Реконструкция Южно-Ягунского месторождения

  • Вид работы:
    Курсовая работа (т)
  • Предмет:
    Геология
  • Язык:
    Русский
    ,
    Формат файла:
    MS Word
    518,11 Кб
  • Опубликовано:
    2015-03-27
Вы можете узнать стоимость помощи в написании студенческой работы.
Помощь в написании работы, которую точно примут!

Реконструкция Южно-Ягунского месторождения

Оглавление

Введение

. Литературный обзор

. Технологическая часть

Действующая система сбора, сепарации нефти

Предварительный сброс воды на УПСВ

Реконструкция ДНС-2,3

Гидравлический расчет находящегося в эксплуатации трубопровода ДНС-2 - ДНС-1 Ø273мм, при действующей схеме подготовки и перекачки нефти

Гидравлический расчет трубопровода УПСВ ДНС-2 - ЦПС Ø273мм, при реконструкции

Гидравлический расчет находящегося в эксплуатации трубопровода ДНС-3 - ЦПС Ø426мм, при действующей схеме подготовки и перекачки нефти

Гидравлический расчет трубопровода УПСВ ДНС-3 - ЦПС Ø426мм, при реконструкции

Система сбора, сепарации нефти после реконструкции

. Экономический эффект

Заключение

Список литературы

Введение

Продуктом УПСВ является обезвоженная нефть, которая поступает на ЦПС, где происходит подготовка нефти до товарных кондиций (обезвоживание, обессоливание и т.д.) и перекачка ее по системе внешнего транспорта. На УПСВ происходит сепарация газа, часть которого поступает на компрессорную станцию ГКС и сдается на ГПЗ. Остаточный газ поступает на факел низкого давления, где происходит его сжигание. Вода, полученная в процессе подготовки нефти, поступает по системе водоводов на КНС и закачивается в пласты с целью поддерживания пластового давления.

1. Литературный обзор

На каждом месторождении наступает такой период, когда из пласта вместе с нефтью извлекается пластовая вода. По мере эксплуатации месторождения содержание воды в нефти постепенно возрастает.

Извлеченная вместе с нефтью на поверхность пластовая вода является примесью, которую необходимо удалять из нефти. Пластовая вода образует с нефтью эмульсии различной степени стойкости, и со временем стойкость эмульсии повышается. Это является одной из причин того, что необходимо обезвоживать как можно раньше с момента образования эмульсии, не допуская ее старения. Наиболее целесообразно проводить обезвоживание нефти на месторождениях.

Второй наиболее важной причиной обезвоживания нефти в районах его добычи является высокая стоимость транспорта балласта-пластовой воды. Транспорт обводненной нефти удорожается не только в результате перекачки дополнительных объемов содержащейся в нефти пластовой воды, но и вследствие того, что вязкость эмульсии типа вода в нефти выше, чем чистой нефти. При увеличении содержания воды в нефти на 15 транспортные расходы возрастают в среднем на 3-5% при каждой перекачке.

Добывающая из скважин нефть, как правило, имеет в своем составе пластовую воду (в свободном или эмульгированном состоянии), содержащую различные минеральные соли -хлористый натрий NaCl, хлористый кальций СаСl2, хлористый магний MgCl2, причем часто в больших количествах (200 тыс. мг/л воды и более), механические примеси. Эти соли придают водонефтяной смеси довольно высокую коррозионную активность и затрудняют таким образом ее транспортирование и последующую переработку. Механические примеси и соли легко отлагаются с суженных местах, местах поворотов, изгибов, сужая живое сечение трубок и ухудшая процесс теплопередачи в теплообменном оборудовании. Примеси и соли тяжёлых нефтей концентрируются в тяжёлом остатке переработки нефти, ухудшая их качество. В состав нефтей входят также различные газы органического (метан СН4, этан С2Н6, пропан С3Н8, бутан С4Н10) и неорганического (сероводород H2S, углекислый газ СО2 и гелий Не) происхождения.

В связи с изложенным, возникает необходимость отделения от нефти пластовой воды и солей в промысловых условиях. Вместе с водой при обезвоживании из нефти удаляются соли, растворенные в воде, и механические примеси, которые являются причиной коррозии и загрязнения трубопроводов и аппаратов. При обезвоживании нефти на месторождениях из нее удаляется основная масса воды, солей и механических примесей, и нефтепроводным управлениям нефть сдается с содержанием воды, как правило, не выше 1-2 %. Но эта норма не остается неизменной и имеется тенденция к ее снижению до 0,5 % , что экономически и технологически более целесообразно.

При обезвоживании нефти на месторождениях - лишь первый этап ее подготовки к переработке. Более глубокая очистка нефти от пластовой воды, солей и механических примесей осуществляется в процессе обессоливания. С этой целью обезвоженную нефть интенсивно перемешивают с пресной водой, а образовавшуюся эмульсию разрушают.

При извлечении нефти и пластовой воды на поверхность они неизбежно перемешиваются, образуя при этом эмульсию. Свойства нефтяных эмульсий, их стойкость в значительной мере зависят от способа добычи нефти и условий эксплуатации нефтяного месторождения.

2. Технологическая часть

Действующая система сбора, сепарации нефти


В настоящее время действующая система сбора, сепарации нефти отличается от проектной по количеству ДНС и по выполняемым функциям. В эксплуатации находятся ДНС: 1; 2; 3,3Р; 4; 5; 10 и ВПНН Икилорской площади. На ДНС - 2; 3,3Р; ДНС - 4 УПСВ; ДНС - 5 УПСВ, ДНС-10 УПСВ и ВПНН «Икилор» осуществляется I и II ступень сепарации нефти от газа, оперативный цеховой учёт добываемой продукции. Предварительный сброс пластовой воды осуществляется на УПСВ ДНС-1, ДНС-4, ДНС-5 с 2005г, ДНС-10 УПСВ с 2008г. Сброс воды осуществляется без дополнительного подогрева с применением деэмульсатора ХПД-002 (удельный расход 39 г/т нефти). Остаточная обводнённость нефти составляет 5%.

Попутный нефтяной газ (ПНГ) первой ступени сепарации в большей его части бескомпрессорным способом транспортируется по системе внутрипромысловых газопроводов на Когалымскую ГКС. Остальная часть газа используется на технологические топливные и нетопливные нужды. От Когалымской ГКС объединённый поток газа Южно-Ягунской, Тевлинской, Дружнинской группы месторождений транспортируется на ГПЗ УППНГ ТПП «Лангепаснефтегаз». Продукция скважин ЦДНГ-1 и 2, ДНС-3; 4 и 5 поступает на ЦПС, проходит двухступенчатую сепарацию и полную подготовку нефти в ЕТБ-1;2. Предварительный сброс воды продукции с ВППН «Икилор», ДНС-2 и ДНС-10 осуществляется на УПСВ ДНС-1, после чего поступает на ЦПС. ПНГ низких ступеней сепарации (II, III, IV ступень) от ЕТБ-1 и 2, УПСВ ДНС-1 подается на ВКС при ЦПС и транспортируется на Когалымскую ГКС.

Товарная нефть, прошедшая полную подготовку на ЦПС транспортируется через СИКГ-540 в магистральный трубопровод «Холмогоры - Западный Сургут».

Обводнённость продукции, поступающей на ДНС, составляет:

ДНС-1 УПСВ(ЦППН) - 74.7 %

ДНС-2 (ЦДНГ-2) - 80.6 %

ДНС-3 (ЦДНГ-3) - 84.9 %

ДНС-4 УПСВ (ЦДНГ-4) 93.9 %

ДНС-5 УПСВ (ЦДНГ-5) 93.6 %

ДНС-10 УПСВ - 93.3 %

Жидкость после первой ступени сепарации с ВПНН «Икилор» вместе с продукцией ДНС-2 транспортируется по трубопроводу Ø273мм на УПСВ ДНС-1 для предварительного обезвоживания. После предварительного сброса воды продукция ДНС-1 перекачивается на ЦПС для полной подготовки совместно с продукцией ДНС-3,4,5. Принципиальная схема Южно-Ягунского месторождения представлена на рисунке 1.

Рис. 1 - Принципиальная технологическая схема Южно-Ягунского месторождения.

Обводненная нефть с ЦДНГ-2 и ВПНН Икилор поступает на устройство предварительного отбора газа (УПОГ) ДНС-2. Устройство предварительного отбора газа предназначено для расслоения и усреднения потока газожидкостной смеси (ГЖС) за счет увеличения диаметра и уменьшения скорости движения потока. При этой скорости начинают происходить процессы расслоение ГЖС на нефть и воду и «сглаживаются» влияние пульсаций давления со сборных коллекторов промыслов. Выделившийся в УПОГ газ собирается вдоль верхней образующей УПОГ и отбирается через газоотводящее устройство.

Газонефтяная смесь поступает в сепараторы I, II ступени для отделения газа от жидкой продукции скважин.

Газ с УПОГ и сепаратора I ступени поступает в газосепаратор, для очистки от жидкости, откуда большая транспортируется на газокомпрессорную станцию. Остальная часть газа используется на технологические топливные и не топливные нужды.

Частично разгазированная продукция ДНС-2 с насосной внешней откачки через оперативный узел учета нефти транспортируется на ДНС-1 УПСВ для предварительного сброса воды.

В случае аварийной ситуации сырая нефть может быть подана в аварийный резервуар.

Принципиальная технологическая схема ДНС-2, ДНС-3 приведена на рисунке 2,3.

Рис. 2 - Принципиальная технологическая схема ДНС-2 Южно-Ягунского месторождения

Условные обозначения:

- УПОГ; 2 - сепаратор первой ступени; 3 - газосепаратор; 4 - сепаратор второй ступени; 5 -аварийный резервуар; 6 - насос откачки нефти; 7- оперативный узел учета нефти.- Продукция скважин; II - газ на КС; III - газ на котельную; IV - газ на факел/газ на ВКС; V - нефть на ДНС-1 УПСВ Южно-Ягунского месторождения

Рис. 3 - Принципиальная технологическая схема ДНС-3 Южно-Ягунского месторождения

Условные обозначения:

- УПОГ; 2 - сепаратор первой ступени; 3 - газосепаратор; 4 - сепаратор второй ступени; 5 -аварийный резервуар; 6 - насос откачки нефти; 7- оперативный узел учета нефти.- Продукция скважин; II - газ на КС; III - газ на факел; IV - нефть на ЦПС Южно-Ягунского месторождения

Предварительный сброс воды на УПСВ


Эффективное и более глубокое обезвоживание нефти на ДНС УПСВ возможно при сохранении баланса между поступающими объёмами добываемой жидкости и производительностью (пропускной способностью) установленного технологического оборудования по сепарации, обезвоживанию нефти и очистке воды.

Не менее важным фактором является наличие в самих аппаратах соответствующей оснастки для ведения эффективной сепарации и обезвоживания нефти. В таблице 1 дана сравнительная оценка фактической загрузки и пропускной способности установленного сепарационно-отстойного оборудования. Данные по фактической загрузке по жидкости взяты за март 2012г.

Цех

Наименование объектов

Мощность проектная

Фактическая загрузка



по жидкости, м3/сут

по жидкости, м3/сут

по жидкости, %

ЦДНГ-2

ДНС-2

 7 500

8 397

111

ЦДНГ-3

ДНС-3

10 000

135

ЦДНГ-4

ДНС-4 (УПСВ)

22 000

23 072

104

ЦДНГ-5

ДНС-5 (УПСВ)

24 000

23 231

96

ЦДНГ-1

ДНС-10 (УПСВ)

15 000

9 978

66


Обезвоживание нефти производится на УПСВ ДНС-1,4,5,10. На ДНС-2,3 не производится сброс пластовой воды. По состоянию технологической схемы подготовки и перекачки нефти на сегодняшний день производится повторное обезвоживание продукции ДНС-2,10,4,5. Это вызывает повышенный расход деэмульгатора и нерациональное использование оборудования, как сепарационного, так и насосного.

Согласно таблице 1 загрузка сепарационного блока ДНС-3 превышает проектную и составляет 135%. ДНС-2 по сепарационно-насосному блоку загружен на 111%. Согласно рекомендуемому варианту разработки месторождения, в районе ДНС-2,3 ожидается поддержание уровня добычи продукции за счет вновь вводимых кустов скважин. Кроме того проведено сравнение загруженности оборудования на перспективу до 2021г. Результаты анализа в динамике даны на рисунке 4,5.

Рис. 4 - Сравнительная характеристика проектной мощности по жидкости и нефти ДНС-2 с динамикой добычи продукции на период 2011-2021г.

Рис. 5 - Сравнительная характеристика проектной мощности по жидкости и нефти ДНС-3 с динамикой добычи продукции на период 2011-2021г.

По рисунку 4 динамика добычи жидкости ДНС-2 превышает проектную мощность ДНС на весь период до 2021г. Необходимо предусмотреть комплекс мероприятий для наращивания мощности ДНС-2.

Согласно таблице 1 и рисунку 5 загруженность сепарационного блока ДНС-3 превышает проектную мощность в настоящее время и сохраняется в перспективе развития разработки месторождения в районе нефтесбора ДНС. Здесь предусматривается наращивание фонда добывающих и нагнетательных скважин, обустройство новых кустовых площадок, строительство новых и реконструкция эксплуатируемых нефтесборных трубопроводов для увеличения пропускной способности.

Согласно расчётной динамике добычи жидкости на 2011-2021г эксплуатируемый напорный нефтепровод Ø273мм по своей максимальной производительности 2.4 млн. м3/год не обеспечит совместную транспортировку на ДНС-1 УПСВ ожидаемых объёмов добычи продукции 3 млн. м3/год с ВПНН «Икилор» и ДНС-2.

Согласно рисунку 5, в связи с сохранением объемов добычи продукции в районе нефтесбора ДНС-3, необходима её реконструкция: строительство УПСВ. При выполнении данных рекомендаций ликвидируется необходимость обратной подачи подтоварной воды с ЦПС на КНС-3 (ДНС-3), снизится потребление электроэнергии на транспортировку воды с ЦПС. Потребность воды для закачки в пласты с целью поддержания пластового давления обеспечивается сбрасываемой водой на ДНС-3, подачей попутной воды с ДНС-4УПСВ и добычей сеноманской воды.

Согласно динамике добычи жидкости в районе нефтесбора двух ДНС совместная транспортировка продукции с ВПНН «Икилор» и ДНС-2 требует увеличения напоров и производительности насосов внешней перекачки ДНС-2 и ВПНН «Икилор». Пропускная способность эксплуатируемого напорного нефтепровода тоже ограничена. В тоже время подача продукции с высокой (85%) обводнённостью на ДНС-1 УПСВ, с возвращением подтоварной воды на кусты скважин ДНС-2 является нерациональной. Данный способ обеспечения водой вызывает повышенный расход электроэнергии на транспортировку обводнённой нефти и балластной воды. Кроме того, пропускная способность эксплуатируемого напорного нефтепровода ДНС-2 - ДНС-1 УПСВ не беспредельна.

Требуется укладка дополнительного трубопровода или замена существующего новым трубопроводом Ø426мм с годовой производительностью 4.4млн.т/г. Таким образом, альтернативным вариантом является реконструкция ДНС-2 со строительством УПСВ для совместного предварительного обезвоживания нефти, поступающей от ВПНН «Икилор» и ДНС-2.

Реконструкция ДНС-2,3


Перед блоком сепарации необходимо построить площадку УПСВ, где от продукции скважин, поступающей с устройства предварительного отбора газа, будет отделена вода и направлена в буферную емкость блочной кустовой насосной станции (БКНС), откуда насосами откачки воды будет подаваться на кусты скважин ДНС-2 для поддержания пластового давления. УПОГ может входить в состав КДФТ (концевой делитель фаз трубный), но может изготавливаться и поставляться отдельно.

Первая ступень сепарации будет производиться непосредственно на УПСВ, далее, после низких ступеней сепарации частично обезвоженная и разгазированная нефть будет транспортироваться на ЦПС.

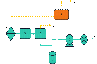
Принципиальная технологическая схема ДНС-2,3 после реконструкции показана на рис.6,7.

Рис. 6 - Принципиальная технологическая схема ДНС-2 Южно-Ягунского месторождения после реконструкции

Условные обозначения:

1 - УПОГ; 2 - площадка УПСВ; 3 - сепаратор второй ступени; 4 - газосепаратор; 5 - сепаратор третьей ступени; 6 -аварийный резервуар; 7 - насос откачки нефти; 8- оперативный узел учета нефти.

I - нефть со скважин; II - газ на КС; III - газ на котельную; IV - газ на факел/газ на ВКС; V - нефть на ЦПС; VI - вода на БКНС-2.

Рис. 7 - Принципиальная технологическая схема ДНС-3 Южно-Ягунского месторождения после реконструкции

Условные обозначения:

- УПОГ; 2 - площадка УПСВ; 3 - сепаратор второй ступени; 4 - газосепаратор; 5 - сепаратор третьей ступени; 6 -аварийный резервуар; 7 - насос откачки нефти; 8- оперативный узел учета нефти.

I - нефть со скважин; II - газ на КС; III - газ на факел; IV - нефть на ЦПС; V - вода на БКНС-3.

При сооружении УПСВ ДНС-2 значительно уменьшится объем жидкости, перекачиваемый на ЦПС. При действующей схеме подготовки и перекачки нефти транспортируется 8429 м3/сут. жидкости, при сооружении УПСВ и отделении на ДНС-2 пластовой воды объем перекачки продукции скважин составит 1650м3/сут. Предусмотрена замена агрегатов насосной внешней откачки ДНС-2 для оптимизации расходов на электроэнергию для транспортировки нефти для её подготовки на ЦПС. Из представленного гидравлического расчета напорного нефтепровода ДНС-2 - ЦППН «Я» следует, что для перекачки 1650 м3/сут. жидкости необходимое давление составит 0,76 МПа в начальной точке. Для обеспечения соответствующих объемов перекачки жидкости необходимо установить 2 насоса (1 в работе, 1 в резерве) ЦНС105/147 с электродвигателями 75 КВт, взамен использующихся. В настоящее время на ДНС-2 используется 4 насоса (2 в работе, 2 в резерве): 1. ЦНС 180/340 с электродвигателем 290 КВт;

. ЦНС 180/340 с электродвигателем 360 КВт;

. ЦНС 180/297 с электродвигателем 250 КВт;

. ЦНС 180/340 с электродвигателем 250 КВт.

Гидравлический расчет находящегося в эксплуатации трубопровода ДНС-2 - ДНС-1 Ø273мм, при действующей схеме подготовки и перекачки нефти


Нефтепровод ДНС-2 - ДНС-1


Диаметр трубопровода (мм)

273

Толщина стенки (мм)

18

Длина трубопровода (м)

10800

Объем транспорта жидкости (м3/сут)

8429

Объем транспорта нефти (м3/сут)

1628

Обводненность продукции (%)

80,7

Давление в начале участка (МПа)

4,27

Давление в конце участка (МПа)

0,5

 

Гидравлический расчет трубопровода УПСВ ДНС-2 - ЦПС Ø273мм, при реконструкции


Нефтепровод УПСВ ДНС-2-ЦПС


Диаметр трубопровода (мм)

273

Толщина стенки (мм)

18

Длина трубопровода (м)

11600

Объем транспорта жидкости (м3/сут)

Объем транспорта нефти (м3/сут)

1642

Обводненность продукции (%)

0,5

Давление в начале участка (МПа)

0,76

Давление в конце участка (МПа)

0,5


Реконструкция ДНС-3 с сооружением УПСВ обеспечит уменьшение обводненности и объема нефти, транспортируемой на ЦПС для полной подготовки. Объем жидкости, доставляемой с ДНС-3 при реконструкции, уменьшится до 2050 м3/сут. Рекомендуется замена насосного оборудования ДНС-3, для рационализации расходов на электроэнергию. Для обеспечения соответствующих объемов перекачки жидкости необходимо установить 2 насоса (1 в работе, 1 в резерве) ЦНС105/147 с электродвигателями 75 КВт, взамен использующихся. В настоящее время на ДНС-2 используется 4 насоса (2 в работе, 2 в резерве):

. ЦНС 300/240 с электродвигателем 315 КВт;

. ЦНС 300/240 с электродвигателем 315 КВт;

. ЦНС 300/120 с электродвигателем 200 КВт;

. ЦНС 300/120 с электродвигателем 200 КВт.

Гидравлический расчет находящегося в эксплуатации трубопровода ДНС-3 - ЦПС Ø426мм, при действующей схеме подготовки и перекачки нефти


Нефтепровод ДНС-3-ЦПС


Диаметр трубопровода (мм)

426

Толщина стенки (мм)

8

Длина трубопровода (м)

8100

Объем транспорта жидкости (м3/сут)

13544

Объем транспорта нефти (м3/сут)

2031

Обводненность продукции (%)

85

Давление в начале участка (МПа)

0,8

Давление в конце участка (МПа)

0,5

 

Гидравлический расчет трубопровода УПСВ ДНС-3 - ЦПС Ø426мм, при реконструкции


Нефтепровод УПСВ ДНС-3-ЦПС


Диаметр трубопровода (мм)

426

Толщина стенки (мм)

8

Длина трубопровода (м)

8100

Объем транспорта жидкости (м3/сут)

2050

Объем транспорта нефти (м3/сут)

2040

Обводненность продукции (%)

0,5

Давление в начале участка (МПа)

0,54

Давление в конце участка (МПа)

0,5


Баланс и распределение воды на Южно-Ягунском месторождении. Капитальный ремонт БКНС-2.

Необходимым условием для строительства УПСВ ДНС-2 является проведение после консервации капитального ремонта БКНС-2, для сброса подтоварной воды с УПСВ. Для вывода из консервации БКНС-2 необходимо сооружение высоконапорных и низконапорных водоводов для организации закачки в кусты и транспортировки воды от водозаборных скважин до блока сепарации.

В связи с проведением после консервации капитального ремонта БКНС-2 Южно-Ягунского месторождения и запуском его в работу необходимо сооружение водоводов с целью увеличения пропускной способности и организации закачки на нагнетательные скважины действующих кустов от БКНС-2, согласно рисунку №8.

нефтяной месторождение гидравлический трубопровод

Рис. 8 - Схема водоводов ЦДНГ-2 Южно-Ягунского месторождения после реконструкции.

При сооружении УПСВ на ДНС-3 сброс пластовой воды будет осуществляться на КНС-3, исключая возвращение подтоварной воды с ЦПС.

Система ППД на Икилорской площади обеспечивается водой сеноманских скважин по действующей схеме.

Система сбора, сепарации нефти после реконструкции

При запуске УПСВ на ДНС-2,3 появится возможность исключения ДНС-1 из технологической схемы Южно-Ягунского месторождения. Консервация невозможна при действующей схеме по причине высокой загруженности ЕТБ ЦПС по жидкости (4,5млн.м³/год - проектная мощность, 5,5 млн.м³/год - нагрузка в настоящее время) . При сооружении УПСВ на ДНС-3 будет разгружен ЕТБ-2 ЦПС, вследствие чего появится необходимый запас мощности ЕТБ на случай аварийной ситуации, остановки УПСВ на ДНС. Для вывода из технологического режима УПСВ ДНС-1 потребуется сооружения пункта нефтеналива на ЦПС, взамен используемого на ДНС-1 и реконструкция блока ЧРП. Продукция с ДНС-2,10 с низким уровнем обводненности будет транспортироваться на ЦПС, минуя ДНС-1. Значительно уменьшится нагрузка на существующий нефтепровод. Принципиальная технологическая схема Южно-Ягунского месторождения после реконструкции ДНС-2 и консервации УПСВ ДНС-1 представлена на рисунке 9.

Рис. 9 - Принципиальная технологическая схема Южно-Ягунского месторождения после реконструкции ДНС-2 и консервации УПСВ ДНС-1

3. Экономический эффект

Затраты на реконструкцию ДНС-2 Южно-Ягунского месторождения приведены в таблице №1.1.

Таблица №1.1. Капиталовложения для реконструкции ДНС-2 Южно-Ягунского месторождения.

Мероприятие

Кап. вложения, тыс. руб.

1. Строительство УПСВ на площадке ДНС-2 для предварительного сброса воды из продукции от ВПНН «Икилор» и ДНС-2 Южно-Ягунского месторождения.

105220*


* - при оценке капвложений учтены затраты на СМР, оборудование, прочие затраты и ПИР.

Примером подсчета капиталовложений для реконструкции ДНС-2 Южно-Ягунского месторождения является УПСВ ДНС-6(В).

Затраты на реконструкцию ДНС-3 Южно-Ягунского месторождения приведены в таблице №1.2.

Таблица №1.2. Капиталовложения для реконструкции ДНС-3 Южно-Ягунского месторождения.

Кап. вложения, тыс. руб.

Строительство УПСВ на площадке ДНС-3 для предварительного сброса воды из продукции ДНС-2 Южно-Ягунского месторождения.

125000*

* - при оценке капвложений учтены затраты на СМР, оборудование, прочие затраты и ПИР. Примером подсчета капиталовложений для реконструкции ДНС-2 Южно-Ягунского месторождения является УПСВ ДНС-3(П). Затраты на консервацию ДНС-1УПСВ Южно-Ягунского месторождения приведены в таблице №1.3

Таблица №1.3. Капиталовложения для консервации ДНС-1 Южно-Ягунского месторождения.

Мероприятие

Кап. вложения, тыс. руб.

1. Строительство пункта нефтеналива на ЦПС Южно-Ягунского месторождения.

60000

2. Реконструкция блока ЧРП

6000


Затраты на реконструкцию БКНС-2 Южно-Ягунского месторождения приведены в таблице №1.4.

Таблица №1.4. Капиталовложения для реконструкции БКНС-2 Южно-Ягунского месторождения.

Мероприятие

Кап. вложения, тыс. руб.

Реконструкция КНС-2. Установка на базе существующего фундамента 4 насосных агрегатов ЦНС180-1422 (3 раб+1 в резерве)

122816


Дополнительным пунктом достижения экономического является избежание затрат на выполнение предписаний, согласно плану мероприятий Главного управления МЧС России по ХМАО - Югре от 05.12.2011 №79/1/1.

Таблица №2 - ПЛАН МЕРОПРИЯТИЙ по выполнению предписания Управления надзорной деятельности Главного управления МЧС России по ХМАО - Югре от 05.12.2011 года № 79/1/1

Вид нарушения требований пожарной безопасности с указанием мероприятия по его устранению и конкретного места выявленного нарушения

Предполагаемые затраты на выполнение


Территория УПСВ


1

Растворопроводы - сухотрубы автоматической системы пожаротушения УПСВ длиной более 105 метров обеспечить теплоспутником и утеплить. Обоснование: п.3 ППБ 01-03, п.6.126 ВНТ 3-85

800


БРХ


2

В блок-боксах БРХ выполнить наружные легкосбрасываемые ограждающие конструкции площадью не менее 0,44 м2 в каждом. Обоснование: п.3 ППБ 01-03, п.5.9 СНиП 31-03-2001

1500


Площадка ПТБ-10


3

В блок-боксах ГРП ПТБ-10 № 1-4 выполнить наружные легкосбрасываемые ограждающие конструкции площадью не менее 1 м2 в каждом. Обоснование: п.3 ППБ 01-03, п.5.9 СНиП 31-03-2001

2800


Товарный парк УПСВ



РВС-1


4

Выполнить автоматическую систему пожаротушения РВС-5000 м3 № 1 Обоснование: п.3 ППБ 01-03, п.8.3 СНиП 2.11.03-93

1500


РВС-8


5

На резервуаре выполнить монтаж автоматической системы пожаротушения. Обоснование: п.3 ППБ 01-03, п.8.3 СНиП 2.11.03-93

1500


РВС-9


6

На резервуаре выполнить монтаж автоматической системы пожаротушения. Обоснование: п.3 ППБ 01-03, п.8.3 СНиП 2.11.03-93

1500


РВС-10


7

На резервуаре выполнить монтаж автоматической системы пожаротушения. Обоснование: п.3 ППБ 01-03, п.8.3 СНиП 2.11.03-93

1500


Динамика движения денежных средств при выполнении работ по оптимизации системы сбора и подготовки нефти Южно-Ягунского месторождения представлена на рисунке 10.

Рис.№10. График движения денежных средств

Заключение

Сооружение установки предварительного сброса воды на ДНС-2,3 Южно-Ягунского месторождения позволит:

Разгрузить сепарационный блок ДНС-2,3;

Обеспечить необходимое количество жидкости для поддержания пластового давления в районе нефтесбора ДНС-2 без необходимости возвращения пластовой воды с ДНС-1 УПСВ;

Исключить возвращение потоков подтоварной воды с ЦПС на КНС-3;

Произвести консервацию УПСВ ДНС-1 Южно-Ягунского месторождения, исключить затраты на эксплуатацию установки;

Значительно уменьшить объемы перекачиваемой продукции скважин с ДНС-2,3, что приведет к экономии электроэнергии на транспортировку ;

Исключить двойную подготовку нефти на ДНС и ЦПС. Данный проект рекомендуется внедрить в технологию и является экономически выгодным.

Список литературы

1. Лутошкин Г.С. Сбор и подготовка нефти, газа и воды - М.: Недра, 2009.

. Тронов В.П.Промысловая подготовка нефти .ФЭН,2010г.

. Справочник по нефтепромысловому оборудованию. Под ред. Е.И. Бухаленко.- М.: Недра, 2008.

. Нефтепромысловое оборудование: Справочник/ Под ред. Е.И. Бухаленко.- М.: Недра, 2011.

. Технологический регламент ЦППН Южно-Ягунского месторождения.

Похожие работы на - Реконструкция Южно-Ягунского месторождения

 

Не нашли материал для своей работы?
Поможем написать уникальную работу
Без плагиата!
Без нейросетей!