Организация производства и рабочих мест в горячем цехе Венского кафе на 120 мест в гостинице 'Международная -2'
Федеральное
агентство по образованию
РОССИЙСКИЙ
ЭКОНОМИЧЕСКИЙ УНИВЕРСИТЕТ ИМ. Г.В. ПЛЕХАНОВА
Факультет
ресторанно-гостиничного бизнеса и услуг
Кафедра
«Технологии и организации питания и услуг»
КУРСОВАЯ
РАБОТА
Тема:
«Организация производства и рабочих мест в горячем цехе Венского кафе на 120
мест в гостинице "Международная -2"»
Дисциплина
«Технология,
организация и проектирование предприятий питания в гостинице»
Студентка:
Маркина Н.К.
Москва 2013
Содержание
Введение
Глава 1. Характеристика предприятия питания
Глава 2. Разработка производственной программы
предприятия
.1 Определение количества потребителей
.2 Расчет количества блюд по группам и в
ассортименте
.3 Составление производственной программы (меню)
.4 Производственная программа предприятия на
день
Глава 3. Расчет количества сырья
Глава 4. Расчет горячего цеха
.1 Характеристика горячего цеха
.2 Производственная программа горячего цеха
.3 Расчет численности работников цеха
Глава 5. Расчет
оборудования и полезной площади в горячем цехе предприятия
5.1 Расчет холодильного оборудования в горячем
цехе
.2 Расчет нейтрального оборудования в горячем
цехе
.3 Расчет теплового оборудования в горячем цехе
.4 Расчет раздаточного оборудования в горячем
цехе
.5 Определение площади в горячем цехе
. Санитарно-гигиенический регламент горячего
цеха
Заключение
Список использованной литературы
Введение
Проектируемое предприятие - Венское кафе на 120
мест, расположенном при гостинице «Международная-2».
Пища-основа жизни человека. От того, как человек
питается, зависит его здоровье, настроение, трудоспособность. Следовательно,
питание человека-это не только его личное, но и общественное дело. В той связи
можно сделать вывод о том, что массовое питание играет огромнейшую роль в жизни
общества. Оно наиболее полно удовлетворяют потребности людей в питании.
Общественное питание представляет собой отрасль
народного хозяйства, основу которой составляют предприятия, характеризующиеся
единством форм организации производства и обслуживания потребителей и
различающиеся по типам, специализации.
Развитие общественного питания:
Дает существенную экономию общественного труда
вследствие более рационального использования техники, сырья материалов;
Предоставляет рабочим и служащим в течение
рабочего дня горячую пищу, что повышает их работоспособность, сохраняет
здоровье;
Дает возможность организации сбалансированного
рационального питания в детских и учебных заведениях.
Общественное питание одно из первых отраслей
народного хозяйства встало на рельсы преобразования, приняв груз острейших
проблем переходного периода на рыночные отношения. Быстрыми темпами прошла
приватизация предприятий, изменилась организационно-правовая форма предприятий
общественного питания. Вследствие чего изменился механизм функционирования
предприятий общественного питания как коммерческих организаций. Открытие
ресторана в наше время может принести немалый доход. Но для этого необходимо
изучить рыночные законы, а также те элементы ресторанного дела, которые помогут
выделиться среди конкурентов и занять высокое место.
Для достижения поставленных целей предприятия
должно организовывать свою деятельность так, чтобы держать под контролем все
технические, административные и человеческие факторы, влияющие на качество
продукции и ее безопасность.
Целью данной курсовой работы является
проектирование горячего цеха Венского кафе на 120 мест в гостинице
Международная-2 и организация его работы. В связи с этой целью были поставлены
следующие задачи:
· разработка и составление
производственной программы кафе, включающей определение количества
потребителей, расчет количества блюд, расчет количества сырья используемого для
производства продукции.
· определение численности работников,
занятых на производстве в цехе;
· расчет механического и холодильного
оборудования, а также расчет и подбор немеханического оборудования;
· расчет площади цеха и определение
общих требований к компоновке цеха;
· определение санитарных и
гигиенический норм и правил обязательных к выполнению в холодном цехе
ресторана.
Глава 1. Характеристика предприятия питания
В данном курсовом проекте разрабатывается
организация производства и рабочих мест в кафе на 140 мест, расположенном при
гостинице «Рус Отель».
Цель работы кафе - организация питания и досуга
постояльцев гостиницы и разовых посетителей с улицы. Режим работы кафе
установлен с учетом создания наибольших удобств для посетителей с 10 часов утра
до полуночи.
По ГОСТ Р 50762-95 «Общественное питание
классификация предприятий» Кафе - это предприятие по организации питания и
отдыха потребителей с предоставлением ограниченного по сравнению с рестораном
ассортимента продукции. Реализует фирменные, заказные блюда, изделия и напитки.
Кафе, столовые и закусочные на классы не подразделяют.
Кафе (от фр. Café; буквально
- «место, где пьют кофе») - заведение общественного питания и отдыха, похожее
на небольшой ресторан, но с ограниченным по сравнению с рестораном
ассортиментом продукции. По ассортименту реализуемой продукции подразделяются
на: кафе-мороженое, кафе-кондитерская, кафе-молочная; по контингенту на:
молодёжное, детское и др. Кафе - заведение, в котором подают кофе, шоколад,
какао и кондитерские изделия.
Кафе могут располагаться в отдельных зданиях, но
чаще это пристройки к зданиям, в отличие от большинства ресторанов. Другой вид
кафе - придорожные. Чаще они располагаются в отдельных зданиях у дорог
федерального или местного значения. Также распространены и сезонные кафе - у
берега моря, реки в определённые месяцы, чаще тёплого периода (но, например, на
горнолыжных курортах, наоборот, в зимний период). Часто около зданий кафе есть
кафе на открытом воздухе с выносными столами и стульями. В странах с умеренным
климатом они действуют в тёплый сезон.
Кафе в рабочих районах, где во время обеденного
перерыва можно принять пищу, часто называются закусочными. На предприятия
подобные заведения называются столовыми, но данный термин после распада СССР
стал реже употребляться.
цех меню персонал блюдо
2. Разработка производственной программы
предприятия
.1 Определение количества потребителей
Количество потребителей может быть определено на
основе графика загрузки зала или оборачиваемости мест в течение дня.
При определении количества потребителей по
графику загрузки зала основными данными для составления графика являются: режим
работы предприятия, продолжительность приема пищи одним потребителем и процент
загрузки зала по часам его работы.
Количество посетителей за каждый час работы
предприятия определяется по формуле:
(1),
где - количество
посетителей за каждый час работы предприятия, чел;
Р- количество посадочных мест в зале
предприятия, шт;
- оборачиваемость
одного места в зале в данный час работы предприятия;
Х- процент загрузки зала в данный час работы
предприятия, %
Оборачиваемость мест зависит от
продолжительности приема пищи и определяется по формуле:
где t - время приема пищи одним потребителем, с.
Общее количество посетителей определяется
суммированием количества потребителей за каждый час работы предприятия
общественного питания.
Имея примерные значения оборачиваемости одного
места и среднего процента загрузки зала проектируемого предприятия, рассчитаем
по формуле количество посетителей за каждый час работы предприятия.
N7:00-8:00=120*2*30%=72
N8:00-9:00=
120*2*50%=120
N9:00-10:00=120*2*80%=192
N10:00-11:00 =120*2*40%=96
N12:00-13:00=
120*1,5*60%=108
N13:00-14:00=
120*1,5*100%=180
N14:00-15:00=
120*1,5*90%=162
N15:00-16:00=120*1,5*90%=126
N17:00-18:00=
120*0,6*90%=65
N18:00-19:00=120*0,6*100%=72
N19:00-20:00=120*0,6*100%=72
N20:00-21:00=120*0,6*90%=65
N21:00-22:00=120*0,6*80%=58
N22:00-23:00=120*0,6*70%=50
Все данные для расчета количества посетителей в
проектируемом предприятии общественного питания сводятся в таблицу 1.
Таблица 1. Расчет количества посетителей.
|
Часы
работы предприятия
|
Оборачиваемость
за час
|
Процент
загрузки зала, %
|
Количество
посетителей, чел.
|
|
Завтрак
|
|
7:00-8:00
|
2
|
30
|
72
|
|
8:00-9:00
|
2
|
50
|
120
|
|
9:00-10:00
|
2
|
80
|
192
|
|
10:00-11:00
|
2
|
40
|
96
|
|
Итого:
|
|
|
480
|
|
11:00-12:00
|
Перерыв
|
|
Обед
|
|
12:00-13:00
|
1,5
|
60
|
108
|
|
13:00-14:00
|
1,5
|
100
|
180
|
|
14:00-15:00
|
1,5
|
90
|
162
|
|
15:00-16:00
|
1,5
|
70
|
126
|
|
Итого:
|
|
|
576
|
|
16:00-17:00
|
Перерыв
|
|
Ужин
|
|
17:00-18:00
|
0,6
|
90
|
65
|
|
18:00-19:00
|
0,6
|
100
|
72
|
|
19:00-20:00
|
0,6
|
100
|
72
|
|
20:00-21:00
|
0,6
|
90
|
65
|
|
21:00-22:00
|
0,6
|
80
|
58
|
|
22:00-23:00
|
0,6
|
70
|
50
|
|
Итого
|
|
|
382
|
|
Итого
посетителей за день
|
|
|
1438
|
Итак, по таблице расчета количества посетителей
видно, что в кафе с 7:00-11:00 по меню Шведский стол питается 480 человек.
Количество посетителей, питающихся в обеденное время с 11:00-16:00 составляет
576 из них 288 человек, питается по меню Бизнес-ланч, а остальная половина по
меню Аля карт. С 17:00-23:00 количество посетителей составляет 382, питаются по
меню Аля карт.
Имея данные по загрузке зала можно определить
количество блюд, которое кафе реализует за день.
Исходными данными для определения количества
блюд является число потребителей и коэффициент потребления блюд.
Общее число блюд, реализуемых предприятием в
течении дня определяется по формуле:
nд=Nд*m
где nд
-
общее количество блюд, реализуемых в течении дня;
Nд -
число потребителей в течение дня;
m - коэффициент
потребления блюд.
Для определения количества реализуемых блюд на
обед и ужин используют следующие формулы:
n
о=Nо*mо;
nу=Nу*mу
,
где nо
,nу -
общее количество блюд, реализуемых соответственно в течение обеда и ужина;
Nо ,
Nу -
число потребителей в течении обеда и ужина;
mо
mу -
коэффициенты потребления блюд во время обеда и ужина.
nо=
576* 4= 2304
nу=
382* 4= 1528
По расчетам видно, что на обед реализуется 2304
блюда из них 1152 блюда входят в меню Бизнес-ланча и 1152 в меню Аля-карт, на
ужин реализуют 1528 блюд по меню Аля карт.
2.2 Расчет количества блюд по группам и в
ассортименте
Таблица 2. Расчет количества блюд.
|
Наименование
блюд
|
Процентное
соотношение, %
|
Количество
блюд, шт.
|
Количество
наименований блюд, шт.
|
|
всего
|
в
том числе
|
всего
|
в
том числе
|
всего
|
в
том числе
|
|
Холодные
блюда и закуски
|
25
|
|
671
|
|
10
|
|
|
Рыбные
|
|
20
|
|
134
|
|
2
|
|
Мясные
|
|
20
|
|
134
|
|
2
|
|
Салаты
|
|
50
|
|
335
|
|
4
|
|
Бутерброды
|
|
10
|
|
67
|
|
2
|
|
Горячие
закуски
|
5
|
|
134
|
134
|
2
|
2
|
|
Супы
|
15
|
|
402
|
|
3
|
|
|
Заправочные
|
|
-
|
|
|
|
|
|
Прозрачные
|
|
80
|
|
322
|
|
1
|
|
Молочные,
пюре
|
|
20
|
|
80
|
|
2
|
|
Основные
горячие блюда
|
30
|
|
805
|
|
16
|
|
|
Рыбные
|
|
20
|
|
161
|
|
3
|
|
Мясные
|
|
50
|
|
402
|
|
6
|
|
Овощные
|
|
5
|
|
40
|
|
1
|
|
Крупа,
мучные
|
|
25
|
|
201
|
|
9
|
|
Сладкие
блюда
|
10
|
100
|
268
|
268
|
10
|
10
|
|
Напитки
|
15
|
|
402
|
|
20
|
|
|
Горячие
|
|
80
|
|
322
|
|
14
|
|
Холодные
|
|
20
|
|
80
|
|
6
|
.3 Составление производственной программы (меню)
К основным факторам, которые необходимо
учитывать при составлении расчетного меню относятся: примерный ассортимент
выпускаемой продукции, рекомендованный для общественного питания в зависимости
от его типа и вида предоставляемого рациона, наличие сырья и его сезонность.
Блюда и закуски, включенные в план-меню, должны быть разнообразными по видам
сырья, так и по способам тепловой обработки, учитывается так же
квалифицированный состав работников, мощность производства и оснащенность его
торгово-технологическим оборудованием, а так же трудоемкость блюд.
Расчетные меню завтрака по типу «Шведский стол»,
«A la
cart» и «Бизнес-ланч».
Таблица 3. Меню «Шведский стол»
|
№
|
Наименование
блюда
|
№
рецептуры и год сборника
|
Выход
по массе
|
Количество
блюд
|
|
Холодные
закуски
|
|
1
|
Бутерброды
с икрой кетовой и маслом
|
13,
2012г.
|
40/10/5
|
80
|
|
2
|
Бутерброды
с карбонатом
|
8,2012г.
|
40/10/5
|
80
|
|
3
|
Бутерброды
с отварной севрюгой и маслом
|
9
,2012г.
|
40/15/5
|
80
|
|
4
|
Бутерброды
с паштетом и яйцом
|
17
,2012г.
|
40/20/15
|
80
|
|
5
|
Салат
витаминный со сметаной
|
82,2012г.
|
150/30
|
70
|
|
6
|
Салат
"Летний"
|
70,2012г.
|
30/160/60
|
70
|
|
7
|
Салат
из овощей с майонезом
|
77,2012г.
|
180/30
|
70
|
|
Горячие
закуски
|
|
1
|
Грибы
в сметанном соусе
|
369,
2012г.
|
130/20
|
59
|
|
Супы
|
|
1
|
Суп
молочный с овсяными хлопьями геркулес
|
236,2012г.
|
200
|
80
|
|
2
|
Суп
молочный с тыквой и манной крупой
|
231,2012г.
|
200
|
80
|
|
3
|
Суп-пюре
из яблока
|
293,2012
|
200
|
80
|
|
Основные
горячие блюда
|
|
1
|
Треска
(филе) отварная
|
471,2012г.
|
46
|
|
2
|
Оладьи
из печени
|
622,2012г.
|
100
|
50
|
|
3
|
Овощи
в молочном соусе
|
703,2012г.
|
100/25
|
50
|
|
4
|
Рис
отварной
|
682,2012г.
|
100
|
67
|
|
Сладкие
блюда
|
|
1
|
Яблоки
в слойке
|
25,2012г.
|
135
|
50
|
|
2
|
Пудинг
яблочный с орехами
|
18,2012г.
|
200/30
|
50
|
|
3
|
Суфле
ягодное
|
916,2012г.
|
300
|
59
|
|
Горячие
напитки
|
|
1
|
Чай
с сахаром
|
943,2012г.
|
200/22,5
|
80
|
|
2
|
Чай
с лимоном и сахаром
|
944,2012г.
|
200/22,5/9
|
80
|
|
3
|
Кофе
черный
|
948,2012г.
|
100
|
80
|
|
4
|
Кофе
черный с сливками и сахаром
|
950,2012г.
|
100/25/15
|
70
|
|
5
|
Какао
с мороженым
|
962,2012г.
|
200
|
70
|
|
6
|
Шоколад
|
963,2012г.
|
200
|
60
|
|
7
|
Напиток
"Плодовый"
|
968,2012г.
|
200
|
20
|
|
Кондитерские
мучные изделия
|
|
1
|
Пирожки
печеные с вишней
|
1054,1098,
2012г.
|
75
|
60
|
|
2
|
Пирожки
печеные с творогом
|
1054,1096,
2012г.
|
75
|
80
|
|
3
|
Пончики
с сахарной пудрой
|
1057,2012г.
|
45/3
|
60
|
|
4
|
Ватрушки
венгерские
|
1059,1012г.
|
85
|
59
|
|
Итого
|
|
|
1920
|
Таблица 4. Меню
A la carte
|
№
|
Наименование
блюда
|
№
рецептуры и год сборника
|
Выход
по массе
|
Количество
блюд
|
|
Фирменные
блюда
|
|
1
|
Кролик
на вертеле с рисом и соусом
|
662,
2012г.
|
125/160/15
|
67
|
|
2
|
Поросенок
отварной с хреном с овощным гарниром
|
150,
2012г.
|
100/75/25
|
67
|
|
3
|
Окорок
с овощным гарниром
|
49,
2012г.
|
75/50/25
|
67
|
|
4
|
Мусс
клюквенный
|
898,2012г.
|
200
|
26
|
|
5
|
Мороженое
с вином
|
933,
2012г.
|
120/30
|
26
|
|
Холодные
закуски
|
|
1
|
Бутерброды
с икрой кетовой и маслом
|
13,
2012г.
|
40/10/7
|
33
|
|
2
|
Бутерброды
с карбонатом
|
8,2012г.
|
40/30/5
|
34
|
|
3
|
Сельдь
рубленая с овощами
|
131,2012г.
|
100/70
|
|
|
4
|
Севрюга
отварная с овощным гарниром и соус хрен
|
135,
2012г.
|
75/75/25
|
67
|
|
5
|
Язык
говяжий с овощным гарниром и соус майонез с корнишонами
|
153,2012г.
|
75/75/30
|
67
|
|
6
|
Филе
фазана с гарниром из овощей и соусом майонезным
|
158,
2012г.
|
100/50/30
|
67
|
|
7
|
Салат
витаминный со сметаной
|
82,2012г.
|
150/30
|
83
|
|
8
|
Салат
из окуня с майонезом
|
95,
2012г.
|
120/30
|
83
|
|
9
|
Салат
"Летний"
|
70,2012г.
|
30/160/60
|
84
|
|
10
|
Салат
из овощей с майонезом
|
77,2012г.
|
180/30
|
86
|
|
Горячие
закуски
|
|
1
|
Солянка
говяжья на сковороде
|
630,2012г.
|
150
|
75
|
|
2
|
Грибы
в сметанном соусе
|
369,
2012г.
|
130/20
|
59
|
|
Супы
|
|
1
|
Суп
рисовый с говядиной
|
218,2012г.
|
150/50
|
322
|
|
2
|
Суп-пюре
из индейки с гренками
|
251,2012г.
|
180/10/25
|
40
|
|
3
|
Суп-пюре
из картофеля
|
240,2012г.
|
220
|
40
|
|
Основные
горячие блюда
|
|
1
|
Треска
(филе) отварная
|
471,2012г.
|
100
|
55
|
|
2
|
Скумбрия
жареная целиком
|
489,2012г.
|
150
|
50
|
|
3
|
Треска
,тушенная в томате с овощами
|
486,2012г.
|
100/30/100
|
56
|
|
4
|
Шашлык
из говядины
|
564,2012г.
|
200
|
67
|
|
5
|
Мясо
шпигованное
|
587,2012г.
|
150
|
67
|
|
6
|
Оладьи
из печени
|
622,2012г.
|
100
|
67
|
|
7
|
Овощи
в молочном соусе
|
703,2012г.
|
100/25
|
|
|
8
|
Рис
отварной
|
682,2012г.
|
100
|
25
|
|
Сладкие
блюда
|
|
1
|
Яблоки
в слойке
|
25,2012г.
|
135
|
27
|
|
2
|
Пудинг
яблочный с орехами
|
18,2012г.
|
200/30
|
27
|
|
3
|
Суфле
ягодное
|
916,2012г.
|
300
|
27
|
|
4
|
Суфле
ванильное
|
915,2012г.
|
300
|
27
|
|
5
|
Самбук
абрикосовый
|
905,2012г.
|
200
|
27
|
|
6
|
Мороженое
-ассорти с плодами консервированными
|
930,2012г.
|
80/15/10
|
27
|
|
7
|
Ягоды
свежие
|
848,2012г.
|
150
|
27
|
|
8
|
Груши
с сиропом
|
858,2012г.
|
100/100
|
27
|
|
Горячие
напитки
|
|
1
|
Чай
с красным вином
|
967,2012г.
|
200
|
23
|
|
2
|
Чай
с сахаром
|
943,2012г.
|
200/22,5
|
23
|
|
3
|
Чай
с лимоном и сахаром
|
944,2012г.
|
200/22,5/9
|
23
|
|
4
|
Кофе
черный с мороженым (глясе)
|
957,2012г.
|
150
|
23
|
|
5
|
Кофе
черный
|
948,2012г.
|
100
|
23
|
|
6
|
Кофе
черный с сливками и сахаром
|
950,2012г.
|
100/25/15
|
23
|
|
7
|
Кофе
на молоке по-варшавски
|
953,2012г.
|
200/5
|
23
|
|
8
|
Кофе
по-восточному
|
955,2012г.
|
100
|
23
|
|
9
|
Кофе
черный со взбитыми сливками по-венски
|
956,2012г.
|
130
|
23
|
|
10
|
Какао
с мороженым
|
962,2012г.
|
200
|
23
|
|
11
|
Шоколад
|
963,2012г.
|
200
|
23
|
|
12
|
Напиток
"Плодовый"
|
968,2012г.
|
200
|
23
|
|
13
|
Напиток
"Спортивный"
|
969,2012г.
|
200
|
23
|
|
14
|
Напиток
"Застольный"
|
730,2012г.
|
23
|
|
1
|
Напиток
клюквенный
|
1042,2012г.
|
200
|
14
|
|
2
|
Напиток
яблочный
|
1043,2012г.
|
200
|
14
|
|
3
|
Напиток
из малинового сиропа
|
1046,2012г.
|
200
|
13
|
|
4
|
Молочно-ягодный
коктейль
|
1025,2012г.
|
150
|
13
|
|
5
|
Молочно-шоколадный
коктейль с мороженым
|
1022,2012г.
|
150
|
13
|
|
6
|
Крюшон
клубничный
|
1027,2012г.
|
150
|
13
|
|
Кондитерские
мучные изделия
|
|
1
|
Пирожки
печеные с вишней
|
1054,1098,
2012г.
|
75
|
22
|
|
2
|
Пирожки
печеные с творогом
|
1054,1096,
2012г.
|
75
|
22
|
|
3
|
Пончики
с сахарной пудрой
|
1057,2012г.
|
45/3
|
22
|
|
4
|
Ватрушки
венгерские
|
1059,1012г.
|
85
|
22
|
|
5
|
Расстегаи
закусочные
|
1061,2012г.
|
50
|
22
|
|
6
|
Гренки
острые
|
1069,2012г
|
150
|
22
|
|
7
|
Гренки
из пшеничного хлеба
|
1067,2012г.
|
150
|
22
|
|
8
|
Профитроли
|
1072,2012г.
|
20
|
22
|
Таблица 5. Меню «Бизнес-ланч»
|
№
|
Наименование
блюда
|
№
рецептуры и год сборника
|
Выход
по массе
|
Количество
блюд
|
|
Бизнес-ланч(рыбное
меню)
|
|
1
|
Салат
из овощей с майонезом
|
77,2012г.
|
180/30
|
115
|
|
2
|
Суп-пюре
из картофеля
|
240,2012г.
|
220
|
115
|
|
3
|
Скумбрия
жареная целиком
|
489,2012г.
|
150
|
115
|
|
4
|
Рис
отварной
|
682,2012г.
|
100
|
115
|
|
5
|
Напиток
яблочный
|
1043,2012г.
|
200
|
115
|
|
Бизнес-ланч
(мясное меню)
|
|
1
|
Салат
витаминный со сметаной
|
82,2012г.
|
150/30
|
115
|
|
2
|
Суп
рисовый с говядиной
|
218,2012г.
|
150/50
|
115
|
|
3
|
Мясо
шпигованное
|
587,2012г.
|
150
|
115
|
|
4
|
Овощи
в молочном соусе
|
703,2012г.
|
100/25
|
115
|
|
5
|
Напиток
яблочный
|
1043,2012г.
|
200
|
115
|
.4 Производственная программа предприятия на
день
Таблица 6. Производственная программа
предприятия на день.
|
Наименование
блюда
|
Аля-карт,
шт.
|
Шведский
стол, шт.
|
Бизнес-ланч,
шт.
|
Итого,
шт.
|
|
Фирменное
меню
|
|
Кролик
на вертеле с рисом и соусом
|
67
|
|
|
67
|
|
Поросенок
отварной с хреном с овощным гарниром
|
67
|
|
|
67
|
|
Окорок
с овощным гарниром
|
67
|
|
|
67
|
|
Мусс
клюквенный
|
26
|
|
|
26
|
|
Мороженое
с вином
|
26
|
|
|
26
|
|
Холодные
закуски
|
|
Бутерброды
с икрой кетовой и маслом
|
33
|
80
|
|
113
|
|
Бутерброды
с карбонатом
|
34
|
80
|
|
114
|
|
Бутерброды
с отварной севрюгой и маслом
|
|
80
|
|
80
|
|
Бутерброды
с паштетом и яйцом
|
|
80
|
|
80
|
|
Сельдь
рубленая с овощами
|
67
|
|
|
67
|
|
Севрюга
отварная с овощным гарниром и соус хрен
|
67
|
|
|
67
|
|
Язык
говяжий с овощным гарниром и соус майонез с корнишонами
|
67
|
|
|
67
|
|
Филе
фазана с гарниром из овощей и соусом майонезным
|
67
|
|
|
67
|
|
Салат
витаминный со сметаной
|
83
|
70
|
115
|
268
|
|
Салат
из окуня с майонезом
|
83
|
|
|
83
|
|
Салат
"Летний"
|
83
|
70
|
|
153
|
|
Салат
из овощей с майонезом
|
86
|
70
|
115
|
271
|
|
Горячие
закуски
|
|
Солянка
говяжья на сковороде
|
75
|
|
|
75
|
|
Грибы
в сметанном соусе
|
59
|
59
|
|
118
|
|
Супы
|
|
Суп
рисовый с говядиной
|
322
|
|
115
|
437
|
|
Суп-пюре
из индейки с гренками
|
40
|
|
|
40
|
|
Суп-пюре
из картофеля
|
40
|
|
115
|
155
|
|
Суп
молочный с овсяными хлопьями
|
|
80
|
|
80
|
|
Суп
молочный с тыквой и манной крупой
|
|
80
|
|
80
|
|
Суп-пюре
из яблока
|
|
80
|
|
80
|
|
Основные
горячие блюда
|
|
Треска
(филе) отварная
|
55
|
46
|
|
101
|
|
Скумбрия
жареная целиком
|
50
|
|
115
|
165
|
|
Треска
,тушенная в томате с овощами
|
56
|
|
|
56
|
|
Шашлык
из говядины
|
67
|
|
|
67
|
|
Мясо
шпигованное
|
67
|
|
115
|
182
|
|
Оладьи
из печени
|
67
|
50
|
|
117
|
|
Овощи
в молочном соусе
|
40
|
50
|
115
|
205
|
|
Рис
отварной
|
201
|
67
|
115
|
383
|
|
Сладкие
блюда
|
|
Яблоки
в слойке
|
27
|
50
|
|
77
|
|
Пудинг
яблочный с орехами
|
27
|
50
|
|
77
|
|
Суфле
ягодное
|
27
|
59
|
|
86
|
|
Суфле
ванильное
|
27
|
|
|
27
|
|
Самбук
абрикосовый
|
27
|
|
|
27
|
|
Мороженое
-ассорти с плодами консервированными
|
27
|
|
|
27
|
|
Ягоды
свежие
|
27
|
|
|
27
|
|
Груши
с сиропом
|
27
|
|
|
27
|
|
Горячие
напитки
|
|
Чай
с красным вином
|
23
|
|
|
23
|
|
Чай
с сахаром
|
23
|
80
|
|
103
|
|
Чай
с лимоном и сахаром
|
23
|
80
|
|
103
|
|
Кофе
черный с мороженым (глясе)
|
23
|
|
|
23
|
|
Кофе
черный
|
23
|
80
|
|
103
|
|
Кофе
черный с сливками и сахаром
|
23
|
70
|
|
93
|
|
Кофе
на молоке по-варшавски
|
23
|
|
|
23
|
|
Кофе
по-восточному
|
23
|
|
|
23
|
|
Кофе
черный со взбитыми сливками по-венски
|
23
|
|
|
23
|
|
Какао
с мороженым
|
23
|
70
|
|
93
|
|
Шоколад
|
23
|
60
|
|
83
|
|
Напиток
"Плодовый"
|
23
|
20
|
|
43
|
|
Напиток
"Спортивный"
|
23
|
|
|
23
|
|
Напиток
"Застольный"
|
23
|
|
|
23
|
|
Холодные
напитки
|
|
Напиток
клюквенный
|
14
|
|
|
14
|
|
Напиток
яблочный
|
14
|
|
230
|
244
|
|
Напиток
из малинового сиропа
|
13
|
|
|
13
|
|
Молочно-ягодный
коктейль
|
13
|
|
Молочно-шоколадный
коктейль с мороженым
|
13
|
|
|
13
|
|
Крюшон
клубничный
|
13
|
|
|
13
|
|
Кондитерские
мучные изделия
|
|
Пирожки
печеные с вишней
|
22
|
60
|
|
82
|
|
Пирожки
печеные с творогом
|
22
|
80
|
|
102
|
|
Пончики
с сахарной пудрой
|
22
|
60
|
|
82
|
|
Ватрушки
венгерские
|
22
|
59
|
|
81
|
|
Расстегаи
закусочные
|
22
|
|
|
22
|
|
Гренки
с сыром
|
22
|
|
|
22
|
|
Гренки
из пшеничного хлеба
|
22
|
|
|
22
|
|
Профитроли
|
22
|
|
|
22
|
Глава 3. Расчет количества сырья
При проектировании предприятия общественного
питания расчет необходимого количества продуктов может производиться по
физиологическим нормам питания и по меню расчетного дня.
Выбор методики расчета определяется типом
предприятия и обслуживаемым контингентом потребителей. На предприятиях
общественного питания с постоянным контингентом потребителей расчет продуктов
производится по физиологическим нормам питания; на предприятиях, не имеющих
постоянного контингента, - по меню расчетного дня.
Расчет суточного количества продуктов по
расчетному меню определяется по формуле:
где G
- суточное количество продуктов, кг;
gp - норма
продукта на одно блюдо по сборнику рецептур, г;
n - количество блюд,
реализуемых предприятием за день.
Расчет выполняют для каждого вида блюд отдельно
по рецептурам действующих сборников рецептур блюд и кулинарных изделий или
других официальных документов.
После расчета расхода сырья, составляется
сводная продуктовая ведомость, в которой указывают расход сырья.
Таблица 7. Сводная продуктовая ведомость.
|
Наименование
продукта
|
Масса
брутто
|
Масса
нетто
|
ед.
измерения
|
Техническая
документация
|
|
Абрикосовое
пюре
|
2,7
|
2,7
|
кг.
|
ГОСТ
22371-77
|
|
Абрикосы
свежие
|
4,077
|
2,7
|
кг.
|
ГОСТ
21832-76
|
|
Ванилин
|
1,56
|
1,56
|
гр.
|
ГОСТ
16599-71
|
|
Вино
столовое
|
10,373
|
10,373
|
л.
|
ГОСТ
Р 52523-2006
|
|
Вишня
свежая
|
8,75
|
6,732
|
кг.
|
ГОСТ
21921-76
|
|
Гвоздика
|
3,45
|
3,45
|
гр.
|
ГОСТ
29047-91
|
|
Говядина
в четвертинах, замороженная
|
37,404
|
25,519
|
кг.
|
ГОСТ
12512-67
|
|
Горошек
зеленый
|
14,016
|
11,164
|
кг.
|
ГОСТ
15842-90
|
|
Гренки
|
1
|
1
|
кг.
|
ГОСТ
30317-95
|
|
Грибы,
шампиньоны, отварные
|
21,476
|
16,284
|
кг.
|
ГОСТ
28649-90
|
|
Груши
свежие
|
4,617
|
3,375
|
кг.
|
ГОСТ
21713-76
|
|
Желатин
|
0,138
|
0,138
|
кг.
|
ГОСТ
11293-89
|
|
Жир
|
4,629
|
4,629
|
кг.
|
ГОСТ
28414-89
|
|
Икра
кетовая
|
2,881
|
2,825
|
кг.
|
ГОСТ
7368-79
|
|
Индейка,
тушка, замороженная
|
1,6
|
1,2
|
кг.
|
ГОСТ
21784-76
|
|
Кабачки
свежие
|
5,74
|
4,92
|
кг.
|
ГОСТ
Р 53084-2008
|
|
Какао-порошок
|
3,255
|
3,255
|
кг.
|
ГОСТ
108-76
|
|
Капуста
свежая
|
31,714
|
15,857
|
кг.
|
ГОСТ
1724-85
|
|
Карбонат
|
4,633
|
4,56
|
кг.
|
ГОСТ
13455-91
|
|
Картофель
свежий
|
18,608
|
21,814
|
кг.
|
ГОСТ
Р 51808-2001
|
|
Кислота
лимонная
|
21,4
|
21,4
|
гр.
|
ГОСТ
908-2004
|
|
Клубника
свежая
|
0,195
|
0,195
|
кг.
|
ГОСТ
6828-89
|
|
Клюква
свежая
|
3,732
|
3,558
|
кг.
|
ГОСТ
19215-73
|
|
Корица
|
3,45
|
3,45
|
гр.
|
ГОСТ
29049-91
|
|
Кофе
натуральный
|
1,962
|
1,962
|
кг.
|
ГОСТ
Р 52088-2003
|
|
Крахмал
картофельный
|
320
|
320
|
гр.
|
ГОСТ
Р 53876-2010
|
|
Кролик,
тушка, замороженная
|
11,792
|
11,189
|
кг.
|
ГОСТ
27747-88
|
|
Крупа
манная
|
1,592
|
1,592
|
кг.
|
ГОСТ
7022-97
|
|
Крупа
рисовая
|
53,74
|
53,74
|
кг.
|
ГОСТ
6292-93
|
|
Кукуруза
консервированная
|
8,815
|
7,995
|
кг.
|
ГОСТ
13634-90
|
|
Лавровый
лист
|
0,56
|
0,56
|
гр.
|
ГОСТ
17594-81
|
|
Лимон
|
4,198
|
3,626
|
кг.
|
ГОСТ
4429-82
|
|
Лук
репчатый
|
18,523
|
15,975
|
кг.
|
ГОСТ
Р 51783-2001
|
|
Майонез
70%
|
6,51
|
6,51
|
кг.
|
ГОСТ
Р 53590-2009
|
|
Малина
свежая
|
2,7
|
2,7
|
кг.
|
ГОСТ
Р 54691-2011
|
|
Масло
сливочное 60%
|
5,692
|
5,692
|
кг.
|
ГОСТ
Р 52969-2008
|
|
Маргарин
60"%
|
2,735
|
2,735
|
кг.
|
ГОСТ
Р 52178-2003
|
|
Маслины
консервированные
|
1,5
|
1,5
|
кг.
|
ГОСТ
Р 51074-2003
|
|
Масло
растительное
|
2,83
|
2,83
|
л.
|
ГОСТ
30623-98
|
|
Миндаль
|
2,31
|
2,079
|
кг.
|
ГОСТ
16830-71
|
|
Молоко
3,2%
|
87,9
|
87,9
|
л.
|
ГОСТ
3623-73
|
|
Морковь
свежая
|
24,1
|
19,9
|
кг.
|
ГОСТ
Р 51782-2001
|
|
Мороженое
пломбир
|
12,8
|
12,8
|
кг.
|
ГОСТ
Р 52175-2003
|
|
Мука
пшеничная
|
3,9
|
3,9
|
кг.
|
ГОСТ
Р 52189-2003
|
|
Мускатный
орех
|
3,45
|
3,45
|
гр.
|
ГОСТ
29048-91
|
|
Напиток
газированный
|
0,650.
|
0,650.
|
л.
|
ГОСТ
Р 51153-98
|
|
Напиток
клюквенный
|
0,975
|
0,975
|
л.
|
ГОСТ
28188-89
|
|
Овсяные
хлопья
|
1,2
|
1,2
|
кг.
|
ГОСТ
21149-93
|
|
Огурцы
свежие
|
42,844
|
37,763
|
кг.
|
ГОСТ
1726-85
|
|
Окорок
Куринный замороженный
|
6,231
|
5,025
|
кг.
|
ГОСТ
Р 52702-2006
|
|
Окунь
|
6,142
|
4,067
|
кг.
|
ГОСТ
1168-86
|
|
Паштет
куриный
|
2
|
2
|
кг.
|
ГОСТ
12318-91
|
|
Перец
свежий
|
43,7
|
43,7
|
гр.
|
ГОСТ
13908-68
|
|
Петрушка
свежая
|
5,4
|
5,4
|
кг.
|
ГОСТ
16732-71
|
|
Печень
свиная
|
11,7
|
9,36
|
кг.
|
ГОСТ
19342-73
|
|
Плоды
консервированные
|
0,54
|
0,54
|
кг.
|
ГОСТ
13799-81
|
|
Помидоры
свежие
|
36,268
|
31,668
|
кг.
|
ГОСТ
1725-85
|
|
Поросенок,
тушка
|
11,122
|
9,911
|
кг.
|
ГОСТ
Р 52478-2005
|
|
Пюре
ягодное
|
4,3
|
4,3
|
кг.
|
ГОСТ
8756.12-91
|
|
Рафинированная
пудра
|
17,3
|
17,3
|
кг.
|
|
Салат
свежий
|
7,53
|
10,6
|
кг.
|
ГОСТ
Р 54703-2011
|
|
Сахар
|
26,2
|
26,2
|
кг.
|
ГОСТ
21-94
|
|
Сахарная
пудра
|
0,651
|
0,651
|
кг.
|
ГОСТ
22-94
|
|
Севрюга
|
10,05
|
6,5
|
кг.
|
ГОСТ
7445-2004
|
|
Севрюга
отварная
|
5,2
|
3,3
|
кг.
|
ГОСТ
7445-2004
|
|
Сельдерей
свежий
|
5,092
|
5,092
|
кг.
|
ГОСТ
16732-71
|
|
Сельдь
|
13,4
|
6,7
|
кг.
|
ГОСТ
815-2004
|
|
Сироп
|
0,405
|
0,405
|
л.
|
ГОСТ
28499-90
|
|
Сироп
клубничный
|
0,325
|
0,325
|
л.
|
ГОСТ
28499-90
|
|
Сироп
малиновый
|
0,265
|
0,265
|
л.
|
ГОСТ
28499-90
|
|
Сироп
шоколадный
|
0,325
|
0,325
|
л.
|
ГОСТ
28499-90
|
|
Сироп
ягодный
|
0,325
|
0,325
|
л.
|
ГОСТ
28499-90
|
|
Сливки
20%
|
1,256
|
1,256
|
л.
|
ГОСТ
Р 53435-2009
|
|
Сметана
20%
|
15,18
|
15,18
|
кг.
|
ГОСТ
Р 52092-2003
|
|
Сок
ягодный
|
5,6
|
5,6
|
л.
|
ГОСТ
28539-90
|
|
Соль
|
15,4
|
15,4
|
гр.
|
ГОСТ
Р 51574-2000
|
|
Соус
|
26,7
|
26,7
|
л.
|
ГОСТ
Р 50903-96
|
|
Спаржа
свежая
|
8,13
|
6,715
|
кг.
|
ГОСТ
Р 54699-2011
|
|
Сыр
|
1,3
|
1,3
|
кг.
|
ГОСТ
Р 52686-2006
|
|
Творог
23%
|
8,97
|
8,97
|
кг.
|
ГОСТ
Р 52096-2003
|
|
Тесто
слоеное
|
7,557
|
7,557
|
кг.
|
ТУ
9110-034-2010
|
|
Тесто
дрожжевое
|
9,77
|
9,77
|
кг.
|
ТУ
9110-034-2010
|
|
Тесто
пресное
|
10,672
|
10,672
|
кг.
|
ТУ
9110-034-2010
|
|
Томатное
пюре
|
7,31
|
7,31
|
кг.
|
ГОСТ
3343-89
|
|
Треска
|
28,297
|
20,952
|
кг.
|
ГОСТ
814-96
|
|
Тыква
|
5,52
|
3,84
|
кг.
|
ГОСТ
7975-68
|
|
Уксус
9%
|
1,005
|
1,005
|
л.
|
ГОСТ
Р 52101-2003
|
|
Фазан
|
22,3
шт.
|
3,551
|
кг.
|
ГОСТ
21784-76
|
|
Хлеб
пшеничный
|
18,941
|
18,941
|
кг.
|
ГОСТ
27842-88
|
|
Чай-заварка"экстра"
|
11,45
|
11,45
|
л.
|
ГОСТ
1938-90
|
|
Черешня
свежая
|
2,7
|
2,7
|
кг.
|
ГОСТ
21922-76
|
|
Чеснок
свежий
|
1,056
|
1,056
|
кг.
|
ГОСТ
27569-87
|
|
Шоколад
|
0,996
|
0,996
|
кг.
|
ГОСТ
6534-89
|
|
Яблоки
свежие
|
28,859
|
24,934
|
кг.
|
ГОСТ
21122-75
|
|
Язык
говяжий
|
2,814
|
2,814
|
кг.
|
ГОСТ
23670-79
|
|
Яйца
куриные
|
6,791
|
6,791
|
кг.
|
ГОСТ
Р 52121-2003
|
Глава 4. Расчет горячего цеха
.1 Характеристика горячего цеха
Горячий цех проектируется на всех предприятиях
питания независимо от их вместимости, где предусмотрены залы для обслуживания
потребителей. Цех предназначен для приготовления горячих блюд и кулинарных
изделий, отпускаемых в залах предприятия и магазинах кулинарии.
Горячий цех размещен в наземном этаже здания.
Освещение производится естественным светом. Цех расположен на одном уровне с
залом. Цех имеет удобную связь с холодным цехом, а также с другими помещениями:
раздаточной, моечными, с мясорыбным и овощными цехами, с помещениями для
хранения сырья. Горячий цех имеет непосредственную связь с моечной кухонной
посуды.
Горячий цех оснащен тепловым, холодильным,
механическим и вспомогательным оборудованием. Участок приготовления бульонов
оборудуется варочными устройствами различной вместимости; участок приготовления
вторых горячих блюд - пищеварочными котлами, плитой, жарочным шкафом,
сковородой, фритюрницей, грилем и прилавками-мармитами для супов и соусов.
Участок приготовления горячих напитков оборудован электрокипятильником и
электрокофеварками. В качестве вспомогательного оборудования используются
производственные столы различной конструкции, моечная ванна.
При работе предприятий на полуфабрикатах и
продукции высокой степени готовности процессы приготовления и оформления
горячих блюд осуществляют в одном помещении на участках: разогрева и доведения
до готовности охлажденных супов, вторых горячих блюд, соусов и гарниров;
приготовление несложных блюд (молочных каш, изделий из творога и яичных блюд);
приготовление горячих напитков.
Оборудование применяется секционное, отвечающее
по модулю функциональным емкостям. Расстановка оборудования -
линейно-групповая, позволяющая группировать его по технологическим процессам с
размещением в линии. Вспомогательное оборудование устанавливается в
самостоятельные линии, располагаемые параллельно линиям теплового оборудования.
Технологические линии имеют как пристенное, так и островное расположение;
установлены в одну или две смежные линии, перпендикулярно раздаче.
.2 Производственная программа горячего цеха
Таблица 8. Производственная программа горячего
цеха.
|
Наименование
блюда
|
Выход
по меню, шт.
|
|
|
Выход
по массе
|
Аля
карт
|
Шведский
стол
|
Биззнес-ланч
|
Итого
|
|
П/ф
из окуня для салата из окуня с майонезом
|
130/30
|
83
|
|
|
83
|
|
Поросенок
отварной с хреном с овощным гарниром
|
100/75/25
|
67
|
|
|
67
|
|
Окорок
с овощным гарниром
|
75/50/25
|
67
|
|
|
67
|
|
Севрюга
отварная с овощным гарниром и соус хрен
|
75/75/25
|
67
|
|
|
67
|
|
п/ф
из языка говяжего с овощным гарниром и соус майонез с корнишонами
|
75/75/30
|
67
|
|
|
67
|
|
Филе
фазана с гарниром из овощей и соусом майонезным
|
100/50/30
|
67
|
|
|
67
|
|
Солянка
говяжья на сковороде
|
150
|
75
|
|
|
75
|
|
Грибы
в сметанном соусе
|
130/20
|
59
|
59
|
|
118
|
|
Суп
рисовый с говядиной
|
150/50
|
322
|
|
115
|
437
|
|
Суп-пюре
из индейки с гренками
|
180/10/25
|
40
|
|
|
40
|
|
Суп-пюре
из картофеля
|
220
|
40
|
|
115
|
155
|
|
Суп
молочный с овсяными хлопьями
|
200
|
|
80
|
|
80
|
|
Суп
молочный с тыквой и манной крупой
|
200
|
|
80
|
|
80
|
|
Суп-пюре
из яблока
|
200
|
|
80
|
|
80
|
|
Треска
(филе) отварная
|
100
|
55
|
46
|
|
101
|
|
Скумбрия
жареная целиком
|
150
|
50
|
|
115
|
165
|
|
Треска
,тушенная в томате с овощами
|
100/30/100
|
56
|
|
|
56
|
|
Мясо
шпигованное
|
150
|
67
|
|
115
|
182
|
|
Оладьи
из печени
|
100
|
67
|
50
|
|
117
|
|
Овощи
в молочном соусе
|
100/25
|
40
|
50
|
115
|
205
|
|
Рис
отварной
|
100
|
201
|
67
|
115
|
383
|
|
Пирожки
печеные с вишней
|
75
|
22
|
60
|
|
82
|
|
Пирожки
печеные с творогом
|
75
|
22
|
80
|
|
102
|
|
Пончики
с сахарной пудрой
|
45/3
|
22
|
60
|
|
82
|
|
Ватрушки
венгерские
|
85
|
22
|
59
|
|
81
|
|
Расстегаи
закусочные
|
100
|
22
|
|
22
|
|
Гренки
с сыром
|
150
|
22
|
|
|
22
|
|
Гренки
из пшеничного хлеба
|
150
|
22
|
|
|
22
|
|
Профитроли
|
20
|
22
|
|
|
22
|
|
Яблоки
в слойке
|
135
|
27
|
50
|
|
77
|
|
Суфле
ягодное
|
300
|
27
|
59
|
|
86
|
|
Суфле
ванильное
|
300
|
27
|
|
|
27
|
Для составления графика реализации блюд по часам
работы торгового зала необходимо определить количество блюд, реализуемых за
каждый час работы зала предприятия.
nчас=n*Kчас,(4),
где nчас-
количество блюд, реализуемых за каждый час работы зала, шт; n - количество
блюд, реализуемых за день, шт;
Все расчеты по определению почасовой реализации
блюд целесообразно свести в таблицу 9.
Kчас-
коэффициент пересчета блюд для каждого часа. Kчас=Nчас/N,(5),
где Kчас-
коэффициент пересчета блюд для каждого часа; Nчас-
количество посетителей за каждый час работы предприятия, чел; N - количество
посетителей за день, чел. Сумма всех коэффициентов пересчета за весь день
должна составлять единицу.
Определим коэффициент пересчета для меню
«Шведский стол»:
Kчас
7:00-8:00=72/480=0,15
Kчас
8:00-9:00= 120/480=0,25
Kчас
9:00-10:00=192/480=0,4
Kчас
10:00-11:00 =96/480=0,2
Определим коэффициент пересчета для меню A
la cart
и
бизнес-ланча:
Kчас
12:00-13:00= 108/958=0,11
Kчас
13:00-14:00= 180/958=0,18
Kчас
14:00-15:00= 162/958=0,17
Kчас
15:00-16:00=126/958=0,13
Kчас
17:00-18:00= 65/958=0,07
Kчас
18:00-19:00=72/958=0,08
Kчас
19:00-20:00=72/958=0,08
Kчас
20:00-21:00=65/958=0,07
Kчас
21:00-22:00=58/958=0,06
Kчас
22:00-23:00=50/958=0,05
Таблица 10. Реализация блюд по часам.
|
Наименование
блюд
|
Количество
реализуемых блюд Шв. Стол
|
Количество
реализуемых блюд ( A la cart, Б/Л
|
Шведский
стол
|
A
la cart, Бизнес- ланч
|
|
|
|
7-8
|
8-9
|
9-10
|
10-11
|
12-13
|
13-14
|
14-15
|
15-16
|
17-18
|
18-19
|
19-20
|
20-21
|
21-22
|
22-23
|
|
|
|
Коэффициент
пересчета
|
|
|
|
0,15
|
0,25
|
0,4
|
0,2
|
0,11
|
0,18
|
0,17
|
0,13
|
0,07
|
0,08
|
0,08
|
0,07
|
0,06
|
0,05
|
|
|
|
Количество
блюд реализуемых в течении часа
|
|
П/ф
из окуня для салата из окуня с майонезом
|
|
83
|
|
|
|
|
9
|
15
|
14
|
11
|
6
|
7
|
7
|
6
|
5
|
4
|
|
Поросенок
отварной с хреном с овощным гарниром
|
|
67
|
|
|
|
|
7
|
12
|
11
|
9
|
5
|
5
|
5
|
5
|
4
|
3
|
|
Окорок
с овощным гарниром
|
|
67
|
|
|
|
|
7
|
12
|
11
|
9
|
5
|
5
|
5
|
5
|
4
|
3
|
|
Севрюга
отварная с овощным гарниром и соус хрен
|
|
67
|
|
|
|
|
7
|
12
|
11
|
9
|
5
|
5
|
5
|
5
|
4
|
3
|
|
п/ф
из языка говяжего с овощным гарниром и соус майонез с корнишонами
|
|
67
|
|
|
|
|
7
|
12
|
11
|
9
|
5
|
5
|
5
|
5
|
4
|
3
|
|
Филе
фазана с гарниром из овощей и соусом майонезным
|
|
67
|
|
|
|
|
7
|
12
|
11
|
9
|
5
|
5
|
5
|
5
|
4
|
3
|
|
Солянка
говяжья на сковороде
|
|
75
|
|
|
|
|
8
|
14
|
13
|
10
|
5
|
6
|
6
|
5
|
5
|
4
|
|
Грибы
в сметанном соусе
|
59
|
59
|
9
|
15
|
24
|
12
|
6
|
11
|
10
|
8
|
4
|
5
|
5
|
4
|
4
|
3
|
|
Суп
рисовый с говядиной
|
|
437
|
|
|
|
|
48
|
79
|
74
|
57
|
31
|
35
|
35
|
31
|
26
|
22
|
|
Суп-пюре
из индейки с гренками
|
|
40
|
|
|
|
|
4
|
7
|
7
|
5
|
3
|
3
|
3
|
3
|
2
|
2
|
|
Суп-пюре
из картофеля
|
|
155
|
|
|
|
|
17
|
28
|
26
|
20
|
11
|
12
|
12
|
11
|
9
|
8
|
|
Суп
молочный с овсяными хлопьями
|
80
|
|
12
|
20
|
32
|
16
|
|
|
|
|
|
|
|
|
|
|
|
Суп
молочный с тыквой и манной крупой
|
80
|
|
12
|
20
|
32
|
16
|
|
|
|
|
|
|
|
|
|
|
|
Треска
(филе) отварная
|
46
|
55
|
7
|
11
|
18
|
9
|
6
|
10
|
9
|
7
|
4
|
4
|
4
|
4
|
3
|
3
|
|
Скумбрия
жареная целиком
|
|
165
|
|
|
|
|
18
|
30
|
28
|
21
|
12
|
13
|
13
|
12
|
10
|
8
|
|
56
|
|
|
|
|
6
|
10
|
10
|
7
|
4
|
4
|
4
|
4
|
3
|
3
|
|
Мясо
шпигованное
|
|
182
|
|
|
|
|
20
|
33
|
31
|
24
|
13
|
15
|
15
|
13
|
11
|
9
|
|
Оладьи
из печени
|
50
|
67
|
8
|
13
|
20
|
10
|
7
|
12
|
11
|
9
|
5
|
5
|
5
|
5
|
4
|
3
|
|
Овощи
в молочном соусе
|
50
|
155
|
8
|
13
|
20
|
10
|
17
|
28
|
26
|
20
|
11
|
12
|
12
|
11
|
9
|
8
|
|
Рис
отварной
|
67
|
316
|
10
|
17
|
27
|
13
|
35
|
57
|
54
|
41
|
22
|
25
|
25
|
22
|
19
|
16
|
|
Пирожки
печеные с вишней
|
60
|
22
|
9
|
15
|
24
|
12
|
2
|
4
|
4
|
3
|
2
|
2
|
2
|
2
|
1
|
1
|
|
Пирожки
печеные с творогом
|
80
|
22
|
12
|
20
|
32
|
16
|
2
|
4
|
4
|
3
|
2
|
2
|
2
|
2
|
1
|
1
|
|
Пончики
с сахарной пудрой
|
60
|
22
|
9
|
15
|
24
|
12
|
2
|
4
|
4
|
3
|
2
|
2
|
2
|
2
|
1
|
1
|
|
Ватрушки
венгерские
|
59
|
22
|
9
|
15
|
24
|
12
|
2
|
4
|
4
|
3
|
2
|
2
|
2
|
2
|
1
|
1
|
|
Расстегаи
закусочные
|
|
22
|
|
|
|
|
2
|
4
|
4
|
3
|
2
|
2
|
2
|
2
|
1
|
1
|
|
Гренки
с сыром
|
|
22
|
|
|
|
|
2
|
4
|
4
|
3
|
2
|
2
|
2
|
2
|
1
|
1
|
|
Гренки
из пшеничного хлеба
|
|
22
|
|
|
|
|
2
|
4
|
4
|
3
|
2
|
2
|
2
|
2
|
1
|
1
|
|
Профитроли
|
|
22
|
|
|
|
|
2
|
4
|
4
|
3
|
2
|
2
|
2
|
2
|
1
|
1
|
|
Яблоки
в слойке
|
50
|
27
|
8
|
13
|
20
|
10
|
3
|
5
|
5
|
4
|
2
|
2
|
2
|
2
|
2
|
1
|
|
Суфле
ягодное
|
59
|
27
|
9
|
15
|
24
|
12
|
3
|
5
|
5
|
4
|
2
|
2
|
2
|
2
|
2
|
1
|
|
Суфле
ванильное
|
|
27
|
|
|
|
|
3
|
5
|
5
|
4
|
2
|
2
|
2
|
2
|
2
|
1
|
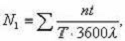
.3 Расчет численности работников цеха
Для каждого цеха и помещения предприятия
общественного питания определяют численность работников, выполняющих ту или
иную работу, технологические операции, связанные с производством и реализацией
продукции, мойкой посуды, тары и инвентаря, обслуживанием потребителей.
Численность производственных работников в цехах
можно рассчитать по нормам времени (на единицу готовой продукции), а также по
нормам выработки с учетом фонда рабочего времени одного работающего за
определенный период и производственной программы цеха за тот же период.
Численность производственных работников, непосредственно занятых в процессе
производства, определяют по нормам времени в соответствии с формулой
где n - количество изделий (или блюд),
изготавливаемых за день, шт , кг,
блюд; t - норма времени на изготовление единицы
изделия, с; t = К∙100;
здесь К - коэффициент трудоемкости; значения
коэффициентов трудоемкости К даны в Справочнике руководителя предприятия
общественного питания;
- норма времени, необходимого для приготовления
изделия, коэффициент трудоемкости которого равен 1 ,с;
Т- продолжительность рабочего дня каждого
работающего, ч;
λ - коэффициент,
учитывающий рост производительности труда (λ = 1,14), применяют
только при механизации процесса.
Таблица 11. Расчет численности производственных
работников.
|
Наименование
блюда
|
Количество
блюд
|
Коэффициент
трудоемкости
|
Время
в сек на одного повара
|
|
Кролик
на вертеле с рисом и соусом
|
67
|
0,5
|
3350
|
|
Поросенок
отварной с хреном с овощным гарниром
|
67
|
0,6
|
4020
|
|
Окорок
с овощным гарниром
|
67
|
0,6
|
4020
|
|
Севрюга
отварная с овощным гарниром и соус хрен
|
67
|
0,6
|
4020
|
|
Язык
говяжий с овощным гарниром и соус майонез с корнишонами
|
67
|
0,5
|
3350
|
|
Филе
фазана с гарниром из овощей и соусом майонезным
|
67
|
0,9
|
6030
|
|
Солянка
говяжья на сковороде
|
75
|
1,8
|
13500
|
|
Грибы
в сметанном соусе
|
118
|
0,2
|
2360
|
|
Суп
рисовый с говядиной
|
437
|
0,4
|
17480
|
|
Суп-пюре
из индейки с гренками
|
40
|
0,5
|
2000
|
|
Суп-пюре
из картофеля
|
155
|
0,3
|
4650
|
|
Суп
молочный с овсяными хлопьями
|
80
|
0,3
|
2400
|
|
Суп
молочный с тыквой и манной крупой
|
80
|
0,3
|
2400
|
|
Суп-пюре
из яблока
|
80
|
0,3
|
2400
|
|
Треска
(филе) отварная
|
101
|
0,6
|
6060
|
|
Скумбрия
жареная целиком
|
165
|
0,8
|
13200
|
56
|
1,5
|
8400
|
|
Шашлык
из говядины
|
67
|
1,1
|
7370
|
|
Мясо
шпигованное
|
182
|
0,6
|
10920
|
|
Оладьи
из печени
|
117
|
0,5
|
5850
|
|
Овощи
в молочном соусе
|
205
|
0,3
|
6150
|
|
Рис
отварной
|
383
|
0,3
|
11490
|
|
Пирожки
печеные с вишней
|
82
|
1
|
8200
|
|
Пирожки
печеные с творогом
|
102
|
1
|
10200
|
|
Пончики
с сахарной пудрой
|
82
|
1
|
8200
|
|
Ватрушки
венгерские
|
81
|
0,5
|
4050
|
|
Расстегаи
закусочные
|
22
|
0,6
|
1320
|
|
Гренки
с сыром
|
22
|
0,2
|
440
|
|
Гренки
из пшеничного хлеба
|
22
|
0,1
|
220
|
|
Профитроли
|
22
|
0,5
|
1100
|
|
П/ф
из окуня для салата из окуня с майонезом
|
83
|
1,1
|
9130
|
|
п/ф
из языка говяжего с овощным гарниром и соус майонез с корнишонами
|
67
|
0,5
|
3350
|
|
Яблоки
в слойке
|
77
|
0,7
|
5390
|
|
Суфле
ягодное
|
86
|
0,5
|
4300
|
|
Суфле
ванильное
|
27
|
0,5
|
1350
|
|
Всего
|
|
|
198670
|
N=198670/
(8*3600*1,14)= 6,05 , т.е. для работы в горячем цехе требуется 6 поваров.
Глава 5. Расчет оборудования и полезной площади
в горячем цехе предприятия
Технологический расчет оборудования сводится к
выбору типов и определению необходимого числа единиц оборудования для
выполнения тех или иных операций, времени его работы и коэффициента
использования. Применение современного технологического оборудования позволяет
не только реализовывать производственную программу предприятия, но и получить
при этом максимальную прибыль, обусловленную привлечением минимального числа
производственных работников, рациональным использованием производственной
площади.
.1 Расчет холодильного оборудования в горячем
цехе
Так как в Венском кафе в гостинице Международная
2- 120 мест, то возьмем необходимый объем холодильного оборудования 800 литров.
Так же возьмем морозильный шкаф на 141 литр.
Таблица 12.
|
Наименование
оборудования
|
Характеристика
оборудования
|
|
Холодильник
ШХ-0,8 Полюс
|
1300х625х1855мм.
|
|
Морозильный
шкаф Liebherr GGU 1550
|
830х600х615мм.
|
.2 Расчет нейтрального оборудования в горячем
цехе
Расчет нейтрального оборудования осуществляется
с целью определения необходимого количества производственных столов, моечных
ванн, стеллажей, устанавливаемых в холодном цехе.
Расчет производственных столов ведется по
количеству работников, одновременно работающих в цехе, которое определяется на
основании графика выхода поваров на работу.
L = N1
* l,
Где L - общая длина производственных столов в
цехе, м1-количество одновременно работающих в цехе, чел;
//l - длина рабочего места на одного работника,
м (l = 1,25м)=6 * 1.25 = 7,5 (метров)
Количество столов находится по формуле:
n= Lp
/
Lст ,
где n-количество столов;- общая длина
производственных столов в цехе, м;ст - длина принятого стандартного
производственного стола, м.
n = 7,25 : 1,5 = 5
(столов)
Исходя из данных расчетов выбираем из каталога
подходящий производственный стол таблица.
Таблица 13.
|
Модель
стола
|
Кол-во
раб-ов
|
Длина
производственных столов в цехе, м
|
Длина
принятого стандартного производственного стола, м
|
Габариты
(ДхШхВ) мм.
|
Кол-во
столов
|
|
Стол
СРОП-2/1500/600
|
6
|
7,5
|
1,5
|
1500х600х870
|
5
|
Без расчета исходя из необходимости в цехе
требуется установить оборудование представленное в таблице
Таблица 14.
|
Наименование
оборудования
|
Количество
|
Габариты
|
|
Моечная
ванна ВМР 1/800/1540
|
1
|
1540х800х870мм
|
|
Рукомойник
ВМ 12/301
|
1
|
400х300х200мм
|
|
Стеллаж
разборный СТР 114/1200
|
2
|
1200х500х1850мм
|
|
Полка
настенная ПН-111/1204
|
2
|
1200х400х300мм4
|
|
Весы
настольные ED-15
|
1
|
352х325х95
|
.3 Расчет теплового оборудования в горячем цехе
Расчет варочной аппаратуры включает определение
объема котлов для варки бульонов, первых блюд, горячих напитков, продуктов для
приготовления холодных блюд и кулинарных изделий.
Расчет объема пищеварочных котлов для бульонов.
Объем котлов определяется по формулам:
Где V-
номинальный объем котла для варки бульона, дм3
Vпрод. - объем
занимаемый продуктами, используемый для варки, дм3
Vв - объем воды, дм3
Vпром - объем
промежутков между продуктами, дм3
Где G
- масса продукта, кг
Р - плотность продукта, кг/дм3
где qр
-
норма продукта на одно блюдо
n - количество блюд
Для концентрированного бульона
для бульона нормальной концентрации
Где G
- масса продукта для приготовления концентрированного бульона, кг
nв -
норма воды на 1 кг основного продукта, дм3
n - количество блюд
приготовленных на данном бульоне.
V1
- норма воды на одну порцию супа с учетом выкипания
V1=0,4
дм3 при норме выхода супа 0,5 дм3
Где
-
коэффициент учитывающий промежуток между продуктами (
)
Расчет котлов для варки бульонов.
Таблица 15.
|
Наименование
бульона и продукта
|
Количество
порций супа, шт
|
Норма
продукта на порцию супа, г
|
Масса
продукта на заданное количество супа, кг
|
Объемная
плотность продукта, кг/дм3
|
Объем,
занимаемый продуктом, дм3
|
Норма
воды на 1 кг основного продукта,/дм3/кг
|
Объем
воды на общую массу основного продукта, дм3
|
Объем
промежутков между продуктами, дм3
|
Объем
котла, дм3
|
|
|
|
|
|
|
|
|
|
расчетный
|
принятый
|
|
Бульон
говяжий, на мясе
|
437
|
25
|
10,92
|
0,85
|
12,85
|
1,25
|
16,06
|
1,93
|
26,98
|
30
|
|
Бульон
из индейки
|
40
|
25
|
1,20
|
0,85
|
1,41
|
1,25
|
1,76
|
0,21
|
2,96
|
5
|
Расчет котлов для варки супов.
Вместимость пищеварочных котлов для варки супов
рассчитывается по формуле:
V=ncVc
Где nc - количество порций супа
реализуемых за 2 часа;c - объем одной порции
Расчет котлов для варки вторых и горячих блюд и
гарниров.
Объем пищеварочных котлов для варки вторых
горячих блюд и гарниров рассчитывается по формулам:
для варки набухающих продуктов
= Vпрод + Vв;
для варки ненабухающих продуктов
= 1,15 * Vпрод;
для тушения продуктов
= Vпрод.
Буквенные обозначения в формулах аналогичны
обозначениям в формуле расчета объема котлов для варки бульонов.
Таблица 16.
|
Наименование
блюда
|
Часы
реализации блюд
|
Кол-во
блюд, шт.
|
Масса
продукта нетто, кг
|
Объемная
плотность продукта, кг/дм3
|
Объем
продукта, дм3
|
Норма
воды на 1 кг продукта, дм3
|
Объем
вода, дм3
|
Объем,
дм3
|
Марка
котла, гастроемкости
|
|
|
|
на
одну порцию, г
|
на
все порции, кг
|
|
|
|
|
расчетный
|
принятый
|
|
|
Рис
отварной рассыпчатый
|
7-
9
|
27
|
100
|
2,7
|
0,81
|
3,33
|
2,1
|
7,00
|
10,3
|
12
|
Котел
|
|
9-11
|
40
|
100
|
4
|
0,81
|
4,94
|
2,1
|
10,37
|
15,31
|
20
|
Котел
|
|
12-14
|
92
|
100
|
9,2
|
0,81
|
11,36
|
2,1
|
23,85
|
35,21
|
40
|
Котел
|
|
14-16
|
95
|
100
|
9,5
|
0,81
|
11,73
|
2,1
|
24,63
|
36,36
|
40
|
Котел
|
|
17-19
|
47
|
100
|
4,7
|
0,81
|
5,80
|
2,1
|
12,19
|
17,99
|
20
|
Котел
|
|
19-21
|
47
|
100
|
4,7
|
0,81
|
5,80
|
2,1
|
12,19
|
17,99
|
20
|
Котел
|
|
21-23
|
35
|
100
|
3,5
|
0,81
|
4,32
|
2,1
|
9,07
|
13,40
|
20
|
Котел
|
|
Поросенок
отварной
|
12-14
|
19
|
100
|
1,9
|
0,85
|
2,24
|
-
|
-
|
2,57
|
4
|
Кастрюля
|
|
14-16
|
20
|
100
|
2
|
0,85
|
2,35
|
-
|
-
|
2,71
|
4
|
Кастрюля
|
|
17-19
|
10
|
100
|
1
|
0,85
|
1,18
|
-
|
-
|
1,35
|
4
|
Кастрюля
|
|
19-21
|
10
|
100
|
1
|
0,85
|
1,18
|
-
|
-
|
1,35
|
4
|
Кастрюля
|
|
21-23
|
7
|
0,7
|
0,85
|
0,82
|
-
|
-
|
0,95
|
4
|
Кастрюля
|
|
Язык
говяжий
|
12-14
|
19
|
75
|
1,425
|
0,84
|
1,70
|
-
|
-
|
1,95
|
4
|
Кастрюля
|
|
14-16
|
20
|
75
|
1,5
|
0,84
|
1,79
|
-
|
-
|
2,05
|
6
|
Кастрюля
|
|
17-19
|
10
|
75
|
0,75
|
0,84
|
0,89
|
-
|
-
|
1,03
|
4
|
Кастрюля
|
|
19-21
|
10
|
75
|
0,75
|
0,84
|
0,89
|
-
|
-
|
1,03
|
4
|
Кастрюля
|
|
21-23
|
7
|
75
|
0,525
|
0,84
|
0,63
|
-
|
-
|
0,72
|
4
|
Кастрюля
|
|
Треска
отварная
|
7-
9
|
18
|
100
|
1,8
|
0,8
|
2,25
|
-
|
-
|
2,59
|
4
|
Кастрюля
|
|
9-11
|
27
|
100
|
2,7
|
0,8
|
3,38
|
-
|
-
|
3,88
|
4
|
Кастрюля
|
|
12-14
|
16
|
100
|
1,6
|
0,8
|
2,00
|
-
|
-
|
2,30
|
4
|
Кастрюля
|
|
14-16
|
16
|
100
|
1,6
|
0,8
|
2,00
|
-
|
-
|
2,30
|
4
|
Кастрюля
|
|
17-19
|
8
|
100
|
0,8
|
0,8
|
1,00
|
-
|
-
|
1,15
|
4
|
Кастрюля
|
|
19-21
|
8
|
100
|
0,8
|
0,8
|
1,00
|
-
|
-
|
1,15
|
4
|
Кастрюля
|
|
21-23
|
6
|
100
|
0,6
|
0,8
|
0,75
|
-
|
-
|
0,86
|
4
|
Кастрюля
|
|
Севрюга
отварная
|
12-14
|
19
|
75
|
1,425
|
0,8
|
1,78
|
-
|
-
|
2,05
|
4
|
Кастрюля
|
|
14-16
|
20
|
75
|
1,5
|
0,8
|
1,88
|
-
|
-
|
2,16
|
4
|
Кастрюля
|
|
17-19
|
10
|
75
|
0,75
|
0,8
|
0,94
|
-
|
-
|
1,08
|
4
|
Кастрюля
|
|
19-21
|
10
|
75
|
0,75
|
0,8
|
0,94
|
-
|
-
|
1,08
|
4
|
Кастрюля
|
|
21-23
|
7
|
75
|
0,525
|
0,8
|
0,66
|
-
|
-
|
0,75
|
4
|
Кастрюля
|
Количество воды, необходимое для варки
набухающих продуктов, принимается по Сборнику рецептур блюд. Количество воды
для варки ненабухающих продуктов учитывается с помощью коэффициента 1,15.
Отсутствие коэффициента, учитывающего объем жидкости в формуле расчета объема
котла для тушения, объясняется тем, что ввиду незначительного количества
жидкости, требующейся для этой операции, вся жидкость распределяется в
промежутках между продуктом, не занимая дополнительного объема. Расчет объема
котлов для варки вторых горячих блюд и гарниров производится в основном на
каждые 2 часа реализации. Для рисовой каши, а также варки продуктов для
приготовления холодных блюд расчет объема котлов может быть произведен сразу на
весь день, для продукции с небольшими сроками реализации - на каждый час.
Расчет пароконвектоматов.
Их устанавливают в настоящее время почти во всех
предприятиях общественного питания. Это автоматизированные многофункциональные
аппараты, используемые для жарки, тушения, запекания, припкскания, варки на
пару, размораживания и разогрева охлажденной продукции.
Расчет производится по формуле:
от.
= ånг.е/j,
где nф.е. - количество функциональных емкостей,
находящихся в шкафу за расчетный период, шт.; j -
оборачиваемость отсеков за расчетный период, раз.
Таблица 17.
Принимаем итальянскую конвекционную печь XVC
305 Р с пятью уровнями, габаритами 750х625х792 мм.
Расчет сковород.
Расчет и подбор сковород и фритюрниц
производится по площади пода чаши или ее вместимости. Основой для расчета
является количество изделий, реализуемых при максимальной загрузке зала в кафе.
Площадь чаши пода может быть определена двумя
способами.
Для жарки штучных изделий она определяется по
формуле
F = n*f / φ,
где F - площадь пода чаши, м ; - количество
изделий, обжариваемых за расчетный период, шт.; - площадь, занимаемая единицей
изделия, м ;
φ- оборачиваемость
площади пода сковороды за расчетный период.
φ = T/tц,
где Т - продолжительность расчетного периода, ч;
ц - продолжительность цикла тепловой обработки, ч.
К полученной площади пода добавляется 10% на
неплотности прилегания изделий. Общая площадь пода будет равна
общ = 1,1* F.
Количество сковород определяется по формуле
= Fобщ/Fст,
где Fст - площадь пода чаши стандартной
сковородки, м .
Таблица 18. Расчет площади пода сковороды.
Площадь пода сковороды равна 1,1*0,465=0,51м2
Принимаем электрическую сковороду СЭС-0,45 с
размерами 1519х900х850мм.
Расчет плиты.
При расчете жарочной поверхности плиты следует
рассмотреть два случая: расчет жарочной поверхности плиты с конфорками для
наплитной посуды; расчет жарочной поверхности плиты с конфорками для
непосредственной жарки.
Расчет жарочной поверхности плиты для посуды
производится по формуле
F = n*f/φ,
где F - площадь жарочной поверхности плиты,
используемая для приготовления данного блюда, м ;- количество посуды,
необходимой для приготовления данного блюда за расчетный час, шт.; - площадь,
занимаемая единицей наплитной посуды или функциональной емкостью на жарочной
поверхности плиты;
φ - оборачиваемость
площади жарочной поверхности плиты, занятой посудой за расчетный час.
Оборачиваемость площади жарочной поверхности
плиты зависит от продолжительности тепловой обработки и определяется из
следующего соотношения:
φ = 60/t,
где t - продолжительность тепловой обработки
продукта, мин.
Жарочная поверхность плиты, используемая для
приготовления всех видов блюд, определяется как сумма поверхностей,
используемых для приготовления отдельных видов блюд:
F = (n*f / φ ) + (n*f / φ ) +...+ (n*f /
φ ) = φ (n*f/
φ).
К полученной жарочной поверхности плиты
прибавляют 30% на неплотности прилегания посуды и мелкие неучтенные операции.
общ = 1,1*F
Таблица 19.
|
Наименование
блюда
|
Кол-во
изделий в час мax. загрузки
|
Вид
наплитной посуды
|
Вместимость
наплитной посуды
|
Кол-во
посуды
|
площадь
ед. посуды
|
Продолжительность
тепловой обработки
|
Оборачиваемость
за расчетный час
|
Расчетная
жарочная поверхность плиты м2
|
|
|
|
дм3
|
шт
|
|
|
|
|
|
|
Суп
рисовый с говядиной
|
131
|
Котел
|
30
|
|
1
|
0,09
|
120
|
0,5
|
0,18
|
|
Суп-пюре
из индейки с гренками
|
12
|
Кастрюля
|
6
|
|
1
|
0,04
|
120
|
0,5
|
0,08
|
|
Суп-пюре
из картофеля
|
46
|
Кастрюля
|
10
|
|
1
|
0,05
|
120
|
0,5
|
0,10
|
|
Суп
молочный с овсяными хлопьями
|
48
|
Кастрюля
|
12
|
|
1
|
0,07
|
15
|
4
|
0,02
|
|
Суп
молочный с тыквой и манной крупой
|
48
|
Кастрюля
|
12
|
|
1
|
0,07
|
20
|
3
|
0,02
|
|
Поросенок
отварной
|
20
|
Кастрюля
|
4
|
|
1
|
0,04
|
60
|
1
|
0,04
|
|
Язык
говяжий
|
20
|
Кастрюля
|
4
|
|
1
|
0,04
|
120
|
0,5
|
0,08
|
|
Треска
отварная
|
27
|
Кастрюля
|
6
|
|
1
|
0,04
|
40
|
1,5
|
0,03
|
|
Севрюга
отварная
|
20
|
Кастрюля
|
4
|
|
1
|
0,04
|
40
|
1,5
|
0,03
|
|
Рис
отварной
|
95
|
Котел
|
40
|
|
1
|
0,13
|
20
|
3
|
0,04
|
|
Итого
|
|
|
|
|
|
|
|
|
0,62
|
Площадь жарочной поверхности плиты равна
1,1*0,62=0,68м2.
Число плит ПЭ-0,51-01 равно 2. Размер плиты
1000х800х850мм.
Так же используем зонт вытяжной ЗВО 2200х2000.
Механическое оборудование.
Механическое оборудование горячего цеха
предприятия питания предназначено для проведения различных механических
операций: очистка и резка овощей, просеивание муки, измельчения мяса, нарезания
хлеба и т.д. В качестве механического оборудования принимаем на данном
предприятии привод УКМ-06 со сменными механизмами для выполнения различных
видов операций.
5.4 Расчет раздаточного оборудования в горячем
цехе
Расчет раздаточного оборудования
Раздаточное оборудование устанавливается в
предприятиях общественного питания для облегчения и ускорения процесса раздачи
блюд. При обслуживании официантами определяют длину фронта раздачи в холодном
цехе и горячем, буфете и количество раздаточного оборудования в каждом
помещении в отдельности. Длину фронта раздачи рассчитывают по формуле:
где P
- число мест в зале
l - норма длины
раздачи на одно место в зале, м (для горячего цеха = 0,03)
Количество раздаточного оборудования определяют
по формуле:
n = L/Lст
Lст - длина
стандартного оборудования, м
L= 120*0,03= 3,6 м.
n= 3,6/1= 3,6 шт.
Выбираем оборудование
Таблица 20
|
Наименование
оборудования
|
Количество
|
Габариты
|
|
Тепловой
стол СТ/К 1200/700
|
3
|
1200х700х850мм
|
.5 Определение площади горячего цеха
Расчет площади горячего цеха производится по
площади, занимаемой оборудованием. Площадь помещения определяется по формуле
=Fпол/hу,
где F - общая площадь помещения, м ; Fпол -
полезная площадь, то есть площадь, занятая всеми видами оборудования,
установленного в данном помещении, м ; hу - условный
коэффициент использования площади (hу = 0,3).
Таблица 21
|
№
|
Оборудование
|
Марка
оборудования
|
Число
единиц оборудования
|
Габаритные
размеры, м
|
Площадь,м2
|
|
|
|
|
|
Занятая
единицей оборудования
|
Занятая
всем оборудованием
|
|
1
|
Холодильник
|
ШХ-0,8
Полюс
|
1
|
1,3х0,625х1,855
|
0,8
|
0,8
|
|
2
|
Морозильный
шкаф
|
Liebherr
GGU 1550
|
1
|
0,83х0,6х0,615
|
0,5
|
0,5
|
|
3
|
Стол
|
СРОП-2/1500/600
|
5
|
1,5х0,6х0,87
|
0,9
|
4,5
|
|
4
|
Моечная
ванна
|
ВМР
1/800/1540
|
1
|
1,54х0,8х0,87
|
1,3
|
1,3
|
|
5
|
Рукомойник
|
ВМ
12/301
|
1
|
0,4х0,3х0,2
|
0,12
|
0,12
|
|
6
|
Стеллаж
разборный
|
СТР
114/1200
|
2
|
1,2х0,5х1,85
|
0,6
|
1,2
|
|
7
|
Полка
настенная
|
ПН-111/1204
|
2
|
1,2х0,4х0,3
|
0,5
|
1
|
|
8
|
Плита
жарочная
|
ПЭ-0,51
|
2
|
1х0,8х0,85
|
0,8
|
1,6
|
|
9
|
Сковорода
электрическая
|
СЭС-0,45
|
1
|
1,519х0,9х0,85
|
1,4
|
1,4
|
|
10
|
Тепловой
стол
|
СТ/К
1200/700
|
3
|
1,2х0,7х0,85
|
0,84
|
2,52
|
|
11
|
Пароконвектомат
|
XVC
305 P
|
1
|
0,75х0,645х0,792
|
0,48
|
0,48
|
|
12
|
Весы
настольные
|
ED-15
|
1
|
0,352х0,325х0,095
|
0,11
|
0,11
|
|
13
|
Привод
универсальный
|
УКМ
|
1
|
0,8х0,6х0,82
|
0,68
|
0,68
|
|
14
|
Зонт
вытяжной
|
|
2
|
|
|
|
|
Итого
|
|
|
|
|
16,21
|
Площадь горячего цеха составляет 16,21 : 0,3= 54
м2
Глава 6. Санитарно-гигиенический регламент
горячего цеха
Для выполнения установленных санитарных норм в
работе предприятий общественного питания необходимо соблюдать гигиенические
требования, предъявляемые к территории предприятия.
Большое значение имеет выбор места для
застройки. Участок должен быть сухим, на возвышенном, ровном месте, удаленным
не менее 1 км от свалок и не менее 100 м от предприятий, загрязняющих
атмосферный воздух и почву.
Планировка всех помещений должна быть
рациональной, способствовать правильной организации труда, отвечать санитарным
требованиям по содержанию предприятия и лучшему обслуживанию потребителей.
В соответствии с санитарно-гигиеническими
требованиями планировка помещений должна обеспечивать последовательность и
поточность технологических процессов, а также кратчайший путь прохождения сырья
с момента его получения до выпуска готовой продукции.
Нельзя допускать перекрещивания потоков сырья,
полуфабрикатов и готовой продукции, грязной и чистой посуды, чтобы исключить
обсеменение пищи микробами и возможность возникновения пищевых инфекционных
заболеваний и пищевых отравлений.
Производственные помещения необходимо
располагать в наземных этажах, обеспечивающих нормальное естественное освещение
цехов. Площадь производственных помещений по санитарным нормам должна включать
площадь, свободную от оборудования, которая составляет 5,5 м2 на одного
работающего. Высота помещений должна быть не менее 3-3,3 м.
На предприятиях, работающих на сырье, все
заготовочные цехи (овощной, мясной, рыбный) размещают между складскими
помещениями и горячим цехом. Это способствует соблюдению поточности
технологического процесса, обеспечению кратчайшего пути передвижения сырья и
полуфабрикатов и снижению возможности дополнительного обсеменения продукции
микробами.
Горячий цех (кухню) оборудуют вблизи от
холодного цеха и раздаточной, четко разграничивая суповое и соусное отделения.
В горячем цехе завершается технологический процесс приготовления пищи, поэтому
от правильной организации этого цеха зависит санитарно-гигиеническое состояние
готовой пищи.
Для обеспечения последовательного выполнения
технологического процесса, а следовательно, для улучшения качества блюд
наиболее рациональной считается установка в цехе секционного модульного
оборудования, состоящего из ряда электротепловых аппаратов (плит, котлов,
сковород, жарочных шкафов и т.д.), которые располагают в одну последовательную
линию. Над оборудованием монтируют общий вентиляционный отсос.
Личная гигиена работников П.О.П.- это соблюдение
человеком гигиенических правил в быту и на производстве. Нарушение этих правил
может привести к вспышке пищевых отравлений и распространению инфекционных
заболеваний. Личная гигиена работников П.О.П. необходима для повышения культуры
обслуживания потребителей, в условиях П.О.П. особое значение имеет уход за
кожей, ногтями, зубами.
Заключение
Целью моей курсовой работы являлось рассчитать
горячий цех кафе. Расчёты начинала производить с разработки производственной
программы предприятия, в эту программу входит определение количество
потребителей, общее количество реализуемых блюд, на основании всех этих
расчетов составлялось планово-расчётное меню на три дня, из данного меню
выбрала меню, которое по коэффициенту трудоёмкости, наиболее трудоёмкое. На
основе этого меню был произведен расчёт горячего цеха.
Расчет горячего цеха состоит из производственной
программы, которая представляет собой расчётное меню, изготавливаемое в данном
цехе для реализации в залах, после этого рассчитывается численность
производственной бригады, далее рассчитываем график реализации блюд, из этого
графика мы можем определить час максимальной загрузки зала и на основании этих
расчётов производить следующие расчёты.
Далее рассчитывала технологическое оборудование,
при подборе технологического оборудования руководствовалась следующими
положениями:
технологическое оборудование должно быть
максимально загружено;
производительность оборудования подбирала,
используя при этом справочники оборудования.
Расчет и подбор вспомогательного оборудования
производится для того, что основным тепловым оборудованием в горячем цехе
являются пищеварочные котлы, плиты и сковороды электрические, шкаф жарочный и
другое оборудование для приготовления первых, вторых блюд и использованием
полуфабрикатов высокой степени готовности, а так же доведения до готовности
охлаждения первых и вторых блюд.
Механическое оборудование принимала без расчета,
так как в данном меню продукты не подвергаются протиранию.
После расчета всего оборудования, которое
необходима в горячем цехе, определяю общую площадь горячего цеха с учётом
площади занятой под оборудованием и числа одновременно работающих
производственных работников. Из полученных результатов общая площадь цеха
является основой для определения компоновочной площади.
Список использованной литературы
1. Никуленкова Т.Т., Ястина
Г.М. «Проектирование предприятий общественного питания».- М.: КолосС, 2006. -
247 с.: ил. - (Учебники и учебн. пособия для студентов высш. учеб. заведений).
2. «Сборник рецептур блюд и
кулинарных изделий для ПОП», М. «Экономика», 1981 год.
. Безряднова А.С.
«Технология, организация и проектирование предприятий питания в гостинице».
Темы курсовых работ и методические указания по их выполнению - М: 2004.