Розрахунок показників надійності невідновної електричної системи з постійною в часі інтенсивністю відмов елементів
Курсова
робота
Розрахунок
показників надійності невідновної електричної системи з постійною в часі
інтенсивністю відмов елементів
Зміст
Вступ
.Теоретичні відомості
. Виконання завдання
.1 Розрахунок показників
надійності не відновлюваної системи з постійною в часі інтенсивністю відмов
елементів
.2 Розрахунок показників
надійності не відновлюваної системи з постійними в часі інтенсивністями відмов
елементів
.3
Розрахунок
показників надійності не відновлюваної системи з надмірною структурою за
допомогою Марковських процесів
.4
Вирішення
задачі для розрахунку надійності системи
Висновок
Список використаних джерел
невідновна
енергосистема надійність електрична система
Вступ
Характерною особливістю сучасного
розвитку техніки є широке впровадження елементів та пристроїв автоматики та
інформаційно-вимірювальної техніки у виробничі та технологічні процеси для їх
автоматизації. В умовах сучасної економіки автоматизація є одним з основних
напрямів розвитку науково-технічного прогресу. І, звичайно, покращення
ефективності та якості роботи проектовних технічних засобів неможливе без
оцінювання надійності їх функціонування. Таким чином, вище викладене є першою
причиною необхідності нормування показників надійності технічних засобів при
проектуванні технічних засобів (ТЗ) різного призначення.
Другою причиною, яка потребує
оцінювання надійності, є підвищення складності ТЗ, апаратури їх обслуговування,
умов їх експлуатації і відповідальності задач, які на них покладають.
Недостатня надійність ТЗ призводить
до збільшення долі експлуатаційних витрат порівняно з загальними витратами на
проектування, виробництво і використання цих засобів. При цьому вартість
експлуатації ТЗ може в багато разів перевищити вартість їх розробки і
виготовлення. Крім того, відмови ТЗ призводять до різного роду наслідків:
втрати важливої інформації, простої спряжених з ТЗ інших приладів і систем, до
аварій тощо. Таким чином, третьою причиною підвищення ролі надійності в
сучасних умовах є економічний фактор.
Якість процесів - це сукупність
властивостей, що визначають їх придатність для експлуатації. Надійність є
найважливішим техніко-економічним показником якості будь-якого ТЗ, що визначає
здатність безвідмовно працювати з незмінними технічними характеристиками
протягом заданого проміжку часу при певних умовах експлуатації. Проблема
забезпечення надійності пов’язана зі всіма етапами створення виробів і усім
періодом їх практичного використання. Надійність засобу закладається в процесі
його конструювання і розрахунку та забезпечується в процесі його виготовлення
шляхом правильного вибору технології виготовлення, контролю якості початкових
матеріалів, контролю режимів і умов виготовлення. Надійність зберігається
шляхом правильного зберігання і підтримується правильною експлуатацією ТЗ, профілактичним
контролем і ремонтом.
Насамкінець, надійність ТЗ
визначається надійністю комплектувальних елементів. Тому знання основних питань
нормування показників надійності є нині необхідною умовою для успішної роботи в
галузі автоматизації технологічних процесів і особливо це відноситься до
майбутніх спеціалістів, які будуть займатися розробкою засобів вимірювальної
техніки та комп’ютеризованих систем управління і автоматики.
1.
Теоретичні відомості
Відповідно до ГОСТ 27.002-89
надійність - властивість об'єкта зберігати в часі у встановлених межах значення
всіх параметрів, що характеризують здатність виконувати необхідні функції в
заданих режимах і умовах застосування, технічного обслуговування, ремонтів,
зберігання і транспортування. Надійність об'єкта оцінюється не тільки під час
безпосередньої експлуатації, але і під час зберігання, транспортування і
ремонтів. Тому надійність є складним властивістю і складається з поєднання
наступних складових: безвідмовності, довговічності, ремонтопридатності і зберігання.
Основною кількісною характеристикою надійності елементів є інтенсивність відмов
λ(t).
Статистично
інтенсивність відмов визначається за формулою, год-1:
Nср - середнє число елементів,
робото здатних в інтервалі часу Dt;(Dt)
- кількість елементів, що відмввили на протязі часу Dt;
Dt - інтервал часу заданий в
годинах.
1.1
Показники надійності невідновлювальної системи з постійною в часі інтенсивністю
відмов елементів
В період нормальної експлуатації ЗВТ
(за виключенням періоду припрацювання і старіння) інтенсивність відмов є сталою
величиною. У цьому випадку безвідмовність роботи P(t) визначається за формулою:
Імовірність відмови Q(t) - величина,
протилежна імовірності безвідмовної роботи, тому:
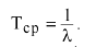
Середній час безвідмовної роботи
(середнє напрацювання на відмову), год:
Густина імовірності відмови fc(t),
год:
Коли відбувається відмова, і об'єкт
втрачає свою працездатність, можливі дві ситуації. Перша: об'єкт не
ремонтують і більше не використовують за призначенням. Такий об'єкт називається
невідновлюваним. Він працює тільки до першої відмови. Дана
стратегія використання об'єкта застосовується, якщо відновлення його технічно
неможливо або економічно невигідно. Друга ситуація: виконується ремонт
ЗВТ, який знову використовується за призначенням. Такий об'єкт називається відновлюваним.
Більшість систем залізничної автоматики, телемеханіки та зв'язку є
відновлюваними, що обслуговуються системами [4].Для відновлюваних систем
найважливішими показниками надійності є середній час відновлення Тв,
а також коефіцієнт готовності Кг (ймовірність того, що
об'єкт повернеться в працездатний стан в довільний момент часу), який
визначається за формулою:
Поняття надійності тісно пов'язано з
поняттям відмови. За характером виникнення виділяють відмови раптові, поступові
та переміжні. Раптові відмови виникають в результаті стрибкоподібного зміни
значень параметрів об'єкта. Їх важко передбачити і можна чекати лише з певної
довірчою ймовірністю.
Поступові відмови виникають в
результаті поступової зміни значень параметрів об'єкта внаслідок його старіння
або зносу. Поступові відмови можна прогнозувати. Третім видом відмови є
переміжні відмови - відмови об'єкта одного і того ж характеру, що багаторазово
виникають та самоусуваються. Збої пов'язані з короткочасною дією температурних
змін, зовнішніх електромагнітних впливів, коливань напруг живлення і т.д.
Причини збоїв найважче виявити через короткочасність їх дії.
1.2
Показники надійності невідновлювальної системи з постійними в часі
інтенсивностями відмов елементів
Структура досліджуваних об'єктів
може бути складною, і її намагаються перетворити до виду, більш зручного для
розрахунків, використовуючи, зокрема, розкладання складної структури з
«ключовим» елементом.
Суть методу полягає в заміні
складної структури двома більш простими, такими, що сума ймовірностей
працездатних станів цих структур дорівнює ймовірності працездатного стану
вихідної структури. В основу методу покладена формула розкладання логічного
рівняння працездатності (або випливаюча з неї формула ймовірності повної
події).
1.3
Показники надійності невідновлювальної системи з надмірною структурою.
Марківські процеси
Для підвищення надійності систем
застосовують різні методи резервування. Резервування - це метод
підвищення надійності введенням надмірності, тобто використанням додаткових
засобів і можливостей понад мінімально необхідних для виконання об'єктом
заданих функцій [8]. Розрізняють структурне, функціональне, тимчасове та
інформаційне резервування.
Структурне резервування,
його також називають ще апаратним, передбачає використання надлишкових
елементів структури об'єкта. При цьому вводяться додатоково до основних
надлишкові резервні структурні елементи, які мають мають єдине призначення -
взяти на себе виконання робочих функцій при відмові відповідних основних
елементів. Таке резервування - своєрідний метод автоматизації процесу заміни
елемента. З численних способів структурного резервування можна виділити:
загальне резервування
- резервується весь об'єкт в цілому;
роздільне резервування
- резервуються окремі елементи,
резервування заміщенням -
коли функції основного елемента передаються резервному тільки при відмові
основного елемента;
ковзаюче резервування
- коли група основних елементів резервується з використанням спеціальних
перемикаючих пристроїв одним або декількома резервними елементами, кожен з яких
може замінити будь-який основний елемент, що відмовив.
За ступенем завантаженості
резервного елементу до моменту відмови прийнято розрізняти:
навантажений
("гарячий") резерв - коли резервні
елементи знаходяться в тому ж режимі, що й основний елемент;
полегшений ("теплий")
резерв - резервні елементи знаходяться в
менш навантаженому режимі до моменту підключення їх замість основних;
Структурне резервування часто
застосовується не лише для того, щоб підвищити безвідмовність роботи ЗВТ, але і
для надійності роботи мікропроцесорної техніки, адже на даному етапі розвитку
ЗВТ, останні часто будуються на основі мікропроцесорної техніки та різного типу
інтелектуальних системі. Підвищення достовірності результатів опрацювання
інформації забезпечується резервуванням апаратних засобів із застосуванням
багатоканальних систем із синхронізацією каналів і порівнянням результатів на
виході за допомогою безпечних схем порівняння. Зазвичай використовують два
канали. Таке резервування називається дублюванням.
Функціональне резервування
забезпечує використання здатності елементів виконувати додаткові функції, а
також можливість виконувати задану функцію додатковими засобами.
Тимчасове резервування
передбачає використання надлишкового часу. При цьому час виконання ЗВТ
необхідної pоботи свідомо більше часу, необхідного для виконання певної
операції.
Інформаційне резервування
передбачає використання надлишкової інформації. Його найпростішим прикладом є
багаторазова передача одного і того ж повідомлення по каналу зв'язку. До
інформаційного резервування відноситься використання додаткових розрядів при
кодуванні інформації, що дозволяє виявляти і виправляти помилки в передачі
інформації (коригуючі коди). Слід зауважити, що використання інформаційного
резервування тягне за собою необхідність введення надлишкових елементів. У
теорії надійності зазвичай розглядаються Марківські процеси з дискретними
станами і безперервним часом, тобто процеси, у яких для кожного моменту часу ймовірність
будь-якого стану об'єкта в майбутньому залежить тільки від стану об'єкта в
даний момент часу і не залежить від того, яким чином об'єкт прийшов у цей стан.
При аналізі таких процесів зручно використовувати граф станів - графічне
зображення процесу. На графі зображуються можливі стани системи та її можливі
переходи, тому такий граф називають також графом переходів.
Якщо відомий словесний опис
структури та принципів функціонування та відновлення працездатності системи, то
можна визначити безліч всеможливих станів системи, а всі стани можна розділити
на два класи: працездатності і відмови. Якщо відомі інтенсивності відмов і
відновлень окремих елементів системи, то можна побудувати граф переходів,
вершинами якого будуть можливі стани системи, а ребрами - можливі переходи з
інтенсивностями, обумовленими відповідними характеристиками безвідмовності і
ремонтопридатності елементів. Наприклад, якщо відомо, що система знаходиться в
деякому стані Sі і для переходу її в стан Sj необхідно,
щоб відбулася певна подія (відмова або відновлення будь-якого елементу), то від
стану Si до стану Sj проводиться стрілка, біля якої
вказується інтенсивність реалізації даної події. При цьому не всі події
(переходи) можуть виявитися дозволеними. Всі обмеження на граф переходів в
явному вигляді містяться в словесному описі принципу функціонування і
відновлення системи. На основі побудови графа переходів легко написати
необхідну систему рівнянь, розв’язок яких позволить обчислювати необхідний
показник надійності.
2.
Виконання завдання
2.1
Розрахунок показників надійності не відновлюваної системи з постійною в часі
інтенсивністю відмов елементів
Рис. 2.2.1 Структурна схема
системи з постійною в часі інтенсивністю відмов елементів
Розв’язування:
За допомогою вище наведеної
структурної схеми знайду:) Імовірність безвідмовної роботи системи Pс(t)
за заданий час t.
б) Щільність ймовірності відмови
системи fс(t) в момент часу t.
в) Імовірність появи відмови Qс(t)
за заданий час t.
а) Імовірність безвідмовної роботи
системи Pс(t) за заданий час t обчислюю за формулою:
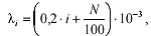
Інтенсивність відмов і-го елемента
визначається за формулою:
де і - порядковий номер елемента;-
дві останні цифри шифру.
1
|
2
|
3
|
4
|
5
|
|
 ·10-4 , год-12,33,34,35,36,3
|
|
|
|
|
|
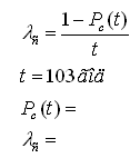
Час роботи системи, t
t=90+N
де N - дві останні цифри шифру.=103
год
Знаходжу загальну iмовiрнiсть
безвiдмовної роботи системи:
б) Щільність ймовірності відмови
системи fс(t) в момент часу t обчислюю за формулою:
в) Імовірність появи відмови Qс(t)
за заданий час t обчислюю за формулою:
2.2
Розрахунок показників надійності не відновлюваної системи з постійними в часі
інтенсивністями відмов елементів
Рис. 2.2.1 Структурна схема системи
з постійними в часі інтенсивностями відмов елементів
Розв’язування:
Правила розкладання:
1. У вихідній схемі вибираю елемент
з найбільшою кількістю зв'язків х.
. У місці елемента x роблю
замикання, отримую першу структуру.
. У місці розташування х
елемента роблю обрив у вихідній структурі. Отримую другу структуру.
. Імовірність працездатного стану
першої структури множу на ймовірність безвідмовної роботи елемента х.
Отримую першу складову Р1 імовірності працездатного стану вихідної
схеми.
. Імовірність працездатного стану
другої структури множу на ймовірність відмови елемента х. Отримую
другу складову P2 ймовірності працездатного стану вихідної схеми.
. Підсумовуючи складові Р1
і Р2, отримую ймовірність працездатного стану вихідної структури.
За допомогою вище наведеної
структурної схеми знайду:
а. Імовірність безвідмовної роботи
системи Pс(t) за заданий час t.
б. Частоту відмов λс.
в. Середній наробіток до відмови Т0.
г. Інтенсивність відмови системи fс(t).
а) Імовірність безвідмовної роботи
системи Pс(t) за заданий час t обчислюю за формулою:
де Рбе - імовірність
безвідмовної роботи базового елемента;бе - ймовірність відмови
базового елемента;
Рс1|Рбе -
ймовірність безвідмовної роботи першої допоміжної структури;
Рс2|Qбе -
імовірність безвідмовної роботи другої допоміжної структури.
Частота відмов і-го елемента
визначається за формулою:
де і - порядковий номер елемента;
N
- дві останні цифри шифру.
|
№ елемента
|
1
|
2
|
3
|
4
|
5
|
6
|
7
|
|
 ·10-4 , год-13,35,37,39,311,313,315,3
|
|
|
|
|
|
|
|
Час роботи системи, t
де N - дві останні цифри
шифру.
Рис. 2.2.2 Структурна схема першої
допоміжної структури:
Знаходжу iмовiрнiсть безвiдмовної
роботи першої допоміжної структури:
Рис. 2.2.3 Структурна схема другої
допоміжної структури:
Знаходжу iмовiрнiсть безвiдмовної
роботи другої допоміжної структури:

Знахожу загальну iмовiрнiсть
безвiдмовної роботи.
Базовий елемент 6.
б. Частота вiдмов обчислюю за
формулою:
в. Середній наробіток до відмови Т0
обчислюю за формулою:

г. Інтенсивність відмови системи fс(t)
обчислюю за формулою:
2.3
Розрахунок показників надійності не відновлюваної системи з надмірною
структурою за допомогою Марковських процесів
Вихідні дані:
|
Шифр
|
Основна система
|
Резервна система
|
|
13≤N≤18
|
ЕОМ 1
|
ЕОМ 3 - холодний резерв
|
|
ЕОМ 2
|
ЕОМ 4 - холодний резерв
|
Є система, що складається з двох
ЕОМ, які працюють одночасно, і третьої - резервної системи, що складається з
двох ЕОМ і використовуються в режимі навантаженого резерву,де третій дублює
першу ЕОМ, ЕОМ 4 - виключно другу.
1. Структурна схема системи:
2. Інтенсивність відмов і-го
елемента визначається за формулою:
год-1
де і - порядковий номер елемента;
N - дві останні цифри шифру.
|
№ елемента
|
1
|
2
|
3
|
4
|
|
 ·10-4 , год-13,35,37,39,3
|
|
|
|
|
Час роботи системи, t:
T=90+N, год.
де N - дві останні цифри шифру.
T=103 год.
Визначити:
1. Імовірність безвідмовної роботи
системи Pс(t) за заданий час t.
2. Середній наробіток до відмови Т0.
Розв’язок:
1. Структурна схема даної системи
має вигляд (рис. 3.1):
Рис. 2.3.1 - Структурна схема
системи
2. Граф станів системи приймає
наступний вигляд (рис. 3.2)
λ=y
Рис. 2.3.2 - Граф станів системи
На рис. 3.2:0 -
початковий стан системи, при якому всі елементи робото здатні;1 -
стан системи, при якому елементи 1 і 2 знаходяться в робото здатному стані,
елементи 3 і 4 у стані відмови;2 - стан системи, при якому елементи
3 і 2 знаходяться в робото здатному стані, елементи 1 і 4 у стані відмови;3
- стан системи, при якому елементи 1 і 4 знаходяться в робото здатному стані,
елементи 3 і 2 у стані відмови;4 - стан системи, при якому елементи
3 і 4 знаходяться в робото здатному стані, елементи 1 і 2 у стані відмови;5
- повна відмова системи.
Для вирішення системи рівнянь
перейдемо від оригіналу до зображення, використовуючи перетворення Лапласа. Отримаємо:
З першого рівняння системи
отримаємо:

.
Вираз для P1(k) набуде вигляду:

.
Вираз для P2(k) набуде вигляду:

.
Вираз для P3(k) набуде вигляду:

.
Вираз для P3(k) набуде
вигляду:

.
Перейдемо від образу до оригіналу,
користуючись наступним співвідношенням:
В результаті отримаємо:

,

,

,

,

.
Підставивши числові дані, отримаємо:

Середній наробіток до відмови Т0
розраховується за формулою:
2.4
Вирішення задачі для розрахунку надійності системи
Скласти логічну схему та записати в
загальному вигляді формули для розрахунку надійності системи зв'язку з
використанням штучних супутників Землі. Розрахувати загальний показник
інтенсивності відмов системи. Схема системи представлена на рис. 2.4.1.
Розділення каналів здійснюється частотним способом, при якому кожен передавач
закріплений за певним приймачем. В якості показника надійності приймається
ймовірність того, що хоча б один телевізійний канал справний протягом
напрацювання (0, ti). Ймовірність безвідмовної роботи протягом
напрацювання ti всіх підсистем (Pj, ti) де j=1,
2,...,7 , є однаковою і відповідає експоненціальному закону. Інтенсивність
відмов кожного каналу складає 5,2×10-6
1/год.
Рисукок 2.4.1
Розв’язок:
Система може знаходитися в одному із
станів:
- система працездатна, всі канали
справні;
- система працездатна, один канал
відмовив;
- система непрацездатна, обидва
канали несправні.
Позначимо ймовірність вказаних
станів у момент часу t величинами P0t,
P1t, P1t.
Ці ймовірності при t мають відповідно границі P0
, P1, P2. Оскільки для даної системи перехід із стану 0 в стан 1
не порушує його працездатності,
Kг P0
P1
Складемо схему станів і відповідну
цій схемі систему рівнянь:
2



При t переходимо
до системи алгебраїчних рівнянь:
При рішенні цієї системи
використовуємо умову нормування
P0 P1
P21,
яка може замінити будь-яке з рівнянь
системи. В результаті розв’язку системи рівнянь або підстановкою, або за
правилом Крамера одержимо:

;

;

;
Кг= P 0 +P1=
Імовірність безвідмовної роботи
системи за час t визначається формулою
Частота відмов системи fc(t)
визначається співвідношенням
Інтенсивність відмов системи
Висновок
Основна частина курсової роботи
складається з двох розділів - теоретичні відомості та виконання завдання.
В першому розділі основної частини
описується показники надійності технічної системи.
Найбільш відповідальною частиною
другого розділу курсового проекту є розрахунок показників надійності.
Список
використаних джерел
1.
Матвеевский
В.Р. Надежность технических систем. Учебное пособие / В.Р Матвеевский.-
Московский государственный институт электроники и математики. М., 2012 г. -113
с.
. Надежность технических систем
и управление риском: учебнок пособие./ В.В Костерев- М.:МИФИ, - 2008 - 280с
.
Ястребенецкий
М.А. Надежность автоматизированных систем управления технологическими
процессами: Учеб. пособие для вузов. / М.А Ястребенецкий., Г.М. Иванова- М.:
Энергоатомиздат, 2009.- 264 с.
.
Глазунов
Л.П Основы теории надежности автоматических систем управления. Учеб. пособие
для вузов / Л.П Глазунов., В.П Грабовецкий., О.В Щербаков.- Л.:
Энергоатомиздат, Ленинградское отделение, 2008.- 208 с.
.
Теория
надежности радиоэлектронных систем в примерах и задачах. Учеб. пособие для
студентов радиотехнических специальностей вузов./ Под ред. Г.В.Дружинина. М.:
"Энергия", 2006.- 448 с.
. Заміховський Л.М. Основи
теорії надійності і технічної діагностики систем: Навчальний посібник./ Л.М.,
Заміховський, В.П. Калявін- Івано-Франківськ: Вид-во “Полум’я”, 2011.- 360 с.