Синтез, кинематический анализ механизма. Расчет на прочность
Федеральное
государственное образовательное бюджетное учреждение высшего профессионального
образования «Санкт-Петербургский государственный университет телекоммуникаций
им. проф. М.А. Бонч-Бруевича»
Кафедра
конструирования и производства радиоэлектронных средств связи
Контрольная
работа
по
дисциплине «Прикладная механика»
на тему:
«Синтез, кинематический анализ механизма. Расчет на прочность»
Выполнил:
Тарасик Е.Э.
Санкт-Петербург
Оглавление
Введение
. Синтез планетарного механизма
. Кинематический анализ механизма
. Расчет на прочность
Выводы
Список литературы
Введение
Необходимо произвести расчет планетарного
механизма, включающий синтез и кинематический анализ механизма.
Дано:
схема механизма - 3;
передаточное отношение механизма 
угловая скорость рабочего звена 
;
модуль зубчатых колес m(мм)=1,5.
Необходимо произвести расчет на
прочность основных элементов конструкции.
Задача 1:
Дано:
E=
МПа
[σ] = 120 МПа;

= 500 мм;
F = 200 H.
Рисунок 1
Задача 2:
Дано:
[σ] = 140 МПа;

= 300 мм;
F = 100 H.
Рисунок 2
1. Синтез планетарного механизма
Схема планетарного механизма
Схема 3. Планетарный механизм со сложным
сателлитом и внутренними зацеплениями колес.
Рисунок 3
Задачи синтеза планетарного механизма.
Синтез планетарного механизма заключается в
определении чисел зубьев зубчатых колес для обеспечения заданного передаточного
отношения и в определении числа сателлитов и основных геометрических размеров
механизма.
При этом числа зубьев и число сателлитов должны
удовлетворять трем условиям:
условию соосности;
условию сборки;
условию соседства.
Согласно выбранной схеме эти три условия
записываются следующим образом:
условие соосности: z1 - z2
= z4 - z2’;
условие сборки:
условие соседства (для случая внутреннего
зацепления):
Порядок расчета.
Определение передаточного механизма при
остановленном водиле.
Т.к. задано
, то
передаточное отношение будет рассчитываться по формуле:
Определение абсолютного значения передаточного
отношения при остановленном водиле.
Т.о. получаем, что a=3, b=1, c=3, d=8. Отсюда
числа зубьев z1, z2, z2’, z4
рассчитываем по формулам:
Выбираем γ=1, тогда
z1 = 200, z2 =68, z2’ = 66, z4 =
198.
- 68 = 198 - 66. Это равенство выполняется,
значит, число зубьев удовлетворяет условию соосности.
Определение передаточного отношения при
остановленном водиле с учетом чисел зубьев колес и числа внешних зацеплений
(n).
Определение действительного передаточного
отношения механизма при ведущем звене 3(Н).
Определение теоретического числа сателлитов К’0.
Определение теоретического числа сателлитов для
внутреннего зацепления K’1.
Т.к. z4 > z1 то в
формуле z1 заменяем на z4, а z2 на z2’.
Таким образом K’1 будем искать по формуле:
’1≤ 5,60
Определение действительного числа сателлитов К.
За действительное число сателлитов К принимают
наименьшее из чисел К0 и К1.
Таким образом, действительное число сателлитов
К=2.
Определение диаметров делительных окружностей
зубчатых колес.
Диаметр зубчатых колес определяется по формуле:
di = m
zi
Диаметры зубчатых колес:
d1
= 1,5
200 = 300 мм2 = 1,5
68 = 102 мм2’ = 1,5
66 = 99 мм4 = 1,5
198 = 297 мм
Определение межосевого расстояния. Межосевое
расстояние определяется по формуле:
. Кинематический анализ механизма
Необходимо привести расчеты и пояснения к
выполняемому анализу графическим методом, определить максимальные окружные и
угловые скорости звеньев, определить погрешность графического метода.
Определение окружной скорости точки В,
принадлежащей колесу I.
У нас задано число оборотов колеса I, тогда
скорость точки В, принадлежащей колесу I, будет определяться:
Определение масштабного коэффициента скорости.
Определение масштабного коэффициента длин.
Определение масштабного коэффициента угловых
скоростей.
Определение графических размеров диаметров
колес.
Определение максимальных окружных скоростей.
Для звена 1:B = VА = 14,13
(м/с)D = 0, т.к. мгновенный центр скоростей.
Определение угловых скоростей (число оборотов).
n2 = Kn
|02| = 33.3
49 = 1631 (об/мин)3 = Kn
|03| = 33.3
24 = 799 (об/мин)
Определение передаточного отношения
при ведущем звене 3(Н).
Аналитическое определение угловой скорости
ведущего звена 3(Н).
Определение угловых скоростей колес
Аналитическое определение окружной скорости
одной из точек. Определим скорость точки E, принадлежащей звену 1:
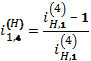
Определение относительной погрешности для чисел
оборотов ведущего звена 3(Н).
Определение относительной погрешности для
окружной скорости точки Е:
Определение относительной погрешности для
передаточного отношения:
. Расчет на прочность
Дано:


Рисунок 4
Рисунок 5
Решение:
Из условия равновесия определяем
реакцию заделки 

Значение 
обозначает, что вектор 
на расчетной схеме можно направить
в любом направлении по оси Х.
Разбиваем балку на четыре участка.
Построение эпюр продольных сил:
-й участок
, идем
слева:
-й участок 
, идем справа:
-й участок
, идем
справа:
-й участок
, идем
справа:
Строим уравнение продольных сил
относительно оси 
. Положительные значения откладываем
вверх от нулевой лини 
, отрицательные - вниз.
Построение эпюр нормальных
напряжений:
-й участок
, идем
слева:
-й участок 
, идем справа:
3-й участок
, идем
справа:
-й участок
, идем
справа:
Рисунок 6
Опасным сечение является любое
сечение участка 3:
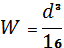
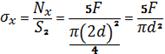
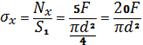
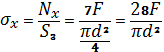
Из условия прочности определим
диаметр прутка 
Выбираем значение d. Определяем
деформацию - общее удлинение. Из формулы Гука имеем:
Подставим значения:
Принимаем d=4 мм.
Определим общее удлинение:
Ответ:
d=4 мм
Рисунок 7
Дано:

Рисунок 8
Решение: Из условия равновесия
определяем реакцию заделки 
и реактивный момент заделки.
Отсюда:
Т.к. искомые величины имеют знак
«+», то указанные направления векторов на расчетной схеме верны.
Строим эпюр поперечных сил и
изгибающих моментов:
-й участок, 
, идем справа
Для построения эпюр определим
значение силы в двух точках.
При х=0; 
. При х=l; 
Изгибающий момент равен:
Это парабола, ветви направлены
вверх. Определим значение изгибающего момента в трех точках:

Нм
Рисунок 9
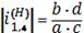
Опасным является сечение В:
Максимальное напряжение - 
. Из условия прочности 
определяем 

,
где d - диаметр
сечения
Ответ: d=27 мм.
Выводы
зубчатый колесо сателлит
скорость
Синтез планетарного механизма.
1) Учитывая число зубчатых колес и их
размеры следует, что данный планетарный механизм получился компактным, что
является одним из достоинств планетарных механизмов. Но при этом данный
механизм имеет низкий КПД.
2) Т.к. в нашей схеме в результате расчетов
получилось, что действительное число сателлитов К=2, это означает, что наш
механизм может передать среднюю нагрузку.
Кинематический анализ планетарного механизма.
1) Относительная погрешность для чисел
оборотов ведущего звена 3(Н) ∆n=0,2%, относительная
погрешность для окружной скорости ∆V=2%, относительная
погрешность для передаточного отношения ∆i=0,3%.
2) Величины угловых скоростей (число
оборотов) звеньев:
n2 = 1167 (об/мин); 3 =
875. (об/мин)
Таким образом, звенья механизма имеют большие
угловые скорости.
3) Величины максимальных окружных скоростей
звеньев:
Для звена 1: VB = VА =
0,75 (м/с);
Для звена 2: VЕ = 9 (м/с); Для звена
3: VО2 = 4,5(м/с).
Значит, корости звеньев считаются средними
скоростями.
Список литературы
1. Чуракова Л.Д. Прикладная
механика: Методические указания к курсовой работе по теме: Синтез,
кинематический анализ механизма, расчет на прочность /СПбГУТ.-СПб., 2012.
2. Артоболевский И.И. Теория
механизмов и машин: Учеб. для втузов.-4-е изд., перераб. и доп. - М.: Наука.
Гл. ред. физ.-мат. лит., 1988.
. К.В. Фролов, С.А. Попов,
А.К. Мусатов, Д.М. Лукичев и др. Теория механизмов и машин: Учеб. для втузов/
К.В. Фролов, С.А. Попов, А.К. Мусатов и др.; под ред. К.В. Фролова. - М.:
Высш.шк., 1987.