Сейсморазведочные работы МОГТ-3D на Восточно-Мичаюской площади

  • Вид работы:
    Дипломная (ВКР)
  • Предмет:
    Геология
  • Язык:
    Русский
    ,
    Формат файла:
    MS Word
    2,8 Мб
  • Опубликовано:
    2015-03-20
Вы можете узнать стоимость помощи в написании студенческой работы.
Помощь в написании работы, которую точно примут!

Сейсморазведочные работы МОГТ-3D на Восточно-Мичаюской площади

Содержание

Список сокращений

Введение

. Общая часть

.1 Физико-географический очерк

.2 Литолого-стратиграфическая характеристика

.3 Тектоническое строение

.4 Нефтегазоносность

.Специальная часть

.1 Геофизические работы, проводимые на данной площади

.2 Результаты геофизических исследований

.3 Обоснование выбора трехмерной сейсморазведки

.Проектная часть

.1 Обоснование методики работ МОГТ - 3D

.2 Пример расчета системы наблюдений типа "крест"

.3 Аппаратура и оборудование

.4 Методика обработки и интерпретации полевых материалов

.Специальное задание

.1 AVO-анализ

.1.1 Теоретические аспекты AVO-анализа

.1.2 AVO-классификация газовых песков

.1.3 AVO кроссплоттинг

.1.4 Упругая инверсия в AVO анализе

.1.5 AVO анализ в анизотропной среде

.1.6 Примеры практического применения AVO анализа

Заключение

Список используемых источников

стратиграфический сейсморазведка полевой анизотропный

Список сокращений

ГИС-геофизические исследования скважин

МОВ-метод отраженной волны

МОГТ-метод общей глубиной точки

НГК-нефтегазоносный комплекс

НГО-нефтегазоносная область

НГР-нефтегазоносный район

ОГ-отражающий горизонт

ОГТ-общая глубинная точка

ПВ-пункт взрыва

ПП-пункт приема

с/п-сейсморазведочная партия

УВ-углеводороды

Введение

Данная бакалаврская работа предусматривает обоснование сейсморазведочных работ МОГТ - 3D на Восточно-Мичаюской площади и рассмотрение AVO-анализа, в качестве специального вопроса.

Проведенными в последние годы сейсморазведочными работами и данными бурения установлено сложное геологическое строение площади работ. Необходимо дальнейшее планомерное изучение Восточно-Мичаюской структуры.

Работой предусматривается изучение площади с целью уточнения геологического строения сейсморазведочных работ МОГТ-3D.

Бакалаврская работа состоит из четырех глав, введения, заключения, изложен на страницах текста, содержит 22 рисунка, 4 таблицы. Библиографический список содержит 10 наименований.

1. Общая часть

.1      Физико-географический очерк

Восточно-Мичаюская площать (рисунок 1.1) в административном отношении расположена в Вуктыльском районе.

Рисунок 1.1 - Карта местности Восточно-Мичаюской площади

Недалеко от площади исследования находится город Вуктыл и деревня Дутово. Район работ расположен в бассейне реки Печора. Местность представляет собой всхолмленную, пологоволнистую равнину, с ярко выраженными долинами рек и ручьев. Район работ заболочен. Климат района резко континентальный. Лето короткое и прохладное, зима суровая с сильными ветрами. Снеговой покров устанавливается в октябре и сходит в конце мая. По проведению сейсмических работ данный район относится к 4 категории трудности.

.2      Литолого-стратиграфическая характеристика

Литолого-стратиграфическая характеристика разреза (рисунок 1.2) осадочного чехла и фундамента приводится по результатам бурения и сейсмокаротажа скважин 2- , 4-, 8-, 14-, 22-, 24-, 28-Мичаю, 1 - С.Савинобор, 1 - Динью-Савинобор.

Рисунок 1.2 - Литолого-стратиграфический разрез Восточно-Мичаюской площади

Палеозойская эратема - PZ

Девонская система - D

Среднедевонский отдел - D2

На карбонатных породах силурийской толщи несогласно залегают терригенные образования среднего девона, живетского яруса.

Отложения живетского яруса мощностью в скв. 1-Динью-Савинобор 233 м представлены глинами и песчаниками в объеме старооскольского надгоризонта (I - в пласт).

Верхнедевонский отдел - D3

Верхний девон выделен в объеме франского и фаменского ярусов. Фран представлен тремя подъярусами.

Отложения нижнего франа образованы яранским, джьерским и тиманским горизонтами.

Франский ярус - D3f

Верхтефранский подъярус - D3f1

Яранский горизонт - D3jr

Разрез яранского горизонта (мощностью 88 м в КВ. 28-Мич.) слагают песчаные пласты (снизу вверх) В-1, В-2, В-3 и межпластовые глины. Все пласты не выдержаны по составу, мощности и количеству песчаных прослоев.

Джьерский горизонт - D3dzr

В основании джьерского горизонта залегают глинистые породы, выше по разрезу выделяются песчаные пласты Iб и Iа, разделённые пачкой глин. Мощность джьера изменяется от 15 м ( КВ. 60 - Ю.М.) до 31 м ( КВ. 28- М.).

Тиманский горизонт - D3tm

Отложения тиманского горизонта, толщиной 24 м сложены глинисто-алевролитовыми породами.

Среднефранский подъярус - D3f2

Среднефранский подъярус представлен в объёме саргаевского и доманикового горизонтов, сложенных плотными, окремнёнными, битуминозными известняками с прослоями чёрных сланцев. Мощность саргая составляет 13 м (скв. 22-М) - 25 м (скв. 1-Тр.), доманика - 6 м в скв. 28-М. и 38 м в скв. 4-М.

Верхнефранский подъярус - D3f3

Нерасчленённые ветласянские и сирачойские (23 м), евлановские и ливенские (30 м) отложения слагают разрез верхнефранского подъяруса. Они образованы коричневыми и чёрными известняками с прослоями глинистых сланцев.

Фаменский ярус - D3fm

Фаменский ярус представлен волгоградским, задонским, елецким и усть-печорским горизонтами.

Волгоградский горизонт - D3vlg

Задонский горизонт - D3zd

Волгоградский и задонский горизонты сложены глинисто-карбонатными породами мощностью 22 м.

Елецкий горизонт - D3el

Отложения елецкого горизонта образованы известняками участками органогенно-обломочными, в нижней части сильно глинистыми доломитами, в основании горизонта залегают мергели и глины известковистые, плотные. Толщина отложений изменяется от 740 м (скв.14-, 22-М) до 918 м (скв.1-Тр.).

Усть-печорский горизонт - D3up

Усть-печорский горизонт представлен плотными доломитами, чёрными аргиллитоподобными глинами и известняками. Его толщина составляет 190м.

Каменноугольная система - C

Выше несогласно залегают отложения каменноугольной системы в объёме нижнего и среднего отделов.

Нижнекаменноугольный отдел - C1

Нижний отдел представлен в полном объёме и сложен известняками, и глинистыми мергелями, а в верхней части глинами. Его мощность равна 112м.

Визейский ярус - C1v

Серпуховский ярус - C1s

Нижний отдел слагают визейский и серпуховский ярусы, образованные известняками с прослоями глин, общей мощностью 76 м.

Верхнекаменноугольный отдел - C2

Башкирский ярус - C2b

Московский ярус - C2m

Башкирский и московский ярусы представлены глинисто-карбонатными породами. Мощность башкирских отложений составляет 8 м (скв. 22-М.) - 14 м (скв. 8-М.), а в скв. 4-, 14-М. они отсутствуют.

Толщина московского яруса изменяется от 24 м (скв. 1-Тр) до 82 м (скв. 14-М.).

Пермская система - Р

Московские отложения несогласно перекрыты пермскими, в объёме нижнего и верхнего отделов.

Нижнепермский отдел - Р1

Нижний отдел представлен в полном объёме и сложен известняками, и глинистыми мергелями, а в верхней части глинами. Его мощность равна 112м.

Верхнепермский отдел - Р2

Верхний отдел образуют уфимский, казанский и татарский ярусы.

Уфимский ярус - P2u

Уфимские отложения мощностью 275 м представлены переслаиванием глин и песчаников, известняками и мергелями.

Казанский ярус - P2kz

Казанский ярус сложен плотными и вязкими глинами, и кварцевыми песчаниками, также встречаются редкие прослои известняков и мергелей. Толщина яруса составляет 325 м.

Татарский ярус - P2t

Татарский ярус образуют терригенные породы мощностью 40 м.

Мезозойская эратема - MZ

Триасовая система - T

Отложения триаса в объёме нижнего отдела сложены чередованием глин и песчаников мощностью 118 м (скв.107) - 175 м (скв.28-М.).

Юрская система - J

Юрская система представлена терригенными образованиями мощностью 55 м.

Кайнозойская эратема - KZ

Четвертичкая система - Q

Завершают разрез суглинки, супеси и пески четвертичного возраста толщиной 65 м в скв.22-М. и 100 м в скв.4-М.

.3     
Тектоническое строение

В тектоническом отношении (рисунок 1.3) площадь работ расположена в центральной части Мичаю-Пашнинского вала, которой соответствует Илыч-Чикшинской системе разломов по фундаменту. Система разломов нашла свое отражение и в осадочном чехле. Тектонические нарушения в районе работ являются одним из основных структурно-образующих факторов.

Рисунок 1.3 - Выкопировка из тектонической карты Тимано - Печорской провинции

На площади работ выделены три зоны тектонических нарушений: западная и восточная субмеридионального простирания, и, на юго-востоке площади северо-восточного простирания.

Тектонические нарушения наблюдаемые на западе данной площади можно проследить по всем отражающим горизонтам, а нарушения на востоке и юго-востоке затухают соответственно в фаменское и франское время.

Тектонические нарушения западной части представляют собой грабенообразный прогиб. Наиболее отчетливо прогибание горизонтов прослеживается на профилях 40990-02, 40992-02, -03, -04, -05.

Амплитуда вертикального смещения по горизонтам колеблется от 12 до 85 м. В плане нарушения имеют северо-западную ориентировку. Они протягиваются в юго-восточном направлении от отчетной площади, ограничивая с запада Динью-Савиноборскую структуру.

Нарушения, вероятно, отделяют осевую часть Мичаю-Пашнинского вала от его восточного склона, характеризующегося непрерывным погружением отложений в восточном направлении.

В геофизических полях Dg нарушениям соответствуют интенсивные зоны градиентов, интерпретация которых позволила выделить здесь разлом глубокого заложения, отделяющий по фундаменту Мичаю-Пашнинскую зону поднятий от относительно опущенной Лемьюской ступени и являющийся, вероятно, основным структуроформирующим разломом (Кривцов К.А., 1967 г., Репин Э.М., 1986 г.).

Западная зона тектонических разломов осложнена оперяющими нарушениями северо-восточного простирания, благодаря которым образуются отдельные приподнятые блоки, как на профилях 40992-03, -10,-21.

Амплитуда вертикального смещения по горизонтам восточной зоны нарушений составляет 9-45 м (пр. 40990-05 пк 120-130).

Юго-восточная зона нарушений представлена ввиде грабенообразного прогиба, амплитуда которого равна 17-55 м (пр. 40992-12 пк 50-60).

Западная тектоническая зона образует приподнятую приразломную структурную зону, состоящую из нескольких тектонически-ограниченных складок - Среднемичаюская, Восточно-Мичаюская, Иван-Шорская, Динью-Савиноборская структуры.

Самый глубокий горизонт ОГ III2-3 (D2-3), по которому выполнены структурные построения, приурочен к границе раздела верхнедевонских и среднедевонских отложений.

Исходя из структурных построений, анализа временных разрезов и данных бурения, осадочный чехол имеет довольно сложное геологическое строение. На фоне субмоноклинального погружения слоев в восточном направлении выделена Восточно-Мичаюская структура. Она впервые выявлена, как незамкнутое осложнение типа "структурный нос" материалами с\п 8213 (Шмелевская И.И., 1983 г.). По работам сезона 1989-90 гг. (с\п 40990) структура представлена в виде приразломной складки, оконтуренной по редкой сети профилей.

Отчетными данными установлено сложное строение Восточно-Мичаюской структуры. По ОГ III2-3 она представлена трехкупольной, линейно-вытянутой, антиклинальной складкой северо-западного простирания, размеры которой составляют 9,75 × 1,5 км. Северный купол имеет амплитуду 55 м, центральный - 95 м, южный - 65 м. С запада Восточно-Мичаюскую структуру ограничивает грабенообразный прогиб северо-западного простирания, с юга - тектоническое нарушение, амплитудой 40 м. На севере Восточно-Мичаюская антиклинальная складка осложнена приподнятым блоком (пр. 40992-03), а на юге - опущенным блоком (пр. 40990-07, 40992-11), благодаря оперяющим нарушениям северо-восточного простирания.

К северу от Восточно-Мичаюского поднятия выявлена Среднемичаюская приразломная структура. Мы предполагаем, что она замыкается севернее отчетной площади, где ранее проводились работы с\п 40991 и выполнены структурные построения по отражающим горизонтам в пермских отложениях. Среднемичаюская структура рассматривалась в пределах Восточно-Мичаюского поднятия. По работам с\п 40992 выявлено наличие прогиба между Восточно-Мичаюской и Среднемичаюской структурами на пр. 40990-03, 40992-02, что подтверждается и отчетными работами.

В одной структурной зоне с рассмотренными выше поднятиями расположена Иван-Шорская антиклинальная структура, выявленная работами с\п 40992 (Мисюкевич Н.В., 1993 г.). С запада и юга ее обрамляют тектонические нарушения. Размеры структуры по ОГ III2-3 составляют 1,75×1км.

Западнее Среднемичаюской, Восточно-Мичаюской и Иван-Шорской структур находятся Южно-Лемьюская и Южно-Мичаюская структуры, которые затронуты лишь западными концами отчетных профилей.

Юго-восточнее Южно-Мичаюской структуры выявлена молоамплитудная Восточно-Трипанъельская структура. Она представлена антиклинальной складкой, размеры которой по ОГ III2-3 составляют 1,5×1км.

В западной прибортовой части грабена субмеридионального простирания на севере отчетной площади обособляются небольшие приразломные структуры. Южнее подобные структурные формы образуются благодаря мелким тектоническим нарушениям различного простирания, осложняющим зону грабена. Все эти небольшие структуры в опущенных относительно Восточно-Мичаюского поднятия блоках объединены нами под общим названием Центрально-Мичаюская структура и требуют дальнейшего изучения сейсморазведкой.

С ОГ IIIf1 связывается репер 6 в верхах яранского горизонта. Структурный план отражающего горизонта IIIf1, унаследован от ОГ III2-3. Размеры Восточно-Мичаюской приразломной структуры составляют 9,1×1,2км, в контуре изогипсы - 2260 м выделяются северный и южный купола с амплитудой соответственно 35 и 60 м.

Размеры Иван-Шорской приразломной складки составляют 1,7×0,9км.

Структурная карта ОГ IIId отражает поведение подошвы доманикового горизонта среднефранского подъяруса. В целом наблюдается воздымание структурного плана к северу. Севернее отчетной площади подошва доманика вскрыта скв. 2-Сев.Мичаю, 1-Сев.Мичаю на абсолютных отметках - 2140 и - 2109 м соответственно, южнее - в скв. 1-Динью-Савинобор на отметке - 2257 м. Восточно-Мичаюская и Иван-Шорская структуры занимают промежуточное гипсометрическое положение между Северо-Мичаюской и Динью-Савиноборской структурами.

На уровне доманикового горизонта затухает оперяющее нарушение на пр. 40992-03, на месте приподнятого блока образовался купол, охватывающий и соседние профили 40990-03, -04, 40992-02. Его размеры составляют 1,9 × 0,4 км, амплитуда - 15 м. Южнее основной структуры к другому оперяющему нарушению на пр. 40992-10 замыкается изогипсой -2180 м небольшой купол. Его размеры равны 0,5 × 0,9, амплитуда - 35 м. Иван-Шорская структура находится на 60 м ниже Восточно-Мичаюской.

Структурный план ОГ Ik приуроченного к кровле карбонатов кунгурского яруса значительно отличается от структурного плана нижележащих горизонтов.

Грабенообразный прогиб западной зоны нарушений на временных разрезах имеет чашеобразную форму, в связи с этим произошла перестройка структурного плана ОГ Ik. Происходит смещение экранирующих тектонических нарушений и свода Восточно-Мичаюской структуры на восток. Размеры Восточно-Мичаюской структуры значительно меньше, чем по нижележащим отложениям.

Тектоническое нарушение северо-восточного простирания разбивает Восточно-Мичаюскую структуру на две части. В контуре структуры обосабливаются два купола, причем амплитуда южного больше, чем северного и составляет 35 м. Размеры Восточно-Мичаюского поднятия по ОГ Ik (P1k) составляют 5,2 × 0,9 км.

Южнее располагается Иван-Шорское приразломное поднятие, представляющее собой теперь структурный нос, на севере которого выделяется небольшой куполок. Затухает нарушение, экранирующее по нижним горизонтам Иван-Шорскую антиклинальную складку на юге.

Восточное крыло Южно-Лемьюской структуры осложняет небольшое тектоническое нарушение субмеридионального простирания.

По всей площади наблюдаются небольшие бескорневые тектонические нарушения, амплитудой 10-15 м, которые не укладываются в какую-либо систему.

Продуктивный на Северо-Савиноборском, Динью-Савиноборском, Мичаюском месторождениях песчаный пласт В-3 находится ниже репера 6, с которым отождествляется ОГ IIIf1, на 18-22 м, а в скв. 4-Мич. на 30 м.

На структурном плане кровли пласта В-3 наиболее высокое гипсометрическое положение занимает Мичаюское месторождение, северо-восточная часть которого приурочена к Южно-Лемьюской структуре. ВНК Мичаюского месторождения проходит на уровне - 2160 м (Колосов В.И., 1990 г.). Восточно-Мичаюская структура замыкается изогипсой - 2280 м, приподнятый блок на уровне - 2270 м, опущенный блок на южном окончании на уровне - 2300 м.

На уровне Восточно-Мичаюской структуры, южнее находится Северо-Савиноборское месторождение с ВНК на уровне - 2270 м. Динью-Савиноборское месторождение находится еще на 100 м ниже, ВНК в скв. 1-Динью-Савинобор определен на уровне - 2373 м.

Таким образом, Восточно-Мичаюская структура, находящаяся в одной структурной зоне с Динью-Савиноборской, находится значительно выше ее и вполне может быть хорошей ловушкой для углеводородов. Экраном служит грабенообразный прогиб северо-западного простирания асимметричной формы.

Западный борт грабена проходит по малоамплитудным нарушениям сбросового характера, за исключением отдельных профилей (пр. 40992-01, -05, 40990-02). Нарушения восточного борта грабена, наиболее опущенная часть, которого находится на пр. 40990-02, 40992-03, высокоамплитудные. По ним предполагаемые проницаемые пласты контактируют с саргаевскими либо с тиманскими образованиями.

К югу амплитуда нарушения уменьшается и на уровне профиля 40992-08 грабен с юга замыкается. Таким образом, южная периклиналь Восточно-Мичаюской структуры оказывается в опущенном блоке. В данном случае пласт В-3 может контактировать по нарушению с межпластовыми глинами яранского горизонта.

Южнее в этой зоне находится Иван-Шорская приразломная структура, которая пересечена двумя меридиональными профилями 13291-09, 40992-21. Отсутствие сейсмопрофилей вкрест простирания структуры не позволяет судить о надежности выявленного работами с\п 40992 объекта.

Грабенообразный прогиб, в свою очередь, разбит тектоническими нарушениями, благодаря которым образуются изолированные приподнятые блоки в его пределах. Они названы нами как Центрально-Мичаюская структура. На профилях 40992-04,-05 в опущенном блоке нашли отражение фрагменты Восточно-Мичаюской структуры. Есть небольшая малоамплитудная структура на пересечении профилей 40992-20 и 40992-12, названная нами Восточно-Трипанъельской.

.4      Нефтегазоносность

Площадь работ расположена в Ижма-Печорской нефтегазоносной области в пределах Мичаю-Пашнинского нефтегазоносного района.

На месторождениях Мичаю-Пашнинского района нефтеносен широкий комплекс терригенно-карбонатных отложений от среднего девона до верхней перми включительно.

Рядом с рассматриваемой площадью находятся Мичаюское и Южно-Мичаюское месторождения.

Глубоким поисково-разведочным бурением, проводившимся в 1961 - 1968 гг. на Мичаюском месторождении, скважинами №1-Ю.Лемью, 6, 7, 11, 14, 16, 18, 19, 21, 23, 24 вскрыта залежь нефти, приуроченная к песчаникам пласта В-3, залегающего в верхней части яранского горизонта франского яруса. Залежь пластовая, сводовая, частично водоплавающая. Высота залежи около 25 м, размеры 14 × 3.2 км.

На Мичаюском месторождении промышленная нефтеносность связана с песчаными пластами, залегающими в основании казанского яруса. Впервые нефть из верхнепермских отложений на этом месторождении получена в 1982 г. из скв.582. Опробованием в ней установлена нефтеносность пластов Р2-23 и Р2-26. Залежи нефти в пласте Р2-23 приурочены к песчаникам, предположительно руслового генезиса, протягивающимся в виде нескольких полос субмеридионального простирания через всё Мичаюское месторождение. Нефтеносность установлена в скв. 582, 30, 106. Нефть лёгкая, с высоким содержанием асфальтенов и парафина. Залежи приурочены к ловушке структурно-литологического типа.

Залежи нефти в пластах Р2-24, Р2-25, Р2-26 приурочены к песчаникам, предположительно руслового генезиса, протягивающимся в виде полос через Мичаюское месторождение. Ширина полос изменяется от 200 м до 480 м, максимальная толщина пласта от 8 до 11м.

Проницаемость коллекторов составляет 43 мД и 58 мД, пористость 23% и 13,8%. Начальные запасы кат. А+В+С1 (геол./извк.) равны 12176/5923 тыс.т, категории С2 (геол./извк.) 1311/244 тыс.т. Остаточные запасы на 01.01.2000 г. по категориям А+В+С1 составляют 7048/795 тыс.т, по категории С2 1311/244 тыс.т, накопленная добыча 5128 тыс.т.

Южно-Мичаюское нефтяное месторождение расположено в 68 км к северо-западу от г. Вуктыл, в 7 км от Мичаюского месторождения. Оно открыто в 1997 г. скважиной 60 - Ю.М., в которой из интервала 602 - 614 м получен приток нефти 5 м3/сут по ПУ.

Залежь нефти пластовая, литологически экранированная приуроченная к песчаникам пласта Р2-23 казанского яруса верхней перми.

Глубина залегания кровли пласта в своде равна 602 м, проницаемость коллектора 25,4 мД пористость 23%. Плотность нефти составляет 0,843 г/см3, вязкость в пластовых условиях 13,9 мПа.с, содержание смол и асфальтенов 12.3%, парафинов 2,97%, серы 0,72%.

Начальные запасы равны остаточным запасам на 01.01.2000г. и составляют по категориям А+В+С1 742/112тыс.т., по категории С2 2254/338 тыс.т.

На Динью-Савиноборском месторождении залежь нефти в терригенных отложениях пласта В-3 яранского горизонта франского яруса верхнего девона открыта в 2001г. скважиной 1-Динью-Савинобор. В разрезе скважины было опробовано 4 объекта (таблице 1.2).

При испытании интервала 2510-2529 м (пласт В-3) получен приток (раствор, фильтрат, нефть, газ) в объёме 7,5 м3 (из них нефти - 2.5 м3).

При опробовании интервала 2501-2523 м получена нефть дебитом 36 м3\сут через штуцер диаметром 5 мм.

При испытании вышележащих пластов-коллекторов яранского и джьерского горизонтов (пласты Iа, Iб, В-4) (интервал испытания 2410-2490 м) нефтепроявлений не наблюдалось. Получен раствор в объёме 0,1 м3.

Для определения продуктивности пласта В-2 проведено испытание в интервале 2522-2549,3 м. В результате получен раствор, фильтрат, нефть, газ и пластовая вода в объёме 3,38 м3, из них за счёт негерметичности инструмента - 1,41 м3, приток из пласта - 1,97 м3.

При исследовании нижнепермских отложений (интервал испытания 1050 - 1083,5 м) также получен раствор в объёме 0,16 м3. Однако в процессе бурения по данным керна в указанном интервале были отмечены признаки нефтенасыщения. В интервале 1066,3-1073,3 песчаники разнозернистые, линзовидные. В середине интервала наблюдались выпоты нефти, 1,5 см - прослой нефтенасыщенного песчаника. В интервалах 1073,3-1080,3 м и 1080,3-1085 м также отмечены прослои песчаников с выпотами нефти и маломощные (в интервале 1080,3-1085 м, вынос керна 2,7 м) прослои песчаника полимиктового нефтенасыщенного.

Признаки нефтенасыщения по данным керна в скв. 1-Динью-Савинобор отмечены также в кровле пачки зеленецкого горизонта фаменского яруса (интервал отбора керна 1244,6-1253,8 м) и в пласте Iб джьерского горизонта франского яруса (интервал отбора керна 2464,8-2470 м).

В пласте В-2 (D3jr) песчаники с запахом УВ (интервал отбора керна 2528,7-2536 м).

Сведения о результатах опробования и нефтепроявлениях в скважинах приведены в таблицах 1.1 и 1.2.

Таблица 1.1 - Результаты опробования скважин

№ п/п

№№ скв.

Инт-л (м)

Возраст пласта.

Результаты опробования.

1.

2-Мич.

2329-2334

D3jr

1 объект. Приток минерализованной воды Q=38 м3/сут по ПУ.



1437-1457

D3el

2 объект. Мин. вода Q=0,75 м3/сут по ПУ.



1320-1341

D3up

3 объект. Притока не получено.

2.

3-Мич.

2320-2317

D3jr

1 объект. Мин. вода Q=19,6 м3/сут.



2268-2264

D3dzr

2 объект. Незначительный приток мин. воды Q=0,5 м3/сут.

3.

8-Мич.

1352-1315

D3up+el

1 объект. ИП пластовая мин. вода с примесью фильтрата раствора Q=296 м3/сут.



1411-1435

D3el

2 объект. ИП пластовая мин. вода с запахом серо-водорода, темно-зеленого цвета.



2310-2313

D3jr

3 объект. Мин. вода Q=21,5 м3/сут.



2249-2234

D3tm+dzr

4 объект. Мин. вода Q=13,5 м3/сут.

4.

13-Мич.

583-590

P2kz

В колонне фонтанный приток нефти 10 м3/сут.

5.

14-Мич.

2273-2270

D3jr

Нефть Q=21 т/сут на 4 мм штуцере.

6.

19-Мич.

2262-2274

D3jr

1 объект. Промышленный приток нефти Q=26 м3/сут на 4 мм штуцере.

7.

24-Мич.

2265-2268

D3jr

1 объект. Фонтанный приток нефти Q=36,8 м3/сут на 4 мм штуцере.

8.

60-Ю.Мич.

602-614

P2kz

Приток нефти 5 м3/сут по ПУ.

9.

107

697-709

P2u

3, 4, 5 объекты . Слабый приток нефти Q = 0,1 м3/сут.



653-689





552-556

P2t+kz


10.

522

2355,6-2359,6


ИП нефть 25 м3 за 45 мин.

1

2

3

4

5

11.

552

2287-2290


Нефть.

12.

573

2273-2283.6


Нефть.

13.

641

2332-2342


Начальный дебит нефти равен 81,5 т/сут.

14.

642

2358,6-2362,6 2369,4-2375,4


Нефть.

15.

643

2254-2278


5,6 м3 нефти за 50 минут.

16.

652

2319-2325


Начальный дебит нефти 71,2 т/сут.

17.

654

2346,8-2351,2


Нефть Qнач.=66,6 т/сут.



2352,8-2355,8





2357,8-2363,2



18.

655

2355,6-2360


Нефть.



2340,8-2350,6



19.

665

2266,6-2273,8


Приток нефти Q=6,5 м3/час, Рпл.=205 атм.



2275,2-2280,8



20.

674

2266,4-2271,6


Начальный дебит нефти 10,.3 т/сут.



2272,8-2275,4





2276,8-2279,4





2281,2-2285,2



21.

684

2295-2314


Нефть Q=0,5 м3/час, Рпл.=160 атм.

22.

804

2393-2400


Нефть.

23.

806

2292-2230


Минеральная вода с пленками нефти.

24.

807

2298-2310


Нефть.

25.

1-Д.С.

2510-2529

D3jr

Раствор, фильтрат, нефть, газ. Объем притока 7,5 м3 (из них нефти 2,5 м3). Рпл.=27,65 МПа.



2522-2549,3


Раствор, фильтрат, нефть, газ, пластовая вода. Vпр.=3,38 м3, Рпл.=27,71 МПа.



2501-2523


Нефть дебитом 36 м3\сут, диам. шт. 5 мм.



2410-2490

D3

Притока не получено.


Таблица 1.2 - Сведения о нефтепроявлениях

№№

Интервал

Возраст.

Характер проявлений.

1.

2-Мич.

1440,7-1457,2

D3el

Известняки с примазками нефти в кавернах и порах.



1323,6-1341,2

D3up


2.

3-Мич.


P2kz



597-602


По ГИС нефтенасыщеный песчаник.

 3.

 8-Мич.

1414,3-1431,6

D3el

Известняк с сутурными швами, заполненными битуминозной глиной.



2234,4-2239,6 2252,4-2255,2

D3dzr

Нефтенасыщенный керн.

4.

13-Мич.

533-560

P2kz

Переслаивание нефтенасыщенных песчаников, алевролитов, тонких прослоев глин.

5.

14-Мич.

551-556

P2t

Нефтенасыщенный керн.

6.

60-Ю.М.

602-615

P2kz

Нефтенасыщенные полимиктовые песчаники.

7.

61

615-625

P2kz

Водонасыщенные песчаники.



945-975

P1ar

Нефтенасыщенные известняки.



1059,2-1066,3

P1k

Известняк скрытокристаллический, по редким трещинам включения битуминозного материала.



1066,3-1073,3

P1ar

Аргиллит, известняк. В середине интервала выпоты нефти; 1,5 см - прослой нефтенасыщенного песчаника.



1073,3-1080,3

P1ar

Песчаник разнозернистый и тонкозернистый с выпотами нефти.

   8.

   1-Д.С.

1080,3-1085

P1ar

Известняк и отдельные прослои нефтенасыщенного песчаника.



1244,6-1251,1 1251,1-1253,8

 D3zl

Переслаивание доломита и доломитизированного известняка с выпотами нефти.



2464,8-2470

D3dzr

Аргиллит с выпотами и пленками нефти по трещинам; алевролит с запахом нефти.



2505-2510,2

D3jr

Переслаивание песчаников с выпотами и пятнами нефти.



2510,2-2516,8

D3jr

Переслаивание песчаников с запахом УВ и аргиллитов с вкраплениями битума.



2516,8-2522,2

D3jr

Мелкозернистые песчаники с запахом УВ, по трещинам битуминозные.



2522,2-2528,7

D3jr

Известняк с выпотами нефти и запахом УВ; песчаник и аргиллит с выпотами нефти.



2528,7-2536

D3jr

Плотный и крепкий песчаник с запахом УВ.



2536-2541

D3jr

Переслаивание песчаника кварцевого с запахом УВ, алевролита и аргиллита.



2594,5-2598,2

D2st

Кварцевые песчаники со слабым запахом УВ.

2. Специальная часть

.1 Геофизические работы, проводимые на данной площади

Отчет составлен по результатам переобработки переинтерпретации сейсморазведочных материалов, полученных на северном блоке Динью-Савиноборского месторождения в разные годы сейсмопартиями 8213 (1982 г.), 8313(1984 г.), 41189 (1990 г.), 40990(1992 г.), 40992 (1993 г.) согласно договору между ООО "Когель" и ООО "Динью". Методика и техника работ проведена в таблице 2.1.

Таблица 2.1 - Сведения о методике полевых работ


С/п 8213

С/п 8313

С/п 41189

С/п 40990

С/п 40992

Сейсмо- станция

ССЦ - 3 М

ССЦ - 3 М

"Прогресс"

"Прогресс - 2"

"Прогресс - 2"

Система наблюдений

Центральная

Центральная

Фланговая

Фланговая

Фланговая

Параметры источника

Тип

Взрывной

Взрывной

Невзрывной "падающий груз" - СИМ

Невзрывной "падающий груз" - СИМ

Невзрывной "Енисей - СЭМ"

Кол-во скважин в группе

1

1

-

-

-

Величина заряда

2.5 кг

5.0 кг

-

-

-

Расстояние между ПВ

100 м

100 м

25 м

25 м

25 м

Параметры расстановки

Кратность

12

12

24

24

24

Группирование сейсмоприемников

26 сп на базе 78 м

26 сп на базе 78 м

12 сп на базе 25 м

11 сп на базе 25 м

11 сп на базе 25 м

Расстояние между ПП

50 м

50 м

25 м

25 м

25 м

Минимальное расстояние взрыв-прибор

25 м

25 м

150 м

150 м

150 м

Максимальное расстоние взрыв-прибор

1175 м

1175 м

1325 м

1325 м

1325 м

Выявленная работами с/п 40991 Восточно-Мичаюская тектонически-ограниченная структура была передана в бурение по нижнефранским, нижнефаменским и нижнепермским отложением в 1993 году с/п 40992. Сейсморазведочные работы были ориентированы в целом на изучение пермской части разреза, структурные построения в нижней части разреза выполнены только по отражающему горизонту III f1.

Западнее площади работ находятся Мичаюское и Южно-Мичаюское месторождения нефти. Промышленная нефтегазоносность Мичаюского месторождения связанна с верхнепермскими отложениями, залежь нефти содержится в песчаниках пласта В-3 в верхах яранского горизонта.

Юго-восточнее Восточно-Мичаюской структуры в 2001 году скважиной 1-Динью-Савинобор открыта залежь нефти в нижнефранских отложениях. Динью-Савиноборская и Восточно-Мичаюская структуры находятся в одной структурной зоне.

В связи с этими обстоятельствами возникла необходимость пересмотра всех имеющихся геолого-геофизических материалов.

Переобработка сейсмических данных проводилась в 2001 году Табриной В.А. в системе ProMAX, объем переобработки составил 415.28 км.

Предварительная обработка состояла в переводе данных во внутренний формат ProMAX, присвоении геометрии и восстановлении амплитуд.

Интерпретация сейсмического материала осуществлялась ведущим геофизиком Мингалеевой И.Х., геологом Матюшевой Е.В., геофизиком I категории Обориной Н.С., геофизиком Горбачевой Д.С. Интерпретацию выполняли в разведочной системе Geoframe на рабочей станции SUN 61. Интерпретация включала корреляцию отражающих горизонтов, построение карт изохрон, изогипс, изопахит. В рабочую станцию были загружены оцифрованные каротажные диаграммы по скважинам 14-Мичаю, 24-Мичаю. Для пересчета кривых ГИС в масштаб временного разреза использовали скорости, полученные по сейсмокаротажу соответствующих скважин.

Построение карт изохрон, изогипс, изопахит проводили в автоматическом режиме. При необходимости их корректировали вручную.

Скоростные модели, необходимые для трансформации карт изохрон в структурные были определены по материалам бурения и сейсморазведки.

Сечение изогипс определяли погрешностью построений. С целью сохранения особенностей структурных планов и для лучшей визуализации сечение изогипс приняли 10 м по всем отражающим горизонтам. Масштаб карт 1:25000. Стратиграфическая приуроченность отражающих горизонтов выполнялась по сейсмокаротажу скважин 14-,24- Мичаю.

На площади проследили 6 отражающих горизонтов. Структурные построения представили по 4 отражающим горизонтам.

ОГ Iк приурочен к реперу 1, выделенному по аналогии со скважиной Динью-Савинобор в верхах кунгурского яруса, на 20-30 м ниже уфимских отложений (рисунок 2.1). Горизонт хорошо коррелируется по положительной фазе, интенсивность отражения невелика, но динамические признаки выдержаны по площади. Следующий отражающий горизонт II-III отождествляется с границей каменноугольных и девонских отложений. ОГ достаточно легко узнается на профилях, хотя местами наблюдается интерференция двух фаз. На восточных концах широтных профилей над ОГ II-III появляется дополнительное отражение, которое выклинивается к западу по типу подошвенного налегания.

ОГ IIIfm1 приурочен к реперу 5, выделяемому в низах елецкого горизонта нижнего фамена. В скважинах 5-М., 14-М репер 5 совпадает с подошвой елецкого горизонта, выделяемой ТП НИЦ, в других скважинах (2,4,8,22,24,28-М) на 3-10 м выше официальной разбивки подошвы D3el. Отражающий горизонт является опорным, имеет ярко выраженные динамические признаки и высокую интенсивность. Структурные построения по ОГ IIIfm1 не предусмотрены программой.

ОГ IIId отождествляется с подошвой доманиковых отложений, уверенно коррелируется на временных разрезах по отрицательной фазе.

С репером 6 в верхах яранского горизонта нижнего франа связывается ОГ IIIf1. Репер 6 выделяется достаточно уверенно во всех скважинах на 10-15м ниже подошвы джъерских отложений. Отражающий горизонт IIIf1 следится хорошо, несмотря на то, что имеет невысокую интенсивность.

Продуктивный на Мичаюском, Динью-Савиноборском месторождениях песчаный пласт-коллектор В-3 находится на18-22 м ниже ОГ IIIf1, лишь в скважине 4-М. мощность отложений, заключенных между ОГ IIIf1 и пластом В-3 увеличена до 30 м.

Рисунок 2.1 - Сопоставление разрезов скважин 1-С. Мичаю, 24-Мичаю, 14-Мичаю и привязка отражающих горизонтов

Слабо выражен в волновом поле следующий отражающий горизонт III2-3, прослеженный вблизи кровли терригенных отложений среднего девона. ОГ III2-3 откоррелирован по отрицательной фазе как поверхность размыва. На юго-западе отчетной площади наблюдается сокращение временной мощности между ОГ IIIf1 и III2-3, что особенно хорошо видно на профиле 8213-02 (рисунок 2.2).

Структурные построения (рисунок 2.3 и 2.4) выполнены по отражающим горизонтам Ik, IIId, IIIf1, III2-3, построена карта изопахит между ОГ IIId и III2-3, представлена структурная карта по кровле песчаного пласта В-3, для всего Динью-Савиноборского месторождения.

Рисунок 2.2 - Фрагмент временного разреза по профилю 8213-02

.2 Результаты геофизических исследований

В результате переобработки и переинтерпретации сейсморазведочных данных на северном блоке Динью-Савиноборского месторождения.

-   изучили геологическое строение северного блока Динью-Савиноборского месторождения по отложениям перми и девона,

Рисунок 2.3 - Структурная карта по отражающему горизонту III2-3(D2-3)


Рисунок 2.4 - Структурная карта по отражающему горизонту IIId(D3dm)

-   проследили и увязали по площади 6 отражающих горизонтов: Ik, II-III, IIIfm1, IIId, IIIf1, III2-3;

-        выполнили структурные построения в масштабе 1:25000 по 4 ОГ: Ik, IIId, IIIf1, III2-3;

         построили общую структурная карта по кровле пласта В-3 для Динью-Савиноборской структуры и северного блока Динью-Савиноборского месторождения, и карта изопахит между ОГ IIId и III2-3;

         построили глубинные сейсмические разрезы (масштабы гор. 1:12500, вер. 1:10000) и сейсмо-геологические разрезы (масштабы гор. 1:25000, вер. 1:2000);

         построили схему сопоставления нижнефранских отложений по скважинам на Мичаюской площади, скв. 1-Динью-Савинобор и 1-Трипанъель в масштабе 1:500;

         уточнили гелогическое строение Восточно-Мичаюской и Иван-Шорской структур;

         выявили Среднемичаюскую, Центрально-Мичаюскую, Восточно-Трипанъельскую структуры;

         протрассировали грабенообразный прогиб северо-восточного простирания, являющийся экраном для северного блока Динью-Савиноборской структуры.

На основании полученных результатов рекомендовали:

    с целью изучения нефтеперспективности нижнефранских отложений в пределах центрального блока Восточно-Мичаюской структуры пробурить поисковую скважину № 3 на профиле 40992-04 пк 29.00 глубиной 2500 м до вскрытия среднедевонских отложений;

-        на южном блоке - поисковую скважину № 7 на кресте профилей 40990-07 и 40992 -21 глубиной 2550 м;

         на северном блоке - поисковую скважину № 8 профиль 40992-03 пк 28.50 глубиной 2450 м;

         проведение детальных сейсморазведочных работ в пределах Иван-Шорской структуры;

         провести переобработку и переинтерпретацию сейсморазведочных работ на Южно-Мичаюской и Среднемичаюской структурах.

.3 Обоснование выбора трехмерной сейсморазведки

Главной причиной, обосновывающей необходимость применения достаточно сложной и достаточно дорогой технологии площадной сейсморазведки 3D на разведочном и детализационном этапах, является переход в большинстве регионов к исследованию структур и месторождений с все более сложно построенными резервуарами, что приводит к риску бурения пустых скважин. Доказано, что при более, чем на порядок, увеличении пространственной разрешенности стоимость работ 3D по сравнению с детальной съемкой 2D (~2км/км2) возрастает всего в 1,5-2 раза. При этом детальность и общий объем информации съемки 3D выше. Практически непрерывное сейсмическое поле обеспечит:

·        Более высокую детальность описания структурных поверхностей и точность картирования по сравнению с 2D (ошибки уменьшаются в 2-3 раза и не превышают 3-5 м);

·        Однозначность и надежность прослеживания по площади и в объеме тектонических нарушений;

·        Сейсмофациальный анализ обеспечит выделение и прослеживание сейсмических фаций в объеме;

·        Возможность интерполяции в межскважинное пространство параметров продуктивных пластов (толщины пластов, пористость, границы развития коллектора);

·        Уточнение запасов нефти и газа за счет детализации структурных и подсчетных характеристик.

Это свидетельствует о возможной экономической и геологической целесообразности применения трехмерной съемки на Восточно-Мичаюской структуре. При выборе экономической целесообразности необходимо иметь ввиду, что экономический эффект от применения 3D ко всему комплексу разведки и разработки месторождений также учитывает:

·        прирост запасов по категории С1 и С2;

·        экономию за счет сокращения количества малоинформативных разведочных и низкодебитных эксплутационных скважин;

·        оптимизацию режима разработки за счет уточнения модели продуктивного резервуара;

·        прирост ресурсов С3 за счет выявления новых объектов;

·        стоимость проведения съемки 3D, обработки и интерпретации данных.

3. Проектная часть

.1      Обоснование методики работ МОГТ - 3D

Выбор системы наблюдений основывается исходя из следующих факторов: решаемые задачи, особенности сейсмогеологических условий, технические возможности, экономическая выгода. Оптимальное сочетание этих факторов и определяет систему наблюдений.

На Восточно-Мичаюской площади сейсморазведочные работы МОГТ-3D будут проводиться с целью детального изучения структурно-тектонических и литолого-фациальных особенностей строения осадочного чехла в отложениях от верхнепермских до силурийских; картирования зон развития литолого-фациальных неоднородностей и улучшенных коллекторских свойств, разрывных тектонических нарушений; изучения геологической истории развития на основе палеоструктурного анализа; выявления и подготовки нефтеперспективных объектов.

Для решения поставленных задач, с учетом геологического строения района, фактора минимального воздействия на природную среду и экономического фактора, предлагается ортогональная система наблюдений с пунктами возбуждения, расположенными между линиями приема (т.е. с перекрытием линий приема). В качестве источников возбуждения будут применяться взрывы в скважинах.

.2      Пример расчета системы наблюдений типа "крест"

Система наблюдений типа "крест" формируется за счет последовательного перекрытия взаимно ортогональных расстановок, источников и приемников. Проиллюстрируем принцип формирования площадной системы на следующем идеализированном примере. Предположим, что сейсмоприемники (группа сейсмоприемников) равномерно распределены по линии наблюдения, совпадающей с осью X.

Вдоль оси, пересекающей расстановку сейсмоприемников в центре, равномерно и симметрично размещается ту источников. Шаг источников ду и сеймоприемников дх одинаков. Сигналы, возбужденные каждым источником, принимаются всеми сейсмоприемниками расстановки. В результате такой отработки формируется поле из т2 средних точек отражения. Если последовательно смещать расстановку сейсмоприемников и ортогональную ей линию источников вдоль оси X на шаг дх и повторять регистрацию, то в результате будет достигнуто  - кратное перекрытие полосы, ширина которой равна половине базы возбуждения. Последовательное смещение базы возбуждения и приема вдоль оси Y на шаг ду приводит к дополнительному  - кратному перекрытию, а общее перекрытие составит . Естественно, что на практике должны применяться более технологичные и экономически обоснованные варианты системы с взаимно ортогональными линиями источников и приемников. Очевидно также, что кратность перекрытий должна, выбираться в соответствии с требованиями, определяемыми характером волнового поля и алгоритмами обработки. В качестве примера на рисунке 3.1 приведена восемнадцатикратная площадная система, для реализации которой используется одна 192 - канальная сейсмическая станция, принимающая последовательно сигналы с 18 пикетов возбуждения. Рассмотрим параметры этой системы. Все 192 сейсмоприемников (групп сейсмоприемников) распределены на четырех параллельных профилях (по 48 на каждом). Шаг δх между точками приема 0,05 км, расстояние δу между линиями приема 0,05 км. Шаг источников Sy по оси Y - 0,05 км. Фиксированное распределение источников и приемников будем называть блоком. После приема колебаний со всех 18 источников блок смещается на шаг ∆х (в данном частном случае равный- 0,2 км), вновь повторяется прием со всех 18 источников и т.д. Так отрабатывается по оси X полоса от начала и до конца площади исследования. Следующая полоса из четырех линий приема размещается параллельно предыдущей таким образом, чтобы расстояние между соседними (ближайшими) линиями приема первой и второй полосы равнялось расстоянию между линиями приема в блоке (∆y = 0.2км). В этом случае линии источников первой и второй- полосы перекрываются на половину базы возбуждения. При отработке третьей полосы на половину перекрываются линии источников второй и третьей полосы и т.д. Следовательно, в данном варианте системы линии приема не дублируются, а в каждой точке источника, (исключая крайние) сигналы возбуждаются дважды.

Запишем основные соотношения, определяющие параметры системы и ее кратность. Для этого, следуя рисунку 8, введем дополнительные обозначения:

W - количество линий приема,

mx - количество точек приема на каждой линии приема данного блока;

my - количество источников на каждой линии возбужденния данного блока,

Р - ширина интервала в центре линии возбуждения, в пределах которого источники не размещаются,

L - величина выноса(смещения) по оси X линии источников от ближайших точек приема.

Во всех случаях интервалы ∆х, ∆у и L кратны шагу дх. Это обеспечивает равномерность сети средних точек, соответствующих каждой паре источник-приемник, т.е. выполняете! требование условия, необходимого для формирования сейсмограмм общих средних точек (ОСТ). При этом:

Ax=Nδx N=1, 2, 3…

tSy-MδyM=1, 2, 3…

L=q δхq=1, 2, 3…

Поясним смысл параметра Р. Сдвиг между линиями средних точек равен половине шага ∆у. Если источники распределены равномерно (разрыв отсутствует), то для аналогичных систем кратность перекрытия по оси Y равна W (числу линий приема). Для уменьшения кратности перекрытий вдоль оси Y и для сокращения затрат за счет меньшего количества источников, по центру линии возбуждения делается разрыв на величину Р равную:

, (3.1)(1.1)

Где, k = 1,2,3 ...

При k=1,2, 3, соответственно, кратность перекрытий уменьшается на 1, 2, 3, т.е. становится равной W-K.

Общая формула, связывающая кратность перекрытий пу с параметрами системы

, (3.2)

отсюда выражение для числа источников ту на одной линии возбуждения можно записать следующим образом:

 (3.3)

Для системы наблюдений (рисунок 3.1) количество источников на линии возбуждения равно 18.

Рисунок 3.1 - Система наблюдений типа "крест"

Из выражения (3.3) следует, что поскольку шаг профилей ∆у всегда кратен шагу источников δу, количество источников ту для такого типа систем - четное число. Распределяясь на прямой параллельной оси Y симметрично профилям приема, входящим в данный блок точки возбуждения либо совпадают с точками приема, либо смещены относительно точек приема на 1/2·δy. Если кратность перекрытий пу в данном блоке нечетное число, источники всегда не совпадают с точками приема. Если nу - четное число, возможны две ситуации: ∆у/δу - нечетное число, источники совпадают с точками приема, ∆у/δу - четное число, источники смещены относительно точек приема на δу/2. Данный факт следует учитывать при синтезе системы (выборе количества профилей приема W и шага ∆у между ними), поскольку от этого зависит, будут ли в точках приема зарегистрированы вертикальные времена, необходимые для определения статических поправок.

Формула, определяющая кратность перекрытий nх вдоль оси X может быть записана аналогично формуле (3.2)

, (3.4)

таким образом, общая кратность перекрытий nxy по площади равна произведению nx и ny

, (3.5)

В соответствии с принятыми значениями тх, δх и ∆х кратность перекрытий пх по оси X вычисленная по формуле (3.4), равна 6, а общая кратность nxy= 13 (рисунок 3.2).

Рисунок 3.2 - Кратность перекрытий nх=6

Наряду с системой наблюдений, предусматривающей перекрытие источников без перекрытий линий приема, на практике применяются системы у которых, линии возбуждения не перекрываются, а дублируется часть линий приема. Рассмотрим шесть линий приема, на каждой из которых равномерно распределены сейсмоприемники принимающие сигналы последовательно возбуждаемые источниками. При отработке второй полосы три линии приема дублируются следующим блоком, а линии источников идут в виде продолжения ортогональных профилей первой полосы. Таким образом, применяемая технология работ не предусматривает дублирование точек возбуждения. При двойном перекрытии линий приема кратность пу равна числу перекрывающихся линий приема. Полным эквивалентом системы из шести профилей с последующим перекрытием трех линий приема, является система с перекрытием источников, число которых увеличивается в два раза, для достижения той же кратности. Поэтому системы с перекрытием источников являются экономически нерентабельными, т.к. при этой методике требуется выполнить большой объем буро-взрывных работ.

Переход к 3D сейсморазведке.

Проектирование съемки 3D базируется на знании ряда характеристик сейсмологического разреза участка работ.

К сведениям о геосейсмическом разрезе относятся:

·        кратность съемки 2D

·        максимальные глубины залегания целевых геологических границ

·        минимальные геологические границы

·        минимальный горизонтальный размер локальных геологических объектов

·        максимальные частоты отраженных волн от целевых горизонтов

·        средняя скорость в слое, лежащем на целевом горизонте

·        время регистрации отражений от целевого горизонта

·        размер площади исследований

Для регистрации временного поля в МОГТ-3D рационально применить телеметрические станции. Количество профилей выбирается в зависимости от кратности ny=ω.

Расстояние между общими средними точками на отражающей поверхности по осям X и Y определяет размер бина:


Максимально допустимый минимальный вынос линии источников выбирается исходя из минимальной глубины отражающих границ:

 - минимальный офсет.

 - максимальный офсет.


Для обеспечения кратности nx расстояние между линиями возбуждения ∆x определяется:


Для регистрирующего блока расстояние между линиями приема ∆y:


С учетом технологии работ с двойным перекрытием линией приема количество источников my в одном блоке для обеспечения кратности ny:

Рисунок 3.3 - Кратность ny=2

По результатам планирования съемки 3D получают следующий набор данных:

·        расстояние между каналами δх

·        количество активных каналов на одной линии приема mx

·        общее количество активных каналов mx· ω

·        минимальный офсет Lmin

·        размер бина

·        общая кратность nxy

·        количество пунктов возбуждения на одной линии my

·        расстояние между линиями возбуждения ∆х

·        расстояние между линиями приема ∆y

Предложенная центральная система наблюдений обеспечивает детальное сейсмическое исследования.

Рассчитанная центральная система наблюдения МОГТ по параметрам полностью совпала с системой наблюдения, используемой ранее. Параметры производственной и расчетной системы, с учетом сейсмогеологических условий: кратность по 2D = 12, nx = 6, ny = 2; по 3D: nx = 6, ny = 2, кратность = 12.

3.3    Аппаратура и оборудование

Параметры регистрации: шаг квантования - 2 мс, длительности регистрации - 5с. При работах будет использована сейсмостанция "SERCEL 428 XL", техническая характеристика которой приведена в таблице 3.1. Допускается применение любой другой телеметрической сейсмостанции, имеющей 24 - разрядный преобразователь аналог - код и запись на магнитный или CD - носитель в формате SEG-D или SEG-Y.

Таблица 3.1 - Техническая характеристика телеметрической Sercel 428 XL

№ п/п

Показатели

с/ст Sercel 428 XL

1

Техническая характеристика


1.1

Разрядность ПАКа

24

1.2

Общий динамический диапазон, дб

140

1.3

Мгновенный динамический диапазон, дб

130

1.4

Максимальное кол-во каналов (при 5-ти комплектах плат LCI/LMP)

10000

1.5

Максимальное кол-во каналов на одной линии - любое, в пределах имеющегося полевого оборудования

Не более 10000

1.6

Количество вспомогательных каналов

1-4

1.7

Количество каналов модуль

1

1.8

Количество каналов в секции

4

1.9

Длина секции, м

200

1.10

Количество каналов на блок питания

48

1.11

Шаг дискретизации, мс

0,25; 0,5; 1; 2; 4

1.12

Полоса пропускания, Гц

3-800

1.13

Формат записи

SEG-D 8058


Комплект полевого оборудования: группы геофонов - 1200 (12×100) активных каналов, сейсмокосы, полевые модули, аккумуляторы и т.п. С учетом параметров установки для обеспечения работы потребуется комплект каналов и 10% запасных.

Параметры группирования сейсмоприёмников:

- Тип сейсмоприёмника:

GS-20DX;

- Число сейсмоприёмников в группе:

12 шт;

- Расстояние между сейсмоприёмниками в группе:

1,6 м;

- База группирования сейсмоприёмников:

18 м;

- Интервал между центрами групп каналов:

50 м;

- Проекция линии возбуждения:

между 50 и 51 каналами


Сейсмоотряд, помимо сейсмического оборудования, обеспечивается вездеходами ГАЗ-71 и (или) ГТТ. Размотка сейсмических кос вдоль линий приёма, установка регистрирующих блоков и групп сейсмоприёмников производится вручную с вездеходного транспорта, а также вручную в тех местах, где невозможно передвижение техники.


.4      Методика обработки и интерпретации полевых материалов

Процесс обработки состоит из четырех основных этапов: предварительная (предпроцессинг), кинематическая, динамическая и интерпретационная. Это позволяет четко акцентировать главные задачи каждого этапа и ввести элементы стандартизации при использовании процедур.

Основная задача предварительного этапа - обеспечение возможности эффективного ведения дальнейшей обработки путем преобразования полевых сейсмических записей в формат обрабатывающей системы. Входными данными для этого этапа служат плевые сейсмограммы. Результатом этого этапа обработки на выходе являются рабочие магнитные ленты (файлы) с записью сейсмограмм ОГТ, которые должны поступить на вход следующего этапа обработки.

Обязательным для первого этапа являются процедуры, обеспечивающие выполнение демультиплексирования сейсмических записей, различного рода сортировки трасс и преобразование форматов записей амплитуд.

Кинематическая обработка предназначена для решения задач структурной геологии в разнообразных сейсмогеологических условиях. С этой целью на основе использования программ выделения сигналов на фоне помех и изучения кинематики отраженных волн, определяются геометрия и конфигурация сейсмических границ. При этом большинство процедур, относящихся к типовой кинематической обработке, практически применяются повсеместно и независимо от сейсмогеологических условий, методики полевых наблюдений и решаемых геологических задач.

Детальная кинематическая обработка проводится с целью улучшения прослеживании осей симфазности и определения кинематических параметров волн, используемых в дальнейшем при интерпретации. Выбор программ обработки на этом этапе обусловлен необходимостью тщательного учета остаточных сдвигов трасс.

Динамическая обработка позволяет получить сведения о физических свойствах разреза сейсмическим методом, главным образом, обработка основана на использовании динамических свойств отраженных волн (амплитуды, частоты, энергии, когерентности и т.п.).

Интерпретационная обработка - заключительный этап, позволяющий построить сейсмогеологическую модель разреза.

Основными обрабатывающими системами, наиболее широко применяемыми в России сегодня, являются системы типа ProMAX, Geovecteur и Focus.

Система ProMAX разработана компанией Advance Geophysical Landmark Graphics. Первая версия ProMAX, сразу ориентированная на рабочие станции типа RISC - архитектуры, появилась в самом начале 90-х годов. Версия системы с возможностью обработки данных наземной сейсморазведки 3D появилась в 1995 г. Может применятся только на достаточно мощных рабочих станциях IBM RICS-6000. Система ProMAX в настоящее время обладает большим набором процедур для полной кинематической и динамической обработки данных 2 D и 3D сейсморазведки.

Особенностями системы ProMAX являются:

1. Возможность использования для работы на многопроцессорных ЭВМ типа SP2 (IBM) и Origin (Silicon Graphics);

2.      Наличие интерактивного и(или) пакетного режима работы;

3.      Быстрый и надежный ввод данных с поддержкой всех стандартных форматов;

4.      Удобное описание и простой ввод геометрии системы наблюдений;

5.      Гибкая и многофункциональная система работы с заголовками трасс;

6.      Возможность включения новых прикладных процедур и наличие эффективных средств поддержки и разработки новых модулей;

7.      Интерактивный 2D/3D анализ скоростей;

8.      3D-глубинная миграция с учетом рефракции;

9.      Выделение и прослеживание первых вступлений для целей коррекции статических поправок на основе использования принципов технологии нейронных сетей;

10. Пакет программ для реализации задач сейсмической инверсии;

11.    Наличие процедур для выполнения элементов интерпретации (прослеживание горизонтов и сбросов, построение и редактирование 2D/3D скоростной модели среды, построение карт).

В данном дипломном проекте рассматривается выполнение обработки сейсмических данных в системе РгоМах

Обобщенную схему стандартной кинематической обработки можно представить в виде графа, включающего в себя основные этапы и последовательность процедур:

1. Демультиплексация полевых записей. На этой стадии проводится отбор и анализ исходных сейсмограмм, перевод из формата полевой регистрирующей сейсмостанции в формат SEGY и загрузка в обрабатывающую систему Promax;

. Присвоение геометрии и редакция сейсмограмм. На этом этапе формируются геометрические параметры заголовков сейсмических трасс, проверка правильности присвоения геометрии сейсмического профиля. Проводится редакция и отбраковка трасс в сейсмограмме или целых сейсмограмм, имеющих регулярные, промышленные или технологические помехи, а также сильно осложненные низкочастотными волнами-помехами. Выбирается верхний и хирургический мьютинг, определяются окна для процедур обратной фильтрации и восстановления амплитуд.

. Корректирующая фильтрация состоит из целого комплекса процедур, которые можно разделить на следующие стадии:

·    расчет априорных статических поправок и ввод их в заголовки трасс;

·        применение процедур редакции к потоку сейсмограмм;

·        восстановление амплитуд;

·        широкополосный фильтр;

·        удаление низкочастотных регулярных и нерегулярных помех;

·        балансировка усиления;

·        веерная фильтрация;

·        предсказывающая деконволюция;

·        деконволюция, учитывающая поверхностные условия, распределение пунктов взрыва и приёма, поглощение спектра регистрируемого сигнала с удалением от пункта;

·        переменная по времени полосовая фильтрация.

4. Коррекция кинематических и статических поправок проводится в несколько этапов. На первом этапе для коррекции кинематики применяются априорные статические поправки и низкочастотный полосовой фильтр. На втором этапе коррекция кинематических поправок проводится в более широкой полосе частот. С данной кинематикой выполнена коррекция статики по двум-трем горизонтам. Результат используется для окончательной коррекции остаточных сдвигов.

. Коррекция остаточных сдвигов. Применение данной процедуры позволит убрать небольшие сдвиги, которые не выбрались процедурами коррекции статических и кинематических поправок.

. Обратная и полосовая фильтрация позволяет устранить "шум" вызванный применением деконволюции и повысить регулярность сейсмической записи необходимой для последующей миграции.

. Миграция суммарного куба. Для миграции применяются скорости, полученные в результате редакции последней коррекции кинематики. Данная скоростная модель осредняется, а полученные скорости суммирования пересчитываются в интервальные.

. На заключительном этапе выполняются фильтрация по мигрированному кубу, которая включает в себя, спектральное выравнивание. Применяется для расширения и выравнивания частотного диапазона окончательной суммы и устранения эффекта регуляризации, вызванного применением миграции и веерного фильтра.

Динамическая обработка

В настоящее время изучение физических свойств разреза сейсмическим методом, главным образом, основано на использовании динамических свойств отраженных волн (амплитуды, частоты, энергии, когерентности и т.д.).

Динамические параметры отраженных волн, в основном, определяются морфологическими особенностями залежи (форма и характер границы либо водонефтяного, либо газонефтяного контактов). В наибольшей степени эти способы нашли свое воплощение в известной методике поисков углеводородов - методике "яркого пятна" ("bright spot"). Эта методика применяется для выявления неглубоко расположенных залежей углеводородов, преимущественно, в молодых терригенных отложениях. При интерпретации волновой картины получают и исследуют дифференциальные характеристики разреза: изменение амплитуды волны на границе (AVO-анализ), изменение полярности отражений в зоне смены контакта глина - вода на контакт глина - газ, частотные и амплитудные характеристики по различным частям отраженного импульса и т.п.

Интерпретация

Условно принято считать, что этап интерпретации начинается с непосредственного обращения к сейсмогеологической корреляции временного или мигрированного разреза. С учетом необходимости достижения максимального конечного эффекта от сейсморазведочных работ весь интерпретационный этап обработки целесообразно выполнять в следующей последовательности:

·    общая кинематическая интерпретация;

·        выделение целевых интервалов;

·        структурная интерпретация целевых горизонтов;

·        интервальный сейсмостратиграфический анализ;

·        интерпретация сейсмогеологических комплексов в рамках тонкослоистой модели среды. AVO-анализ.

Анализ куба сейсмических данных и идентификация границ целевых интервалов по всем профилям составляют основу для интерпретации при картировании целевых горизонтов, количественном сейсмостратиграфическом анализе целевых интервалов и глубокой детализации строения последних с целью обнаружения и прослеживания тонкослоистых объектов.

Структурная интерпретация целевых горизонтов имеет своей целью окончательное уточнение корреляции всех горизонтов и обеспечение необходимой точности глубинных построений. Данный подэтап завершается процессом картирования целевых горизонтов и построением различного рода карт и схем (карты изохрон, структурные карты и схемы и т.п.).

Интервальный сейсмогеологический анализ предназначен для количественно - информационного обеспечения сейсмостратиграфических построений. При этом изучаются особенности волнового поля внутри каждого комплекса (протяженность осей симфазности, их наклоны, кривизны, плотности в пространстве и времени и т.п.). Эти данные совместно с другими (времена регистрации, пластовые скорости, амплитудно - частотная характеристика и др.) способны составить количественную основу сейсмостратиграфической классификации комплексов, истории осадконакопления и, в конечном счете, позволить осуществить локализацию нефтегазоперспективных комплексов в сейсмогеологическом пространстве.

Целью заключительного подэтапа интерпретации сейсмогеологических комплексов в рамках тонкослоистой модели среды является обнаружение тонких, порядка длины волны, слоев с аномальными свойствами, обусловленными вероятным наличием залежей углеводородов. Решение такой задачи невозможно без привлечения дополнительной информации по скважинам (АК, ГИС, ВСП).

Интерпретационная обработка сейсмического материала, как правило, выполняется в интерпретационных комплексах типа "Kingdom", GeoFrame, Landmark. В проект загружается КСД и, в обязательном порядке, данные по всем скважинам (инклинометрия, кривые ГИС, геологические разбивки), пересчитанные во временной масштаб.

Результатом интерпретации являются: структурные карты, карты изохрон, карты динамических параметров по отражающим поверхностям, сейсмогеологические разрезы.

4. Специальное задание

.1 AVO-анализ

Подход, основанный на количественном изучении амплитуд отражений не по разрезам, а по сейсмограммам получил название AVO (Amplitude Variation with Offset) - изучение изменений амплитуд с удалением, т.е. с расстоянием между источником и приемником. Этот подход применяют, в основном, для поисков и разведки газовых резервуаров в молодых терригенных породах, а также для обнаружения новых залежей на уже разрабатываемых месторождениях.

4.1.1 Теоретические аспекты AVO-анализа

Задачу изучения амплитуд отражений в зависимости от удаления можно свести к изучению этих амплитуд в зависимости от угла падения волны на границу. Как известно, при косом падении плоской Р-волны на поверхность раздела двух сред с параметрами скоростей продольных, поперечных волн (VS1, VS2) и плотностей (ρ1, ρ2) возникают отраженная и проходящая Р-волны, а также отраженная и проходящая S-волны. Последние две волны называют обменными. Углы падения, отражения и прохождения на границе для всех волн взаимосвязаны согласно закону Снеллиуса:

 (4.1)

Точное решение задачи определения коэффициентов отражения и прохождения дано Цёппритцем в 1919 г. Из уравнений Цёппритца следует, что при нормальном падении Р-волны на границу обменных волн не возникает, а коэффициент отражения определяется выражением:

, (4.2)

где, IP2= V2ρ2 и IP1= V1ρ1 - акустические жесткости (импедансы) сред 2 и 1,

ΔIP= IP2 - IP1,P=(IP2 + IP1)/2.

Рисунок 4.1 - При косом падении плоской Р-волны на границу двух упругих сред возникают четыре волны

Поведение коэффициентов отражения Р-волн даже в области небольших углов (до 30°) существенно зависит от соотношения скоростей VP/VS (или коэффициентов Пуассона) покрывающей и подстилающей толщ. Если значения VP/VS для обеих сред близки, то коэффициенты отражения в этом диапазоне углов также близки к коэффициентам отражения для нормального падения. Если VP/VS для контактирующих сред различны, то поведение коэффициента отражения может сильно отклоняться от случая для нормального падения.

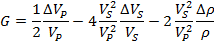
Уравнения Цёппритца слишком сложны и не линейны относительно входящих в них параметров - скоростей и плотностей. Аки и Ричардс в 1980 г. предложили полезное приближение для коэффициента отражения плоской волны на границе между двумя полупространствами, где скачки упругих параметров малы. Рассмотрим формулу, касающуюся коэффициента отражения RPP(i) для продольной волны:

, (4.3)

ΔVP=VP2-VP1, ΔVS=VS2-VS1, Δρ=ρ21, VP=(VP2+VP1)/2, VS=(VS2+VS1)/2, ρ=(ρ21)/2, i=(i2+i1)/2.

Эта формула выведена в предположении малости величин ΔVP, ΔVS, Δρ.

Шуэ в 1985 г. произвел перестановку членов в уравнении Аки-Ричардса и получил классическую трехчленную AVO-аппроксимацию коэффициента отражения:

 (4.4)

Преимущество этой формулы в том, что, в отличие от (4.3), каждый член уравнения отражает роль определенного диапазона углов падения. Первый член (R0) приблизительно равен коэффициенту отражения продольной волны (4.2) для нормального падения, т.е. коэффициент отражения Р-волны при нормальном падении:

 (4.5)

Второй коэффициент при sin2i (G) характеризует RPP(i) при промежуточных углах падения (0°<i<30°), т.е. градиент, характеризующий коэффициент отражения при наклонном падении, в диапазоне углов 0 - 30о. Только в G содержатся данные о скоростях, как поперечных волн, так и продольных и этот множитель с использованием известного соотношения между VS/VP и коэффициентом Пуассона σ:

 (4.6)

может быть выражен через коэффициент Пуассона:

, (4.7)

,

Третий коэффициент при sin4i/(1-sin2i) (С) превалирует при углах близких к критическим, т.е. кривизна - коэффициент, который приобретает существенное значение при углах падения, превышающих 30o.

На основе этого анализа уравнение (4.4) может быть записано в виде:

RPP(i) = R0 + G sin2i (4.8)

Уравнение (4.8) - это уравнение двучленной аппроксимации Шуэ и на нем основано большее число практических применений AVO.

Кроме основного уравнения (4.8) при AVO анализе используют другие выражения, полученные из формул (4.3) и (4.4). Виггинс в 1983 г., предполагая, что углы падения малы и можно допустить, что sec²i≈1+sin²i, учитывая выражение (4.5), обозначая , и допуская, что VS/VP=0,5 (или σ≈0,33), он окончательно получил:

, (4.9)

где, RP и RS - коэффициенты отражения Р- и S-волн при нормальном падении их на границу.

Из сравнения выражений (3.8) и (3.9) видно, что В ≈ RP -2RS , откуда

 (4.10)

Верм и Хилтерман получили другое выражение для RPP(i) путем замены коэффициента Пуассона σ в первых двух членах формулы (4.7) соотношением VS/VP=0,5 и последующей подстановкой значения В в выражение (4.8):

, (4.11)

где, величина PR=Δσ/(1-σ)2≈Δσ/0,449≈2,25Δσ (для σ=0,33) названа Пуассоновской отражающей способностью, причем

, (4.12)

4.1.2 AVO-классификация газовых песков

AVO анализ предназначается, прежде всего, для определения амплитудных аномалий, связанных с газовыми залежами в терригенных разрезах.

Весь диапазон AVO характеристик для песчанистых коллекторов получен путем расчета коэффициентов отражения Р волн по Цёппритцу для простейшей модели, состоящей из покрытого глинистым сланцем газонасыщенного песка.

В 1989 г. Резерфорд и Уильямс представили качественную классификацию газовых песков по виду их AVO-характеристик: класс 1 - высокоимпедансные пески, класс 2 - пески с импедансами близкими к глинистым сланцам и класс 3 - низкоимпедансные пески. Резких границ между этими классами AVO характеристик не существует. Позже Ross и Kinman (1995) предложили подразделить пески 2 класса на два подкласса: класс 2 - маленький отрицательный коэффициент отражения, класс 2р - маленький положительный коэффициент отражения, переходящий в отрицательный с ростом угла. Классификация представлена на рисунке 3.1.

Кастанья (1995) предположил, 4-ый класс газовых песков, который проявляется, если пористый песок перекрывается высокоскоростной толщей, представленной очень плотными породами. Эти пески дают больший отрицательный коэффициент отражения для нормального падения, чем класс 3, однако с увеличением угла падения их градиент положителен, т.е. противоположен градиентам песков классов 1, 2 и 3.

Рисунок 4.1 - Характеристики AVO для покрытых сланцами газовых песков классов 1 - 3 (сплошные линии) по данным Резерфорда и Уильямса и газового песка класса 4 (пунктирная линия) по данным Кастаньи

4.1.3 AVO кроссплоттинг

Кроссплоттинг - графическое представление взаимосвязи между двумя величинами - широко используется в AVO-анализе. Этот вид визуализации результатов позволяет во многих случаях наглядно обнаружить AVO-аномалии. Первоначально использовались кроссплоты интерсепт/градиент. Позже на кроссплоты стали выносить и другие AVO-атрибуты.

Анализ соотношений интерсепт/градиент (R0/G) выполняется на основе двучленной аппроксимации Шуэ.

В реальности мы имеем дело с удалениями источник-приемник, а не с углами. Поэтому мы осуществляем переход от удалений к углам падения и получаем линейную зависимость для значений амплитуд.

Чтобы рассматривать изменение амплитуд как функцию угла падения, сейсмограмму ОГТ следует, зная скорости, преобразовать в сейсмограмму AVA (Amplitude Variation with Angle) - изменения амплитуд в зависимости от угла падения. Для пересчета удалений в углы падения можно воспользоваться выражением А.Н. Лёвина (4.13) или формулой для горизонтально слоистой среды (4.14):

 (4.13)

 (4.14)

где: X - удаление,0 - двойное время пробега,эф - эффективная скорость,инт - интервальная скорость.

Используя уравнение Аки-Ричардса, уравнение Гарднера и уравнение Кастаньи, можно получить простые соотношения между R0 и G для водонасыщенных (фоновых) пород.

Уравнение Гарднера:

Пусть отношение скоростей - константа: , тогда уравнение Кастатьи примет вид:  (рисунок 4.2).

Объединяя все выражения, получим:

Рисунок 4.2 - Фоновые зависимости G/R0 при Vp/Vs - const

При изменении величины с прямые линии фонового тренда на кроссплоте Градиент/Интерсепт изменяют наклон (рисунок 4.3).

Рисунок 4.3 - Кроссплоты G/R0 для различных Vp и Vp/Vs

Основная сложность интерпретации построенных только по сейсмическим данным зависимостей обусловлена наличием шума на сейсмограммах, который приводит к уменьшению точности определения R0 и G. Поэтому возникают затруднения, как в определении фоновой линии, так и эффектов, связанных с УВ.

Если нанести на такой график значения R0 и G с нескольких реальных сейсмограмм, то распределение множества точек, соответствующих различным классам газовых песков (рисунок 4.4), будет овальным - образуются так называемые шумовые эллипсы.

Рисунок 4.4 - Зависимость G(R0). Показаны эллиптические зоны разброса точек, соответствующих фоновому тренду и отражениям от кровли и подошвы газового песка

Считается, что по таким зависимостям можно распознать AVO аномалии, обусловленные газом, когда изменение положения точек на графиках велико, а аномалии, связанные с нефтью обычно скрыты из-за шумов.

4.1.4 Упругая инверсия в AVO анализе

Под упругой инверсией понимают нахождение по распределению амплитуд на сейсмограммах упругих параметров среды VP, VS и ρ.

Упругая инверсия может осуществляться двумя способами:

. Прямыми способами инверсии, основанными на операторе, используя который параметры слоев последовательно перевычисляются от слоя к слою. Пример: псевдоакустический каротаж (ПАК);

. Способами, основанными на модели. Они заключается в том, что, располагая современными вычислительными средствами, можно синтезировать большое количество сейсмических моделей для различных комбинаций упругих параметров и выбрать из моделей ту, которая наилучшим образом совпадает с реальными данными. Упругие параметры, заложенные в эту модель, и будут результатом инверсии. Следовательно, цель упругой инверсии - получить адекватную реальной модель среды при минимуме итераций.

Само решение задачи упругой инверсии может быть основано на нелинейных и линеаризированных уравнениях Цёппритца, причем второй вариант применяется чаще, т.к. он дает возможность использовать простую математику и получить более устойчивые результаты.

Если знать зависимость между скоростями VP и VS, определяемую, например, "аргиллито-глинистой линией" Кастаньи VP = qVS, где q - её наклон, то можно получить разрез параметра ΔF, называемого флюид-фактором.

Смит и Гидлоу (1987) определили "флюид-фактор" как величину отклонения скачка скорости продольных волн от предсказанного для водонасыщенных пород:


Если ∆F близок к 0, то породы - водонасыщенные. На кровле газонасыщенного коллектора флюид-фактор должен иметь отрицательные значения, на подошве - положительные (рисунок 4.5).

Рисунок 4.5 - Сравнение реальных разрезов: обычного (а) и флюид-фактора (б).

На разрезе флюид-фактора наблюдаются аномалии, связанные с газовыми песчаниками

Упругий импеданс является основой инверсии и калибровки сейсмических данных для ненулевых удалений. Кривые упругого импеданса можно получить для любого угла падения по данным полноволнового каротажа и зная плотности слоев. Эти данные служат как для ограничения результатов инверсии угловых разрезов, так и для привязки результатов сейсмической инверсии к скважинам данным. Важнейшим преимуществом способов получения упругого импеданса из угловых разрезов по сравнению с инверсией через параметры AVO является то, что в процессе инверсии можно учитывать изменение формы импульса с удалением, что характерно для всех реальных сейсмических данных.

Одно из выражений для упругого импеданса EI(i):

,

где, p=sini/VP=sinφ/VS - лучевой параметр, некоторый масштабный множитель ρ0 задают постоянным для площади работ. Функция Ф, точная формула, является безразмерной и приводится к единице при VS=0, что делает размерность упругого импеданса одинаковой с акустическим.

EI(0o) =AI, где AI - акустический импеданс.

Пример сопоставления разрезов AI и EI показан на рисунке 4.6.

Рисунок 4.6 - Разрезы акустического и упругого импедансов

Критическим для AVO анализа является вопрос, какие из параметров наиболее чувствительны к изменениям типа флюида. Применяемые в AVO анализе параметры можно разделить на три группы:

. Параметры AVO - пересечение R0, градиент G и С - кривизну, коэффициенты отражения для нормального падения RP и RS, Пуассоновская отражающая способность PR, флюид-фактор ΔF;

. Петрофизические параметры - VP, VS, VP/VS, коэффициент Пуассона σ, плотность ρ, а также импедансы IP и IS;

. Фундаментальные упругие параметры - коэффициент всестороннего сжатия k и константы Ламэ - λ и μ (модуль сдвига).

Относительные скачки скоростей распространения продольных и поперечных волн можно легко связать с относительными скачками акустических импедансов:

.

Коэффициенты отражения продольных и поперечных волн при нормальном падении можно выразить через акустические импедансы:


Если предположить, что плотность подчиняется уравнению Гарднера, то Rp - просто относительный скачок скорости Р-волны, умноженный на константу, Rs - линейная комбинация относительных скачков Vp и Vs.

Используя полученные значения Rp и Rs ( Ip и Is) Гудвэй предложил

рассчитывать два новых АVO-атрибута: λρ и μρ.

,

где k - модуль сжатия, µ - модуль сдвига.

Поскольку:


Отсюда:


Хилтерман в 2001 году установил, что .

Параметры, которые можно количественно определить по результатам AVO-анализа

Используя R0,G,C, можно получить:

.

4.1.5 AVO-анализ в анизотропной среде

Наличие анизотропии усложняет задачу AVO-анализа по трем направлениям:

. Влияние анизотропии на динамику отраженной волны;

. Влияние анизотропии на кинематику отраженной волны;

. Влияние анизотропии на характеристики источника.

Параметры анизотропии по Томсену:

.

Коэффициент отражения плоской волны на границе анизотропных (VTI) полупространств:

;

Пример влияния полярной анизотропии на AVO-зависимости представлен на рисунке 4.7.

Рисунок 4.7 - Модель - песчаный пласт коллектор 1,2,3 класса, перекрытый анизотропными (VTI) глинами

Коэффициент отражения плоской волны на границе анизотропного (HTI) полупространства:


Пример зависимости коэффициента отражения Р-волны от азимута показан на рисунке 4.8.

Влияние анизотропии на характеристику направленности сферического источника:


Речь идет о анизотропных свойствах среды вблизи источника, а не на границе.

Рисунок 4.8 - Модель - изотропный слой на азимутально-анизотропном полупространстве. Сплошные линии - точное решение, точки - аппроксимация

4.1.6 Примеры практического применения AVO-анализа

Сеноманский газоносный комплекс

Залежь приурочена к пласту ПК1 покурской свиты с глубиной залегания около 1000 м, при степени заполнения ловушки 100%. Пористость коллектора достигает 41%, проницаемость до 430 мД. Установленная высота залежи составляет порядка 90 м.

В газоносыщеном коллекторе, представленном низкоимпедансными слабоуплотненными песчаниками, значение атрибута FF (флюид-фактора) уменьшаются относительно фоновой линии. В этом случае значения акустического импеданса и коэффициента Пуассона насыщенного газом песчаного пласта значительно ниже, чем у вмещающих глин. Критерием для выделения AVO-аномалий, формирующихся от газонасыщенных отложений пласта ПК1, послужили значения, снятые по разрезам AVO-атрибута FF вдоль отражающего горизонта Г (кровля покурской свиты) (рисунок 4.9.А, Б). Среднее значение фоновой линии соответствует 45000 у. е. атрибута FF АVО-анализа. Выполненный анализ позволил наметить наиболее перспективные участки, характеризующиеся значениями нижефоновой линии, для постановки эксплуатационного бурения (рисунок 4.9.В).

А - фрагмент разреза AVO атрибута FF; Б - график погоризонтного анализа AVO атрибута FF; В - карта AVO атрибута FF. Условные обозначения: 1 - сейсмические профили; 2 - контур газоводяного контакта; 3 - скважины

Рисунок 4.9 - Отображение атрибута флюид-фактор AVO-анализа газовой залежи пласта ПК1.

Нижнемеловой нефтегазоносный комплекс

Пласт ВК1

Залежь нефти приурочена к пласту ВК1 викуловской свиты с глубиной залегания около 1450 метров. Пористость коллектора составляет около 25% при проницаемости 90-202 мД. Высота залежи около 40 метров.

В связи с тем, что аномальные значения отвечают свойствам водонасыщенного разреза, интерпретация измеренных значений AVO-атрибутов строится путем их сопоставления с значениями, соответствующими нефтенасыщенному типу разреза. Полученные разрезы атрибутов свидетельствует о том, что область залежи пласта ВК1 выделяется изменением коэффициента отражения R0 и градиента амплитуд G (рисунок 4.10.Б). Сопоставление зон ВНК, выделяемых по данным АVO-анализа и линией ВНК, принятой по результатам бурения, интерпретации материалов ГИС и структурных планов, имеют как совпадения, так и некоторые различия (рисунок 4.10.В). В результате анализа разрезов АVО, наиболее оптимальными были приняты параметры атрибутов R0 (коэффициент отражения) и G (градиент коэффициента отражения), рассчитанных вдоль отражающего горизонта М1, соответствующего кровле пласта ВК1.

А - карты AVO атрибутов R0 G; Б - фрагменты разрезов AVO атрибутов R0 G; В - графики погоризонтного анализа AVO атрибутов R0 G.

Условные обозначения: 1 - сейсмические профили; 2 - контур водонефтяного контакта; 3 - скважины: 1 - продуктивные, 2 - непродуктивные

Рисунок 4.10 - Отображение атрибутов AVO-анализа по кровле залежи пласта ВК1

Данные результаты позволили выделить зоны неоднозначного положения ВНК. Следует отметить, что появление подобных аномалий, возможно, объясняется улучшенными коллекторскими свойствами водонасыщенного песчаника. Возникновение подобных зон обусловлено увеличением коэффициента отражения.

Пласт БП10

Газоконденсатная залежь приурочена к пласту БП10 сортымской свиты с глубиной залегания около 2500 метров. Пористость коллектора составляет 17-20%.Высота залежи порядка 15 метров.

В ходе исследований проводились расчеты в различных окнах выше и ниже отражающего горизонта НБП10 (соответствующего кровле пласта БП10). В результате анализа полученных карт, наиболее оптимальными были приняты к интерпретации параметры атрибутов АVО, рассчитанных вдоль горизонта НБП10. По кросс-плоту атрибутов R0 и G, рассчитанных по этому горизонту, выделены зоны углеводородонасыщения, водонасыщения, и неоднозначного насыщения (рисунок 4.11.А).

Область залежи пласта БП10 наиболее ярко характеризуется изменением коэффициента отражения R0, представленном на рисунке 4.11.Б.

А - кросс-плот значений AVO атрибутов R0 и G в пределах и за пределами залежей УВ; Б - карта AVO атрибута R0

Условные обозначения: 1 - сейсмические профили; 2 - линия ГВК; 3 - скважины: 1 - продуктивные, 2 - непродуктивные; 4 - зона воды; 5 - зона УВ; 6 - зона неоднозначности

Рисунок 4.11 - Отображение атрибутов AVO-анализа по кровле пласта БП10

Верхнеюрский нефтегазоносный комплекс

Залежь нефти приурочена к пласту Ю1 васюганской свиты с глубиной залегания порядка 2900 метров. Пористость коллектора составляет 18%. Высота залежи около 20 метров.

Критерием для выделения AVO-аномалий этого стратиграфического уровня послужили значения AVO-атрибута R0, снятые вдоль горизонта Б330 (кровля васюганской свиты) и их графики (рисунок 4.12), формирующихся от углеводородосодержащих отложений пласта Ю1. При анализе указанного AVO-атрибута в интервале исследуемого пласта выявлена связь между аномальными значениями R0 и насыщением коллекторов. Нефтенасыщенные песчаники пласта Ю1 характеризуются наличием на графиках погоризонтного анализа повышенными значениями, а водонасыщенные - пониженными.

А - фрагменты разрезов AVO атрибута R0; Б - графики погоризонтного анализа AVO атрибута R0.

Рисунок 4.12 - Отображение атрибутов AVO-анализа по кровле пласта Ю1

В результате применения AVO-анализа для различных стратиграфических уровней разреза осадочного чехла сложилась следующая схема его выполнения:

·    стратиграфическая привязка основных горизонтов разреза с использованием данных СК и ГИС и определяются временные интервалы для проведения AVO-анализа;

·              по данным ВСП, акустического и плотностного каротажа осуществляются сейсмомоделирование и точная привязка отражающих границ волнового поля;

·              выполняется погоризонтный AVO-анализ по фазам разреза, установленным в результате сейсмомоделирования и устанавливается предварительная приуроченность выделенных аномалий к целевым объектам;

·              по кросс-плотам атрибутов, установленным по целевым пластам, осуществляется прогноз УВ-насыщения;

·              результаты анализа AVO-атрибутов сопоставляются с картами прогноза нефтегазоносности, выполненные по данным кинематической и динамической интерпретации, уточняется строение и размеры залежи.

Продемонстрированные примеры показывают, что в настоящее время AVO-анализ является, главным образом, качественным методом, позволяющим выявить зоны, характеризующиеся аномальными значениями по отношению к фоновым и дополнить прогноз нефтегазоносности, выполненный по данным общепринятой интерпретации.

AVO анализ широко применяется в мировой практике в процессе обнаружения, разведки и разработки, в основном, газовых месторождений, а иногда, и нефтяных. Благоприятными условиями для применения этой методики являются разрезы, сложенные относительно молодыми, слабо консолидированными терригенными породами мезозойского и кайнозойского возраста. В нашей стране исследования AVO используются еще мало. Одной из причин этого, является то, что на территории России много газо-нефтеносных регионов (Русская платформа, Центральная и Восточная Сибирь), сложенных древними палеозойскими терригенными и карбонатными породами, где исследования AVO пока недостаточно эффективны.

Заключение

В бакалаврской работе рассмотрена обоснование сейсморазведочных работ МОГТ-3D на Восточно-Мичаюской площади. В работе приводятся сведения о литологии, тектонике и нефтегазоносности района. В процессе работы над проектом были собраны, проанализированы и систематизированы данные о сейсморазведочных исследованиях.

В работе выполнен анализ ранее проведенных сейсморазведочных работ, на основании чего сделан вывод о нефтеперспективности данной площади.

В специальном задании рассмотрен такой вопрос, как AVO-анализ.

В работе, в качестве примера, приведен расчет системы наблюдения типа "крест" для проведения работ МОГТ-3D.

В бакалаврской работе рассмотрены возможности интерпретационной обработки полученного полевого материала.

Список используемых источников

1.      Бондарев, В.В. Сейсморазведка МОГТ: курс лекций для бакалавров Екатеренбург: Издательство УГГГА: 1996г, 240 стр.

.        Воскресенский Ю.Н. Изучение изменений амплитуд сейсмических отражений для поисков и разведки залежей углеводородов. Учебное пособие для вузов. - М.: РГУ нефти и газа, 2001, 68 с.

.        Нефтегазоносность и геолого-геофизическая изученность Тимано-Печорской провинции: история, современность, перспективы: монография. - Ухта: УГТУ, 1999. - 1062 с.

.        Отчет по учебной практике [Текст]; Матюшева Е.В., Мингалеева И.Х. - Ухта

.        Промысловая геофизика [Текст]: учебник для вузов / В.М. Добрынин, Б.Ю. Вендельштейн, Р.А. Резванов, А.Н. Африкян: Под общ.ред. В.М Добрынина - М.: Недра, 1986.-342 с.

.        Хмелевской В. К., Горбачев Ю. И., Калинин А. В., Попов М. Г., Селиверстов Н. И., В. А., Шевнин В. А. Петропавловск-Камчатский, изд-во КГПУ, 2004, 232 с. Под редакцией доктора геол. - мин. наук Н. И. Селиверстова.

.        Шалаева Н.В. AVO-анализ. Физические основы, возможности и ограничения: учеб. пособие / Н.В. Шалаева. - :Геленджик, 2004 - 51 с.: ил

.        Шмарева, М.Б. Выпускная квалификационная работа специалиста: методические указания / М.Б. Шмарева, Л.П. Шилов, И.И. Енцов.-Ухта: УГТУ, 2002. - 26 с.

.        http://www.sibngf.ru/technology/publications/130 (дата обращения: 27.05.2014).

Похожие работы на - Сейсморазведочные работы МОГТ-3D на Восточно-Мичаюской площади

 

Не нашли материал для своей работы?
Поможем написать уникальную работу
Без плагиата!
Без нейросетей!