|
L, м
|
4
|
8
|
10
|
12
|
14
|
16
|
|
|
2,15
|
2,86
|
3,69
|
4,13
|
4,52
|
Температура воздуха в помещениях первого этажа 
Сопротивление теплопередаче наружных стен техподполья над уровнем
земли принимают согласно СНиП23-02
<#"800227.files/image037.gif">
Согласно СНиП 23-02 нормируемое сопротивление теплопередаче
перекрытия над техподпольем жилого здания
для
равно
Определим значение требуемого сопротивления теплопередаче
цокольного перекрытия над техподпольем
по формуле

,
где 
- коэффициент, определяемый при принятой минимальной температуре
воздуха в подполье 
.
Тогда
Сопротивление теплопередаче наружных стен техподполья над уровнем
земли принимают равным сопротивлению теплопередаче наружных стен 
Определим температуру воздуха в техподполье
поформуле:
Предварительно определим значение членов формулы касающихся
тепловыделений от труб систем отопления и горячего водоснабжения, используя
данные таблицы 12 (согласно СП 23-01-2004).
При температуре воздуха в техподполье 2°С плотность теплового
потока от трубопроводов возрастет по сравнению с значениями, приведенными в
таблице 12, на величину коэффициента: для трубопроводов системы отопления - на
коэффициент 
; для трубопроводов горячего водоснабжения - 
.
Рассчитаем значение температуры из уравнения теплового баланса при
назначенной температуре подполья 2°С.
Тепловой поток через цокольное перекрытие составил:

плотность воздуха в техподполье, кг/м3, принимаемая
равной 1,2.
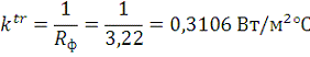
Рассчитаем значение температуры
из уравнения теплового баланса при назначенной температуре
подполья 2°С

=18,26/152,709=0,12
Тепловой поток через цокольное перекрытие составил
Проверим, удовлетворяет ли теплозащита перекрытия над техподпольем
требованию нормативного перепада
для пола первого этажа.
По формуле (3) СНиП 23-02 определим минимально допустимое
сопротивление теплопередаче
Требуемое сопротивление теплопередаче цокольного перекрытия над
техподпольем составляет 
. При нормируемом согласно СНиП 23-02 сопротивлении теплопередаче
перекрытий над подвалами 
. Таким образом, в техподполье эквивалентная нормам СНиП 23-02
тепловая защита обеспечивается не только ограждениями (стенами и полом)
техподполья, но и за счет теплоты от трубопроводов систем отопления и горячего
водоснабжения.
3. Расчет уровня тепловой защиты здания по нормируемому
удельному расходу тепловой энергии на отопление здания.
Расчет площадей и объемов объемно-планировочного решения
здания выполняют в соответствии с пунктом 5.4 СП 23-101-2004 по рабочим
чертежам архитектурно-строительной части проекта. В результате получены
следующие основные объемы и площади:
отапливаемый объем
;
отапливаемая площадь (для жилых зданий - общая площадь квартир); 
;
площадь жилых помещений
;
общая площадь наружных ограждающих конструкций здания

, в том числе:
Стен
;
окон и балконных дверей
;
совмещенного покрытия
;
перекрытий под эркерами
;
полов по грунту
.
Рассчитывают отношение площади окон и балконных дверей к площади
стен, включая окна и балконные двери
, что ниже требуемого отношения, которое согласно СНиП 23-02
должно быть не более 0,18.
Рассчитывают показатель компактности здания
, что согласно СНиП 23-02-2003 для двух - и одноэтажных домов
составляет 0,9, следовательно, удовлетворяет требованиям норм.
Нормируемые теплозащитные характеристики наружных ограждений
предварительно определяются согласно разделу 5 СНиП 23-02 в зависимости от
градусо-суток района строительства. Для Пскова (
) нормируемое сопротивление теплопередаче наружных стен
; окон и балконных дверей 
; совмещенного покрытия
=4,6; перекрытий под эркерами 
; полов по грунту (в отапливаемом подвале) 
Требуемый воздухообмен определяется для жилых зданий исходя из
нормы, установленной согласно СНиП 23-02, 3 м
/ч удаляемого воздуха на 1 м
жилых помещений.
Нормируемое значение удельного расхода тепловой энергии на
отопление здания определяют по таблице 9 СНиП 23-02. Для 2-этажных жилых домов
эта величина равна
Выполняют расчет удельной потребности в тепловой энергии на
отопление здания
, кДж/ (м
°С·сут), согласно приложению Г СНиП 23-02
и методике приложения И.2
где 
- расход тепловой энергии на отопление здания в течение
отопительного периода, МДж;
где 
- общие теплопотери здания через наружные ограждающие
конструкции, МДж,

- бытовые теплопоступления в течение отопительного периода, МДж,

- теплопоступления через окна и фонари от солнечной радиации в
течение отопительного периода, МДж;

- коэффициент снижения теплопоступлений за счет тепловой инерции
ограждающих конструкций; рекомендуемое значение 
;

- коэффициент эффективности авторегулирования подачи теплоты в
системах отопления

=0,85 - в однотрубной системе отопления с термостатами и без
авторегулирования на вводе;

- коэффициент, учитывающий дополнительное теплопотребление
системы отопления, связанное с дискретностью номинального теплового потока
номенклатурного ряда отопительных приборов, их дополнительными теплопотерями
через зарадиаторные участки ограждений, повышенной температурой воздуха в
угловых помещениях, теплопотерями трубопроводов, проходящих через
неотапливаемые помещения. Для зданий с отапливаемыми подвалами 
=1,07.

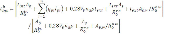
, МДж
Где 
- общий коэффициент теплопередачи здания, Bт/ (м
·°C), определяемый по формуле:

,

- приведенный коэффициент теплопередачи через наружные
ограждающие конструкции здания, Bт/ (м
·°C), определяемый по формуле:

,

- условный коэффициент теплопередачи здания, учитывающий
теплопотери за счет инфильтрации и вентиляции, Вт/ (м·°С), определяемый по
формуле:

,
где 
- удельная теплоемкость воздуха, равная 1 кДж/ (кг·°С);

- коэффициент снижения объема воздуха в здании, учитывающий
наличие внутренних ограждающих конструкций. При отсутствии данных принимать 
=0,85;

- средняя плотность приточного воздуха за отопительный период,
кг/м3

- средняя кратность воздухообмена здания за отопительный период,
ч-1
где

- количество приточного воздуха в здание при неорганизованном
притоке либо нормируемое значение при механической вентиляции, м3/ч,
равное для жилых зданий, предназначенных гражданам с учетом социальной нормы (с
расчетной заселенностью квартиры 20 м2 общей площади и менее на
человека) - 
.

- для жилых зданий - площадь жилых помещений, 

- число часов работы механической вентиляции в течение неделив
данном случае механической вентиляции нет;
- число часов в неделе;
k - коэффициент учета влияния встречного теплового потока в
светопрозрачных конструкциях, равный для окон и балконных дверей с тройными
раздельными переплетами - 0,7;

- число часов учета инфильтрации в течение недели, ч, равное 168
для зданий со сбалансированной приточно-вытяжной вентиляцией;

- количество инфильтрующегося воздуха в здание через ограждающие
конструкции, кг/ч: для жилых зданий - воздуха, поступающего в лестничные клетки
в течение суток отопительного периода
где 
и 
- соответственно для лестничной клетки суммарная площадь окон и
балконных дверей и входных наружных дверей, м
;

и
- соответственно для лестничной клетки требуемое сопротивление
воздухопроницанию окон и балконных дверей и входных наружных дверей;

и 
- соответственно для лестничной клетки расчетная разность
давлений наружного и внутреннего воздуха для окон и балконных дверей и входных
наружных дверей, определяют по формуле 13 (СНиП 23-02-2003). Для окон и
балконных дверей с заменой в ней величины 0,55 на 0,28 и с вычислением
удельного веса по формуле 14 (СНиП 23-02-2003) при соответствующей температуре
воздуха, Па.

,
где H - высота здания (от уровня пола первого
этажа до верха вытяжной шахты),H=8,3м;

- удельный вес соответственно наружного и внутреннего воздуха,
Н/м3, определяемый по формуле
t - температура воздуха: внутреннего для определения 
, наружного для определения 
- максимальная из средних скоростей ветра по румбам за январь 4,8
м/с

Па

кг/ч

0,389+0,026=0,415 Вт/ (м·°С)

МДж
где
- величина бытовых тепловыделений на 1 м2 площади
жилых помещений или расчетной площади общественного здания, Вт/м2,
принимаемая для: жилых зданий, предназначенных гражданам с учетом социальной
нормы (с расчетной заселенностью квартиры 20 м
общей площади и менее на человека) 
=17 Вт/м2;
Где
- коэффициенты, учитывающие затенение светового проема
соответственно окон и зенитных фонарей непрозрачными элементами заполнения,
принимаемые по проектным данным; при отсутствии данных следует принимать по
своду правил;

- коэффициенты относительного проникания солнечной радиации для
светопропускающих заполнений соответственно окон и зенитных фонарей,
принимаемые по паспортным данным соответствующих светопропускающих изделий; при
отсутствии данных следует принимать по своду правил; мансардные окна с углом наклона
заполнений к горизонту 45° и более следует считать как вертикальные окна, с
углом наклона менее 45° - как зенитные фонари;

, - площадь светопроемов фасадов здания, соответственно
ориентированных по четырем направлениям, м2;

- площадь светопроемов зенитных фонарей здания, зенитных фонарей
в нашем здании нет следовательно
м2;

- средняя за отопительный период величина солнечной радиации на
вертикальные поверхности при действительных условиях облачности, соответственно
ориентированная по четырем фасадам здания, МДж/м2, определяется по
методике свода правил;
Примечание - Для промежуточных направлений величину солнечной
радиации следует определять по интерполяции;

- средняя за отопительный период величина солнечной радиации на
горизонтальную поверхность при действительных условиях облачности, МДж/м
, определяется по своду правил.

МДж

МДж

*

7.
Определение нагрузки на систему отопления
Определение теплопотерь через ограждающие конструкции
помещения.
Расчет производится в табличной форме. Расчет теплопотерь через
ограждающие конструкции производится для помещений, расположенных на 1 и 2
этажах. Теплопотери через ограждающие конструкции помещений
, складываются из потерь через отдельные ограждения или их части
площадью F, м2.

огр=
), где
k - коэффициенттеплопередачи ограждения, Вт/ (м2*0С);

- температура внутреннего воздуха, 0С;

температура наружного воздуха, 0С;
n - коэффициент, принимаемый в зависимости от положения наружной
поверхности ограждающих конструкций по отношению к наружному воздуху;

- коэффициент, учитывающий добавочные теплопотери через
ограждения;
А - площадь наружных и внутренних ограждений, при расчете
теплопотерь следует определять с точностью до 0,1м2 с соблюдением
правил обмера по планам и разрезам здания.
Определение теплопотерь на нагревание наружного воздуха,
поступающего через окна, двери, стены и т.п. путем инфильтрации в помещения.
Расчет производится в табличной форме.

, Вт
Где, 
- поправочный коэффициент, учитывающий нагрев воздуха в
межстекольном пространстве:
,7 - для окон с тройным остеклением в раздельных переплетах;
,8 - при двойном остеклении в раздельных переплетах;
,9 - для двойного остекления со спаренными переплетами;
АF, A - расчётные площади соответственно окон (и балконной дверей) и
других наружных ограждений, м2;
GF,G -
количество воздуха, поступающего путём инфильтрации через 1 м2
площади соответственно окон (и балконных дверей) и других наружных ограждений,
кг/ (ч·м2);
Количество воздуха, поступающего за 1 час, вычисляют при известной
воздухопроницаемости наружных ограждений по формулам:
для заполнения световых проёмов

2/3

- сопротивление воздухопроницанию заполнения световых проёмов;

- разность
давлений между наружной и внутренней поверхностью ограждения, Па;

- нормируемый перепад давлений, принимается равным 10Па.
Разность давлений между наружной и внутренней поверхностью
ограждения определяется:
Н - высота здания от уровня земли до устья вытяжной шахты, м;

- удельный вес соответственно наружного и внутреннего воздуха,
Н/м3;
v - максимальная из средних скоростей ветра по румбам за январь,
м/с (СНиП 23-01-99*, Табл.1)
Для других наружных ограждающих конструкций стен, покрытий ворот,
дверей и открытых проёмов в здание:
Где, к - показатель степени. Для наружных стен, покрытий (к=1),
для ворот, дверей и открытых проёмов в здании (к =1/2);
Rinf - сопротивление воздухопроницанию
ограждающих конструкций, (м2чПа/кг).
Расчет теплопотерь на нагревание воздуха, поступающего
вследствие естественной вытяжки не компенсируемой притоком и бытовых
тепловыделений в помещениях.
В жилых помещениях и кухнях теплопотери на нагревание
инфильтрующегося воздуха, поступающего вследствие естественной вытяжки, не
компенсируемой подогретым приточным воздухом, определяют по формуле:

Вт
L - санитарная норма расхода воздуха отнесенная к 1м2
площади пола. Составляет 3м3/ (ч*м2);

- плотность внутреннего воздуха, кг/м3;
с - теплоемкость
воздуха, 1,005 кДж/ (кг*0С);

- температура внутреннего воздуха, 0С;

температура наружного воздуха, 0С;
Аl - площадь пола, м2.

Вт
Тепловой поток, поступающий в комнаты и кухни жилых помещениях от
бытовых источников определяется по формуле:

Аl, Вт

- удельные бытовые теплопоступления, Вт/м2. Для жилых
зданий с заселенностью квартир 20м2 общей площади и менее на 1
человека -

2
Определение мощностей отопительных установок. Сводная таблица
нагрузок.
Тепловую мощность отопительных приборов, размещенных в каждом
отапливаемом помещении, определяют с учетом общих потерь теплоты через
ограждающие конструкции, теплоты поступающей от бытовых источников и теплоты
расходуемой на инфильтрацию воздуха.
В общем случае нагрузка системы отопления определяется как
баланс между тепловыми потерями и тепловыми поступлениями:

, Вт

- мощность отопительной установки, Вт;

- теплопотери
помещения, Вт;

- тепловыделения внутри помещения, Вт.
Для жилых помещений и кухонь:

, Вт

- отопительная нагрузка системы отопления помещения здания, Вт

теплопотери через ограждающие конструкции помещения, Вт;

бытовые тепловыделения внутри помещения, Вт;

- теплопотери на нагревание инфильтрирующегося или
вентиляционного воздуха (берется большая из теплопотерь), Вт.
8.
Определение фактического удельного расхода тепловой энергии здания
Согласно СНиП 23-02-2003 пункт 5.12 таблица 8 нормируемый удельный
расход тепловой энергии на отопление 
жилых домов одноквартирных отдельно стоящих и блокированных, кДж/
(м2·°С·сут).
*5003,2=675432 кДж/м2
,75 ГДж/м2 = 1,613 Гкал/м2

что является меньше нормируемого удельного расхода тепловой
энергии на отопление здания.
9.
Определение класса проектируемого здания. Выводы
Класс энергетической эффективности здания определяется по
таблице 3 СНиП 23-02-2003 для новых и реконструированных зданий:
Величина отклонения расчетного (фактического) значения удельного
расхода тепловой энергии на отопление здания 
от нормативного, 22 %.
Исходя, из этого зданию присвоен высокий класс
энергоэффективности.
Список
литературы
1. ТСН
23-348-2003 Псковской области "Энергетическая эффективность жилых и
общественных зданий "
2. СНиП
23-02-2003"Тепловая защита зданий"
3. СП
23-101-2004 "Проектирование тепловой защиты зданий"
. СНиП
23-01-99 Строительная климатология
. Гост
30494-96 "Здания жилые и общественные. Параметры микроклимата в
помещениях"