Тепловий розрахунок парового котла ТП-35У
Міністерство
освіти та науки України
Національний
університет водного господарства та природокористування
Кафедра
гідроенергетики, теплоенергетики та гідравлічних машин
ПОЯСНЮВАЛЬНА
ЗАПИСКА
до
курсового проекту
з
дисципліни:
Котельні
установки промислових підприємств
на
тему:
Тепловий
розрахунок парового котла ТП-35У
Виконав
студент: Кухарчук І.І.
курс,
ННІВГП, група ТЕ-41,
Керівник:
ст. викладач Денісов А.К.
Рівне
- 2014
Зміст
Вступ
1. Розрахункове
завдання
2. Вибір
типу топки
. Характеристики
продуктів горіння в газоходах парогенераторів
. Визначення
ентальпії теоретичного об’єму повітря й продуктів згоряння палива
. Визначення
ентальпії продуктів згоряння в газоходах
. Розрахунок
теплового балансу парогенератора й витрати палива
. Розрахунок
конструктивних характеристик топки
. Розрахунок
повної площі поверхні стін топки, і площі поверхні топки
. Перевірочний
розрахунок теплообміну в топці
. Перевірочний
розрахунок фестона
. Конструктивні
розміри й характеристики перегрівника
. Перевірочний
розрахунок другого ступеня перегрівника
. Конструктивний
розрахунок першого ступеня перегрівника
. Поперечно-конструктивний
розрахунок економайзера й повітронагрівача
. Перевірочний
розрахунок другого ступеня економайзера
. Перевірочний
розрахунок першого ступеня повітронагрівача
. Перевірочний
розрахунок другого ступеня повітронагрівача
. Конструктивний
розрахунок першого ступеня економайзера
. Розрахунок
нев’язання теплового балансу парогенератора
Література
Вступ
Тепловий розрахунок котлоагрегату
залежно від поставлених завдань може бути конструктивним або повірочним.
Повірочний тепловий розрахунок виконують для реально існуючого котлоагрегату з
метою виявлення його теплових характеристик при різних навантаженнях, а також
при переведенні агрегату на інший вид палива.
Для перевірочного розрахунку
котлоагрегату потрібно знати його виробництво, тиск і температуру перегрітої
пари і живильної води. При цьому відомі всі геометричні характеристики
поверхонь нагріву і конструкція котлоагрегату в цілому. Особливість повірочного
розрахунку в тому, що невідома температура відхідних газів та гарячого повітря,
а отже, втрата тепла і ККД котлоагрегату. Тому доводиться попередньо задаватися
величинами і, а по закінченні розрахунку визначити їх справжнє значення. Основним
методом, повірочного розрахунку є метод послідовних наближень при розрахунку
окремих поверхонь нагріву і метод паралельних розрахунків при значному
розбіжності певної величини в порівнянні з прийнятим її значенням.
Конструктивний теплової розрахунок виконується при проектуванні котлоагрегату
нового типу. Однак при реконструкції котлоагрегату доводиться частина поверхонь
нагріву вважати конструктивним способом, а решта - повірочним.
При конструктивному розрахунку
котлоагрегату основним завданням розрахунку є визначення розмірів його
поверхонь нагріву. При цьому відомі температура пара та робочого середовища на
кордонах поверхонь нагріву, і їх тепло сприйняття визначаються за рівнянням
теплового балансу однозначно. Підраховують коефіцієнт теплопередачі і з
рівняння теплообміну визначають величину поверхонь нагріву.
В курсовому проекті рекомендується:
топку, ширми, фестон та котельні пучки розраховувати повірочним способом, а
ступені конвективного пароперегрівача, економайзера і повітропідігрівників - конструктивно.
При цьому необхідно після піврічного розрахунку вище вказаних поверхонь нагріву
призвести розподіл теплосприйняття по паровим трактам котла. Таке поєднання
повірочного і конструктивного методів розрахунку дещо спрощує виконання
курсового проекту в цілому і дозволяє використовувати для розрахунку окремих
конвективних поверхонь нагріву персональні комп'ютери.
1. Розрахункове завдання
Для виконання теплового розрахунку
парогенератора, будемо виходити з наступних даних:
. Паропродуктивність агрегата D, т/ч
(кг/с)………………....35 (9,73)
. Тиск пари в головної парової
задвижки рп, Мпа…………………3,8
Температура перегрітої пари tП.П-
°C ……………………….……445
. Температура живильної води перед
економайзером tп.в, оС…....100
5. Температура газів, що
йдуть,
ухоС……………………………150
. Паливо - вугілля
Карагандиське марки К:р ……………………………………………………………………...8
Ар……………………………………………………………………27,6
2. Вибір типу топки
Для спалювання заданого палива
вибираємо камерну топку із твердим шлаковидаленням, пилосистему - із проміжним
бункером.
Температуру повітря на вході в
повітронагрівач приймаємо рівної 25° С, гарячого повітря -380° С.
Паливо, повітря й продукти згоряння.
З табл. VІ-1 виписуємо розрахункові характеристики палива:
= 2,58%;
=
10%;
=0,8%;
=4,8%;
=54,7%;
=0,8%;
=21,33
МДж/кг;
=28%;
=3,3%;
Перераховуємо склад і теплоту згоряння
палива на задані вологість Wp = 8% і зольність Ар=
27,6%
=
табл
=0,8
;
Перевіряємо правильність розрахунку
складу палива:
,09+74,25+4,47+1,09+6,52+10,0+2,58=100%
Розрахуємо теоретичний об’єм
повітря, необхідний для спалювання 1 кг палива:
Визначаємо теоретичні об’єми
продуктів згорання палива:
а) об’єм двохатомних газів
б) об’єм трьохатомних газів
в) об’єм водяного пара
За даними розрахункових
характеристик камерних топок із твердим шлаковидаленням (табл. 4-3) і
нормативних значень присосів повітря в газоходах (табл. 2-1) вибираємо
коефіцієнт надлишку повітря на виході з топки αт
присоси повітря по газоходах Δα
й знаходимо розрахункові коефіцієнти надлишку повітря в газоходах α".
Результати розрахунків зводимо в табл. 1.
Таблиця
1
|
Присоси повітря по газоходах Δα
і
розрахункові коефіцієнти надлишку повітря в газоходах α"
|
|
Δα
|
α"
|
|
Δα
|
α"
|
|
Топка і фестон
|
0,10
|
1,25
|
Повітронагрівач трубчатий
|
0,03
|
1,36
|
|
Перегрівник (ІІ щабель)
|
0,03
|
1,28
|
Економайзер сталевий (І щабель)
|
0,03
|
1,39
|
|
Те саме (І щабель)
|
0,02
|
1,30
|
Повітронагрівач (І щабель)
|
0,03
|
1,42
|
|
Економайзер сталевий (ІІ щабель)
|
0,03
|
1,33
|
-
|
-
|
-
|
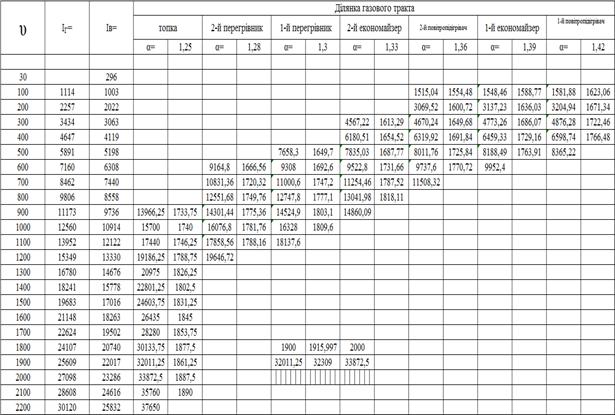
По формулах (2-18) - (2-24)
розраховуємо об’єми газів по газоходах, об'ємні частки газів r,
концентрацію золи в газах μ
отримані результати зводимо в табл. 2
. Характеристики продуктів горіння в
газоходах парогенераторів
Таблиця
2
Характеристики продуктів горіння в
газоходах парогенераторів (
)
4. Визначення ентальпії теоретичного
об’єму повітря й продуктів згоряння палива
Ентальпії повітря й продуктів
згоряння. Питомі ентальпії теоретичного
об’єму повітря й продуктів згоряння палива визначаємо по формулах (2-25) і
(2-26), використовуючи дані табл. 2-4. Отримані результати зводимо в табл. 3.
Ентальпію продуктів згоряння палива Іг
при α
> 1 підраховуємо по формулі (2-27). Так як наведене значення віднесення золи
з топки:
то при розрахунку Іг
ентальпію золи не враховуємо. Отримані результати зводимо в табл. 4.
Таблиця
3
Ентальпія теоретичного об’єму
повітря й продуктів згоряння палива кДж/кг
5. Визначення ентальпії продуктів
згоряння в газоходах
Таблиця
4
Ентальпія продуктів згоряння в
газоходах; кДж/кг
6. Розрахунок теплового балансу
парогенератора й витрати палива
Тепловий баланс становимо
розраховуючи на 1 кг розташовуваної теплоти палива Q
,
обумовленої по формулі (3-1). Уважаючи, що попередній підігрів повітря й палива
за рахунок зовнішнього джерела теплоти відсутній, маємо:
QB.H =0
і
іTЛ =
0. Розрахунки виконуємо відповідно до табл. 5.
Таблиця
5
Розрахунок теплового балансу
парогенератора и витрати палива
7. Розрахунок
конструктивних характеристик топки
Таблиця 6
Розрахунок
конструктивних характеристик топки
|
Величина
|
Одиниця
|
Розрахунок
|
|
найменування
|
позначення
|
Розрахункова формула або спосіб визначення
|
|
|
|
|
|
|
|
Активний
обсяг топкової камери Теплова напруга обсягу топлення; Розрахункове припустиме
Vт, qV qV По конструктивними
розмірам
По
табл 4-3м3
кВт/м3
кВт/м3206
Кількість
пальників Теплопродуктивність пальника п Qг По
табл. ІІІ-10
шт
МВт2
|
|
|
|
|
|
Тип пальника
|
|
По табл. ІІІ-6
|
|
ТКЗ-ЦКТИ, ГУ-П, №3
|
8. Розрахунок повної площі поверхні
стін топки, і площі поверхні топки
Таблиця
7
Розрахунок повної площі поверхні
стін топки, Fст і площі поверхні топки, що сприймає промені, Нл
|
Величина
|
|
Стіни топки
|
Вихідне вікно топки
|
Сумарна площа
|
|
найменування
|
Позн.
|
|
Фронтова і склепіння
|
Бокові
|
Задня
|
|
|
|
Загальна площа стіни і вихідного вікна
|
F ст
|
м2
|
74 1
|
87
|
41
|
20
|
222
|
|
Відстань між осями крайніх труб Освітлена
довжина труб
|
b lосв
|
м м
|
4,66 13,8
|
4,07x2 9,9
|
4,66 8,5
|
4,66 4,3
|
|
|
Площа, що сприймає промені: повна покрита
торкретом відкрита
|
F Fзакр Fоткр
|
м2 м2 м2
|
64,4 14 50,4
|
80,6 15 65,6
|
39,6 __ 39,6
|
20,0 __ 20,0
|
204,6 29 175.6
|
|
Зовнішній діаметр екранних труб Крок екранних
труб
|
d S
|
мм мм
|
60 110
|
60 110
|
60 80
|
60 __
|
- __
|
|
Відстань від осі екранних труб до кладки
(стіни) Відношення
|
l s/d
|
мм __
|
60 1,83
|
60 1,83
|
60 1,33
|
|
|
|
Відношення Кутовий коефіцієнт екрана
|
l/d x
|
|
1 0,90
|
1 0,90
|
1 0,96
|
1,00
|
|
|
Площа поверхні відкритих екранів що сприймають
промені
|
Нл.откр
|
м2
|
45,4
|
59,4
|
38,2
|
20,0
|
163
|
|
Площа поверхні екранів, що сприймають промені,
покритих торкретом
|
Нл.закр
|
м2
|
14
|
15
|
|
|
29
|
|
1 З урахуванням площі перетину, що проходить
через середину холодної лійки.
|
9. Перевірочний розрахунок теплообміну
в топці
Таблиця
8
Перевірочний розрахунок теплообміну
в топці
|
Величина
|
Одиниця
|
Розрахунок
|
|
найменування
|
позначення
|
Розрахункова формула або спосіб визначення
|
|
|
|
Сумарна площа поверхні що сприймає промені
|
Нл
|
По конструктивним розмірами
|
м2
|
192
|
|
Площа поверхні, що сприймає промені, відкритих
екранів
|
Нл.откр
|
Те саме
|
м2
|
163
|
|
Площа поверхні, що сприймає промені закритих
екранів
|
Нл.закр
|
»
|
м2
|
29
|
|
Повна площа стін топкової камери
|
Fст
|
»
|
м2
|
222
|
|
Коефіцієнт теплової ефективності поверхні що
сприймає промені
|
ψср
|
-
|
|
|
|
Ефективна товщина випромінюючого шару полум'я
|
s
|
м
|
|
|
|
Повна висота топки
|
Нт
|
По конструктивним розмірам
|
м
|
10,6
|
|
Висота розташування пальників
|
Нт
|
Те саме
|
м
|
2,6
|
|
Відносний рівень розташування пальників
|
хт
|
hг/Нт
|
-
|
0,245
|
|
Параметр, що враховує характер розподілу
температури в топці
|
М
|
0,59-0,5хт
|
__
|
0,467
|
|
Коефіцієнт надлишку повітря на виході з топки
|
α"т
|
По табл. 4-3
|
__
|
1,25
|
|
Присос повітря в топке
|
Δαт
|
По табл. 2-1
|
__
|
0,1
|
|
Присос повітря в системі пилоприготування
|
Δαплу
|
Те саме
|
оС
|
0,1
|
|
Температура гарячого повітря
|
tг.в
|
По попередньому вибору
|
°с
|
380
|
|
Ентальпія гарячого повітря
|
По І -таблицекДж/кг3159
|
|
|
|
|
Ентальпія присосів повітря
|
Те
самекДж/кг296
|
|
|
|
|
Кількість теплоти, що вноситься в топку
повітрям
|
Qв
|
кДж/кг(1,25
-0,1 -0,1) × 3159 + (0,1+0,1) = 3317
|
|
|
|
Корисне тепловиділення в топці
|
Qв
|
кДж/кг
|
|
|
|
Адіабатична температура горіння
|
aПо
І -таблицеоС1916
|
|
|
|
|
Температура газів на виході з топки
|
По
попередньому вибору°С1000
|
|
|
|
|
ентальпія газів на виході з топки
|
По І
-таблицекДж/кг15700
|
|
|
|
|
Середня сумарна теплоємність продуктів
згоряння
|
Vcср
|
кДж/(кг·К)
|
|
|
|
Об'ємна частка: водяних пар
|
По табл.
1-2__0,068
|
|
|
|
|
триатомних газів
|
Те
саме__0,139
|
|
|
|
|
Сумарна об'ємна частка триатомних газів
|
rn
|
0,207
|
|
|
|
Добуток
|
prns
|
prns
|
м-МПа
|
0,1 • 0,207 • 3,35 = 0,069
|
|
Коефіцієнт ослаблення променів:
|
|
|
|
|
|
триатомними газами
|
kГ
|
По мал. 5-5 або формулі (5-26)
|
1/(м × МПа)
|
6
|
|
золовими часками
|
kЗЛ
|
По мал. 5-6 або формулі
|
1/(м × МПа)
|
0,067
|
|
частками коксу
|
kкокс
|
По § 5-2
|
1/(м × МПа)
|
10
|
|
Безрозмірні параметри
|
1По
§ 5-2__1
|
|
|
|
|
2Те
саме__0,1
|
|
|
|
|
Коефіцієнт ослаблення променів, топковим
середовищем
|
kгrn + kзлμзл +
kкоксχ1χ2
|
1/(м × МПа)
|
• 0,194 + 0,067• 18,5 + 10-1 .0,1 = 3,27
|
|
Сумарна сила поглинання топкового об’єму
|
kps
|
kps
|
__
|
3,27. 0,1 • 3,35 = 1,1
|
|
Щабель чорності факел
|
аф
|
По мал. 5-4 або формулі (5-22)
|
__
|
0,71
|
|
Щабель чорності топки
|
ат
|
По рис. 5-3 или формуле (5-20)
|
__
|
0,85
|
|
Теплове навантаження стін топки
|
qF
|
кВт/м2
|
|
|
|
Температура газів на виході з топки
|
По рис.
5-7 или формуле (5-3)°С1000
|
|
|
|
|
Ентальпія газів на виході з топки
|
';По І -таблицs
або І -диаграмікДж/кг13257
|
|
|
|
|
Загальне теплосприйняття топки
|
 кДж/кг0,988 (25900 - 13257) =
12491
|
|
|
|
|
Середнє питоме теплове навантаження поверхонь
топки, що сприймають промені
|
 кВт/м2
|
|
|
|
10. Перевірочний розрахунок
фестона
Розрахунок фестона.
При тепловому розрахунку серійного парогенератора фестон, як правило, не
змінюють, а перевіряють перевірочним розрахунком (табл. 9).
Таблиця
9
Перевірочний розрахунок фестона
|
Величина
|
Одиниця
|
Розрахунок
|
|
найменування
|
позначення
|
розрахункова формула або спосіб визначення
|
|
|
|
Повна площа поверхні нагрівання
|
Н
|
По конструктивним розмірам
|
м2
|
42
|
|
Площа поверхні труб бічних екранів, що
перебувають у зоні фестона
|
Ндоп
|
То же
|
м2
|
4
|
|
Діаметр труб
|
d
|
|
мм
|
60×3
|
|
Відносний крок труб
|
|
|
|
|
|
поперечний
|
s1/d
|
»
|
|
4
|
|
поздовжній
|
s2/d
|
»
|
|
3,5
|
|
Кількість рядів труб по ходу газів
|
z1
|
|
шт.
|
3
|
|
Кількість труб у ряді
|
z2
|
|
шт.
|
16
|
|
Площа живого перетину для проходу газів
|
F
|
AB-z1dl
|
м2
|
3,8·4,4- 16·0,06·3,8 = 13,3
|
|
Ефективна товщина випромінюючого шару
|
s
|
м
|
|
|
|
Температура газів перед фестоном
|
Із
розрахунку топки°C1000
|
|
|
|
|
Ентальпія газів перед фестоном
|
Те
самекДж/кг13 257
|
|
|
|
|
Температура газів за фестоном
|
По
попередньому виборуоС950
|
|
|
|
|
Ентальпія газів за фестоном
|
І"
|
По І -таблицекДж/кг12 105
|
|
|
|
Кількість теплоти, що віддається фестону
|
QГ
|
φ(І' - І")
|
кДж/кг
|
0,988(13257-12327) = 919
|
|
Температура кипіння при тиску в барабані рб
= = 4,3 Мпа
|
tкип
|
По табл. VI-7
|
°С
|
220
|
|
Середня температура газів
|
cp0,5
°С0,5(1000
+ 950) = 971
|
|
|
|
|
Середній температурний напір
|
Δt
|
ср-
tкип"С971 - 220 = 759
|
|
|
|
Середня швидкість газів
|
ω
|
м/с
|
|
|
|
Коефіцієнт тепловіддачі конвекцією
|
αк
|
По мал. 6-4
|
кВт/(м2·К)
|
0,82· 0,94 • 0,95 • 41,9 = 30,6
|
|
Сумарна поглинальна здатність триатомних газів
|
prns
|
prns
|
м·МПа
|
0,1 • 0,194 · 0,85 = 0,0165
|
|
Коефіцієнт ослаблення променів триатомними
газами
|
kГ
|
По мал. 5-5 або формулі (5-26)
|
1/(м·МПа)
|
10
|
|
Коефіцієнт ослаблення променів золовими
частками
|
kзл
|
По мал. 5-6 або формулі (5-27)
|
1/(м·МПа)
|
0,068
|
|
Сумарна оптична товщина запиленого газового
потоку
|
kps
|
(rГrn + kзлμзл)ps
|
-
|
(10· 0,194 + 0.068·18.5) × ×0,85 · 0,1
=0,2
|
|
Щабель чорності випромінюючого середовища
|
a
|
По мал. 5-4 або формулі (5-22)
|
-
|
0,176
|
|
Температура забрудненої стінки труби
|
tст
|
tкип + Δt
|
°С
|
220 + 80 = 300
|
|
Коефіцієнт тепловіддачі випромінюванням
|
αл
|
По мал. 6-11 (αл =
αН
а)
|
Вт/(м2·К)
|
195 · 0,176 = 34,2
|
|
Коефіцієнт використання поверхні нагрівання
|
ξ
|
По § 6-2
|
-
|
1
|
|
Коефіцієнт тепловіддачі від газів до стінки
|
αI
|
ξ(αк +
αл)
|
Вт/(м2·К)
|
1 (30,6 + 34,2) = 64,8
|
|
Коефіцієнт забруднення
|
ε
|
По формулі (6-37) і мал. 6-13 (ε
= ε0сdcфр+Δ
ε)
|
м2·К/Вт
|
0,0069 - 1,6 · 1 + 0,005 = =0,016
|
|
Коефіцієнт теплопередачі
|
k
|
Вт/(мг·К)
|
|
|
|
Теплоcприйняття фестона по рівнянню
теплопередачі
|
QФ
|
кДж/кг
|
|
|
|
Теплоcсприйняття настінних труб
|
Qдоп
|
кДж/кг
|
|
|
Сумарне теплосприймання газоходу фестона
Розбіжність розрахункових теплосприйнять Qт ΔQ QФ
+ Qдоп
кДж/кг
%764,4 + 72,8 = 837,2
11. Конструктивні розміри й
характеристики перегрівника
Розрахунок перегрівника.
Перегрівник включений за складною схемою з пароохолодником, установленим
"у розтин" (див. мал. 8-1, е). Отже, розрахунок перегрівника потрібно
вести роздільно (по щаблях), до пароохолодника й після нього. Теплосприймання
пароохолодника врахуємо при розрахунку першої (по ходу пари) ступені
перегрівника.
Перший ступінь виконаний зі здвоєних
змійовиків і включений за схемою з паралельно-змішаним струмом, друга - з
одинарних змійовиків і включена за схемою з послідовно-змішаним струмом. Обидві
ступені мають коридорне розташування труб.
Змійовики другого ступеня
перегрівника виготовлені з жароміцної сталі, і її поверхня нагрівання, а також
конструктивні розміри змінювати не слід. Цей ступінь перевіримо перевірочним
розрахунком.
Для першого ступеня, виконаної з
вуглецевої сталі, конструктивним розрахунком визначаємо необхідну площу поверхні
нагрівання.
Коефіцієнт теплопередачі
гладкотрубних коридорних пучків перегрівника розраховуємо з урахуванням
коефіцієнта теплової ефективності ψ,
використовуючи формулу (6-7). Вплив випромінювання газового обсягу,
розташованого перед першим ступенем, на коефіцієнт теплопередачі перегрівника
враховуємо шляхом збільшення розрахункового значення коефіцієнта теплопередачі
випромінюванням по формулі (6-34).
Конструктивні розміри й
характеристики перегрівника, узяті із креслень і паспортних даних парогенератора,
зводимо в табл. 11.
Перевірочний розрахунок другого
ступеня перегрівника зводимо в табл. 11, а конструктивний розрахунок першого
ступеня - у табл. 12.
Отриману в результаті розрахунку
поверхню нагрівання першого ступеня перегрівника розміщаємо в газоході, взявши
за основу конструктивні розміри існуючого перегрівника.
Розрахунок хвостових поверхонь.
При виконанні проекту установки агрегату на задані; паропродуктивність,
параметри пари й вид палива, а також при розробці проекту реконструкції
існуючого парогенератора у зв'язку з підвищенням його продуктивності шляхом
зміни параметрів пари й виду палива використають два варіанти розрахунку
хвостових поверхонь:
. Для парогенератора, хвостові
поверхні якого в основному відповідають умовам завдання на проектування,
перевірочно-конструктивним розрахунком перевіряють економайзер і
повітропідігрівник із внесенням у їхні конструктивні розміри й характеристики
необходжених коректив.
. Для парогенератора, що не має
хвостових поверхонь або якщо наявні хвостові поверхні умовам завдання на
проектування не задовольняють, конструктивним розрахунком нових хвостових
поверхонь визначають їх площі нагрівання й конструктивні характеристики.
Розглянемо обидва варіанти
розрахунку хвостових поверхонь парогенератора.
Схема хвостових поверхонь нагрівання
парогенератора ТП 35-У
Таблиця
10
Конструктивні розміри й
характеристики перегрівника
|
Розміри й характеристики
|
Одиниця
|
Щабель
|
|
найменування
|
позначення
|
розрахункова формула або спосіб визначення
|
|
I
|
ІІ
|
|
Діаметр труб
|
d/dвн
|
По конструктивним розмірам
|
мм
|
38/32
|
38/32
|
|
Кількість труб у ряді (поперек газоходу)
|
z1
|
Те саме
|
шт.
|
40
|
40
|
|
Кількість рядів труб (по ходу газів)
|
z2
|
»
|
шт.
|
22
|
6
|
|
Середній крок труб: поперечний поздовжній
Розташування труб у пучку Характер омивання Середня довжина змійовика 1
Сумарна довжина труб
|
s1 s2 l Σ
l
|
» » » » » »
|
мм мм м м
|
110 82 Коридорне Поперечне 1,65 1450
|
110 104 Коридорне Поперечне 3,50 840
|
|
Повна площа поверхні нагрівання
|
Н
|
πdΣl
|
м2
|
174
|
102
|
|
Площа живого перетину на вході 2
|
F'
|
а'b' - l'z1d
|
м2
|
7,2
|
11,4
|
|
Те ж, на виході2
|
F"
|
a"b" - l"z1d
|
м2
|
4,7
|
9,4
|
|
Середня площа живого перетину газоходу
|
Fср
|
м25,710,2
|
|
|
|
|
Кількість паралельно включених змійовиків (по
парі)
|
т
|
По конструктивним розмірах
|
шт.
|
40
|
40
|
|
Площа живого перетину для проходу пари
|
f
|
м20,0320,032
|
|
|
|
|
Примітки: 1. Середню довжину змійовика
приймаємо рівній середній довжині однієї прямої ділянки труби й коліна. 2.
а', b', l', а", b", l" - розміри газоходу й довжина одного
змійовика у вхідному й вихідному перетинах.
|
12. Перевірочний розрахунок
другого ступеня перегрівника
Таблиця
11
Перевірочний розрахунок другого
ступеня перегрівника
|
Величина
|
Одиниця
|
Розрахунок
|
|
найменування
|
позначення
|
розрахункова формула або спосіб визначення
|
|
|
|
Діаметр труб
|
d/dвн
|
По конструктивним розмірам
|
мм
|
38/32
|
|
Площа поверхні нагрівання
|
Н
|
Те саме
|
м2
|
102
|
|
Температура пари на виході із ступені
|
t'
|
По завданню
|
°С
|
445
|
|
Те ж, на вході в ступінь
|
t"
|
По попередньому вибору
|
°С
|
360
|
|
Тиск пари:
|
|
|
|
|
|
на виході із ступені
|
р"
|
По завданню
|
МПа
|
4
|
|
на вході в ступінь
|
р'
|
По вибору
|
МПа
|
4,2
|
|
Питома ентальпія пари:
|
|
|
|
|
|
на виході із ступені
|
і"
|
По табл. VI-8
|
кДж/кг
|
3323
|
|
на вході в ступінь
|
і'
|
Те саме
|
кДж/кг
|
3117
|
|
Сумарне теплосприймання ступені
|
Q
|
кДж/кг
|
|
|
|
Середнє питоме теплове навантаження поверхонь
топки, що сприймають промені
|
З
розрахунку топкикВт/м286,5
|
|
|
|
|
Коефіцієнти розподілу теплового навантаження:
|
|
|
|
|
|
по висоті
|
ηв
|
По мал. 5-2
|
-
|
0,52
|
|
між стінами
|
ηст
|
По табл. 5-7
|
-
|
1.1
|
|
Питоме променисте теплосприймання вихідного
вікна топки
|
qл
|
ηст
ηст кВт/м20,62·
1,1 · 86,5 = 59
|
|
|
|
Кутовий коефіцієнт фестона
|
хф
|
По мал. 5-1
|
_
|
0,72
|
|
Площа поперечного перерізу газоходу перед
ступенем
|
а'b'м23,9
· 4,4 = 17,2
|
|
|
|
|
Променисте теплосприймання ступені
|
Qл
|
кДж/кг
(1-0,72)·17,2 = 214
|
|
|
|
Конвективне теплосприййняття ступені
|
Qк
|
Q - Qл
|
кДж/кг
|
1507 - 214= 1293
|
|
Температура газів перед ступеню
|
з
розрахунку фестона°С950
|
|
|
|
|
Ентальпія газів на вході в щабель
|
І'
|
Те саме
|
кДж/кг
|
13257
|
|
Те ж, на виході з ступені
|
І"
|
кДж/кг
|
|
|
|
Температура газів на виході з ступеня
|
По І -таблице°С840
|
|
|
|
|
Середня температура газів
|
|
|
|
|
Середня швидкість газів в ступені
|
ωг
|
м/с
|
|
|
|
Коефіцієнт тепловіддачі конвекцією
|
αк
|
По рис. 6-5 Вт/(м2
· К)41 · 0,96 · 1 · 0,91 =36
|
|
|
|
Середня температура пари
|
tср
|
0,5 (t' + t")
|
°С
|
0,5 (360 + 440) = 400
|
|
Обсяг пари при середній температурі
|
υп
|
По табл. VI-8
|
м3/кг
|
0,072
|
|
Середня швидкість пари
|
ωп
|
м/с
|
|
|
|
Коефіцієнт тепловіддачі від стінки до пари
|
α2
|
По мал. 6-7 (α2=
CdαH)
|
Вт/(м2 · К)
|
0,98 - 1282 = 1260
|
|
Товщина випромінюючого шару
|
s
|
м
|
|
|
|
Сумарна поглинальна здатність триатомних газів
|
prns
|
prns
|
м· МПа
|
0,1 · 0,19 · 0,31 = 0,0059
|
|
Коефіцієнт ослаблення променів триатомними
газами
|
kг
|
По рис. 5-5
|
1/(м МПа)
|
20
|
|
Коефіцієнт ослаблення променів золовими
частками
|
kзл
|
По рис. 5-6
|
1/(м · МПа)
|
0,07
|
|
Сумарна оптична товщина запиленого газового
потоку
|
pks
|
(kгrn + kзлμзл)рs
|
-
|
(20 · 0,19+0,07 · 18,2)×
О,1 · 0,31 = 0,16
|
|
Ступінь чорності випромінюючого середовища
|
а
|
По рис. 5-4
|
-
|
0,15
|
|
Коефіцієнт забруднення
|
ε
|
По § 6-2
|
мг·К/Вт
|
0,0043
|
|
Температура забрудненої стінки труби
|
tст
|
°С
|
|
|
|
Коефіцієнт тепловіддачі випромінюванням
|
αл
|
По рис. 6-11 (αл =
αл
а)
|
Вт/(м2 · К)
|
195 · 0,15 = 29,2
|
|
Коефіцієнт тепловіддачі від газів до стінки
|
α1
|
ξ(αк+
αл)
|
Вт/(м2 К)
|
1 · (35 + 29,2) = 64,2
|
|
Коефіцієнт теплової ефективності
|
ψ
|
По табл. 6-2
|
-
|
0,55
|
|
Коефіцієнт теплопередачі
|
k
|
Вт/(м2
К)
|
|
|
|
Різниця температур між газами й парою:
|
|
|
|
|
|
найбільша
|
Δtб
|
°С950 -
440 = 510
|
|
|
|
найменша
|
Δtм
|
°С840 -
360 = 480
|
|
|
|
Температурний напір при протиструмі
|
Δtпрт
|
°С
|
|
|
|
Площа поверхні нагрівання прямоточної ділянки
|
Нпрм
|
По конструктивних розмірах
|
м2
|
52
|
|
Повна площа поверхні нагрівання ступеня
|
Н
|
Те саме
|
м2
|
102
|
|
Параметр
|
А
|
Нпрм/Н
|
_
|
52/102 = 0,5
|
|
Повний перепад температур газів
|
τ1
|
°С950 -
840= 110
|
|
|
|
Те саме, пари
|
τ2
|
t" - t'
|
°С
|
440 - 360 = 80
|
|
Параметр
|
Р
|
_
|
|
|
|
Параметр
|
R
|
τ1/τ2
|
|
110/85= 1,3
|
|
Коефіцієнт переходу до складної схеми
|
ψ
|
По рис. 6-14
|
_
|
0,995
|
|
Температурний перепад
|
Δt
|
ψ Δtпрт
|
°С
|
0,995 · 495 = 492
|
|
Теплосприймання ступені по рівнянню
теплообміну
|
Qт
|
кДж/кг
|
|
|
|
Розбіжність розрахункових теплосприймання
|
ΔQ
|
%
|
|
|
|
Температура пари на вході в ступінь
|
t'
|
По вибору
|
°C
|
360
|
|
Питома ентальпія пари на вході в щабель
|
і'п
|
По табл. IV-8
|
кДж/кг
|
3130
|
|
Сумарне теплосприймання ступеня
|
Q
|
кДж/кг
|
|
|
|
Конвективне теплосприймання ступеня
|
Q к
|
Q - Qл
|
кДж/кг
|
1302 - 214= 1088
|
|
Ентальпія газів за ступеню
|
І"
|
кДж/кг
|
|
|
|
Температура газів на виході з ступеня
|
По І -
таблице°С846
|
|
|
|
|
Різниця температур між газами й парою:
|
|
|
|
|
|
найбільша
|
Δtб
|
°С950 -
360 = 590
|
|
|
|
найменша
|
ΔtM
|
°С846 -
440 = 406
|
|
|
|
Температурний напір при протитоці
|
Δtпрт
|
°С
|
|
|
|
Температурний перепад
|
Δt
|
ψΔtпрт
|
°С
|
0,995 · 493 = 490
|
|
Теплосприймання ступеня по рівнянню
теплообміну
|
Qт
|
кДж/кг
|
|
|
|
Розбіжність розрахункових теплосприймань
|
ΔQ
|
%
|
|
|
|
1 Отримана розбіжність теплосприймань вище
припустимого. Для перерахування (друге наближення) попередньо приймаємо інше
значення температури пари на вході в ступінь і повторюємо розрахунок. 2
Отримана температура відрізняється від температури газів у першому наближенні
менш чим на 50оС, тому коефіцієнт теплопередачі перераховувати не
потрібно. 3 Отримана розбіжність теплосприймань не перевищує припустимого.
Отже, значення температури пари на вході в другий ступінь перегрівника t' =
365°С, прийняте при другому наближенні, конструктивним характеристикам
ступені відповідає й перевірочний розрахунок ступеня на цьому закінчуємо.
|
13. Конструктивний розрахунок
першого ступеня перегрівника
Таблиця
12
Конструктивний розрахунок першого
ступеня перегрівника
|
Величина
|
Одиниця
|
Розрахунок
|
|
найменування
|
позначення
|
розрахункова формула або спосіб визначення
|
|
|
|
Діаметр труб
|
d/dвн
|
По конструктивним розмірам
|
мм
|
38/32
|
|
Параметри пари на вході в ступінь:
|
|
|
|
|
|
тиску
|
р'
|
р' = рб
|
МПа
|
4,4
|
|
температура
|
t'
|
t' = tнас
|
°С
|
256
|
|
паровміст
|
х
|
По вибору
|
-
|
0,98
|
|
Питома ентальпія:
|
|
|
|
|
|
киплячої води
|
і'
|
По табл. VI-7
|
кДж/кг
|
1116
|
|
сухої насиченої пари
|
і"
|
Те саме
|
кДж/кг
|
2797
|
|
Питома ентальпія пари на вході в ступінь
|
і'п
|
х і"+ (1-х) і'
|
кДж/кг
|
0,98·2797 + (1- 0,98) × 1116 =
2763
|
|
Параметри пари на виході із ступені:
|
|
|
|
|
|
тиск
|
р"
|
З розрахунку другого ступеня перегрівника
|
МПа
|
4
|
|
температура
|
t"
|
То же
|
oС
|
360
|
|
питома ентальпія
|
і"п
|
»
|
кДж/Кг
|
3117
|
|
Теплосприймання пароохолодника
|
Δіпо
|
По вибору
|
кДж/кг
|
60
|
|
Теплосприймання ступеня
|
Q
|
кДж/кг
|
|
|
|
Ентальпія газів на вході в ступінь
|
I'
|
З розрахунку другого ступеня перегрівника
|
кДж/кг
|
13257
|
|
Температура газів на вході в ступінь
|
Те
саме°С950
|
|
|
|
|
Ентальпия газов на виході из ступеня
|
І"
|
кДж/кг
|
|
|
|
Температура газів на виході із ступеня
|
По І -таблице°С614
|
|
|
|
|
Середня температура газів в ступені
|
0,5 °С0,5 (950
- 614) = 782
|
|
|
|
|
Середня швидкість газів в ступені
|
ωг
|
м/с
|
|
|
|
Коефіцієнт тепловіддачі конвекцією
|
αк
|
По рис. 6-5 (αк =
αн СzСsСф)
|
Вт/(м2 · К)
|
62,8 · 1 · 0,98 · 0,93 = 57,2
|
|
Середня температура пари
|
tср
|
0,5 (t'+ t")
|
oС
|
308
|
|
Об’єм пари при середній температурі
|
υп
|
По табл. VI-8
|
м3/кг
|
0,0598
|
|
Середня швидкість пари
|
ωп
|
м/с
|
|
|
|
Коефіцієнт тепловіддачі від стінки до пари
|
α2
|
По рис. 6-7 (α2=
Сdαн)
|
Вт/(м2 · К)
|
0,95 · 5028 = 4777
|
|
Ефективна товщина випромінюючого шару
|
s
|
м
|
|
|
|
Сумарна поглинальна здатність трьохатомных
газів
|
prns
|
prns
|
м ·МПа
|
0,1 ·0,187 · 0,25 = 0,0047
|
|
Коефіцієнти ослаблення променів:
|
|
|
|
|
|
триатомними газами
|
kг
|
По мал. 5-5
|
1/(м МПа)
|
25,5
|
|
золовими частками
|
kзл
|
По мал. 5-6
|
1/(м МПа)
|
0,077
|
|
Сумарна оптична товщина запиленого газового
потоку
|
kps
|
(kгrn+ kзлμзл)
ps
|
_
|
(25,5 .0,187+0,077 × 17,9) ·
0,1 - 0,25 = 0,16
|
|
Щабель чорності випромінюючого середовища
|
а
|
По рис. 5-4
|
_
|
0,15
|
|
Коефіцієнт забруднення
|
ε
|
По § 6-2
|
м' · К/Вт
|
0,005
|
|
Температура забрудненої стінки труби
|
tст
|
°С
|
|
|
|
Коефіцієнт тепловіддачі випромінюванням
|
αл
|
По мал. 6-11 (αл =
а αн)
|
Вт/(м2 · К)
|
140 - 0,15 = 20,9
|
|
Температура в обсязі камери перед ступенем
|
З
розрахунку другого ступеня перегрівника°С846
|
|
|
|
|
Коефіцієнт
|
А
|
По § 6-2
|
__
|
0,4
|
|
Глибина по ходу газів: ступеня (пучка)
|
lп
|
По конструктивним розмірам
|
м
|
0,7
|
|
об’єму перед ступеню
|
lоб
|
Те саме
|
м
|
1,8
|
|
Коефіцієнт тепловіддачі випромінюванням з
урахуванням випромінювання газового обсягу перед ступеню
|
α'л
|
|
|
|
Коефіцієнт тепловіддачі від газів до стінки
|
α1
|
ξ (αк +
αл)
|
Вт/(м2 · К)
|
1 (57,2 + 27,9) = 85,1
|
|
Коефіцієнт теплової ефективності
|
ψ
|
По табл. 6-2
|
-
|
0,55
|
|
Коефіцієнт теплопередачі
|
k
|
Вт/(м2
· К)
|
|
|
|
Різниця температур між газами й парою:
|
|
|
|
|
|
найбільша
|
Δtб
|
°С846 -
360 = 486
|
|
|
|
найменша
|
Δtм
|
°С614 -
256 = 358
|
|
|
|
Температурний напір при протитоці
|
Δt прт
|
°С
|
|
|
|
Повний перепад температур газового потоку в
ступені
|
τб
|
°С846 -
614 = 232
|
|
|
|
Повний перепад температур потоку пари
|
τм
|
°С360 -
256= 104
|
|
|
|
Параметр
|
R
|
τб/
τм
|
-
|
232/104 = 2,2
|
|
Те саме
|
Р
|
-
|
|
|
|
Коефіцієнт переходу до складної схеми
|
ψ
|
По мал. 6-15
|
-
|
0,98
|
|
Температурний перепад
|
Δt
|
ψ Δtпрт
|
°C
|
0,98 · 419 = 411
|
|
Площа поверхні нагрівання ступені
|
Н
|
м2
|
|
|
котлоагрегат
парогенератор перегрівник економайзер
14. Поперечно-конструктивний
розрахунок економайзера й повітронагрівача
У відповідності з § 9-1 становимо
розрахункову схему хвостових поверхонь нагрівання парогенератора (див. мал.
І-1) і вказуємо на ній відомі до початку розрахунку параметри газів, води й
повітря.
Таблиця
13
Конструктивні розміри характеристики
економайзера
|
Найменування
|
Позначення
|
Одиниця
|
Ступінь
|
Примітка
|
|
|
|
І
|
II
|
|
|
Діаметр труб
|
|
|
|
|
|
|
зовнішній
|
d
|
мм
|
32
|
32
|
|
|
внутрішній
|
dBH
|
мм
|
26
|
26
|
|
|
Розташування труб
|
_
|
_
|
Шахове
|
Шахове
|
|
|
Кількість труб у горизонтальному ряді
|
z1
|
шт.
|
16
|
16
|
|
|
Кількість горизонтальних рядів труб
|
z2
|
шт.
|
38
|
12
|
|
|
Крок труб:
|
|
|
|
|
|
|
поперек потоку газів (по ширині)
|
sl
|
мм
|
90
|
90
|
|
|
уздовж потоку газів (по висоті)
|
s2
|
мм
|
56
|
56
|
|
|
Відносний крок труб:
|
|
|
|
|
|
|
поперечний
|
s1/d
|
-
|
2,8
|
2,8
|
|
|
поздовжній
|
s2/d
|
-
|
1,75
|
1,75
|
|
|
Площа поверхні нагрівання
|
H
|
м2
|
250
|
80
|
|
|
Розміри перетину газоходу поперек руху газів
|
A Б
|
м м
|
4,3 1,49
|
4,3 1,49
|
|
|
Площа живого перетину для проходу газів
|
F
|
м2
|
4,2
|
4,2
|
|
|
Кількість паралельно включених труб (по воді)
|
z0
|
шт.
|
32
|
32
|
|
|
Площа живого перетину для проходу води
|
f
|
м2
|
0,017
|
0,017
|
|
Використовуючи креслення й технічну
документацію парогенератора ТП-35У, становимо таблиці конструктивних розмірів і
характеристик його економайзера й повітронагрівача (табл. 13, 14).
Приймаємо наступний порядок
розрахунку хвостових поверхонь:
. Перевірочний розрахунок другого
ступеня економайзера (табл. 15).
. Перевірочний розрахунок першого
ступеня повітропідігрівника (табл. 16).
. Перевірочний розрахунок другого
ступеня повітропідігрівника (табл. 17).
. Конструктивний розрахунок першого
ступеня економайзера (табл. 18).
Після розрахунку хвостових поверхонь
визначаємо нев'язання теплового балансу парогенератора (табл. 19).
Так як величина нев'язання теплового
розрахунку не перевищує припустимих 0,5%, то тепловий розрахунок парогенератора
вважаємо закінченим.
Таблиця
14
Конструктивні розміри характеристики
повітронагрівача
|
Найменування
|
Позначена
|
Одиниця
|
Ступень
|
Примітка
|
|
|
|
I
|
II
|
|
|
Діаметр труб:
|
|
|
|
|
|
|
зовнішній
|
d
|
мм
|
40
|
40
|
|
|
внутрішній
|
dBH
|
мм
|
37
|
37
|
|
|
Довжина труб
|
_
|
м
|
3,4
|
3,4
|
|
|
Розташування труб
|
_
|
z1
|
Шахове
|
Шахове
|
|
|
Кількість ходів по повітрю
|
п
|
шт
|
2
|
2
|
|
|
Кількість труб у ряді поперек руху повітря
|
z1
|
шт
|
70
|
70
|
|
|
Кількість рядів труб уздовж руху повітря
|
z2
|
шт.
|
34
|
34
|
|
|
Крок труб:
|
|
|
|
|
|
|
поперечний (поперек потоку повітря)
|
sl
|
мм
|
56
|
56
|
|
|
поздовжній (уздовж потоку повітря)
|
s2
|
мм
|
44
|
44
|
|
|
Відносний крок:
|
|
|
|
|
|
|
поперечний
|
s1/d
|
-
|
1,4
|
1,4
|
|
|
поздовжній
|
s2/d
|
-
|
1,1
|
1,1
|
|
|
Кількість паралельно включених труб (по газах)
|
z0
|
шт
|
2400
|
2400
|
|
|
Площа живого перетину для проходу газів
|
F
|
м2
|
2,4
|
2,4
|
|
|
Ширина перетину повітряного каналу
|
B
|
м
|
4,3
|
4,3
|
|
|
Середня висота повітряного каналу
|
h
|
м
|
1,7
|
1,7
|
|
|
Площа живого перетину для проходу повітря
|
Fв
|
м2
|
2,1
|
2,1
|
|
|
Площа поверхні нагрівання
|
H
|
м2
|
1000
|
1000
|
|
15. Перевірочний розрахунок
другого ступеня економайзера
Таблиця
15
Перевірочний розрахунок другого
ступеня економайзера
|
Величина
|
Одиниця
|
Розрахунок
|
|
Найменування
|
Позначення
|
Розрахункова формула або спосіб визначення
|
|
|
|
Площа поверхні нагрівання ступеня
|
Н
|
По конструктивних розмірах
|
м2
|
145
|
|
Площа живого перетину для проходу газів
|
Fг
|
Те саме
|
м2
|
4,2
|
|
Те ж, для проходу води
|
f
|
» »
|
м2
|
0,017
|
|
Температура газів на вході в щабель
|
З
розрахунку перегрівника°С614
|
|
|
|
|
Ентальпія газів на вході в щабель
|
I'
|
Те саме
|
кДж/кг
|
10197
|
|
Температура газів на виході із ступені
|
По
вибору°С500
|
|
|
|
|
Ентальпія газів на виході із ступені
|
І"
|
По І -таблицекДж/кг7835
|
|
|
Теплосприймання ступені (теплота, вітданная
газами) Qг
кДж/кг0,988 (10197-
-7835+0,03 ×
|
×296) = 1542
|
|
|
|
|
Питома ентальпія води на виході із ступені
|
і"
|
кДж/кг
|
|
|
|
Температура води на виході із ступені
|
t"
|
По табл. VI-6
|
°С
|
228
|
|
Питома ентальпія води на вході в ступінь
|
i'
|
кДж/кг
|
|
|
|
Температура води на вході в ступінь
|
t'
|
По табл. VI-6
|
°С
|
157
|
|
Середня температура води
|
t
|
0,5 (t' + t")
|
°С
|
0,5 (157 + 228) = 192,5
|
|
Швидкість води в трубах
|
ω
|
м/с
|
|
|
|
Середня температура газів
|
0,5 °С0,5
(614+ 500) = 557
|
|
|
|
|
Середня швидкість газів
|
ωг
|
м/с
|
|
|
|
Коефіцієнт тепловіддачі конвекцією
|
αK
|
По рис. 6-4 (αK =
=
αН СzСsСф)
|
Вт/(м2·К)
|
82,6 · 0,96 · 0,98 = 78
|
|
Ефективна товщина випромінюючого шару
|
s
|
м
|
|
|
|
Сумарна поглинальна здатність триатомних газів
|
prns
|
prns
|
м· МПа
|
0,1 · 0,183 · 0,16 = 0,0029
|
|
Коефіцієнт ослаблення променів триатомними
газами
|
kГ
|
По мал. 5-5
|
1/(м МПа)
|
3,6
|
|
Коефіцієнт ослаблення променів золовими
частками
|
kзл
|
По мал. 5-6
|
1/(м МПа)
|
0,0087
|
|
Сумарна оптична товщина запиленого газового
потоку
|
kps
|
(kГrn + kзлμзл)
ps
|
-
|
(3,6 ·0,183+0,0088× ×17,4) · 0,16 ·
0,1 = = 0,116
|
|
Щабель чорності газів Температура забрудненої
стінки труби
|
a tст
|
По мал. 5-4 t ср + Δt
|
°С
|
0,116 167,5 + 60 = 227,5
|
|
Коефіцієнт тепловіддачі випромінюванням
|
αл
|
По мал. 6-11 (αл = =
αн
а)
|
Вт/(м2 · К)
|
61 · 0,116 = 7
|
|
Температура в обсязі камери перед ступенем
|
З
розрахунку перегрівника°С614
|
|
|
|
|
Коефіцієнт
|
А
|
-
|
0,4
|
|
Глибина по ходу газів: ступені
|
lп
|
По конструктивним розмірам
|
м
|
1,9
|
|
об’єму перед ступеню
|
lоб
|
Те саме
|
м
|
1,8
|
|
Коефіцієнт тепловіддачі випромінюванням з
урахуванням випромінювання газового обсягу перед ступенем
|
α'1
|
Вт/(м2
К)
|
|
|
|
Коефіцієнт тепловіддачі від газів до стінки
|
α1
|
ξ(αк + α'л)
|
Вт/(м2 К)
|
1 (78 + 9,8) = 87,8
|
|
Виправлення до коефіцієнта забруднення
|
Δε
|
По табл. 6-1
|
м2 К/Вт
|
0,0043
|
|
Коефіцієнт забруднення
|
ε
|
По формулі (6-8)
|
м2· К/Вт
|
0,0034 · 0,8 · 1 + 0,0043 = 0,007
|
|
Коефіцієнт теплопередачі
|
k
|
Вт/(м2
К)
|
|
|
|
Різниця температур між середовищами:
|
|
|
|
|
|
найбільша
|
Δtб
|
°С614- 228
= 386
|
|
|
|
найменша
|
Δtм
|
°С500-157
= 343
|
|
|
|
Відношення
|
Δtб/
Δtм
|
Δtб/
Δtм
|
-
|
386/343= 1,12 < 1,7
|
|
Температурний напір
|
Δt
|
0,5 (Δtб+Δtм)
|
oС
|
0,5 (386 + 343) = 423
|
|
Теплосприймання щабля по рівнянню теплообміну
|
Qт
|
кДж/кг
|
|
|
|
Розбіжність розрахункових теплосприймань
|
ΔQ
|
%
|
|
|
|
Температура газів на виході із ступеня
|
"По
вибору°С506
|
|
|
|
|
Ентальпія газів на виході із ступеня
|
1"
|
По І -таблицекДж/кг7190
|
|
|
|
Теплосприймання ступеня (теплота, віддана
газами)
|
QГ
|
кДж/кг0,986(8669
- 7190 + + 0,03 · 243)= 1457
|
|
|
|
Питома ентальпія води на вході в ступінь
|
i'
|
кДж/кг
|
|
|
|
Температура води на вході в ступінь
|
t'
|
По табл. VI-6
|
°С
|
151
|
|
Різниця температур між середовищами:
|
|
|
|
|
|
найбільша
|
Δtб
|
°С614-228
= 386
|
|
|
|
найменша
|
Δtм
|
°С506-157
= 349
|
|
|
|
Температурний напір
|
Δt
|
0,5 (Δtб+Δtм)
|
°С
|
0,5 (389 + 349) = 368
|
|
Теплосприймання щабля по рівнянню теплообміну
|
Qт
|
кДж/кг
|
|
|
|
Розбіжність розрахункових теплосприймань
|
ΔQ
|
%
|
|
|
|
1 Отримана
розбіжність теплосприймань вище припустимого. Для перерахування (друге
наближення) попередньо приймаємо інше значення температури газів на виході із
ступеня й повторюємо розрахунок. Якщо при повторному розрахунку температура
газів буде відрізнятися від спочатку прийнятої не більше ніж на 50°С, то
коефіцієнт теплопередачі перераховувати не потрібно. 2 Отримана
розбіжність теплосприймань менше припустимого; тому перевірочний розрахунок
ступеня вважаємо закінченим.
|
16. Перевірочний
розрахунок першого ступеня повітронагрівача
Таблиця 16
Перевірочний
розрахунок першого ступеня повітронагрівача
|
Величина
|
Одиниця
|
Розрахунок
|
|
Найменування
|
Позначення
|
Розрахункова формула або спосіб визначення
|
|
|
|
Діаметр і товщина стінки труб
|
d × s
|
По конструктивних розмірах
|
мм
|
40 × 1,5
|
|
Відносний крок труб:
|
|
|
|
|
|
поперечний
|
s1/d
|
Те саме
|
__
|
1,4
|
|
поздовжній
|
s2/d
|
»
|
__
|
1,1
|
|
Кількість рядів труб
|
z2
|
»
|
шт.
|
34
|
|
Кількість ходів по повітрю
|
n
|
»
|
__
|
2
|
|
Площа живого перетину для проходу газів
|
Fг
|
»
|
м2
|
2,4
|
|
Те ж, для проходу повітря
|
Fв
|
»
|
м2
|
2,1
|
|
Площа поверхні
|
H
|
»
|
м2
|
1000
|
|
Температура газів на виході із ступеня
|
"По
завданню ( " = ух)°С150
|
|
|
|
|
Ентальпія газів на виході із ступеня
|
І"
|
По І - таблицекДж/кг2175
|
|
|
|
Температура повітря на вході в ступеня
|
t'
|
По вибору
|
°С
|
25
|
|
Ентальпія теоретичної кількості холодного
повітря
|
По І -
таблицекДж/кг239
|
|
|
|
|
Температура повітря на виході із ступеня
|
t"
|
По вибору
|
°С
|
160
|
|
Энтальпія теоретичної кількості повітря на
виході із ступеня
|
I0'
|
По І -таблицекДж/кг1550
|
|
|
|
Відношення
|
αт-Δαт-Δαплу-ΔαІ-1,25-0,1
-0,1 + + 0,03 = 1,08
|
|
|
|
|
Теплосприймання ступеня
|
Q
|
кДж/кг
|
|
|
|
Середня температура повітря в ступені
|
t
|
0,5 (t' - t")
|
°С
|
0,5 (25 + 160) = 92,5
|
|
Ентальпія теоретичної кількості повітря
присосів при середній температурі
|
По І -таблицекДж/кг922
|
|
|
|
|
Ентальпія газів на вході в ступінь
|
I'
|
кДж/кг
|
|
|
|
Температура газів на вході в ступінь
|
'По І -таблице°С250
|
|
|
|
|
Середня температура газів
|
0,5 ( '+ ")оС0,5
(250 + 150) = 200
|
|
|
|
|
Середня швидкість газів
|
ωГ
|
м/с
|
|
|
|
Коефіцієнт тепловіддачі від газів до стінки
|
α1
|
По рис- 6-6 α1 =
СфСlαн
|
Вт/(м2 · К)
|
1,1 · 1 · 32,5 = 36
|
|
Середня швидкість повітря
|
ωП
|
м/с
|
|
|
|
Коефіцієнт тепловіддачі з повітряної сторони
|
α2
|
По мал. 6-4 (α2 =
αН СzСsСф)
|
Вт/(м2 · К)
|
64 · 1 · 0,98 · 0,95 = 59,8
|
|
Коефіцієнт використання поверхні нагрівання
|
ξ
|
По табл. 6-3
|
|
0,7
|
|
Коефіцієнт теплопередачі
|
k
|
Вт/ (м2
К)
|
|
|
|
Різниця температур між середовищами:
|
|
|
|
|
|
найбільша
|
Δtб
|
°С150 - 25
= 125
|
|
|
|
найменша
|
Δtм
|
oС250-160
= 90
|
|
|
|
Відношення
|
Δtб/
Δtм
|
Δtб/
Δtм
|
-
|
125/90 = 1,39 < 1,7
|
|
Температурний напір при протитоці
|
Δtпрт
|
0,5 (Δtб+Δtм)
|
оС
|
0,5(125 + 90)=107,5
|
|
Перепад температур:
|
|
|
|
|
|
найбільший
|
τб
|
t" - t'
|
оС
|
160-25 = 135
|
|
найменший
|
τм
|
оС250
- 150 = 100
|
|
|
|
Параметр
|
Р
|
-
|
|
|
|
те саме
|
R
|
τб
/τм
|
-
|
|
|
Коефіцієнт
|
ψ
|
По рис. 6-16
|
-
|
0,98
|
|
Температурний перепад
|
Δt
|
ψ Δtпрт
|
°С
|
0,98 · 107,5 = 105
|
|
Теплосприймання ступеня по рівнянню
теплообміну
|
Q
|
кДж/кг
|
|
|
|
Розбіжність розрахункових тепловосприятлий
|
ΔQ
|
%
|
|
|
17. Перевірочний
розрахунок другого ступеня повітронагрівача
Таблиця
17
Перевірочний
розрахунок другого ступеня повітронагрівача
|
Величина
|
Одиниця
|
Розрахунок
|
|
Найменування
|
Позначення
|
Розрахункова формула або спосіб визначення
|
|
|
|
Діаметр труб
|
d
|
По конструктивних розмірах
|
мм
|
40 × 1,5
|
|
Відносний крок: поперечний
|
s1/d
|
Те саме
|
-
|
1,4
|
|
поздовжній
|
s2/d
|
»
|
-
|
1,1
|
|
Кількість рядів труб
|
z2
|
»
|
шт.
|
34
|
|
Кількість ходів по повітрю
|
n
|
»
|
-
|
2
|
|
Площа живого перетину для проходу газів
|
Fг
|
»
|
м2
|
2,4
|
|
Те ж, для проходу повітря
|
Fв
|
»
|
м2
|
2,1
|
|
Площа поверхні нагріву
|
H
|
»
|
м2
|
1000
|
|
Температура газів на вході в ступень
|
З
розрахунку другого ступеня економайзера°С506
|
|
|
|
|
Ентальпія газів на вході в ступінь
|
І'
|
Те саме
|
кДж/кг
|
7190
|
|
Температура повітря на виході із ступеня
|
t"
|
По вибору
|
оС
|
380
|
|
Ентальпія повітря на виході із ступеня
|
По І -таблицікДж/кг3675
|
|
|
|
|
Відношення кількості повітря на виході із
ступеня до теоретично необхідного
|
β"
|
αт -
Δαт - Δαплу
|
-
|
1,25-0,1 -0,1 = 1,05
|
|
Температура повітря на вході в ступінь
|
t'
|
З розрахунку першої ступені повітронагрівача
|
°С
|
160
|
|
Ентальпія повітря на вході в ступені
|
По І -таблицікДж/кг1550
|
|
|
|
|
Теплосприймання ступеня
|
Q
|
кДж/кг
|
|
|
|
Середня температура повітря
|
t
|
0,5 (t' - t")
|
оС
|
0,5 (160 + 380)= 270
|
|
Ентальпія повітря при середній температурі
|
По І -таблицікДж/кг2590
|
|
|
|
|
Ентальпія газів на виході із ступеня
|
І"
|
кДж/кг
|
|
|
|
Температура газів на виході із ступеня
|
По І -таблиціоС345
|
|
|
|
|
Середня температура газів
|
0,5 ( '+ ")°С0,5
(506 + 345) = 425
|
|
|
|
|
Середня швидкість газів
|
ωГ
|
м/с
|
|
|
|
Коефіцієнт тепловіддачі з газової сторони
|
α1
|
Вт/(м2 К)
|
0,92 ·1.39,5 = 36,5
|
|
Середня швидкість повітря
|
ωП
|
м/с5
|
|
|
|
Коефіцієнт тепловіддачі з повітряної сторони
|
α2
|
По мал. 6-4 (α2 =
αН СzСsСф)
|
Вт/(м2 К)
|
1 · 0,98 · 0,86 · 76,8 = 64,7
|
|
Коефіцієнт використання поверхні нагрівання
|
ξвп
|
По табл. 6-3
|
_
|
0,7
|
|
Коефіцієнт теплопередачі
|
k
|
Вт/ (м2
К)
|
|
|
|
Різниця температур між середовищами:
|
|
|
|
|
|
найбільша
|
Δtб
|
°С345 -
160= 185
|
|
|
|
найменша
|
Δtм
|
°С506 -
380 = 126
|
|
|
|
Середній температурний напір при протитоці
|
Δtпрт
|
0,5 (Δtб +
Δtм)
|
°С
|
0,5 (185 + 126) = 155,5
|
|
Перепад температур:
|
|
|
|
|
|
найбільший
|
τб
|
t" - t'
|
°С
|
380-160 = 220
|
|
найменший
|
τм
|
°С506 -
345= 161
|
|
|
|
Параметр
|
Р
|
-506-170
=336
|
|
|
|
Те саме
|
R
|

|
|
|
|
Коефіцієнт
|
ψ
|
По рис. 6-16
|
-
|
0,96
|
|
Температурний перепад
|
Δt
|
ψ Δtпрт
|
°С
|
0,96 · 155,5 = 149
|
|
Теплосприймання по рівнянню теплообміну
|
Q
|
кДж/кг
|
|
|
|
Розбіжність розрахункових тепловосприятий
|
ΔQ
|
%
|
|
|
|
Температура повітря на виході із ступеня
|
t"
|
По вибору
|
°С
|
370
|
|
Ентальпія повітря на виході із ступеня
|
По І -таблицікДж/кг3580
|
|
|
|
|
Теплосприймання ступеня
|
Q
|
кДж/кг
|
|
|
|
Середня температура повітря
|
t
|
0,5 (t" + t')
|
оС
|
0,5 (160+ 370) = 265
|
|
Середня температура повітря
|
По І -таблицікДж/кг2590
|
|
|
|
|
Ентальпія газів на виході із ступеня
|
І"
|
кДж/кг
|
|
|
|
Температура газів на виході із ступеня
|
По І -
таблиці°С349
|
|
|
|
|
Різниця температур між середовищами: найбільша
|
Δtб
|
°С349 -
160 = 189
|
|
|
|
найменша
|
Δtм
|
°С506 -
380 = 136
|
|
|
|
Середній температурний напір при протитоці
|
Δtпрт
|
0,5 (Δtб+Δtм)
|
°С
|
0,5(189+ 136)= 163
|
|
Температурний перепад
|
Δt
|
ψ Δtпрт
|
°С
|
0,96·163= 157
|
|
Тепловосприйняття ступеня по рівнянню
теплообміну
|
Q
|
кДж/кг
|
|
|
|
Розбіжність розрахункових тепловосприятий
|
ΔQ
|
%
|
|
|
|
1 Отримана
розбіжність теплосприймань вище припустимого. Отже, існуючий повітронагрівач
не може забезпечити нагрівання повітря до прийнятого на початку розрахунку
значення 380° С. Тому, вибравши нове значення температури гарячого повітря,
повторюємо розрахунок 2 Отримана температура відрізняється від
температури газів при першому розрахунку (345 С) менш чим на 50° С, тому
коефіцієнт теплопередачі перераховувати не потрібно, 3 Розрахунок
повітропідігрівника вважаємо закінченим. Оскільки розрахункова температура
гарячого повітря на виході із щабля tГ.B = 370° С відрізняється
від прийнятої на початку розрахунку менш чим на ± 40° С, уточнювати
розрахунок теплообміну в топці й площі поверхнева нагрівання топки не
потрібно.
|
18. Конструктивний
розрахунок першого ступеня економайзера
Таблиця 18
Конструктивний
розрахунок першого ступеня економайзера
|
Величина
|
Одиниця
|
Розрахунок
|
|
Найменування
|
Позначення
|
Розрахункова формула або спосіб визначення
|
|
|
|
Температура газів на вході в ступінь
|
З
розрахунку другого ступеня повітронагрівача°С506
|
|
|
|
|
Ентальпія газів на вході в ступінь
|
І'
|
То же
|
кДж/кг
|
5066
|
|
Температура газів на виході із ступеня
|
З
розрахунку першого ступеня повітропідігрівника°С150
|
|
|
|
|
Ентальпія газів на виході із ступеня
|
І"
|
То же
|
кДж/кг
|
2175
|
|
Кількість теплоти, віддане газами
|
QГ
|
кДж/кг0,986
(5066 - 2175 + +0,03 ·239) = 2857
|
|
|
19. Розрахунок нев’язання
теплового балансу парогенератора
Таблиця
19
Розрахунок нев'язання теплового
балансу парогенератора
|
Величина
|
Одиниця
|
Розрахунок
|
|
Найменування
|
Позначення
|
Розрахункова формула або спосіб визначення
|
|
|
|
Розрахункова температура гарячого повітря
|
tг.в
|
З розрахунку повітропідігрівника
|
оС
|
370
|
|
Ентальпія гарячого повітря при розрахунковій
температурі
|
Те
самекДж/кг3580
|
|
|
|
|
Кількість теплоти, внесене в топлення повітрям
|
Qв
|
кДж/кг(1,25
- 0,1 - 0,1)+ +3580 + (0,1 + 0,1)× ×238 = 3760
|
|
|
|
Корисне тепловиділення в топці
|
Qт
|
кДж/кг
|
|
|
|
Променисте теплосприймання топки
|
 кДж/кг0,986 (32753 -14 304) =
18191
|
|
|
|
Розрахункове
нев'язання теплового балансу ΔQ
кДж/кг29616·
0,873 -(18191 + 909 + 1348 + 3416 + 1457+1460)
|
=92,7
|
|
|
|
|
Нев’язка
|
-
|
%
|
|
|
Література
1. Тепловий
розрахунок котлів (нормативний метод). М.: НПО ЦКТІ 1998. 297 с.
2. Липов
Ю.М., Самойлов Ю.Ф., Віленський Т.В. Компоновка і тепловий розрахунок парового котла.
М.: Вища школа, 1988. 208 с.
. Ковальов
О.П., Лелеев Н.С., Віленський Т.В. Парогенератори: Підручник для вузів - М.:
Вища школа, 1985. 376 с.
. Кудінов
А.О. Короткий курс теорії горіння органічних палив. Самара: CамГТУ, 2004. 108
с.