Влияние психических репрезентаций Олимпиады 2014 на здоровый образ жизни людей зрелого возраста
Дипломная
работа
Тема
«Влияние психических репрезентаций Олимпиады 2014 на здоровый образ жизни людей
зрелого возраста»
г
СОДЕРЖАНИЕ
психологический здоровый гендерный
Введение
Глава
1. Теоретические основы исследования здорового образа жизни людей зрелого
возраста в современной психологии
1.1
Понятие здорового образа жизни
1.2
Факторы, оказывающие влияние на отношение к здоровью
1.2.1
Психологические факторы, влияющие на отношение к здоровью
1.2.2
Гендерные особенности отношения к здоровью
1.2.3
Влияние возраста на отношение к здоровью
Глава
2. Теоретические основы исследования психических репрезентаций Олимпиады 2014 и
их влияние на здоровой образ жизни людей зрелого возраста
2.1
Понятие психической репрезентации
2.2
Психические репрезентации Олимпиады 2014 как фактор, влияющий на здоровый образ
жизни людей зрелого возраста
Глава
3. Эмпирическое исследование психических репрезентаций Олимпиады 2014 и ее
влияния на здоровой образ жизни людей зрелого возраста
3.1
Организация и проведение исследования
3.2
Исследование здорового образа жизни
3.3
Исследование психических репрезентаций Олимпиады 2014
3.4
Выявление влияния психических репрезентаций Олимпиады на здоровый образ жизни
людей зрелого возраста
Заключение
Выводы
и рекомендации
Список
литературы
Приложения
Введение
Актуальность темы обусловлена тем, что здоровье
населения нашей страны характеризуется в настоящее время как критическое,
подтверждением тому являются статистические данные о превышении числа умерших
над числом родившихся в - 1,1 раза, в 23 субъектах Российской Федерации оно
составило 1,5-2,0 раза [47].
Ценность здоровья человека очевидна и не требует
специального научного обоснования, однако установки людей на сохранение
здоровья и ведение здорового образа жизни, не соответствует ни знаниям людей о
здоровье, ни о тяжести возникающих у них заболеваний [32, c.101]. По данным ВОЗ
состояние здоровья обусловливается на 20% наследственностью, 20% экологией и
питанием, 10% состоянием медицины и 50% индивидуальным образом жизни.
Общеизвестно, что приоритеты образа жизни в любом обществе формируются при
активном участии средств массовой информации. В решении этой задачи важную роль
призваны играть Зимние Олимпийские игры 2014 года. Так как в рамках проведения
Олимпиады планируется уделить серьезное внимание массовому развитию спорта и
физкультуры, включающее в себя распространение социальной рекламы, продвижение
ценностей физической культуры и здорового образа жизни, открытия спортивных
центров. В связи с этим, актуальной становится проблема изучения влияния
психических репрезентаций Олимпиады 2014 на здоровый образ жизни людей зрелого
возраста.
Оценивая состояние научной разработанности
проблемы, следует констатировать значительное количество исследований,
посвященных формированию здорового образа жизни (Айзман Р.И., Брехман И.И.,
Вайнер Э.П., Зайцев Г.К., Казин Э.М., Казначеев В.П., Колбанов В.В., Кураев
Г.А., Лисицын Ю.П. и др.). Однако, несмотря на большое количество исследований,
посвященных проблеме формирования здорового образа жизни в области педагогики,
психологии в доступных нам источниках мы не встретили работ, посвященных
выбранной нами теме.
Цель нашего исследования - изучить влияние
репрезентации Олимпиады на формирование здорового образа жизни людей зрелого
возраста.
Объект нашего исследования - здоровый образ
жизни.
Предмет нашего исследования - репрезентация
олимпиады как фактор, влияющий на здоровый образ жизни людей зрелого возраста.
Методологической основой нашего исследования
являются - научные идеи, теории и концепции в области: психологии развития и
акмеологии (Б.Г.Ананьев, А.А.Бодалев, Л.А.Головей, А.А.Деркач, Н.В.Кузьмина,
Е.Ф.Рыбалко и др.); психологии физической культуры и спорта (И.П.Волков,
Г.Д.Горбунов, Е.П.Ильин, А.Ц.Пуни, Н.Б.Стамбулова и др.); психологии здоровья и
валеологии (И.Н.Гурвич, В.В.Еремеева, Г.К.Зайцев, В.В.Колбанов, Г.С.Никифоров и
др.); социологии и психологии средств массовых коммуникаций (П.А.Виноградов,
Е.Л.Доценко, Г.Г.Почепиов, Е.В.Семенов, Ю.А.Шерковин и др.); социальной
психологии и психологии личности (В.А.Аверин, Г.М.Андреева, А.Г.Асмолов,
А.А.Бодалев, И.П.Волков, Е.С.Кузьмин, А.НЛеонтьев, В.Н.Мясищев, Б.Д.Парыгин,
А.В.Петровский, А.А.Реан, К.Роджерс, Г.Шибутани и др.)
Гипотеза: положительная репрезентация олимпиады
влияет на развитие здорового образа жизни людей зрелого возраста.
Задачи исследования:
проанализировать теоретико-методологические
подходы к изучению здорового образа жизни.
изучить специфику пропаганды здорового образа
жизни.
изучить психическую репрезентацию Олимпиады 2014
и их влияние на здоровый образ жизни людей зрелого возраста.
разработать практические рекомендации по
совершенствованию деятельности формирования здорового образа жизни, по
средствам пропаганды Олимпийских ценностей.
Методы и методики:
Метод семантического дифференциала Ч. Осгуда
Методика определения уровня здорового образа
жизни
Анкета «Представления о зимней Олимпиаде -
2014».
Анкета «Отношение людей зрелого возраста к
формированию здорового образа жизни»
Методы математической статистики (коэффициент
корреляции Пирсона, T-критерий Стьюдента)
Экспериментальная база: СЦВС.
Выборка: 56 человек (26 мужчин, 30 женщин в
возрасте от 45 до 70 лет)
Сроки исследования: 15 октября 2010 - 30 марта
2011 года.
Научная новизна: раскрыты особенности отношения
взрослых к физической культуре и спорту и влияния этого отношения на реальную
физкультурно-спортивную активность; выявлены различия в степени интереса у
разных групп взрослого населения к физкультурно-спортивным средствам массовой
информации;
Практическая значимость: квалификационной работы
заключается в том, что на основании данных, полученных в ходе исследования,
разработаны практические рекомендации, которые могут быть использованы
руководителями лечебно-профилактических учреждений для профилактики вредных
привычек и совершенствования работы по формированию здорового образа жизни
людей зрелого возраста.
Глава 1. Теоретические основы исследования
здорового образа жизни людей зрелого возраста в современной психологии
.1 Понятие здорового образа жизни
Здоровье человека более чем на 50%, согласно
разным источникам зависит от его образа жизни [52, c.3-14]. Д.У. Нистрян пишет:
“Как считают некоторые исследователи, здоровье человека на 60 % зависит от его
образа жизни, на 20 % - от окружающей среды и лишь на 8 % - от медицины” [41,
с. 40]. По данным ВОЗ, здоровье человека на 50-55 % определяется условиями и
образом жизни, на 25 % - экологическими условиями, на 15-20 % оно обусловлено
генетическими факторами и лишь на 10-15 % - деятельностью системы здравоохранения
[6, с. 35-37].
Существуют разные подходы к определению понятия
“образ жизни”. Так, ряд авторов полагают, что образ жизни - это биосоциальная
категория, определяющая тип жизнедеятельности в духовной и материальной сферах
жизни человека [49, c.6]. Согласно Ю.П. Лисицыну, “образ жизни - определенный,
исторически обусловленный тип, вид жизнедеятельности или определенный способ
деятельности в материальной и нематериальной (духовной) сферах
жизнедеятельности людей” [32, с. 6]. В данном случае образ жизни понимается как
категория, отражающая наиболее общие и типичные способы материальной и духовной
жизнедеятельности людей, взятых в единстве с природными и социальными
условиями.
Большинство западных исследователей определяют
образ жизни как “широкую категорию, включающую индивидуальные формы поведения,
активность и реализацию своих возможностей в труде, повседневной жизни и
культурных обычаях, свойственных тому или иному социально-экономическому
укладу” [48; с. 39].
А.М. Изуткин и Г.Ц. Царегородцев структуру образа
жизни представляют в виде следующих элементов:
) преобразовательная деятельность, направленная
на изменение природы, общества и самого человека;
) способы удовлетворения материальных и духовных
потребностей;
) формы участия людей в общественно политической
деятельности и в управлении государством;
) познавательная деятельность на уровне
теоретического, эмпирического и ценностно-ориентированного знания;
) коммуникативная деятельность, включающая
общение между людьми в обществе и его подсистемах (народ, класс, семья и др.);
) медико-педагогическая деятельность,
направленная на физическое и духовное развитие человека” [27, с. 20].
Ю.П. Лисицын, Н.В. Полунина, Е.Н. Савельева и
др. предлагают такие составные части (аспекты) образа жизни, как производственная,
общественно-политическая, внетрудовая, медицинская активность [32, c.140].
Другие авторы в понятие образ жизни включают трудовую деятельность человека,
социальную, психоинтеллектуальную, двигательную активность, общение и бытовые
взаимоотношения [52, c.3-14], привычки, режим, ритм, темп жизни, особенности
работы, отдыха и общения [44, c.362]. Ю.П. Лисицын, опираясь на классификации
образа жизни И.В. Бестужева-Лады и других отечественных социологов и философов,
выделяет в образе жизни четыре категории: “... экономическую - ”уровень жизни”,
социологическую - “качество жизни”, социально-психологическую - “стиль жизни” и
социально-экономическую - “уклад жизни” (32, с. 9). Уровень жизни или уровень
благосостояния характеризует размер, а также структуру материальных и духовных
потребностей, таким образом, количественную, поддающуюся измерению сторону
условий жизни. Под укладом жизни понимается порядок общественной жизни, быта,
культуры, в рамках которого происходит жизнедеятельность людей. Стиль жизни
относится к индивидуальным особенностям поведения как одного из проявлений
жизнедеятельности. Качество же жизни является оценкой качественной стороны
условий жизни; это - показатель уровня комфорта, удовлетворенность работой,
общением и т.п. Согласно Ю.П. Лисицыну, здоровье человека во многом зависит от
стиля и уклада жизни. [32, c.30]
Издревле, еще до возникновения профессиональной
медицины, люди подмечали влияние на здоровье характера труда, привычек,
обычаев, а также верований, мыслей, переживаний. Известные медики разных стран
обращали внимание на особенности труда и быта своих пациентов, увязывая с этим
возникновение недугов.
Для сохранения и восстановления здоровья
недостаточно пассивного ожидания, когда природа организма раньше или позже
сделает свое дело. Человеку самому необходимо совершать определенную работу в
данном направлении. Но, к сожалению, большинством людей ценность здоровья
осознается только тогда, когда возникает серьезная угроза для здоровья или оно
в значительной степени утрачено, вследствие чего возникает мотивация вылечить
болезнь, вернуть здоровье. А вот положительной мотивации к совершенствованию
здоровья у здоровых людей явно недостаточно. И.И. Брехман выделяет две
возможные причины этого: человек не осознает своего здоровья, не знает величины
его резервов и заботу о нем откладывает на потом, к выходу на пенсию или на
случай болезни [10, c.56]. Вместе с тем, здоровый человек может и должен
ориентироваться в своем образе жизни на положительный опыт старшего поколения и
на отрицательный - больных людей. Однако, такой подход действует далеко не на
всех и с недостаточной силой. Очень многие люди своим образом и поведением не
то, что способствуют здоровью, а разрушают его.
Ю.П. Лисицын отмечает, что здоровый образ жизни
- это не просто все то, что благотворно влияет на здоровье людей. В данном
случае речь идет обо всех компонентах разных видов деятельности, направленных
на охрану и улучшение здоровья [33, c.98]. Автор указывает на то, что понятие
здорового образа жизни не сводится к отдельным формам медико-социальной
активности (искоренению вредных привычек, следованию гигиеническим нормам и
правилам, санитарному просвещению, обращению за лечением или советом в
медицинские учреждения, соблюдению режима труда, отдыха, питания и многим
другим, хотя все они отражают те или иные стороны здорового образа жизни [32,
c.230].
Ю.П. Лисицыным и И.В. Полуниной выделяются также
ряд критериев критерии здорового образа жизни, к числу которых относятся,
например, гармоничное сочетание биологического и социального в человеке,
гигиеническое обоснование форм поведения, неспецифические и активные способы
адаптации организма и психики человека к неблагоприятным условиям природы и
социальной среды [32, c.232]. В то же время, понятие здорового образа жизни
гораздо шире, чем режим труда и отдыха, система питания, различные закаливающие
и развивающие упражнения; в него также входит система отношений к себе, к
другому человеку, к жизни в целом, а также осмысленность бытия, жизненные цели
и ценности [43, c.406-411].
В практической деятельности при определении
индивидуальных критериев и целей здорового образа жизни существуют два
альтернативных подхода. Задачей традиционного подхода является достижение всеми
одинакового поведения, которое считается правильным: отказ от курения и
употребления алкоголя, повышение двигательной активности, ограничение
потребления с пищей насыщенных жиров и поваренной соли, сохранение массы тела в
рекомендуемых границах. Эффективность пропаганды здорового образа жизни и
массового укрепления здоровья оценивается по числу лиц, придерживающихся
рекомендованного поведения. Но, как показывает практика, заболеваемость
неизбежно оказывается различной при одинаковом поведении людей с разными гено-
и фенотипом. Явный недостаток такого подхода в том, что он может привести к
равенству поведения людей, но не к равенству конечного здоровья.
Другой подход имеет совершенно иные ориентиры, и
в качестве здорового рассматривается такой стиль поведения, который приводит
человека к желаемой продолжительности и требуемому качеству жизни. Учитывая,
что все люди различны, им нужно в течение жизни вести себя по-разному. И.А.
Гундаров и В.А. Палесский констатируют: “Здоровый образ жизни в принципе не
может и не должен быть идентичным. Любое поведение следует оценивать как здоровое,
если оно ведет к достижению желаемого оздоровительного результата” [22, с. 26].
При таком подходе критерием эффективности формирования здорового образа жизни
выступает не поведение, а реальное увеличение количества здоровья.
Следовательно, если здоровье человека не улучшается, несмотря на, казалось бы,
разумное, культурное, общественно полезное поведение, оно не может
рассматриваться как здоровое [22, c.28].
Итак, в рамках этого подхода здоровый образ
жизни определяется, исходя из индивидуальных критериев, личного выбора наиболее
предпочтительных мер оздоровления и контроля за их эффективностью.
Следовательно, для лиц с большим количеством здоровья любой образ жизни,
являющийся для них обычным, будет вполне здоровым.
В валеопсихологии, т.е. психологии здоровья,
развивающейся на стыке валеологии и психологии, предполагается целеустремленная
последовательная работа по возвращению человека к самому себе, освоению
человеком своего тела, души, духа, разума, развитию "внутреннего
наблюдателя" (умение слышать, видеть, чувствовать себя). Чтобы понять и
принять себя необходимо "прикоснуться", обратить внимание на свой
внутренний мир.
Познавая себя, прислушиваясь к себе, мы уже
становимся на путь творения здоровья. Для этого необходимо осознание личной
ответственности за жизнь и в частности, за здоровье. Тысячелетиями человек
отдавал свое тело в руки врачей, и постепенно оно перестало быть предметом его
личной заботы. Человек перестал отвечать за силы и здоровье своего тела и души.
В результате этого “душа человека - потемки”. И единственный путь освобождения
сознания от иллюзий и навязанных схем жизни - это наш собственный опыт [20,
c.114].
Таким образом, повышение уровня здоровья связано
не с развитием медицины, а с сознательной, разумной работой самого человека по
восстановлению и развитию жизненных ресурсов, по превращению здорового образа
жизни в фундаментальную составляющую образа Я. Для совершенствования и
формирования здоровья важно учиться быть здоровым, творчески подходить к
собственному здоровью, сформировать потребность, умение и решимость творить
здоровье своими руками за счет своих внутренних резервов, а не чужих усилий и
внешних условий. “Природа одарила человека совершенными системами
жизнеобеспечения и управления, представляющими собой четко отлаженные
механизмы, которые осуществляют регуляцию деятельности различных органов,
тканей и клеток на различных уровнях в тесном взаимодействии центральной
нервной и эндокринных систем. Функционирование организма по принципу
саморегулирующейся системы с учетом состояния внешней и внутренней среды дает
возможность осуществлять постепенную тренировку, а также обучение и воспитание
различных органов и систем в целях увеличения его резервных возможностей” [40,
с. 26].
Итак, здоровье во многом зависит от образа жизни,
однако, говоря о здоровом образе жизни, в первую очередь имеют в виду
отсутствие вредных привычек. Это, конечно, необходимое, но вовсе не достаточное
условие. Главное в здоровом образе жизни - это активное творение здоровья,
включая все его компоненты.
Таким образом, понятие здорового образа жизни
гораздо шире, чем отсутствие вредных привычек, режим труда и отдыха, система
питания, различные закаливающие и развивающие упражнения; в него также входит
система отношений к себе, к другому человеку, к жизни в целом, а также
осмысленность бытия, жизненные цели и ценности и т.д. [43, c.342].
Следовательно, для творения здоровья необходимо как расширение представлений о
здоровье и болезнях, так и умелое использование всего спектра факторов,
влияющих на различные составляющие здоровья (физическую, психическую,
социальную и духовную), овладение оздоровительными, общеукрепляющими,
природосообразными методами и технологиями, формирование установки на здоровый
образ жизни. Исходя из вышеизложенного, можно заключить, что понятие здорового
образа жизни является многогранным и пока недостаточно разработанным. Вместе с
тем на уровне обыденного сознания представления о здоровом образе жизни
существуют многие столетия.
.2 Факторы, оказывающие влияние на отношение к
здоровью
.2.1 Психологические факторы, влияющие на
отношение к здоровью
Отношение к здоровью - один из центральных, но
пока еще очень слабо разработанных вопросов психологии здоровья. Поиск ответа
на него сводится, в сущности, к одному: как добиться того, чтобы здоровье стало
ведущей, органичной потребностью человека на всем протяжении его жизненного
пути, как помочь людям сформировать адекватное отношение к своему здоровью. При
этом точнее говорить о степени адекватности или неадекватности, так как в
реальной жизни выделение диаметрально противоположных типов отношения к
здоровью - адекватного и неадекватного - практически невозможно [7, c.360].
Эмпирически фиксируемыми критериями степени
адекватности/неадекватности отношения к здоровью могут служить:
• на когнитивном уровне - степень
осведомленности или компетентности человека в области здоровья, знание основных
факторов риска и антириска, понимание роли здоровья в обеспечении эффективности
жизнедеятельности и долголетия;
• на эмоциональном уровне - оптимальный уровень
тревожности по отношению к здоровью, умение наслаждаться состоянием здоровья и
радоваться ему;
• на мотивационно-поведенческом уровне - высокая
значимость здоровья в индивидуальной иерархии ценностей, степень
сформированности мотивации на сохранение и укрепление здоровья, степень
соответствия действий и поступков человека требованиям здорового образа жизни,
а также нормативно предписанным требованиям медицины, санитарии и гигиены;
• соответствие самооценки индивида физическому,
психическому и социальному состоянию своего здоровья.
Следует отметить парадоксальный характер
отношения к здоровью современного человека, т. е. несоответствие между
потребностью человека в хорошем здоровье, с одной стороны, и его усилиями,
направленными на сохранение и укрепление своего физического и психологического
благополучия - с другой. По-видимому, истоки несоответствия кроются в том, что
формированию адекватного отношения человека к собственному здоровью
препятствует целый ряд уже обозначивших себя причин. Попытаемся ниже раскрыть
их содержание [34, c.281].
Потребность в здоровье актуализируется, как
правило, в случае его потери или по мере утраты. Здоровый человека не замечает
своего здоровья, воспринимает его как естественную данность, как сам собой
разумеющийся факт, не видя в нем предмета особого внимания. В состоянии полного
физического и психического благополучия потребность в здоровье как бы не
замечается человеком, выпадает из поля его зрения. Он верит в его нерушимость и
не считает нужным, поскольку и так все хорошо, предпринимать какие-то
специальные действия по сохранению и укреплению здоровья.
Действие механизмов психологической защиты, цель
которых - оправдание нездорового поведения. В сфере здоровья наиболее
распространены такие виды психологических защит, как отрицание и
рационализация. Так, механизм действия психологической защиты по типу отрицания
заключается в блокировании негативной информации «на входе» (например, «этого
не может быть») или в стремлении избежать новой информации (например, «мне не
надо проходить медицинский осмотр, так как я совершенно здоров»).
Рационализация в основном используется для оправдания неадекватного отношения к
здоровью на поведенческом уровне.
Установка на пассивное отношение к здоровью,
находящая отражение в рассуждениях типа «если человеку суждено заболеть, что бы
он ни делал, все равно заболеет», обусловливает соответствующее поведение,
которое рано или поздно приводит к ослаблению здоровья. Так, довольно типична
ситуация, когда люди, испытывая болезненные ощущения, тем не менее не
предпринимают действенных мер, не проявляют должной активности, направленной на
их устранение. Одна из основных причин такой установки кроется в недостатке
необходимых знаний о здоровье, о способах его формирования, сохранения и
укрепления.
Влияние прошлого опыта человека. Значительная
часть самосохранительного поведения определяется и опосредуется представлениями
(или убеждениями) человека о здоровье, которые формируются в процессе
индивидуального развития. В первую очередь это обусловлено избирательностью
восприятия, благодаря которой вся информация, поступающая из средств массовой
информации, от специалистов-врачей или из других источников, но не
соответствующая сложившимся убеждениям человека, просто не воспринимается им
или подвергается критике. Следовательно, и вероятность следования рекомендациям
по укреплению здоровья, которые не совпадают или расходятся с вышеназванными
представлениями, будет невысокой [43, c.42].
Эффект теории реактивности (reactance theory)
проявляется при планировании, разработке и оценке эффективности рекламы
здорового образа жизни, которая часто строится не на пропаганде сохраняющих
здоровье формах поведения, а на запрете «нездоровых» привычек (например,
«Курить опасно для вашего здоровья! »). В действительности строгий запрет
опасен: чем сильнее запреты, тем больше вероятность, что они вызовут обратную
реакцию и пробудят интерес к запретной теме. Основная идея теории реактивности
заключается в следующем: когда люди чувствуют, что их свобода поступать по
своему желанию находится в опасности, у них возникает неприятное состояние
реактивности, а избавиться от него можно, лишь совершив запретный поступок
(например, закурить).
Особенности социального микро- и макроокружения.
В рамках теории социального научения Альберта Бандуры социальное одобрение
рассматривается как чрезвычайно сильный мотивирующий фактор, заставляющий людей
терпеть даже физический дискомфорт, если они рассчитывают на то, что их
поведение вызовет одобрение других людей, значимых для них. Примером негативного
влияния социального окружения может служить ситуация, когда подросток впервые
пробует курить, у него возникают крайне неприятные ощущения, но он продолжает
курить, если считает, что курение поможет ему получить одобрение со стороны
сверстников [42, c.281-282].
Действие эффекта задержанной обратной связи -
одна из главных причин негигиенического поведения людей, пренебрежения ими
правилами здорового образа жизни:
• при рассмотрении проблемы формирования
мотивации, направленной на поддержание и укрепления здоровья, этот эффект
проявляется в том, что люди предпочитают не обременять себя работой над
собственным здоровьем, поскольку результат от затраченных усилий не сразу может
быть заметен, очевиден. Занятия утренней зарядкой, каким-то видом
оздоровительных систем, закаливанием приносят ощутимый позитивный результат
далеко не сразу, а через месяцы или даже годы. Не получив быстрого эффекта от
полезных для своего здоровья действий, люди часто их бросают и могут не
вернуться к ним уже никогда;
• проблема коррекции нездорового поведения также
осложняется действием вышеназванного эффекта: нездоровое поведение часто
приносит мгновенное удовольствие, а долговременные негативные последствия таких
поступков кажутся далекими и маловероятными. Кроме того, нередко люди просто не
осознают, с какой опасностью сопряжено то или иное нездоровое поведение
(нарушения в сфере питания, личной гигиены, режима труда и отдыха, бытовой
культуры) [42, c.284].
В заключение хотелось бы еще раз обратить
внимание на то, что коррекция неблагоприятных особенностей того или иного
отношения, как известно, - длительный и часто болезненный для личности процесс,
сопряженный с преодолением внутренних конфликтов и негативных эмоциональных
переживаний. В связи с этим особое значение приобретает целенаправленное
формирование правильного отношения к здоровью на ранних этапах развития
личности.
Формирование отношения к здоровью - процесс
весьма сложный, противоречивый и динамичный; он детерминирован 2 группами
факторов:
. внутренние факторы: демографические (в том
числе пол, возраст, национальность), индивидуально-психологические и личностные
особенности человека, состояние здоровья;
. внешние факторы: характеристики окружающей
среды, в том числе особенности социальной микро- и макросреды, а также профессиональной
среды, в которой находится человек.
Рассмотрим более подробно, как некоторые из них
влияют на отношение к здоровью.
.2.2 Гендерные особенности отношения к здоровью
Говоря о влиянии пола на формирование и
проявление отношения к здоровью, мы будем использовать термин «гендерные
особенности». Использование данного термина при описании особенностей отношения
к здоровью не только правомерно, но и необходимо, так как оно подчеркивает,
прежде всего, социокультурную, а не биологическую обусловленность различий
между мужчинами и женщинами.
Данные многочисленных эпидемиологических
исследований свидетельствуют о том, что на протяжении нескольких десятилетий в
экономически развитых странах, в том числе и в России, увеличивается разрыв в
средней продолжительности жизни мужчин и женщин, который в настоящее время
достигает 10 лет и более [34, с.184].
Известно, что на состояние здоровья оказывают
влияние следующие факторы: экологическая обстановка, социально-экономические
условия (в том числе качество медицинского обслуживания), генотип (или
врожденные особенности организма), а также образ жизни. Остановимся на них
более подробно:
• непосредственное влияние
социально-экономических условий жизни как фактора, детерминирующего здоровье и
продолжительность жизни населения по полу, маловероятно, так как современный
уровень развития общества характеризуется ростом благосостояния населения,
улучшением культуры быта, постоянно совершенствующимися медицинскими знаниями и
услугами для всех людей независимо от их половой принадлежности;
• влиянию окружающей среды мужчины и женщины,
проживающие в одном регионе (стране, городе), подвергаются также в одинаковой
степени;
• биологическое преимущество женского организма,
по данным разных исследователей, колеблется (или составляет) от 1,5 до 2,5
года;
• остается искать объяснение в действии
психологических факторов, к которым с полным правом можно отнести и отношение к
здоровью [34,c.292].
В чем же заключаются основные отличия отношения
женщин к своему здоровью и мужчин? Прежде чем приступить к их рассмотрению,
хотелось бы отметить, что, несмотря на бытующее мнение о «противоположности»
полов, в отношении к здоровью между мужчинами и женщинами больше сходств, чем
различий. Как для тех, так и для других характерно расхождение между нормативными
представлениями о здоровье и здоровом образе жизни, с одной стороны, и реальным
поведением - с другой.
Анализ гендерных различий начнем с рассмотрения
особенностей самооценки. Данные многочисленных экспериментальных исследований
свидетельствуют о том, что у женщин наблюдается более высокая самооценка
здоровья по сравнению с мужчинами. Так, оценивают свое здоровье как «хорошее»
48% женщин и 30% мужчин; как «плохое» - 4 % женщин и 10 % мужчин. [30, c.286]
Следовательно, мужчины в целом более пессимистично
оценивают состояние своего здоровья. Другой общепринятый и экспериментально
доказанный факт: терминальная ценность здоровья у женщин выше, чем у мужчин:
высокая ценность здоровья характерна для 50 % мужчин и 65 % женщин. Названные
различия, кажущиеся на первый взгляд незначительными, становятся более явными
при сравнительном анализе иерархий терминальных ценностей, который показывает:
доминирующая потребность в системе терминальных ценностей женщин - здоровье, а
мужчин - работа (карьера). Здоровье как ценность в системе терминальных
ценностей мужчин находится лишь на третьем-четвертом месте. При этом
инструментальная ценность здоровья у мужчин выше. Следовательно, можно
предположить, что они в большей степени склонны жертвовать своим здоровьем ради
профессиональной карьеры, готовы «сгореть на работе»; это отражает существующие
социокультурные нормы [15, c.290].
Несмотря на то что здоровье как ценность
занимает достаточно высокое место в иерархии индивидуальных ценностей как
мужчин, так и женщин, для тех и других характерен в целом достаточно низкий
уровень активности поведения, направленного на сохранение и укрепления
здоровья. Однако следует отметить, что отношение женщин к своему здоровью более
деятельно и в большей степени соответствует требованиям здорового образа жизни:
они раньше начинают заботиться о своем здоровье, уделяют больше внимания
правильному питанию, чаще обращаются к врачам в профилактических целях, а также
реже практикуют вредные для здоровья привычки. А у мужчин, особенно молодых,
из-за ложного понимания мужественности часто наблюдается тенденция принимать и
реализовывать программу жизни, которая в будущем ухудшает (или подрывает) их
здоровье. Следуя культурным стереотипам «мужского» поведения, они ведут себя в
соответствии с принципом «лучше прожить меньше, но в свое удовольствие». В
ситуации ухудшения самочувствия как мужчины, так и женщины в большинстве
случаев предпочитают самостоятельно принимать меры для поправки своего
здоровья. Но есть и некоторые различия: женщины в случае недомогания более
склонны обращаться к помощи неспециалистов (друзей, знакомых, родственников), а
для мужчин более характерно не обращать внимания на недомогание, т. е.
реагировать по принципу отрицания [43, c.302].
Интересные гендерные особенности обнаруживаются
при анализе эмоций, возникающих в связи с ухудшением состояния здоровья. Как
для мужчин, так и для женщин в такой ситуации наиболее характерны
озабоченность, расстройство и сожаление. Чем же отличаются переживания мужчин и
женщин? Статистически значимые различия заключаются в том, что в случае
ухудшения здоровья у женщин уровень тревожности увеличивается, а у мужчин,
наоборот, снижается. Женщины более чувствительны к изменениям своего
самочувствия, они чаще испытывают чувство страха, узнав об ухудшении своего
здоровья, а мужчины более спокойно относятся к ухудшению своего здоровья.
Возможно, что полученные результаты связаны с социально одобряемыми
стереотипами мужского и женского поведения, в соответствии с которыми мужчина
должен всегда быть сильным и ничего не бояться, а женщина вполне может
позволить себе слабость [42, c.304].
Подводя итоги рассмотрения гендерных
особенностей отношения к здоровью, можно отметить следующее: в целом для женщин
характерен более высокий уровень адекватности отношения к здоровью по сравнению
с мужчинами.
1.2.3 Влияние возраста на отношение к здоровью
Как известно, психическое отношение - это
динамичное личностное образование, которое претерпевает определенные изменения
в процессе жизнедеятельности. Следовательно, вероятно, существуют некоторые
закономерности развития отношения к здоровью в зависимости от возраста
человека. В специальной литературе представлено описание подобных
закономерностей, но только в связи с отношением к болезни. Так, утверждается,
что отношение к болезни имеет тенденцию меняться от недооценки в молодом
возрасте к адекватному пониманию ее в зрелом, переоценке в пожилом и вновь
недооценке в старческом возрасте. [30, c.124] Возможно, что отношение к
здоровью претерпевает схожие видоизменения. Рассмотрим некоторые из этих
особенностей более подробно.
Прежде всего, необходимо отметить, что
существует возрастная динамика значимости здоровья. Представители среднего и
особенно старшего поколения чаще всего отводят ему приоритетную роль. Молодые
люди обычно относятся к проблеме здоровья как к чему-то достаточно важному, но
абстрактному, не имеющему к ним прямого отношения. В их иерархии ценностей
доминируют материальные блага и карьера. Если они и уделяют внимание здоровью,
то главным образом его физической составляющей. В их понимании не находит
должного места роль психического и социального здоровья [44, c.97].
Одна из наиболее ярко выраженных возрастных
закономерностей заключается в следующем: существует обратная зависимость между
возрастом и уровнем ответственности за сохранение своего здоровья. Так,
например, в возрастной группе до 35 лет около 25% опрошенных связывают
состояние своего здоровья преимущественно с внутренними (личностными)
характеристиками. По мере увеличения возраста респондентов индекс ответственности
снижается [41, c.290]. Другими словами, для молодых людей характерна внутренняя
ориентация сознания в объяснении возникающих проблем со здоровьем, а для лиц
старшей возрастной группы, наоборот, - внешняя. Интернальность/экстернальность
в сфере здоровья характеризует уровень развития чувства личной ответственности
человека за состояние своего здоровья (самочувствия). В первом случае человек
интерпретирует значимые события как результат своей собственной деятельности,
он считает, что может управлять ими, и, следовательно, чувствует свою
собственную ответственность за эти события. Во втором случае человек полагает,
что происходящее с ним - это действие внешних сил (случая, других людей и т.
д.); он не видит связи между своими собственными действиями и теми событиями,
которые с ним происходят [41,c.320].
Есть основания полагать, что эта обобщенная
характеристика оказывает регулирующее влияние на многие аспекты поведения
человека и играет важную роль в формировании отношения к здоровью. Что касается
возрастных особенностей поведения, связанного со здоровьем, то важно учитывать
тот факт, что от возраста во многом зависит степень регулярности заботы
человека о своем здоровье. Так, в первой половине жизни (до 30 лет) она
обусловлена, главным образом, сформированостью потребности в самосохранении, а
во второй половине - фактическим состоянием здоровья. После 30 лет забота о
здоровье становится в большей степени вынужденной и связанной с необходимостью
поправлять «плохое» самочувствие. Возраст и самооценка здоровья находятся в
обратной зависимости. [12, c.174] Так, например, с возрастом увеличивается
количество негативных самооценок и уменьшается количество положительных. Причем
рубеж, на котором происходит «скачок» в ухудшении состояния здоровья, - это
примерно 35 лет, доказательством чего могут служить существенные различия в
самооценке здоровья между возрастной группой 30-34 года и группой 35-39 лет
(таблица 1). Значит, при планировании профилактических мероприятий,
направленных на укрепление здоровья, данной возрастной группе необходимо
уделять повышенное внимание. [4,c.192]
Таблица №1
Распределение оценок состояния здоровья по
возрасту
|
Возраст
|
Самооценка
состояния здоровья
|
|
Хорошее
|
Удовлетворительное
|
Плохое
|
Не
знаю
|
|
30-34
|
37,9
|
41,4
|
3,4
|
17,2
|
|
35-39
|
14,0
|
67,4
|
7,0
|
11,6
|
Таким образом, можно заключить, что с возрастом
отношение к здоровью приобретает более противоречивый характер. Так, с одной
стороны, по мере увеличения возраста ценность здоровья (как терминальная, так и
инструментальная) возрастает, а с другой стороны, уровень поведенческой
активности, направленной на его поддержание и укрепление, снижается. В то же
время снижение уровня интернальности в области здоровья является результатом
действия психологических механизмов защиты, направленных на маскировку истинных
переживаний, связанных со здоровьем.
Выводы по первой главе
Итак, здоровье во многом зависит от образа
жизни, однако, говоря о здоровом образе жизни, в первую очередь имеют в виду
отсутствие вредных привычек. Это, конечно, необходимое, но вовсе не достаточное
условие. Главное в здоровом образе жизни - это активное творение здоровья,
включая все его компоненты.
Следовательно, для творения здоровья необходимо
как расширение представлений о здоровье и болезнях, так и умелое использование
всего спектра факторов, влияющих на различные составляющие здоровья
(физическую, психическую, социальную и духовную), овладение оздоровительными,
общеукрепляющими, природосообразными методами и технологиями, формирование
установки на здоровый образ жизни
В России прогрессивные ценности, утверждающие
первичную роль личности в формировании своего здоровья, значительная часть
населения пока не осознает, они еще не вошли в их культуру и деятельность.
Таким образом, отношение к здоровью вполне может
быть рассмотрено как одна из основных «мишеней», на которую должно быть
направлено психокоррекционное воздействие специалиста, работающего в области
психологии здоровья. При этом дифференцированный подход к психокоррекционной
работе должен опираться на всестороннее изучение особенностей отношения
человека к своему здоровью. А концепция «психология отношений», в свою очередь,
может быть выбрана как теоретико-методологическая основа изучения здоровья
человека, так как отношение к здоровью, с одной стороны, является отражением
индивидуального опыта человека, а с другой - оказывает существенное влияние на
его поведение.
Глава 2. Теоретические основы исследования
психических репрезентаций Олимпиады 2014 и их влияние на здоровой образ жизни
людей зрелого возраста
.1 Понятие психической репрезентации
Понятие репрезентации является одним из наиболее
сложных и спорных понятий теории эпистемологии. Идеи о том, что психическое
содержание человека представляет собой модели окружающего мира, давно и активно
обсуждаются в психологии. Мозговое отражение (или отражения) мира строится по
типу моделей. Мозг не запечатлевает поэлементно и пассивно вещественный
инвентарь внешнего мира, но налагает на него те операторы, которые моделируют
этот мир, отливая модель в последовательно уточняемые и углубляемые формы [14,
c.287].
Действительно, есть все основания считать, что
психическое моделирование - это универсальный и основной принцип работы
человеческого сознания. Модель - упрощенный мысленный или знаковый образ
какого-либо объекта или системы объектов, используемый в качестве их
«заместителя» и средства оперирования [38, с. 300].
К моделям относят самые разные объекты. Выделяют
физические модели физических же объектов (например, архитектурная модель
(макет) здания, выполненная из картона), психические модели физических объектов
(например, зрительный образ здания) и, наконец, психические модели психических
же объектов (например, мысленное вербальное описание зрительного образа
здания).
Выделение класса моделей среди прочих сущностей
весьма условно и зависит исключительно от соглашения между людьми, так как та
или иная сущность превращается в модель лишь в результате конвенции,
договоренности, наделения ее по соглашению между людьми дополнительным
качеством - быть моделью другого объекта. Никакая сущность не может быть
моделью исходно, сама по себе, без участия человеческого сознания, так как
способность быть моделью чего-либо присваивается объекту сознанием и существует
только в нем. В физической реальности нет моделей, а есть лишь разные физические
сущности, одни из которых рассматриваются сознанием и только в сознании в
качестве моделей других. Именно сознание превращает, например, визуальные
образы одних объектов в модели визуальных образов других объектов.
М. Вартофский (1988) отождествляет понятия
модель и репрезентация. И эта его точка зрения широко распространена в
литературе. Он пишет, что:
…модель рассматривается, как конструкция, в
которой мы располагаем символы нашего опыта или мышления таким образом, что в
результате получаем систематизированную репрезентацию этого опыта или мышления,
как средство их понимания или объяснения другим людям [14, с. 11].
Однако отождествлять репрезентации с моделями
нельзя, так как репрезентация - это отнюдь не всегда модель. Модели и
репрезентации создаются сознанием для решения разных задач. Модель всегда
создается человеком произвольно и целенаправленно с познавательными,
демонстрационными, исследовательскими и др. целями. Тогда как психическая
репрезентация обычно возникает спонтанно, самостоятельно и непроизвольно, то
есть без целенаправленного участия в этом процессе человеческой воли. К
психическим репрезентациям относятся все наши психические явления, которые
репрезентируют нам, например, окружающий мир и нас самих в нем. Их можно
назвать «естественными» психическими репрезентациями.
Физические репрезентации, которые тоже широко
обсуждаются в литературе и рассматриваются часто как знаки, во многом сходны с
моделями в силу того, что, как и модели, выполняют функции замещения основного
объекта. В случае физических репрезентаций один физический объект замещает
собой другой, представляет или олицетворяет его в сознании людей. Например,
вино во время причащения - кровь Христа, хлеб - его тело, белая фата - чистоту
и невинность невесты, красный крест - медицинскую помощь и т. д. Физический
объект может репрезентировать в сознании даже что-то гораздо более сложное, чем
просто другой физический объект. Так, крест, например, является репрезентацией
христианства и христианской церкви [14, c.24].
В литературе существуют множество самых разных,
в том числе не согласующихся между собой представлений о том, что такое
репрезентации, какие репрезентации бывают и как они соотносятся между собой. То
же самое, хотя и в меньшей степени касается психических моделей.
Тем не менее, можно заметить, что психическая
модель - это всегда психическая сущность, произвольно выбранная и «назначенная»
нами заместителем, заменителем другой психической сущности.
Когда говорят о психической модели, то всегда
имеют дело с осуществленной произвольно и с определенной целью подменой одной
сущности, чем-то уже представленной в сознании (например, чувственным образом),
другой сущностью, тоже как-то уже представленной в сознании (например, другим
чувственным образом или понятием). Например, понятие Эйфелева башня - это
вербальная модель визуального образа Эйфелевой башни, а понятие Московский
Кремль - модель (заместитель, заменитель) визуального образа Московского
Кремля.
М. Вартофский полагает, что и психические
репрезентации являются моделями внешнего мира. Однако отношения между
репрезентациями и внешним миром гораздо более сложные и непонятные, так как
репрезентации чаще не столько моделируют мир, сколько являются единственно
доступной для нас формой его существования. Более того, репрезентации, создаваемые
сознанием, могут представлять нам то, что просто отсутствует в окружающем мире
и в качестве сущностей конституируется самим сознанием, то есть психические
репрезентации в рассматриваемом случае являются тем, что наличествует
изначально лишь в сознании и только в виде самих этих репрезентаций. Такого
рода психические репрезентации, в принципе, не могут отождествляться с
моделями, так как модели всегда моделируют нечто, хоть как-то уже
представленное в сознании [50, c.36].
Таким образом, психическая репрезентация - это
часто не столько подмена в сознании одной психической сущности другой (образа
восприятия объекта, понятием, обозначающим объект, например), сколько
представление в сознании в форме особого психического явления (образа
восприятия, например) некого неясного, непонятного и недоступного сознанию
никак иначе элемента физической «реальности в себе». Так, визуальные образы
Эйфелевой башни или Московского Кремля репрезентируют некие «вещи в себе»,
которые только так и могут быть представлены в человеческом сознании в
зрительной модальности. Поэтому эти репрезентации нельзя называть моделями, так
как в физической реальности нет в аналогичном виде того, что они, как принято
считать, моделируют в сознании.
Правильнее сказать, что психические репрезентации
не моделируют, а первично конституируют и представляют в сознании то, что
существует в физической реальности в недоступной нашему сознанию форме «вещей в
себе». Следовательно, чувственная репрезентация - это всегда единственная
возможность представительства в сознании предмета или явления, который для
человека никак иначе не существует и в его сознании не представлен, а в
физическом мире в такой форме вовсе отсутствует [14, c.202].
Итак, психические репрезентации - это часто
единственные формы существования многих недоступных никак иначе субъекту
сущностей. Вместе с тем, психические репрезентации, например чувственные образы
и понятия, сильно различаются между собой по механизмам своего возникновения,
причем понятия можно даже рассматривать как психические модели соответствующих
чувственных психических репрезентаций.
М. Вартофский (1988) полагает, что слово
«репрезентация» означает для обычного человека:
) Отношение «похожести» или «сходства»,
благодаря которому в одной вещи легко угадывается сходство с другой;
) Что одна из вещей может в определенных
аспектах «замещать», «представлять» или «репрезентировать» другую [14, с. 58].
Однако сказанное не применимо к большинству
«естественных» психических репрезентаций. Нельзя говорить об их сходстве или не
сходстве с репрезентируемыми ими объектами. Например, в психическом восприятии
ощущения цвета, репрезентирующем электромагнитные волны определенной длины, и в
самих этих волнах невозможно найти нечто «похожее». Трудно обнаружить,
например, и сходство между ощущениями тепла или шероховатости объекта, с одной
стороны, и сущностью этого объекта, с другой.
Модель есть лишь средство воображения,
помогающее представить, изобразить или понять, что происходит, например, когда
мы формируем схематическую модель некоторого сложного организма или строим
модель-прототип чего-то такого, что мы намереваемся в дальнейшем реализовать, -
то это, само по себе, уже достижение. В этом смысле модель есть создание
чего-то, действующего в направлении будущего, нечто такое, что в момент
создания модели или рассмотрения ее еще не достигнуто [14, с. 125].
Моделирование же - это замена одной известной
уже сущности другой. Если сознание создает произвольно новую психическую
конструкцию, которая репрезентирует некую новую сущность, то это уже не
моделирование. Созданной заново и тем самым уже репрезентированной в сознании в
виде конкретных психических явлений сущности нет в физическом мире. Можно
сказать, что естественная психическая способность человека к моделированию
окружающей реальности трансформируется в процессе его развития в новую
способность - конструировать новые сущности физической и психической реальности
и репрезентировать их в своем сознании.
Созданные сознанием психические конструкции,
репрезентирующие, например, недоступную восприятию физическую реальность, не
являются моделями в истинном смысле, так как далеко не всегда ясно, что же они
«моделируют» на самом деле и моделируют ли вообще. Часто такие репрезентации
являются лишь умозрительными конструкциями, представляющими сознанию
недоступные и непонятные никак иначе аспекты физической реальности. Многие
такие психические конструкции, возникнув первоначально в сознании, затем могут
быть воплощены в искусственной физической реальности в виде, например, модели
атома из проволочек и шариков, или фильма про «жизнь после смерти», или
множества полезных физических устройств и приборов.
Итак, понятие психическая репрезентация
обозначает, во-первых, психические явления или совокупности психических
явлений, представляющих в сознании разнообразные физические сущности, их
свойства, действия, состояния, отношения и т. д. Например, зрительный образ
стола репрезентирует объект стол, образы разных красных объектов репрезентируют
свойство объектов - их красный цвет, а пропозиция альфа-самец репрезентирует
такую сложную физическую сущность как «самец, занимающий верхнюю позицию в
иерархии доминирования стада» [38, с. 36]. Во-вторых, психические явления или
совокупности психических явлений, которые представляют в сознании другие
психические явления или совокупности психических явлений.
.2 Психические репрезентации Олимпиады 2014 как
фактор, влияющий на здоровый образ жизни людей зрелого возраста
Общепризнано, что важную роль в долголетии
человека играет образ жизни. Большинство людей, проживших долгую и активную
жизнь, питались умеренно, вели физически активный образ жизни, трудились до
самых поздних лет. В целом труд, познание, общение, активный отдых должны
наполнять жизнь человека и в старческие годы. При этом физическое здоровье -
один из существенных факторов, определяющих образ жизни стареющего человека,
его способность адаптироваться к новым условиям жизни.
Доктор Д. Уикс, британский специалист по
геронтологии, исследовал 3500 пожилых людей, которые выглядели моложаво,
живущих в разных частях земного шара. Главный вывод врача: причиной их
отличного внешнего вида была духовная и физическая активность. Их сон глубок,
они спортивны, чаще всего увлекаются плаванием и путешествиями, странствиями по
горам, много читают и меньше других предпочитают смотреть телевизор.
Большинство из них оказались сторонниками вегетарианства и произвели на Уикса
впечатление честных, доброжелательных, романтически настроенных людей. [42,
с.590]
Во многих странах люди, поддерживающие свою
физическую форму, ведут активную, полнокровную жизнь до самой старости.
Регулярные занятия физкультурой благоприятно сказываются на психической сфере
пожилых людей. Такие люди, как правило, более собранны, сдержанны, лучше
владеют собой, уверены в себе, они дружелюбны и более терпимы к чужим
недостаткам. Но данные многолетних исследований показывают, что менее 40% людей
старше 60 лет систематически занимаются физическими упражнениями. Причиной
этому может быть неумение подобрать посильный комплекс упражнений и
соответственно опасение подвергнуть себя риску, связанному с получением травм
во время занятий. Другая причина может заключаться в отсроченном во времени
эффекте от занятий. [34, c.498]
Экспериментальным путем доказано, что активные
физические упражнения содействуют укреплению сердца, органов дыхания, помогают
избавиться от лишнего веса, снижают уровень холестерина, нормализуют кровяное
давление, предотвращают развитие диабета. Пока нет прямых подтверждений, но
есть предположение, что регулярные физические упражнения могут помочь организму
справиться с раковыми заболеваниями, а также существенно уменьшить шансы
заболеть ими. [42, c.598]
Следовательно, оптимальный образ жизни может не
только устранять отрицательные воздействия на организм, но и совершенствовать
адаптационные механизмы, возникающие в процессе старения. Тем самым повышается
устойчивость организма к факторам риска, т. е. могут изменять индивидуальные
сроки жизни.
Общеизвестно, что приоритеты образа жизни в
любом обществе формируются при активном участии государства, различных
коммерческих и общественных организаций, средств массовой информации. В решении
этой задачи важную роль призваны играть Зимние Олимпийские игры 2014 года.
Так как в рамках проведения Олимпиады
планируется уделить серьезное внимание массовому развитию спорта и физкультуры,
включающее в себя распространение социальной рекламы, продвижение ценностей
физической культуры и здорового образа жизни, открытия спортивных центров [36,
c.42].
Олимпийские игры - самое яркое спортивное
событие в мире. Сотни атлетов готовятся к этому старту всю жизнь. Те, кому
удается взойти на олимпийский пьедестал, становятся примером для миллионов. Их
достижения навсегда остаются в истории спорта и имеют уникальную силу способную
объединять миллионы людей. Но освещение или демонстрация каких-либо спортивных
или околоспортивных событий не достаточный фактор для коренного изменения
своего отношения к образу жизни. Между тем, образованный в 2002 году Совет по
физической культуре и спорту при Президенте Российской Федерации обратил
внимание СМИ на государственную важность этой проблемы. Таким образом,
отсутствие концепции формирования здорового образа жизни и как его составной
части развития физической культуры и спорта, не позволяет определить конкретные
механизмы их реализации с последующим закреплением в юридической форме.
Эффективное влияние Олимпиады 2014 на развитие
физической культуры у взрослого человека и переход его к здоровому образу жизни
возможен только вследствие изменения системообразующих элементов его сознания
(знание, отношение, поведение), а также самосознаниия и таких его составляющих,
как: «Я-концепция», самоотношение, самоактуализация и самоидентификация, т.е.,
если человек будет осведомлен в ценностях здорового образа жизни и физической
культуры, если они будет им приняты и реализованы в жизни, и если все это
найдет конгруэнтное отражение в рефлексивных механизмах его личности [8, c.64].
Причем это окажется возможным при условии, целенаправленной пропаганды личной и
социальной значимости здорового образа жизни и физической культуры как его
составной части в рамках предстоящих Олимпийский игр.
В последнее время наметились положительные
тенденции в области спорта в России. Правительство России, местные власти,
различные коммерческие и общественные организации уделяют огромное внимание
развитию спорта в нашей стране. И это дало уже вполне ощутимые результаты.
Однако еще многое предстоит сделать. Для этого вопросы развития массового
спорта и спорта высших достижений должны стать не только национальным
приоритетом, но и приоритетом для каждого гражданина России [28]. И,
несомненно, победа Сочи в борьбе за право проведения XXII Олимпийских зимних и
XI Паралимпийских зимних игр 2014 года, должна стать важнейшим фактором
популяризации здорового образа жизни.
Однако существующая ныне пропаганда здорового
образа жизни не приносит успеха в повышении индивидуальной и массовой
физической культуры. Одной из причин тому является практическое отсутствие
современных и научно (психологически) обоснованных форм пропаганды и коммуникаций
в целях формирования у людей физической культуры и здорового образа жизни.
Кроме этого понимание взрослыми людьми пользы от ведения здорового образа жизни
и занятий физическими упражнениями недостаточно для реального осуществления ими
физкультурно-спортивной деятельности, необходимо преодоление различных
психологических и социальных барьеров [50, c.120]. Необходимо отметить, что
существует возрастная динамика значимости здоровья. Представители среднего и
особенно старшего поколения чаще всего отводят ему более приоритетную роль, чем
представители молодого поколения, тем самым являясь эталоном для молодого
поколения.
Таким образом, возникает потребность в поиске,
разработке и обосновании концепции развития физической культуры взрослого
населения страны средствами массовой информации, оказывающих влияние на
мотивационную сферу человека, на формирование субъектной (активной) позиции у
него в области физической культуры и здорового образа жизни.
Выводы по второй главе
Итак, понятие психическая репрезентация
обозначает, во-первых, психические явления или совокупности психических
явлений, представляющих в сознании разнообразные физические сущности, их
свойства, действия, состояния, отношения и т. д.» Во-вторых, психические
явления или совокупности психических явлений, которые представляют в сознании
другие психические явления или совокупности психических явлений. Общеизвестно,
что приоритеты образа жизни в любом обществе формируются при активном участии
государства, различных коммерческих и общественных организаций, средств
массовой информации. В решении этой задачи важную роль призваны играть Зимние
Олимпийские игры 2014 года.
Но освещение или демонстрация каких-либо
спортивных или околоспортивных событий не достаточный фактор для коренного
изменения своего отношения к образу жизни. Т.е. просто репрезентация зимних
Олимпийских игр 2014 г. неэффективна для формирования адекватных убеждений
людей, самодетерминации людьми своего здоровья, мотивации их познавательной
активности, вовлечения их в индивидуальные и социальные формы деятельности,
соответствующие современным представлениям о культуре здорового образа жизни.
Просто призывов вести культурный образ жизни мало.
Эффективное влияние Олимпиады 2014 на развитие
физической культуры у взрослого человека и переход его к здоровому образу жизни
возможен только вследствие изменения системообразующих элементов его сознания
(знание, отношение, поведение), а также самосознаниия и таких его составляющих,
как: «Я-концепция», самоотношение, самоактуализация и самоидентификация, т.е.,
если человек будет осведомлен в ценностях здорового образа жизни и физической
культуры, если они будет им приняты и реализованы в жизни, и если все это
найдет конгруэнтное отражение в рефлексивных механизмах его личности. Причем
это окажется возможным при условии, целенаправленной пропаганды личной и
социальной значимости здорового образа жизни и физической культуры как его
составной части в рамках предстоящих Олимпийский игр
Глава 3. Эмпирическое исследование психических
репрезентаций Олимпиады 2014 и ее влияния на здоровой образ жизни людей зрелого
возраста
.1 Организация и проведение исследования
Цель нашего исследования - изучить влияние
репрезентации Олимпиады на формирование здорового образа жизни людей зрелого
возраста
Гипотеза: положительная репрезентация олимпиады
влияет на развитие здорового образа жизни людей зрелого возраста.
Задачи исследования:
изучить специфику пропаганды здорового образа
жизни.
изучить психические репрезентации Олимпиады 2014
и их влияние на здоровый образ жизни людей зрелого возраста.
разработать практические рекомендации по
совершенствованию деятельности формирования здорового образа жизни, по
средствам пропаганды Олимпийских ценностей.
Методы и методики:
Метод семантического дифференциала Ч. Осгуда
Методика определения уровня здорового образа
жизни
Анкета «Представления о зимней Олимпиаде - 2014»
Анкета «Отношение людей зрелого возраста к
формированию здорового образа жизни»
Методы математической статистики (коэффициент
корреляции Пирсона, T-критерий Стьюдента)
Экспериментальная база: СЦВС.
Выборка: 56 человек (26 мужчин, 30 женщин в
возрасте от 45 до 70 лет)
Сроки исследования: 15 октября 2010 - 30 марта
2011 года.
Методы и методики:
Метод семантического дифференциала Ч. Осгуда
Семантический дифференциал - метод
построения индивидуальных или групповых семантических пространств. Координатами
<#"797787.files/image001.gif">)
представляет собой среднюю оценку изучаемого в эксперименте психологического
качества. Эта оценка характеризует степень его развития в целом у той группы
испытуемых, которая была подвергнута психодиагностическому обследованию.
Сравнивая непосредственно средние значения двух или нескольких выборок, мы
можем судить об относительной степени развития у людей, составляющих эти
выборки, оцениваемого качества.
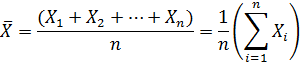
Выборочное среднее определяется при помощи
следующей формулы:
где:
- среднее
арифметическое значение по выборке;
n - Количество частных психодиагностических
показателей, на основе которых вычисляется средняя величина [39].
хi - частные значения показателей у отдельных
испытуемых.
Дисперсия (
)
- это среднее арифметическое квадратов отклонений значений переменной от её
среднего значения. Дисперсия как статистическая величина характеризует,
насколько частные значения отклоняются от средней величины в данной выборке.
Чем больше дисперсия, тем больше отклонения или разброс данных.
Однако сама дисперсия, как характеристика
отклонения от среднего, часто неудобна для интерпретации. Для того, чтобы
приблизить размерность дисперсии к размерности измеряемого признака применяют
операцию извлечения квадратного корня из дисперсии. Полученную величину
называют стандартным отклонением.
Один из самых распространенных методов
статистики который позволяет достоверно судить о статистических связях,
существующих между переменными величинами, является корреляционный анализ.
Корреляционный анализ - это проверка гипотез о
связях между переменными с использованием коэффициентов корреляции, двумерной
описательной статистики, количественной меры взаимосвязи (совместной
изменчивости) двух переменных. Таким образом, это совокупность методов
обнаружения корреляционной зависимости между случайными величинами или
признаками.
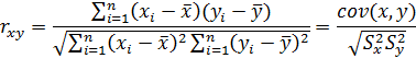
Корреляционный анализ для двух случайных величин
заключает в себе:
построение корреляционного поля и составление
корреляционной таблицы;
вычисление выборочных коэффициентов корреляции и
корреляционных отношений;
проверку статистической гипотезы значимости
связи.
Критерием для отбора «достаточно сильных»
корреляций может быть как абсолютное значение самого коэффициента корреляции
(от 0,7 до 1), так и относительная величина этого коэффициента, определяемая по
уровню статистической значимости (от 0,01 до 0,1).
Таким образом, задача корреляционного анализа
сводится к установлению направления (положительное или отрицательное) и формы
(линейная, нелинейная) связи между варьирующими признаками, измерению ее
тесноты, и, наконец, к проверке уровня значимости полученных коэффициентов
корреляции.
В настоящее время разработано множество
различных коэффициентов корреляции. Наиболее применяемыми являются r-Пирсона,
r-Спирмена и τ-Кендалла. Выбор
метода вычисления коэффициента корреляции зависит от типа шкалы, к которой
относятся переменные. Для изучения взаимосвязи двух метрических переменных,
измеренных на одной и той же выборке, применяется коэффициент корреляции
r-Пирсона. Сам коэффициент характеризует наличие только линейной связи между
признаками.
Коэффициент линейной корреляции является
параметрическим методом и его корректное применение возможно только в том
случае, если результаты измерений представлены в шкале интервалов, а само
распределение значений в анализируемых переменных отличается от нормального в
незначительной степени.
Нормальное распределение - это совокупность
объектов, в которой крайние значения некоторого признака - наименьшее и
наибольшее - появляются редко; чем ближе значение признака к среднему значению,
тем чаще оно встречается. Если предоставляется возможность рассматривать
некоторую случайную величину как сумму достаточно большого числа других
случайных величин, то данная случайная величина обычно подчиняется нормальному
закону распределения.
Нормальное распределение задается функцией
плотности распределения:
где параметр μ - среднее
значение случайной величины, а σ² - дисперсия
<#"797787.files/image008.gif">
где
- средние значения выборок x и y;
,
- среднеквадратичные отклонения;
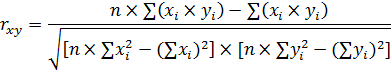
Даная формула предполагает, что из
каждого значения Xi переменной X, должно вычитаться ее среднее значение X. Это
не удобно, поэтому для расчета коэффициента корреляции используют не данную
формулу, а ее аналог, получаемый с помощью преобразований.
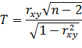
Достоверность изменения результата
оценивалась с помощью вычисления значения t-критерия Стьюдента. T-критерий
Стьюдента - общее название для статистических тестов
<#"797787.files/image014.gif">
значение t-критерия;− теснота
линейной связи (корреляция);
(n-2) - число степеней свободы, n -
число испытуемых.
Для того чтобы на основании
коэффициента корреляции и T-критерия Стьюдента можно было сделать
содержательный вывод необходимо исключить возможность ложной корреляции, т.е.
(линейное влияние других факторов). Причиной ложной корреляции может быть
влияние третьей переменной. Т.е. имеется третья переменная, которая оказывает
сильное влияние на две первые, что и является причиной высокой корреляции.
Поэтому возникает естественная задача найти «чистую» корреляцию между двумя
переменными, исключив (линейное) влияние других факторов. Это можно сделать с
помощью коэффициента частной корреляции. Частным коэффициентом корреляции между
случайными величинами X и Y при исключении влияния случайной величины Z
называется:
где
- коэффициент корреляции Пирсона
<#"797787.files/image017.gif">
а) Да, б) Нет
Как видно из гистограммы большинство
мужчин (62%) и женщин (81%) считают, что у них нет вредных привычек.
Рассмотрим 5-й вопрос: Как вы
проводите свободное время?
Диаграмма 2
а) сижу, дома смотрю телевизор; б)
иду гулять с друзьями; в) занимаюсь спортом; г) у меня нет свободного времени.
Из диаграммы видно, что большинство
опрошенных мужчин предпочитает проводить свободное время дома, а большинство
опрошенных женщин проводят свободное время, занимаясь спортом. Это говорит о
том, что мужчины и женщины имеют разные предпочтения в проведении свободного
времени.
Рассмотрим 6 вопрос: Вы соблюдаете
правильный режим питания?
Диаграмма 3
а) да; б) нет; в) как получается.
Из результатов можно сделать вывод:
что опрашиваемые не уделяют должного внимания правильному питанию.
Рассмотрим 7 вопрос: Как часто вы
делаете утреннюю зарядку?
Диаграмма 4
а) каждый деньб) раз в два дняв)
никогда г) что это такое?
Из гистограммы видно, что
большинство мужчин и женщин делают зарядку раз в два дня.
Рассмотрим 8 вопрос: Занимались ли
вы когда-нибудь каким-либо видом спорта, посещали бассейн, тренажеры (Если да,
то каким?)
Диаграмма 5
а) да; б) нет.
По результатам ответов построена
гистограмма, из которой видно, что большинство опрошенных мужчин (94%) и женщин
(85%) занимались различными видами спорта. Видно так же, что нашлись и такие,
которые не занимались спортом вообще.
Рассмотрим 9 вопрос: Когда вы в
последний раз занимались спортом?
Диаграмма 6
а) вчера; б) неделю назад; в) месяц
назад; г) не помню.
Большинство респондентов продолжают
заниматься спортом.
Рассмотрим 10 вопрос: Если бы вы
могли начать свою жизнь сначала, хотели бы заниматься каким-нибудь видом
спорта?
Диаграмма 7
а) да, конечно;б) скорее всего, нет;
в) зачем мне это нужно? г) затрудняюсь ответить.
Большинство опрошенных уверены, что
занялись бы спортом, если бы начали новую жизнь.
Рассмотрим 11 вопрос: Как вы
считаете, способствует ли здоровый образ жизни успеху в других сферах
человеческой деятельности (учеба, работа).
Диаграмма 8
а) да;б) нет; в) затрудняюсь
ответить.
Из полученного результата можно
сделать вывод; что большинство опрошенных считают, что здоровый образ жизни
способствует успеху в других сферах человеческой деятельности.
Рассмотрим 12 вопрос: Можете ли вы
себе позволить посещение различных спортивных секций, залов, бассейна и т.д.
Диаграмма 9
а) могу, регулярно посещаю; б) могу,
но не вижу в этом смысла; в) не могу, т.к. нет времени; г) не могу, т.к. не
хватает денег.
Как показывает гистограмма, мнения
разделились, почти 40% опрошенных может позволить себе посещение различных
спортивных секций и посещает их, а еще ≈ 50% не посещают их, т.к. у них
нет времени
Рассмотрим 13 вопрос: Часто ли вы
задумываетесь о правильности своего образа жизни?
Диаграмма 10
а) часто; б) очень редко; в) вообще
об этом не думаю.
Как видно из гистограммы мужчины
реже женщин задумываются о правильности своего образа жизни.
Рассмотрим 14 вопрос: Ваше личное
отношение к здоровому образу жизни?
Диаграмма 11
а) это здорово; б) можно обойтись и
без него; в) иногда следует соблюдать; г) не могу ответить.
Большинство опрошенных считают, что
здоровый образ жизни - это здорово.
Рассмотрим 15 вопрос: Какое
количество денег вы тратите на приобретение витаминов, полезных продуктов
питания (фрукты, овощи и т.д.)
Диаграмма 12
а) много (почти все); б) достаточно
много; в) мало; г) почти не трачу.
Мужчины и женщины в основном тратят
достаточно много денег на приобретение витаминов, полезных продуктов питания и
т.п., но есть некоторое количество респондентов, которые предпочитают тратить
небольшое количество денег или вообще не тратиться.
Рассмотрим 16 вопрос: Для поднятия
жизненного тонуса необходимо (выбрать все возможные варианты):
а) соблюдение режима дня;
б) занятие спортом;
в) постоянные прогулки на природе;
г) употребление алкоголя;
д) использование легкого наркотика;
е) одухотворенная литература.
Диаграмма 13
По этой гистограмме видно, что
большинство считает, что для поднятия жизненного тонуса необходимы: соблюдение
режима дня, занятие спортом и постоянные прогулки на природе. Видно так же, что
среди мужчин нашлись и такие, которым для жизненного тонуса необходимо
употребление алкоголя.
Рассмотрим 17 вопрос: Как Вы
считаете, абсолютно здоровая нация это:
Диаграмма 14
а) иллюзия; б) реальность.
Отсюда видно, что большинство
респондентов считает, что абсолютно здоровая нация это реальность.
В результате проведенного
социологического исследования получены следующие результаты:
Оказалось, что большинство
опрошенных не имеют вредных привычек. Но при этом среди мужчин процент имеющих
вредные привычки больше чем среди женщин.
Большинство опрошенных мужчин
предпочитает проводить свободное время дома, а большинство опрошенных женщин
проводят свободное время, занимаясь спортом. Это говорит о том, что женщины и
мужчины имеют разные предпочтения в проведении свободного времени.
Большинство опрошенных мужчин и
женщин занимались различными видами спорта (плавание, велоспорт и т.д.) Видно
так же, что нашлись и такие, которые не занимались спортом вообще.
Почти 40% опрошенных может позволить
себе посещение различных спортивных секций и посещает их, а еще ≈ 50% не
посещают их, т.к. у них нет времени.
Большинство считает, что для
поднятия жизненного тонуса необходимы: соблюдение режима дня, занятие спортом и
постоянные прогулки на природе. Видно так же, что среди мужчин нашлись и такие,
которым для жизненного тонуса необходимо употребление алкоголя.
Большинство респондентов считает,
что абсолютно здоровая нация это реальность.
Для определения уровня здорового
образа жизни респондентам была предложена еще одна методика (Приложение №2).
Методика включает 9 закрытых вопросов. С помощью методики можно определить
уровень здорового образа жизни людей зрелого возраста.
Рассмотрим 1-й вопрос: Курите ли вы?
Диаграмма 15
Как видно из гистограммы,
большинство опрошенных мужчин (77%) и женщин (83%) не курят. Причем среди
женщин некурящих больше, чем среди мужчин. Соответственно (23%) мужчин и (17%)
женщин курят.
Рассмотрим 2-й вопрос: Занимаетесь
спортом?
Диаграмма 16
По результатам ответов построена
гистограмма, из которой видно, что (58%) мужчин и (60%) женщин считают, что
занимаются спортом. Видно так же, что достаточно много тех, которые не
занимаются спортом: (42%) мужчин, (40%) женщин не занимаются спортом.
Рассмотрим 3-й вопрос: Ходите на
работу пешком?
Диаграмма 17
По результатам ответов построена
гистограмма, из которой видно, что достаточно много опрошенных мужчин (65%) и
женщин (63%) имеют возможность ходить на работу пешком.
Рассмотрим 4-й вопрос: Употребляете
спиртное?
Диаграмма 18
Как видно из гистограммы, большинство мужчин
(73%) и женщин (70%) не употребляют спиртные напитки. Однако примерно 30%
опрошенных среди мужчин и женщин употребляют спиртные напитки.
Рассмотрим 5-й вопрос: Употребляете жаренную,
жирную пищу?
Диаграмма 19
Из результатов можно сделать вывод:
что большинство женщин (67%) и мужчин (54%) стараются следить за своим
питанием. Причем среди женщин больше тех, которые не употребляют жареную пищу.
Рассмотрим 6-й вопрос: Делаете
зарядку?
Диаграмма 20
Ответы показывают, что подавляющие
число женщин (70%) делают зарядку, в то время, как среди мужчин мнения
разделались ровно половина мужчин делает зарядку и еще половина не считает это
нужным.
Рассмотрим 7-й вопрос: Любите ли
отдыхать на природе?
Диаграмма 21
Большинство мужчин (69%) и женщин
(73%) любят проводить свободное время на природе. Соответственно (31%) мужчин и
(27%) женщин не любят отдыхать на природе.
Рассмотрим 8-й вопрос: Можете ли вы
отказать иногда от сладкого?
Диаграмма 22
Из гистограммы видно, что
большинство мужчин (72%) и женщин (81%) не могут себе отказать в сладком.
Соответственно (28%) мужчин и (19%) женщин могут отказать себе в сладком.
Причем среди женщин больше тех, кто не может отказать себе в сладком, чем среди
мужчин.
Рассмотрим 9-й вопрос: Бываете на
больничном более одного раза в год?
Из результатов можно сделать вывод:
что большинство женщин (85%) и мужчин (70%) не бывают на больничном боле одного
раза в год. Соответственно (15%) мужчин и (30%) женщин бывают на больничном
более одного раза в год. Причем среди женщин больше тех, кто бывают на
больничном более одного раза в год.
В результате проведения
анкетирования получены следующие результаты:
Диаграмма 24
Далее проводим обработку результатов
тестирования. Из данных представленных в гистограмме видно, что на низком
уровне находятся 18% респондентов, на среднем уровне 14% и 67% показали высокий
уровень, то есть ведут полностью здоровый образ жизни.
Если проанализировать опросные
листы, то наиболее негативной выглядит ситуация в связи с употреблением
алкоголя и курением. Около 30% опрошенных среди мужчин и женщин употребляют
алкоголь. Около 20% опрошенных среди мужчин и женщин курят. Большинство женщин
и мужчин стараются следить за своим питанием, причем среди женщин больше тех,
которые не употребляют жареную пищу. Подавляющие число женщин делают зарядку, в
то время, как ровно половина мужчин не считает это нужным. Однако среди женщин
гораздо больше тех, кто делает зарядку.
Таким образом, исследование
показывает, что представление о здоровом образе жизни, прежде всего, сводятся к
занятиям спортом, отсутствию вредных привычек и правильному питанию. В
большинстве случаев респонденты стараются вести здоровый образ жизни, причем
женщины больше заботятся о своем здоровье, чем мужчины.
.3 Исследование психических
репрезентаций Олимпиады 2014
Для определения представления
респондентов о предстоящих зимних Олимпийских играх 2014 г. использовался метод
семантического дифференциала Ч.Осгуда. Семантический дифференциал - метод
построения индивидуальных или групповых семантических пространств. Координатами
<#"797787.files/image041.gif">
Т.е. около 80% опрошенных считают
Олимпийские игры важным событием, 10 % неважным, 10 % считает что, это пара
качеств отсутствует.
Рассмотрим пару качеств: нужное -
ненужное.
Диаграмма 26
Почти 68% опрошенных считают
Олимпийские игры нужным событием, 18% ненужным событием, 14% считает что, это
пара качеств отсутствует.
Рассмотрим пару качеств:
поддерживаемое - неподдерживаемое.
Диаграмма 27
Около 63% опрошенных считают
Олимпийские игры поддерживаемым событием, 21% неподдерживаемым событием, 17%
считает что, это пара качеств отсутствует.
Рассмотрим пару качеств: значимое -
незначимое.
Диаграмма 28
Большинство опрошенных (78 %)
считают Олимпийские игры значимым событием, 16% незначимым событием, 6% считает
что, это пара качеств отсутствует.
Рассмотрим пару качеств:
экологически безопасное - экологически небезопасное.
Диаграмма 29
Мнения разделись, 37% опрошенных
считают Олимпийские игры экологически безопасным событием, 40% считают
экологически небезопасным, 23% не смогли определиться в выборе.
Рассмотрим пару качеств:
перспективное - неперспективное.
Диаграмма 30
Около 71% опрошенных считают
Олимпийские игры перспективным событием, 20% считают неперспективным событием,
9% считают, что эта пара качеств отсутствует.
Рассмотрим пару качеств: хорошее -
плохое.
Диаграмма 31
Около 70% опрошенных считают
Олимпийские игры хорошим событием, 21% считают плохим событием, 9% считают, что
эта пара качеств отсутствует.
Рассмотрим пару качеств: популярное
- непопулярное.
Диаграмма 32
Большинство опрошенных (82%) считают
Олимпийские игры популярным событием, 11% считают непопулярным событием, 7%
считают, что эта пара качеств отсутствует.
Рассмотрим пару качеств: яркое -
неяркое.
Диаграмма 33
Большинство опрошенных (84%) считают
Олимпийские игры ярким событием, 7% считают неярким событием, 9% считают, что
эта пара качеств отсутствует.
Усредняя ответы всех респондентов по
каждому из вербальных антонимов <#"797787.files/image050.gif">
Т.о. полученная гистограмма является
своеобразной объяснительной моделью того, как респонденты воспринимают,
оценивают, представляют Зимние Олимпийские игры. Т.е в среднем (70%)
респондентов имеют положительное представление о Зимних Олимпийских играх, 18%
негативное представление и 12% имеют нейтральное представление.
Дополнительно для определения представления
людей зрелого возраста о зимней Олимпиаде 2014 г. было проведено анкетирование.
Анкета состояла из 9 открытых вопросов. При анализе открытых вопросов анкеты
был выделен ряд составляющих представления респондентов об Олимпиаде
[Приложение 4].
Так при ответе на вопрос: Что такое
Олимпийские игры? Большинство испытуемых указали, что это спортивные
соревнования; игры, объединяющие страны; событие мирового масштаба; игры
народов мира.
При ответе на вопрос: Что вызывает у
Вас Олимпиада 2014 г.? Испытуемые указывали: гордость; положительные эмоции;
чувство радости; восторг; уверенность в будущем. Некоторые отметили, что
Олимпиада вызывает у них смешанные чувства.
При ответе на вопрос: Что такое
Олимпийские игры для г.Сочи? Испытуемые обозначили: развитие города;
процветание; гордость и ответственность; всемирная известность; обновление
инфраструктуры; улучшение внешнего вида города.
При ответе на вопрос: Что принесет
Олимпиада в наш город? Испытуемые указывали: реклама города Сочи, строительство
новых парков; город станет чище и красивее; рост престижа и авторитета в мире.
Также были и следующие ответы: повышение цен; разочарование.
При ответе на вопрос: С чем
ассоциируются у Вас Олимпийские игры? Испытуемые обозначили свои ассоциации с
праздником; олимпийским мишкой; медалями; здоровым образом жизни; повышение
привлекательности курорта; снег и лыжи; спорт и здоровье; большим спортивным
праздником; праздник спорта.
На вопрос: Как большинство людей
нашего города относятся к Олимпиаде? Среди ответов были следующие: по-разному
(вообщем хорошо); положительно; неоднозначно, но с пониманием; нормально;
скорее с одобрением. Также были и следующие ответы: неоднозначно; с
недовольством.
На вопрос: Какие изменения принесет
Олимпиада в наш город? Среди ответов были следующие: новые дороги; спортивные
объекты; улучшение инфраструктуры; город станет известным на весь мир;
изменение внешнего облика города к лучшему; благоустройство.
На вопрос: Какую возможность
предоставляет Олимпиада 2014? Среди ответов были следующие: развитее спорта в
стране; научится кататься на коньках; приток туристов; развитие курорта;
возможность детям заниматься спортом; увеличение числа спортивных объектов.
На вопрос: Что представляет собой
Олимпиада - 2014 в г. Сочи? Среди ответов были следующие: праздник для России;
спорт; реклама спорта; соревнования спортсменов; спорт и реклама; праздник;
шоу; всемирное спортивное состязание.
Таким образом, большинство
респондентов представляют Зимние Олимпийские игры положительно, представляя их
как крупное спортивное состязание, пропаганду здорового образа жизни, праздник
спорта, объединяющий людей одной идеей - спорт.
.4 Выявление влияния психических
репрезентаций Олимпиады на здоровый образ жизни людей зрелого возраста
Для реализации цели исследования и
верификации гипотезы и на основе полученных после обработки тестовых методик
данных было проведено статистическое исследование. Сравнительный анализ
проводился с помощью коэффициента корреляции Пирсона.
Сформулируем гипотезы:

: Положительная репрезентация
олимпиады не влияет на развитие здорового образа жизни людей зрелого возраста,
т.е. отсутствие линейной связи.
: Положительная репрезентация олимпиады
влияет на развитие здорового образа жизни людей зрелого возраста., т.е
существование тесной линейной связи.
. Проверка на нормальное
распределение
Если распределение не является
нормальным, то его нельзя охарактеризовать средним арифметическим и стандартным
отклонением. В таком случае мы говорим о непараметрических данных, для которых
применяются непараметрические методы статистики. Т.к. коэффициент линейной
корреляции Пирсона является параметрическим методом, следовательно, его
корректное применение возможно только в том случае если исходные данные имеют
нормальное распределение.
Для этого необходимо построить
график плотности нормального распределения. Кривая нормального распределения
полностью задана, если известно среднее значение μ, и отклонение
σ.
Вычислим
значения вероятности нормальной функции распределения для среднего значения и
стандартного отклонения, полученные из Таблицы №3.
Таблица №3.
Частоты появления значений случайной
величины хi (психические репрезентации Олимпиады)
|
x
|
F(x)
|
x
|
F(x)
|
x
|
F(x)
|
x
|
F(x)
|
|
122
|
0,013
|
131
|
0,009
|
118
|
0,014
|
46
|
0,001
|
|
128
|
0,011
|
77
|
0,008
|
107
|
0,016
|
110
|
0,016
|
|
20
|
0
|
100
|
0,016
|
85
|
0,012
|
119
|
0,014
|
|
130
|
0,01
|
126
|
0,011
|
121
|
0,013
|
106
|
0,016
|
|
134
|
0,008
|
70
|
0,006
|
114
|
0,015
|
96
|
0,015
|
|
93
|
0,014
|
46
|
0,001
|
109
|
0,016
|
103
|
0,016
|
|
134
|
0,008
|
110
|
0,016
|
86
|
0,012
|
79
|
0,009
|
|
101
|
0,016
|
124
|
0,012
|
110
|
0,016
|
114
|
0,015
|
|
131
|
0,009
|
110
|
0,016
|
116
|
0,015
|
90
|
0,013
|
|
64
|
0,004
|
107
|
0,016
|
135
|
0,008
|
116
|
0,015
|
|
109
|
0,016
|
117
|
0,015
|
129
|
0,01
|
128
|
0,011
|
|
80
|
0,01
|
75
|
0,008
|
98
|
0,016
|
100
|
0,016
|
|
123
|
0,013
|
100
|
0,016
|
130
|
0,01
|
87
|
0,012
|
|
129
|
0,01
|
126
|
0,011
|
125
|
0,012
|
109
|
0,016
|
|
|
Ср.знач.
|
105,4107
|
СКО
|
24,39208
|
Дисперсия
|
594,9737
|
На основании полученных данных построим график
плотности нормального распределения f(x). (Рис.1)
Рисунок 1. График нормального
распределения f(x)
Как видно из рисунка, нормальная
кривая имеет колоколообразную форму. Эта форма является отличительной чертой
нормального распределения. Вычислим значения вероятности нормальной функции
распределения для среднего значения и стандартного отклонения, полученные из
Таблицы №4.
Таблица 4.
Частоты появления значений случайной величины yi
(уровень ЗОЖ)
|
y
|
f(X)
|
y
|
f(X)
|
y
|
f(X)
|
y
|
f(X)
|
|
0,079
|
3
|
0,051
|
6
|
0,076
|
-3
|
0,007
|
0,079
|
|
0,027
|
3
|
0,051
|
15
|
0,027
|
12
|
0,056
|
0,027
|
|
0,079
|
3
|
0,051
|
9
|
0,079
|
12
|
0,056
|
0,079
|
|
0,023
|
-3
|
0,007
|
12
|
0,056
|
12
|
0,056
|
0,023
|
|
0,079
|
9
|
0,079
|
6
|
0,076
|
6
|
0,076
|
0,079
|
|
0,051
|
6
|
0,076
|
3
|
0,051
|
12
|
0,056
|
0,051
|
|
0,051
|
3
|
0,051
|
12
|
0,056
|
0
|
0,023
|
0,051
|
|
0,076
|
3
|
0,051
|
0
|
0,023
|
15
|
0,027
|
0,076
|
|
0,056
|
12
|
0,056
|
18
|
0,009
|
6
|
0,076
|
0,056
|
|
0,056
|
3
|
0,051
|
6
|
0,076
|
9
|
0,079
|
0,056
|
|
0,056
|
0
|
0,023
|
9
|
0,079
|
12
|
0,056
|
0,056
|
|
0,079
|
9
|
0,079
|
15
|
0,027
|
9
|
0,079
|
0,079
|
|
0,079
|
9
|
0,079
|
15
|
0,027
|
3
|
0,051
|
0,079
|
|
0,079
|
6
|
0,076
|
12
|
0,056
|
9
|
0,079
|
0,079
|
|
|
Ср.знач.
(y)
|
7,767
|
СКО
|
4,913
|
Дисперсия
|
24,145
|
|
|
На основании полученных данных построим график
плотности нормального распределения f(y). (Рис.2)
Рисунок 2. График нормального
распределения f(y)
Как видно из рисунка, нормальная
кривая имеет колоколообразную форму. Эта форма является отличительной чертой
нормального распределения.
Так как графики нормального распределения
F(X) и F(Y) имеют колоколообразную форму, следовательно, мы имеем право
рассматривать полученный коэффициент корреляции как строгую меру взаимосвязей
переменных, и применять к нему методы статистической проверки гипотез.
. Построение корреляционного поля и
составление корреляционной таблицы
Для предварительного анализа
строится поле корреляции. Для этого измеренные значения переменных X
(репрезентация Олимпиады), Y (уровень ЗОЖ) изображаются точками на плоскости.
Построим поле корреляции по исходным данным. (Рис. 3)
Рисунок 3. Корреляционное поле
По виду полученного «облака» можно
сделать предположение о наличии линейной связи между переменными. Для всех
расчетов составим вспомогательную таблицу. Исходные данные для расчетов брались
из Приложения №5. На их основе была построена итоговая корреляционная таблица.
В таблице даны индивидуальные значения переменных X (репрезентация Олимпиады),
Y (уровень ЗОЖ), Z (возраст испытуемых), произведения переменных X и Y, квадраты
переменных всех индивидуальных значений переменных X и Y, а также суммы всех
вышеперечисленных величин. (Таблица 5)
Таблица №5.
Итоговая корреляционная таблица
|
Пол
|
Z
|
X
|
Y
|
X2
|
Y2
|
XY
|
Пол
|
Z
|
X
|
Y
|
X2
|
Y2
|
XY
|
44
|
122
|
9
|
14884
|
81
|
1098
|
2
|
46
|
118
|
9
|
13924
|
81
|
1062
|
|
1
|
44
|
128
|
15
|
16384
|
225
|
1920
|
2
|
50
|
107
|
12
|
11449
|
144
|
1284
|
|
1
|
69
|
20
|
9
|
400
|
81
|
180
|
2
|
60
|
85
|
6
|
7225
|
36
|
510
|
|
1
|
42
|
130
|
15
|
16900
|
225
|
1950
|
2
|
46
|
121
|
12
|
14641
|
144
|
1452
|
|
1
|
42
|
129
|
12
|
16641
|
144
|
1548
|
2
|
48
|
114
|
12
|
12996
|
144
|
1368
|
|
1
|
50
|
93
|
9
|
8649
|
81
|
837
|
2
|
49
|
107
|
9
|
11449
|
81
|
963
|
|
1
|
42
|
132
|
12
|
17424
|
144
|
1584
|
2
|
60
|
86
|
3
|
7396
|
9
|
258
|
|
1
|
45
|
101
|
9
|
10201
|
81
|
909
|
2
|
49
|
110
|
9
|
12100
|
81
|
990
|
|
1
|
43
|
131
|
12
|
17161
|
144
|
1572
|
2
|
45
|
116
|
15
|
13456
|
225
|
1740
|
|
1
|
52
|
64
|
6
|
4096
|
36
|
384
|
2
|
41
|
135
|
15
|
18225
|
225
|
2025
|
|
1
|
46
|
106
|
9
|
11236
|
81
|
954
|
2
|
42
|
129
|
9
|
16641
|
81
|
1161
|
|
1
|
70
|
79
|
3
|
6241
|
9
|
237
|
2
|
56
|
98
|
15
|
9604
|
225
|
1470
|
|
1
|
45
|
123
|
9
|
15129
|
81
|
1107
|
2
|
42
|
130
|
15
|
16900
|
225
|
1950
|
|
1
|
45
|
129
|
9
|
16641
|
81
|
1161
|
2
|
43
|
125
|
9
|
15625
|
81
|
1125
|
|
1
|
44
|
131
|
15
|
17161
|
225
|
1965
|
2
|
68
|
46
|
-3
|
2116
|
9
|
-138
|
|
1
|
64
|
77
|
3
|
5929
|
9
|
231
|
2
|
49
|
110
|
12
|
12100
|
144
|
1320
|
|
1
|
48
|
100
|
9
|
10000
|
81
|
900
|
2
|
45
|
119
|
9
|
14161
|
81
|
1071
|
|
1
|
46
|
126
|
9
|
15876
|
81
|
1134
|
2
|
50
|
106
|
12
|
11236
|
144
|
1272
|
|
1
|
68
|
70
|
3
|
4900
|
9
|
210
|
2
|
55
|
96
|
6
|
9216
|
36
|
576
|
|
1
|
70
|
46
|
3
|
2116
|
9
|
138
|
2
|
52
|
103
|
12
|
10609
|
144
|
1236
|
|
1
|
47
|
110
|
9
|
12100
|
81
|
990
|
2
|
65
|
79
|
0
|
6241
|
0
|
0
|
|
1
|
45
|
123
|
9
|
15129
|
81
|
1107
|
2
|
48
|
114
|
12
|
12996
|
144
|
1368
|
|
1
|
47
|
110
|
9
|
12100
|
81
|
990
|
2
|
62
|
132
|
18
|
17424
|
324
|
2376
|
|
1
|
48
|
107
|
6
|
11449
|
36
|
642
|
2
|
47
|
116
|
9
|
13456
|
81
|
1044
|
|
1
|
49
|
116
|
9
|
13456
|
81
|
1044
|
2
|
44
|
128
|
12
|
16384
|
144
|
1536
|
|
1
|
75
|
3
|
5625
|
9
|
225
|
2
|
52
|
100
|
9
|
10000
|
81
|
900
|
|
2
|
50
|
100
|
9
|
10000
|
81
|
900
|
2
|
60
|
87
|
3
|
7569
|
9
|
261
|
|
2
|
47
|
126
|
9
|
15876
|
81
|
1134
|
2
|
50
|
109
|
9
|
11881
|
81
|
981
|
|
|
|
|
|
|
|
|
|
∑X
|
∑Y
|
∑X2
|
∑Y2
|
∑XY
|
|
|
|
|
|
|
|
Итого:
|
5930
|
513
|
660724
|
5643
|
58212
|
3. Корреляционный анализ
Коэффициент корреляции Пирсона рассчитывается по
формуле:
где
-
средние значения выборок x и y;
,
-
среднеквадратичные отклонения;
Даная формула предполагает, что из каждого
значения xi переменной X, должно вычитаться ее среднее значение x. Это не
удобно, поэтому для расчета коэффициента корреляции используют не данную
формулу, а ее аналог, получаемый с помощью преобразований.
Данные для расчетов возьмем из Таблицы №5
. Проверка статистической гипотезы значимости
связи
Полученное нами значение коэффициента
корреляции: rxy= 0,699 проверяется на значимость с помощью значения t-критерия
Стьюдента:
T- значение t-критерия;− теснота линейной
связи (корреляция);
(n-2) - число степеней свободы;- число
испытуемых.
=
=
По статистической таблице Стьюдента критические
значения t-статистики для степеней свободы n-2=54, (т.к в таблице критических
значений нет df=54, то выбираем наиболее близкое df=50) при p=0,05 (5% уровень
значимости) tкр=2,009 при p=0,01 (1% уровень значимости) tкр=2,678.
Таблица №6 Проверка значимости
|
Коэффицент
корреляции (Rxy)
|
0,699
|
|
Кол-во
степеней свободы (df)
|
50
|
|
Уровень
значимости p=0,05
|
2,009
|
|
Уровень
значимости p=0,01
|
2,678
|
|
Значение
t-критерия для коэффициента корреляции
|
7,18
|
Построим
ось значимости:
|
-5%
|
1%
|
|
|
+
|
|
2,009
|
2,678
|
|
7,18
|
|
Полученное значении t -критерия больше
критического t=2,678 на 1% уровне. В этом случае можно принять гипотезу Н1, на
1 % уровне значимости, т.е. положительная репрезентация олимпиады 2014 влияет
на формирование здорового образа жизни людей зрелого возраста.
.Частная корреляция
Однако из установленной тесной зависимости между
двумя исследуемыми величинами (rxy=0.699), ещё непосредственно не следует их
причинная взаимообусловленность. Корректировка необходима по следующим
соображениям:
высокое значение коэффициента корреляции между
исследуемой зависимой и какой-либо независимой переменной может означать
высокую степень зависимости, но может быть обусловлено и другой причиной.
Имеется третья переменная, которая оказывает
сильное влияние на две первые, что и является причиной высокой корреляции.
Поэтому возникает естественная задача найти
«чистую» корреляцию между двумя переменными, исключив (линейное) влияние других
факторов.
Если известна линейная связь между парами
переменных X, Y и Z., то можно подсчитать частные коэффициенты корреляции,
показывающие линейную корреляционную зависимость между двумя переменными при
постоянной величине третьей переменной. Для определения частного коэффициента
корреляции между переменными X и Y при постоянной величине переменной Z,
используют формулу:
где
- коэффициент корреляции Пирсона
<#"797787.files/image061.gif">- коэффициент корреляции Пирсона
<#"797787.files/image062.gif">- коэффициент корреляции Пирсона
<#"797787.files/image063.gif"> ,
Из корреляционной таблицы (Таблица №5)
рассчитаем парные коэффициенты корреляции.
Занесем полученные значения в матрицу парных
коэффициентов корреляции.
Таблица №7
Матрица парных коэффициентов корреляции
|
|
Y
|
X
|
Z
|
|
Y
|
1
|
|
|
|
X
|
0,6993
|
1
|
|
|
Z
|
-0,585
|
-0,68
|
1
|
На основании полученных значений (Таблица №7)
парных коэффициентов корреляции найдем частный коэффициент корреляции rxy|z.
Занесем полученные значения в сводную таблицу
(Таблица№8).
Таблица №8
Парные и частные коэффициенты корреляции
|
Парный
коэффициент корреляции
|
Частный
коэффициент корреляции
|
|
Rxy
|
0,699
|
Rxy|z
|
0,506
|
|
|
|
|
Сравнивая частный коэффициент корреляции с
соответствующими парным коэффициентом, видим, что за счет «очищения» связи
коэффициенты корреляции между x и y, несколько снизились от 0,699 до 0,506, что
по-видимому, соответствует действительности. Т.к. коэффицент корреляции не
поменял знак, следовательно, мы можем отвергнуть существование ложной
корреляции.
Полученное нами значение коэффициента частной
корреляции: rxy|z= 0,506 (влияние психический репрезентации на ЗОЖ) вновь
проверим на значимость с помощью значения t-критерия Стьюдента:
По статистической таблице Стьюдента критические
значения t-статистики для степеней свободы n-2=54, (т.к в таблице критических
значений нет df=54, то выбираем наиболее близкое df=50) при p=0,05 (5% уровень
значимости) tкр=2,009 при p=0,01 (1% уровень значимости) tкр=2,678. Занесем
полученные значения в таблицу (Таблица №9).
Таблица №9. Проверка значимости
|
Коэффицент
корреляции (Rxy|z)
|
0,506
|
|
Кол-во
степеней свободы (df)
|
50
|
|
Уровень
значимости p=0,05
|
2,009
|
|
Уровень
значимости p=0,01
|
2,678
|
|
Значение
t-критерия для коэффициента корреляции
|
4,31
|
Построим ось значимости:
|
-5%
|
1%
|
|
|
+
|
|
2,009
|
2,678
|
4,31
|
|
|
Вновь полученное значении t -критерия больше
критического t=2,678 на 1% уровне. В этом случае мы по-прежнему можем принять
гипотезу Н1, на 1 % уровне значимости, т.е. положительная репрезентация
олимпиады 2014 влияет на формирование здорового образа жизни людей зрелого
возраста.
Заключение
На основе проведенного аналитического анализа
научно-методической литературы мы выделили и сформулировали основные
теоретические положения, которыми руководствовались в процессе проведения
эксперимента.
Выявлено, что понятие здорового образа жизни
гораздо шире, чем отсутствие вредных привычек, режим труда и отдыха, система
питания, различные закаливающие и развивающие упражнения; в него также входит
система отношений к себе, к другому человеку, к жизни в целом, а также
осмысленность бытия, жизненные цели и ценности и т.д. Следовательно, для
творения здоровья необходимо как расширение представлений о здоровье и
болезнях, так и умелое использование всего спектра факторов, влияющих на
различные составляющие здоровья (физическую, психическую, социальную и духовную),
овладение оздоровительными, общеукрепляющими методами и технологиями,
формирование установки на здоровый образ жизни.
Аналитический обзор литературных источников и
опыт собственных
наблюдений позволяет отметить парадоксальный
характер отношения к здоровью современного человека, т. е. несоответствие между
потребностью человека в хорошем здоровье, с одной стороны, и его усилиями,
направленными на сохранение и укрепление своего физического и психологического
благополучия - с другой. Можно определить следующие основные психологические
барьеры, препятствующие эффективной пропаганде здоровья:
Потребность в здоровье актуализируется, как
правило, в случае его потери или по мере утраты.
Действие механизмов психологической защиты, цель
которых - оправдание нездорового поведения.
Влияние прошлого опыта человека.
Эффект теории реактивности, т.е. чем сильнее
запреты, тем больше вероятность, что они вызовут обратную реакцию и пробудят
интерес к запретной теме
Особенности социального микро- и макроокружения.
Социальное одобрение рассматривается как чрезвычайно сильный мотивирующий
фактор, заставляющий людей терпеть даже физический дискомфорт, если они
рассчитывают на то, что их поведение вызовет одобрение других людей.
Действие эффекта задержанной обратной связи: нездоровое
поведение часто приносит мгновенное удовольствие, а долговременные негативные
последствия таких поступков кажутся далекими и маловероятными
Подводя итоги рассмотрения гендерных
особенностей отношения к здоровью, можно отметить следующее: в целом для женщин
характерен более высокий уровень адекватности отношения к здоровью по сравнению
с мужчинами. С возрастом отношение к здоровью приобретает более противоречивый
характер. Так, с одной стороны, по мере увеличения возраста ценность здоровья
(как терминальная, так и инструментальная) возрастает, а с другой стороны,
уровень поведенческой активности, направленной на его поддержание и укрепление,
снижается. В то же время снижение уровня интернальности в области здоровья
является результатом действия психологических механизмов защиты, направленных
на маскировку истинных переживаний, связанных со здоровьем.
Таким образом коррекция неблагоприятных
особенностей того или иного отношения, как известно, - длительный и часто
болезненный для личности процесс, сопряженный с преодолением внутренних
конфликтов и негативных эмоциональных переживаний. В связи с этим особое
значение приобретает целенаправленное формирование правильного отношения к
здоровью. Возникает потребность в поиске, разработке и обосновании концепции
развития физической культуры взрослого населения страны средствами массовой
информации, оказывающих влияние на мотивационную сферу человека, на
формирование субъектной (активной) позиции у него в области физической культуры
и здорового образа жизни.
Таким образом, эффективное влияние Олимпиады
2014 на развитие физической культуры у взрослого человека и переход его к
здоровому образу жизни возможен только вследствие изменения системообразующих
элементов его сознания (знание, отношение, поведение), а также самосознаниия и
таких его составляющих, как: «Я-концепция», самоотношение, самоактуализация и
самоидентификация, т.е., если человек будет осведомлен в ценностях здорового
образа жизни и физической культуры, если они будет им приняты и реализованы в
жизни, и если все это найдет конгруэнтное отражение в рефлексивных механизмах
его личности. Причем это окажется возможным при условии, целенаправленной
пропаганды личной и социальной значимости здорового образа жизни и физической
культуры как его составной части в рамках предстоящих Олимпийский игр.
Следовательно, репрезентации Зимних Олимпийских игр 2014 должна стать важнейшим
фактором популяризации здорового образа жизни и физической культуры.
Анализируя результаты экспериментального
исследования можно сделать вывод, что на низком уровне здоровья находятся 17%
респондентов, на среднем уровне 14% и 67% показали высокий уровень, то есть
ведут полностью здоровый образ жизни. Исследование показывает, что
представление о здоровом образе жизни, прежде всего, сводятся к занятиям
спортом, отсутствию вредных привычек и правильному питанию. В большинстве
случаев респонденты стараются вести здоровый образ жизни, причем женщины больше
заботятся о своем здоровье, чем мужчины. В среднем (70%) респондентов имеют
положительное представление о Зимних Олимпийских играх, 18% негативное
представление и 12% имеют нейтральное представление. Таким образом, большинство
респондентов представляют Зимние Олимпийские игры положительно, представляя их
как крупное спортивное состязание, пропаганду здорового образа жизни, праздник
спорта, объединяющий людей одной идеей - спорт.
Для проверки гипотезы был проведен
корреляционный анализ. Полученное нами значение коэффициента корреляции: rxy=
0,699 было проверено на значимость с помощью значения t-критерия Стьюдента.
Полученное значение t -критерия больше критического t=2,678 на 1% уровне. В
этом случае можно принять гипотезу на 1 % уровне значимости, т.е. положительная
репрезентация олимпиады 2014 влияет на формирование здорового образа жизни людей
зрелого возраста. Однако из установленной тесной зависимости между двумя
исследуемыми величинами (rxy=0.699), ещё непосредственно не следует их
причинная взаимообусловленность. Поэтому возникает естественная задача найти
«чистую» корреляцию между двумя переменными, исключив (линейное) влияние других
факторов. Сравнивая частный коэффициент корреляции (rxy= 0,506) с
соответствующими парным коэффициентом (rxy= 0,699), видно, что за счет
«очищения» связи коэффициенты корреляции между x и y, несколько снизились от
0,699 до 0,506, что по-видимому, соответствует действительности. Т.к. коэфицент
корреляции не поменял знак, следовательно, мы можем отвергнуть существование
ложной корреляции.
Таким образом, была доказана гипотеза, - в
которой мы предполагали, что положительная репрезентация олимпиады 2014 влияет
на формирование здорового образа жизни людей зрелого возраста. В заключение
необходимо отметить - здоровье является важным фактором, влияющим на
существование общества в целом.
Выводы и рекомендации
В результате данной научно-исследовательской
работы составлены рекомендации, направленные на совершенствование деятельности
по формированию здорового образа жизни работникам санаторно-курортного
комплекса.
Анализируя полученную информацию можно
определить основные направления информационной составляющей программы.
Обучающие семинары должны включать следующие тематические разделы: рациональное
питание, влияние вредных привычек на здоровье и борьба с ними, польза
физкультуры и спорта, способы снятия эмоционального стресса и напряжения.
Поэтому необходимо при разработке сообщений на тему здорового образа жизни
привлекать психологов. Более того, можно порекомендовать ввести в штат
медицинского психолога для индивидуальной работы с пациентами.
Необходимо выдавать пациентам специально
разработанные буклеты, которые содержат конкретные рекомендации, специально
разработанные для людей зрелового возраста.
Примерное содержание буклета.
Общепризнано, что важную роль в долголетии
человека играет образ жизни. Большинство людей, проживших долгую и активную
жизнь, питались умеренно, вели физически активный образ жизни, трудились до
самых поздних лет. В целом труд, познание, общение, активный отдых должны
наполнять жизнь человека и в старческие годы. При этом физическое здоровье - один
из существенных факторов, определяющих образ жизни стареющего человека, его
способность адаптироваться к новым условиям жизни.
Представление о здоровом образе жизни людей
пожилого возраста достаточно полно отражено в гигиенических мерах, предложенных
в начале XX в. лондонским врачом Вебером. Правила эти просты и заключаются в
следующем.
Необходимо сохранять все органы в полной их
силе, своевременно распознавать болезненные проявления и бороться с ними.
Следует быть умеренным в потреблении пищи и
питья точно так же, как и в других физических удовольствиях.
Воздух должен быть чист как в помещении, так и
вне его.
Нужны ежедневные физические упражнения
независимо от погоды. Во многих случаях полезны гимнастика дыхания и прогулки
пешком.
Следует вставать и ложиться рано. При этом сон
не должен продолжаться более 6-7 часов.
Ежедневно нужно принимать ванну или обтираться.
Вода должна быть холодной или теплой, смотря по темпераменту.
Надо воспитывать в себе жизнерадостность для
спокойствия души и оптимистического воззрения на жизнь.
С другой стороны, следует побеждать в себе
страсти и нервное беспокойство.[42, c.589]
Для эффективности сообщений на тему здоровья
важно учитывать факторы способствующие началу и продолжению курения. В качестве
примера можно привести классификацию этих факторов:
Психологические факторы (любопытство,
потребность в экспериментировании, вызов, потребность казаться сильным,
«досрочная» взрослость).
Социальное окружение (пример и отношение
родителей, старших братьев и сестер, давление товарищей, пример «ключевых»
взрослых, например преподавателей, знаменитых актеров, певцов, т. е. кумиров и
пр.).
Физиологические факторы (эффект никотина и
оксида углерода, длительность фазы экспериментирования).
Также необходимо донести до людей в возрасте, что
одиночество - злейший враг долголетия. В общем случае противопоставить ему
можно оживление старых и приобретение новых социальных контактов. Не следует
чрезмерно привязываться к радиоприемнику или телевизору, ибо эти источники
информации ни в коей мере не заменят живого общения.
Пешие походы, экскурсии, просто прогулки в
обществе с другими дают хорошую возможность отвлечься от уединенного образа
жизни. Изучение иностранного языка, занятия искусством, посещение театров,
кино, выставок и т. п. - все это тоже помогает сделать жизнь одинокого человека
разнообразной, увлекательной. Регулярные занятия любимым делом не позволят
человеку зачахнуть. Следует следить за своим моральным и внешним обликом, быть
чистым и опрятным, не позволяя себе опуститься. Очень важно, не рассчитывая на
быструю помощь, строго соблюдать меры предосторожности в быту, оберегая себя от
возможных травм или увечий.
Медицинские работники, работники
санаторно-курортного комплекса должны являться ярким примером здорового образа
жизни. Для этого имеет смысл разработать экономические стимулы. Должно быть
выгодно быть здоровым. На сегодняшний день общественное мнение на стороне
больных, а не здоровых. Больной человек окружен заботой, ему сочувствуют и
жалеют. К его услугам поликлиника, санатории, освобождение от работы и многих
других обязанностей. Важно разработать экономические поощрения за участие в
спортивных мероприятиях, материально стимулировать редко болеющих сотрудников.
Медицинские работники должны принимать активное участие в городских праздниках
здоровья, в спортивных мероприятиях и соревнованиях. Для отдыхающих должны быть
организованы бесплатные занятия йогой и аэробикой, спортзал для занятий
волейболом, теннисом.
В качестве ключевого направления работы по
формированию здорового образа жизни рекомендуется более широко использовать
возможности интернет-взаимодействий, поскольку в них имеются потенциальные
перспективы, которым санаторно-курортное учреждение не уделяет должного
внимания. Важно создать сайт организации, на котором будет располагаться
информация об услугах организации и рекомендации по здоровому образу жизни, а
также будут проводиться консультации специалистов в режиме on-line.
Проводить мониторинг деятельности по
формированию здорового образа жизни для анализа эффективности данных программ.
Важно понимать, что деятельность по формированию
здорового образа жизни представляет собой долгосрочную и постоянно действующую
информационно - обучающую систему, направленную на работу с различными группами
населения, эффективность которой, возможно, можно будет оценить только через
несколько лет.
Только совместные усилия государства,
общественных организаций, системы образования и здравоохранения и, наконец,
осознанные действия самих граждан помогут сделать работу по формированию здорового
образа жизни более эффективной.
Список литературы
Александрова
М.Д. Проблемы социальной и психологической геронтологии. - Л., 1974.
Андреева
Г. М Психология социального познания. М. Пресс , 2000, 263 с.
Анисимова
Е.А. Формирование мышления средствами спортивной подготовки. - 2010. - № 8 (66)
Амосов
Н. М. Преодоление старости. - М., 1996.
Бальсевич
В. К. Физическая подготовка в системе воспитания культурыздорового образа жизни
человека (методологический, экологический и организационный аспекты) // Теория
и практика физической культуры. 1990. №1. 226 c.
Басалаева
Н.М., Савкин В.М. Здоровье нации: стратегия и тактика (о проблемах
здравотворчества в регионах России // Валеология. 1996, №2.
Белов
В.И. Психология здоровья. СПб, 1994
Берне
Р. Развитие Я-концепции и воспитание.- М. Прогресс. 1986. 189 с
Бодалев
А. А. Вершина в развитии взрослого человека: характеристикии условия
достижения. М.: Просвещение. 1998. 124 с.
Брехман
И.И. Введение в валеологию - науку о здоровье. Л., 1987.
с.
Брэгг
П. Здоровье и долголетие. - М., 1996.
Бройтигам
В., Кристиан П., Рад М. Психосоматическая медицина. М. Медицина. 1999. 248 с.
Вайнер
Э.Н. Валеология. Учебник для вузов. М., 2001.-416с.
Вартофский
М. Модели репрезентации и научное понимание, Москва «Прогресс» 1988, - 508 c.
Васильева
О.С. Валеология - актуальное направление современной психологии //
Психологический вестник РГУ. Ростов-на-Дону, 1997, Вып.3. 445 c.
Виноградов
П. А. Физическая культура и здоровый образ жизни (проблемы и перспективы
использования средств массовой информации в их пропаганде). М.: Мысль. 1990.
176 с.
Висьневска-Рашковска
К. Новая жизнь после шестидесяти. - М., 1989.
Гаврилов
Д.Н. Программы оздоровительной физической культуры для людей старшего возраста
- СПб.: Олимп-СПб, 2003. - Т. II. - С. 150-152.
Горбунов
Г. Д. Психопедагогика спорта. М. ФиС. 1986. 176 с.
Горчак
С.И. Здоровый образ жизни. Социально-философские и медико-биологические
проблемы. Кишинев, 1991
Грмек
М. Д. Геронтология - учение о старости и долголетии. - М., 1964.
Гундаров
И.А., Полесский В.А., Валеология: Диагностика, средства и практика обеспечения
здоровья. СПб, 1993, 269 с.
Гуфеланд
X. Искусство продлевать человеческую жизнь (макробиотика). - СПб., 1996.
Денисов
Б. П. Оценка состояния здоровья населения России <http://www.mediasphera.ru/mjmp/2005/3/31.pdf>
// Международный журнал медицинской практики, 2005, № 3.
Ермолаев
О.Ю. Математическая статистика для психологов. М.: Московский
психолого-социальный институт: Флинта, 2003. - 366 с.
Земнов
М.А., Миронов В.А., 80 популярных тестов. Владос-Пресс. - 2008 г.
Изуткин
А.М., Царегородцев Г.И. Социалистический образ жизни. М., 1977.
Интервью
с Президентом Оргкомитета «Сочи-2014»
Казначеев
В.П. Здоровье нации. Просвеш,ение. Образование. Москва -Кострома- 1996г. -
248с.
Квасежо
А. В., Зубрев Ю. Г. Психология больного. - Л.: Медицина, 1980.
Кобзарь
А. И. Прикладная математическая статистика. Для инженеров и научных
работников.
- М.: ФИЗМАТЛИТ, 2006. - 816 с.
Лисицын
Ю.П. Образ жизни и здоровье населения. М., 1982, 357 с.
Лисицын
Ю.П. Слово о здоровье. М., 1986, 192 с.
Лвербух
Е. С. Расстройства психической деятельности в позднем возрасте. - Л., 1969.
Лупандин
В.И. Математические методы в психологии: Учебное пособие. Издание 4-е,-
Екатеринбург: Изд-во Урал. ун-та, 2009.
Малышева
Е.Г. Концепт-идеологема «Олимпиада-2014» в спортивно-идеологическом дискурсе:
языковая репрезентация с опорой на национальные культурные коды // Личность.
Культура. Общество. - 2010. - Вып. 4.
Мечников
И. И. Этюды оптимизма. - М., 1987.
Мещеряков
Б., Зинченко В. Большой психологический словарь. - Олма-пресс, 2004. - 672 c.
Митина
О.В., Математические методы в психологии: Практикум. -М.: Фспект Пресс, 2008.
-238 с.
Мурзакаев
Ф.Г., Здоровый образ жизни - залог здоровья., Уфа, 1987, 280 с.
Нистрян
Д.У. Некоторые вопросы здоровья человека в условиях научно-технического
прогресса // Здоровый образ жизни. Социально-философские и медико-биологические
проблемы. Кишинев, 1991, с. 237
Никифоров
Г.С., Психология здоровья - СПб.. Питер, 2006. - 607 с.
Никифиров
Г.С., Психология здоровья. - СПб., 2000.
Петленко
В.П., Валеология человека. СПб, 1997, Т.5.
Платонова
Т.В. Система комплексного воздействия методик здорового образа жизни в
интересах физического и психического здоровья человека : автореф. дис. ...
канд. пед. наук : 13.00.04 / Платонова Татьяна Валентиновна. - СПб., 2003.
Пономарев
Я.А. Психология творчества и педагогика. - М.:Педагогика. 1976. - 280 с.
Росстат.
Демография 2010
Сердюкова
Г.Н., Крылова Д.Н., Здоровье, образ жизни и обслуживание пожилых. Медицина,
1992, 214с.
Степанов
А.Д., Изуткин Д.А. Критерии здорового образа жизни и предпосылки его
формирования // Советское здравоохранение. 1981. №5. с.6.
Фролькис
В. В. Старение и увеличение продолжительности жизни. - Л., 1988.
Харрис
Р. Психология массовых коммуникаций. - 4-е междунар. изд. - М.: «ОЛМА-ПРЕСС»,
2002 ;
Чарлтон
Э. Основные принципы обучения здоровому образу жизни // Вопросы психологии.
1997, №2
Шахматов
Я. Ф. Психическое старение. - М, 1996.
Шмелева
Е.А. Математические методы в психологии: - Шуя: Изд-во «Весть», 2004. - 100 с.
Шмелев
А. Г., Введение в экспериментальную психосемантику. М.: Изд-во МГУ, 1983, 157
с.
Шустер
О.С. Психология здорового образа жизни и средства массовой информации : дис.
... д-ра психол. наук : 19.00. - СПб., 2005. - 395 с.
Приложение 1
Анкета №1
Уважаемый респондент, Вам предлагается заполнить
анкету для социологического исследования на тему «Отношение людей зрелого
возраста к формированию здорового образа жизни». Опрос анонимный, фамилию и имя
указывать не нужно. Все Ваши ответы будут использованы только в данном
исследовании, конфиденциальность гарантируется.
.Вы выросли:
а) в большом городе
б) в небольшом городе
в) в сельской местности
.Ваш пол:
а) мужской;
б) женский
.Ваш возраст: _____ полных лет
.Как Вы считаете, имеете ли Вы вредные привычки
?
а) да
б) нет
.Как вы проводите свое свободное время
а)сижу дома смотрю телевизор
б) гуляю с семьей или близкими
в)занимаюсь спортом;
г)у меня нет свободного времени.
.Вы соблюдаете правильный режим питания?
а)дав)как получается
б)нет
.Как часто вы делаете утреннюю зарядку ?
а)каждый деньв)никогда
б)раз в два дня г)что это такое?
.Занимались ли вы когда-нибудь каким-либо видом
спорта, посещали бассейн, тренажеры (Если да, то каким?)
а)да________________________________
б)нет
.Когда вы в последний раз занимались спортом?
а)вчера в)месяц назад
б)неделю назад г)не помню
.Если бы вы могли начать свою жизнь сначала,
хотели бы заниматься каким-нибудь видом спорта?
а)да, конечно в)зачем мне это нужно?
б)скорее всего нет г)затрудняюсь ответить
.Как вы считаете, способствует ли здоровый образ
жизни успеху в других сферах человеческой деятельности (семья, работа и т.д.)
а)дав)затрудняюсь ответить
б)нет
.Можете ли вы себе позволить посещение бассейна,
тренажерного зала и т.д.
а)могу, регулярно посещаю
б)могу, но не вижу в этом смысла
в)не могу, т.к. нет времени
г)не могу, т.к. не хватает денег
.Часто ли вы задумываетесь о правильности своего
образа жизни?
а)частов)вообще об этом не думаю
б)очень редко
.Ваше личное отношение к здоровому образу жизни
а)это здорово ;
б)можно обойтись и без него;
в)иногда следует соблюдать;
г)не могу ответить;
.Какое количество денег вы тратите на
приобретение витаминов, полезных продуктов питания(фрукты, овощи и т.д.)
а)много (почти все)
б)достаточно много
в)мало
г)почти не трачу
.Для поднятия жизненного тонуса необходимо
(выбрать все возможные варианты):
а)соблюдение режима дня
б)занятие спортом
в)постоянные прогулки на природе
г)употребление алкоголя
д)использование легкого наркотика
е)одухотворенная литература
ж)Ваш
вариант___________________________________________
. Как Вы считаете, абсолютно здоровая нация это:
а)иллюзия б)реальность.
БОЛЬШОЕ СПАСИБО ЗА ВАШИ ОТВЕТЫ!
Приложение 2
Анкета№2
«Определение уровня здорового образа жизни людей
зрелого возраста»
Инструкция: Предлагаем Вам ответить на следующие
вопросы
. Курите ли вы?
да нет
. Занимаетесь спортом?
да нет
. Ходите на работу пешком?
да нет
. Употребляете спиртное?
да нет
. Употребляете жаренную, жирную пищу?
да нет
. Делаете зарядку?
да нет
. Любите ли отдыхать на природе?
да нет
. Можете ли вы отказать иногда от сладкого?
да нет
. Бываете на больничном более одного раза в год?
да нет
Приложение 3
Анкета №3
Инструкция: Предлагаем Вам закончить следующее
предложение - «Я представляю предстоящую зимнюю Олимпиаду 2014 г. в городе Сочи
как событие…» Степень выраженности Ваших представлений о предстоящем событии
отметьте по 3-бальной шкале. Если качество выражено максимально, поставьте 3
балла, если минимально 1 балл. Чем меньше цифра, тем в меньшей степени это
качество присуще событию. Если, по Вашему мнению, эта пара качеств вообще
отсутствует, обведите цифру «0». В каждой паре качеств должна быть отмечена
только одна цифра.
|
важное
|
3
2 1 0 1 2 3
|
неважное
|
|
полезное
|
3
2 1 0 1 2 3
|
Вредное
|
|
Нужное
|
Ненужное
|
|
Поддерживаемое
|
3
2 1 0 1 2 3
|
Неподдерживаемое
|
|
Значимое
|
3
2 1 0 1 2 3
|
Незначимое
|
|
Положительное
|
3
2 1 0 1 2 3
|
Отрицательное
|
|
Экологически
безопасное
|
3
2 1 0 1 2 3
|
Экологически
небезопасное
|
|
Веселое
|
3
2 1 0 1 2 3
|
Грустное
|
|
Интересное
|
3
2 1 0 1 2 3
|
Неинтересное
|
|
Праздничное
|
3
2 1 0 1 2 3
|
Непраздничное
|
|
Прибыльное
|
3
2 1 0 1 2 3
|
Неприбыльное
|
|
Перспективное
|
3
2 1 0 1 2 3
|
Неперспективное
|
|
Проблемное
|
3
2 1 0 1 2 3
|
Не
проблемное
|
|
Яркое
|
3
2 1 0 1 2 3
|
Неяркое
|
|
Экономически
выгодное
|
3
2 1 0 1 2 3
|
Экономически
невыгодное
|
|
Чистое
|
3
2 1 0 1 2 3
|
Грязное
|
|
Реальное
|
3
2 1 0 1 2 3
|
Нереальное
|
|
Хорошее
|
3
2 1 0 1 2 3
|
Плохое
|
|
Популярное
|
3
2 1 0 1 2 3
|
Непопулярное
|
|
Глобальное
|
3
2 1 0 1 2 3
|
Неглобальное
|
Приложение 4
Анкета №4
Инструкция: Предлагаем Вам ответить на вопросы,
касающихся проблемы проведения предстоящей зимней Олимпиады - 2014 в г.Сочи.
Пожалуйста, отвечайте то, что первое придет Вам на ум.
Что такое Олимпийские игры?
Что вызывает у Вас Олимпиада 2014 г.?
Что такое Олимпийские игры 2014 для г.Сочи?
Что принесет Олимпиада в наш город?
С чем ассоциируется у Вас Олимпийские игры?
Как большинство людей нашего города относятся к
Олимпиаде?
Какие изменения принесет Олимпиада в наш город?
Какую возможность предоставляет Олимпиада 2014?
Что представляет собой Олимпиада - 2014 в
г.Сочи?
Благодарим за искренние ответы!!!
Приложение №5
Показатели, полученные из Анкеты №2, Анкета №3.
|
|
Представление
Олимпиады (Анкета №3)
|
|
Уровень
ЗОЖ (Анкета №2)
|
|
|
Испы-ту-
емые
|
Пол
|
1
|
2
|
3
|
4
|
5
|
6
|
7
|
8
|
9
|
10
|
11
|
12
|
13
|
14
|
15
|
16
|
17
|
18
|
19
|
20
|
Сум-
ма
|
1
|
2
|
3
|
4
|
5
|
6
|
7
|
8
|
9
|
Сум ма
|
| 1 |
1
|
7
|
7
|
6
|
5
|
6
|
7
|
5
|
6
|
6
|
6
|
6
|
6
|
6
|
6
|
6
|
6
|
6
|
6
|
6
|
7
|
122
|
2
|
2
|
2
|
2
|
-1
|
-1
|
2
|
-1
|
2
|
9
|
| 2 |
1
|
7
|
7
|
6
|
6
|
7
|
7
|
6
|
6
|
7
|
6
|
6
|
6
|
6
|
7
|
6
|
6
|
6
|
6
|
7
|
7
|
128
|
2
|
2
|
-1
|
2
|
2
|
2
|
2
|
2
|
2
|
15
|
| 3 |
1
|
1
|
1
|
1
|
1
|
1
|
1
|
1
|
1
|
1
|
1
|
1
|
1
|
1
|
1
|
1
|
1
|
1
|
1
|
1
|
1
|
20
|
2
|
2
|
-1
|
2
|
-1
|
-1
|
2
|
2
|
2
|
9
|
| 4 |
1
|
7
|
7
|
7
|
7
|
7
|
7
|
4
|
7
|
7
|
7
|
6
|
6
|
4
|
7
|
7
|
5
|
7
|
7
|
7
|
7
|
130
|
-1
|
2
|
2
|
2
|
2
|
2
|
2
|
2
|
2
|
15
|
| 5 |
1
|
5
|
7
|
7
|
7
|
7
|
7
|
6
|
7
|
7
|
7
|
6
|
6
|
5
|
6
|
6
|
5
|
7
|
7
|
7
|
7
|
129
|
-1
|
2
|
2
|
2
|
2
|
-1
|
2
|
2
|
2
|
12
|
| 6 |
1
|
5
|
6
|
7
|
2
|
3
|
2
|
1
|
7
|
6
|
7
|
5
|
3
|
7
|
5
|
4
|
1
|
7
|
7
|
6
|
2
|
93
|
-1
|
2
|
2
|
2
|
2
|
2
|
2
|
-1
|
-1
|
9
|
| 7 |
1
|
7
|
7
|
7
|
7
|
7
|
7
|
4
|
7
|
7
|
7
|
7
|
7
|
4
|
6
|
6
|
7
|
7
|
7
|
7
|
7
|
132
|
2
|
2
|
2
|
2
|
2
|
2
|
-1
|
-1
|
2
|
12
|
| 8 |
1
|
7
|
1
|
4
|
7
|
7
|
4
|
1
|
7
|
7
|
7
|
4
|
4
|
1
|
7
|
4
|
1
|
7
|
7
|
7
|
7
|
2
|
2
|
-1
|
-1
|
2
|
-1
|
2
|
2
|
2
|
9
|
| 9 |
1
|
7
|
7
|
7
|
7
|
6
|
7
|
6
|
7
|
7
|
7
|
6
|
7
|
2
|
7
|
6
|
7
|
7
|
7
|
7
|
7
|
131
|
2
|
2
|
2
|
2
|
2
|
2
|
2
|
-1
|
-1
|
12
|
| 10 |
1
|
7
|
1
|
1
|
5
|
7
|
1
|
1
|
1
|
1
|
1
|
7
|
1
|
7
|
5
|
1
|
1
|
7
|
1
|
4
|
4
|
64
|
2
|
-1
|
-1
|
2
|
-1
|
-1
|
2
|
2
|
2
|
6
|
| 11 |
1
|
7
|
5
|
5
|
1
|
2
|
1
|
7
|
7
|
5
|
6
|
3
|
7
|
7
|
7
|
6
|
5
|
6
|
7
|
6
|
6
|
106
|
2
|
-1
|
2
|
-1
|
2
|
2
|
2
|
2
|
-1
|
9
|
| 12 |
1
|
4
|
4
|
4
|
4
|
4
|
4
|
4
|
4
|
4
|
4
|
4
|
4
|
4
|
4
|
4
|
4
|
3
|
4
|
4
|
4
|
79
|
2
|
2
|
-1
|
-1
|
-1
|
-1
|
-1
|
2
|
2
|
3
|
| 13 |
1
|
7
|
6
|
6
|
6
|
7
|
6
|
6
|
5
|
6
|
6
|
6
|
6
|
5
|
7
|
6
|
6
|
6
|
6
|
7
|
7
|
123
|
2
|
2
|
2
|
-1
|
-1
|
2
|
2
|
-1
|
2
|
9
|
| 14 |
1
|
7
|
1
|
7
|
7
|
7
|
7
|
5
|
7
|
7
|
6
|
7
|
7
|
7
|
6
|
7
|
6
|
7
|
7
|
7
|
7
|
129
|
2
|
-1
|
2
|
2
|
2
|
2
|
-1
|
-1
|
2
|
9
|
| 15 |
1
|
7
|
7
|
7
|
6
|
7
|
7
|
6
|
7
|
7
|
7
|
5
|
7
|
6
|
7
|
5
|
6
|
7
|
7
|
6
|
7
|
131
|
2
|
2
|
-1
|
2
|
2
|
2
|
2
|
2
|
2
|
15
|
| 16 |
1
|
4
|
4
|
4
|
4
|
4
|
4
|
4
|
4
|
4
|
4
|
4
|
4
|
4
|
4
|
4
|
4
|
1
|
4
|
4
|
4
|
77
|
-1
|
-1
|
2
|
-1
|
-1
|
-1
|
2
|
2
|
2
|
3
|
| 17 |
1
|
3
|
3
|
4
|
4
|
5
|
5
|
1
|
1
|
7
|
7
|
7
|
7
|
7
|
7
|
7
|
7
|
4
|
3
|
4
|
7
|
100
|
2
|
2
|
2
|
-1
|
-1
|
2
|
2
|
-1
|
2
|
9
|
| 18 |
1
|
7
|
6
|
5
|
7
|
7
|
6
|
5
|
6
|
7
|
6
|
6
|
6
|
7
|
7
|
7
|
5
|
6
|
6
|
7
|
7
|
126
|
-1
|
-1
|
2
|
2
|
2
|
2
|
-1
|
2
|
2
|
9
|
| 19 |
1
|
7
|
4
|
4
|
6
|
4
|
3
|
4
|
3
|
4
|
4
|
4
|
2
|
4
|
4
|
3
|
1
|
1
|
2
|
3
|
70
|
2
|
-1
|
2
|
2
|
-1
|
-1
|
-1
|
-1
|
2
|
3
|
| 20 |
1
|
2
|
2
|
2
|
3
|
2
|
2
|
1
|
2
|
3
|
3
|
3
|
2
|
2
|
3
|
4
|
1
|
1
|
2
|
3
|
3
|
46
|
2
|
-1
|
-1
|
-1
|
-1
|
-1
|
2
|
2
|
2
|
3
|
| 21 |
1
|
4
|
5
|
5
|
4
|
6
|
7
|
6
|
7
|
6
|
6
|
7
|
7
|
6
|
6
|
4
|
4
|
2
|
7
|
7
|
4
|
110
|
2
|
-1
|
2
|
2
|
2
|
-1
|
2
|
-1
|
2
|
9
|
| 22 |
1
|
7
|
6
|
6
|
7
|
7
|
6
|
1
|
7
|
7
|
7
|
7
|
7
|
6
|
6
|
7
|
4
|
7
|
5
|
7
|
6
|
123
|
-1
|
-1
|
2
|
2
|
2
|
2
|
-1
|
2
|
2
|
9
|
| 23 |
1
|
7
|
7
|
7
|
7
|
7
|
2
|
1
|
6
|
7
|
7
|
7
|
3
|
5
|
6
|
7
|
2
|
6
|
3
|
6
|
7
|
110
|
2
|
2
|
-1
|
2
|
-1
|
2
|
-1
|
2
|
2
|
9
|
| 24 |
1
|
6
|
4
|
5
|
6
|
6
|
4
|
5
|
7
|
7
|
7
|
6
|
5
|
7
|
7
|
2
|
4
|
7
|
5
|
3
|
4
|
107
|
2
|
-1
|
2
|
2
|
-1
|
-1
|
2
|
-1
|
2
|
6
|
| 25 |
1
|
7
|
7
|
7
|
4
|
6
|
5
|
4
|
4
|
6
|
6
|
4
|
7
|
7
|
4
|
4
|
7
|
6
|
7
|
7
|
7
|
116
|
2
|
-1
|
2
|
2
|
2
|
-1
|
2
|
2
|
-1
|
9
|
| 26 |
1
|
4
|
4
|
4
|
1
|
1
|
1
|
1
|
1
|
2
|
2
|
3
|
2
|
7
|
7
|
7
|
1
|
7
|
6
|
7
|
7
|
75
|
2
|
2
|
-1
|
2
|
-1
|
-1
|
-1
|
-1
|
2
|
3
|
| 27 |
2
|
7
|
4
|
4
|
3
|
7
|
4
|
3
|
6
|
6
|
6
|
5
|
5
|
7
|
7
|
4
|
1
|
5
|
4
|
5
|
7
|
100
|
2
|
-1
|
-1
|
2
|
2
|
-1
|
2
|
2
|
2
|
9
|
| 28 |
2
|
7
|
7
|
7
|
7
|
7
|
7
|
2
|
5
|
7
|
7
|
5
|
7
|
7
|
7
|
7
|
2
|
7
|
7
|
7
|
7
|
126
|
2
|
-1
|
-1
|
2
|
-1
|
2
|
2
|
2
|
2
|
9
|
| 29 |
2
|
7
|
6
|
6
|
6
|
7
|
7
|
3
|
7
|
7
|
7
|
7
|
6
|
2
|
7
|
3
|
3
|
7
|
6
|
7
|
7
|
118
|
2
|
-1
|
-1
|
2
|
2
|
-1
|
2
|
2
|
2
|
9
|
| 30 |
2
|
1
|
7
|
1
|
1
|
1
|
1
|
7
|
7
|
7
|
7
|
7
|
7
|
4
|
7
|
7
|
7
|
7
|
7
|
7
|
107
|
2
|
2
|
2
|
2
|
2
|
2
|
-1
|
2
|
-1
|
12
|
| 31 |
2
|
7
|
1
|
1
|
4
|
7
|
1
|
4
|
5
|
5
|
3
|
4
|
7
|
5
|
1
|
4
|
7
|
5
|
5
|
5
|
4
|
85
|
2
|
-1
|
-1
|
-1
|
-1
|
2
|
2
|
2
|
2
|
6
|
| 32 |
2
|
7
|
7
|
7
|
7
|
7
|
7
|
5
|
6
|
7
|
7
|
1
|
7
|
6
|
7
|
1
|
4
|
7
|
7
|
7
|
7
|
121
|
2
|
2
|
2
|
2
|
-1
|
2
|
2
|
-1
|
2
|
12
|
| 33 |
2
|
6
|
6
|
6
|
5
|
6
|
6
|
4
|
5
|
5
|
6
|
7
|
6
|
7
|
5
|
6
|
4
|
6
|
5
|
6
|
7
|
114
|
2
|
2
|
2
|
2
|
-1
|
2
|
2
|
2
|
-1
|
12
|
| 34 |
2
|
7
|
5
|
5
|
5
|
6
|
5
|
5
|
5
|
7
|
6
|
3
|
5
|
4
|
7
|
3
|
4
|
7
|
4
|
7
|
7
|
107
|
2
|
-1
|
2
|
2
|
2
|
-1
|
-1
|
2
|
2
|
9
|
| 35 |
2
|
7
|
1
|
3
|
5
|
5
|
5
|
1
|
5
|
5
|
5
|
4
|
4
|
7
|
5
|
4
|
1
|
5
|
3
|
6
|
5
|
86
|
2
|
-1
|
2
|
2
|
2
|
-1
|
-1
|
-1
|
-1
|
3
|
| 36 |
2
|
7
|
5
|
5
|
4
|
7
|
5
|
1
|
7
|
7
|
7
|
7
|
7
|
7
|
7
|
7
|
1
|
7
|
4
|
7
|
1
|
110
|
2
|
-1
|
-1
|
2
|
2
|
2
|
2
|
2
|
-1
|
9
|
| 37 |
2
|
7
|
5
|
7
|
2
|
6
|
7
|
1
|
7
|
7
|
7
|
7
|
7
|
5
|
5
|
7
|
6
|
6
|
5
|
6
|
6
|
116
|
2
|
2
|
2
|
2
|
2
|
2
|
-1
|
2
|
2
|
15
|
| 38 |
2
|
7
|
7
|
7
|
7
|
7
|
7
|
7
|
7
|
7
|
7
|
7
|
7
|
2
|
7
|
7
|
7
|
7
|
7
|
7
|
7
|
135
|
2
|
-1
|
2
|
2
|
2
|
2
|
2
|
2
|
2
|
15
|
| 39 |
2
|
7
|
7
|
7
|
6
|
7
|
7
|
4
|
7
|
7
|
7
|
5
|
7
|
6
|
7
|
5
|
6
|
7
|
7
|
6
|
7
|
129
|
2
|
-1
|
2
|
-1
|
2
|
2
|
2
|
-1
|
2
|
9
|
| 40 |
2
|
6
|
1
|
5
|
5
|
5
|
2
|
1
|
7
|
7
|
7
|
7
|
7
|
7
|
7
|
7
|
1
|
1
|
1
|
7
|
7
|
98
|
2
|
2
|
-1
|
2
|
2
|
2
|
2
|
2
|
2
|
15
|
| 41 |
2
|
7
|
7
|
7
|
7
|
7
|
7
|
7
|
7
|
5
|
7
|
7
|
7
|
5
|
5
|
7
|
6
|
4
|
7
|
7
|
130
|
2
|
2
|
2
|
2
|
2
|
2
|
2
|
2
|
-1
|
15
|
| 42 |
2
|
7
|
7
|
7
|
6
|
7
|
7
|
4
|
7
|
7
|
7
|
5
|
7
|
7
|
5
|
6
|
4
|
5
|
6
|
7
|
7
|
125
|
2
|
-1
|
2
|
2
|
-1
|
2
|
-1
|
2
|
2
|
9
|
| 43 |
2
|
2
|
2
|
2
|
3
|
2
|
2
|
1
|
2
|
3
|
3
|
3
|
2
|
2
|
3
|
4
|
1
|
1
|
2
|
3
|
3
|
46
|
-1
|
-1
|
2
|
-1
|
-1
|
-1
|
2
|
-1
|
-1
|
-3
|
| 44 |
2
|
4
|
5
|
5
|
4
|
6
|
7
|
6
|
7
|
6
|
6
|
7
|
7
|
6
|
6
|
4
|
4
|
2
|
7
|
7
|
4
|
110
|
2
|
2
|
2
|
-1
|
-1
|
2
|
2
|
2
|
2
|
12
|
| 45 |
2
|
7
|
7
|
4
|
3
|
7
|
6
|
1
|
7
|
7
|
7
|
7
|
7
|
6
|
7
|
7
|
4
|
7
|
5
|
7
|
6
|
119
|
2
|
2
|
2
|
2
|
2
|
2
|
-1
|
-1
|
-1
|
9
|
| 46 |
2
|
7
|
5
|
6
|
6
|
7
|
2
|
1
|
6
|
7
|
7
|
7
|
3
|
5
|
6
|
7
|
2
|
6
|
3
|
6
|
7
|
106
|
2
|
2
|
-1
|
2
|
2
|
2
|
2
|
-1
|
2
|
12
|
| 47 |
2
|
6
|
1
|
1
|
2
|
6
|
4
|
5
|
7
|
7
|
7
|
6
|
5
|
7
|
7
|
2
|
4
|
7
|
5
|
3
|
4
|
96
|
2
|
2
|
2
|
-1
|
2
|
2
|
-1
|
-1
|
-1
|
6
|
| 48 |
2
|
7
|
1
|
1
|
2
|
7
|
5
|
4
|
4
|
6
|
6
|
4
|
7
|
7
|
4
|
4
|
7
|
6
|
7
|
7
|
7
|
103
|
2
|
2
|
2
|
2
|
2
|
-1
|
-1
|
2
|
2
|
12
|
| 49 |
2
|
4
|
4
|
2
|
7
|
1
|
1
|
1
|
1
|
2
|
2
|
3
|
2
|
7
|
7
|
7
|
1
|
7
|
6
|
7
|
7
|
79
|
-1
|
-1
|
-1
|
2
|
-1
|
-1
|
2
|
-1
|
2
|
0
|
| 50 |
2
|
1
|
4
|
7
|
5
|
1
|
1
|
7
|
7
|
7
|
7
|
7
|
7
|
4
|
7
|
7
|
7
|
7
|
7
|
7
|
7
|
114
|
2
|
2
|
-1
|
2
|
2
|
-1
|
2
|
2
|
2
|
12
|
| 51 |
7
|
7
|
2
|
6
|
7
|
7
|
7
|
7
|
7
|
7
|
7
|
7
|
7
|
7
|
7
|
7
|
7
|
7
|
5
|
7
|
7
|
132
|
2
|
2
|
2
|
2
|
2
|
2
|
2
|
2
|
2
|
18
|
| 52 |
2
|
7
|
4
|
7
|
5
|
7
|
7
|
5
|
6
|
7
|
7
|
1
|
7
|
6
|
7
|
1
|
4
|
7
|
7
|
7
|
116
|
-1
|
2
|
-1
|
-1
|
2
|
2
|
2
|
2
|
2
|
9
|
| 53 |
2
|
7
|
7
|
6
|
7
|
7
|
7
|
4
|
7
|
7
|
7
|
5
|
7
|
6
|
7
|
5
|
6
|
7
|
7
|
6
|
6
|
128
|
2
|
2
|
2
|
-1
|
2
|
2
|
2
|
2
|
-1
|
12
|
| 54 |
2
|
6
|
1
|
7
|
6
|
5
|
2
|
1
|
7
|
7
|
7
|
7
|
7
|
7
|
7
|
7
|
1
|
1
|
1
|
7
|
6
|
100
|
2
|
2
|
2
|
-1
|
-1
|
2
|
2
|
-1
|
2
|
9
|
| 55 |
2
|
7
|
1
|
5
|
4
|
5
|
5
|
1
|
5
|
5
|
5
|
4
|
4
|
7
|
5
|
4
|
1
|
5
|
3
|
6
|
5
|
87
|
-1
|
2
|
-1
|
-1
|
-1
|
2
|
2
|
-1
|
2
|
3
|
| 56 |
2
|
7
|
2
|
7
|
7
|
7
|
7
|
4
|
5
|
5
|
6
|
7
|
1
|
3
|
5
|
7
|
6
|
5
|
5
|
7
|
6
|
109
|
-1
|
2
|
2
|
2
|
2
|
-1
|
2
|
-1
|
2
|
9
|