Розробка проекта вентиляції і кондиціонування повітря зиробничих приміщень
ВСТУП
Необхідність розробки проекта
вентиляції і кондиціонування повітря з виробничих приміщень викликана
незадовільним станом повітря в них із-за відсутності системи регенерації.
Робота в цехах виконується у
дві зміни. Джерелом теплопостачання служить котельня, яка знаходиться на
території підприємства. Теплоносій - горяча вода з параметрами 95-70°С.
Водопостачання здійснюється з
міського водогону.
Періодичний злив води від
установок ВУУ-бОм виконується в існуючу мережу каналізації підприємства , яка
підключена до городської каналізації.
Розрахункові параметри
зовнішнього повітря для проектування вентиляції і кондиціонування повітря
приняті згідно даними СНиП П-А.6-72.
„Строительная климатология и
геофизика" і СНиП П-33-75. „Отопление, вентиляция и кондиционирование
воздуха" для м. Виноградів.
Розрахунковий барометричний
тиск 745 мм.в.ст.
. Холодний період року:
Параметри „В"
Температура повітря tH р =-18°
Тепловміст повітря 1= -3,9
ккал/кг. Параметри „А"
Температура повітря tHp- -6°
Тепловміст повітря І = - 0,6
ккал/кг.
Параметри внутрішнього повітря
в цехах прийняті згідно ГОСТ 12.1.005-76.
. Холодний період року:
Температура повітря tHB.=21 -22
Відносна вологість ф = 40-60%
. Теплий період року:
Температура повітря
tB.„=28°-300 Відносна вологість φ=55%.
1. ОПИС ТА ХАРАКТЕРИСТИКИ
ТЕХНОЛОГІЧНОГО ПРОЦЕСУ
Основними виробничими
шкідливими виділеннями у виробничих цехах являється тепло і вологість.
Джерела тепловиділення
являються люди, електродвигуни технологічного обладнання освітлення і в теплий
період року - сонячна радіація.
Джерела вологовиділення
являються люди і технологічне обладнання.
Для забезпечення потрібних
параметрів повітря в робочій зоні виробничих приміщень передбачається обробка
повітря в вентиляційно-зволожуваних установках ВУУ-6Ом-ОІ-УЧ і в приточних
наборних венткамерах.
Обробка приточного повітря в
холодний період року розв'язана слідуючим чином: в установках ВУУ-бОм М-ОІ-УЧ
наружне і рециркуляційне повітря зволожується в секції орошення, підігрівається
в секції другого підігріву до розрахованих параметрів, після чого оброблене
повітря подається вентиляторами через систему воздуховодів в обслуговування
виробничих приміщень.
Від витяжних вентиляторів,
розташованих в венткамерах рядом із ВУУ--6Ом-ОІ-УЧ робимо розводку витяжних
воздуховодів по цехам. Витяжні воздуховоди прокладаються під потолком, вище
приточних.
Витяжка виконується із верхньої
зони приміщення прямокутними воздуховодами, обладнаними отворами з засувками.
Подача приточного повітря
здійснюється прямокутними воздуховодами, обладнаними отворами, затягнутими
сітками із засувками.
Воздуховоди приточних і
витяжних систем П1, П2, П7, В1, В3, В6, В8, зробить із тонколістовій прокатній
сталі згідно ГОСТу.
Воздуховоди витяжних систем В2,
В7, і проектуючий участок воздуховода ПЗ зробить із тонколістової оцинкованої
сталі згідно ГОСТу 19904-74.Монтаж систем вентиляції вести у відповідності з
вимогами розділу СНИП Ш 28-75.
Конструкцію кріплення
горизонтальних металічних неізолірованих воздуходувів (хомути, підвіси)
приймати по типовій серії 5.904-1.
Для зменшення шуму і вібрації
вентиляційних установок в проекті ередбачеЛі наступними заходами:
1.
вентилятори
і електродвигуни встановлені на віброізоляцію основи;
2.
вентилятори
відокремлені від воздуховодів гнучкими вставками;
3.
режим
роботи вентилятора підібраний з максимальним КПД;
4.
вентилятори
розташовані в венткамерах, винесених за межі виробничих приміщень.
5.
стіни
і стелі венткамер закриваються звукопоглинаючим матеріалом;
6.
розрахунок
вентиляційних систем виконай із умов що шум в виробничих приміщеннях
створюваний їх роботою не перевищує 80 дб.
При розробці проекта вентиляції
і кондиціонування повітря передбачені наступні противопожежні заходи:
вентиляційне обладнання
приточних і витяжних систем розташовано в ізольованих венткамерах;
воздуховоди витяжних і
приточних систем запроектовані із негорючих чатеріалів.
Згідно таблиці 1 робимо
розрахунки.
Розрахунок об'єму повітря на
приток:
Розрахунок об'єму повітря на
витяжку:
Вибір вентиляторів:
Вибираємо 4 вентилятора Ц4-70.
Дані заносимо в таблицю 1.
Таблиця 1
|
№
вентилятора
|
Діаметр
робочого колеса, мм
|
Виробка,
тис. м /год
|
Повний
тиск, кгс/м
|
Частота
обертів, об./ хв.
|
Потужніє
ть, кВт
|
Маса,
кг
|
|
5
|
500
|
від
1,45 до 8,3
|
Від
18 До 83
|
від
930 до 1420
|
1,5
|
85
|
.1 РОЗРОБКА ФУНКЦІОНАЛЬНОЇ
СХЕМИ КЕРУВАННЯ
Весь поверх живиться від
п'ятижильної мережі на 380 В. До того як живлення не подано на цех горить
сигнальна лампа HLG1 зеленого кольору. Подача живлення здійснюється за допомогою
автоматичного вимикача SF1, при включенні якого гасне лампа HLG1 і загорається
червона HLR1 - напругу подано. Контроль за напругою, струмом та частотою
здійснюють вольтметр, амперметр та герцметр.
На функціонально-технологічній
схемі відображають систему живлення приладів та засобів автоматизації. Це
система електропостачання електроприймачами якої є прилади, апарати, регулюючі
пристрої, електроприводи викконавчих механізмів, засувок, вентилів. Від
-іадійності їх електропостачання залежить нормальна та безаварійна робота
об'єкта вцілому.
На функціонально-технологічній
схемі нашого процесу (арк.1) виводимо частину елементів на щит оператора, а
частина зображена на місцевому щиті управління.
На щит оператора виводимо такі
пристрої як вольтметр, амперметр та - астотометр (V, А та Hz), які показують
величини напруги, струму і частоти.
При подачі живлення загорається
загальна зелена лампочка HLG1 , яка акож виводиться на щит оператора, разом із
лампочкою червоною HLR1 , яка оказує, що подана напруга і почався процес.
Після цього вмикається
загальний автоматичний вимикач цеху QF1, а -рилади V,A,Hz показують величини
напруги, струму і частоти оператору.
Система вентиляції зображена на
арк. 1 графічної частини складається з ряду послідовно з'єднаних секцій:
1. Повітрязабірна. Тут
встановлені клапан зовнішнього повітря ( регулює приток повітря до
вентиляційної системи ) і рецеркуляційний клапан ( дозволяє використовувати
лише внутрішнє повітря - в зимовий період, для зменшення тепловтрат на обігрів
). Привід першого здійснює двигун M6, другого - М7. Тут також встановлений
нагрівний елемент НЕЇ для обігріву клапана зовнішнього повітря в зимовий
період.
2. Секція зрошування. В
ній за допомогою розбризкувана відбувається зволоження приточного повітря в
літній період. Розбризкувач приводиться в дію двигуном М5.
. Секція сепаратора.
Тут повітря відокремлюється від зайвої води.
. Секція підогріву. В
ній встановлений калорифер, що в зимовий період нагріває приточне повітря.
Температуру нагріву регулує запірний клапан К5 з приводом від двигуна М8, який
встановлений на трубопроводі з теплоносієм.
. Секція приточних
вентиляторів.
. Секція витяжних
вентиляторів.
.2 РОЗРОБКА СХЕМИ АВТОМАТИЗАЦІЇ
Схема наведена на аркуші 2
графічної частини застосовується в - трифазних п'ятипроводних мережах при
напрузі 380 В. Напруга на вводах контролюється за допомогою реле обриву фази
KV1 та KV2. При наявності напруги на всіх трьох фазах вводів 1 та 2
спрацьовують реле KV1 та KV2. Нормально відкритий контакт реле KV1 замикається
в колі катушки магнітного пускача КМ1, яка спрцьовуючи замикає силові контакти
KM 1.1 блок-контакти KM 1.2 та розмикає блок-контакт KM 1.3, гасне зелена лампа
HLG1 і загорається червона HLR1, це означає, що напругу подано через гоовний
ввід.
Нормально відкритий контакт
реле KV2 замикається в колі катушки магнітного пускача КМ2, але вона не
спрацює, так-як послідовно з нею підключений нормально-закритий контакт реле
напруги KV1. Це зроблено з метою запобігання включення резервного вводу при
робочому основному. При зникненні напруги на вводі 1 ввод 2 вмикається
аналогічно першому (основному).
Контроль за параметрами напруги
струму та частоти проводять вольтметром, амперметром та герцметром. Вольтметр V
підключений до кожної фази через пакетний перемикач SA1, що дає можливість
виміряти напругу кожної фази окремо.
Амперметр А контролює фазний
струм однієї з фаз. Контроль двох інших зайвий так як фази зрівноважені.
Контроль за частотою мережі
виконує герцметр Hz, який може під'єднуватися до кожної з трьох фаз, через
пакетний перемикач SA2, підключається він аналогічно вольтметру.
В якості апаратури управління
та захисту на вводах передбачені автоматичні вимикачі та запобіжники.
Схема управління, зображена на
арк. 2 графічної частини може працювати в двох режимах-автоматичному і ручному.
Для переключення режимів слугує пакетний перемикач SA2. Двигуни М1-М8 захищені
запобіжниками і автоматичними вимикачами. Захист кола освітлення аналогічний.
Для відключення кола управління
в нього включений вимикач SA1. Коло управління захищене запобіжником F7.
В ручному режимі управління
оператор керує роботою системи безпосередньо, орієнтуючись на покази приладів.
Керування здійснюється кнопками „Стоп" і „Пуск".
В автоматичному режимі оператор
лише включає схему, подальша її робота протікає самостійно.
В автоматичному режимі схема
працює наступним чином. На початку роботи робітник подає живлення включенням
автоматичних вимикачів SF1 і SF2 в схемі АВР і вимикача SA1 кола управління.
Після цього за допомогою ключа управління SA2 вибирає режим роботи схеми.
Після вибору режиму
«Автоматичне управління» він натисканням кнопки SBC1 подає живлення на реле
часу КТ1. Одночасно живлення отримує котушка проміжного реле KL2, яке своїм
контактом KL2.1 замикає коло управління магнітного пускача КМ7, в результаті
чого включається обігрів засувок клапана зовнішнього повітря. Через деякий час
регулюється реле часу відключається, замикаючи контакт КТ1.2, тим самим -
подаючи струм на котушку проміжного реле контакти KL1, яке своїми контактами
KL1.2 і KL1,3 подає живлення на котушки магнітних пускачів КМ9 і KM 10
реверсивного приводу повітряного і рециркуляційного клапанів, KL1.5і KL1.6 на
котушки магнітних пускачів приводу витяжного вентилятора 1 ( КМЗ ), витяжного
вентилятора 2 ( КМ4 ), приточного вентилятора 1 ( КМ5 ), приточного вентилятора
2 (КМ6 ).
Регулювання температури
приточного повітря здійснюється за допомогою напівпровідникового регулятора
температури КА1. Його контакти КА1.1 і КА1.2 через магнітні пускачі KM 13 і KM
14 керують двигуном М8, що з'єднаний з клапаном на трубопроводі з теплоносієм
до калорифера, змінюють приток гарячої зоди до нього, тим самим збільшуючи або
зменшуючи температуру повітря.
Температурний регулятор КА2
призначений для захисту калорифера від заморожування.
В коло управління магнітного
пускача КМ8 приводу розбризкувача (двигун М5) включений розмикаючий контакт
реле тиску, що розмикається коли тиск у трубопроводі падає нижче норми,
зупиняючи двигун М5.
Кінцеві вимикачі SQ1 і SQ2
призначені для зупинки двигуна М6, коли повітряний і рециркуляційний клапани
відкриті або закриті повністю.
Сигнальна лампа HLY1 призначена
для індикації напруги входу. Лампа 2 сигналізує про спрацювання захисту
калорифера від заморожування. Лампи HLY3 і HLY4 вказують на роботу тену і
розбризкувача .
Лампи HLY5-HLY10 сигналізують
про роботу приточних ( HLY5, HLY6 ), витяжних ( HLY7, HLY8) вентиляторів, про
стан клапану приточного повітря ( HLY9 ) і клапану на викід НLY10 ). Для
комутації останніх двох застосовані кінцеві вимикачі SQ5 і SQ6.
2. ВИБІР АВТОМАТИЗОВАНОГО
ЕЛЕКТРОПРИВОДУ ТА ПУСКОЗАХИСНОЇ АПАРАТУРИ
2.1
Вибір двигунів
Тип двигунів вибираємо
спираючисть на потрібну нам потужність. В таблиці наведені папортні дані всіх
споживачів використовуваних в нашому цеху.
Табл.2
|
Споживач
|
Тип
|
Номін.
потужн ість, кВт
|
Номінальна
напруга В
|
к.к.д.
|
Cos
ф
|
Кратність
пускового струму
|
Коефіцієнт
умов пуску
|
|
Приточні
вентилятори (2 шт.)
|
4АА-100L
|
1,5
|
380
|
0,805
|
0,88
|
7,0
|
2,5
|
|
Витяжний
вентилятор (2шт.)
|
4АА-100L
|
1,5
|
380
|
0,805
|
0,88
|
7,0
|
2,5
|
|
Розпилювач
|
4АА-56А
|
0,12
|
220
|
0,86
|
0,8
|
5,0
|
2,5
|
|
Повітряний
і ретиркуляційн ий клапани
|
4АА-56А
|
0,12
|
220
|
0,86
|
0,8
|
5,0
|
2,5
|
|
Клапан
на викид
|
4АА-56А
|
0,12
|
380
|
1
|
1
|
5,0
|
-
|
|
Клапан
на трубопроводі з теплоносієм
|
4АА-56А
|
0,12
|
220
|
0,8
|
0,8
|
5,0
|
2,5
|
|
ТЕН
|
СРО-100/1Т
|
2
|
380
|
1
|
1
|
-
|
-
|
2.2
Вибір запобіжників
Запобіжники встановлюються у
всіх місцях, де переріз провідника по направленню до місця споживача енергії
зменшується, а також на вводах в споруду і головні ділянки мережі. Для
вибіркових дій, тобто щоб при аварії перегорів тільки найближчий до місця
пошкодження запобіжник, номінального струму плавкої вставки кожного наступного
від джерела живлення запобіжник повинен бути на одну степінь менше ніж
попередній.
Її вибирають за наступними
правилами:
Правило 1. Струм плавкої
вставки повинен бути більше робочого струму навантаження або дорівнювати йому
тобто:
Ів > Ір;
Правило 2. Струм плавкої
вставки перевіряють на максимальний струм навантаження:
Ів > Іmax/α
Для запобіжників звичайного
типу, що захищають відгалуження з короткозамкненими асинхронними двигунами з
нормальними умовами роботи α
= 2,5
При захисті двигунів з тяжкими
умовами роботи. α = 1,6 -2,0
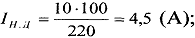
). Вибираємо запобіжники для
приводу приточних і витяжних вентиляторів (двигуни М1, М2, М3 і М4):
Номінальний струм
тривалий струм:
пусковий струм:
Обираємо запобіжник ПНП-60 з
Іпл.вс =10 А.
Робимо перевірку:
10 А > 3,2 А; 10А>9А;
Умову виконано. Запобіжник обрано правильно
2). Вибираємо запобіжник для
приводу розпилювача(М5), повітряного і рециркуляційного клапанів(М6), клапана
на викид(М7), клапана на трубопроводі з теплоносієм(М8):
номінальний струм :
тривалий струм:
пусковий струм:
Обираємо запобіжник ПНП-60 з
Іпл..вс = 6 А. Робимо перевірку:
6 А > 0,6 А; 6 А > З А;
Умову виконано. Запобіжник обрано правильно.
3). Вибираємо запобіжник для
ТЕНу (НЕ 1):
номінальний струм
тривалий струм
Обираємо запобіжник ПНП-60 з Іпл..вс = 6 А.
Робимо перевірку: 6 А > 5,3
А;
Умову виконано. Запобіжник
обрано правильно.
). Вибираємо запобіжник для
освітлення:
номінальний струм
тривалий струм
Обираємо запобіжник ПНП-60 з
Іпл..вс = 6 А.
Робимо перевірку:6 А > 4,5
А;
Умову виконано. Запобіжник
обрано правильно.
). Вибираємо запобіжник для
кола управління :
номінальний струм
Обираємо запобіжник ПНП-60 з
Іпл..вс = 6 А.
Робимо перевірку:6А> 1,5 А;
Умову виконано. Запобіжник
обрано правильно.
). Вибираємо запобіжник для
вводу 1 і 2 ( основного і резервного):
Правило 1: струм плавкої
вставки повинен бути більше суми тривалих струмів всього кола, тобто
2.3
Вибір автоматичних вимикачів
Автоматичні вимикачі призначені
для заміни рубильників і запобіжників. Автоматичні вимикачі серії АВМ
випускаються двох і трьохполюсні у відкритому виконанні на установку в
приміщеннях з нормальними умовами.
Вимикачі АВМ випускаються з
регулюючими електромагнітними розщеплювачами максимального струму : типу 1
моментальної дії -відключають вимикач без витримки часу ; типу 2 -з часовим
механізмом з зворотньо-захисної від струму витримкою часури перевантаженнях і з
миттєвим відключенням при к.з.; типу 3 - зчасовим уповільнювачем розщеплення-
відключає вимикач при к.з. - з незалежною від величини струму витримки і часу.
Захист від перевантаження
струму зазначається :
).теплові розщеплювачі, які
діють з витримкою часу, зворотньо- залежної від велечини струму перевантаження.
).розщеплювачами з часовим
механізмом автоматичних вимикачів (з зворотньо залежною від струму
характеристикою).
).електромагнітними
розщеплювачами з витримкою часу, достатньою для зниження пускового струму
електродвигуна до нормального.
).тепловими реле з нагрівними
елементами магнітних пускачів.
Для захисту від коротких
замикань застосовуються електромагнітні розщеплювачі моментальної дії або з
витримкою часу, які забезпечують селективність.
Щоб забезпечити селективність в
системах електромереж захищених автоматичними вимикачами розглянутих серій
необхідно, щоб витримка часу захисного апарату була тим менша, чим ближче він
до захисного клектроприймача.
Одночасний захист ліній від
перевантаження і к.з. здійснюється, коли застосовують комбінований розщеплювач.
Автоматичні вимикачі вибираємо
за умови
1). Вибираємо автоматичні
вимикачі для приводу приточних і витяжних вентиляторів (двигуни М1, М2, М3 і
М4):
Номінальний струм:
тривалий струм
пусковий струм:
Обираємо автоматичний вимикач
ВА-57 з Iрозч = 40 А.
Робимо перевірку:
А > 28 А;
Умову виконано. Автоматичний
вимикач обрано правильно
). Вибираємо автоматичний
вимикач для приводу розпилювача(М5), повітряного і рециркуляційного
клапанів(М6), клапана на викид(М7), клапана на трубопроводі з теплоносієм(М8):
номінальний струм :
тривалий струм:
пусковий струм:
Обираємо автоматичний вимикач
ВА-57 з Iрозч = 10 А.
Робимо перевірку:
А > 4 А;
Умову виконано. Автоматичний
вимикач обрано правильно
). Вибираємо автоматичний
вимикач для ТЕНу (НЕ 1):
номінальний струм
тривалий струм
Обираємо автоматичний вимикач
ВА-57 з Iрозч = 10 А.
Робимо перевірку:
А > 5,3 А;
Умову виконано. Автоматичний
вимикач обрано правильно
). Вибираємо запобіжник для
освітлення:
номінальний струм
тривалий струм
Обираємо автоматичний вимикач С
- 10 з Iрозч = 10 А.
Робимо перевірку:
А > 4,5 А;
Умову виконано. Автоматичний
вимикач обрано правильно
). Вибираємо автоматичний
вимикач для вводу 1 і 2 (основного і резервного):
При виборі керуємось умовами:
Обираємо автоматичний вимикач
A3740 з ІРОЗЧ =500 А.
Дані автоматичних вимикачів
заносимо в таблицю 3.
Табл. 3
|
Споживач
|
Тип
|
Вид
розчеплювача
|
Номінальний
струм,А
|
Уставка
стр. розч.
|
Гр.
стр. розч. При U=380B
|
|
|
|
Вимикача
|
Розчеплювача
|
|
|
|
М1-М4
|
ВА-57
|
Тепл.
|
60
|
40
|
10
|
18
|
|
М5-М8
|
ВА-57
|
Тепл.
|
20
|
10
|
10
|
18
|
|
ТЕН
|
ВА-57
|
Тепл.
|
20
|
10
|
10
|
18
|
|
Освітлення
|
С-10
|
Тепл.
|
20
|
10
|
10
|
18
|
|
Вводи
1 і 2
|
А3740
|
Ел.-магн.
|
630
|
500
|
10
|
150
|
2.4
Вибір магнітних пускачів
Для двигунів приводу витяжних
(М1,М2) і приточних (МЗ,М4) вентиляторів, потужність яких 1,5 кВт і ТЕНу ( 2кВт
), вибираємо нереверсивні магнітні пускачі типу П-6.
Для двигуну приводу
розбризкувача (М5), потужність якого 0,12 кВт, вибираємо нереверсивний
магнітний пускач типу ПНВС-10.
Для двигунів приводу
повітряного і рецеркуляційного клапанів (М6), клапану на викид (М7), клапану на
трубопроводі з теплоносієм (М8) потужність яких 0,12 кВт, вибираємо реверсивний
магнітний пускач типу МПКРО-114.
Для вводу 1 та 2 вибираємо
нереверсивні магнітні пускачі типу ПА-300
Магнітні пускачі вибираємо за
літературою № 4 (таблиця 143 ст. 185).
Табл. 4
|
Споживач
|
Серія
|
Тип
|
Максимальна
потужність керованого об'єкта, кВт/ при напрузі, В
|
Номінальний
струм, А
|
Виконання
|
|
М1-М4,
ТЕН
|
П-6
|
П-6
|
2,8/380
|
10
|
Тропічне
|
|
М5
|
ПНВС
|
0,6
/ 220
|
5
|
Тропічне
|
|
М6-М8
|
МПКР
О
|
МПКРО-114
|
1,5/220
|
5
|
Тропічне
|
|
Вводи
1 і 2
|
ПА
|
ПА-300
|
17/380
|
36
|
Тропічне
|
2.5
Вибір кнопочних станцій
Тип кнопочних станцій вибираємо
з літератури №4: -на одну кнопку типу КУ-122-1М; -на дві кнопки - КМЗ-2.
3. ВИБІР ЕЛЕМЕНТНОЇ БАЗИ
СИСТЕМИ АВТОМАТИЗАЦІЇ
3.1
Вибір типу реле обриву фаз
Вибираємо реле типу Е-511.Реле
призначене для контролю наявності на будь-яку з фаз трифазної системи і
підключається до змінних напруг цієї системи.
Дане реле працює при напрузі
380 В.
Реле складається з двох електромагнітних
реле клапанного типа, основного і допоміжного і фільтра напруги зворотної
послідовності.
Використовувана потужність при
напрузі 380 В - 10 Вт.
Час спрацювання реле не
нормується. Реле тривало утримує 1.1Uh
Обмоточні дані реле наведені в
таблиці 5.
Талиця 5
|
Uн,в
|
Число
витків
|
Марка
і діаметр проводу по міді
|
|
380
|
2700
±100
|
ПЕВ-1
0.06 мм
|
Контактна система складається
із Із і 1р контактів, розривна потужність яких при 380 В- ЗО Вт в колі
постійного струму.
Реле можуть працювати в
приміщенні з температурою навколишнього середовища 10-35° С та відносною
вологістю до 80%.
.2
Вибір проміжних реле
Проміжні реле застосовують у
схемах автоматичного керування, захисту, сигналізації, для підвищення вихідної
потужності датчиків або слабострумних реле, для розмноження кількості вихідних
сигналів, створення витримок часу, електричних блокіровок та ін. Вони
виготовляються для змінного або постійного струмів.
Вибираємо реле типу РП-25
змінного струму на номінальну напругу 220 В. Число витків котушки - 6700, діаметр
проводу 0,14 мм. Напруга спрацювання в холодному стані при температурі 20±5°С
не більше 85% від номінальної напруги. Напруга повернення не менше 3% від
номінальної напруги.
3.3
Вибір датчиків тиску, рівня і температури
Для вимірювання температури повітря
в приміщенні, за літературою 2, стор. 374 вибираємо термометр опору типу
ТСМ-010 мал1 стор.22.
Дія термометрів опору заснована
на здатності провідника змінювати електричний опір зі зміною температури. Опір
провідника зрівнюється логометром або зрівноваженим мостом в комплекті з яким
працює термометр опору. Знаючи залежність опору провідника від температури і
вимірявши його опір можна судити про температуру середовища в якому
встановлений термометр.
Для схеми вибираємо логометр
типу Л 64, який зображений на мал. ст. 55. Вибір проводимо за літературою 2,
ст. 398. Дія логометра заснована на взаємодії поля постійного магніта і
магнітних полів, які утворюються при протіканні струму в двох рамках рухомої
системи. Термометр опору може приєднуватись трьома або двома проводами.
Логометр, замикаючи або розмикаючи контакти, може здійснювати керування
проміжними реле і регулювати температуру нагрівних пристроїв.
Для управління циркуляцією води
в системі зволоження повітря застосовуємо поплавковий регулятор рівня ДРУ-2
мал.З, арк.23.
Для індикації тиску рідини в
трубопроводі застосовуємо пружинний манометр ОБМ1-100, зображений на мал. 2,
арк.23.
а) Зовнішній вигляд
б) схема підключення до логометра
Мал 1. Термоопір ТСМ - 010
Мал 2. Пружинний манометр ОБМ
1-100
Мал 3. Поплавковий регулятор рівня рідини ДРУ-2
4. ВИБІР ПРИНЦИПОВОЇ СХЕМИ
ЖИВЛЕННЯ ПРИЛАДІВ, ЗАСОБІВ АВТОМАТИЗАЦІЇ, ВИБІР НАПРУГИ ЖИВЛЕННЯ
.1
Вибір КВП
На принциповій електричній
схемі використовують вольтметр для контроля напруги, який можна підключити
через перемикач SA до кожної з трьох фаз.
Також підключаємо амперметр,
щоб контролювати струм в мережі, так як система урівноважена, досить підключи
прилад на одну фазу.
Для контролю частоти кожної
фази використовують герцмерт, який підключають так само як вольтметр.
Вибираємо вольтметр змінного
струму 3 335 розрахований на частоту 50 Гц і граничну величину вимірювання 450
В (включається безпосердньо). Споживана потужність 2 Вт, шкала - 160 мм. Робоче
положення вертикальне. Інтервал робочих температур від -40 до +50°С і вологість
до 95%. Вага 0,7 кг. Вид 26.1.2.Габарити 43-3-23.
Амперметр змінного струму 3
335, частота 50Гц. Граничне вимірювання амперметра, (включається
безпосередньо). Шкала 160 мм. Робоче положення вертикальне. Інтервал робочих
температур від -40 до +50°С. і вологість до 95%. Вібро-траскомічний.
Бризгозахищенмй 120-120-85 мм. 0,7кг. Вид 26.1.2. Габарити 43.3.23.
Частотометр Д 1606 КЛ.2.5.
Границя вимірювання 45-55Гц, номінальна напруга 380 В (включається
безпосередньо). Шкала 185 мм. Робоче положення вертикально-горизонтальне.
Інтервал робочих температур від -40 до +50°С і вологість до 95%. Вібраційний.
Віброударостійкий 120-120-120 мм. Вага 2,1кг. Вид 29.1.10. Габарити 43.1.3.
Напруга КВП та СА вибирається з
врахуванням прийнятих напруг в розподільчій мережі електропостачання
автоматизованого об'єкта. Для розподілу електроенергій використовують п'ятирипроводні
системи трифазного змінного стуму напругою 380 В з глухим заземленням нейтралі.
4.2
Вибір схеми сигналізації
Живлення виробничої
сигналізації виконується напругою 380 В змінного та постійного струму. Але при
використанні світлодіодів на низьку напругу застосовують окремі перетворювачі.
Для живлення стаціонарного освітлення щитів та малогабаритних пультів напруга
використовується до 380 В.
Джерело повинно бути достатньо
потужне та забезпечувати сталий рівень напруги.
Вимоги до відхилень напруги:
КВП регулюючі пристрої небільше
± 5% від номінальної напруги.
на електродвигунах, виконавчих
пристроїв, засувок - від 5 до ± 10% від номінального.
електромагнітних схем
сигналізації, ламп освітлення щитів - від -2.5 до + 5% номінальної напруги.
апаратів управління(катушок,
магнітних пускачів, електромагнітних реле). - від -5 до +10% номінального
значення напруги.
в колах напругою 12 та 36 В
допускаються втрати напруги до 10%, рахуючи від виводів низької напруги
понижуючих трансформаторів.
Арматура АСКМ виконана у
вигляді пластмасового циліндричного корпуса в який з фасадної сторони
вкручується різьбова втулка з кольоровою лінзою, а з протилежної знаходиться
колодка з виводами у вигляді пелюсток для припайки проводів.
4.3
Вибір регулятора температури
Основними приладами,реагуючими
на змінення температури в приміщенні і подаючи команду на змінення частоти
обертання вентиляторів, появляються трьохпозиційні полупровідникові
терморегулятори ПТР-3. Принципова схема терморегулятора показана на мал. стор.
.
Терморегулятор ПТР-3 працює від
живлення змінного струму напругою 220/127 В. Діапазон регуліруємих температур
від +5 до +35 С. Основна похибка по шкалі при температурі навколишнього
середовища 20 ± 5 С і номінальної напруги не більше ± 1°С. Максимальна відстань
між прибором і датчиком складає
Мал 4. Напівпровідниковий терморегулятор ПТР-3
5. ВИБІР ПЕРЕРІЗУ ПРОВОДІВ
ЖИВЛЕННЯ ТА УПРАВЛІННЯ
Визначивши номінальний струм
плавкої вставки, знаходять відповідний йому переріз провода. Вибір перерізу
провода залежать від того, буде він захищений плавкою вставкою тільки від к.з.,
чи і від перевантажень.
По правилам пристроїв
електроустановок від перевантажень потрібно захищати освітлювальну мережу в
житлових і громадських будинках, в торгових і службово-побутових, приміщеннях
промислових підприємств, а також в пожежно небезпечних приміщеннях. Мережі
любого призначення виконуються незахищеними проводами з горючою обмоткою,
необхідно також захистити від перенавантажень. В цих випадках потрібно вибрати
такий переріз, щоб було дотримане слідуюче правило
Ідоп ≥ 1,25*ІВ
Де Ідоп - допустимий струм
провода.
Тільки для кабелів з бумажною
ізоляцією допускається вибирати Ідоп ≥ Ів. Провіряють на тривалий робочий
струм установок: Ідоп ≥ Ір
Якщо замість плавких вставок
для захисту внутрішніх проводок застосовують автоматичні вимикачі, то при
захисті від перенавантажень вибирають також відхилення (Ідоп ≥1,25*Ів та
Ідоп ≥Ів ), що і при плавких вставках, а при захисті тільки від к.з.
- для автоматів з тепловими
розщеплювачами
- для автоматів з
електромагнітними розщеплювачами
де Іавт - струм спрацювання
автомата.
Вибравши переріз провода, його
провіряють також по формулі: Ідоп ≥ Ір
За умови механічної міцності
згідно ПУЕ переріз проводів не має бути менше 1,5 мм2.
).Вибираємо провід до двигунів
М1-М4:
Ід.пр. > 1,25·10 =12,5 А.
Вибираємо п'ятижильний провід,
площа поперечного перерізу 0,75 мм2,
Ідпр. = 15А - ПВС-5х0,75.
).Вибираємо провід до двигунів
М5-М8:
Ідпр. > 1,25·6 = 7,5 А.
Вибираємо п'ятижильний провід,
площа поперечного перерізу 0,75 мм2,
Ідпр. = 15А - ПВС-5х0,75.
3).Вибираємо провід до ТЕНів:
Ід.пр. > 1,25·10 =12,5 А.
Вибираємо п'ятижильний провід,
площа поперечного перерізу 0,75 мм2,
Ідпр. = 15А - ПВС-5х0,75.
).Вибираємо провід для
освітлення:
Ідпр. > 1,25·6 = 7,5 А.
Вибираємо двожильний провід,
площа поперечного перерізу 1,0 мм2,
Ід пр = 15А - ПРД-2х1,0.
).Вибираємо кабель для вводу:
Ідпр. > 1,25·25 = 25 А.
Вибираємо чотирижильний кабель,
площа поперечного перерізу 4,0 мм2 , площа поперечного перерізу нульової жили
2,5 мм2 ,д.kab = 1000 В, Ідкаб. = 15 А - АВРГ-Зх4,0 + 1x2,5, прокладений в
землі.
. РОЗРАХУНОК НАДІЙНОСТІ СХЕМИ
УПРАВЛІННЯ
Знаходимо надійність схем
управління за [11].
Якщо CAP відмовляє при відмові
будь-якого її блока (або підсистеми) то з огляду на надійність вона має послідовну
структуру.
. структура CAP була дійсно
послідовна з точки зору надійності;
. на протязі інтервалу годині
виконувалась умова:
Середній година відмови CAP
дорівнює:
В електронній схемі кожен блок
послідовного з'єднання являє собою один з компонентів перерахованих у таблиці.
Перед тім як використовувати наведені в ній значення інтенсивності відмови ,
слід помножити на відповідні поправочні коефіцієнти. їх три:
) температурний коефіцієнт ft з
табл.. 3;
) коефіцієнт впливу
навколишнього середовища fe, наведень у табл..4, відбиває вплив механічних
вібрацій та ударів;
) коефіцієнт
навантаження fr, наведень у табл.. 4, відбиває розрушуючу дію впливу
навантаження на резистори, конденсатори та транзистори. Для решти елементів
fr=l.
Середні години відмови.
Спочатку складаємо перелік
значень λі,
ift, ife, іfr, для кожного елемента. Визначаємо mλi
з врахуванням виправлень:
Таблиця 6
|
Назва
елемента
|
Кіль
кість
|
Інтенсивність
відмови 0,00001, І/рік.
|
ft
|
fe,
|
fr
|
mλi
|
|
Автоматичний
вимикач обертовий (на контактну пари)
|
4
|
0,01
|
1
|
1
|
-
|
0,04
|
|
Магнітний
пускач негерметезований (на контактну пару)
|
11
|
0,3
|
1
|
1
|
-
|
3,3
|
|
Магнітний
пускач негерметезований (обмотка)
|
11
|
0,1
|
1
|
1
|
-
|
1,1
|
|
Електромотори
малої потужності
|
8
|
0,5
|
1
|
1
|
1
|
4
|
|
Вимикачі
кнопкові (на кожну контактну пари)
|
15
|
0,02
|
1
|
1
|
1
|
0,3
|
|
Лампи
розжарювання
|
14
|
0.1
|
1
|
1
|
1
|
1,4
|
|
Гніздо
для лампи (на штир)
|
24
|
0,01
|
1
|
1
|
1
|
0,24
|
|
Запобіжники
плавкі
|
32
|
0,02
|
1
|
1
|
1
|
0,64
|
|
Мікровимикачі
(на кожну контактну пари)
|
6
|
0,01
|
1
|
1
|
1
|
0,06
|
|
З'єднання
обжимні
|
153
|
0,002
|
1
|
1
|
-
|
0,3
|
|
З'єднання
паяні
|
34
|
0,005
|
1
|
1
|
1
|
0,17
|
|
Реле
негерметезоване на обмотку
|
6
|
0,03
|
1
|
1
|
1
|
0,18
|
|
Реле
негерметезоване на контактну пару
|
12
|
0,003
|
1
|
1
|
1
|
0,036
|
|
Вимірюючи
показуючи прилади
|
4
|
0,01
|
1
|
1
|
1
|
0,04
|
Визначимо суму mλiλ
= (0,04 + 3,3 + 1,1 + 4 + 0,3 + 1,4 + 0,24 + 0,64 + 0,06 + 0,3 + 0,17 + 0,18 +
0,036 + 0,04 ) * 10-5 = 12,3*10-51/рік.
Середній час відмови
електропроводка щит газовий терморезистор
7. РОЗРОБКА КОНСТРУКЦІЇ ЩИТА
(ПУЛЬТА) УПРАВЛІННЯ
Рекомендуема мінімальна
відстань між корпусом приладів і апаратури встановленій на щитах і пультах
передбачають :
- мінімальну необхідну
відстань між корпусами приладів апаратури рахуючи від зовнішніх країв фланців
цих приборів чи зовнішніх країв виступаючих пневмоприставок ;
· відкриття
діверок на 120°;
· кріплення
приборів і апаратури;
· зручний
монтаж експлуатації.
Рекомендуема мінімальна
відстань між приладами і апаратурою проектуючи для установки на передніх
панелях щитів і верхніх панелях пультів визначаються по таблиці 9-11.
При розміщенні в середині щита
апаратури ланцюгів живлення рекомендується :
1.
ввідні
вимикачі і запобіжники встановлювати на окремих панелях живлення;
2.
групувати
на панелях живлення вимикачі і запобіжники по величині напруги (220В, 127В...);
3.
під
запобіжником і вимикачем встановлюють рамки з надписами характеризуючими
призначеннями і номінальні струми запобіжників і їх плавких вставок;
4. під запобіжником і
вимикачем, призначеними для одного кола живлення, встановлюють одну рамку з
написом.
При розборці конструкції щита
(пульта) управління були враховані розміри всіх елементів схеми, відстані між
ними.
Для схеми АВР вибираємо шкаф
малогабаритний ЩЩМ-1Д розмірами 600x900x450мм з однією дверцею, для системи
управління вентиляцією-ЩЩМ-1Д: 900x1100x450мм ( арк. З графічної частини).
На дверці щита АВР розміщуємо
прилади для контролю і вимірюваннянаявних величин напруги, струму і частоти.
Габаритні розміри амперметра і
вольтметра 160x160x170мм.
Вольтметр і герцметр керується
комутацією перемикачів, які розміщені під ними і мають розміри 65x65x65 мм.
Крім цих пристроїв на дверку
виносимо лампочки вводу (220В) арматура АСКМ, діаметр яких дорівнює 40 мм,
глибина 100 мм.
На дверці щита системи
управління вентиляцією розміщуємо десять ламп на 220 В габарити якої: діаметр
40мм, глибина - 100мм.
В середину щита АВР заносимо
такі елементи як:
· запобіжники
вводу - 250х 115x111 -запобіжники -376x115x111
· автоматичні
вимикачі вводу - 110x175хЦ0
· магнітні
пускачі вводу - 85 х Ю0х 110 -реле-65x105x140
Відстані між цими елементами
-45мм, відстані між окремими пристроями та стінками щита - 50мм для прокладання
проводів в середині щита. Відстань між задньою стінкою щита і рамкою на якій
кріпляться елементи - 180мм.
7.1 РОЗРОБКА МОНТАЖНОЇ СХЕМИ
ЩИТА (ПУЛЬТА) УПРАВЛІННЯ
До технологічного процесу
згідно завдання входить автоматизація технологічних процесів . Технологічний
процес керований з центрального пульта управління, на якому розташовано
сигнальні лампи, що сповіщають про наявність напруги живлення в мережі живлення
.
Основні функції автоматичного
управління електричним приводом - запуск електродвигуна та його зупинка.
На пульті управління
розташовано контрольно - вимірювальні прилади амперметр -контролю навантаження
силового кола, вольтметр - контролю напруги живлення, частотомір - контролю
частоти напруги мережі.
Функціональна схема наведена на
аркуші 1.
Вихідним матеріалом для
проектування монтажної схеми шита (пульта) є:
·
принципова
схема автоматизації;
·
загальний
вигляд щита;
·
принципові
схеми живлення засобів автоматизації;
·
принципові
елементні схеми автоматизації;
·
схеми
електричних проводок;
·
монтажно
експлуатаційні інструкції заводів, виготовлювачів.
В щитах та пультах дозволяється
проектувати ввід електричного струму для живлення засобів автоматизації та
апаратури управління наступних напруг:
· в
щитах із засобами автоматизації - до 250 В змінного та постійного струму;
допускається при умові закриття кожухом струмопровідних частин апаратури та
збірок зажимів з напругою вище 250 В постійного струму та до 400 В змінного
струму.
· в
шафові малогабаритні щити з боковими дверцями або панельними, що мають
можливість доступу тільки з одного боку при ширині більше 600 мм, - до 36В
постійного та змінного струму.
Проводи та кабелі живлення
підводять безпосередньо до вводу вимикача щита. Індивідуальні кола живлення
засобів автоматизації, схем управління, сигналізації рекомендується підводити
від ввідного вимикача до відповідних вимикачів та запобіжників. Розводка
індивідуальних кіл живлення повинна виконуватись згідно прийнятим рішенням в
принципових електричних схемах живлення.
Підвід живлення до панелі
освітлення повинен виконуватись проводами та кабелями від освітлювальної мережі
даного приміщення.
Вимоги до електропроводок щитів
(пультів) управляння. При виконанні монтажних схем щитів рекомендується
передбачати з'єднання внутрішньої та зовнішньої проводок за допомогою :
комутаційних затискачі, ввідних гребінок (для кіл з малими струмами ).Для даної
конструкції щита управління приймаємо затискачі комутаційні типу ЗК-2,5,
колодки маркувальні типу КМ-4, заглушки для затискачі з напругою до 380 В . При
приєднанні жил кабелів та проводів необхідно передбачати :
·
резервну
довжину, що забезпечує приєднання жили (у випадку її обриву) до затискачів без
напаювання проводів,
·
прямі
ділянки, що забезпечують встановлення виробів для закінчування та маркування у
відповідності до табл. 11-7 та 11-8 ст. 190-191 (3).
Приймаємо закінчувані типу ОКМ
призначені для закінчування та маркування проводів та жил кабелів, приєднаних
до збірки затискачів. Нормаль МН-2173-61.
Ввід кабелів та проводів
зовнішньої проводки виконуємо знизу щита управління.
Вибір проводів для комутації
пульта ( щита ) керування.
Марка і переріз проводів для
комутації щита (пульта) управління вибирається за допомогою монтажних схем.
Гнучкі провода встановлюємо на рухомих конструкціях (дверцятах, кришках ).
Провода з поліхлорвініловою ізоляцією застосовуємо для комутації багато
точкових перемикачів, малогабаритних реле та апаратури з великою кількістю
приєднань.
У технологічному процесі
передбачено прокладку проводів до швейних напівавтоматів одножильними мідними
гнучкими проводами у трубі типу 3*ПР-10 напругою ізоляції до 600В.
Креслення монтажних схем
виконують окремим кресленням для кожної панелі. Дозволяється на одному аркуші
виконати монтажну схему панельного щита з декількох панелей.
Заземленню підлягають всі щити,
що встановлюються в приміщеннях всіх категорій при наявності на них засобів
автоматизації, що потребують номінальної напруги 127В і вище змінного струму. В
цьому випадку всередині щита заземлюють прилади та апаратуру. При підводці
живлення до щита від електроустановки з ізольованою нейтраллю повинні бути
передбачені контроль та сигналізація ізоляції мережі. (ПУЕ, У11-3-82).
В приміщеннях всіх категорій в
якості заземлюючого провода допускається використовувати заземлені стальні
захисні труби електричних проводок.
Для заземлення всередині щитів
приладів, засобів автоматизації та апаратури в якості заземлюючих провідників
рекомендується використовувати мідні ізольовані провода перерізом 1,5 або 2,5
мм2 тої марки, що використовувалась для монтажу щита.
З метою дотримання техніки
безпеки необхідно передбачити в проектах автоматизації закриття підлоги
всередині щита гумовою ізоляційною ковдрою.
.2 РОЗРОБКА ТЕХНОЛОГІЇ
ВИГОТОВЛЕННЯ ТА МОНТАЖУ ЩИТА (ПУЛЬТА) УПРАВЛІННЯ
Виготовлення корпусів щитів
виконується на устаткуванні монтажно -заготівельних дільниць і доставляється на
місце монтажу з виготовленими отворами, кріпильними засобами, пофарбованими та
з необхідними пристроями для виконання заземлення.
Монтажно - заготівельна
дільниця має два основні відділення : слюсарно -механічне та трубозаготівельне.
Поступаючі з заводів серійно
випущені вироби ( монтажні вузли, деталі, перфоровані вироби ) складуються у
закритих приміщеннях . Матеріали , що надходять від замовника та генпідрядника
( труби, кабельна продукція, товарний метал ) складуються на відкритих
площадках під навісом , а прилади та матеріали, що потребують закритого
зберігання - у опалюваних закритих приміщеннях . Для виготовлення нестандартного
обладнання, вузлів та блоків монтажні вироби поступають на ділянку комплектації
та розмітки .
Одночасно зі складу на ділянку
токарної обробки металу передаються матеріали для виготовлення нестандартних
деталей, що потребують токарної обробки. Виготовлені деталі поступають на
дільницю зборки або ідуть на дільницю зварки для подальшого укрупнення. На
дільниці виконуються маркування виробів заводського виготовлення, що не
потребують подальшої механічної обробки, приладів та обладнання, після чого все
це направляється на дільницю збірки для встановлення на вузлах, блоках тощо.
Решта матеріалів та виробів після розмітки на дільниці поступають на дільницю
різки, з якої частина матеріалів (перфовиробів ) поступає на зборку , частина (
заготовки металоконструкцій ) - на зварку , а частина - на подальшу обробку на
дільниці вирубки або дільниці гнуття . Після дільниці вирубки заготовки
поступають на дільницю гнуття . Потім частина заготовок направляється для
зварки на дільницю зварки, а частина прямо на дільницю зборки. Заготовки, що
поступають на дільницю зварки, після зварки передаються на дільницю зачистки, а
звідти - на дільницю зборки. Після контрольної зборки блоків або зборки окремих
вузлів елементи, що потребують фарбування, направляються на дільницю фарбування.
Фарбовані елементи повертаються на дільницю зборки, де відбувається остаточна
зборка ( установка приладів, виконання трубної та електричної комутації тощо).
Готові вузли, блоки та не стандартизоване обладнання здають на склади готової
продукції, а звідтіля видають на монтаж.
На складах готової продукції
вузли та блоки, що мають у своєму складі прилади та регулюючі пристрої, повинні
зберігатись у закритих опалювальних приміщеннях. Металічні конструкції без
приладів та регулюючих пристроїв можуть зберігатись під навісом.
У відповідності до графіка
поставки готова продукція відправляється на при об'єктні склади монтажних
ділянок або безпосередньо на монтажну площадку.
7.3 ВИБІР СПОСОБУ МОНТАЖУ
ПРИСТРОЇВ ТА ПРОКЛАДКИ ПРОВОДІВ ТА ТРУБ
Електропроводки систем
механічного контролю і автоматичного регулювання представляють собою комплекс,
який складається з кабельних ліній і ліній електричних проводів, з'єднувальних
і приєднувальних засобів, металічних конструкцій і коробів, які прокладені і
закріплені на елементах будівель, для прокладки кабелів і проводів, пристроїв
їх кріплення і захисту від механічних пошкоджень.
Електропроводки призначені для
кіл вимірювань, управління і сигналізації і служать для з'єднання приладів
регуляторів, апаратури управління і інших засобів автоматизації, які
встановлюються поза щитами і пультами, з приладами і апаратурою, розташованими
на щитах і пультах, а також між собою. Нижче розглядаються електричні проводки
систем автоматизації напругою до 400В змінного і до 440В постійного струму.
Переріз проводів і кабелів
систем електроживлення засобів автоматизації мають вибиратися по максимально
допустимому струму навантаженні і механічної міцності з наступною перевіркою по
втраті напруги.
При виробі перерізу жил
провідників розрахунковий струм приймається як більше значення, який
визначається двома умовами: розрахунковим струмовим навантаженням і номінальним
струмом або струмом спрацювання захисного апарату. При цьому розрахунковий
струм має рівнятися або бути меншим за допустимий тривалий струм навантаження.
Переріз проводів і кабелів ланцюгів управління, вимірювання, сигналізації і
т.д. вибирається так як і переріз провідників і ланцюгів живлення при в виборі
перерізів провідників ланцюгів вимірювання необхідно також враховувати вимоги,
які представляються до їх опору технічними умовами на апаратуру
заводів-виготовлювачів.
По умовам механічної міцності
допустимі мінімальні перерізи жил кабелів і проводів будь-яких ланцюгів систем
автоматизації, мають бути не менше:
Для електропроводок систем
автоматизації, виконаним алюмінієвими проводами, - 2,5мм2.
Для електропроводок напруги до
60В, виконаних мідними проводами, -0,2мм2.
Для електропроводок напругою до
500В, виконаних мідними проводами, -0,75мм2
Для електропроводок в захисних
трубах і глухих коробах напругою до 500В, виконані мідними проводами , - 1,0мм2
Для живлення електрифікованого
інструмента і переносного освітлення виконаного гнучкими мідними проводами, -
1,5мм2.
Електропроводки прокладають по
найкоротшим відстаням між з'єднуючими приладами і засобами автоматизації,
паралельно стінам перекриттям і колонам, з мінімальною кількістю обертів і
перетинань, зручно розташовують для монтажу і експлуатації, а також достатньо
віддаляють від місць з підвищеною температурою, технологічного обладнання і
електрообладнання, силових і освітлюючи ліній, уникаючи перехрещування з іншими
електропроводками і технологічними трубопроводами. Траса вибирається з
врахуванням найменшого розходу проводів і кабелів.
Електропроводки захищають від
механічних пошкоджень, корозії, координують відносно будівельних споруд. Траса
має бути узгоджена з установкою технологічного обладнання і прокладкою трас
електропроводок електропостачання і силового обладнання.
Комутація повинна виконуватись
у відповідності до монтажно -комутаційної документації з врахуванням можливості
розбірки щитів (пультів) на окремі панелі. Електричну комутацію на щитах для
систем вимірювань, регулювання управління та сигналізації напругою до 400В
виконують проводами марки ПРЛ перерізом до 1 мм2 .Електричну проводку в щитах
для комутації кіл із системами з малими струмами управління та сигналізації
виконують проводом з поліхлорвшіловою ізоляцією типу ПМВГ перерізом 1,5 мм
напругою до 200В.
Окремі проводи вкладаємо у
пакети, що прокладаються в горизонтальному та вертикальному напрямку. Пакети
проводів, а також одинарні проводи та кабелі надійно закріплюємо на панелях
щитів або спеціальних конструкціях. Вигини проводів та кабелів виконуємо
радіусом не менше шести діаметрів для кабеля.
Кінці кабелів, що заведено до
щита повинні бути розроблені, а кінці проводів у місці виходу жил проводу з-під
ізоляції захищають спеціальним пластмасовим закінчувачем або бандажем з суворих
ниток, ізоляційної стрічки, просоченої ізоляційним лаком.
При виконанні комутації гнучким
проводом, його кінці потрібно скручувати та пропаювати. На всіх жилах та
проводах в місцях їх підключень обов'язково повинна бути виконано маркування у
відповідності до позначень монтажно - комутаційної схеми. У випадках, коли
провід або жила з'єднують прилади, апаратуру та арматуру, що встановлені на
одній панелі щита і прокладаються так, що їх шлях можна прослідкувати,
маркування необов'язкове.
У випадках, коли затискачів у
збірці так багато, що їх розміщення в один ряд важко виконати, розташовують у
два та більше рядів, з відстанню між віссю рядів повинно бути не менше 150-200
мм.
Передбачаємо спосіб монтажу
проводів пакетами на перфорованих профілях та стрічках.
Цей спосіб прокладки проводів
відноситься до виду монтажу з жорстким кріпленням проводів але в основу
покладено перфоровані стрічки та рейки. Проводи прокладаються по прокладках з
електрокар тону або лакованої тканини що відділяють окремі потоки проводів від
металевої перфорованої основи. їх кріплять за допомогою смужок - пряжок. В
місцях кріплення на потік проводів накладають додаткову ізоляцію з електрокар
тону або лакованої тканини.
На перфорованих доріжках
виконують одношарову прокладку широких потоків проводів
.4 ВИБІР УСТАНОВОЧНИХ
МАТЕРІАЛІВ, ТА СКЛАДАННЯ СПЕЦИФІКАЦІЇ НА ЗАМОВЛЕННЯ
За даними проекту автоматизації
технологічного процесу виписуємо розраховані елементи схеми електропостачання
та управління схеми автоматичного вмикання резервного живлення та вибираємо
конструктивні елементи установочних матеріалів пультів (щитів ).
Вибір перерізу жил проводів та
кабелів системи електричного живлення виконується за максимально допустимим
тривалим струмом навантаження та механічною міцністю з наступною перевіркою на
втрату напруги.
). Вибір даних споживачів. Дані
заносимо в таблицю 7.
Табл 7
|
Тип
|
Номін.
Потужність, кВт
|
Номінальнанапруга,
В
|
Частота
обертання, об/хв
|
Струм
статора при 380В, А
|
ккд,
%
|
Cos
φ
|
І
ПУСК /І НОМ
|
|
4AA-100L
|
1,5
|
380
|
2000
|
4,8
|
80,5
|
0,88
|
7
|
|
4АА-56А
|
0,12
|
220
|
1500
|
0,42
|
86
|
0,6
|
5
|
|
СФАО-
2/0,5
|
2,0
|
380
|
-
|
-
|
1
|
-
|
). Вибір запобіжників. Дані
заносимо в таблицю 8
Табл 8
|
Тип
|
Номінальна
напруга, В
|
Номінальний
струм,А
|
Граничний
відмикаючий струм, кА при напрузі 380 В
|
|
|
Запобіжника
|
Плавкої
вставки
|
|
|
ПНП-60
|
~
500
|
60
|
25
|
10
|
|
ПНП-60
|
~
500
|
60
|
10
|
10
|
|
ПНП-60
|
~
500
|
60
|
6
|
10
|
3). Вибір автоматичних
вимикачів . Дані заносимо в таблицю 9
Табл 9
|
Тип
|
Номінальний
струм, А
|
|
Вимикача
|
Розчіплювача
|
|
А3740
В
|
630
|
500
|
|
ВА-57
|
60
|
40
|
|
ВА-57
|
40
|
20
|
|
С-10
|
25
|
10
|
). Вибрані кнопкові станції
типу КУ-122-1М і КМЗ-3.
). Вибір сигнальної лампи -
світлова арматура типу АС-220 з UH0M =200В.
). Вибір магнітних пускачів.
Паспортні дані заносимо до таблиці 10.
Табл 10
|
Позначення
типу в залежності від виконання оболонки
|
Ном.
струм пускача при напрузі 380 В.
|
Потужність
кВт/ при напрузі, В
|
|
П-6
|
10А
|
2,8/380
|
|
ПНВС-10
|
5А
|
0,6
/ 220
|
|
МПКРО-114
|
50А
|
1,5/220
|
|
ПА-300
|
145
А
|
17/380
|
). Вибір елементів бази системи
автоматизації заносимо до таблиці 11.
Табл 11
|
Позначення
на схемі
|
Назва
|
Тип
|
Кількість
|
Технічна
характеристика
|
|
А
|
Амперметр
електромагнітний
|
Е-378
|
1
|
0-100А
|
|
SF1.SF2
|
Вимикач
пакетний
|
ПЕМЗ
|
1
|
380В,63А
|
|
HLG1,
HLG2
|
Лампа
в арматурі з зеленою лінзою АС-200
|
Ц-220-25
|
2
|
220В,
ЮВт
|
|
HLR1,
HLR2
|
Лампі
в арматурі з червоною лінзою АС-200
|
Ц-220-25
|
2
|
220В,
ЮВт
|
|
SA1,SA2
|
Перемикач
|
ПМОФ
|
2
|
370В,6А
|
|
F1-F2
|
Запобіжник
|
ПР-2
|
72
|
500В,
100А
|
|
КМ1.КМ2
|
Магнітний
пускач
|
ПА-411
|
12
|
220В,63А
|
|
KV1.KV2
|
Реле
напруги (обриву)
|
Е-511
|
2
|
380В,1з-1р
|
|
V
|
Вольтметр
електромагнітний
|
Е-378
|
1
|
0-250В
|
). Провода ( кабелі ) живлення.
Табл 12
|
Назва
проводу/кабеля
|
Марка
|
Переріз,
мм2
|
Напруга,
В
|
Зовнішній
діаметр, мм
|
|
Провід
з поліхлорвініловою
|
ПВС-
5x0,75
|
0,75
|
До
500
|
5,1
|
|
Провід
поліхлорвінілов. із.
|
ПРД-2x1,0
|
1,0
|
До
500
|
2,8
|
|
Кабель
з гумовою ізоляцією
|
АВРГ-
3x4,0+1 х2,5
|
2,5
|
До
1000
|
5
|
Табл 13
|
№
поз. За технологічною схемою, Місце встановлення
|
Назва
та технічна характеристика основного та комплектуючого обладнання, приладів,
арматури, матеріалів, кабельних та інших виробів
|
Тип,
марка обладнання, матеріал обладнання
|
Одиниця
виміру
|
|
|
|
назва
|
кількість
|
|
Електротехнічне
обладнання
|
|
Запобіжник
|
ПНП-60;25А
|
шт.
|
6
|
|
Запобіжник
|
ПНП-60;10А
|
шт.
|
12
|
|
Запобіжник
|
ПНП-60;6А
|
шт.
|
14
|
|
Автоматичний
вимикач
|
А3740В;500А
|
шт.
|
2
|
|
Автоматичний
вимикач
|
ВА-57;40А
|
шт.
|
4
|
|
Автоматичний
вимикач
|
ВА-57;20А
|
шт.
|
5
|
|
Автоматичний
вимикач
|
С-10;10А
|
шт.
|
1
|
|
Асинхронний
двигун
|
4AA-100L
|
шт.
|
4
|
|
Асинхронний
двигун
|
4АА-56А
|
шт.
|
4
|
|
Магнітний
пускач
|
П6,380В,2,8кВт
|
шт.
|
5
|
|
Магнітний
пускач
|
ПНВС-10;380;0,6кВт
|
шт.
|
1
|
|
Магнітний
пускач
|
ПА-
300;36А;17кВт; 380В
|
шт.
|
2
|
|
Магнітний
пускач
|
МПКРО-114;380В;1,5кВт
|
шт.
|
6
|
|
Кнопкова
станція
|
КУ-122-1М
|
шт.
|
7
|
|
Кнопкова
станція
|
КМЗ-3
|
шт.
|
5
|
|
Сигнальна
арматура
|
АСКМ
|
шт.
|
14
|
|
Елементи
схеми АВР
|
|
Амперметр
електромагнітний
|
Е-378
|
шт.
|
1
|
|
Вимикач
пакетний
|
ПЕМЗ
|
шт.
|
1
|
|
Лампа
в арматурі з зеленою лінзою АС-200
|
АС-220
|
шт.
|
2
|
|
Лампа
в арматурі з червоною лінзою АС-200
|
АС-220
|
шт.
|
2
|
|
Перемикач
|
ПМОФ,380В,6А
|
шт.
|
1
|
|
Запобіжник
|
ПНП-60,500В,10А
|
шт.
|
6
|
|
Магнітний
пускач
|
ПА-
300,380В, 17кВт
|
шт.
|
2
|
|
Реле
напруги (обриву)
|
Е-511
|
шт.
|
2
|
|
Вольтметр
електромагнітний
|
Е-378
|
шт.
|
1
|
|
Напівпровідниковий
регулятор темпераури
|
ПТР-3;-30...+60
|
шт.
|
1
|
|
Регулятор
температури
|
ТУДЕ-
1
|
шт.
|
1
|
|
Проводи
живлення
|
|
Провід
мідний двожильний
|
ПРД-2х1,0
|
м
|
100
|
|
Провід
мідний п'ятижильний
|
ПВС-5х0,75
|
м
|
400
|
|
Кабель
мідний п'ятижильний
|
АВРГ-
3x4,0+1x2,5
|
м
|
100
|
|
Пульти
(щити ) управління
|
|
Щит
шкафний малогабаритний з однією дверцею
|
ЩЩМ-1Д
900x1100x450мм
|
шт.
|
1
|
|
Щит
шкафний малогабаритний з однією дверцею
|
ЩЩМ-1Д
600x900x450мм
|
шт.
|
1
|
|
|
|
|
|
|
|
8. ВИБІР ТЕХНОЛОГІЇ,
ІНСТРУМЕНТУ ТА ПРИСТОСУВАНЬ ПІДГОТОВЧИХ РОБІТ
Для виконання підготовчих робіт
по виготовленню щитів (пультів ) на монтажно - заготівельних дільницях
використовуємо індустріальний метод з метою зменшення витрат на підготовчі
роботи. Технологічна послідовність підготовчих робіт визначено в п. 4 даного
проекту.
Металоріжуче та металообробне
обладнання. Приймаємо ножиці для різки листів листової та сортової сталі
кривошипні листові з похилим ножем (гільйотинні ) моделі Н-3118.
Для поперечної різки сортової
сталі, пробивки отворів, вирубки полок та виконання штампувальних робіт
вибираємо ножиці типу ПН-1М.
Зварювальні трансформатори на
монтажно-заготівельних дільницях для виконання електрозварювальних робіт по
виготовленню різних метал оконструкцій, а також на монтажі.
При монтажі приладів та засобів
автоматизації застосовуємо спеціальний інструмент.
Електричний інструмент.
Електричні шліфувальні машинки призначені для зачистки зварних швів, штамповок
, очищення металоконструкцій від іржі. Приймаємо шліфувальну машинку типу
WSBA-1400 для профілів , труб, для монтажної дільниці та монтажно -
заготівельної дільниці.
Електрична свердлильна машина
призначена для свердлення отворів в сталях різної міцності, цеглі, кольорових
металах, пластмасах та дереві. Приймаємо свердлильну машинку типу ИЕ-1006 з
максимальним діаметром свердла 15мм.
Підйомно - транспортне
обладнання та механізми. Для підйому та переміщення та транспортування
всередині МЗД матеріалів, вузлів та блоків, а також для навантаження на
транспортні засоби при вивозі її на об'єкти монтажу використовують крани
підвісні, одно балочні полегшеного типу вантажопідйомністю 1 та З Т., драбини монтажні
типу Л-312.
. ВИБІР ТЕХНОЛОГІЇ ,
ІНСТРУМЕНТІВ ТА ПРИСТОСУВАНЬ МОНТАЖНИХ РОБІТ
9.1
Виконання електропроводок
Розмітка траси електропроводок
визначає точні місця установки щитів , приладів, регуляторів та інших засобів
автоматизації. Розмітка трас електропроводок виконується у відповідності до
монтажних креслень проекту автоматизації та проекту виконання робіт.
.2
Інструмент та пристосування для електромонтажних робіт
. Приймаємо індивідуальний
набір інструменту електромонтажника приладів та засобів автоматизації
конструктивно виконаний і у розкладній сумці
. 1нструментальний набір для
робіт з монтажу вторинної комутації типу ИН-4 у складі :
пасатижі електромонтажні,
бокорізів спеціальних з ізольованими ручками, типу НМ-2, метр складний
металевий.
. Індикатор номера жил типу
ИНЖ-1 призначений для відшукання (продзвонки) тотожних жил багатожильних
кабелів та джгутів перед підключенням їх до електроапаратури до 52 кіл.молотка
слюсарного, викрутки з держаком гвинта, викрутки з діелектричною ручкою, постійні
магніти 2 шт. , індикатор напруги до 500В типу ИН-90, ключ гайковий двобічний
9-11, кліщі типу КСИ для зняття ізоляції, ніж монтерський.
СКЛАДАННЯ ЗАМОВЛЕННЯ НА ЗАСОБИ
ВИКОНАННЯ РОБІТ
|
№
поз. за технологічною схемою, місце встановлення
|
Назва
та технічна характеристика основного та комплектуючого обладнання, приладів,
арматури, матеріалів, кабельних та інших виробів
|
Тип,
марка обладнання, матеріал обладнання
|
Одиниця
виміру
|
|
|
|
Назва
|
К-сть
|
|
Інструментальний
набір
|
ИН-4
|
компл.
|
6
|
|
Метр
складний металевий
|
|
шт.
|
1
|
|
Ніж
монтерський
|
НМ-2,
|
шт.
|
4
|
|
Кліщі
для зняття ізоляції
|
КСИ
|
шт.
|
5
|
|
Ключ
гайковий двобічний 9-11
|
|
шт.
|
4
|
|
Індикатор
напруги
|
ИН-90,
до 500В
|
шт.
|
2
|
|
Викрутки
з діелектричною ручкою
|
|
шт.
|
3
|
|
Викрутки
з держаком гвинта
|
|
шт.
|
2
|
|
Молоток
слюсарний
|
|
шт.
|
2
|
|
Бокорізи
спеціальні з ізольованими ручками
|
|
шт.
|
3
|
|
Пасатижі
електромонтажні
|
|
шт.
|
2
|
|
Індикатор
номера жил
|
ИНЖ-1
|
шт.
|
6
|
10. ВИБІР ТЕХНОЛОГІЇ,
ІНСТРУМЕНТУ ТА ПРИСТОСУВАНЬ НАЛАГОДЖУВАЛЬНИХ РОБІТ
Після закінчення комутації слід
ретельно перевірити правильність всіх виконаних з'єднань спочатку шляхом
огляду, а потім методом подзвонювання. Крім того, потрібно провести мегомметром
перевірку якості ізоляції. Опір ізоляції струмопровідних частин та проводів
повинен бути не менше 20 МОм (при вологості середовища не більше 80% та
температурі не вище +35° С). Перевірка ізоляції повинна виконуватись при
відключених приладах, але при ввімкнутих в коло перевірки арматурою та
апаратами.
На щитах контролю та автоматики
встановлюється велика кількість приладів, що потребують підводки електричного
живлення. У відповідності до діючих технічних правил до кожного з них
підводиться самостійна лінія живлення, в якій обов'язково повинні бути
встановлені відключаючи та захисні пристрої.
Програма налагоджувальних робіт
складається по видах електрообладнання.
До початку налагодження слід
підібрати та укомплектувати необхідну електровимірювальну апаратуру, інструмент
та захисні засоби з техніки безпеки.
Всі прилади попередньо
перевіряють. Вони повинні мати пломби, підтвердження строку періодичного
випробування. Для приладів високого класу точності ( 0,2-0,5) потрібно мати
таблиці похибок. Захисні засоби повинні мати клеймо з датою останньої
перевірки.
Кожна налагоджувальна бригада
забезпечується комплектом вимірювальних приладів, апаратури та проводів,
захисними засобами з техніки безпеки ( гумові рукавиці, захисні окуляри,
індикатори напруги , попереджувальні плакати, гумові боти ). Принципові та
монтажні схеми, бланки протоколів налагодження.
Перед виконанням
налагоджувальних робіт слід впевнитись, що на всіх об'єктах прибрано будівельне
та монтажне сміття, все обладнання відчищене від пилу та бруду, виконано
обдування стиснутим повітрям, видалено змащувальне покриття що покривало деякі
апарати для захисту від корозії при зберіганні на складах до монтажу, прибрано
прокладки та зняті кріплення рухомих частин встановлені заводом -
виготовлювачем на час транспортування.
Слід впевнитись у наявності
пломб відділу технічного контролю заводу на апаратурі, що за технічними умовами
повинна мати пломби. Ретельно виконати зовнішній огляд кожного апарату по
окремо для визначення наявних видимих пошкоджень ( зломів , тріщин на металевих
деталях , перекосів).
При зовнішньому огляді проводок
перевіряють якість монтажних робіт та відсутність видимих пошкоджень ( обривів
, пошкоджень ізоляції ), надійність кріплення проводів та кабелів у панелях ,
відповідність встановленого обладнання проектному.
Перевірку обладнання під
напругою можна виконувати тільки після встановленні всього обладнання за
проектом та повного закінчення електромонтажних робіт по прокладці та
маркуванню кіл, розробки кабелів та підключення всіх проводів. Перед подачею
напруги на схему потрібно перевірити ізоляцію та правильність комутації.
Після цього необхідно виконати
наступний порядок робіт :
подача напруги у вторинні кола
за постійною схемою та комплексна перевірка дії всіх елементів, їх
взаємозв'язки та блокування у всіх передбачених проектом режимах роботи (
ручному, автоматичному );
перевірка роботи схеми та
окремих елементів при нормованих відхиленнях напруги;
перевірка дії та налагодження
комутаційної апаратури;
випробування вторинних кіл
підвищеною напругою.
Пробне вмикання всього об'єкту
налагодження виконується після закінчення налагодження окремих його частин у
два етапи : вмикання "вхолосту" та вмикання під навантаження в
робочих режимах.
СКЛАДАННЯ ЗАМОВЛЕННЯ НА ЗАСОБИ
ВИКОНАННЯ РОБІТ
|
Назва
та технічна характеристика основного та комплектуючого обладнання, приладів,
арматури, матеріалів, кабельних та інших виробів
|
Тип,
марка обладнання, матеріал обладнання
|
Одиниця
виміру
|
|
|
назва
|
кількість
|
|
Мегомметри
переносні
|
МІ
102/1
|
шт
|
1
|
|
Осцилограф
|
С1-13А
|
піт
|
1
|
|
Комбінований
прилад переносний
|
|
|
|
|
універсальний
( постійного та
|
|
|
|
|
змінного
струму)
|
Ц4311
|
шт
|
3
|
|
Повірочні
установки постійного
|
|
|
|
|
та
змінного струму
|
У300
|
шт
|
1
|
11. СПЕЦІАЛЬНЕ ЗАВДАННЯ
Застосування терморезисторів
для визначення температури і швидкості газового потоку
Терморезистори відносяться до параметричних
датчиків температури, оскільки їхній активний опір залежить від температури.
Терморезистори називають також термометрами
опору чи термоопорами. Вони застосовуються для виміру температури в широкому
діапазоні від -270 до 1600 °С.
Якщо терморезистор нагрівати, пропускаючи через
нього електричний струм, то його температура буде залежати від інтенсивності
теплообміну з навколишнім середовищем. Тому що інтенсивність теплообміну
залежить від фізичних властивостей газового чи рідкого середовища (наприклад,
від теплопровідності, щільності, в'язкості), у якій знаходиться терморезистор,
від швидкості переміщення терморезистора щодо газового чи рідкого середовища,
то терморезистори використовуються й у приладах для виміру таких неелектричних
величин, як швидкість, витрата, щільність і ін.
Розрізняють металеві і напівпровідникові терморезистори.
Металеві терморезистори виготовляють з чистих
металів: міді, платини, нікелю, заліза, рідше з молібдену і вольфраму.
Для більшості чистих металів температурний
коефіцієнт електричного опору складає приблизно (4 - 6,5)· 10-3 1/С°, тобто при
збільшенні температури на 1 °С опір металевого терморезистора збільшується на
0,4-0,65 %. Найбільше поширення одержали мідні і платинові терморезистори.
Хоча залізні і нікелеві терморезистори мають
приблизно в півтора разу більший температурний коефіцієнт опору, ніж мідні і
платинові, однак застосовуються вони рідше. Справа в тім, що залізо і нікель
сильно окисляються і при цьому змінюють свої характеристики. Узагалі додавання
в метал незначної кількості домішок зменшує температурний коефіцієнт опору. Сплави
металів і метали, що окисляються, мають низьку стабільність характеристик.
Однак при необхідності вимірювати високі температури приходиться застосовувати
такі жароміцні метали, як вольфрам і молібден, хоча терморезисторы з них мають
характеристики, що трохи відрізняються від зразка до зразка.
Широке застосування в автоматиці одержали
напівпровідникові терморезистори, що для стислості називають термісторами.
Матеріалом для їхнього виготовлення служать
суміші оксидів марганцю, нікелю і кобальту; германій і кремній з різними
домішками й ін.
У порівнянні з металевими терморезисторами
напівпровідникові мають менші розміри у великі значення номінальних опорів.
Термістори мають на порядок більший температурний коефіцієнт опору (до -6 ·
10-3 1/С°,). Але цей коефіцієнт -відємний, тобто при збільшенні температури
опір термістора зменшується. Істотний недолік напівпровідникових
терморезисторів у порівнянні з металевими - мінливість температурного
коефіцієнта опору.
З ростом температури він сильно падає, тобто
термістор має нелінійну характеристику. При масовому виробництві термістори
дешевше металевих терморезисторов, але мають більший розкид характеристик.
Металеві терморезистори
Опір металевого провідника R залежить від
температури:
де С - постійний коефіцієнт, що залежить від
матеріалу і конструктивних розмірів провідника; α
- температурний коефіцієнт опору; е - основа натуральних логарифмів.
На мал. 4 показаний пристрій платинового
термометра опору. Сам терморезистор виконаний із платинового дроту 1, намотаної
на слюдяну пластину 2 з нарізкою. Слюдяні накладки 3 захищають обмотку і
кріпляться срібною стрічкою 4. Срібні виводи 5 пропущені через порцелянові
ізолятори 6. Термоопір міститься в металевий захисний чохол 7.
Мал 4. Платиновий термометр опір
Напівпровідникові терморезистори
Опір напівпровідникових терморезисторів
(термісторів) різко зменшується з ростом температури. Їхня чутливість значно
вище, ніж металевих, оскільки температурний коефіцієнт опору напівпровідникових
терморезисторів приблизно на порядок більше, ніж у металевих. Правда, для
термісторів цей коефіцієнт непостійний, він залежить від температури і їх рідко
користаються при практичних розрахунках.
Основною характеристикою терморезистора є
залежність його опору від абсолютної температури Т:
де А - постійний коефіцієнт, що залежить від
матеріалу і конструктивних розмірів термістора; В - постійний коефіцієнт, що
залежить від фізичних властивостей напівпровідника; е - основа натуральних
логарифмів.
Порівняння формули показує, що в термісторів з
ростом температури опір зменшується, а в металевих терморезисторів -
збільшується. Отже, у термісторів температурний коефіцієнт опору має відємне
значення. Серійно випускаються мідно-марганцеві (тип ММТ) і
кобальтово-марганцеві (тип КМТ) термістори.
Мал 5. Конструкції термісторів
Термістори випускаються в різних конструктивних
виконаннях: у виді стержнів, дисків, бусинок. На мал. 5 показані деякі
конструкції термісторів.
Термістори типів ММТ-1, КМТ-1 (мал. 5, а) зовні
подібні високоомним резисторам з відповідною системою герметизації.
Вони складаються з напівпровідникового стрижня
1, покритого емалевою фарбою, контактних ковпачків 2 зі струмовідводами 3.
Термістори типів ММТ-4 і КМТ-4 (мал.5, б) також
складаються з напівпровідникового стрижня 1, контактних ковпачків 2 зі
струмовідводами 3. Крім покриття емаллю стрижень обмотується металевою фольгою
4, захищений металевим чохлом 5 і скляним ізолятором 6. Такі термістори
застосовні в умовах підвищеної вологості.
На мал. 5, в показаний термістор спеціального
типу ТМ-54 - "Голка". Він складається з напівпровідникової кульки 1
діаметром від 5 до 50 мкм, що разом із платиновими електродами 2 впресований у
скло товщиною порядку 50 мкм. На відстані біля 2,5 мм від кульки платинові
електроди приварені до виводів 3 з нікелевого дроту. Термістор разом зі
струмовідводами поміщений у скляний корпус 4. Термістори типу МТ-54 мають дуже
малу теплову інерцію, їхній постійна часу порядку 0,02 з, і вони
використовуються в діапазоні температур від -70 до +250 °С. Малі розміри
термістора дозволяють використовувати його, наприклад, для вимірів у
кровоносних судинах людини.
Власне нагрівання термісторів
Термістори застосовуються у всіляких схемах
автоматики, які можна розділити на дві групи. У першу групу входять схеми з
термісторами, опір яких визначається тільки температурою навколишнього
середовища.Струм, що проходить при цьому через термістор, настільки малий, що
не викликає додаткового розігріву термістора. Цей струм необхідний тільки для
виміру опору і для термісторів типу ММТ складає близько 10 мА, а для типу КМТ -
2-5 мА.
В другу групу входять схеми з термісторами, опір
яких міняється за рахунок власного нагрівання.Струм, що проходить через
термістор, розігріває його. Оскільки при підвищенні температури опір
зменшується, струм збільшується, що приводить до ще більшого виділення теплоти.
Можна сказати, що в даному випадку виявляється позитивний зворотний зв'язок. Це
дозволяє одержати в схемах з термісторами своєрідні характеристики релейного
типу.
Застосування терморезисторів
При використанні терморезисторів як датчики
систем автоматики розрізняють два основних режими. У першому режимі температура
терморезистора практично визначається тільки температурою навколишнього
середовища.Струм, що проходить через терморезистор, дуже малий і практично не
нагріває його. В другому режимі терморезистор нагрівається проходячим по ньому
струмом, а температура терморезистора визначається умовами тепловіддачі, що
змінюються, наприклад інтенсивністю обдува, щільністю навколишньої газового
середовища і т.п..
При використанні терморезисторів у першому
режимі вони відіграють роль датчиків температури і називаються звичайно
термометрами опору. Найбільше поширення одержали термометри опору типів ТСП
(платинові) і ТСМ (мідні), що включаються в мостову вимірювальну схему.
У процесі виміру температури за допомогою
термометрів опору можуть виникати наступні погрішності: 1) від коливання
напруги живлення; 2) від зміни опору сполучних проводів при коливаннях
температури навколишнього середовища; 3) від власного нагрівання датчика під
дією струму, що протікає через нього.
Розглянемо тепер деякі приклади використання
власного нагрівання терморезисторів у пристроях для виміру різних фізичних
величин, побічно зв'язаних з температурою.
Автоматичний вимір швидкості газового потоку
проводиться за допомогою термоанемометра. Датчик цього приладу (мал. 6, а)
складається з терморезистора, що представляє собою тонкий платиновий дріт 1,
припаяний до двох манганінових стрижнів 2, закріпленим в ізоляційній втулці 3.
За допомогою виводів 4 терморезистор включається у вимірювальну схему. Через
терморезистор пропускається струм, що викликає його нагрівши. Але температура
(а отже, і опір) терморезистора буде визначатися швидкістю газового потоку, у
який поміщений датчик. Чим більше буде ця швидкість, тим інтенсивніше буде
приділятися теплота від терморезистора.
На мал. 6, б показана градуровочная крива
термоанемометра, з якої видно, що при збільшенні швидкості приблизно вдвічі
опір терморезистора зменшується приблизно на 20 %.
На аналогічному принципі заснована робота
електричного газоаналізатора.
Якщо взяти два однакових терморезистора, що
саморозігріваються, і помістити один у камеру, наповнену повітрям, а інший - у
камеру, наповнену сумішшю повітря з вуглекислим газом СО2, то через різну
теплопровідність повітря і вуглекислого газу опір терморезисторов буде різним.
Тому що теплопровідність вуглекислого газу значно менше теплопровідності
повітря, то і відвід теплоти від терморезистора в камері з СО2 буде менше, ніж
від терморезистора в камері з повітрям. По різниці опорів терморезисторов можна
судити про процентний вміст вуглекислого газу в газовій суміші.
Залежність теплопровідності газу від його тиску
дозволяє використовувати терморезисторы з власним нагріванням в електричних
вакуумметрах. Чим глибше вакуум (тобто більш розріджений газ), тим гірше умови
тепловіддачі з поверхні терморезистора, поміщеного у вакуумну камеру. Якщо
через терморезистор пропускати струм для його нагрівання, то температура
терморезистора буде зростати при зменшенні тиску контрольованого газу.
Таким чином, за допомогою терморезисторов можна
вимірювати швидкості і витрата газів і рідин, тиск і щільність газів, визначати
процентний уміст газів у суміші. Крім платини в таких приладах використовують
вольфрам, нікель, напівпровідникові терморезистори. Для того щоб виключити
вплив коливань температури навколишнього середовища, прагнуть забезпечити
досить інтенсивне власне нагрівання (до 200-500 °С).
12. ОХОРОНА ПРАЦІ ТА
ПРИРОДООХОРОННІ ЗАХОДИ
12.1
Охорона праці
Організаційними заходами,
забезпечуючими безпечність робіт в електричних установках напругою понад 1000
В, являються: оформлення наряду на виконання робіт, дозвіл до роботи,
оформлення перерв, перехід на інше робоче місце і закінчення робіт.
Для роботи в установках
напругою до 1000 В наряди не видаються. Роботи в цих установках виконують по
усному, телефонному або письмовому розпорядженню в спеціальному журналі. Такі
розпорядження можуть давати робітники електрогосподарства підприємств, що мають
класифікацію не нижче IV групи, які мають права головного енергетика.
Відповідальність працюючого за
безпечність робіт за нарядом в електричних установках напругою понад 1000 В
являється в слідуючому: працюючий, видає наряд або віддаючи розпорядження,
відповідає за правильну організацію і безпечність виконання робіт, а також за
відповідальністю кваліфікаційної групи персоналу тієї роботи, яка йому дана.
Відповідальний керівник приймає
місце від чергового . Він відповідає за відповідні міри безпечності роботи і
кваліфікацію працюючих, що входить в бригади. Відповідальний керівник повинен
перед початком роботи проінформувати повинен, перед початком роботи,
проінформувати бригаду і періодично перевіряти недотримання правил техніки
безпеки.
Суб'єкти, включені в склад
бригади, відповідають за дотримування ними правил безпеки в межах присвоєної
кваліфікаційної групи.
До технічних заходів, що
забезпечують безпечність робіт, відносяться:
.відключення, на участку
виділеним для роботи і прийняття мір по подачі напруги до місця роботи;
.установка і вивіска
попереджувальних плакатів;
. перевірка відсутності напруги
на участку роботи і встановлення на струмопровідних частинах тимчасових
заземлень попередньо приєднаних до заземлюючих пристроїв .
В установках напругою до 1000В
технічні заходи виконуються однією особою з кваліфікаційною групою не нижче
III.
Для захисту людей,
обслуговуючих електроустановки, від поранення струмом, опіків та проходження
електричної дуги застосовують спеціальні засоби: штанги, щипці для установки
запобіжників, діелектричні рукавиці, чоботи і калоші, мати, періодичні захисні
заземлення, плакати безпеки. Від степені надійності ізольовані захисні засоби
поділяються на основні і додаткові. Основними рахуються ті засоби, ізоляції
яких надійно витримують робочі напруги установки за допомогою яких можна
доторкнутися струмовідних частин, знаходяться під напругою. Додатковими
являються ті захисні засоб, які служать для підсилення дій основних засобів.
В устанавках напругою до 1000В
для звільнення потерпілого від струмовідних частин рекомендується користуватися
яким-небудь сухим неструмовідним предметом. Неможна використовувати металічні
або мокрі предмети. Для звільнення від тіла потерпілого, необхідно надіти
діелектричні рукавиці або накинути на руку сухий одяг, закотити рукав свого
одягу. Для ізоляції від землі потрібно або надіти діелектричні калоші або
простелити коврик або дерев'яні дошки.
Якщо потерпілого можна
звільнити від струмовідних частин за допомогою штаги або палки, потрібно
скористатися цим способом. Якщо не можна використати ні один із вказаних
способів, потрібно перерізати провід топором з сухою дерев'яною рукояткою або
ізольованим інструментом. Для цього потрібно надіти діелектричні рукавиці і
калоші і рубати провід кожний окремо. Якщо потерпілий знаходиться на восоті
потрібно попередити або забезпечити його падіння.
12.2
Природоохоронні заходи
У випадках коли до складу
системи входять декілька вентиляторів, на повітряпроводах кожного з них повинен
бути встановлений зворотній клапан та запірна засувка.Забір атмосферного
повітря вентиляції слід виконувати зовні приміщення на висоті не менше 4м від
поверхні землі. Простір, звідки забирається атмосферне повітря, повинен бути
найменш забрудненим та не підігріватись. Повітря приймальний пристрій повинен
мати козирьок та сітчастий фільтр, що виключало б можливість попадання води та
сторонніх предметів до приймального повітряпровода.
Відстань від всмоктуючого
патрубка вентиляції до повітря заборного пристрою не повинен перевищувати 10м.
Для тонкого очищування повітря
вентиляція має фільтр. Якщо вибраний вентилятор не має такого фільтра, то його
слід встановити на всмоктувальному повітряпроводі. Діаметр всмоктувального
трубопровода визначається приєднувальними розмірами всмоктуючого патрубка
вентиляції. Всмоктуючий повітряпровід слід прокладати в місцях, де виключено
нагрів протікаючого по ньому повітря.
Не менш важливим для нормальної
роботи пристрою повітряпостачання є забезпечення сталості подачі необхідної
кількості води для охолодження вентиляції повітря. Витрати води необхідної для
пристрою повітряпостачання, визначається за паспортними даними її агрегатів.
Важливим аспектом є застосована
система повторної циркуляції води в системі охолодження. Це зменшує втрати води
на охолодження приточного повітря в 5-6 разів. Крім зрозумілого економічного
ефекту, це сприяє збереженню води, тим самим покращуючи екологічічний стан
місцевості.
Для забезпечення неперервної
подачі води до установки повітряпостачання її відбір слід передбачити від
існуючої системи зворотнього водопостачання або водогону. Діаметри водопроводів
вибираються у відповідності до приєднуваних розмірів патрубків приймання води,
що є в агрегатах пристрою повітряпостачання. Спуск води з пристрою повинен
виконуватись до каналізації видимим потоком для контроля наявності протока
води.
13. ЕКОНОМІЧНА ЧАСТИНА
Планування праці заробітної
плати при автоматизації процесу вентиляції
13.1
Планування використання робочого часу
Планування використання
робочого часу здійснюється на основі урядових документів Міністерства праці та
соціальної політики України на відповідній плановий рік.
Робимо розрахунок ефективного
фонду роботи одного робітника та одиниці устаткування.
Розрахунок календарного та
ефективного фонду часу одного робітника:
Календарний фонд часу, днів:
365
Неробочий час (всього), днів:
114
В т.ч. суботи: 52
неділі: 53
свята: 9
Номінальний фонд часу, днів:
251
Із номінального фонду часу
неробочий час(всього), днів:43
В т.ч.:
Планова відпустка: 25
Додаткова відпустка: 8
Відпустка по навчанню: -
Лікарняні: 10
Виконання держобов'язків: -
Ефективний фонд часу, днів: 208
Тривалість робочого часу за
зміну, год.: 8
Ефективний фонд часу за рік:
-8=1664(год.)
Коефіцієнт використання
робочого часу: 208/251= 0,83
Робимо розрахунок календарного
та ефективого часу устаткування ( системи вентиляції повітря II поверху СП
Сандерс - Виноградів ГмбХ".
Календарний фонд часу роботи
устаткування: 365-8=2920 (год.)
Номінальний фонд:251-8=2008
(год.);
Ефективний фонд: 1664-166,4=
1497,6(год.).
13.2
Планування чисельності працюючих
Техніка розрахунків планової
чисельності окремих категорій працівників визначається конкретною специфікою їх
професійної діяльності та галузевими особливостями формування того чи іншого
підприємства.
Чисельність основних
робітників, зайнятих на ненормованих роботах (Ча.с. пл) - контроль
технологічного процесу, управління апаратами, машинами та іншим устаткуванням
-розраховується за нормами обслуговування, а саме :
де m0 - кількість об'єктів ,що
обслуговуються (агрегати та інш.)зм - кількість змін роботи на добу
Кяо - коефіцієнт переводу
явочної чисельності і облікову, який розраховується за формулою:
де ф- плановий процент
невиходів робітників на роботу
Ноб - норма обслуговування
одного агрегату (машини ) кількість об'єктів на одного робітника
Розрахунок чисельності
резервного персоналу.
Різниця між плановою
чисельністю і явочним персоналом називається резервним, котрий потрібен для
заміни роботи відсутніх на виробництві по хворобі, відпустці та інше.
Чрез
= 3 - 2 = 1 чол
13.3
Розрахунки по визначенню балансу робочого часу на основі досліджень виробничих
процесів
Баланс робочого часу
|
Індекс
|
Назва
витрат часу
|
Факт
|
Норма
|
|
|
хв
|
%
|
хв
|
%
|
|
ПЗ
|
Підготовчо-завершальний
час
|
20
|
4,7
|
24
|
5,0
|
|
ОП
|
Оперативний
час
|
355
|
74
|
384
|
80,5
|
|
ОБМ
|
Час
обслуговування робочого місця
|
15
|
3
|
12
|
2,5
|
|
ПНП
|
Перерви,
які не залежать від працівника
|
30
|
6,3
|
-
|
-
|
|
ПЗП
|
Перерви
,які залежать від працівника
|
20
|
4,2
|
-
|
-
|
|
ПВП
|
Перерви
на відпочинок і власні потреби
|
40
|
8,3
|
60
|
12
|
|
Разом
|
480
|
100
|
480
|
100
|
На основі таблиці виконуємо
розрахунки:
- коефіцієнт
використання робочого часу
де Тпз -
підготовчо-завершальний час, хв.
Топ - оперативний час, хв
Тобм - час обслуговування
робочого місця, хв.
Тпвп - перерви на відпочинок і
власні потреби, (якщо Тфпвн < ТНпвн,) то приймаємо Тнпвн
Тзм - тривалість робочої зміни.
коефіцієнт перерв викликаний
порушенням виробничих процесів
де Тпнп - перерви, які не
залежать від працівника, хв.
Кпнп = 4,2 %
коефіцієнт перерв який
пов'язаний з порушенням трудової дисципліни
де Тпзп - втрати часу які
залежать від працівника.
Кпзп = 0
коефіцієнт можливого підвищення
продуктивності праці за рахунок усунення втрат часу
Де : - К1 - підвищення
використання робочого часу, %
К1 = 10,4 %
Де К2 - процент можливого
підвищення продуктивності праці.
К2 = 11,6 %
13.4
Розрахунок і розподіл заробітної плати
Заробітна плата - грошовий
вираз вартості і ціни робочої сили, який виступає у формі будь-якого заробітку,
виключено власником підприємства працівникові за виконану роботу.
Оплата праці складається з
основної заробітної плати і додаткової оплати праці, які знаходяться,
приблизно, у співвідношенні: 70% - основна, 30% - додаткова.
Розрахунок заробітної плати
проведемо по відрядній формі, тобто за кількість фактично відпрацьованих годин,
по колективній системі.
При використанні цієї системи
розраховуємо заробіток всієї бригади і після цього розподіляємо між членами.
Заробітна плата членів бригади
згідно тарифних ставок:
де Сгод ті - годинна тарифна
ставка і - го працівника згідно прийнятого розряду і умов праці.
Тфі - фактично відпрацьований
час працівником (ефективний фонд роботи, год). Чпл - планова чисельність
працівників і - го розряду
ЗПт1= 2,1·1664·2 = 6988,8
грн/рік
ЗПт2= 2,25·1664·1 = 3744
грн/рік
Заробітна плата бригади по
тарифу,
ЗПтбр= 6988,8 + 3744 = 10732,8
(грн./рік).
Величина премії для бригади за
роботу
Пбрр = 25% • 10732,8 = 2683,2
(грн./рік).
Фактична заробітна плата
кожного працівника підприємства є частиною у фонді оплати праці всього
колективу або окремого підрозділу і залежить від кваліфікаційного рівня
працівника (розряду), коефіцієнта трудової участі (КТУ) і фактично
відпрацьованого часу (Тф).
Встановлюємо коефіцієнти
трудової участі (КТУ), при цьому виконуємо умову
Визначаємо розрахункову
заробітну плату для працівників згідно КТУ
ЗПр1 = 0,9*3494,4 = 3145
грн/рік
ЗПр2 = 0,85*3494,4 = 2970,2
грн/рік
ЗПр3 = 1,25*3744 = 4680 грн/рік
Сумарна величина розрахункової
ЗП бригади
ЗПрбр =3145+2970,2+4680= 10795,2
(грн/рік).
Коефіцієнт розподілу премії
= ( 2683,2/10795,2)=0,25.
Розподіляємо премію між членами
бригади
Прі = Кпр* ЗПрі , грн/рік
Пр1 = 0,25*3145 =786,3 грн/рік
Пр2 = 0,25*2970,2 =742,6
грн/рік
Пр3 = 0,25*4680 =1170 грн/рік
Фактична заробітна плата
бригади
ЗПф1, =
786,3+3145=3931,3(грн/рік);
ЗПФ2 =742,6+2970,2=3
712,8(грн/рік);
ЗПф3 =1170+4680=5850(грн/рік);
ЗПфбр=3931,3+3712,8+5850=13493(грн/рік).
Фонд оплати відпусток для
працівників згідно балансу робочого часу

Річний фонд заробітної плати
для даної категорії працівників без встановлених відрахувань
Фріч = ФОПв+ЗПфбр, грн/рік
Фріч = 1771 + 13493 =15264 грн/рік
Середньорічна заробітня плата
персоналу:
ЗПср.р = 4788 грн/рік
Складаємо підсумкову таблицю по
визначенню і розрахунку заробітної плати для персоналу підприємства. Дані
заносимо в таблицю на арк. 6 графічної частини.
СПИСОК ВИКОРИСТАНОЇ ЛІТЕРАТУРИ
І. "Довідник електрика сільсько -
господарського виробництва", під редакцією B.C. Олійника. Київ
"Урожай"
. "Справочник по проектированию
злектропривода силових и осветительньх установок", под редакцией ЯМ.
Большама. йздательство "Знергия"
З. "Монтаж приборов и средств
автоматизации", под издательством А.С. Клюева, Москва, "Знергия"
. "Проектирование установок контроля и
автоматики теплових процессов", под редакцей А.И. Емельянов, О.В. Капник.
. Справочник "Производственная
санитария" под редакцией Б.М. Злобинского. Йздательство
"Металлургия", Москва,
. "Ремонт устройств релейной защитьі и
автоматики", под редакцией В.Н. Камнева.
. "Расчет основньїх и полупроводниковьіх
схем в примерах", под редакцией Б.С. Гершунского, йздательство Киевского
Университета
. " Техника проектирования систем
автоматики и технологических процессов", под редакцией Л.Н. Шитетика,
Москва "Машиностроение"
. "Електропостачання промислових
підприємств", під редакцією Б.Ю.Липкин, Б.А. Князівський, Вища
"Школа"
. "Злектроснабжение сельского
хозяйства", под редакцией И.А. Будзко, Москва "Колос",
П. "Розрахунок надійності
електроприводів", підручник для студентів вищих навчальних закладів, під
редакцією О. Лозинського, Я. Марущака, Львів 1996 рік.
. Справочник "Применение злектрической
знергии в сельскохозяйственном производстве" под редакцией П.Н. Листова,
Москва, "Колос".