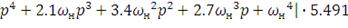
Асимптотическая логарифмическая амплитудно-частотная характеристика разомкнутой системы
Оглавление
1. Исходные данные
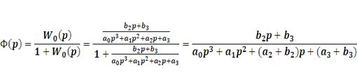
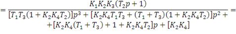
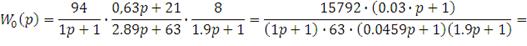
2. Передаточная функция разомкнутого контура системы
3. Устойчивость по критерию Рауса
4. Устойчивость по корням характеристического уравнения
5. Действительная и мнимая составляющие характеристического
полинома
6. Годограф Михайлова [1]
7. Следствие из критерия Михайлова
8. Асимптотическая логарифмическая амплитудно-частотная
характеристика разомкнутой системы
9. Метод прямого программирования
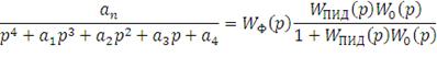
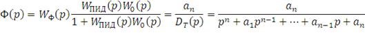
10. Параметрическая оптимизация системы
11. Сравнительная таблица
Список использованных источников
1. Исходные
данные
Определение варианта курсовой работы:

- число, образованное двумя последними цифрами зачетной книжки;

- номер начальной буквы фамилии студента в алфавите (А - 01, Б -
02, … Я - 33);
Номер варианта:

Так как номер варианта четный, выбираем вид схемы рис.1. а
Объект - замкнутая система автоматического управления, структура
которой представлена в виде схемы
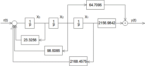
Рис. 1. Структура системы автоматического управления
Значения коэффициентов в звеньях системы рассчитываются следующим
образом:
2.
Передаточная функция разомкнутого контура системы
Передаточная функция замкнутого контура системы
Характеристическое уравнение замкнутой системы
Устойчивость по критерию Гурвица
Система будет устойчива, если
и 
,
Составим систему уравнений:
Построим график этих зависимостей:
контур разомкнутый амплитудный частотный
Рис. 2. Схема границы устойчивости
Устойчивые параметры: 
Неустойчивые параметры: 
3.
Устойчивость по критерию Рауса
Устойчивая:
Система устойчива, т. к все элементы первого столбца таблицы
Рауса> 0. Неустойчивая:
Система неустойчива, т.к. элементы первого столбца таблицы
Рауса имеют разные знаки.
4.
Устойчивость по корням характеристического уравнения
Устойчивая.
Так как действительные части корней отрицательные, то система
устойчива
Неустойчивая.
Так как действительные части корней p2,3 положительные, то система
неустойчива.
5.
Действительная и мнимая составляющие характеристического полинома
Устойчивая.
Действительная составляющая:

Мнимая составляющая:

Неустойчивая.
Действительная составляющая:

Мнимая составляющая:

6. Годограф
Михайлова [1]
Формулировка:
Автоматическая система управления, описываемая уравнением п-го
порядка, устойчива, если при изменении w0 до¥характеристический
вектор системы 
повернется против часовой стрелки на угол np/2, не обращаясь при этом в нуль. [1]
Устойчивая система: Построим годограф и
оценим устойчивость системы.
Рис. 3. Годограф Михайлова устойчивой системы
Система устойчива, т.к. проходит 3 квадранта последовательно,
не обращаясь в ноль.
Неустойчивая система: Построим годограф и
оценим устойчивость системы.
Рис. 4. Годограф Михайлова неустойчивой системы
Система неустойчива, т.к. проходит 3 квадранта
непоследовательно.
7. Следствие
из критерия Михайлова
Формулировка:
Система устойчива, если действительная и мнимая части
характеристической функции
обращаются в нуль поочередно, т.е. если корни уравнений
и 
перемежаются и 
и 
[1]
Устойчивая:
Действительная составляющая:

Мнимая составляющая:

Система устойчива, т.к. корни уравнений 
и 
перемежаются и 
и
.
Неустойчивая:
Действительная составляющая:

Мнимая составляющая:

Система неустойчива, т.к. корни уравнений 
и 
не перемежаются.
При подаче на вход единичного ступенчатого сигнала (для
устойчивой системы):
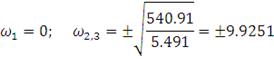
Корневые показатели качества
Для устойчивого случая:

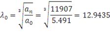
1) Среднее геометрическое значение модулей корней
Этот показатель также можно приближенно вычислить через крайние
коэффициенты характеристического уравнения:
) Степень устойчивостиh - это расстояние от
мнимой оси до действительной части ближайшего к ней корня.
Степень устойчивости характеризует быстродействие системы и
позволяет приблизительно определить ожидаемое время переходного процесса.
3) Степень колебательности определяется отношением
мнимой части к действительной
4) Корневой показатель колебательности чаще используется в
практических расчетах, также определяется также через доминирующую пару
комплексных корней:
8.
Асимптотическая логарифмическая амплитудно-частотная характеристика разомкнутой
системы
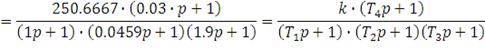
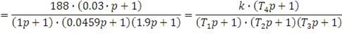
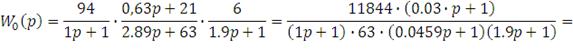
Устойчивая
Первая асимптота имеет наклон 0 дБ/дек,
т.к. нет интегрирующих и дифференцирующих звеньев в исходной передаточной
функции.
Определим сопрягающие частоты по формуле:

Неустойчивая
Первая асимптота имеет наклон 0 дБ/дек,
т.к. нет интегрирующих и дифференцирующих звеньев в исходной передаточной
функции.
Определим сопрягающие частоты по формуле:

Рис.5. ЛАЧХ исходной системы
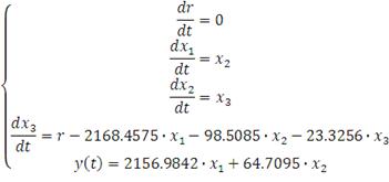
Рис. 6. Схема переменных состояния устойчивой системы
9. Метод
прямого программирования
Матрица коэффициентов: Матрица выхода:
10.
Параметрическая оптимизация системы
ПИД-регулятор, настроенный по критерию минимум интеграла от
взвешенного модуля ошибки (ИВМО)
Рис. 7. Система с ПИД-регулятором
Передаточная функция замкнутой системы с ПИД-регулятором
Для упрощения расчетов, уберем звено в числителе 
Используя таблицу оптимальных значений коэффициентов
характеристического полинома замкнутой системы, рассчитать искомые значения
коэффициентов ПИД-регулятора
Определим передаточную функцию замкнутого контура

Рис.8. Структура системы с предшествующим фильтром
Определяем передаточную функцию предшествующего фильтра, так,
чтобы передаточная функциия замкнутой системы не имела нулей и приняла
табличный вид:
Определяем передаточную функцию предшествующего фильтра, так,
чтобы передаточная функция замкнутой системы не имела нулей и приняла табличный
вид
Определим передаточную функцию замкнутого контура:
Регулятор, настроенный по критерию симметричного
оптимум (СО) и/или модального оптимума (МО)
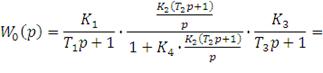
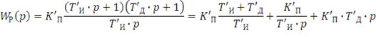
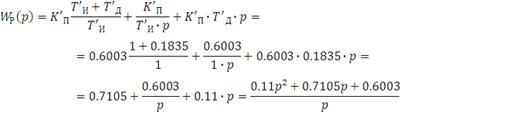
Передаточная функция ПИД-регулятора имеет вид:
Преобразуем формулу ПИД-регулятора:
Он сочетает в себе преимущества более простых законов.
В зависимости от типа и порядка объектов, а также соотношений
между их постоянными времени, настройка контура регулирования осуществляется
либо по критерию МО (модульный оптимум), либо по критерию СО (симметричный
оптимум) (в этом случае передаточной функции соответствует симметричная ЛАЧХ L
(ω), поэтому изложенный подход к выбору
настроек получил название симметричногооптимума. Настроечные параметры
регуляторов
, 
и
, обеспечивающие получение определенных показателей качества, в
дальнейшем будем называть гарантирующими.
Таблица 1. Гарантирующие параметры регулятора
|
Передаточная функция объекта Условия
примененияКритерийПараметры регулятора
|
|
|
|
|
|
|
KP’
|
TИ’
|
TД’
|

Т03≤ 4Т01
Т03≥ 4Т01
Т02≥ 4Т01MO
COТ03 /2k0Т01
Т03 /2k0Т01
Т02Т03 /8k0Т012Т03
4Т01
Т02Т02
Т02
Исходя из условий передаточной функции
1. 
. 
(3 строка таблицы)
Выбираем коэффициенты 
, 
и
:

(постоянная времени интегрирования);

(постоянная времени дифференцирования).
Запишем передаточную функцию ПИД-регулятора:
Определим передаточную функцию замкнутого контура
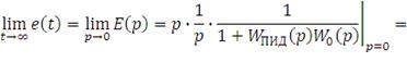
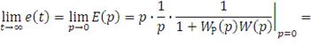
Установившаяся ошибка. ПИД-регулятор, настроенный по критерию
минимум интеграла от взвешенного модуля ошибки (ИВМО)
Регулятор, настроенный по критерию СО
.
Сравнительная таблица
Таблица 2. Сравнительная таблица
|
Показатели качества
|
|
tпп, с
|
σ,%
|
e (∞), %
|
|
Исходная система
|
|
|
0.5291
|
|
Регулятор по критерию ИВМО
|
|
|
0
|
|
Регулятор ИВМО с предшествующим фильтром
|
|
Регулятор СО
|
|
|
0
|
После введения регуляторов исчезает ошибка в установившемся
режиме.
Список
использованных источников
1. Руководство для курсового проектирования по ТАУ для ЭС,
КТЭИ, МЭ.
. Теория автоматического управления. Учебное пособие / В.П.
Казанцев. - Пермь: ПГТУ, 2014. - 124 c., илл.