Сравнительный анализ отношения к экономической политике у работников реального и виртуального секторов экономики

  • Вид работы:
    Курсовая работа (т)
  • Предмет:
    Психология
  • Язык:
    Русский
    ,
    Формат файла:
    MS Word
    614,78 Кб
  • Опубликовано:
    2014-07-13
Вы можете узнать стоимость помощи в написании студенческой работы.
Помощь в написании работы, которую точно примут!

Сравнительный анализ отношения к экономической политике у работников реального и виртуального секторов экономики

ПРАВИТЕЛЬСТВО РОССИЙСКОЙ ФЕДЕРАЦИИ

фЕДЕРАЛЬНОЕ ГОСУДАРСТвЕННОЕ ОБРАЗОВАТЕЛЬНОЕ УЧРЕЖДЕНИЕ

ВЫСШЕГО ПРОФЕССИОНАЛЬНОГО ОБРАЗОВАНИЯ

«Санкт-Петербургский государственный университет» (СПбГУ)

Факультет психологии






Курсовая работа на тему:

«Сравнительный анализ отношения к экономической политике у работников реального и виртуального секторов экономики»

Специализация «Политическая психология»


Выполнила:

Студентка 5 курса в/о

Шамрова Юлия Евгеньевна




Санкт-Петербург 2013

Содержание

Введение

Глава 1. Обзор теоретических концепций по проблеме с обоснованием выбора методологии исследования

Глава 2. Методы исследования проблемы на основе конкретных фирм

2.1 Рассмотрение проблемы на примере конкретных фирм

.2 Результаты анализа и исследования проблемы, на примере конкретных фирм

Глава 3. Анализ и обсуждение полученных результатов

3.1 Качественный анализ половозрастных особенностей работников секторов реальной и виртуальной экономики и их субъективная оценка уровня дохода

.2 Сравнительный анализ представлений о государстве у работников реального и виртуального секторов экономики

.3 Сравнительный анализ ценностных предпочтений у работников реального и виртуального секторов экономики

.4 Анализ взаимосвязей исследуемых характеристик

Заключение

Библиография

Приложения 1

Приложения 2


Введение

Предметом нашего исследования являются характеристики отношения к экономической политике.

Объект исследования будут представлять две уравновешенные по половозрастным характеристикам группы:1) рабочие и служащие промышленного предприятия: 2) биржевики.

Цель работы состоит в выявлении психологических различий в отношении, установках и стереотипах, касающихся российской экономической политики у представителей разных секторов экономики (промышленность и валютные операции на бирже).

Задачи исследования:

·   Изучить научную литературу, посвященную политической психологии работников промышленного сектора (в частности, в моногородах) и представителей фондового и валютного рынков, как полярных групп.

·        Выполнить пилотажное эмпирическое исследование для изучения содержательных характеристик отношения к экономической политике и политических ценностей в исследуемых группах.

В качестве основной рассматривается следующая гипотеза: предполагается выявить различия в уровневых и структурных характеристиках отношения к экономической политике страны, а также в политических ценностях в сравниваемых группах.

Методы исследования

Для исследования отношения к экономической политике будет использоваться Опросник гражданина (О.С. Дейнека).

Для исследования политических ценностей - методика ранжирования, разработанная О.С. Дейнека с опорой на классификацию Артемова.

Глава 1. Обзор теоретических концепций по проблеме (отношение к экономической политике у работников реального и виртуального секторов экономики) с обоснованием выбора методологии исследования

В век прогресса сложно представить жизнь без интернета. Интернет прочно вошел в нашу жизнь и стал уже привычной её частью. Виртуальное пространство служит для общения, вращения финансов и продвижения продуктов.

Отношение к интернету и к виртуальному пространству уже намного более доверительное, чем было в самом начале его появления. Но прежде чем перейти к исследуемой проблеме, необходимо определить понятие экономической политики, как все знают, это совокупность мер, действия правительства по выбору и осуществлению экономических решений на макроэкономическом уровне. Достижению общественно значимых целей сопутствует реализация экономической политики. Её цели определяются состоянием экономики страны.

Государственное регулирование экономики преследует следующие цели:

·        поддержание эффективного размера занятости;

·        обеспечение внешнеторгового баланса;

·        устойчивый рост национального производства;

·        стабилизация уровня цен.

Можно выделить следующие направления государственного регулирования экономики:

·        регулирование рынка рабочей силы;

·        регулирование капиталовложений;

·        регулирование сбыта;

·        стимулирование научно-исследовательских и опытно-конструкторских работ (НИОКР).

Итак, отношение к экономической политике полностью зависит от действий государства, его экономического блага и экономической стабильности в нём.

Чтобы понять отношение работников к экономической политике важно проследить их экономическое поведение. Хоть оно и не стабильно, и может быть принято на основе привычки или эмоции, и важно помнить, что оптимальность решения чаще преобладает над его рациональностью.

Именно экономическое поведение поможет нам в исследовании отношение работников к экономической политике.

Стабильность государства даёт возможность реализоваться личности, а так же чувство удовлетворенности собственной жизнью, которая отражает оценку «стабильности» на личностном уровне.

Реальный сектор экономики в данный момент неразрывно связан с виртуальным. Информационные технологии создают принципиально новые условия хозяйствования, при которых рыночные виды хозяйственной деятельности переносятся в сетевую среду и приобретают новые свойства.

Эти особенности приводят к эволюции экономических систем, появлению нерыночных механизмов регулирования сетевых организационных структур. А это, повлечет за собой использование горизонтальных связей в этих структурах и вытеснение иерархических и рыночных форм экономических отношений. При переносе деловой активности в единое информационное пространство сетевые особенности хозяйственной деятельности начинают преобладать. Основой экономических отношений всегда становится так называемая «совместимость».

Всё же, практической задачей виртуальной экономики остается поиск таких хозяйственных решений, которые обеспечивали бы максимально возможную выгоду (прибыль) для общества (предприятия).

Традиционные предприятия на информационном рынке выступают в основном в качестве потребителей информационных продуктов, но по мере своего вхождения в информационное пространство будут вынуждены становиться и производителями информационной продукции, которая будет содержать информационные образцы выпускаемой ими продукции и некоторых оборотных средств (сырье, материалы, комплектующие т. п.). Использование интернет технологий может превратить традиционное предприятие в интернет структуру, в которой наиболее полно реализуются такие преимущества, как адаптивность, гибкость, повышение качества принимаемых решений.

Часто виртуальную экономику воспринимают как «паразита», где некоторые люди, ничего не производя, в плане товаров или услуг, тем не менее, имеют финансовый доход. Такое отношение не совсем верно, скорее его можно назвать завистью и недостаточной информированностью. Ведь инновационная идея - тоже продукт, который, конечно, нельзя пощупать или увидеть, но этот продукт востребован на просторах интернета.

Современная виртуальная экономика является продуктом развития информационного общества за последние тридцать - тридцать пять лет. Ещё в 1995 году американский ученый Николас Негропонте, впервые сформулировал, концепцию виртуальной экономики. Он представил ее в форме перехода от движения атомов к движениям битов. Представляя понятия веса, сырья и транспорта - недостатками прошлого, ставя им в противовес понятия отсутствие веса товаров, виртуальность, мгновенное глобальное перемещение - как преимущества будущего.

При этом виртуальная экономика имеет отличительные особенности от реальной экономики. Во-первых, электронная экономика может существовать, только в виртуальном мире, представляя собой набор электрических сигналов, и данных хранимых на различных носителях информации. Данная особенность несет в себе ряд преимуществ и недостатков по сравнению с реальной экономикой. Во-вторых, она зависит от телекоммуникационных сетей и компьютерной техники. Данное отличие является ключевым между электронной экономикой и реальной. Реальная экономика способна развиваться без электронной экономики. Промышленные предприятия будут производить и продавать продукцию, даже если не будут иметь Интернет-магазинов, у них будет возможность продавать по стандартным каналам реальной экономики. В случае с электронной экономикой становиться, не возможны ее существование при исчезновении телекоммуникационных сетей и компьютерной техники, так как на их базе и строятся все формы виртуальной хозяйственной деятельности.

Исследуя отношение к экономической политике у работников реального и виртуального секторов экономики необходимо учесть все вышеперечисленные факторы.

психологический экономика доход

Глава 2. Методы исследования проблемы (отношение к экономической политике у работников реального и виртуального секторов экономики) на основе конкретных фирм

Чтобы исследование было точным возьмём две разные фирмы: ООО "Суоярвский картон" и ЗАО "Биржа "Санкт-Петербург". ООО "Суоярвский картон" - относится к реальному сектору экономики, а ЗАО "Биржа "Санкт-Петербург" - к виртуальному (электронный ресурс - #"797262.files/image001.gif">

Значимое место в формировании экономической политики отводится субъектам исполнения и влияния: общественным и политическим объединениям, средствам массовой информации, видным политическим деятелям. Влияние на экономическую политику оказывает также каждая личность (в роли потребителя и избирателя). Очевидно, что роли субъектов экономической политики тесно переплетены и взаимосвязаны. Сложная система субъектов экономической политики определяет три принципиальных положения ее формирования:

·        Экономическая политика всегда испытывает на себе определяющее воздействие двух факторов: постоянно меняющейся хозяйственной ситуации и уровня экономического мышления.

·        Эффект экономической политики выше в том случае, когда она увязана с реалиями данной страны: учтены политический расклад сил, производственно-технический потенциал, состояние социальной структуры, институциональный порядок общегосударственного и местного управления и т.д.

·        Экономическая политика является решающим средством поддержания политического курса страны.

Влияние государства на экономику заметно, как в виртуальном, так и в реальном секторах. Конечно же, государство не имеет прямого влияния на виртуальный сектор, но оно может регулировать его и давать возможность развиваться. Реальный же сектор, постоянно требует внимания, контроля и внедрения инноваций.

Фирмы ООО "Суоярвский картон" и ЗАО "Биржа "Санкт-Петербург", конечно, находятся в разных секторах экономики, но всё же, не надо забывать, что в обеих фирмах работают люди, которые живут на территории России. А это значит, что все, что предпринимает наше правительство, президент, отражается на жизни этих людей.

Свобода виртуального рынка даёт возможность работникам этого сектора экономики получать финансовую выгоду не только в России, но и в других странах,что обуславливает их выбор свободы. Работники раельной сферы экономики ценят стабильность, т.к. у них нет других возможностей получить финансовый доход, кроме как своего места работы.

Политический курс страны и экономическая политика начинает понемногу принимать более устойчивые черты, но «ком недоверия», начавший расти ещё в 90х, никак не остановит свой рост. Именно поэтому негативное отношение не спадает, и люди наедятся только на себя, не доверяя государству и правительству.

2.2 Результаты анализа и исследования проблемы (отношение к экономической политике у работников реального и виртуального секторов экономики), на примере конкретных фирм

По результатам анализа проблемы можно сказать, что в свете динамики роста отрицательного отношения к правительству страны, к финансовой политике страны и к пути преобразований в России сложилось общее отрицательное отношение к экономической политике. На фоне этого отрицательного отношения работники как виртуального, так и реального секторов экономики имеют такой же отрицатеьный результат.

Политика реконструкции долгов государства, пополнение бюджета и развитие отраслей дали небольшой положительный толчок в отношении людей к государству. Если сравнивать 2004-5 и 20011-12 годы, то можно отметить, что, налицо изменение отношения людей к политике государства от негативного к более положительному.

Помня, что ООО "Суоярвский картон" - относится к реальному сектору экономики, а ЗАО "Биржа "Санкт-Петербург" - к виртуальному нужно подчеркнуть, что эти два сектора тесно связаны между собой. Как уже говорилось выше, реальное предприятие может существовать виртуально, а виртуальное может пользоваться реальными ресурсами.

Если рассматривать экономику как сферу общественной жизни, экономические отношения как одну из важнейших форм социальных отношения и экономическую активность, и взаимодействие как вид социального поведения и взаимодействия, становится ясно, что экономическая психология в значительной степени является отраслью социальной психологии.

Социально-психологический анализ экономических явлений может проводиться на разных уровнях: макроэкономическом, мезоэкономическом и микроэкономическом. Необходимо подчеркнуть, что:

.        Законы экономического поведения не являются универсальными, внеисторическими, психологические особенности экономического поведения носят культурно обусловленный характер и определяются особенностями исторического развития общности;

.        Человек выступает не пассивным объектом экономических воздействий и влияния экономических условий, но активным субъектом, реализующим различные виды экономического поведения, вступающим в экономическое взаимодействие и экономические отношения с другими экономическими субъектами (индивидуальными и групповыми). Основными признаками субъектности являются: активность, сознательность действия, целостность и избирательность;

.        Возможно не только сходство, согласованность, но и различие, и противоречия между экономическим поведением субъекта и его осознанием;

.        Взаимодействия экономических и социально-психологических явлений в детерминации психологических явлений, связанны с отражением различных сторон экономической жизни и регуляцией экономического поведения субъектов;

Говоря о результатах анализа и исследования проблемы отношения к экономической политике у работников реального и виртуального секторов экономики, нужно подчеркнуть, что отношение складывается из связи или взаимодействия людей или их сообществ между собой, характерной направленности их действий.

Отношение - фиксированное по какому-либо признаку взаиморасположение субъектов, объектов и их свойств. Отношение может иметь место как между меняющимися объектами, явлениями и свойствами, так и в ситуации выделенного, неизменного объекта в его отношение к другим объектам, явлениям, свойствам.

Это субъективная сторона отражения действительности, результат взаимодействия человека со средой, взаиморасположение объектов и их свойств.

Формирование сознательного отношения к объекту познания и действия связано с развитием всех компонент системы стимуляции. Осознание своих отношений к окружающему рождает соответственные чувства и эмоции, кои, в свою очередь, стимулируют деятельность и влияют на развитие направленности личности.

Итак, отношение работников к экономической политике рассматривается как в ситуации выделенного, неизменного объекта в его отношение к другим объектам, явлениям, свойствам.

Работники ООО "Суоярвский картон" и работники ЗАО «Биржа «Санкт-Петербург» практически одинаково ответили на вопросы «Опросника гражданина», разница в их взглядах проявилась лишь после проведения ранжирования понятий.

Близкие понятия экономической политики связанны с тем, что все работники (как уже подчеркивалось ранее) проживают в одинаковых условиях Российской реальности. Их отношение обусловлено общим «негативным» отношением общества к экономической политике государства.

Работники виртуального рынка полностью зависят от свободы принимаемых решений и своих действий, именно по этому, они так высоко ценят это качество, это стало понятно, из результатов ранжирования работников «Биржа «Санкт-Петербург». Работа на просторах Интернета тесно связана со свободой: свободой решений, свободой выбора и свободой действий, что накладывает свой отпечаток на отношение работников виртуального рынка.

Работники реального рынка зависят от стабильности, так как именно стабильное предприятие способно гарантировать стабильный доход и стабильное государство даст нормально существовать предприятию. Кроме того, если работники виртуального сектора экономики могут найти себе заработок на просторах Интернета, то работникам реального сектора это будет сделать тяжелее.

Каждый из нас стремится жить как можно лучше, но сделать это не так уж легко. Одни ограничиваются самыми необходимыми вещами, другие воруют, третьи свершают открытия, четвёртые находят новые источники прибыли и так далее. Наука и технологии достигли высокого уровня развития, но даже его недостаточно для удовлетворения всех потребностей человека.

Глава 3. Анализ и обсуждение полученных результатов

.1 Качественный анализ половозрастных особенностей работников секторов реальной и виртуальной экономики и их субъективная оценка уровня дохода

Для достижения поставленных задач, мы разделили респондентов на 2 группы - работники реального и виртуального секторов экономики.

В группе работников сектора реальной экономики 78% составили мужчины и 22% - женщины (Рисунок 1).

Рисунок 1

Большинство респондентов в данной группе находятся в возрасте 36-45 лет (68%), еще 14% относится к возрастной группе 26-35 лет, 10% - 46-55 лет. Возраст 20-25 лет составил 8%. Таким образом, большинство работников в данной группе сектора реальной экономики находятся в возрастном периоде средней взрослости (Рисунок 2).

Рисунок 2

68% респондентов в данной группе оценили свой субъективный уровень дохода как средний. 12% расценивают свой доход как низкий, а 24% - как высокий (Рисунок 3).

Рисунок 3

В группе работников сектора виртуальной экономики 44% составили мужчины и 56% - женщины (Рисунок 4).

Рисунок 4

Большинство респондентов в данной группе находятся в возрасте 36-45 лет (56%), еще 22% относится к возрастной группе 46-55 лет, 18% - 26-35 лет. Сотрудники возраста 20-25 лет составили 4%. Таким образом, большинство работников в данной группе сектора виртуальной экономики также находятся в возрастном периоде средней взрослости (Рисунок 5).

Рисунок 5

Большинство работников сектора виртуальной экономики отнесли свой доход к низкому (64%), 30% - к среднему уровню. 2% работников оценили свой доход как высокий и еще 4% выбрали вариант «свожу концы с концами» (Рисунок 6).

Рисунок 6

Таким образом, можно предположить, что сотрудники сектора реальной экономики в большей степени удовлетворены уровнем своего дохода (88% работников считают свой доход средним или высоким), тогда как в секторе виртуальной экономики всего лишь 32% респондентов отнесли себя к данным категориям. Возможно, это связано с тем, что доход в «виртуальной сфере» более нестабилен и не всегда соответствует ожиданиям работника, тогда как в секторе реальной экономики сотрудник может рассчитывать на стабильную заработную плату, соответствующую уровню его знаний и умений.

3.2 Сравнительный анализ представлений о государстве у работников реального и виртуального секторов экономики


Проанализировав представления о государстве у работников реального и виртуального сектора, мы получили следующие результаты.

В группе реального сектора наиболее выраженными оказались такие представления как: вера в то, что наше государство может многого достигнуть в глобальном мире; тревога перед новыми вводимыми законами; убежденность, что основной проблемой российского общества является коррупция, а также, что люди сами виноваты в бедах страны, и рассчитывать им тоже нужно только на себя. При этом респонденты считают, что нужно подчиняться законам государства и гордятся тем, что живут в России.

Наименее выраженными оказались убеждения «если бы у меня была возможность уехать из России, я бы не задумываясь это сделал(а)»; «ради прогресса можно отказаться от культурных ценностей»; «у меня есть образ будущего нашего государства»; «самой большой бедой нашей страны я считаю расовую и этническую дискриминацию», а также убежденность в том, что обстановка в стране позволяет людям ставить долгосрочные цели.

На среднем уровне оказались вера в то, что экономическая ситуация в стране улучшится через 3 года, отношение к безработице, государственным деятелям и политике государства в целом, возможность повышения пенсионного возраста в стране. На среднем уровне также находится вера в принципы морали, отношение к проблемам миграции и социальному расслоению.

Таким образом, сотрудники сектора реальной экономики в целом верят в наше государство и гордятся, что живут в нем, они не хотели бы его покинуть. В то же время, их тревожат вводимые новые законы, коррупция и отсутствие четких представлений о будущем. Они считают, что проблемы государства создают сами люди, поэтому рассчитывать нужно только на себя. Кроме того, они подчеркивают важность культурных ценностей и не готовы жертвовать ими ради прогресса или материального благосостояния.

В группе работников сектора виртуальной экономики наиболее выраженными также оказались убеждения о том, что в бедах нашей страны виноваты сами люди и власть, и что рассчитывать можно только на себя, а также была выявлена высокая тревога по поводу принятия новых законов. Кроме того, респонденты считают важными проблемы миграции и социального расслоения. Несмотря на это, в целом испытуемые гордятся тем, что живут в России и считают, что при необходимости большинство людей могло бы пожертвовать личными интересами ради блага общества.

Наименее выраженным оказалось представление о том, что безработица - главная проблема в нашей стране и представление, что обстановка в России позволяет ставить долгосрочные цели. Кроме того, респонденты в данной группе также не готовы отказаться от культурных ценностей ради прогресса и считают, что государственные деятели в целом ведут себя порядочно.

Все остальные показатели выражены на среднем уровне.

Таким образом, работники сектора виртуальной экономики разделяют мнение респондентов из группы реальной экономики о том, что в проблемах виноваты сами люди и власть, однако рассчитывать на помощь государства не стоит и нужно полагаться только на себя. В то же время, представители виртуальной экономики подчеркивают проблему миграции в нашей стране, тогда как сотрудников сектора реальной экономики беспокоит уровень коррупции. При этом и те, и другие, не готовы отказываться от культурных ценностей ради прогресса. Также стоит отметить, что респонденты в обеих группах не готовы ставить долгосрочные цели, находясь в России, однако гордятся, что живут здесь.

Проанализировав различия в представлениях о государстве у работников реального и виртуального сектора с помощью Т-критерия Стъюдента, мы получили следующие результаты (Таблица 1).

В группе виртуального сектора ярче выражены представления об образе будущего нашего государства (р < 0,01), представление о том, что от культурных ценностей можно отказаться ради прогресса и материального благосостояния (р < 0,01), беспокойство о расовой и этнической дискриминации (р < 0,01), стремление уехать из России (р < 0,01), беспокойство о социальном расслоении (р < 0,05) и представление о том, что власть виновата в проблемах нынешнего общества (р < 0,05). При этом, респонденты в данной группе в большей степени склонны считать, что принципы морали в нашем обществе работают лучше, чем законы (р < 0,01).

В группе реального сектора более выраженной оказалась тревога из-за новых законов (р < 0,01), стремление следовать установленным законам (р < 0,01), представление о том, что российские граждане понимают и принимают политику государства (р < 0,01), беспокойство из-за коррупции (р < 0,01) и безработицы (р < 0,05) и, в то же время, вера в государство, а также представление о том, что гражданин может рассчитывать только на себя (p < 0,01).

Таким образом, можно предположить, что работники виртуального сектора экономики в большей мере ориентированы на материальные ценности и социальные проблемы. Интересно, что они ставят моральные нормы выше, чем закон и верят, что люди действуют именно исходя из моральных принципов. Они задумываются о будущем государства (судя по всему, оно их не очень устраивает, ведь они хотят уехать из России), кроме того, их беспокоят вопросы справедливости и ответственности власти, они винят ее в проблемах страны. Стремление уехать из России также может объясняться недостаточным доходом респондентов (как было указано вначале, большинство из них считают свой доход низким). С другой стороны - работа в виртуальном секторе экономики также способствует подобным перемещениям, ведь ей можно заниматься из любой точки планеты, тогда как работа в реальном секторе предполагает наличие четко определенного рабочего места и присутствие сотрудника на работе.

В группе работников реального сектора ярко выраженными оказались представления, связанные с законами и правилами. Респонденты в данной группе боятся нарушить закон и следуют установленным правилам. Их беспокоят более формальные вопросы (коррупция, безработица), чем сотрудников виртуального сектора, обеспокоенных миграцией и этническими конфликтами. Можно предположить, что они воспринимают государство и общество как нечто официальное и формальное, тогда как сотрудники виртуального сектора в большей мере склонны относиться к данным вопросам как к личным. В то же время, их меньше беспокоят культурные ценности, тогда как работники реального сектора не готовы пожертвовать ими ради материальных благ или прогресса. При этом они склонны считать, что рассчитывать можно только на себя, а не ожидать помощи от государства.

Таблица 1. Сравнение представлений о государстве в исследуемых группах

Шкала

Реальный сектор

Виртуальный сектор

Значимость


Среднее

Стд. откл.

Среднее

Стд. откл.


У меня есть образ будущего нашего государства

1,86

1,178

3,58

1,715

,000

Любой гражданин всегда должен рассчитывать на себя, а не ждать помощи от государства

5,72

1,917

5,30

1,165

,002

Ради прогресса можно отказаться от многих культурных ценностей

1,70

1,568

1,596

,000

Я верю, что экономическая ситуация в России улучшится через 3 года

3,24

1,585

3,86

2,100

,053

Введение новых законов в стране почти всегда вызывает у меня тревогу

6,48

1,074

4,94

1,596

,000

Самой большой бедой нашей страны я считаю расовую и этническую дискриминацию

1,58

1,527

3,78

1,266

,000

Обстановка в России позволяет людям ставить долгосрочные цели

2,02

1,301

1,90

1,093

,815

Я всегда стараюсь подчиняться законам, которые существуют в стране

5,48

1,644

4,42

1,386

,000

Если бы у меня появилась возможность уехать из России, я бы не раздумывая это сделал(а)

2,00

1,443

3,46

1,265

,000

В бедах нашей страны виноваты сами люди

5,74

1,626

6,22

1,282

,227

Я считаю безработицу самой острой проблемой нашей страны

3,42

1,486

2,78

1,329

,017

Российские граждане понимают и принимают основные цели политики своего правительства

4,76

,938

3,08

1,275

,000

Я полагаю, что в сложной для страны ситуации россияне смогли бы пожертвовать личным интересом ради блага общества

4,58

2,011

5,16

1,952

,124

Основной проблемой российского общества является высокий уровень коррупции

5,90

1,233

4,42

1,715

,000

Я верю, что наше государство способно достигнуть многого в глобальном мире

6,54

4,64

1,816

,000

Меня огорчает возможность повышения пенсионного возраста в стране

4,82

2,608

4,44

1,606

,164

В целом можно говорить о высокой порядочности российских государственных деятелей

3,54

1,631

3,02

1,505

,161

Для меня материальное благосостояние важнее, чем сохранение культурной среды

2,94

1,557

3,94

1,570

,001

Принципы морали в нашем обществе работают лучше, чем закон

3,84

,997

4,82

1,289

,000

Я считаю, что в российском обществе слишком сильно расслоение по доходам

4,24

1,098

4,98

1,778

,021

В современной российской политике имеется последовательная стратегия развития и четкий набор приоритетов

4,50

1,432

4,62

1,589

,486

Во всех проблемах нынешнего общества виновата власть

4,42

1,279

4,96

1,428

,024

Я считаю проблему миграции самой острой для нашей страны

4,86

1,818

5,36

1,274

,260

Я горжусь тем, что я гражданин России

5,74

1,454

5,18

1,870

,104

3.3 Сравнительный анализ ценностных предпочтений у работников реального и виртуального секторов экономики


Проанализировав проранжированные ценности у работников реального и виртуального сектора, мы получили следующие результаты.

В группе работников реального сектора наиболее высокий ранг заняла ценность «Порядок». Ценность равенства, прогресса, свободы и стабильности находится на среднем уровне, а справедливость предпочитается реже остальных.

В группе виртуального сектора экономики наиболее высокий ранг получила «справедливость», однако в целом все ценности предпочитаются в одинаковой степени.

Значимое различие было обнаружено по ценности «справедливость» (р < 0,05). В группе работников виртуального сектора ее ранг значимо выше, чем у работников реального сектора (Таблица 2). Таким образом, работники виртуального сектора в большей степени беспокоятся о справедливости, чем сотрудники реального. Вероятно, это также связано с социальной направленностью респондентов данной группы.

Таблица 2. Сравнение ценностей в исследуемых группах

Шкала

Реальный сектор

Виртуальный сектор

Значимость


Среднее

Стд. отклонение

Среднее

Стд. отклонение

2,94

1,731

3,22

1,632

,330

Равенство

3,08

1,700

3,74

1,549

,059

Прогресс

3,28

1,666

3,74

1,664

,182

Справедливость

4,14

1,591

3,28

1,841

,015

Свобода

3,84

1,361

3,60

1,863

,613

Стабильность

3,72

1,917

3,42

1,703

,321


3.4 Анализ взаимосвязей исследуемых характеристик


Проанализировав взаимосвязи в группе реальной экономики, мы получили следующие результаты.

Возраст положительно связан с утверждением «Если бы у меня была возможность уехать из России, я бы не задумываясь это сделал (а)» (p < 0,01).

Рис. 1

Убежденность в том, что российские граждане понимают и принимают цели политики государства, отрицательно связана с тревогой по поводу вводимых законов и значимостью стабильности (p < 0,05). Стабильность, в свою очередь, связана с убежденностью, в том, что в России высокое расслоение по доходам (p < 0,05).

Таким образом, чем старше человек в группе реальной экономики, тем больше он стремится уехать из России. При этом, чем больше человек понимает и принимает цели политики государства, тем ниже его тревога из-за вводимых законов и тем ниже для него значимость стабильности. В то же время, чем более значима стабильность для человека, тем выше его убеждение о том, что в обществе существует значимое расслоение по доходам. Таким образом, понимание процессов, происходящих в стране, снижает уровень тревоги и удовлетворяет потребность в стабильности, при этом потребность в стабильности заставляет задумываться о социальном неравенстве в стране.

Рис. 2

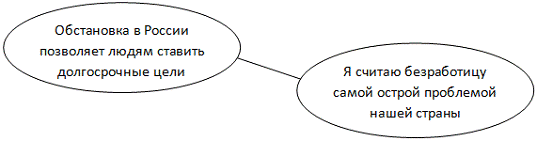
При этом, чем больше человек подчеркивает расовую и этническую дискриминацию в стране, тем более выражена, по его мнению, и проблема безработицы (p < 0,01). Вероятно, в сознании людей данные проблемы связаны между собой, так как в нашей стране достаточно часто возникает проблема расовой дискриминации, и именно люди другой национальности часто не могут найти работу. С другой стороны, возможна тревога из-за того, что люди, приехавшие из других стран, занимают рабочие места, усложняя ситуацию с безработицей в нашей стране.

Рис. 3

Четкое представление образа будущего государства положительно связано со страхом повышения пенсионного возраста (p < 0,05) и отрицательно - с верой в то, что наше государство многого способно достигнуть (p < 0,05). Мысли о будущем государства приводят к пугающим мыслям о повышении пенсионного возраста и неверием в то, что государство чего-то добьется. Это говорит о недоверии к государству и неверии в его силы.

Рис. 4

Предпочтение материального благосостояния культурной среде отрицательно связано с представлениями о том, что гражданин должен рассчитывать только на себя и что основной проблемой нашего государства является высокий уровень коррупции (p < 0,05). Беспокойство о материальных благах проявляется в разных сферах. В частности, если человек предпочитает их культурным ценностям, то проблема коррупции будет заботить его более остальных.

Убежденность в том, что в российской политике имеется четкая стратегия положительно связана с верой в то, что экономическая ситуация в стране улучшится, со стремлением починяться законом (p < 0,01) и отрицательно - с верой в то, что коррупция - основная проблема в стране (p < 0,05). Стремление подчиняться законам, в свою очередь, отрицательно связано с представлением о высокой порядочности государственных деятелей (p < 0,05). Позитивное отношение к политической ситуации в стране и вера в ее светлое будущее способствует желанию подчиняться закона и приводит к отрицанию того, что коррупция - основная проблема в стране. А то же время, стремление подчиняться законам связано с представление о том, что государственные деятели не всегда ведут себя порядочно.

Рис. 5

Рис. 6

Ценность «равенство» отрицательно связана с предпочтением материального благосостояния культурной среде (p < 0,05), а справедливость имеет отрицательную взаимосвязь с представлением о коррупции как о главной проблеме в стране (p < 0,05). Предпочтение материальных благ и представление о коррупции связано с низкой выраженностью таких ценностей, как равенство и справедливость. Таким образом, стремление к благосостоянию не способствует выраженности социальных ценностей.

Рис. 7

Свобода положительно связана с тревогой о введении новых законов (p < 0,05). Чем выше стремление к свободе, тем больше тревога из-за введения новых законов. Вероятно, это связано с тем, что люди боятся, что нововведения ограничат их свободу и независимость.

Рис. 7

В группе виртуальной экономики были получены следующие результаты.

Возраст положительно связан с субъективным уровнем дохода (p < 0,05). Чем старше человек, тем выше его субъективный уровень дохода. Стоит отметить, что, как указывалось выше, подавляющее большинство респондентов в данной группе не удовлетворены своим доходом.

Рис. 8

Убежденность в том, что гражданин может рассчитывать только на себя, отрицательно связана с тревогой из-за введения новых законов, а высота дохода имеет отрицательную взаимосвязь с убежденностью о том, что в России можно ставить долгосрочные цели (p < 0,05). Установка о том, что рассчитывать можно только на себя снижает тревогу из-за введения новых законов. Вероятно, это объясняется тем, что человек, который рассчитывает на себя не боится, что новые законы отнимут у него какие-то блага или ограничат свободу, т.к. он опирается на себя, а не на окружающих. При этом, чем выше субъективный уровень дохода, тем ниже представление о том, что в Росси можно ставить долгосрочные цели. Вероятно, это связано с тем, что люди с высоким уровнем дохода, при этом работающие в сфере виртуальной экономике, считают иммиграцию - наиболее успешным решением большинства своих проблем и не намерены ставить долгосрочные цели в России.

Рис. 9

Рис. 10


Рис. 11

Чем больше люди понимают и принимают цели правительства, тем больше они склонны считать, что ради прогресса можно отказаться от культурных ценностей. Таким образом, можно предположить, что ценности правительства не способствуют формированию у граждан беспокойства о культурном развитии и важности культурного развития.

Рис. 12

Убежденность в порядочности государственных деятелей положительно связана с представлением о том, что в России можно ставить долгосрочные цели (p < 0,01) и отрицательно с представлением об уровне коррупции как основной проблеме государства (p < 0,05).

Чем более порядочными представляются респондентам государственные деятели, тем выше представление о том, что в России можно ставить долгосрочные цели и тем ниже представление о коррупции как о серьезной проблеме. Таким образом, доверие к государственным деятелям способствует доверие к государству в целом.

Убежденность в том, что государство способно многого достигнуть в глобальном мире положительно связано с уровнем дохода и представлением о безработице как об основной проблеме в стране (p < 0,05).

Рис. 13

Чем выше доход респондентов, тем больше они верят в государство и тем больше они склонны считать безработицу основной проблемой в стране. Таким образом, высокий доход в группе виртуальной экономики способствует положительному отношению государству.

Возраст положительно связан предпочтением благосостояния культуре (p < 0,05). Чем старше респонденты в данной группе, тем более они склонны предпочитать материальное благосостояние культуре. В целом, в данной группе отмечается более высокая направленность на благосостояние, по сравнению с остальными другими показателями. Вероятно, это объясняется тем, что в целом по группе доход респондентов не очень высокий, а, насколько известно из пирамиды потребностей А. Маслоу - до тех пор, пока не удовлетворены базовые потребности, человек не может наслаждаться культурными и духовными ценностями

Рис. 14

Представление о том, что в стране имеется четкая стратегия развития положительно связано с наличием у человека образа государства (p < 0,05) и предпочтением материального благосостояния культурным ценностям (p < 0,01). Чем четче человек видит образ государства, тем важнее для него материальное благосостояние и тем позитивнее для него образ государства.

Рис. 15

А обвинение власти в проблемах общества отрицательно связано с желанием подчиняться законам, существующим в стране (p < 0,01).

Рис. 16

Интересно, что представление о власти, как о причине проблем в обществе, связано с желанием следовать законам. Возможно, это объясняется желанием респондентов своим примером что-то изменить в стране.

Ценность «порядок» имеет отрицательную взаимосвязь с представлением о том, что граждане понимают и принимают политику страны (p < 0,05). Чем больше граждане понимают и принимают политику страны, тем значимее для них порядок.

Рис. 17

Равенство положительно связано с представлением о безработице как об основной проблеме, а справедливость имеет отрицательную взаимосвязь с представлением о том, что в России можно ставить долгосрочные цели (p < 0,05). Убеждение в том, что безработица - основная проблема в стране приводит к желанию равенства людей, а чем больше стремление к справедливости, тем ниже стремление ставить долгосрочные цели. Вероятно, будущее России не видится респондентам справедливым.

Рис. 18

Таким образом, в группе реальной экономики наблюдается высокое стремление к стабильности, тревога из-за непонятного образа государства и неясного курса его движения, стремление покинуть страну у людей старшего возраста. Респонденты беспокоятся из-за коррупции, а также их очень пугают нововведения, им кается, что они могут ограничить их свободу.

В группе виртуальной экономики на первое место выходит стремление к благосостоянию. Можно предположить, что из-за недостаточного размера доодов и их нестабильности представители данной группы не могут ориентироваться на культурные и духовные ценности. В то же время, нестабильность и отсутствие четкого образа государства также пугают их.

Заключение


Отношение к экономической политике у работников реального и виртуального секторов экономики сложилось однозначно «негативное», что стало ясно из результатов исследования. К тому же, их взгляды абсолютно различны в сфере оценки ценностей, которых должна придерживаться современная политика. Работники реального сектора экономики более уверены в себе, но менее уверены в завтрашнем дне, к тому же, они, прежде всего, ценят стабильность, но общие результаты опроса между работниками реального и виртуального секторов экономики схожи, что обусловлено проживанием в общей среде Российской реальности. Работники виртуального сектора рынка ценят свободу, т.к. они полностью зависят от свободы выбора, свободы действий и свободы возможностей.

Библиография

1.    QFINANCE Dictionary | Business Dictionary Online | Financial Dictionary Online - QFINANCE / QFinance - The Ultimate Online Financial Resource. Business, economics, banking terms and accounting dictionary and glossary, 2012

2.      Australian Government. Department of Broadband, Communications and the Digital Economy / Digital Economy: Future Directions

3.      Ассоциация коммуникационных агентств России / Объем рынка маркетинговых коммуникаций России в 2011 году, 2011

.        Ассоциация «Электронные деньги» (АЭД) 2011

.        Портал Digit.ru, проект РИА новости / Объем рынка электронной торговли в РФ в 2011 г. 2011

.        «Национальная деловая сеть» - социальная сеть для предпринимателей / Оборот розничной торговли в 2011 г.,

.        Федеральная служба страхового надзора, 2012

.        Федеральная служба по финансовым рынкам, 2012

.        Журнал Эксперт (Электронная версия) / Рэнкинг по взносам, полученным при обращении в страховую компанию через интернет или колл-центр, 2009

.        Новоселов М.М. Отношение // Философская энциклопедия, т. 4, М., 2007. - 182-184.

.        Краткий толковый психолого-психиатрический словарь. Под ред. Игишева. 2008г.

Приложение №1


Инструкция: Прочитайте внимательно каждое из утверждений и оцените степень своего согласия с утверждением по шкале от «7» до «1», при этом «7» означает «полностью согласен», «1» означает «не согласен».

Утверждение

7

6

5

4

3

2

1

1

У меня есть образ будущего нашего государства








2

Любой гражданин всегда должен рассчитывать на себя, а не ждать помощи от государства.








3

Ради прогресса можно отказаться от многих культурных ценностей








4

Я верю, что экономическая ситуация в России улучшится через 3 года.








5

Введение новых законов в стране почти всегда вызывает у меня тревогу








6

Самой большой бедой нашей страны я считаю расовую и этническую дискриминацию.








7

Обстановка в России позволяет людям ставить долгосрочные цели.








8

Я всегда стараюсь подчиняться законам, которые существуют в стране








9

Если бы у меня появилась возможность уехать из России, я бы не раздумывая это сделал(а).

В бедах нашей страны виноваты сами люди.








11

Я считаю безработицу самой острой проблемой нашей страны.








12

Российские граждане понимают и принимают основные цели политики своего правительства.








13

Я полагаю, что в сложной для страны ситуации россияне смогли бы пожертвовать личным интересом ради блага общества








14

Основной проблемой российского общества является высокий уровень коррупции.








15

Я верю, что наше государство способно достигнуть многого в глобальном мире.

7

6

5

4

3

2

1

16

Меня огорчает возможность повышения пенсионного возраста в стране.








17

В целом можно говорить о высокой порядочности российских государственных деятелей.








18

Для меня материальное благосостояние важнее, чем сохранение культурной среды








19

Принципы морали в нашем обществе работают лучше, чем закон.








20

Я считаю, что в российском обществе слишком сильно расслоение по доходам.








21

В современной российской политике имеется последовательная стратегия развития и четкий набор приоритетов.








22

Во всех проблемах нынешнего общества виновата власть.








23

Я считаю проблему миграции самой острой для нашей страны.








24

Я горжусь тем, что я гражданин России.









Укажите, пожалуйста,

Пол: ___, Возраст: ____

Субъективный уровень дохода:

) свожу концы с концами, 2) низкий, 3) средний, 4) высокий, 5)очень высокий

Приложение №2


Проранжируйте, пожалуйста, по степени важности ценности, которых должна придерживаться современная политика (расставьте места с 1-го по 6-е)

Порядок

Равенство

Прогресс

Справедливость

Свобода

Стабильность

Похожие работы на - Сравнительный анализ отношения к экономической политике у работников реального и виртуального секторов экономики

 

Не нашли материал для своей работы?
Поможем написать уникальную работу
Без плагиата!
Без нейросетей!