|
Продукция
|
Выработка, т
|
Число рабочих суток в году
|
|
в час
|
в сутки
|
в год
|
|
|
Мыло хозяйственное
|
0,5
|
10
|
3550
|
|
|
Итого
|
-
|
-
|
-
|
355
|
|
Резерв времени
|
-
|
-
|
-
|
10
|
|
Всего
|
-
|
-
|
3550
|
365
|
Рабочий день 16 часов в две восьмичасовые смены.
Для расчетов принята непрерывная рабочая неделя. Число
рабочих суток 355 дней в году. Раз в неделю происходит очистка оборудования.
3.
Оборудование для приготовления маргарина
Вертикальная емкость (рис. 2)
предназначена для приемки и хранения молока на маргариновых заводах. Состоит из
патрубка 1 для наполнения молоком, мотор-редуктора и вертикального вала 2,
внутреннего резервуара 3, водяной охлаждающей рубашки 4, термоизоляции 5,
мешалки 6, упорного подшипника 7, крана для слива молока 8, опор 9, крана
охлаждающей воды 10 и патрубка для слива молока 11.
Рис. 2 - Вертикальная емкость для хранения молока
Техническая характеристика вертикальной
емкости для молока
Вместимость, л....................... 2000
(6000; 10000)
Частота вращения мешалки, мин-1
......... 29
Мощность электродвигателя, кВт........... 1,0
Пластинчатый пастеризатор молока служит
для уничтожения микроорганизмов с помощью нагрева молока, его устанавливают в
схеме подготовки молока к производству маргарина (рис. 3). Состоит из секций
регенерации 3, пастеризации 4, водного охладителя 5 и рассольного охладителя 6.
Работа пастеризатора происходит следующим
образом. Молоко поступает в уравнительный бак 10, откуда насосом 12 подается в
секцию регенерации 3, в которой нагревается до температуры 61…62°С. Регулятор
11 обеспечивает постоянство потока холодного молока. Подогретое и
регенерированное молоко направляется в центробежный сепаратор-очиститель 9,
конструкция которого аналогична конструкции сепаратора, изображенного на рис.
60. После очистки от механических загрязнений молоко возвращается из очистителя
в секцию пастеризации 4 и здесь нагревается горячей водой до температуры 74°С.
Рис. 3 - Схема подготовки молока
Техническая характеристика пластинчатого
пастеризатора молока
Производительность, л/ч....................... 3000
Расход пара, кг/ч............................ ,....... 350
Расход артезианской воды, м3/ч................ 9
Расход рассола, м3/ч.................................. 9
Площадь поверхности теплообмена секций, м2:
пастеризации............................................ 4,5
охлаждения холодной водой................. 2,65
охлаждения рассолом............................ 2,65
Габаритные размеры, мм........ 1600x1650x2200
Из секции пастеризации молоко поступает в
выдерживатель 8, из которого возвращается в секцию регенерации, где охлаждается
холодным молоком до температуры 20°С. Из секции регенерации молоко
последовательно проходит секции водяного и рассольного охлаждения. При
рассольном охлаждении молоко выходит температурой 4°С.
Горячая вода из бойлера 2 подается в
секцию пастеризации насосом 7. Установка работает автоматически. В начале
работы недогретое молоко возвращается в бак 10 через автоматический клапан 7.
Ванна для сквашивания молока (рис. 4)
предназначена для проведения биохимического процесса с помощью молочнокислых
бактерий (закваски). В молоке происходит сбраживание молочного сахара с
превращением его в молочную и другие органические кислоты. При этом молоко
свертывается, образуя однородную вязкую массу.
Ванна представляет собой овальный
корытообразный резервуар 1 с прямыми торцевыми стенками, имеющими пароводяную
рубашку 2. Внутри ванны помещена плоская трубчатая пустотелая мешалка 9,
совершающая маятниковое движение, которое она получает от электродвигателя 13 через
приводной механизм 7.
Температуру молока в ванне поддерживают
при помощи воды, рассола и пара, подаваемых в пароводяную рубашку. Пропуская
через рубашку проточную охлаждающую воду, снижают температуру молока до 20…
30°С. Если молоко нужно охладить до 6… 8°С, то через трубы мешалки пропускают
охлаждающий рассол, который поступает через парубок 77 и возвращается в
холодильную установку через патрубок 8.
Для нагревания острый водяной пар пускают
через дырчатый змеевик 6, уложенный по дну рубашки. Пар нагревает воду, а она,
в свою очередь, нагревает молоко. Сквашенное молоко спускают из ванны через
кран 3.
Ванна имеет шатровую крышку 10, которая
поднимается и опускается при помощи механизма вращения рукоятки 12. Для спуска
воды из рубашки служит патрубок 4. Ванну устанавливают на фундамент при помощи
стоек 5.
Техническая характеристика ванны для
сквашивания молока
Вместимость, л......................... 800
(1500; 2000)
Частота колебаний мешалки, мин-1
........ 12
Мощность электродвигателя, кВт........... 1,0
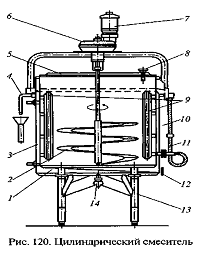
Цилиндрический смеситель служит для
тщательного перемешивания компонентов маргариновой эмульсии и обеспечения
стабильного температурного режима перемешивания.
Техническая характеристика цилиндрического
смесителя
Вместимость, л....................................... 2380
Частота вращения мешалки, мин-1
......... 60
Габаритные размеры (длинахвысота), мм 1250x2025
Рис. 4 - Ванна для сквашивания молока
Корпус 10 цилиндрического смесителя (рис.
5) цилиндрической формы установлен на четыре опоры 13, его дно 7 имеет уклон к
спускному патрубку 12. Верхняя плоская крышка 5 открывается с двух
противоположных сторон. В крышке находится патрон 8 для термостата. Внутри
смесителя смонтированы винтовая мешалка 2 и вертикальные отбойные планки 9,
обеспечивающие хорошее перемешивание. Мешалка приводится в движение электродвигателем
7через редуктор 6, который установлен на специальной траверсе, помещенной над
крышкой аппарата.
Смеситель снабжен пароводяной рубашкой 3,
благодаря чему температура эмульсии поддерживается на определенном уровне. Вода
в рубашку поступает по патрубку 14, а из рубашки переливается через патрубок 4.
Готовая эмульсия сливается через патрубок 12. Уровень в аппарате контролируется
датчиком 11.
Все части смесителя, соприкасающиеся с
компонентами, выполнены из нержавеющей стали.
Рис. 5 - Цилиндрический смеситель
Овальный смеситель (рис. 6) имеет то же
назначение, что и цилиндрический. Он выполнен в виде овального корпуса 7 с
плотно закрытой крышкой 11. Для обогрева и охлаждения смесителя служит
пароводяная рубашка 2, в которую (в зависимости от условий) пускают через
патрубок 3 острый водяной пар или через трубу 6 холодную зоду.
Внутри корпуса помещены под углом 90° друг
к другу две многополостные мешалки 5, приводимые в движение от помещенного на
траверсе 10 электродвигателя 9 через редуктор 8.
Сливки и жировую смесь подают в смеситель
через патрубки со стеклянными фонарями 7. Полученную эмульсию выводят через
патрубок, расположенный в самой низкой точке наклонного днища аппарата 4.
Техническая характеристика овального
смесителя
Рабочая вместимость, л.........................
1500
Частота вращения мешалок, мин"1
... 70…80
Мощность электродвигателя, кВт…....... 1,5
Рис. 6 - Овальный смеситель
4.
Технологический расчет
Расчет
цикла работы смесителя периодического действия.
Цикл работы аппарата называется оборотом. Время полного
оборота складывается из затрат времени на продолжительность операции.
Время оборота (цикла) для вертикального цилиндрического
смесителя будет складываться следующим образом. [5,с.462]
Операция Время, мин
. Заполнение…………………………………………………………15
. Перемешивание……………………………………………………15
.Опорожнение……………………………………………………….20
Таким образом, время полного оборота для смесителя
периодического действия составляет:
tц=t заг+t см +t выгр,где
tц - время полного оборота (цикла)смесителя, мин.;
t заг,t см,t выгр - время
одной операции, соответственно, мин.
tц = 15+15+20 = 50 мин.
tц = 50 мин.
tц = 50 мин. = 0,8 ч
Расчет
массы загружаемого сырья
Массу загружаемого сырья мы рассчитываем из формулы расчета
объёма аппарата.
,
где Vапп - обьем аппарата; Vапп=1,2 м3 (по
условию задания);
ρ- плотность загружаемого
сырья, (табличная величина); плотность сливочного масла ρ = 928 кг/м3 [5, с.467].
φ - коэффициент заполнения
аппарата сырьем, который определяется опытным путем. Для основной
технологической аппаратуры (смесителя)
φ = 0,7-0,8. Принимаем что
φ=0,8.[5, с.462]
m=V*ρ*φ = 1,2*928*0,8 = 890,88 кг.
Таким образом, масса загружаемого сырья смесителя периодического
действия составляет 890,88кг.
Расчет
производительности смесителя периодического действия
При продолжительности полного
цикла работы аппарата τц = 0,83 ч, массе загружаемого сырья m
= 890,88 кг,производительность (кг/ч) определяют по формуле:
где m - масса загружаемого сырья = 890,88 кг;
время загрузки в смеситель, t заг = 0,25 ч;
время смешивания, t см = 0,25 ч;
время выгрузки из смесителя, t выгр = 0,33
ч.
кг/ч
Таким образом, производительность смесителя периодического
действия составляет
кг/ч.
Конструктивный
расчет
Под конструктивным расчетом понимается расчет основных
конструктивных размеров машин и аппаратов (высоты и диаметра или ширины и
высоты).
В начале конструктивного расчета определяем объем аппарата (м3)
исходя из его загрузки по формуле; в нашем случае обьем аппарата дан в задании
на курсовой проект Vапп = 1,2м3.
Расчет
конструктивных размеров смесителя
Следующим этапом конструктивного расчета будет определение
геометрического объема аппарата (м3) по формуле:
Vгеом. апп = Vц.+ Vу. ц.
где Vц. - объем цилиндра;
Vу. ц. - объем усеченного цилиндра.
Приравниваем геометрический оббьем аппарата Vгеом. апп. к обьему аппарата исходя
из его загрузки Vапп., т.к. они должны быть равными:
Подставим в равенство расчетные формулы для нахождения обьема
аппарата и формулу(1), для нахождения геометрического обьема аппарата.
Получим:
(2)
где α - угол наклона днища
цилиндра; α должен быть в радиусе 3
5◦,принимаем α=5◦
, α - угол наклона, α = 5ºC (по условию задания)
Так как в уравнении 2 содержится 3 неизвестных оно не
решается. Поэтому мы выразим два неизвестных через третий. Для этого примем
следующие соотношения:
hц. = 1,2D (3)
hу.ц = 0,15D (4)
Подставим значение в уравнение:
|×4
|×2
,4πD3+0,15πD3=9,6
,55πD3=9,6
,55·3,14D3=9,6
D3=9,6
D3=1,2
=1,06
Примем D= 1,06м.
Из соотношения 3, находим высоту цилиндрической части
аппрата:
hц. = 1,2D =
1,2×1,06 = 1,272 м.
Из соотношения 4, находим высоту усеченной цилиндрической
части аппрата:
hу.ц = 0,15D =
0,15×1,06 = 0,159 м.
Общая высота аппарата: hц.+ hу.ц=1,272+0,159 = 1,431 м.
Расчет
конструктивных размеров тепловой «рубашки» смесителя
«Рубашечная» поверхность теплопередачи
Вначале рассчитывается высота «рубашечной» поверхности
нагрева из уравнения равенства поверхности теплообмена, найденной из теплового
расчета, к геометрической поверхности «рубашечной» поверхности.
где F - поверхность теплообмена, найденная из теплового расчета, м2;
Fгеом.руб. - геометрическая поверхность «рубашки», м2.
Поскольку «рубашка» охватывает не только боковую поверхность
аппарата, но и его днище, то формула примет вид:
(5)
где hр - высота «рубашки», м.
из формулы (5) выражаем высоту «рубашки»:
5.
Тепловой расчет
Расчет
расхода воды на нагрев эмульсии
Расчет расхода теплоносителя (воды) определяется из уравнения
теплового баланса составляемого для данного теплового процесса.
(6)
Приходную часть данного уравнения (6) можно записать в
следующем виде:
Qприхода= Q1продукта+ Q2воды+ Q3мет.апп. (7)
Q1продукта - тепло, приходящее с продуктом, Дж;
Q2воды - тепло, приходящее с водой, Дж;
Q3мет.апп. - тепло, приходящее с металлом аппарата,
Дж.
,
где
кДж/кг.
,
где
W-расход объема воды; кг
С1воды - теплоемкость воды при t1воды;
Дж/кг∙К.
температуры воды на входе в аппарат, С.
,
где
Дж/кг
К.
,
.
Подставим значения
в уравнение и получим:
Расходную часть уравнения (6) можно представить в следующем
виде:
Qрасхода = Q4+ Q5 + Q6 (8)
где
Q4 - тепло, уходящее с нагретой эмульсией, Дж;
Q5 - тепло, уходящее с водой, Дж;
Q6 - тепло, уходящее с нагретым металлом аппарата,
Дж.
,
где
кДж/кг.
,
где
W-расход объема воды; кг
с2воды - теплоемкость воды приt2воды;Дж/кг∙К.
температуры воды на выходе из аппарата, кг.
,
где
Дж/кг
К.
,
.
Подставим значения
в уравнение и получим:
, где
Полезное тепло (Дж) можно определить по следующей формуле:
Подставим значения
.
Подставив в общем виде в уравнение теплового баланса операции
нагрева растительного масла приходную и расходную части получим следующее
уравнение:
.
Расчетные данные:пр. = 890,88 кг; (см. пункт
3.1.2.)
(принимается)
,
[7, с.44];
,
кДж/кг [5,с.467]
;
[4, с.402];
t1воды = 80°С, t2воды = 50°С;
с1воды = 4,185 кДж/кг; с2воды = 4,18
кДж/кг.
Принимаем: W=150,58
где,
ч. [см. подраздел 3.1.1.]
Принимается: Wуд. = 602,32 кг/ч.
Определить количество полезного тепла проходящего через
поверхность теплопередачи можно по формуле:
Qполезное = Q4 - Q1
Qполезное = 890,88*0,39*40-890,88*0,6*20 =
13897,728-10690,56 = 3207,168
Принимаем: Qполезное = 3207,168
Расчет
площади поверхности нагрева тепловой «рубашки» смесителя
Поверхность нагрева или охлаждения рассчитывается из
основного уравнения теплопередачи, которое записывается следующим образом:
,
где Q - количество тепла, проходящего через поверхность
теплопередачи (определяется из уравнения теплового баланса без учета тепловых
потерь), Дж;
F - поверхность нагрева, м2;K - коэффициент
теплопередачи, Дж/м2∙град∙час; К=75 Дж/м2∙град∙час
[4, с.178];
Dtср - средняя разность
температур между продуктом и теплоагентом, град 0С;
τ - время операции нагрева, τ=0,5ч. (см. пункт 3.1.1.).
Расчетная схема к определению
По графику мы получили что:
∆tб=60°C; ∆tм=10°С.
где
- большая разность температур между тепло или
хладоносителем и продуктом на входе и выходе из аппарата;
- меньшая разность температур между
теплоносителем на выходе и входе из аппарата;
Найдем среднюю разность температур по формуле:
Подставим найденные значения в формулу:
Мы получили что: ∆tср =45,4°С
Решая уравнение относительно нагрева (м2) получим
формулу для ее определения:
Кинематический расчет
Электродвигатель с частотой вращения - 920 об/мин;
Частота вращения валов - 60 об/мин;
Мощность электродвигателя - 1,5 кВт
Расчет
общего передаточного отношения привода
Где
, об/мин.

Принимаем:
Расчет
передаточных отношений каждой передачи привода
Общее передаточное отношение складывается из произведения
передач приводов.
где
; примем
з
передачи.
Выразим
Принимаем:
=3
Расчет
кинематических элементов для каждой передачи привода
Кинематическим элементом зубчатой передачи является число
зубьев колеса.
Для первой передачи:
м колесе. Принимаем
[9,с 143];
Выразим
Для второй передачи:
м колесе.
Принимаем
[9,с.143];
Выразим
Принимаем:
6.
Расчет частоты вращения каждого вала кинематической схемы
Расчет частоты вращения вала первой передачи:
, об/мин.
Выразим
Расчет частоты вращения вала второй передачи:
, об/мин.
Выразим
Принимаем:
Гомогенизатор (рис. 7) предназначен для
диспергирования водно-жировой эмульсии с целью раздробления жировых включений
на более мелкие жировые частицы в результате интенсивного механического
воздействия на продукт. Состоит из станины 1, в которой находится поршневой
насос и гомогенизирующая головка 12. Насос приводится в движение от
электродвигателя 14 через горизонтальный вал 15, эксцентриковый вал 2, шатун 3
и поршень (скалка) 4.
Эмульсия поступает через подающий канал 5,
всасывающий клапан 6 и направляется в нагнетательный клапан 7, гомогенизирующую
головку 12 и выходит через выходной патрубок 8.
Работа гомогенизирующей головки происходит
следующим образом. При движении поршня 4 слева направо в цилиндре образуется
разрежение. Благодаря этому из подающего канала 5 через всасывающий клапан 6 в
цилиндр поступает подготовленная в смесителе грубая водно-жировая эмульсия.
При последующем движении справа налево
поршень выталкивает из цилиндра эмульсию через нагнетательный клапан 7 в
гомогенизирующую головку 12. Здесь эмульсия продавливается через образованный
вогнутым седлом и выпуклым золотником зазор, который составляет 0,5…0,8 мм.
Регулируют этот зазор при помощи штока 11 и опирающейся на него пружины 9.
Проворачивая маховичок 10 в ту или другую сторону в большей или меньшей
степени, прижимают золотник к седлу клапана, увеличивая \ или уменьшая зазор. С
уменьшением щели давление в гомогенизаторе повышается и соответственно
усиливается диспергирование эмульсии.
Рис. 7 - Гомогенизатор
Техническая характеристика гомогенизатора
Производительность, кг/ч ..................... ………4000
Давление в гомогенизирующей головке, МПа
2…2,5
Давление в гомогенизаторе контролируется
монометром. Если оно превышает заданное, срабатывает предохранительный клапан и
избыток эмульсии выводится из головки. Из гомогенизатора эмульсия отводится
через патрубок 8. Поршень и шток во избежание утечки эмульсии уплотняют при
помощи сальникового устройства 13.
Эмулъсатор служит для получения высокодисперсной эмульсии
маргарина так же, как и гомогенизатор. Состоит (рис. 8) из корпуса 7, крышки 3
с патрубками 4 для выхода эмульсии, двух подвижных дисков 2 и 8 и двух
неподвижных дисков 5 и 7, гайки 5, приводного вала 9, полумуфты 10 привода
электродвигателя, сальника 77 и входного патрубка 12.
Эмульсатор центробежного типа работает
следующим образом. Эмульсия через патрубок 12 поступает в пространство между
вращающимися 2, 8 и неподвижными 6, 7 дисками. За счет центробежных сил,
возникающих при вращении дисков, эмульсия под действием создаваемого напора
проходит в зазорах между дисками, где и подвергается интенсивному
диспергированию.
Рис. 8 - Эмульгатор
Техническая характеристика эмулъсатора
Производительность, кг/ч ................... До
5000
Частота вращения дисков, мин-1 .............. 1450
Зазор между дисками, мкм...................... 6…
15
Напор эмульсии, МПа............................... 0,05
Переохладитель (вотатор) предназначен для
охлаждения маргариновой эмульсии в тонком слое для проведения процесса
кристаллизации, т.е. постепенного перевода эмульсии из жидкого состояния в
твердое. Состоит (рис. 9) из станины 4, на которой установлены рабочие цилиндры
2, электродвигатель привода 3, редуктор 5 и аммиачная система 7. Рабочие цилиндры
изготовлены из углеродистой стали с хромированной внутренней поверхностью.
Нержавеющую сталь для изготовления цилиндров не применяют вследствие того, что
ее теплопроводность меньше, чем углеродистой стали. Корпус 8 рабочего цилиндра
имеет аммиачную рубашку 7 и крышку выхода эмульсии 6. Внутри цилиндра вращается
полый вал 9 за счет шестерен 11 редуктора 5 привода. На валу крепятся ножи 10.
Рис. 9 - Переохладитель (вотатор)
Работа переохладителя протекает следующим
образом. Маргариновая эмульсия температурой 35…40°С последовательно
прокачивается насосом высокого давления по всем цилиндрам переохладителя.
Рабочие цилиндры переохладителя
охлаждаются испаряющимся аммиаком температурой 17°С, который подается насосом
от аммиачной системы в испарительные рубашки 7 рабочих цилиндров 2, имеющих
разъемы. Нижняя часть рубашки имеет корыто для жидкого аммиака, который по
специальным каналам переходит в испарительные камеры, активно охлаждая рабочий
цилиндр.
Аммиак после охлаждения цилиндра отводится
в жидкостный отделитель по аммиачной системе машины. Поверхность наружной трубы
покрывается слоем теплоизоляции, защищенной снаружи кожухом из стального листа.
За счет охлаждения аммиаком происходит переохлаждение маргариновой эмульсии и,
как следствие, начинается процесс ее кристаллизации.
В рабочем состоянии под действием
центробежной силы, развиваемой при вращении вала, лезвие ножа плотно прилегает
к внутренней поверхности цилиндра и равномерно снимает с нее охлажденную
эмульсию. Для предотвращения прилипания маргариновой эмульсии к валу в него по
внутренней трубке вводят горячую воду температурой 36…40°С. Охлажденная вода из
внутренней полости вала отводится через специальное устройство. Заканчивается
вал шлицевой частью для соединения его с шестернями 11 редуктора 5 привода
переохладителя.
Техническая характеристика переохладителя
Производительность, кг/ч ............ 2500…6000
Частота вращения ножей, мин"1
..... 500…700
Время пребывания маргариновой эмульсии, с
14… 16
Мощность электродвигателя привода валов,
кВт 22…93
Кристаллизатор (рис. 10) предназначен для
окончательного формирования структуры маргарина, в результате чего он
приобретает необходимую консистенцию. Представляет собой горизонтальный
аппарат, состоящий из трех секций 2. При входе маргарина в секции кристаллизатора
установлен фильтр-гомогенизатор 1, служащий для улавливания механических
примесей и дополнительной обработки маргариновой эмульсии.
Три секции аппарата имеют обогреваемую
рубашку, где циркулирует вода температурой 24… 30°С. Температура маргарина на
выходе кристаллизатора должна быть 10… 12°С. На входном конце кристаллизатора
имеется компенсирующее устройство (на рис. 10 не показано) для поддержания в
системе постоянного давления.
Кристаллизатор выполнен из нержавеющей
стали, устанавливают его на передвижной опоре 3.
Рис. 10 - Кристаллизатор
Декристаллизатор (рис. 11) состоит из трех
горизонтальных цилиндров 2, смонтированных на опорной раме 6. Внутри корпуса
цилиндра 2 крепится неподвижно била 3, на валу 7 внутри цилиндра укреплена била
8. Между билами маргариновая продукция тщательно перемешивается. Продукт,
поступающий через патрубок 4, последовательно проходит три цилиндра,
соединенных патрубками 1. Валы приводятся в движение приводом 5.
Интенсивная механическая обработка
переохлажденной маргариновой эмульсии способствует равномерному повышению
температуры во всем ее объеме, что, в свою очередь, приводит к частичной
декристаллизации ее структуры. Такая обработка необходима при выработке
фасованного маргарина в крупную тару и наливного маргарина. Частичная
декристаллизация позволяет по лучить продукт, обладающий хорошей подвижностью,
однородной консистенцией и высокой пластичностью.
Рис. 11 - Декристаллизатор
Техническая характеристика
декристаллизатора
Производительность, кг/ч ............ 2500…6000
Частота вращения валов, мин"1
...... 100…300
Автомат для фасовки и упаковки в пачки
(рис. 12) предназначен для фасовки и завертки твердого маргарина и кулинарных
жиров отечественного и зарубежного производства. Аппараты выпускают роторного
типа с горизонтальной или вертикальной осью вращения ротора. На рис.
12изображен автомат с горизонтальной осью вращения ротора.
Рис. 12 - Автомат для фасовки и упаковки
маргарина в пачки
Автомат состоит из патрубка 5 для подачи
маргарина из кристаллизатора, корпуса 4, пульта управления 3, бобины 2,
переключателя 1, формовочной и оберточной секций; ротора с четырьмя камерами,
каждая из которых имеет поршень.
Принцип действия автомата заключается в
следующем. Упаковочный материал поступает на ротор из бобины 2 и проходит через
прижимной, компенсационный и направляющий валки. Затем при помощи регулируемых
секторов он перемещается между ножами, режется на нужную длину и поступает на
формующую матрицу, расположенную на роторе, под пуансон, посредством которого
упаковочному материалу (развертке) придают форму пачки.
После этого при помощи дозатора пачку
заполняют нужной порцией маргарина и заворачивают на механизме заделки. Далее
на механизме подпрессовки ей придают окончательную форму и направляют на
упаковку в короба и на обандероливание.
Техническая характеристика автомата для
фасовки и упаковки маргарина в пачки
Производительность, шт./мин..........
70…250
Масса пачки, г.................................. 200…250
Точность дозирования,% ..................... ±1,5
Автомат для фасовки в короба (рис. 13)
предназначен для взвешивания и фасовки маргарина, кулинарных жиров в крупную
тару. Состоит из двух циферблатных весов 2, распределительной панели 4, двух
электронных блоков /, двух электромагнитных клапанов 3 соленоидного типа, при
помощи которых автоматически производится заполнение маргарином короба,
установленного на пластинчатый конвейер 5. Весы снабжены пневматическим
держателем 6и маховиком 7ручной регулировки. Одним из основных узлов автомата
является разливочное устройство 8.
Рис. 13 - Автомат для фасовки в короба
Работа автомата происходит следующим
образом. Сформированные короба с вложенной пластиковой упаковкой поступают на
подающий ленточный конвейер, откуда с помощью специального устройства попадают
на пластинчатый конвейер, установленный на автоматических циферблатных весах 2.
В это время с помощью электромагнитного клапана 3 начинается фасовка продукта
через разливочное устройство 8. По завершении фасовки автоматические весы дают
команду на закрытие разливочного устройства и заполненные короба поступают на
отводящий конвейер для передачи их на автомат в целях закрытия и
обандероливания.
Техническая характеристика автомата для
фасовки в короба
Производительность, т/ч.................... 2,5
Масса фасованного продукта, кг 10; 15; 20
Точность дозирования, % ................ 1,5
Заключение
В данном курсовом проекте была изучена технология, а также
рассмотрено оборудование использующееся для производства маргарина.
В ходе курсового проекта был произведен технологический,
конструктивный, тепловой и кинематический расчеты, а также выполнены чертежи:
машино-аппаратурная схема производства маргарина и сборный чертеж смесителя.
В результате был спроектирован цех по производству
маргариновой продукции заданной мощности.
Список
литературы
.Машины
и аппараты пищевых производств. В 2 кн.: Учеб. для вузов/ С.Т. Антипов, И.Т.
Кретов, А.Н. Остриков и др.; Под ред. акад. РАСХН
В.А.
Панфилова. - М.: Высш. шк., 2001.
.
Технология переработки жиров. Арутюнян Н.С., Аришева Е.А., Янова Л. И.,
Захарова И.И., Меламуд Н.Л. - М.: Агропромиздат, 1985 - 368 с.
.Производство
маргариновой продукции./ Товбин И.М., Фаниев Г.Г., Гореславская В.Б. - М.:
Пищевая пром - сть, 1979 - 240 с.
.
Технология и оборудование масложировых предприятий. Учебник для нач. проф.
Образования / Юрий Аркадьевич Калошин. - М.: Издательский центр «
Академия»,2002. - 363 с.
.Товбин
И.М., Файнберг Е.Е. Технологическое проектирование жироперерабатывающих
предприятий. Расщепление жиров, М., пищевая промышленность. 1965. - 513с.
.
Чернилевский Д.В. Детали машин. Проектирование приводов технологического
оборудования, М., Машиностроение. 2002. - 560 с.
.
Молчанов И.В. Технологическое оборудование жироперерабатывающих производств,
М., Пищевая промышленность. 1965. - 510 с.
.
Товбин И.М., Фаниев Г.Г., Гореславская В.Б. Производство маргариновой
продукции. М.: Пищевая промышленность, 1979. -236 с.
.Г.
Н. Попов, Б. А. Иванов «Условные и графические обозначения в схемах»,
издательство «Машиностроение» Ленинград, 1976г.