RC-усилитель низкой частоты

  • Вид работы:
    Контрольная работа
  • Предмет:
    Информатика, ВТ, телекоммуникации
  • Язык:
    Русский
    ,
    Формат файла:
    MS Word
    70,93 Кб
  • Опубликовано:
    2014-08-17
Вы можете узнать стоимость помощи в написании студенческой работы.
Помощь в написании работы, которую точно примут!

RC-усилитель низкой частоты

 

 

 

 

 

 

 

 

 

 

 

 

 

 

Контрольная работа

по дисциплине «Электроника»

на тему : „ RC - усилитель низкой частоты”

Содержание

Задание

Введение

Краткие теоретические сведения

Анализ схемы усилителя

Электрический расчёт схемы

Графоаналитический расчёт

Расчёт мощности на резисторах

Расчёт емкостей конденсаторов

Расчёт АЧХ и ФЧХ

Заключение

Список используемой литературы

Приложение

Задание

Транзистор ГТ308В ; Ек = 9В; Uвых m ³ 3В; fн.гр=30Гц ;

схема 4, табл. 5.2 [4] ; Rн = 1кОм; Сн = 5 пФ Графоаналитический расчет ( режим класса А ); Sдоп =2.

Введение

В настоящее время трудно определить область техники, где бы не находили применение усилители электрических сигналов. Это объясняется несоответствием параметров электрических сигналов, получаемых при первичном преобразовании неэлектрических величин в электрические, параметрам, нужным для нормальной работы большинства исполнительных устройств.

Рассматриваемый в работе каскад предварительного усиления предназначен для усиления входного сигнала с минимальными нелинейными искажениями до величины, необходимой для обеспечения выделения на выходном каскаде заданной мощности. Для уменьшения нелинейности выбирается режим класса А, т.е. линейный участок входной характеристики транзистора.

Работа включает в себя основные теоретические сведения по данному вопросу, графоаналитический расчет, АЧХ и ФЧХ, а также принципиальную схему RC-усилителя.

Краткие теоретические сведения

Усилитель - это устройство, предназначенное для повышения мощности выходного сигнала. Превышение мощности выходного сигнала над мощностью входного осуществляется за счёт энергии источника питания. Элементы, на которых построен усилитель, управляют передачей энергии источника питания в нагрузку.

Усилительные свойства усилителя характеризуются коэффициентами усиления напряжения Ku, тока Ki и мощности Kp, показывающими, во сколько раз значение выходного параметра увеличилось в результате усиления по сравнению со значением выходного:

= Uвых/Uвх; Ki = Iвых/Iвх; Kp = Pвых/Pвх, (1)

где Uвх, Iвх, Pвх и Uвых, Iвых, Pвых - параметры входного и выходного сигналов.

Коэффициенты усиления выражают не только в относительных единицах, но и в децибелах. В логарифмической форме коэффициенты усиления (1) можно записать так:

’u = 20 lg(Uвых/Uвх); K’i = 20 lg(Iвых/Iвх); K’p = 10 lg(Pвых/Pвх).

Общий коэффициент усиления многокаскадного усилителя, выраженный в децибелах, равен сумме коэффициентов усиления отдельных каскадов, т.е.

общ(дБ) = К1(дБ) + К2(дБ) + … +Кn(дБ)

В зависимости от диапазона усиливаемых частот различают усилители:

         звуковой частоты;

         широкополостные (видеоусилители);

         полосовые(резонансные);

         постоянного тока.

В рабочем диапазоне частот всех без исключения усилителей наблюдается неравномерность усиления; при этом нарушается частотный состав входного сигнала - он искажается. Для анализа этих искажений, называемых частотными, используют амплитудно - частотную характеристику АЧХ усилителя, выражающую зависимость коэффициента усиления от частоты усиливаемого сигнала.

Качественным показателем усилителей являются нелинейные искажения - искажение формы сигнала в процессе усиления. Причиной нелинейных искажений является, главным образом, нелинейность вольт - амперных характеристик усилительных элементов (транзисторов), а также неправильно выбранный режим их работы. В результате нелинейных искажений при усилении чисто синусоидального сигнала в выходном сигнале появляются дополнительные гармонические составляющие, т.е. изменяется гармонический состав входного сигнала. Этот вид искажений оценивают коэффициентом нелинейных искажений




где U(1) , I(1) , U(n) , I(n) - соответственно действующие значения первой и n-й гармонических составляющих выходного напряжения и тока.

Для многокаскадного усилителя содержащего n каскадов,

                                          n

Kr = Kr1 * Kr2 * … *Krn = Σ Ki

                                                                     i=1

Так как вследствие появления дополнительных гармонических составляющих нарушается правильное воспроизведение сигнала, основная задача при построении и регулировании усилителей - уменьшение нелинейных искажений.

Цепи усилителей содержат реактивные элементы, вносящие фазовый сдвиг между входным и выходным сигналами, зависящий от частоты. Фазочастотная характеристика отражает зависимость угла сдвига фазы между входным и выходным напряжением, т.е. аргумента коэффициента усиления от частоты. Нелинейный характер реальной фазочастотной характеристики указывает на различные временные сдвиги для отдельных гармоник сигнала сложной формы. Поэтому фазовые искажения, оцениваемые обычно так же, как и частотные искажения на нижней fн.гр. и верхней fв.гр. граничных частотах полосы пропускания, определяются не абсолютными значениями угла φ = 2*π*f*τ, разностью координат Ф фазочастотной характеристики и касательных к ней. Очевидно Фнн. и Фвв.

Важными характеристиками усилителя являются амплитудная характеристика UВЫХ=f(UВХ) на некоторой постоянной частоте и динамический диапазон количественно оцениваемый как

=UВХ max /UВХ min ,

гден UВХmin и UВХmax - минимальное и максимальное входные напряжения, при которых нелинейные искажения не превышают установленных норм. Если динамический диапазон измеряется в децибелах, то

(дБ) = 20lg D = 20 lg(UВХ max /UВХ min).

Важнейшими параметрами усилителя являются:

.        номинальная выходная мощность - максимальная мощность на выходе, при которой нелинейные искажения не превышают допустимого уровня;

.        чувствительность - минимальное напряжение на входе, при котором на выходе обеспечивается номинальная мощность;

.        динамический диапазон - отношение максимальной амплитуды входного сигнала, при которой его искажения имеют предельное допустимое значение, к чувствительности усилителя;

.        Коэффициент полезного действия - отношение полезной мощности на выходе усилителя к мощности, потребляемой им от источника питания;

.        Входное сопротивление Rвх , характеризующее усилитель как нагрузку для источника входного сигнала;

.        Выходное сопротивление Rвых , характеризующее нагрузочную способность усилителя.

Существует несколько режимов работы усилителя. В представленной курсовой работе используется режим А.

Для режима А характерен невысокий уровень нелинейных искажений, однако он не экономичен из-за значительного тока Iк= ,который должен поддерживаться в транзисторе при ожидании входного сигнала. Максимально теоретический КПД для такого режима составляет 50% , обычно же при расчете он не превосходит 35 - 40%.

Анализ схемы усилителя

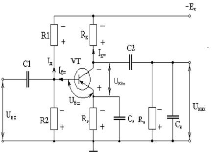
В работе рассчитывается RC-усилитель с эмиттерной стабилизацией по току. Основой каскада усиления является транзистор p-n-p типа ГТ308В, включаемый с общим эмиттером (ОЭ). Источник входного сигнала представлен эквивалентным генератором э.д.с. (Ег, Rг).

Индексом “=” обозначены постоянные составляющие токов транзистора и напряжение на электродах в рабочей точке.

, R2 - делитель напряжения, создающий смещение на базе транзистора.к - устанавливает ток коллектора.э - стабилизация по току.н - нагрузка.,C2-конденсаторы,служащие для отделения постоянных составляющих напряжений.э-шунтирует резистор Rэ, устраняет отрицательную обратную связь по переменному току. Сн-паразитная ёмкость между проводами.транзистор ГТ308В-германиевый импульсный сплавно-диффузионный p-n-p типа, усилительный, высокочастотный.

Электрический расчёт схемы


1. Входное сопротивление усилителя.

Так как входная емкость сравнительно мала (порядка долей пФ).

Входное сопротивление можно считать чисто активным.

вх=Uвх/Iвх

Параллельно входному сопротивлению подключается цепь смещения R1|| R2=RБ тогда

ВХ.ОБЩ. = RВХ || RБ @ RБ.

2. Выходное сопротивление усилителя и сопротивление коллектора.

вых=Uвых/Iвых

RВХ.ОБЩ. = RВЫХ || RК = (RВЫХ × RK)/( RВЫХ + RК), т.к. RВЫХ »Rк.

Следовательно, нагрузочные характеристики по постоянному и переменному току не совпадают.

Графоаналитический расчёт

1. Берем семейство входных и выходных характеристик транзистора, включенного с ОЭ. Ограничиваем рабочую область на выходных характеристиках (штриховые линии PМАКС,UКЭ МИН,UКЭ МАКС).

2. На семействе выходных характеристик в рабочей области строим нагрузочную характеристику, которая описывается выражением

.

Она пересекает координатную систему в точке UКЭ=EК при IK=0 и в точке EK/RK при UK=0. Точками 1-7 обозначаем пересечение нагрузочной характеристики с выходными характеристиками.

1. Переносим нагрузочную характеристику в семейство входных характеристик (точки 1-7).

2. На входной характеристике выбираем линейный участок (точки 2-4). Рабочую точку (А) выбираем посередине линейного участка и переносим ее в семейство выходных характеристик (А).

Так как сопротивление нагрузки соизмеримо с сопротивлением коллектора, нагрузочные характеристики по постоянному и переменному току не совпадают, следовательно, графоаналитический расчёт необходимо делать на основании нагрузочной характеристики по переменному току.

~ = Rк ||Rн

Iк~= Ек / R~

Через точку (0, Iк~) и точку А проведём нагрузочную характеристику по переменному току.

3. На диаграммах находим постоянные составляющие токов (IБ=, IК=) и напряжений (UБЭ=, UКЭ=).

4. На диаграммах определяем амплитулы напряжений (UБЭm, UКЭm) и токов (IБm, IКm).

5. Определяем коэффициенты усиления

;;.вых (IКm × UКЭm)/2;Pвх (IБm × UБЭm)/2

1. Найдем КПД усилителя:

 h=(IКm × UКЭm/2)/(IК= × UКЭ=)×100%

Выберем коэффициент передачи тока при короткозамкнутом выходе в схеме с общим эмиттером 21э=(80…150)

21э=b =DIк/DIб= (21,6*0,001)/(0,125*0,001) = 146,3Б= = 0,175×10-3AUБЭ= = 0,38 BKI =146,3 Вт RК = 161 Ом

IК= = 25,6×10-3AUКЭ= = 4,7 BKU=21,42 Втh21э=146,3

IБm = 0,125×10-3 AUБЭm = 0,14 BKР=3702,9 ВтКm = 21,6×10-3 AUКЭm = 3 B h=26,93%

Рассчитаем номиналы элементов по следующим формулам:

доп=2.

Rэ = 105 Ом

Выберем по ГОСТу: R1 = 100 Ом.б = 106 Ом2 = 162 Ом

Выберем по ГОСТу: R2 = 160 Ом 1 = 308,3 Ом

Выберем по ГОСТу: R1 = 300 Ом.д = 19 мА

Расчёт мощности на резисторах

Выберем резисторы с учётом потребляемой ими мощности:

В общем случае имеем

Рдоп =I2 ×R

R1 = (IД+IБ)2×R1 = 0,1132 Вт, учитывая 25% запас по мощности выбираем по ГОСТу резистор МЛТ-0,25-300Ом ± 10%.R2 = IД2×R2 = 0,058 Вт, учитывая 25% запас по мощности выбираем по ГОСТу резистор МЛТ-0,25-160Ом ± 10%. = (IЭ +IБ)2×RЭ = 0,069 Вт, учитывая 25% запас по мощности выбираем по ГОСТу резистор МЛТ-0,25-100Ом ± 10%. = IК2×RК = 0,106 Вт, учитывая 25% запас по мощности выбираем по ГОСТу резистор МЛТ-0,25-160Ом ± 10%.

Коэффициент температурной нестабильности

Коэффициент температурной нестабильности выражается следующей формулой:

S=3,86

Расчёт емкостей конденсаторов

Исходя из худшего случая возникновения отрицательной обратной связи по переменному току (по условию fн.гр.= 30 Гц, следовательно, wн.гр.=2×p× fн.гр. =188,5 с-1), найдём:

1 << RK +RБ т. е. С1 ³ 10/(wн.гр. × (RK + RБ)) » 201,6 мкФ 2 << RН т. е. С2 ³ 10/(wн.гр.× RН)» 53 мкФЭ << RЭ т. е. СЭ ³ 10/(wн.гр.× RЭ)» 506,2 мкФ

Выберем конденсатор С1 по ГОСТу:

С1 » 200 мкФ; К53 - 16А - 10В 200мкФ±20%

Выберем конденсатор С2 по ГОСТу:

С2 » 51 мкФ; К53 - 16А - 10В 51мкФ±20%

Выберем конденсатор Сэ по ГОСТу:

СЭ » 510 мкФ; К50 - 16 - 10В 510мкФ(-20 ¸ +80)%

Расчёт АЧХ и ФЧХ

усилитель мощность резистор конденсатор

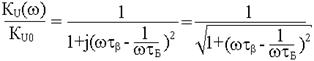
Аналитически АЧХ описывается выражением:

Для удобства сравнения АЧХ при различных номиналах элементов усилителя её представляют в нормированном виде:




где tb = 0,2b / fa - постоянная транзистора,

b - коэффициент передачи по току базы в схеме с ОЭ,

fa - предельная частота усиления в схеме с ОБ,

tb = С2 (RК +RН).

Подставим значения:

Диаграмма АЧХ приведена в Приложении (рис.1).

ФЧХ аналитически описывается выражением:


Подставив значения, получим:

Диаграмма ФЧХ приведена в Приложении (рис.2).


Простота использования усилительных схем привела к тому, что широкое распространение нашли составные транзисторы и составные «каскады» усиления, в которых усиливающей ячейкой является не один каскад, а несколько объединённых в одну схему.

Усилители, имеющие очень большое входное сопротивление, малое выходное сопротивление, очень широкую полосу пропускания частот, линейную амплитудную характеристику и большое усиление, могут иметь обширную область применения.

Такие усилители находят широкое применение и фактически используются как усилительная ячейка. Обычно схемы, состоящие из нескольких каскадов усиления, содержат также дополнительно различные температурные и другие коррекции.

В данной работе выполнен графоаналитический и электрический расчет RC - усилителя, рассчитаны АЧХ и ФЧХ. В приложении представлены их графические представления, принципиальная схема и спецификация к ней.

Список используемой литературы

1. В.А. Скаржепа, В.И. Сенько. Электроника и микросхемотехника (сборник задач); Под ред. А.А. Краснопрошиной - К.: Высшая школа, 2009

2. В.Т. Волков. Исследование RC-усилителя на биполярных таранзисторах. Лабораторная работа по дисциплине «Аналоговая и цифровая электроника» - Рыбинск, РГАТА, 2010.

3. Резисторы: Справочник / В.В. Дубровский, Д.М. Иванов, Н.Я. Патрусевич и др.; Под общ. ред. И.И. Четверткова и В.М. Терехова. - М.: Радио и связь, 2007

4. Справочник по электрическим конденсаторам / М.Н. Дьяконов, В.И. Карабанов, В.И. Присняков и др. Под общ. ред. И.И. Четверткова и В.Ф. Смирнова. - М.: Радио и связь, 2011

5. Справочник по полупроводниковым диодам, транзисторам и интегральным схемам / Н.Н. Горюнов, А.Ю. Клейман, Н.Н. Комков ми др.; Под общ. ред. Н.Н. горюнова. - 4-е изд., перерад. и доп. - М.: Энергия, 2008

6. Конспект лекций по курсу электроники.

Приложение

Рис.1.АЧХ

Рис.2.ФЧХ

Похожие работы на - RC-усилитель низкой частоты

 

Не нашли материал для своей работы?
Поможем написать уникальную работу
Без плагиата!
Без нейросетей!