Блок цифровой обработки уровнемера на основе импульсного метода измерения расстояния
Введение
Значительные изменения во многих
областях науки и техники обусловлены развитием радиотехники. В настоящее время
невозможно найти какую-либо отрасль промышленности, в которой бы не
использовались радиоэлектронные устройства или же целые радиоэлектронные
комплексы. Причём, тенденция такова, что доля информационных устройств и
устройств автоматики постоянно увеличивается. Радиоэлектронные устройства и
комплексы способны помочь человеку во многих случаях, как в быту, так и на
работе, а в некоторых и заменить его. В данном дипломном проекте
рассматривается радиоэлектронное устройство - импульсный уровнемер для
измерения или контроля уровня жидкостей и сыпучих материалов в резервуарах,
хранилищах, технологических аппаратах химических производств и т.п. То есть
позволяет автоматизировать и контролировать процессы измерения, а также
управлять технологическими процессами.
Сейчас существует огромное
многообразие уровнемеров (частотный, импульсный), которое объясняется
многообразием задач по определению уровня: различные продукты, различные
условия, различная точность, различная надежность, различная стоимость.
Универсального уровнемера в настоящее время не существует! Каждый прибор имеет
множество модификаций и опций, которые позволяют подобрать наиболее оптимальный
для заказчика уровнемер [14].
1. Технико-экономическое
обоснование темы
уровнемер импульсный радиоизотопный
Наибольшая эффективность при
проектировании радиоэлектронной аппаратуры получается при учёте
технико-экономических аспектов вопроса. Использование новейших технологий и
последних достижений в науке и технике, позволяет выдвигать различные варианты
радиоэлектронной аппаратуры, наиболее полно удовлетворяющие
технико-экономическим требованиям. Экономический анализ позволяет выбрать те
варианты исполнения, которые решают поставленную задачу при меньших
материальных, трудовых и финансовых затратах.
Во многих отраслях современной
промышленности экономичная и безопасная работа с высокой производительностью
технологических процессов диктует необходимость использования современных
методов и приборов измерения, которые следят за состоянием оборудования и ходом
процессов. Одной из таких задач является контроль за уровнем и расходом
жидкостей. В химическом, нефтехимическом и нефтеперерабатывающем производствах,
в пищевой промышленности, в производстве строительных материалов, в системах
экологического мониторинга и во многих других отраслях измерения уровня
жидкостей и других веществ - один из ключевых моментов.
Немаловажной задачей на современных
предприятиях является оптимизация производства, сокращение расходов, что
диктует всё возрастающая конкуренция. Применение современных приборов для
измерения и контроля позволяет добиться выполнения работ меньшим числом рабочих
и в более быстрые сроки. А повышение производительности труда ведёт и к
увеличению доходов.
В настоящее время на предприятиях
существуют различные средства автоматизации производства: используются многие
разновидности датчиков, ставятся автоматические системы управления
производством, системы сбора, хранения и обработки информации. Все
перечисленные средства помогают автоматизировать управление и контроль в
технологических процессах повысить качество продукции и оптимизировать расход
сырья, сделать процесс измерения каких-либо параметров производственного
процесса менее трудоёмким, а значит уменьшить себестоимость продукции. Таким
образом, применение высокочастотных уровнемеров является перспективным и нужным
направлением для развития экономической базы России[14].
В связи с этим существует большое
количество различных моделей уровнемеров, как крупных, так и мелких
фирм-производителей, которые решают различные задачи кроме своей прямой
функции. При этом возникает проблема выбора из числа возможных альтернатив
проектных вариантов оптимальных систем измерения и контроля уровня различных
веществ, снижающих издержки.
Повышение экономической
эффективности производства является наиболее сложной и важной задачей.
Необходимо стремиться достичь наибольшей эффективности при наименьших трудовых,
материальных и финансовых затратах. Большое значение имеет качество
разрабатываемого дальномера, надёжность, долговечность, возможность
эксплуатации в экстремальных условиях и других направлениях для повышения
эффективности производства.
В последнее время импульсные уровнемеры
находят применение в различных технологических процессах на различных
производствах. Это говорит о том, что они востребованы современным миром и что
их использование не только облегчает и упрощает технологии, но и дает какую-то
экономическую выгоду, а следовательно снижает себестоимость этих технологий и
увеличивает долю получаемой прибыли.
В настоящее время существенно
возросли потребности в бесконтактных измерениях расстояний и ожесточились
требования к точности этих измерений. Решение задачи измерения расстояния с
помощью импульсного дальномера связано с отношением мощностей сигнала и шума
(q). При q<1 для повышения точности требуется оптимальная обработка сигнала,
при которой форма выходного импульса совпадает с модулем корреляционного интеграла
зондирующего сигнала. Если q>>1, то оптимальной обработки не требуется,
полосу пропускания приёмника выбирают гораздо более широкой, чем при
оптимальной обработке, и отражённый импульс на выходе системы обработки
сохраняет форму огибающей зондирующего сигнала [2].
По заданию на дипломное
проектирование требуется разработать импульсный уровнемер. Одной из
особенностей такого прибора является использование специализированной
элементной базы на основе сверхкоротких импульсов (СКИ) сигнала и с малым
энергопотреблением, что служит повышением информативности. Проблема перехода в
наши дни является актуальной, поэтому в данном дипломе мы будем разрабатывать
импульсный уровнемер на основе стробоскопического метода обработки сигнала,
который требуется для того, чтобы позволить наиболее точно измерить короткие
периоды времени. Данный метод предполагает применение специального модуля
«Пикор», с помощью которого и будет происходить преобразование.
Применение такого модуля, с одной
стороны, повышает стоимость изготовляемого устройства, но, с другой, он будет
наиболее точным, что приведёт к его востребованности на рынке.
Таким образом, исходя из
вышесказанного, можно сделать вывод, что данное устройство можно считать
экономически выгодным.
2.Теоретическая часть
2.1 Общие сведения и
виды уровнемеров. Способы измерения уровня
Общие сведения и виды
уровнемеров [14, 6].
Уровнемер - устройство для
определения уровня продукта в открытых или закрытых резервуарах, хранилищах,
бункерах и так далее. Продуктом являются разнообразные жидкости, в том числе и
сжиженные газы, находящиеся под давлением, а также сыпучие, кусковые и другие
материалы. Эти устройства часто называют датчиками, сигнализаторами,
индикаторами уровня, уровнемерами или преобразователями уровня. Основное
отличие уровнемера от сигнализатора уровня - это возможность измерять изменение
уровня, а не только его крайние положения или заданные точки. Измерения разными
видами уровнемеров показаны на рисунке 3.1:
Рисунок 3.1 -
Измерения уровня разными видами уровнемеров
Существует
несколько методов измерения, имеющих свои технологические возможности,
основанных на тех или иных физических принципах действия и обладающих рядом преимуществ
и недостатков при применении. Это связанно с тем, что очень разнообразны
условия эксплуатации приборов и задачи, стоящие перед средствами измерения.
По принципу
действия уровнемеры можно разделить на:
· механические
· гидростатические
· электрические
· акустические
· радиоактивные
Также существуют:
· визуальные указатели уровня;
· поплавковые, в которых для измерения уровня используется поплавок
или другое тело, находящееся на поверхности жидкости;
· буйковые, в которых чувствительным элементом является буёк,
частично погруженный в жидкость;
· гидростатические, основанные на измерении гидростатического
давления столба жидкости;
· различные электрические, в которых величины электрических
параметров зависят от уровня жидкости;
· ультразвуковые, работающие по принципу отражения от поверхности
измеряемой среды звуковых волн;
· радарные и волноводные, основанные на принципе отражения от
поверхности СВЧ сигнала;
· радиоизотопные,
Далее приборы делятся на приборы для
непрерывного контроля за уровнем (непрерывное измерение) и приборы для
сигнализации предельных значений уровня (дискретный контроль).
Визуальные уровнемеры
Простейший
уровнемер (визуальный) - водомерное стекло, в котором использован принцип
сообщающихся сосудов, служит для непосредственного наблюдения за уровнем
жидкости в закрытом сосуде. Указательное стекло соединяют с сосудом нижним
концом (для открытых сосудов) или обоими концами (для сосудов с избыточным
давлением или разрежением). Наблюдая за положением уровня жидкости в стеклянной
трубке, можно судить об изменении уровня в сосуде. Стёкла комплектуют вентилями
или кранами для отключения их от сосуда и продувки системы.
Не рекомендуется
использовать указательные стекла длиной более 0,5 м, поэтому при контроле
уровня, изменяющегося больше чем на 0,5 м, устанавливают несколько стекол таким
образом, чтобы верх предыдущего стекла перекрывал низ последующего.
В настоящее время
водомерные стекла используются на предприятиях, где применяются паровые
агрегаты (например, котельные, компрессорные, теплостанции и другие).
Поплавковые
и буйковые уровнемеры
В поплавковых
уровнемерах (рисунок 3.2) чувствительным элементом является поплавок, и
измерение происходит по оценке его положения на поверхности жидкости или
границе раздела двух сред.
Часто в основе таких
уровнемеров лежит принцип магнитострикции. По-другому эти устройства называются
магнитострикционные поплавковые уровнемеры. Этот принцип измерения очень точный
и часто применяется для коммерческого учета. Точность измерения при таком
методе, составляет 1 мм.
Недостатком может
являться наличие движущихся частей (поплавок) и ограничение по максимальному
давлению среды.
Рисунок
3.2-Поплавковый уровнемер
В буйковых
уровнемерах (рисунок 3.3), принцип действия основан на измерении выталкивающей
силы, действующей на буёк (закон Архимеда). Перемещение буйка через
механический узел вывода или систему дистанционной передачи сообщается
измерительной системе прибора.
Рисунок 3.3 -
Буйковый уровнемер
Погрешность
буйковых уровнемеров ниже, чем у поплавковых (0,5%), но они уверенно
применяются в тяжелых условиях эксплуатации, при высоких температурах,
давлении, вибрации, на агрессивных средах.
Область применения
поплавкового или буйкового метода измерения уровня очень разнообразна.
Единственное ограничение - нельзя применять в средах, образующих налипание или
отложение осадка на поплавок.
Типичным
применением поплавковых уровнемеров является измерение уровня топлива, масел,
легких нефтепродуктов в относительно небольших емкостях и цистернах.
Поплавковый метод может с успехом применяться в случае пенящихся жидкостей.
Гидростатические
уровнемеры
Измерение уровня
гидростатическими уровнемерами (рисунок 3.4) основано на уравнивании давления
столба жидкости в резервуаре с давлением столба жидкости, которая заполняет
измерительный прибор, или реакцией пружинного механизма прибора.
Рисунок 3.4 -
Гидростатический уровнемер
Измерение
гидростатического давления осуществляется:
датчиком
избыточного давления (манометром), подключаемым на высоте, соответствующей
нижнему предельному значению уровня;
дифференциальным
манометром, подключаемым к резервуару на высоте, соответствующей нижнему
предельному значению уровня, и к газовому пространству над жидкостью;
измерением давления газа (воздуха), прокачиваемого по трубке, опущенной в
заполняющую резервуар жидкость на фиксированное расстояние (пьезометрический
метод).
Наиболее широкое
распространение получили приборы измерения уровня с использованием
дифференциальных датчиков давления (дифманометров). Эти схемы с успехом
применяются для измерения уровня жидкости в технологических агрегатах,
находящихся под избыточным давлением.
По конструкции
гидростатические датчики делятся на два типа: стационарные (мембранные) или
погружные (колокольные). В первом случае датчик соединен с мембраной, и прибор
устанавливается внизу резервуара. В случае погружного датчика чувствительный
элемент погружен в рабочую среду и передает давление жидкости на сенсор, через
столб воздуха, запаянный в подводящей трубке.
Типичное применение
гидростатических уровнемеров - для однородных жидкостей в емкостях без
существенного движения рабочей среды, а также для паст и вязких жидкостей. С
помощью дифференциальных датчиков давления возможно также измерение уровня
жидкости в открытых резервуарах, уровня раздела жидкостей.
К достоинствам
данных уровнемеров можно отнести простоту конструкции и дешевизну. Однако у
гидростатических указателей уровня жидкости есть существенные недостатки -
относительно низкая (по сравнению с другими методами) точность измерения и
ограниченность применения из-за того, что монтаж устройства на дне резервуара
требует постоянной плотности среды.
Электрические
уровнемеры.
В электрических
уровнемерах уровень жидкости преобразуется в какой-либо электрический сигнал.
Электрические уровнемеры бывают ёмкостные и кондуктометрические.
В ёмкостных
уровнемерах чувствительным элементом служит преобразователь - конденсатор,
ёмкость которого меняется пропорционально изменению уровня жидкости.
Преобразователи могут быть цилиндрического или пластинчатого типов, а также в
виде жесткого стержня. При измерении уровня агрессивных, но неэлектропроводных
жидкостей обкладки преобразователя выполняют из химически стойких сплавов или
покрывают тонкой антикоррозионной пленкой. Покрытие обкладок тонкими пленками
применяют также при измерении уровня электропроводных жидкостей.
Действие
кондуктометрического указателя уровня жидкости основано на измерении
сопротивления между электродами, помещенными в измеряемую среду (одним из
электродов может быть стенка резервуара или аппарата). Прибор представляет
собой электромагнитное реле, включаемое в цепь между электродом и
контролируемым материалом.
Кондуктометрические
уровнемеры используют для сигнализации и поддержания в заданных пределах уровня
исключительно электропроводных жидкостей в емкостях, бойлерах, контейнерах или
открытых каналах, а также для управления насосами в дренажах, водных установках
и емкостях.
В акустических, или
ультразвуковых, уровнемерах используется явление отражения ультразвуковых
колебаний от плоскости раздела контролируемая среда (жидкость) - газ. Эти
приборы отличаются по диапазонам измерения, версиями датчика и имеют разные
технологические присоединения.
Электроника состоит
из генератора, задающего частоту повторения импульсов, генератора импульсов,
посылаемых в измеряемую среду, приемного усилителя и измерителя времени.
Электрический импульс, преобразованный в ультразвуковой в излучателе,
распространяется в газовой среде, отражается от границы раздела «жидкость -
воздух» и возвращается обратно, воздействуя спустя некоторое время на тот же
излучатель. Далее преобразуется в электрический сигнал. Посланный и отраженный,
импульсы, разделенные во времени, поступают на усилитель.
Свойства среды не
влияют на точность измерения, полученного ультразвуковым методом, поэтому
ультразвуковым уровнемером может измеряться уровень агрессивных, абразивных,
вязких и клейких веществ. Однако необходимо помнить, что на скорость
распространения ультразвука оказывает влияние температура воздуха в среде его
работы. Скорость ультразвука зависит и от состава воздуха и его влажности.
К преимуществам
использования акустических датчиков уровня жидкости относятся: отсутствие
контакта со средой, возможность использования в загрязненной среде, а также в
разных жидкостях, независимость от плотности жидкости.
Недостатки, это
большой угол излучения, и как следствие - возможность возникновения ошибок
измерения при отражении от нестационарных препятствий (например, мешалок),
может использоваться только в резервуарах с нормальным атмосферным давлением
(что ограничивает область применения), на сигнал оказывают влияние пыль, пар,
газовые смеси и пена, образующаяся на поверхности.
Радарные уровнемеры
Сегодня существует
множество самых различных методов измерения уровня, дающих возможность получать
информацию как о предельных, так и о текущих его значениях. Однако не многие
могут быть реализованы в промышленных системах. Некоторые из реализованных методов
являются уникальными, и случаи их применения единичны, другие более
универсальны и потому широко используются. Но есть и методы, удачно сочетающие
в себе и уникальность, и универсальность. Именно к ним относится микроволновый
бесконтактный метод, в просторечии именуемый радарным уровнемером (рисунок
3.5):
Рисунок 3.5 -
Радарный уровнемер
Радарный уровнемер,
наиболее используемый в современном производстве. Принцип действия его основан
на измерении времени переотражения высокочастотных радиоволн от поверхности
раздела газ - контролируемая среда.
Результатом
обработки является значение того или иного параметра объекта: дальность,
скорость, направление движения или других. В радарных уровнемерах применяются
СВЧ-сигналы с несущей частотой, лежащей в диапазоне от 5,8 до 26 ГГц.
В настоящее время в
радарных системах контроля уровня применяются в основном две технологии: с
непрерывным частотно-модулированным излучением (FMCW - frequency modulated
continuous wave) и импульсным излучением сигнала.
Технология FMCW
основана на реализации косвенного метода измерения расстояния. Уровнемер
излучает микроволновый сигнал, частота которого изменяется непрерывно по
линейному закону между двумя значениями. Отраженный от поверхности жидкости,
сигнал принимается той же антенной и анализируется с помощью программного
обеспечения. Его частота сравнивается с частотой сигнала, излучаемого в данный
момент времени. Значение разности частот прямо пропорционально расстоянию до
контролируемого объекта.
В радарах же
импульсного типа применяется метод определения расстояния, основанный на
непосредственном измерении времени прохождения СВЧ-импульса от излучателя до
поверхности жидкости и обратно. Время прохождения сигналом расстояния в
несколько метров составляет единицы наносекунд, поэтому получение точного
измерения настолько малых значений требуют специальных методов обработки
сигнала. В результате преобразования к обработке сигналов радарного уровнемера
легко применяются схемы, которые используются в акустических указателях уровня
жидкости.
При сравнении
характеристик двух типов микроволновых указателей уровня, можно увидеть, что
радарные уровнемеры импульсного типа обладают рядом преимуществ перед
устройствами, использующими технологию FMCW: экономичность энергопотребления,
меньшая стоимость, более высокая надежность (за счет меньшего количества
комплектующих).
Важнейшим элементом
радарного уровнемера, влияющим на формирование сигнала, является размер и тип
антенны. От антенны зависит, какая часть излучённого сигнала достигнет
поверхности контролируемой среды, и какая часть отражённого сигнала будет
принята и передана на электронный блок для обработки. В микроволновых системах
контроля уровня используются антенны пяти типов: рупорная (или коническая); стержневая;
трубчатая; параболическая; планарная.
Самой универсальной
является рупорная. Этот тип антенны может использоваться в больших емкостях,
применяется в различных (в том числе сложных) условиях, обеспечивает измерения
до 35…40 м (в условиях спокойной поверхности), позволяет работать с большим
диапазоном сред по диэлектрической проницаемости.
Стержневая антенна
также широко применяется. Радарные уровнемеры с этим видом антенны используются
в небольших емкостях: агрессивными средами, химическими веществами,
гигиеническими продуктами. Стержневая антенна применима и в случае, когда
доступ в емкость ограничен малыми размерами патрубка. Антенны покрывается слоем
защитной изоляции, и позволяет производить измерения на расстояниях до 20 м.
Трубчатая антенна -
это удлиненный волновод, с наиболее сильным сигналом, за счет снижения
рассеивания. Такие антенны применяют в тех случаях, когда проведение измерения
посредством рупорной или стержневой антенны связано с большими трудностями или
попросту невозможно (из-за наличия пены, сильного испарения или высокой
турбулентности жидкости).
В системах
коммерческого учета применяются антенны параболического и планарного типов, так
как они обеспечивают особо высокую точность измерений.
На сегодняшний день
радарные уровнемеры являются самыми универсальными, так как их эксплуатация
обеспечивает минимальный контакт измерительного устройства с контролируемой
средой, они работают вне зависимости от изменений температуры и давления.
Радарные уровнемеры
имеют большую устойчивость к таким факторам как запыленность, испарения с
контролируемой поверхности, пенообразование, обладают высочайшей точностью.
Недостатком радарного метода является высокая стоимость таких приборов.
Волноводные
уровнемеры
Волноводные
уровнемеры (рисунок 3.6) применяются в малых и узких резервуарах, поскольку
радиоимпульсы направляются по зонду, а не свободно распространяются в
пространстве резервуара. В случае необходимости съемная голова датчика
позволяет заменять модуль электроники, не нарушая герметичности резервуара, что
может быть важно при измерении уровня сжиженных газов и аммиака.
Рисунок 3.6 -
Волноводный уровнемер
Волноводный
уровнемер состоит из следующих основных элементов: корпус, электронный модуль,
фланцевое или резьбовое соединение с резервуаром и зонд. Корпус уровнемера,
состоящий из двух независимых отсеков (отсек электроники и клеммный отсек для
подключения кабелей), может быть снят с зонда, при этом, что немаловажно,
открывать резервуар не нужно. Кроме того, корпус такой конструкции повышает
надежность и безопасность уровнемера при эксплуатации в опасных производствах.
Электронный модуль излучает электромагнитные импульсы, которые распространяются
по зонду, выполняет обработку отраженного (принятого) сигнала и выдает
информацию в виде аналогового или цифрового сигнала на встроенный
жидкокристаллический индикатор или в систему измерения.
В зависимости от
условий процесса производства и свойств среды, подлежащей измерению,
используется один из пяти типов зондов: коаксиальный, жесткий двухстержневой,
жесткий одностержневой, гибкий двухпроводный и гибкий однопроводный.
Коаксиальный зонд
применяется, когда необходимо измерение уровня внешней поверхности и уровня
раздела двух жидкостей, например, растворителей, спиртов, водных растворов,
сжиженных газов и жидкого аммиака. Этот зонд обеспечивает самое высокое
отношение сигнал/шум. Рекомендуется для измерения уровня жидкостей с низкой
диэлектрической проницаемостью, в условиях турбулентности, в в условиях
возникновения пены или потоков жидкости или пара вблизи зонда, так как оболочка
коаксиального зонда работает как успокоительный колодец.
Двух стержневой
жесткий или двухпроводной гибкий зонды рекомендуются для измерении уровня
жидкостей (нефтепродукты, растворители, водные растворы и т.п.). Возможно
применение для измерения уровня и раздела жидких сред. Могут применяться с
более вязкими жидкостями, чем рекомендовано для коаксиального зонда. Однако не
стоит применять его при наличии липких сред.
Одно стержневой
жесткий или однопроводной гибкий зонды менее восприимчивы к налипанию среды и
образованию наростов. Они могут применяться для вязких жидкостей, взвесей,
водных растворов и алкогольных напитков, а также использоваться в
фармацевтической промышленности. Применяются для измерения уровня вязких
жидкостей, например, сиропа, меда и т.п., а также водных растворов.
Радиоизотопные
уровнемеры
Уровнемеры с
радиоизотопными излучателями (рисунок 3.7) делятся на две группы:
со следящей
системой, для непрерывного измерения уровня;
сигнализаторы
(индикаторы) отклонения уровня от заданного значения.
Принцип действия
таких устройств основан на степени поглощения проходящего через вещество в
резервуаре гамма-лучей, проходящих выше или ниже уровня раздела двух сред
разной плотности. Приемник и излучатель радиационного излучения перемещаются по
всей высоте емкости на специальных лентах с помощью реверсивного электромотора.
Комплект прибора состоит из трех блоков: преобразователя, содержащего источник
и приемник излучения; электронного блока; показывающего прибора.
Рисунок 3.7 -
Радиоизотопный уровнемер
Использование
приборов с радиоизотопными излучателями целесообразно там, где другие методы
измерения непригодны, так как этот метод радиационно опасен и требует
дополнительных средств безопасности для персонала.
При выборе
уровнемера необходимо учитывать такие физические и химические свойства
контролируемой среды, как температура, абразивные свойства, вязкость,
электрическая проводимость, химическая агрессивность и т.д. Кроме того, следует
принимать во внимание рабочие условия в резервуаре или около него: давление,
вакуум, нагревание, охлаждение, способ заполнения или опорожнения
(пневматический или механический), наличие мешалки, огнеопасность,
взрывоопасность, пенообразование и прочие другие.
Для каждой
промышленной отрасли существуют свои методы и приборы. Ознакомившись с
устройством и условиями эксплуатации различных уровнемеров, можно делать выбор
в пользу того или иного метода измерения уровня жидкости. Также стоит учитывать
надежность, качество и стоимость.
.2 Теория измерения. Методы измерения дальности
Методы
измерения дальности
Радиотехнические устройства,
измеряющие уровень заполнения промышленного резервуара на основе измерения,
называют радиоуровнемерами. Дальность до крайнего положения R определяют по
времени запаздывания отражённого сигнала:

(3.1)
где с-скорость распространения
радиоволн.
Время задержки ф может измеряться:
непосредственно при фиксации
моментов излучения и приёма сигнала;
посредством измерения разности фаз
между гармоническими колебаниями, которые выделяются из излучаемого и
принимаемого сигналов;
посредством измерения разности
частот излучаемого и принимаемого сигналов.
Существует три основных метода
измерения времени запаздывания:
фазовый, когда измеряется набег фазы
за время запаздывания;
частотный, когда измеряется разность
частот зондирующего и отражённого сигналов за время запаздывания;
импульсный (временной),
непосредственно измеряющий время запаздывания отражённого сигнала.
Эти методы используются в фазовых,
частотных и импульсных радиодальномерах соответственно.
Фазовый метод измерения дальности
В фазовом методе (в отличие от
импульсного) применяются непрерывные сигналы (не обязательно
монохроматические).
Рисунок. 3.8 - Фазовый дальномер
Фазовый метод основан на измерении
разности фаз излучаемых и принимаемых колебаний. Генератор масштабной частоты
(ГМЧ) (рисунок 3.8) модулирует по амплитуде колебания генератора высокой
частоты (ГВЧ), которые излучаются в пространство. На фазометр (Ф) с ГМЧ
поступает зондирующий сигнал:

(3.1)
являющейся непрерывным гармоническим
колебанием, и сигнал с выхода приемника, который без учета шумов можно записать
в виде:

(3.2)

- масштабная частота;

- начальная фаза;

- время запаздывания
сигнала;

- фазовый сдвиг,
возникающий при отражении радиоволн от объекта;

- фазовый сдвиг сигнала
в цепях дальномера.
Разность фаз сигналов 
и 
: 
. Поэтому время
запаздывания 
и, следовательно,
дальность до объекта:

= 
(3.3)
Таким образом, если
предварительно определить сдвиг фаз 
и 
, то измерив разность
фаз 
, можно найти дальность.
Последнее выражение справедливо и при работе с ответчиком. В этом случае под 
, следует понимать
фазовый сдвиг сигнала в цепях ответчика.
Фазовый сдвиг 
, можно исключить при калибровке
РД, когда часть сигнала с выхода УРЧ (входит в состав ГВЧ на рис. 1 не показан)
подается на вход приемника РПрУ, а фазометр измеряет 
. Изменение фазы при
отражении сигнала 
сильно влияет на
точность, так как при отражении от металлов и диэлектриков
меняется
на 180 градусов. Поэтому работают в режиме модуляции сигнала.
Абсолютная погрешность
измерения дальности: 

, где 
- абсолютные ошибки
определения разности фаз, сдвига фазы при отражении и сдвига фазы в цепях
дальномера соответственно. Получим, что дальномерная ошибка обратно
пропорциональна масштабной частоте. Поэтому для уменьшения 
Нужно увеличивать 
. Однако при этом будет
уменьшаться диапазон однозначного измерения дальности. Дело в том, что
однозначное измерение разности фаз двух колебаний возможно в пределах не более
2р. Следовательно, для однозначного измерения дальности необходимо, чтобы 
, т.е. частота 
масштабных колебаний и
их период 
должны удовлетворять
условию:

. Этому условию
удовлетворяют сравнительно низкие частоты. Чтобы обеспечить требуемую точность
и в то же время однозначность фазовой дальнометрии, используют две масштабные
частоты или более, т.е. применяют многошкальный метод измерения дальности.
Вначале однозначно измеряют дальность на низкой масштабной частоте, т.е. по
грубой шкале. Затем измерения производят на второй, более высокой масштабной
шкале, т.е. более точной шкале. При этом, чтобы сохранялась однозначность
дальнометрии, период второй масштабной частоты должен превышать погрешность
измерения временного запаздывания на первой масштабной частоте (т.е. по грубой
шкале).
Достоинства фазовой
метода: малая пиковая мощность генерируемых колебаний благодаря непрерывности
излучения, возможность изменения малых дальностей, простота измерителя,
сравнительно малая аппаратурная погрешность.
Недостатки: отсутствие
разрешения объектов по дальности, необходимость использования двух антенн для
эффективной развязки передающего и приемного каналов [2].
Частотный метод
измерения дальности
Основные свойства ЧМ дальномера и
блок-схема приведена на рисунке 3.9. В состав устройства входят модулятор,
генератор сверхвысокой частоты, передающая и приёмная антенны, смеситель,
усилитель-ограничитель, измеритель частоты и вычислитель расстояния.
Рисунок. 3.9 - Блок-схема
простейшего ЧМ дальномера
Непрерывный
высокочастотный сигнал модулируется по частоте и излучается в направлении
объекта, расстояние до которого необходимо измерить. Обычно для модуляции
используется некоторая монотонная периодическая функция 
с периодом 
. Частота излучаемого
сигнала изменяется в пределах от 
до 
по закону:

(3.4)
где 
- несущая частота, 
- закон изменения
частоты.
Тогда диапазон
перестройки частоты (удвоенное значение девиации):

(3.5)
Во многих случаях в
качестве модулирующей функции 
используют симметричную
треугольную функции, хотя могут применяться и другие.
Спустя время 
распространения
электромагнитной волны до объекта и обратно отражённый сигнал, и часть мощности
излучаемого сигнала поступают в смеситель. На выходе смесителя образуется
сигнал разностной частоты, представляющий собой низкочастотную часть
произведения излучаемого и отражённого колебаний:

, (3.6)
где 
и 
- соответственно
амплитуда и фаза сигнала разностной частоты;

и 
- фаза излучаемого и
отражённого сигналов;

(3.7)

, (3.8)
где 
- начальное значение
фазы излучаемого сигнала;

- фаза комплексного
коэффициента отражения объекта.
Отсюда получим:

(3.9)
Обычно условия работы
дальномера таковы, что 
В этом случае функцию 
в выражении (3.9) можно
считать постоянной в течение времени интегрирования и получить:

(3.10)
Видно, что закон
изменения фазы сигнала разностной частоты при указанных допущениях совпадает с
законом изменения частоты зондирующего сигнала.
Сигнал разностной частоты с выхода
смесителя усиливается, преобразуется в прямоугольные импульсы и поступает на
измеритель частоты. Полученное значение частоты является основой для вычисления
расстояния.
Основные достоинства частотного
дальномера: малая пиковая мощность зондирующего сигнала, возможность разрешения
объектов по дальности.
Недостатки: трудности обеспечения
эффективной развязки передающего и приемного каналов, высокие требования к
линейности изменения частоты.
Импульсный (временной)
метод измерения дальности
В состав импульсного
радиолокационного дальномера входят синхронизатор, передатчик, антенный
переключатель (АП), антенна, приёмник и оконечное устройство (Рисунок 3.10).
Рисунок 3.10 - Импульсный дальномер
Синхронизатор вырабатывает последовательность
видеоимпульсов для синхронизации передатчика и оконечного устройства.
Передатчик (Прд) формирует импульсные высокочастотные колебания, которые могут
быть модулированы или манипулированы по фазе или частоте в пределах каждого
импульса по некоторому закону. Высокочастотные импульсы передатчика через
антенный переключатель (АП) поступают в антенну и излучаются в пространство.
Поверхность отражает (переизлучает)
сигналы передатчика. Отражённые (переизлучённые) сигналы принимаются антенной и
через антенный переключатель поступают на вход приёмника (Прм). С выхода
приёмника видеоимпульсы подаются в оконечное устройство (ОУ) дальномера, где
производится измерение времени задержки этих импульсов относительно зондирующих
сигналов передатчика. Антенный переключатель служит для запирания приёмника во
время излучения зондирующих импульсов и для блокировки выходных цепей
передатчика во время приёма сигналов.
В качестве оконечного
устройства импульсного дальномера (измерителя времени задержки 
) применяются визуальные
индикаторы либо автоматические измерители, которые одновременно преобразуют
величину 
в цифровой код.
Визуальные индикаторы применяются в дальномерах, главным образом, как средство
контроля.
К достоинствам относится
возможность развязки передающего и приемного каналов с помощью антенного
переключателя, позволяющая строить РЛС с одной антенной; и простота разрешения
объектов по дальности и удобство измерения дальности многих объектов.
К недостаткам метода
относятся невозможность измерения очень маленьких дальностей (так как во время
излучения зондирующего сигнала приёмник заперт), а также из-за наличия «мертвой»
зоны, которая определяется длительностью излучаемых импульсов и временем
протекания переходных процессов в антенном переключателе; ограниченные
возможности измерения радиальной скорости цели; необходимость использования
больших импульсных мощностей передатчиков.
Суть импульсного метода
заключается на непосредственном измерении времени запаздывания принимаемого
радиоимпульса относительно излученного.
При импульсном методе
могут возникать значительные ошибки, если не выполняется условие однозначного
измерения дальности. Это условие требует, чтобы принимаемые сигналы поступали в
приемник до начала следующего зондирующего импульса, т.е. максимальное время
задержки ф не должно превышать периода повторения импульсов 
:

(3.11)
где ф - максимальная
дальность объекта. В противном случае при

(3.12)
появляется дальномерная
ошибка, кратная 
. Условие позволяет
выбрать период повторения импульсов для однозначного измерения дальности. При
заданном 
это условие
ограничивает максимальную дальность объектов, при которой дальнометрия еще
является однозначной.
Разрешающая способность
импульсного радиодальномера будет (по рисунку 3.11):

(3.13)
В свою очередь 
, следовательно

(3.14)
Рисунок. 3.11 -
Определение разрешающей способности импульсного метода измерения расстояния
Существует 2 вида
импульсных дальномеров: не следящий (с прямым отсчётом) и следящий импульсный
дальномеры. Рассмотрим каждый из них подробнее.
.3 Импульсные
радиодальномеры
Не следящий импульсный
радиодальномер
Зондирующий сигнал в
импульсном не следящем радиодальномере (рисунок 3.12) формируется ГРЧ, на
который подаются импульсы модулятора или генератора импульсов. Синхронизатор
(Синх) обеспечивает одновременность запуска модулятора и генератора
пилообразного напряжения, создающего развертку на экране (ЭЛТ) в выходном
устройстве (ВУ). Импульсы радиочастоты (зондирующий сигнал) через переключатель
прием-передача (ППП) поступают в антенну и излучаются в пространство.
Отраженные сигналы принимаются той же антенной после усиления и преобразования
в приемнике (ПРм) направляются в аналоговое или цифровое выходное устройство.
При использовании аналогового ВУ эти импульсы подаются на вертикально
отклоняющие пластины ЭЛТ для измерения времени 
. На горизонтально
отклоняющие пластины ЭЛТ приходит пилообразное напряжение развертки от генератора
пилы (Г). Импульсный генератор подсвета используется для включения яркости ЭЛТ
только на время прямого хода развертки [2].
Рисунок. 3.12 - Структурная схема не
следящего импульсного дальномера с аналоговым ВУ
Следящий импульсный
радиодальномер
Для автоматического сопровождения
целей по дальности служат ВУ со следящими измерителями времени (рисунок 3.13).
Рисунок. 3.13 - Обобщённая
структурная схема следящего измерителя времени импульсного дальномера
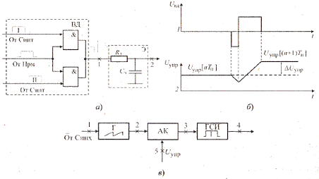
Временной дискриминатор (ВД)
сравнивает временные положения отражённого импульса и селекторных импульсов или
временные интервалы tR и tM (рисунок 3.14) и в зависимости от величины разности
x= tR - tM вырабатывает сигнал ошибки - два биполярных импульса с разной
длительностью при временном рассогласовании x≠0.
Рисунок. 3.14 - Сигналы в различных
точках дальномера
Информация об x преобразуется
экстраполятором (Э) в управляющее напряжение Uупр и подаётся на синтезатор
задержки (Синт) (временной модулятор). Под воздействием Uупр синтезатор
изменяет задержку tM селекторных импульсов. Равновесие в замкнутом кольце
регулирования наступает при x=0, а следовательно, tM =tR.
В этом режиме Uупр ~R. Временной
дискриминатор (рисунок 3.15, а) представляет собой две схемы И, на каждую из
которых поданы отражённый сигнал и один из селекторных импульсов. Полярности
снимаемых с дискриминатора сигналов совпадения импульсов (рисунок 3.15, б)
противоположны.
Экстраполятор в простейшем случае -
это интегрирующая цепочка. Процессы перезаряда ёмкости экстраполятора
представлены на рисунке 3.15, б. (рисунок. 3.13).
Синтезатор (рисунок 3.15, в)
представляет собой генератор селекторных импульсов (ГСИ), запускаемый
задержанным по отношению к импульсу синхронизатора сигналом с амплитудного
компаратора (АК). В компараторе сравниваются уровни управляющего сигнала Uупр и
быстро нарастающего пилообразного напряжения генератора (Г), запускаемого
импульсами синхронизатора (Синх).
Рисунок 3.15 - Упрощённая структура
временного дискриминатора (ВД) и экстраполятора (Э) (а); графики напряжений в
точках 1 и 2 (б);ь схема синтезатора (в)
Особенностью работы измерителя
времени дальномера является импульсный характер регулирования, что сказывается
на условиях устойчивости замкнутой системы и характере переходных процессов.
Для работы представленного на
рисунке 3.16 следящего измерителя времени необходим предварительный поиск цели.
В режиме поиска контакт реле схемы переключения режимов (СПР) (Рисунок 3.16)
находится в положении П и схема поиска (СП) с помощью экстраполятора (Э)
формируется медленно нарастающее пилообразное напряжение поиска, которое вместо
управляющего напряжения подаётся на синтезатор (Синт) и изменяет задержку
селекторных импульсов (рисунок 3.17) [2].
Рисунок 3.16 - Структурная схема
следящего импульсного дальномера
Схема захвата (СЗ), на которую
приходят отражённые импульсы с приёмника (Прм) и селекторные импульсы от
синтезатора, переключает контакт реле в положение С и переводит дальномер в
режим сопровождения при совпадении отражённого и селекторных импульсов (рисунок
3.18).
Рисунок 3.17 - Иллюстрация работы
синтезатора задержки селекторных импульсов
Скорость поиска выбирают
такой, чтобы отсутствовал пропуск цели в двух соседних периодах повторения. При
скорости поиска (
/
)
≤
. Однако, при захвате по
одному совпадению слишком велика вероятность ложного захвата шумового выброса.
Рисунок 3.18 - Сигналы в
характерных точках схемы
На рисунке 3.19 показана
схема захвата, в которой эта вероятность сведена к минимуму. Сигнал совпадения
отражённого и селекторных импульсов (СИ), прошедший через первое пороговое
устройство (ПУ1), запускает генератор стандартных импульсов (ГСтИ), работающий
в ждущем режиме. Полученные таким образом стандартные импульсы подаются на
накопитель совпадений (НС) в n следующих подряд циклах повторения, где n - не
больше числа импульсов в пачке. В результате накопления сигнал на выходе НС
достигает уровня срабатывания ПУ2, а при случайном шумовом выборе ПУ2 сработать
не сможет.
Рисунок 3.19 - Схема
захвата импульсного следящего дальномера
Для схемы захвата с
накопителем необходимы, чтобы селекторные импульсы сместились, не более чем на 
за n периодов
повторения: (
/
)
≤
. С учётом изменения 
при движении цели со
скоростью 
окончательное условие
выбора скорости поиска принимает вид:

(3.13)
Схема захвата должна
иметь так называемую память, необходимую для удержания следящего дальномера в
режиме сопровождения на время пропадания отражённого сигнала из-за его
флуктуаций. На рисунке 3.20 показаны диаграммы движения селекторных импульсов
(СИ) при пропадании отражённого сигнала (ОС) в следящем измерителе с астатизмом
первого порядка и идеальным 1 и реальным 2 интеграторами в экстраполяторе.
Во избежании потерь
времени на переход в режим поиска необходима «память по положению» 
(рисунок 3.20, а) и
«память по скорости» 
(рисунок 3.20, б).
время памяти должно быть достаточным для удержания системы сопровождения в
режиме слежения на время, большее интервала корреляции флуктуаций отражённого
сигнала.
Рисунок 3.20 - Диаграммы
движения селекторных импульсов при пропадании отражённого сигнала
3.4 Методы обработки
сигнала
В данном дипломе, разрабатывается
импульсный следящий уровнемер, который обладает сигналом со сверхкороткими
импульсами (СКИ). Длительность импульса такого сигнала составляет примерно 1
нс, что соответствует полосе частот 1ГГц, несущая частота при этом равна 10ГГц.
Сигнал с таким параметрами является узкополосным, а называют их сигналами со
сверхвысоким разрешением.
Для их более удобного и точного
измерения СКИ используется метод стробоскопической обработки сигнала.
Применение СКИ сигналов требует кардинально нового подхода к функциональному
построению, техническим, технологическим и методическим решениям критических
узлов систем. Революционные достижения последних лет в технологическом
комплексе создания устройств генерации, излучения, приёма и обработки сигналов
на основе передовых методов и решений дают возможности практической реализации
систем с СКИ сигналами, что ранее было достижимо лишь в отдельных лабораторных
и экспериментальных образцах. Появились следующие технологии, базовые для СКИ
радиоэлектроники:
технологии генерации сверхкоротких
(длительностью 1 нс и короче) импульсов с практически неограниченным ресурсом с
высокой стабильностью и большой частотой повторения;
технологии излучения таких импульсов
непосредственно в пространство (антенная техника);
технологии скоростной цифровой
обработки больших массивов информации (вычислительная техника) [2].
В этом плане применение в
радиолокации СКИ сигналов выливается в самостоятельное научно-техническое
направление с собственными методами теоретического анализа и нетрадиционными
схемотехническими решениями.
Развитие систем на
основе СКИ сигналов до недавнего времени во многом сдерживалось недоступностью
специализированной элементной базы. Построение такой системы на микросхемах
широкого применения и дискретных элементах представляет собой сложную
инженерную задачу и часто приводит к образцам с неприемлемыми техническими
параметрами и высокой стоимостью. Несмотря на отдельные успехи некоторых
разработчиков в создании подобных систем, они не достигли стадии серийного
производства и не представлены на широком рынке. В данный момент на мировом
рынке уже имеются специализированные интегральные микросхемы, в частности
однокристальные приемопередатчики СКИ сигналов, которые позволяют создавать
конкурентоспособные СКИ системы с требуемыми характеристиками [18].
В настоящее время
ОАО «Конструкторское бюро опытных работ» (г. Москва) совместно с кафедрой
«Автономные информационные управляющие системы» МГТУ им. Н.Э. Баумана
проводятся разработки по созданию и
изучению методов стробоскопической обработки сигналов базирующейся на однокристальном приемопередатчике без применения
высокоскоростных АЦП. Передающий тракт микросхемы включает управляемый
генератор импульсов длительностью в сотни пикосекунд с частотами повторения от
1 МГц до 100 МГц. Приёмный тракт включает малошумящий усилитель, компаратор с
перестраиваемым порогом, дискретизатор на основе массива линий задержки и набор
цифровых счетчиков. С выхода микросхемы цифровой сигнал поступает в
микроконтроллер и сигнальный процессор для дальнейшей обработки [20].
Базовый приемо-передающий модуль
импульсного уровнемерами «Пикор-1» и показан на рисунке 3.21.
Ключевой особенностью данного
приемо-передающего модуля является его малое энергопотребление по сравнению с
аналогами. Так, приемо-передающий модуль PulsON 400 MRM (производство Time Domain, США), использующий СКИ
сигналы с заполнением несущей и мощные АЦП и ПЛИС для преобразования сигналов
из аналоговой формы в цифровую и управления их параметрами, потребляет порядка
5 Вт мощности, а потребляемая мощность приёмо - передающего модуля (ППМ) «Пикор
- 1» менее 150 мВт [9]. Данное преимущество позволяет использовать модуль в
автономной мобильной радиоэлектронной аппаратуре.
Рисунок 3.21 - Базовый
приемо-передающий модуль Пикор-1
Основными задачами, стоящими перед
разработчиками являются задачи приема и обработки СКИ. Одним из наиболее
популярных способов является стробоскопический метод приема сверхширокополосных
сигналов.
Рисунок 3.23 - Стробоскопический
приемо-передатчик
В стробоскопическом приемнике
осуществляется регистрация не самого исследуемого сигнала, а его отдельных
выборок, каждая из которых формируется в различные периоды повторения данного
сигнала.
Использование сигналов со
сверхкороткими импульсами эффективно при анализе отражающих свойств
пространственно-распределенных объектов. Обработка подобных сигналов требует
реализации устройств, обладающих высокой чувствительностью, что зачастую
выходит за пределами технических возможностей. При наличии периодичности в
последовательности сигналов, их цифровую обработку можно осуществлять
стробоскопическими методами.
Математическая модель
стробоскопической обработки представлена на рисунке 3.24 и содержит
перемножитель и узкополосный линейный фильтр (Ф), настроенный на
разностную частоту несущих зондирующего x(t) и стробирующего s(t)
радиосигналов:

(3.15)

(3.16)
где 
(t), 
(t) - комплексные огибающие, 
- низкая промежуточная
частота (обычно несколько кГц), T - период повторения зондирующего
сигнала, T = T + ДT - период стробирования, ДT = T/N
- шаг считывания.
Рисунок 3.24 - Модель
стробоскопической обработки
Относительное смещение
стробирующего радиоимпульса kДT = k (
/ N внутри k-го периода зондирования
обеспечивается схемой автосдвига (рисунок 2) и определяется требуемой величиной
трансформации спектра.
Вид спектра G(w)
последовательности стробоскопических выборок в низкочастотной области при 
<р/ T показан
на рисунке 3.25.
Для усиления и
регистрации может быть использована любая из спектральных составляющих. Однако
наибольший интерес представляет фильтрация сигнала на частоте 
, так как при этом частота настройки узкополосного фильтра не
зависит от периода повторения сигнала T.
Рисунок 3.25 - Вид
спектра стробоскопических выборок на входе фильтра
При этом выходной сигнал
стробоскопического преобразователя асимптотически (при N → ∞)
описывается соотношением:

(3.17)
и в случае короткого
строба (
<<
) повторяет входной
сигнал, растянутый во времени в N раз на несущей частоте:

/N)
] (3.18)
Величина 
пропорциональна площади
огибающей стробирующего радиоимпульса; коэффициент передачи преобразователя
составляет 
2T и определяется крутизной характеристики смесителя, величиной
стробирующих радиоимпульсов и периодом следования сигнала. Трансформированная
огибающая A (t/N) может быть выделена амплитудным детектором, а
фазовая структура 
(t/N)=arg A (t/N)
A - низкочастотным фазометром (в качестве опорного сигнала необходимо
использовать колебания с частотой 
) [19].
При использовании схемы
радиоимпульсного стробирования в ближней радиолокации, элемент разрешения по
дальности РЛС будет определяться корреляционными свойствами используемых
сигналов (1), в то время как полоса частот выходного сигнала (3) может быть
сужена до любой требуемой величины соответствующим выбором коэффициента
спектральной трансформации N. Это позволяет эффективно селектировать
объекты по скорости: сжатый по спектру сигнал может быть использован для
разрешения близких малоподвижных целей при спектральном анализе, поскольку
доплеровские сдвиги несущей частоты трансформации не подвергаются.
Рисунок 3.26 - Сигналы
на выходе каналов дальности (a) и скорости (б) стробоскопической РЛС
Так, например, при
несущей частоте 10 ГГц и длительности зондирующего импульса ~ 3 нс для
коэффициента спектральной трансформации N~
элементы разрешения по
дальности и скорости составляют ~0.5 м и ~1 м/с соответственно.
На рисунок 3.26
приведены выходные сигналы каналов дальности (a) и скорости (б)
стробоскопической системы обработки при наличии двух целей в пространстве
обзора стробоскопической РЛС с различными доплеровскими сдвигами несущей
частоты.
Следует отметить, что
для сигнала (3) на выходе схемы радиоимпульсного стробирования задержка
зондирующего сигнала на ф приведёт к изменению выходного сигнала на выходе
преобразователя:

(3.19)
При этом функция
неопределенности для стробоскопически преобразованного узкополосного сигнала
может быть представлена соотношением:

(3.20)
а ее объем, ограниченный
квадратом модуля этой функции, составит:

(3.21)
Отмеченное
обстоятельство является следствием вытеснения значительной части объёма за
пределы указанной области, в которой возможно использование стробоскопической
обработки сигналов.
Таким образом,
стробоскопическая обработка радиосигналов позволяет сочетать высокое разрешение
по дальности 
м и менее) с
возможностью селекции по скорости малоподвижных объектов (V=10-50 км/час), что
предполагает ее эффективное использование в системах ближней локации при
зондировании малоподвижных объектов. При стробоскопической обработке следящий
принцип измерения изменяется. При обработке имеются отдельные отсчёты импульса
с растянутым временным масштабом [18].
На основе
стробоскопического метода обработки сигнала можно выделить три метода измерения
времени задержки импульсов:
1) метод максимума;
) оптимальный алгоритм
измерения времени задержки;
3) метод параболической
аппроксимации.
Два последних метода
основаны на обработке простейших импульсных сигналов с заданным законом
амплитудной модуляции 
и неизвестным
параметром 
(
=ф), определяющим
временное положение пачки импульсов, так как именно такой вид имеют растянутые
импулься после стробоскопической обработки. При этом задача точного измерения
параметра 
имеет смысл при
условии, что предварительно выполнена операция поиска и селекции импульсов,
передающих амплитудную информацию, так что полезный сигнал представляет собой
дискретную функцию вида:

, (3.22)
где д - функция
используется для описания периодической последовательности импульсов с
известным временным положением, форма которых не играет роли с точки зрения дальнейшей
обработки сигнала. Так как вся информация заложена только в амплитудах
импульсов.
Выражение для первого
алгоритма обработки принимаемой реализации имеет вид [7]:

|ф=
, (3.23)
где 
- выборочные значения
реализации 
в дискретные моменты
времени, соответствующие известным моментам прихода сигнальных импульсов; 
- весовые коэффициенты,
вычисляемые заранее для дискретных значений параметра 
.
Рисунок 3.26 - Временные
диаграммы, поясняющие определение весовых коэффициентов 
в оптимальном алгоритме
дискриминирования:
а) 
б) 
в)
Для упрощения аппаратной
реализации устройства дискриминирования удобно принять интервал дискретизации
параметра 
равным периоду
повторения импульсов Ти, так как из аналитического определения коэффициентов 
в (3.10) следует, что 
и алгоритм (3.23) в
этом случае можно записать в виде:

, (3.24)
Таким образом,
оптимальный алгоритм дискриминирования в устройствах измерения временного
положения пачки импульсных сигналов сводится к весовому суммированию выборочных
значений сигнала 
[7].
Второй алгоитм
заключается в нахождении в массиве дискретных отсчётов растянутого импульса
положения максимального отсчёта. Затем в качестве вспомогательных точек берём
два соседних отсчёта. Далее проводим параболическую аппроксимацию формы
огибающей полученных отсчётов в окрестности максимального отсчёта. Для этого
задаёмся уравнением параболы 
и по нему записываем
уравнение для каждого выбранного отсчёта. В итоге получаем систему линейных
уравнений относительно неизвестных коэффициентов
,
и
:
Решим и найдём нужные
нам значения коэффициентов. Затем найдём положение экстремума аппроксимирующей
параболы:
Третий метод является
оптимальным методом обработки, и поэтому стоит ожидать, что он даст хорошую
точность и помехоустойчивость. Однако он гораздо сложнее в реализации и требует
большего времени для обработки сигнала. Далее рассмотрим возможности
использования обоих этих методов, так как они реализуются на основе микропроцессора
в программной форме.
4. Расчетная часть
.1 Разработка и расчет
структурной схемы уровнемера
Структурная схема является наглядным
отображением теоретического представления о разрабатываемом устройстве и об
алгоритме работы, как его аппаратной, так и программной частей вместе. Эта
схема проектируется на основании описанных ранее теории измерения уровня и
способа измерения задержки СКИ сигналов в уровнемере на основе
стробоскопической обработки сигнала.
В составе устройства можно выделить
три части:
) СВЧ-часть, куда входят: генератор
СВЧ, вентиль, передающая и приёмная антенны, малошумящий усилитель, амплитудный
детектор, приёмопередающий модуль «Пикор-1»;
) часть формирования и обработки
сигнала: аналого - цифровой преобразователь (АЦП), цифровой сигнальный
процессор (ЦСП), микропроцессор (МП), микроконтроллер (МК), постоянное
запоминающее устройство (ПЗУ), оперативная память (ОЗУ), электрическое
перепрограммируемое запоминающее устройство(ЭПЗУ).
) внешний интерфейс: клавиатура,
индикатор, интерфейс RS-485.
Итак, разработку структурной схемы
целесообразно начать с передающей части уровнемера. Что касается приемной
части, то здесь разработка будет двигаться от приемной антенны вглубь
устройства.
Итак, первый элемент приемной части
СВЧ-блока - это приемная антенна. Так как условия эксплуатации уровнемера
заранее неизвестны, то есть неизвестен, в том числе, и коэффициент отражения
измеряемой среды, то уровень отраженного сигнала может колебаться в некотором
интервале.
Для того, чтобы обеспечить его постоянство
и усилить сигнал с антенны, необходимо применить малошумящий усилитель СВЧ -
диапазона. Для того, чтобы мы используем малошумящий усилитель MAY615G. Он выполнен в виде встраиваемого
модуля (по отдельному заказу может быть выполнен в виде отдельного устройства с
интерфейсами управления USB, Ethernet) на базе HMC963LC4 Hittite. Технические характеристики усилителя:
увеличивает сигнал в диапазоне от 1
до 15 ГГц;
уровень собственных шумов -3дБ;
коэффициент усиления 22дБ;
напряжение питания - 3.5В;
потребляемая мощность -0.3Вт.
Основу СВЧ части составляет
приёмопередающий модуль «Пикор-1».
Такой модуль является базовым и его
технические характеристики приведены ниже [20]:
длительность зондирующих импульсов
300 пс;
частота повторения импульсов от 1,5
до 100 МГц;
спектральная плотность мощности при
частоте повторения импульсов 48 МГц от -65 до -60 дБм/МГц;
спектр излучаемого сигнала по уровню
-3 дБ 2,85-10 ГГц;
разрешающая способность до 4 мм;
потребляемая мощность менее 150 мВт.
Данным приемо-передающим модулем
генерируются СКИ сигналы с формой 1-й производной функции Гаусса без заполнения
несущей. Изменение частоты повторения импульсов в широких пределах позволяет
регулировать спектральную плотность мощности с уменьшением её уровня на 3 дБ
при уменьшении частоты повторения импульсов в 2 раза. Таким образом, крайне
малая спектральная плотность излучаемой мощности позволяет работать практически
на уровне шумов, не мешая другим радиосредствам в широкой полосе частот, что
дает вторичное освоение радиочастотного диапазона.
Именно структура ППМ определяет
необходимость использования двух антенн, так как у него отдельные вход и выход.
Передающая и приемная антенны располагаются в непосредственной близости друг от
друга, уровнемер будет использовать импульсное излучение и отраженная волна
будет попадать в передающий тракт. Чем больше размер антенны, тем более сильный
и узконаправленный сигнал она излучает и, в тоже время, тем лучше прием
отраженного сигнала. Такими нужными параметрами обладает рупорная антенна. Она удобна
для больших емкостей, позволяет работать с широким спектром сред по
диэлектрической проницаемости, применима в сложных условиях и обеспечивает
диапазон измерения до 35…40 м.
Для разработанного
базового приемо-передающего модуля было написано прикладное программное
обеспечение, позволяющее использовать импульсный
уровнемер в различных областях и условиях внешней среды.
На генератор СВЧ с ППМ «Пикор-1»
поступают импульсный сигнал, который необходимо промодулировать. Для этого
используется СВЧ генератор Для того чтобы избежать этого побочного явления, на
выходе СВЧ генератора нужно установить невзаимное устройство, например, вентиль
(ФПВН-67Б), который обеспечивает беспрепятственное прохождение волны в прямом
направлении и почти полное ее отсутствие в обратном, то есть защищает генератор
от обратного воздействия, обеспечивая защиту системы от сбоя.
Амплитудный детектор (АД) - это
последовательная совокупность выпрямителя и сглаживающего фильтра. Амплитудный
детектор преобразует высокочастотный сигнал в видеоимпульсный сигнал.
Для того, чтобы принять информацию
от модуля в процессор, то есть обеспечить их синхронизацию, необходимо
использование аналого - цифрового преобразователя (АЦП). Это первый блок в
части формирования и обработки сигнала. Он отделяет аналоговую часть уровнемера
от цифровой.
После того как сигнал
дискретизирован, его можно подвергнуть цифровой обработке, для чего необходим
цифровой сигнальный микропроцессор (ЦСП). Также он возглавляет процедуры
управления АЦП.
В зависимости от типа выбранного
микропроцессора, потребуется использовать блок внешней памяти для хранения
текста программы (ПЗУ), а также для хранения временных данных (ЭППЗУ), таких
как информация о калибровке, форме сосуда и т.д.
Для организации процедуры
эффективного обмена данными с ЭВМ, а также для выдачи результатов измерений на
индикатор, целесообразно применить в качестве буфера какой-либо
микроконтроллер.
Структурная схема импульсного
уровнемера на основе стробоскопического метода обработки сигналов приведена на
рисунке 4.1.
Рисунок 4.1 -
Структурная схема импульсного уровнемера на основе стробоскопического метода
обработки сигналов
Требуемая
мощность передатчика
Согласно результатам моделирования
на ЭВМ ошибка измерения уровня не превышает заданной в ТЗ при отношении
сигнал/шум равно 40 дБ. Проведем расчет для данного уровня шума, этот параметр
наиболее соответствует реальным условиям.
Рассчитаем чувствительность
приемника:

, (4.1)
Где k=1,38*
Дж/К - постоянная
Больцмана,

=290K - температура,

- коэффициент шума
приемника,

- шумовая полоса
приемника.
Шумовая полоса приемника

связана с полосой
пропускания приемника 
(по уровню -3 дБ)
следующим соотношением:
Где 
- ширина
энергетического спектра сигнала,

- запас по полосе,
связанный с нестабильностью и неточностью настройки. Величиной 
можно пренебречь из-за
ее малости.
Типовой коэффициент шума
приемника равен 5 дБ. Тогда чувствительность приемника:
Так как выходная
мощность Пикор - 1 всего 20 мВт, то необходимо определить достаточно ли ее для
достижения требуемой ошибки измерения. Для этого нужно найти минимальную
мощность на входе СВЧ-приемника.

(4.2)

- коэффициент
различимости.
Коэффициент различимости

равен отношению
сигнал/шум на входе приемника (
). Отношение сигнал-шум
=40дБ, что по мощности 10000 раз.
Тогда мощность сигнала
на входе приемника:
Теперь, зная мощность на
входе приемника, можно рассчитать требуемую мощность передатчика:

(4.3)
Где D - коэффициент усиления антенного устройства (
,

- коэффициент
отражения,

- эффективная
отражающая поверхность контролируемого вещества.
Проанализировав эту формулу
несложно понять, что мощность на входе приемника при изменении положения от 0,5
до 30 метров будет изменяться пропорционально квадрату расстояния. Эффективная
отражающая поверхность 
.
Отражающей средой
является диэлектрик с диэлектрической проницаемостью. Согласно ТЗ
диэлектрическая проницаемость е
1.5. Тогда коэффициент
отражения:
Рассчитаем площадь S с учетом ширины ДН конической рупорной антенны.
КНД апертурных антенн
связан с площадью раскрыва S
и длиной волны общей формулой:

(4.4)
Где 
- общий коэффициент
использования поверхности, зависящий от вида амплитудно-фазового распределения
и от других факторов.
Полагая 
получим:
Необходимая мощность
излучения:
Так как выходная
мощность Пикор - 1 составляет 20 мВт, то отраженный сигнал не требует
дополнительного усиления.
.2 Разработка и расчет
принципиальной схемы
Разработка микропроцессорной системы
(МПС) начинается с выбора микропроцессора (МП). После чего к нему пишется
программное обеспечение, попутно конкретизирующее дополнительные аппаратные
средства (ПЗУ, ОЗУ, различные контроллеры и вычислители), решающие поставленную
задачу. Всё это может закончиться большой МПС, напоминающей персональную ЭВМ.
Решение одних и тех же задач, возможно, как аппаратным, так и программными
средствами, а также их сочетанием. Нахождение компромисса реализации алгоритма
между программными и аппаратными средствами является основной задачей синтеза
структуры МПС. Если компромисс не найден следует вновь осуществлять выбор МП.
Для разработки импульсного
уровнемера на основе стробоскопической обработки, была выбрана микросхема MAX11166.
Она представляет собой 16-разрядный АЦП, который входит в составную часть ППМ
«Пикор-1». Этот преобразователь последовательного приближения со скоростью
преобразования 500 квыб/сек, имеющие отличные характеристики по постоянному и
переменному токам, биполярный вход, компактный размер и внутренний источник
опорного напряжения. MAX11166 может измерять входное напряжение ±5 В, (10
Вп-п), работая при этом от однополярного источника питания +5 В.
Запатентованная архитектура с умножителем напряжения позволяет измерять
напряжения от источников с высоким импедансом. В MAX11166 встроен источник
опорного напряжения с внутренним буфером и температурным дрейфом 6 ppm/°C,
который позволяет снизить стоимость устройства, а также освобождает от
необходимости использования внешнего опорного источника.
Этот АЦП имеет превосходное
соотношение сигнал/шум 93 дБ и коэффициент нелинейных искажений в -105 дБ.
MAX11166.
Связь и управление MAX11166
осуществляются с помощью последовательного SPI интерфейса с логикой 2,5 В, 3 В,
3,3 В, или 5 В. Последовательный интерфейс может быть использован для
параллельного включения нескольких АЦП в многоканальных приложениях. Он имеет
специальный индикатор занятости для упрощения синхронизации работы системы и
временного разделения ресурсов.выпускается в 12-контактных TDFN корпусах
размером 3×3
мм и предназначены для работы в температурном диапазоне -40…+85°C.
Основные характеристики:
• Разрешение 16 бит без пропуска
кодов
• Соотношение сигнал/шум 92,6 дБ
• Коэффициент гармонических
искажений -105 дБ на 20 кГц
• Интегральная нелинейность ±0,5 LSB
(тип.)
• Дифференциальная нелинейность ±0,2
LSB
(тип.)
• Внутренний ИОН и буфер
• Температурный дрейф ИОН 6 ppm/°C
• Миниатюрный 3х3 мм 12-выводной
корпус
• Биполярный аналоговый вход ±5В
• Однополярное питание АЦП при малом
энер-
гопотреблении
• Аналоговое напряжение питание +5В
• Цифровое напряжение питание 2,3…5
В
• Потребление 19,5 мВт при скорости
преобра-
зования 500 квыб/сек
• Потребление 1 мкА в режиме
shutdown
• Скорость преобразования 500 квыб/сек
• Отсутствие конвейерной задержки
•
SPI/QSPI™/MICROWIRE®/DSP-совместимый интерфейс.
В основу принципиальной схемы также
входят три микропроцессора. Одним из которых является цифровой сигнальный
процессор (ЦСП), который служит для обработки сигнала. хорошими
характеристиками обладает ЦСП из семейства DSP568xx компании Motorola. В нём
совмещены особенности цифровых сигнальных процессоров и универсальных
микроконтроллеров. Ядро DSP56800 является программируемым 16-разрядным
КМОП-процессором, предназначенным для выполнения цифровой обработки сигналов в
реальном масштабе времени и решения вычислительных задач, и состоит из четырех
функциональных устройств: управления, генерации адресов, АЛУ, обработки
сигналов. Для увеличения производительности операции в устройствах выполняются
параллельно. Каждое из устройств может функционировать независимо и
одновременно с тремя другими, т.к. имеет свой набор регистров и логику
управления. Ядро реализует одновременное выполнение нескольких действий:
устройство управления выбирает первую команду, устройство генерации адресов
формирует их адреса второй команды, а АЛУ выполняет умножение третьей команды.
Широко используются совмещенные передачи и выполнение операций.
Встроенная память может содержать
(для семейства):
Флэш-память программ до 60К
Флэш-память данных до 8К
ОЗУ-программ до 2К
ОЗУ-данных до 4К
Флэш-память программы загрузки 2К
На микрочипах семейства реализовано
большое количество периферийных устройств: ШИМ-генераторы, 12-разрядные АЦП с
одновременной выборкой, квадратурные декодеры, четырехканальные таймеры,
контроллеры CAN-интерфейса, двухпроводные последовательные коммуникационные
интерфейсы, последовательные интерфейсы, программируемый генератор с ФАПЧ для
формирования тактовой частоты ядра DSP и многое другое.
Общие характеристики:
производительность 40 MIPS при
тактовой частоте 80 МГц и напряжении питания 2.7:3.6 В;
однотактный параллельный 16х16
умножитель-сумматор;
два 36-разрядных аккумулятора,
включая биты расширения;
однотактное 16-разрядное устройство
циклического сдвига;
аппаратная реализация команд DO и
REP;
три внутренние 16-разрядные шины
данных и три 16-разрядные шины адреса;
одна 16-разрядная шина внешнего
интерфейса;
стек подпрограмм и прерываний, не
имеющий ограничения по глубине.
Второй процессор необходим для
отправки результатов на уровни связи. Для этого возьмём процессор российского
производства, выпущенный в 2012 году компанией ОАО «Multiclet». MCp0411100101 -
универсальный микропроцессор, ориентированный на задачи управления и цифровой
обработки сигналов. Поддерживает аппаратные операции с плавающей запятой.
Технология изготовления - КМОП 180 нм, частота 100 МГц. Пиковая
производительность 2,4 GFLOPs (32 бита). Приёмка - ОТК 1,3 и 5.
Третий процессор необходим для
вывода значений на индикатор. Для чего использую интерфейс RS-485. В его
стандарте для передачи и приёма данных используется одна витая пара проводов,
иногда сопровождаемая экранирующей оплеткой или общим проводом. Передача данных
осуществляется с помощью дифференциальных сигналов. Разница напряжений между
проводниками одной полярности означает логическую единицу, разница другой
полярности - ноль.
1. Стандарт
RS-485 оговаривает только электрические и временные характеристики интерфейса.
2. Стандарт
RS-485 не оговаривает:
· параметры качества сигнала (допустимый уровень искажений,
отражения в длинных линиях),
· типы соединителей и кабелей,
· гальваническую развязку линии связи,
· протокол обмена.
Электрические и
временные характеристики интерфейса RS-485
· До 32 приёмопередатчиков в одном сегменте сети.
· Максимальная длина одного сегмента сети: 1200 метров.
· Только один передатчик активный.
· Максимальное количество узлов в сети - 256 с учётом магистральных
усилителей.
· Характеристика скорость обмена / длина линии связи:
· 62,5 кбит/с 1200 м (одна витая пара),
· 375 кбит/с 500 м (одна витая пара),
· 500 кбит/с,
· 1000 кбит/с,
· 2400 кбит/с 100 м (две витых пары),
· 10000 кбит/с 10 м.
Примечание:
Скорости обмена 62,5 кбит/с, 375 кбит/с, 2400 кбит/с оговорены стандартом
RS-485. На скоростях обмена свыше 500 кбит/с рекомендуется использовать
экранированные витые пары.
· Тип приёмопередатчиков - дифференциальный, потенциальный.
Изменение входных и выходных напряжений на линиях A и B: Ua (Ub) от −7 В
до +12 В (+7 В).
· Требования, предъявляемые к выходному каскаду: - выходной каскад
представляет собой источник напряжения с малым выходным сопротивлением,
|Uвых|=1,5:5,0 В (не <1,5 В и не >6,0 В);
· состояние логической «1»: Ua больше Ub (гистерезис 200 мВ) - MARK,
OFF;
· состояние логического «0»: Ua меньше Ub (гистерезис 200 мВ) -
SPACE, ON (производители микросхем - драйверов, часто выбирают намного меньшие
значения, гистерезис от 10 мВ);
· выходной каскад должен выдерживать режим короткого замыкания,
иметь максимальный выходной ток 250 мА, скорость нарастания выходного сигнала
1,2 В/мкс и схему ограничения выходной мощности.
· Требования, предъявляемые к входному каскаду: - входной каскад
представляет собой дифференциальный вход с высоким входным сопротивлением и
пороговой характеристикой от −200 мВ до +200 мВ:
· допустимый диапазон входных напряжений Uag (Ubg) относительно
земли (GND) от −7 В до +12 В;
· входной сигнал представлен дифференциальным напряжением (Ui +0,2 В
и более);
· уровни состояния приёмника входного каскада - см. состояния передатчика
выходного каскада.
Принципиальная схема модуля
цифрового формирования и обработки сигнала показана на рисунке 4.2.
Рисунок 4.2. Принципиальная схема
модуля цифрового формирования и обработки сигнала
.3 Расчет надежности
Разрабатываемый уровнемер является
сложной системой, состоящей из множества компонентов, включающих в себя
цифровые компоненты, СВЧ модули, модули обработки и передачи информации.
Надежность такой системы определяется ее структурой и надежностью составляющих
компонентов. Техническая сложность, многообразие факторов, влияющих на
надежность данной системы на всех стадиях ее существования, и тесная
взаимосвязь этих стадий между собой требуют использования системного подхода к
оценке ее надежности.
Технические средства, входящие в
состав уровнемера являются восстанавливаемыми элементами, в связи с чем
показатели ремонтопригодности, восстанавливаемости и исправности не менее
важны, чем показатели безотказности.
Изучение опыта эксплуатации
разнообразных электромеханических и электронных устройств показало, что
различают три периода работы объектов:
) Приработка (начальный
период), для которого характерно монотонное уменьшение интенсивности отказов;
) Нормальная эксплуатация
(основной период), для которого характерно постоянство интенсивности отказов;
) Старение или износ, для
которого характерно возрастание интенсивности отказов.
Вследствие быстрого развития
радиоэлектроники и смежных отраслей за 5-10 лет возникают новые
схемотехнические решения, существенно обновляется элементная база, поэтому
оборудование обычно заменяется до наступления износа.
Период приработки протекает во время
испытания на заводах - изготовителях и во время настройки опытной эксплуатации.
Поэтому в практике эксплуатации устройства наблюдается лишь основной период
работы изделий.
При расчете показателей надежности
следует иметь в виду, что надлежащая постановка профилактического обслуживания,
в том числе и систематические контрольные измерения, практически исключают
отказы элементов системы сбора информации. Поэтому при разработке методов
расчета исходят из возможности возникновения только внезапных отказов. Наиболее
распространенной моделью для внезапных отказов и восстановлений служит
экспоненциальный закон.
Надежность - это свойство
обеспечивать работоспособность устройства с сохранением качественных
показателей в заданных пределах в течение необходимого промежутка времени.
Наиболее общей характеристикой надежности может служить коэффициент оперативной
готовности, который учитывает вероятность возникновения отказа во время работы,
так и вероятности того, что отказ может возникнуть к началу момента работы или
простой окажется не ликвидированным в течение времени, отведенного на
профилактическое обслуживание. Надежность системы обуславливается ее
безотказностью и ремонтопригодностью.
Безотказность - это
приспособленность системы сбора информации к восстановлению нормальной работы в
данных условиях эксплуатации. Ремонтопригодность определяется как числом и
техническим совершенством элементов, так и организацией и качеством
обслуживания (количеством и дислокацией ремонтных бригад, их технической
оснащенностью, квалификацией персонала).
Произведём расчет надежности на ЭВМ,
для этого потребуется программа расчета, её можно написать на любом языке
программирования, а можно воспользоваться #"801175.files/image171.gif">
(4.5)
Где 
- средняя интенсивность
отказов, t - текущее время.
При обращении к этому
сайту на экран будет выведена таблица. Необходимо заполнить эту таблицу,
отметив галочками элементы, используемые при расчете, и указав их количество,
далее следует запустить программу.
На экране будут выведены
данные рис

Средняя наработка до
отказа элементов блока составляет

.
Для того чтобы повысить
надежность устройства необходимо в производстве соблюдать следующие требования:
1) Обеспечение тщательного
выполнения постоянных электрических соединений (монтаж, пайка);
) Регулярное проведение
контроля устройства не только на правильное функционирование, но и на выявление
«слабых» элементов и выявления кратковременных внешних воздействий на
безотказность;
) Оперативная доработка всех
изделий по изменениям, обусловленным необходимостью повышения надежности.
Для повышения надежности очень
большое значение имеет правильная эксплуатация с соблюдением требуемых мер
безопасности.
5.
Конструкторско-технологическая часть
.1 Обоснование выбора
корпуса устройства
При разработке конструкции устройства
необходимо выбрать наружную оболочку изделия для защиты его от внешних
воздействий, а персонала от прикосновения к внутренним частям. Такая оболочка
называется корпусом устройства. Корпус придает устройству законченную форму.
Существует ряд требований, предъявляемых к корпусу изделия:
· Корпус должен
обеспечивать нормальный тепловой режим работы устройства;
· Должен обеспечивать
защиту расположенных в нем элементов от механических повреждений;
· Должен обеспечивать
защиту от пыли и влаги;
· В конструкции
корпуса должны быть предусмотрены места для кладки жгутов, соединяющих плату
коммутации с внешними разъемами;
· Корпус должен
обеспечивать легкий доступ к расположенным в нем элементам для осмотра, ремонта
и замены, а также к элементам внешней коммутации;
· Конфигурация
корпуса должна предусматривать элементы крепления для фиксации на объекте;
· Необходимо
использовать гальванические и лакокрасочные покрытия, имеющие минимальную
массу.
Корпус я буду использовать из
нержавеющей стали американского производителя фирмы VEGA, которая соответствует
всем выше перечисленным требованиям. Эта фирма является ведущим мировым
производителем оборудования для измерения и сигнализации уровня и давления. 3d модель корпуса представлена на
рисунке 5.1:
Рисунок 5.1-3d модель корпуса импульсного
уровнемера.
Корпус уровнемера в чертёжном виде
приведён на рисунке 5.2
.2 Компоновка
конструкции устройства
Компоновка - размещение в
пространстве или на плоскости различных элементов радиоэлектронной аппаратуры
(РЭА) - одна из важных задач при конструировании.
Под компоновкой блока понимают
взаимное расположение ячеек или других конструктивных элементов в заданном
объеме блока.
Необходимо найти такие компоновочные
решения, которые удовлетворяли бы требованиям:
· Между отдельными
узлами и блоками должны отсутствовать электрические взаимосвязи, влияющие на
технические характеристики изделия;
· Взаимное
расположение элементов конструкции должно обеспечить технологичность сборки
монтажа с учетом использования автоматов, легкий доступ к деталям для контроля,
ремонта и обслуживания;
· Расположение и
конструкция органов управления должны обеспечивать максимальные удобства для
оператора;
· Изделие должно
удовлетворять требованиям технической эстетики;
· Габариты и масса
устройства должны быть минимальными.
Удовлетворить одновременно всем
перечисленным требованиям в большинстве случаев не удается, поэтому процесс
компоновки, как и всякий процесс конструирования, сводится к нахождению
оптимальных решений.
Разрабатываемое устройство состоит
из трех основных блоков:
· Приемо-передающий
модуль;
· Модуль обработки;
· Внешний интерфейс.
Корпус для модуля обработки
представляет собой корпус стандартных размеров. На корпусе предусмотрены
следующие разъемы:
· Разъем для
подключения приемо-передающего модуля;
· Разъем интерфейса RS-485 для связи с ПК;
· Разъем питания.
Внешний интерфейс представлен
индикатором, клавиатурой и разъемом для соединения с ПК RS-485 на рисунке 5.3:
Рисунок 5.3-Внешний вид индикатора и
клавиатуры управления
- индикатор;
- клавиатура управления.
5.3