфракрасный

мол.%

концентрация ионов-активаторов в мольных процентах

дБ

дециБел

NA

числовая апертура

ВКР

внешнее комбинационное рассеяние

Рн

мощность накачки

λн

длина волны накачки



Введение

В связи с необходимостью расширения спектрального диапазона волоконно-оптических линий связи возрастает потребность в активном освоении второго телекоммуникационного окна прозрачности (1.20 -1.35 мкм), которое характеризуется достаточно низкими оптическими потерями и малой хроматической дисперсией кварцевого стекла. В то же время для этой области до сих пор не созданы эффективные лазеры и усилители на основе активных световодов из кварцевого стекла, совместимые со стандартными телекоммуникационными волокнами.

В последнее время появились сообщения о наблюдении широкополосной люминесценции в ближней ИК области спектра (1.1-1.7 мкм) в ряде стекол (силикатных, германатных, фосфатных, боратных), легированных висмутом и полученных наплавом шихты в тигле. При этом природа люминесцирующих центров еще не вполне ясна. В настоящее время рабочий диапазон существующих волоконных лазеров на световодах из кварцевого стекла, легированного редкоземельными ионами (УЬ3+, Ег3+,Hо3+), охватывает область длин волн от 900 до 2300 нм. Благодаря ряду преимуществ перед другими видами лазеров (компактность, малый вес, постоянный модовый состав, стабильность выходного излучения) волоконные лазеры находят широкое применение в различных областях. Однако важной и в то же время неосвоенной оставалась область длин волн ~ 1200 - 1500 нм, интерес к которой, прежде всего, связан с возможностью ее использования для расширения спектрального диапазона передачи информации волоконно-оптических систем связи, ограниченного в настоящее время полосой усиления эрбия (1520 - 1600 нм). Разработка волоконных лазеров и широкополосных оптических усилителей для спектрального диапазона 1300 - 1500 нм позволит повысить пропускную способность волоконных линий связи.

1. Область применения волоконных висмутовых усилителей

Существенным шагом к решению задачи реализации источников лазерного излучения является нахождение соответствующей активной среды. Ранее в качестве кандидатов на роль оптического усилителя для работы в области около 1300нм предполагались волоконные усилители на ионах редкоземельных металлов: в 1988 году - неодимовые, а в 1991 празеодимовые. По усилительным характеристикам такие усилители существенно уступают эрбиевым, а кроме того, для их создания используется флюоридные или халькогенидные стекла, существенно более сложные в изготовлении и эксплуатации. В 1994 году были предложены и реализованы первые волоконные ВКР-усилители на 1300нм. Такие усилители могут усиливать оптическое излучение на любой длине волны из спектрального диапазона прозрачности волоконных световодов, но для получения усиления 20-30 дБ им нужна сравнительно высокая мощность накачки (~1 Вт). Кроме того, для получения достаточно широкой полосы усиления необходимо накачивать ВКР-усилитель несколькими источниками с различными длинами волн. В 2005 году было показано, что потенциально возможной активной средой для волоконных перестраиваемых лазеров и оптических усилителей являются световоды из кварцевого стекла, легированного висмутом. Обусловлено это, в первую очередь, тем, что такие световоды обладают полосами ИК люминесценции в довольно широкой области длин волн 1000- 1600 нм, в которых наблюдается долгоживущая (до 1700мкс) широкополосная (до 500 нм) люминесценция со спектральным положением максимума в области 1050-1420 нм, покрывающая спектральный диапазон от 900 до 2000 нм.

Кроме того, широкие полосы поглощения в данных стеклах в видимом и ИК диапазонах позволяют использовать широкополосную накачку. В силикатных и германатных стеклах с висмутом была продемонстрирована возможность оптического усиления сигнала в спектральном диапазоне 1250-1350 нм и на длине волны 1560 нм. Однако лазер на основе объемных висмутовых стекол так и не был создан. Наиболее перспективным является использование свойств стекол, легированных висмутом, в виде волоконногосветовода, так как волоконные лазеры и усилители обладают рядом неоспоримых преимуществ по сравнению с обычными (газовыми и твердотельными) лазерами.

Рисунок 1- Перспективные длины волн

Компактность, надежность, экономичность, стабильность и высокое качество выходного пучка, эффективный теплоотвод - все это преимущества цельно волоконной конструкции лазера. Поэтому, на основе световодов, активированных висмутом и изготовленных методами MCVD и SPCVD, были реализованы различные типы волоконных лазеров, Первые волоконные висмутовые лазеры работали в спектральном диапазоне 1140- 1215 нм с эффективностью ~ 14 %.Накачка висмутовых лазеров осуществлялась в сердцевину активного световодаиттербиевым лазером, излучающим на длине волны 1064 нм. В качестве активных сред использовались алюмосиликатныесветоводы, легированные висмутом

Рисунок 2- Потенциальная область генерации волокон легированных висмутом

 Для продвижения в длинноволновую область (1300- 1550 нм) необходимо осуществить поиск состава стекла сердцевины световода с висмутом, обладающего оптическим усилением в указанном диапазоне длин волн.

1.1 Исследование активных висмутовых центров

В отличие от ионов редкоземельных элементов, в электронной конфигурации атома висмута содержатся заполненные f и d оболочки,  поэтому спектроскопия в видимом и ближнем ИК диапазоне определяется  валентными 6s и 6p электронами. Следовательно, оптические свойства  ионов висмута сильно зависят от кристаллического окружения, а  спектральные полосы должны быть широкими по сравнению с ионами  редкоземельных элементов. Спектроскопия иона Bi2+ в разных кристаллах  характеризуется тремя широкими полосами в спектре возбуждения с максимумами в области 250-365 нм, 413-470 нм и 500-622 нм и единственной  полосой люминесценции с максимумом на 586-639 нм и временем жизни ~10  мкс. Аналогично иону Bi2+, оптические свойства иона Bi3+ также сильно зависят от структуры кристалла и его координации. Спектр возбуждения состоит из двух полос со спектральным положением 216-265 нм и 240-332 нм, а люминесценция имеет время жизни ~1 мкс и максимум полосы от 290 до 480 нм. Люминесценция иона висмута Bi+ в кристалле RbPb2Cl5имеет максимум в области 1080 нм и время жизни 140 мкс. При этом в спектре поглощения наблюдаются разрешенные по спину и запрещенные по четности переходы между уровнями p-оболочки. Абсорбционные и люминесцентные свойства висмутовых центров в силикатных, германатных, фосфатных и боратных стеклах зависят от множества параметров, таких как: состав стекла, технологии изготовления, длина волны возбуждения, концентрации висмута. При этом широкие полосы поглощения и люминесценции обладают сложной структурой. Спектры поглощения состоят из четырех широких полос с максимумами около 500, 700, 800 и 1000 нм, причем точное спектральное положение и форма данных полос зависит от состава стекла. В стеклах, активированных висмутом с обязательным легированием оксидом Al( алюминия) и дополнительным легированием оксидами щелочных и щелочноземельных металлов, наблюдается широкополосная ИК люминесценция с максимумом в области 1050-1420 нм, шириной полосы до 510 нм и временем жизни от 100 до ~1700 мкс. Данная люминесценция покрывает спектральный диапазон от 900 до 2000 нм. Анализ спектров определенно указывает на сложную структуру спектра ИК люминесценции. Состав и интенсивность компонент спектра люминесценции зависят от многих параметров: состав стекла, технология изготовления, концентрация висмута, длина волны возбуждения. В ряде работ помимоИК люминесценции наблюдалась «красная» люминесценция в области 650 - 750 нм при возбуждении 500 - 532 нм. Время жизни люминесценции составило 3.62-14.6 мкс. Свойства данной люминесценции зависят от состава стекла и длины волны возбуждения, что говорит о многокомпонентной структуре данной люминесценции. Помимо «красной» и ИК люминесценций в оксидных стеклах наблюдается «сине-зеленая» люминесценция со спектральным положением 408-440 нм и шириной до 160 нм. Спектр возбуждения «сине-зеленой» люминесценции состоит из двух полос на 313 и 381 нм, что соответствует двум переходам иона BI3+ в кристаллах. К настоящему моменту выдвинуто большое количество различных моделей висмутовых центров, но ни одна из них не подтверждена полностью и не описывает все спектральные свойства стекол, легированных висмутом. Ионы Bi+, Bi5+, нейтральные и отрицательно заряженные димеры Bi2, Bi2-, молекула BiO, комплексы вида {[AlO4/2]-, Bi+} и точечные дефекты сетки стекла были предложены в качестве возможных источников ИК люминесценции. В свою очередь, в качестве источника «красной» люминесценции рассматривается ионы Bi5+ и Bi2+, причем в первом случае ИК и «красная» люминесценции принадлежат одному иону, а вот втором - разным. На основании анализа многочисленных публикаций можно сделать вывод о том, что исследование стекол, активированных висмутом, имеет большое научное и прикладное значение для освоения спектрального диапазона 1150-1500 нм.

Результаты систематических исследований абсорбционных и люминесцентных свойств алюмосиликатных световодов, легированных висмутом дают неоднозначный характер Методами рентгеновского микроанализа, рентгеноэлектронной спектроскопии, спектральными методами проведена оценка концентрации АВЦ, которая составляет ~0.001 ат.% или ~6×1017 см-3 в световодах с лучшими оптическими параметрами. Спектры поглощения характеризуется набором широких полос со спектральным положением в области 500, 700, 800, 1000 и 1400 нм, которые обусловлены абсорбционными переходами АВЦ В ряде работ был проведен анализоптических потерь для алюмосиликатных световодов, легированных висмутом, с целью получения световода, обладающего максимальной концентрацией АВЦ и минимальными пассивными потерями. Максимальная интенсивность полос поглощения активных висмутовых центров по отношению к уровню пассивных потерь достигается в алюмосиликатных световодах с сердцевиной, не содержащей германий и фосфор, легированной оксидом алюминия в концентрации 2.5-4.5 мол.% и концентрацией активных висмутовых центров, которая соответствует уровню около 5 дБ/м в максимуме полосы поглощения на 1000 нм.

Рисунок 3 - Спектры оптических потерь для алюмосиликатных световодов, легированных висмутом, в зависимости от концентрации висмута

Использование метода пропитки солями висмута пористого слоя стекла, плотность которого характеризуется температурами спекания 1510-1530оС, позволяет повысить стабильность и воспроизводимость оптических свойств световодов. Вариация параметров вытяжки и диаметра сердцевины световодов существенно не меняет оптические свойства данных световодов. легированных висмутом, в зависимости от концентрации висмута. Исследование спектров поглощения в УФ области и сравнение профилей концентрации висмута, поглощения на длине волны 240 нм и интенсивности люминесценции на длинах волны 740 и 1080 нм показало, что в сердцевине световода присутствуют как АВЦ, так и ионы Bi3+, которые характеризуются тремя полосами поглощения в УФ области (~240, 280 и 315 нм). Их распределение по сечению сердцевины заготовки и световодаодинаково и пропорционально профилю полной концентрации висмута. Измерения уровня остаточных потерь в световоде при высокой интенсивности излучения на различных длинах волн в полосах поглощения 500 и 1000 нм дало результат ~30% от уровня поглощения малого сигнала. Оценка уровня пассивных потерь показала, что остаточные потери не могут быть полностью описаны только пассивными потерями.

Остаточное поглощение, которое на порядок больше пассивного поглощения, увеличивается с ростом концентрации АВЦ и может быть обусловлено поглощением из возбужденного состояния и ап-конверсией, однако данный вопрос требует более детального и обстоятельного исследования. Методом интегрирующей сферы измерен уровень рассеяния в световодах с малой концентрацией висмута в стекле сердцевины. Показано, что доля рассеяния не превышает нескольких процентов от величины полных потерь в видимой части спектра.

Поэтому пассивные потери в видимой и ИК областях спектра обусловлены поглощением OH-группами и, по-видимому, примесями и центрами окраски.


Рисунок 4 - Схема энергетических переходов для четырех АВЦ вВысота прямоугольников соответствует ширине полос поглощения и люминесценции, сплошные линии обозначают переходы при поглощении и испускании, пунктирные линии - безызлучательные переходы, цифрами указаны длины волн переходов в нм

При возбуждении в полосы поглощения 500, 700 и 800 нм в спектре люминесценции наблюдаются две полосы: «красная» и ИК люминесценция, а возбуждение в широкую полосу поглощения 1000 нм приводит к появлению только ИК люминесценции. Источником данной люминесценции являются активные висмутовые центры (АВЦ) в алюмосиликатном стекле.

На основе анализа температурного поведения полос в спектрах поглощения и люминесценции, а также проведенного сравнения спектров возбуждения каждой компоненты полосы люминесценции с эффективными спектрами поглощения выделено четыре вида активных висмутовых центров. Определен набор абсорбционных и люминесцентных переходов, принадлежащих каждому АВЦ, который характеризуется тремя полосами поглощения и двумя полосами люминесценции. Совпадение структуры уровней и близость количественных параметров переходов позволяют рассматривать эти четыре вида как модификации одного висмутового центра в алюмосиликатном стекле. Различие между ними связаны с влиянием разных типов окружений в сетке стекла. Оптические свойства первых двух центров обусловлены влиянием ионов алюминия с различной координацией, а свойства двух других центров могут определяться структурой сетки кварцевого стекла, образованной кольцами кремнекислородных тетраэдров с разным количеством звеньев. Рассмотрена возможная структура активного центра, который может быть образован четырехкоординированным атомом висмута в тетраэдрическом окружении атомов кислорода.

При этом переходы происходят между уровнями энергии, образованными перекрытием электронных облаков атома висмута и лигандов в тетраэдре BiO4. Абсорбционные переходы в АВЦ обусловлены разрешенными по спину синглет-синглетными переходами на три возбужденных уровня, в то время как люминесцентные переходы являются триплет-синглетными и происходят с двух возбужденных уровней на основной.

2. Достижения в технологии получения и использование

Впервые на основе легированных висмутом световодов создан волоконный усилитель, работающий в области второго окна прозрачности волоконных световодов из плавленого кварца. На экспериментальных образцах световодов получено усиление 24.5 дБ на длине волны 1320 нм при мощности накачки 460 мВт на длине волны 1230 нм [1]. При этом полоса усиления составила 37 нм, мощность насыщения усилителя - около 10 мВт, шум-фактор был равен 5 дБ.

Рисунок 5- Схема висмутового волоконного усилителя

Волоконный световод для усилителя был изготовлен по MCVD-технологии. Разность показателей преломления сердцевины и оболочки составляла 8.5 х 10~3, числовая апертура NA = 0.16, диаметр поля моды был равен 6.4 мкм. Длина волны отсечки второй моды лежала вблизи 1.2 мкм. Концентрация атомов висмута в сердцевине ВСВ не превышала 0.02 % по отношению к общему числу атомов (порог чувствительности аппаратуры). Точное определение серых потерь было затруднено вследствие перекрытия спектровлиний поглощения висмутовых центров в стекле. Схема усилителя представлена на рис5. Накачка и сигнал подавались в активный световод длиной 200 м через WDM-мультиплексор. Источником излучения накачки усилителя служил волоконный ВКР-лазер с длиной волны генерации 1230 нм и выходной мощностью до 500 мВт в непрерывном режиме. В качестве источников сигнала использовались широкополосный волоконный суперлюминесцентный источник с максимумом вблизи1.31 мкм и ВКР-лазер с длиной волны генерации около 1318 нм. С помощью широкополосного источника измерялся спектр усиления, а ВКР-лазер применялся для исследования влияния мощности сигнала на усиление. На рис.6 представлены спектр усиления висмутового волоконного усилителя при мощности накачки 460 мВт на длине волны λн = 1230 нм и шум-фактор (NF) данного усилителя, рассчитанный по измеренным значениям усиленной спонтанной люминесценции и сигнала на выходе усилителя.

Шум-фактор характеризует шумовые характеристики усилителя и определяется как отношение величин сигнал/шум на входе и выходе усилителя. Минимальный шум-фактор данного усилителя составил ~5 дБ. Положительный коэффициент усиления наблюдался в диапазоне длин волн сигнала λs = 1283 - 1372 нм. Пик усиления находился на длине волны λmax = 1321 нм и составил 24.5 дБ. Ширина полосы усиления по уровню -3 дБ Δλ0.5 = 37 нм.

Как было показано ранее, оптическое усиление в области вблизи 1320 нм обеспечивают активные висмутовые центры, связанные с присутствием фосфора в сердцевине световода. Полученные данные позволяют оценить эффективность преобразования накачки в режиме усилителя мощности, которая достигла 9 % при усилении около 10 дБ. Такая сравнительно низкая эффективность обусловлена, на наш взгляд, высоким уровнем серых потерь и, возможно, поглощением из возбужденного состояния, которые в сумме дают непросветляемые потери ~30 дБ/км.

Рисунок 6- Спектр усиления G и шум-фактор NF висмутового волоконного усилителя при Рн = 460 мВт, λн = 1230 нм

Таким образом, в настоящей работе впервые продемонстрирован висмутовый волоконный усилитель, работающий в области 1300-1340 нм, с максимальным коэффициентом усиления 24.5 дБ на длине волны 1320 нм при мощности накачки 460 мВт на λн - 1230 нм и NF = 5 дБ.Таким образом, в настоящей работе впервые продемонстрирован висмутовый волоконный усилитель, работающий в области 1300-1340 нм, с максимальным коэффициентом усиления 24.5 дБ на длине волны 1320 нм при мощности накачки 460 мВт на λн - 1230 нм и NF = 5 дБ. В качестве активной среды использовались недавно разработанные фосфорогерманосиликатные волоконные световоды, легированные висмутом. Оптимизация состава световодов, технологии их изготовления, накачки и длины световода позволят улучшить характеристики разработанных усилителей.

 Впервые предложен и реализован новый волоконный лазер на основе световодов из алюмосиликатного стекла, активированного висмутом. Получена непрерывная лазерная генерация в спектральном диапазоне 1150-1300 нм. Световоды изготовлены методом химического осаждения из газовой фазы. Заготовки для одномодовых волоконных световодов изготавливались методом MCVD с использованием опорной трубки из кварцевого стекла. Сердцевина заготовок формировалась осаждением оксидов алюминия и кремния из газовой фазы. Легирование оксидом висмута осуществлялось методом пропитки пористого слоя стекла сердцевины раствором солей висмута. Молярная концентрация оксида висмута в стекле сердцевины не превышала 0.1 %.

Рисунок 7 - Спектры сечения поглощения и люминесценции в алюмоси-ликатномсветоводе, активированном висмутом

Световоды имеют характерные полосы поглощения в области 500, 700, 800 и 1000 нм. Люминесценция при возбуждении в области 1000 нм наблюдается в полосе шириной 150 нм с максимумом в районе 1150 нм и временем жизни около 1 мс. На рис.1 приведены сечения поглощения и люминесценции, рассчитанные из спектроскопических параметров. Максимальное сечение люминесценции на длине волны 1150 нм составляет 6 х 10~21 см2, что вполне сопоставимо с сечением люминесценции Er3+ в районе 1.5 мкм в волоконных световодах, легированных эрбием.

Рисунок 8 - Лазерная схема с резонатором, образованным брэгговскими решетками

Схема волоконного висмутового лазера показана на рисунке 8. Непрерывная лазерная генерация была получена на длинах волн 1146, 1215, 1250 и 1300 нм при накачке на Ар = 1064 нм. Длина волны отсечки активного световода была равна ~ 1 мкм, коэффициент поглощения на длине волны накачки в использованном отрезке световода составлял 55 дБ. Пары брэгговских решеток с коэффициентами отражения 3 и 20 дБ для указанных длин волн были записаны в германосиликатных световодах с длиной волны отсечки в области 1.1 мкм.

Двухмодовый характер распространения излучения накачки в этих световодах приводил к частичным потерям излучения в точках сварки с активным волокном.

Генерационные характеристики измерялись на длинах волн 1146 нм и 1215 нм. Максимальная выходная мощность, полученная при мощности накачки около 5 Вт, была равна 460 мВт на длине волны 1146 нм и 400 мВт - на длине волны 1215 нм.

Порог генерации на X = 1146 нм составил 420 мВт, а дифференциальная эффективность в пересчете на входную мощность была равна 10.2%. Для длины волны 1215 нм порог генерации составил 890 мВт, дифференциальная эффективность -14.3%.

Рисунок - 9 Эволюция спектра генерации кольцевого лазера при увеличении мощности накачки (сверху вниз). Спектральное разрешение 0.5 нм.

Несмотря на неоптимизированную схему лазера, полученные характеристики уже представляют несомненный практический интерес. Если оптимизировать оптические потери в лазерной схеме, то максимальная эффективность генерации для данного активного световода может достичь примерно 30 %.Коэффициент связи резонатора слабо зависел от длины волны в полосе 1.1-1.2мкм и составлял менее 20 %. Спектры лазерной генерации, полученные в таком лазере при накачке на Xp = 1064 нм, показаны на рис.5. Ввиду слабой селективности резонатора генерация при малом превышении порога происходила сразу на многих продольных модах, причем спектральное положение пиков было нестабильно. При увеличении мощности накачки число пиков сокращалось, а при значительном превышении порога оставался практически один максимум (в области 1172нм).Наряду с линейной схемой генерация была получена и в кольцевом лазере. Ответвитель, использованный для формирования резонатора, был изготовлен на основе стандартного германосиликатного волокна с отсечкой в области 1.1 мкм. Как видно на рисунке 9, генерация наблюдается в широкой полосе (порядка 100 нм), которую можно использовать для перестройки длины волны лазерного излучения. При этом ширину полосы можно увеличить, снижая уровень паразитных потерь в резонаторе и оптимизируя схему лазера. Таким образом, есть надежда на осуществление лазерной генерации в световодах такого состава в диапазоне 1-1.35 мкм.

3. Проблемы, которые существуют в использовании

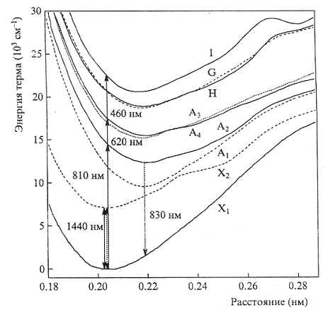
Недавно в работах [1,2] были впервые выполнены измерения спектров люминесценции в световодах с сердцевиной из кварцевого стекла SiО2, легированного оксидом висмута Bi2O3 и не содержащего каких-либо иных легирующих компонентов. Согласно [1,2], наиболее характерные спектральные свойства стекла Bi: SiO2 состоят в следующем. При поглощении на длинах волн около 1425, 820, 620 и не более 450 нм (энергия перехода около 7020,12 150, 16130 и свыше 22200 см -1 соответственно) наблюдается ИК люминесценция на длине волны около 1430 нм (6990 см-1);при поглощении на длинах волн около 820 и не более 450 нм (энергия перехода около 12 150 и свыше 22200 см-1 соответственно) наблюдается люминесценция на длине волны около 830 нм (12050 см-1);при температуре жидкого азота наблюдается также слабая люминесценция на длинах волн около 910 и 830 нм (энергия перехода около 10990 и 12050 см-1 соответственно), возбуждаемая при поглощении на длинах волн около 820 и 760 нм (12195 и 13155 см-1 ]) соответственно,времена жизни состояний, ответственных за люминесценцию вблизи 1430 и 830 нм, составляют 640 и 40 мкc соответственно.

Молекула BiO имеет низколежащее возбужденное электронное состояние Х22П3/2 с энергией около 7090 см-1 и временем жизни относительно перехода в основное состояние 480 ± 100 мкc (расчетные значения 6810 см 1 и 2700 мкc соответственно).

При поглощении света на переходе X12возбуждается ИК люминесценция Х2-X1. Характерной особенностью молекулы BiO является практическое совпадение минимумов терма Х2 и терма основного состоянияX12 П3/2 (Рис8) , поэтому стоксов сдвиг упомянутой люминесценции очень мал.

Рисунок 10 - Энергетические термы нижних электронных состояний молекулы ВiO по результатам расчетов

Наиболее интенсивные характерные полосы поглощения молекулы BiO обусловлены переходами из основного электронного состояния в электронные состояния A24П1/2 (средняя энергия перехода по переходам 0-0, 1-0, 2-0 и 3-0 из колебательных состояний терма Х1 в основное колебательное состояние терма А2 составляет около 12200 см-1, средняя длина волны - около 820 нм для частоты колебаний состояния Х1 равной приблизительно 690 см-1 [3,4]), Расчеты предсказывают также существование полосы поглощения, обусловленной переходом из основного состояния в состояние А44П1/2 с энергией около 16130 см-1 (длина волны около 630 нм) и временем жизни около 165 мкc.

Низшее возбужденное состояние Х2 может заселяться не только за счет перехода из основного состояния, но и вследствие безызлучательной релаксации из любого из перечисленных вышележащих состояний. С другой стороны, при возбуждении последних возможен и ряд излучательных переходов, сопровождающихся люминесценцией. Наиболее вероятен переход А2 - Х1 (энергия около 12005 см-1, длина волны около 835 нм, время жизни состояния А2 равно 9±2 мкc). Стоксов сдвиг здесь также невелик, что в данном случае объясняется значительной ролью колебательных возбуждений основного электронного состояния.

Расчеты, выполненные ранее для молекулы BiOвалюмосиликатом стекле [7], продемонстрировали отсутствие стабильного междоузельного положения: молекула BiO вступает с окружающими атомами в реакцию с образованием трехкоординированного атома висмута. Однако в случае кварцевого стекла оказалось, что равновесное положение молекулы ВO в междоузлии сетки SiO2, образованном шестизвенными кольцами, существует. В этом положении молекула BiO ориентирована вдоль оси колец и находится между ними.

К настоящему моменту выдвинуто большое количество различных моделей висмутовых центров, но ни одна из них не подтверждена полностью и не описывает все спектральные свойства стекол, легированных висмутом. Ионы Bi+, Bi5+, нейтральные и отрицательно заряженные димеры Bi2, Bi2-молекула BiO, комплексы вида {[AlO4/2]-, Bi+} и точечные дефекты сетки стекла были предложены в качестве возможных источников ИК люминесценции. В свою очередь, в качестве источника «красной» люминесценции рассматривается ионы Bi5+ и Bi2+, причем в первом случае ИК и «красная» люминесценции принадлежат одному иону, а вот втором - разным. На основании анализа многочисленных публикаций можно сделать вывод о том, что исследование стекол, активированных висмутом, имеет большое научное и прикладное значение для освоения спектрального диапазона 1150-1500 нм.

В связи с вышеизложенным, представляется несомненно интересным с фундаментальной и практической точек зрения провести комплексное спектроскопическое исследование оптических свойств алюмо- и фосфоросиликатных волоконных световодов, легированных висмутом, с целью идентификации активных висмутовых центров и изучения их природы.

Заключение

В результате выполнения курсовой работы, проведенного литературно-патентного поиска можно сделать следующие выводы:

.   Волоконные висмутовые усилители имеют большое преимущество над эрбиевыми и ВКР-усилителями за счетпрежде всего ширины спектрального усиления 1,3-1,7 мкм

2.      Большая ширина спектрального усиления может способствовать значительному увеличению скорости передачи информации по волоконно-оптическим линиям связи.

.        Существует ряд недостатков, сдерживающих широкое внедрение в волоконно-оптические линиях связи усилителей на основе волокналегированного висмутом, основные из них - низкая эффективность преобразования накачки, шумы и недостаточное изучение механизма усиления оптического сигнала волокнами легированными висмутом.

Список использованной литературы

1Висмутовый волоконный усилитель для диапазона длин волн 1300-1340 нм / Е. М Дианов, М.А.Мелькумов, А.В.Шубин С.В.Фирстов, В.Ф.Хопин,А.Н Гурьяннов, И. А Буфетов // Квантовая электроника. - 2009. - №12. - C.1099-1101.

Соколов В. О. Междоузельная молекула BiO как центр широкополосной ИК люминесценции в кварцевом стекле, легированным висмутом / В. О. Соколов, В.Г.П лотниченко,Е.М.Дианов // Квантовая электроника. - 2011. - №12. - C. 1080-1082.

Салех Б. Оптика и фотоника / Б. Салех, М.Тейх. - М.: Интеллект, 2012.- 759с.

Bismuth- and aluminum-codoped germanium oxide glasses / Masahiro Nakatsuka, Yasushi Fujimoto, Young-seokSeo, Takahiro Sato and Yoshiyuki Kuwada // Optic Letters. -2009. -№17. - P.1998-2001.

Super-broadband optical amplification /Masahiro Nakatsuka, Yasushi Fujimoto, Young-seokSeo, Takahiro Sato and Yoshiyuki Kuwada // Optic Letters.- 2010.-№18. - P. 2433-2435.

Непрерывный висмутовый лазер / Е. М. Дианов, В.В. Двойрин, А. А. Умников, М. В. Яшков // Квантовая электроника.- 2008.-№ 12.-C.1083-1084.

Бейли Д. Волоконная оптика: теория и практика / Д. Бейли, Э. Райт. - М.: Кудиц-Пресс, 2008. - 320 С.

8Hunsperger R. G. Integrated Optics: Theory and Tecnology / R. G. Hunsperger - New York: Springer Science + Business Media, 2009. - 513 P.

9Никоноров Н. В. Материалы и технологии волоконной оптики: специальные оптические волокна / Н. В. Никоноров, А. И. Сидоров. - СПб: СПбГУ ИТМО, 2009. - 130 С.

Матвеев А. Н. Оптика / А. Н. Матвеев. - М.: Высшая школа, 1985. - 351 С.

Похожие работы на - Волоконные висмутовые усилители

 

Не нашли материал для своей работы?
Поможем написать уникальную работу
Без плагиата!
Без нейросетей!