Разработка и эксплуатация нефтяных месторождений на примере месторождения Кокайты
Введение
кокайты
нефть вытеснение недра
Общие понятие
о характеристике вытеснения
В процессе разработки и эксплуатации нефтяных месторождений стоит вопрос
о качественной и количественной оценке производительности и эффективности
применяющихся методов. В силу неповторимости технологических и
геолого-физических условий, в силу неповторимости производственных и природных
факторов, оказывающих влияние на эффективность проведенных мероприятий, а также
в силу сочетаний различных факторов для каждого конкретного случая, оценка
эффективности воздействия на месторождение, пласт, призабойную зону пласта
обладает достаточной степенью сложности.
В данной сложившейся ситуации возник вопрос о применении методов
математической статистики для решения ряда задач связанных с оценкой
эффективности проводимых мероприятий направленных на повышение нефтеотдачи.
Возникновение данной проблемы связано с тем, что применение классических
приемов из состава математического аппарата, применительно к таким сложным
объектам, как объекты разработки, не дает возможности описать происходящие в
недрах процессы. Построение математических моделей и их описание не дает
возможности наиболее полно и адекватно охарактеризовать требуемые процессы, и
тем более давать какие либо прогнозы на будущее. Таким образом, развитие
методов применяемых для осуществления оценки эффективности и прогноза
показателей разработки пошло по пути применения методов математической
статистики.
Более 40 промыслово-статистических методов прогноза показателей
разработки на основе экстраполяции промысловых данных предложено на данный
момент различными авторами. Предложенные методы описываются кривыми вытеснения
- различными зависимостями между величинами отборов нефти, воды и жидкости.
Характеристики вытеснения подразделяются на две большие группы: кривые
обводнения и кривые падения. Кривые обводнения - это зависимости между
накопленными отборами нефти, воды и (или) жидкости или зависимости между
накопленными отборами и обводненностью продукции. Кривые обводнения
характеризуют процесс обводнения скважин, участка, месторождения и зависимости
от накопленной добычи жидкости. Кривые падения - это зависимости между текущей
и накопленной добычей нефти от фактора времени, а также зависимости между
текущей и накопленной добычей нефти. Кривые падения характеризуют изменение
добычи нефти во времени. Старейшими промыслово-статистическими методами
являются методы М.И. Максимова, И.Г. Пермякова, А.М. Пирвердяна.
Промыслово-статистические методы обладают достаточно высокими погрешностями при
определении на ранних стадиях, но они весьма широко используются в различных
исследованиях, и рекомендованы в различных руководящих документах (РД) в силу
их простоты и экспрессности.
В силу того, что характеристики вытеснения характеризуют процессы,
протекающие на месторождении со статистической точки зрения, и, следовательно,
в силу своих свойств, данные методы позволяют осуществлять определение
прогнозных значений показателей разработки, таких как:
. Прогноз предельных значений накопленной добычи нефти, когда,
водонефтяной фактор стремится к бесконечно большому значению. Иными словами,
возможно определить максимально возможные извлекаемые запасы нефти
;
. Задаваясь значением балансовых запасов, возможно осуществить нахождение
максимально возможного значения коэффициента нефтеизвлечения
;
. Прогноз текущих значений накопленной добычи нефти, воды, жидкости,
водонефтяного фактора, задаваясь значением обводненности продукции. Так
задаваясь значением обводненности добываемой жидкости
= 99%, мы получим прогнозное значение
реально возможных извлекаемых запасов нефти
.
. Задаваясь значением балансовых запасов, возможно осуществить нахождение
прогнозного значения реально достижимого коэффициента нефтеизвлечения
(КИН).
Общие
сведения о месторождении Кокайты
Месторождение Кокайты расположено на территории Джаркурганского района
Сурхандарьинской области Республики Узбекистан, в 20 км к северо-востоку от
районного центра Джаркурган.
В орографическом отношении площадь представляет собой небольшую
возвышенность среди всхолмленного плато, северо-восточного простирания,
примыкающая к западному склону хребта Ак-Тау. Средняя часть складки сильно
изрезана узкими глубокими оврагами. Строение складки по поверхности
месторождения совпадает с глубинным строением. Самая высокая часть складки -
центральная. Эта часть складки как и вся сводная часть, протягивающаяся на север
и юг, сложена красноцветными песчаниками и глинами II свиты неогена, в местах
входов пластов песчаника, переслаивающегося с глинами и алевролитами,
образуются более пологие формы рельефа. Общие размеры выходов коренных пород
составляют 15-20% всей площади.
Возвышенность Кокайты расчленено оврагами. Особенно много оврагов в
юго-западной ее части. Наибольшее количество оврагов имеет меридиональное
направление и меньшее - широтное. В центральной части складки, где отмечено
небольшое поднятие оси, приходит продольной, изрезанный, бессточный овраг,
появление которого объясняется раздробленностью пород в зоне прогиба складки. К
югу и северу от центральной части рельеф сглаживается и принимает форму пологих
увалов. В южной части небольшое развитие имеют бугристые пески, образующиеся
как за счет разрушения и переноса ветром коренных пород, так и за счет
развивания террасовых отложений Сурхандарьию. Месторождение Кокайты
характеризуется отсутствием постоянных водотоков на площади. Ближайшая река
Сурхан-Дарья протекает в 8-12 км западнее площади, которая в осенне-зимний
период мелеет.
Глава 1.
Геолого-промысловая характеристика месторождения Кокайты
1.1 Краткая
геолого-физическая характеристика месторождения
Стратиграфия
Меловая система. Самой глубокой скважиной 73 на площади вскрыты отложения
туронского яруса.
Турон представлен темно-серыми, песчанистыми, местами известковистыми
глинами, чередующимися с серыми мелкозернистыми песчаниками и прослойками
известняков и мергелей. Мощность 120 м.
Сенон состоит главным образом из зеленовато-серых и зеленых, иногда
песчанистых глин, содержащих прослои зеленовато-серых мелкозернистых
песчаников, серых известняков и мергелей. Мощность 310 м.
В разрезе палеогеновой системы различаются акджарские, бухарские,
сузакские, алайские, туркестанские, риштан + исфара + ханабадские слои. Общая
мощность палеогена 780-790 м.
Акджарские слои (нижний палеоцен) - светло-серые, трещиноватые
известняки, желтоватые и серые доломиты и белые ангидриты. Изредка встречаются
прослои серых мелкозернистых песчаников. В акджарских слоях выделяется IV
горизонт. Мощность его ПО - 115 м.
Бухарские слои (верхний палеоцен) - серые, плотные, местами
доломитизированные известняки, пористые, рыхлые доломиты, серые мергели,
содержащие прослои белых плотных ангидритов и единичные прослои глин. В разрезе
бухарских слоев выделено пять горизонтов (I, II, III, IV, V). Мощность 230-235
м,
Сузакские слои (нижний эоцен) - толща зеленых известковистых глин с
прослоями зеленовато-серых мергелей. Мощность 200-205 м.
Алайские слои (средний эоцен) подразделяются на две части. Нижнюю слагают
зеленовато-серые известняки-ракушняки с редкими прослойками глин, а верхнюю -
серо-зеленые глины с прослоями мергелей, известняков и песчаников. Известняки,
залегающие в нижней части, выделяются как горизонт I. Мощность 60-65 м.
Туркестанские слои (верхний эоцен) представлены зелеными глинами с
прослойками мергелей. В нижней части залегает прослой зеленовато-серых
песчаников. Мощность 125-230 м.
Риштан + исфара + ханабадские слои (верхний эоцен) сложены в основном
зелеными глинами с прослоями мергелей. Изредка встречаются прослойки глин
малинового цвета. Мощность 35-40 м.
Отложения неогена залегают на риштан + исфара + ханабадских слоях и
представлены красноцветными образованиями бальджуанской, хингоусской и
тавильдаринской свитами. Общая мощность неогена 560-840 м.
Тектоника
Месторождение Кокайты приурочено к антиклинальной асимметричной складке,
вытянутой на северо-восток. На поверхности залегают породы красноцветов
неогена. По этим отложениям длина складки 27 км, ширина 4 км. В присводовой
час-ти углы падения пород не превышают 7-10°, на северо-западном. крыле они
возрастают до 50-65°, на юго-восточном - до 30-40°.
По бухарским слоям углы падения на северо-западном крыле равны 40-45°, но
с глубиной увеличиваются до 50°. Юго-восточное крыло падает под углами 30-35°,
с глубиной доходит до 65°. Периклинали погружаются под углами 5-7°. По кровле I
горизонта бухарских слоев (по изогипсе - 720) длина складки составляет 7,5 км,
ширина 0,9 км.
Ранее считалось, что вдоль оси складки в присводовой части
северо-западного крыла имеется взброс с амплитудой 70-75 м, по которому
северо-западное крыло надвинуто на юго-восточное. Последние данные бурения
(1969 г.) это нарушение не подтвердили.
Нефтеносность
Промышленная нефтеносность на месторождении Кокайты связана с I, II, III
горизонтами. Разработка месторождения началась в 1940 г. На 1 января 1970 г.
эксплуатационный фонд состоит из 38 скважин.
Горизонт I залегает в кровле бухарских слоев и сложен пористыми
трещиноватыми известняками. Общая мощность I горизонта 4 м, эффективная- 2 м.
Пористость пород составляет 15%, проницаемость по промысловым данным равна
0,200 мдарси. Нефтяная залежь I горизонта выявлена в 1939 г., а разрабатывается
с 1940 г. Длина залежи 7,1 км, ширина 0,82 км.
Площадь нефтеносности 592 га (по изогипсе - 710 м). Этаж нефтеносности
100 м. Режим залежи водонапорный. Залежь относится к сводовым, пластовым.
Первоначальные дебиты нефти составляли 20 т/сут, первоначальное пластовое
давление 130 атм. Первоначальный газовый фактор 1-2 м3/т.
Горизонт II залегает на 17 м ниже I горизонта и представлен рыхлыми
известняками. Общая мощность горизонта 7 м, эффективная 4,5 м. Пористость 15%,
проницаемость по промысловым данным 0,17 мдарси.
Залежь II горизонта разрабатывается с 1939 г. Длина залежи 6,0 км, ширина
450 м. Этаж нефтеносности 45 м. Площадь нефтеносности по изогипсе -640 м
составляет 208 га. Режим нефтяной залежи водонапорный, тип залежи сводовый,
пластовый. Первоначальные дебиты нефти 7-50 т/сут, начальное пластовое давление
130 атм. Первоначальный газовый фактор 1-2 м3/т.
Горизонты I и II эксплуатируются совместно скважинами 13, 17, 18, 20, 21,
22, 23 и 38. Обводненность их достигает 85%. Всего с I+II горизонта добыто
16459 т нефти. Текущие дебиты нефти 5,1 т/сут, текущее пластовое давление 83,0
атм.
Кроме того, нефть добывается из I и II горизонтов раздельно. Всего с
начала разработки из I горизонта на 1 октября 1969 г. добыто 332011,2 т, а из
II горизонта- 1169635,9 т нефти. Текущий дебит одной скважины в среднем равен
3,5 т/сут. Текущее пластовое давление 30 атм. Нефть I и II горизонтов имеет
следующую характеристику: удельный вес 0,930-0,936 г/см3. Содержание
серы 2,7-3,80%, асфальтенов 4,8-6,1, акцизных смол 21,8-64,0, парафина 3,1-3,3%.
Газ I и II горизонтов, растворенный в нефти, имеет плотность (воздух-1) 140.
Содержание сероводорода - следы или 0,02, углекислого газа 1,1-6,8%. метана
8,5-41,6, азота + редких 11,9-15,6%. Количество газобензина составляет 180
г/м3.
Горизонт III находится в средней части бухарских слоев. Он выражен серыми
пористыми известняками, общая мощность которых составляет 15 м, а эффективная
10 м. Пористость по промысловым данным равна 18%, а проницаемость 0,19 мдарси.
Нефтяная залежь разрабатывается с 1939 г. Длина залежи 6,6 км, ширина 0,27 км,
этаж нефтеносности 35 м. Площадь нефтеносности по изогипсе - 635 м равна 99 га.
Режим залежи водонапорный. Залежь относится к типу сводовых, пластовых.
Первоначальный дебит нефти 20 т/сут, первоначальное пластовое давление 123 атм,
начальный газовый фактор 1-2 м3/т. На 1 августа 1969 г.
эксплуатационный фонд состоит из 9 скважин. Всего с начала разработки добыто
773453,0 т (1974г.) нефти. Текущий дебит нефти 4,8 т/сут. Текущее пластовое
давление 80 атм. Нефть III горизонта характеризуется следующими параметрами:
удельный вес 0,9527 г/см3, содержание серы 3,5%, асфальтенов 8,8, смол 18,9,
парафина 3,4. Выход легких фракций: до 150°-5,4%, до 200°-14,4%, до 300°-24,7%.
Газ, растворенный в нефти, имеет плотность 130-1,11, содержание сероводорода -
следы - 0,25, углекислого газа 1,45% - 6,2, метана 25,8, азота + редких
14,5-16,2%. Содержание газобензина 165- 180 г/м3.
Воды горизонта имеют удельный вес 1,089 г/см3. Содержание йода 14-21
вЖв/л, сероводорода от 0 до 0,41. Общая минерализация 105- 107 г/л. Воды
относятся к хлоркальциевому типу. В некоторых скважинах II и III горизонты
разрабатываются совместно. За 1967 г. добыто 3846 т нефти. Средний дебит в
сутки составляет 5,4 т при пластовом давлении 80,6 атм.

Рисунок 1.1 -
Структурная карта месторождения.

Рисунок 1.2 - Поперечный профиль скважин 3-6.
1.2 Краткое
текущее состояние разработки месторождения Кокайты
Нефтяное месторождение Кокайты была введена в эксплуатацию с выявлением
промышленной нефтиностности в скважине №2 в 1939 г. К 2011 г. фонд скважин
составляет 29 единиц. В настоящее время месторождение находится на поздней
стадии разработки.
На графике динамики основных технологических показателей разработки
(Рисунок 1.1), хорошо выделяется два периода.
К первому периоду относится время с 1939 г. по 1949 г., которое
характеризуется интенсивным разбуриванием добывающих скважин (26 единиц).
Максимальный отбор нефти за этот период приходится на 1949 г. - 150,10 тыс. т.,
после которого, с быстрым ростом количества попутно добываемой воды, отборы
нефти снизились до 57,35 тыс. т. (1951 г.).
Ко второму периоду интенсивного разбуривания месторождения соответствует
время с 1950 г. по 1961 г., которое характеризуется достижением локального
максимума годового отбора нефти в 1955 г. - 115,62 тыс. т. при фонде
действующих скважин равном 27 единиц. После 1955 г. годовой отбор нефти
снижается, хотя фонд скважин увеличивается, и максимальное количество
действующих скважин достигает в 1961 г. 38 единиц.
Максимальный годовой отбор нефти за весь период эксплуатации было
достигнуто в 1949 г. около 150,10 тыс. т., при фонде скважин 18 единиц.
Постепенное понижение пластового давления, вызывает истощение пластовой
энергии. В связи с этим в 1994 г. было пробурено 2 нагнетательных скважин, для
поддержания пластового давления. В 1994 г. пластовое давление было равно 41 ат.
Начиная с 2000 г. пластовое давление достигло стабильной отметки Рпл=35 ат. Это
отметка является постоянной по сегодняшний день. Приемистость средней скважины
за этот период (1994 - 2011 гг.) увеличилась с 0,348 до 0,488 м3/сут. Более
подробные данные приводится в таблице 1.1.
Максимальное значение среднесуточного дебита было достигнуто в 1950 г. и
составило 48,14 т/сут при обводнённости 44%. К 2011 году оно снизилось до 1,70
т/сут при обводненности 96%.
Основные технологические показатели разработки месторождения Кокайты
приведены в таблице 1.2.
За весь период разработки по состоянию на 2011 г. по месторождению было
добыто:
- нефти - 3555,771 тыс. т.;
- пластовой воды - 28759,99 тыс. т.;
- жидкости - 32315,761 тыс. т.
Таблица - 1.1.
|
№
|
Годы
|
Закачка воды, 1•103 м3
|
Действующий фонд скважин
|
Среднесут дебит ср. скважины, т/сут
|
Приемис-тость ср. скважины, м3/сут
|
Пластовое давление, ат
|
|
|
годовая
|
накоп- ленная
|
нагнета-тельные
|
добыва-ющие
|
|
|
|
|
1
|
2
|
3
|
4
|
5
|
6
|
7
|
8
|
9
|
|
1
|
1994
|
267,4
|
267,4
|
2
|
28
|
1,5463
|
0,348
|
41,0
|
|
2
|
1995
|
268,3
|
535,7
|
2
|
27
|
1,5530
|
0,349
|
40,0
|
|
3
|
1996
|
270,2
|
805,9
|
2
|
26
|
1,5516
|
0,352
|
39,0
|
|
4
|
1997
|
271,4
|
1077,3
|
2
|
26
|
1,5036
|
0,353
|
38,0
|
|
5
|
1998
|
272,1
|
1349,4
|
2
|
27
|
1,3742
|
0,354
|
37,0
|
|
6
|
1999
|
273,8
|
1623,2
|
2
|
29
|
1,3418
|
0,356
|
36,0
|
|
7
|
2000
|
275,4
|
1898,6
|
2
|
27
|
1,5298
|
0,358
|
35,0
|
|
8
|
2001
|
276,6
|
2175,2
|
2
|
26
|
1,5476
|
0,360
|
35,0
|
|
9
|
2002
|
277,3
|
2452,5
|
2
|
26
|
1,5066
|
0,361
|
35,0
|
|
10
|
2003
|
278,6
|
2731,1
|
2
|
25
|
1,5533
|
0,363
|
35,0
|
|
11
|
2004
|
271,3
|
3002,4
|
2
|
24
|
1,7048
|
0,353
|
35,0
|
|
12
|
2005
|
278,4
|
3280,8
|
2
|
23
|
1,7800
|
0,362
|
35,0
|
|
13
|
2006
|
240,0
|
3520,8
|
2
|
25
|
1,8019
|
0,312
|
35,0
|
|
14
|
2007
|
283,0
|
3803,8
|
2
|
25
|
1,6556
|
0,368
|
35,0
|
|
15
|
2008
|
254,7
|
4058,5
|
2
|
27
|
1,8678
|
0,331
|
35,0
|
|
16
|
2009
|
360,1
|
4418,6
|
2
|
27
|
2,0541
|
0,469
|
35,0
|
|
17
|
2010
|
374,0
|
4792,6
|
2
|
28
|
1,7732
|
0,487
|
35,0
|
|
18
|
2011
|
375,2
|
5167,8
|
2
|
29
|
1,6587
|
0,488
|
35,0
|
Рисунок 1.3 - Динамика годовых технологических показателей разработки
месторождения Кокайты
Таблица 1.2 - Динамика основных технологических показателей разработки
месторождения Кокайты
|
№
|
Годы
|
Добыча нефти, т
|
Темп отбора
|
КИН, %
|
Добыча жидкости, т
|
Обводнен-ность, %
|
Закачка воды, 1•103 м3
|
Действующий фонд скважин
|
Среднесуточный дебит средней скважины, т/сут
|
Приемистость средней скважины, м3/сут
|
Пластовое давление, ат
|
|
|
годовая
|
накоп- ленная
|
от НИЗ,%
|
от НГЗ,%
|
|
годо- вая
|
накоп- ленная
|
|
годо- вая
|
накоп- ленная
|
нагне-татель-ные
|
добы-ваю-щие
|
|
|
|
|
1
|
2
|
3
|
4
|
5
|
6
|
7
|
8
|
9
|
10
|
11
|
12
|
13
|
14
|
15
|
16
|
17
|
|
1
|
1939
|
1096
|
1096
|
0,03
|
0,009
|
0,009
|
2887
|
2887
|
62
|
|
|
|
4
|
0,71
|
|
130
|
|
2
|
1940
|
13559
|
14655
|
0,365
|
0,109
|
0,118
|
19175
|
22062
|
29,3
|
|
|
|
8
|
4,41
|
|
129
|
|
3
|
1941
|
35151
|
49806
|
0,947
|
0,282
|
0,4
|
41915
|
63977
|
16,1
|
|
|
|
13
|
7,04
|
|
129,7
|
|
4
|
1942
|
51942
|
101748
|
1,399
|
0,417
|
0,817
|
66845
|
130822
|
22,3
|
|
|
|
11
|
12,29
|
|
129,4
|
|
5
|
1943
|
54912
|
156660
|
1,479
|
0,441
|
81446
|
212268
|
32,6
|
|
|
|
12
|
11,91
|
|
129,2
|
|
6
|
1944
|
51699
|
208359
|
1,393
|
0,415
|
1,673
|
71964
|
284232
|
28,2
|
|
|
|
12
|
11,21
|
|
128,7
|
|
7
|
1945
|
63763
|
272122
|
1,718
|
0,512
|
2,184
|
84028
|
368260
|
24,1
|
|
|
|
11
|
15,09
|
|
128,1
|
|
8
|
1946
|
91414
|
363536
|
2,462
|
0,734
|
2,918
|
117948
|
486208
|
22,5
|
|
|
|
17
|
14
|
|
127
|
|
9
|
1947
|
119063
|
482599
|
3,207
|
0,956
|
3,874
|
164431
|
650639
|
27,6
|
|
|
|
23
|
13,47
|
|
126,4
|
|
10
|
1948
|
134470
|
617069
|
3,622
|
1,079
|
4,953
|
224262
|
874901
|
40
|
|
|
|
26
|
13,46
|
|
125,4
|
|
11
|
1949
|
150959
|
768028
|
4,066
|
1,212
|
6,165
|
277869
|
1152770
|
45,7
|
|
|
|
18
|
21,83
|
|
123,9
|
|
12
|
1950
|
129470
|
897498
|
3,488
|
1,039
|
7,205
|
229705
|
1382475
|
43,6
|
|
|
|
7
|
48,14
|
|
122,7
|
|
13
|
1951
|
57351
|
954849
|
1,545
|
0,46
|
7,665
|
94670
|
1477145
|
39,4
|
|
|
|
9
|
16,59
|
|
122,2
|
|
14
|
1952
|
66582
|
1021431
|
1,794
|
0,534
|
8,199
|
124019
|
1601164
|
46,3
|
|
|
|
12
|
14,44
|
|
121,5
|
|
15
|
1953
|
67643
|
1089074
|
1,822
|
0,543
|
8,742
|
128647
|
1729811
|
47,4
|
|
|
|
23
|
7,65
|
|
120,8
|
|
16
|
1954
|
91116
|
1180190
|
2,454
|
0,731
|
9,474
|
210118
|
1939929
|
56,6
|
|
|
|
26
|
9,12
|
|
119,7
|
|
17
|
1955
|
115621
|
1295811
|
3,115
|
0,928
|
10,402
|
294025
|
2233954
|
60,7
|
|
|
|
27
|
11,15
|
|
116
|
|
18
|
1956
|
101413
|
1397224
|
2,732
|
0,814
|
11,216
|
389598
|
2623552
|
74
|
|
|
|
30
|
8,8
|
|
113,9
|
|
19
|
1957
|
103904
|
1501128
|
2,799
|
0,834
|
12,05
|
477237
|
3100789
|
78,2
|
|
|
|
31
|
8,72
|
|
111,6
|
|
20
|
1958
|
97615
|
1598743
|
2,63
|
0,784
|
12,834
|
514223
|
3615012
|
81
|
|
|
|
32
|
7,94
|
|
108
|
|
21
|
1959
|
97824
|
1696567
|
2,635
|
0,785
|
13,619
|
525665
|
4140677
|
81,4
|
|
|
|
36
|
7,07
|
|
105
|
|
22
|
1960
|
89560
|
1786127
|
2,413
|
0,719
|
14,338
|
562078
|
4702755
|
84,1
|
|
|
|
38
|
6,13
|
|
103,8
|
|
23
|
1961
|
81516
|
1867643
|
2,196
|
0,654
|
14,992
|
469382
|
5172137
|
82,6
|
|
|
|
38
|
5,58
|
|
100,2
|
|
24
|
1962
|
76975
|
1944618
|
2,074
|
0,618
|
15,61
|
491787
|
5663924
|
84,3
|
|
|
|
36
|
5,57
|
|
97,5
|
|
25
|
1963
|
72472
|
2017090
|
1,952
|
0,582
|
16,192
|
478815
|
6142739
|
84,9
|
|
|
|
36
|
5,24
|
|
94,9
|
1964
|
66213
|
2083303
|
1,784
|
0,532
|
16,724
|
469382
|
6612121
|
85,9
|
|
|
|
35
|
4,92
|
|
92,3
|
|
27
|
1965
|
62803
|
2146106
|
1,692
|
0,504
|
17,228
|
522330
|
7134451
|
88
|
|
|
|
38
|
4,3
|
|
89,4
|
|
28
|
1966
|
59534
|
2205640
|
1,604
|
0,478
|
17,706
|
513483
|
7647934
|
88,4
|
|
|
|
38
|
4,08
|
|
86,6
|
|
29
|
1967
|
56963
|
2262603
|
1,534
|
0,457
|
18,163
|
556063
|
8203997
|
89,8
|
|
|
|
38
|
3,9
|
|
83,5
|
|
30
|
1968
|
58383
|
2320986
|
1,573
|
0,469
|
18,632
|
568462
|
8772459
|
89,7
|
|
|
|
38
|
4
|
|
80,3
|
|
31
|
1969
|
53720
|
2374706
|
1,447
|
0,431
|
19,063
|
575549
|
9348008
|
90,7
|
|
|
|
38
|
3,68
|
|
77
|
|
32
|
1970
|
53688
|
2428394
|
1,446
|
0,431
|
19,494
|
568950
|
9916958
|
90,6
|
|
|
|
38
|
3,68
|
|
75,1
|
|
33
|
1971
|
52931
|
2481325
|
1,426
|
0,425
|
19,919
|
596926
|
10513884
|
91,1
|
|
|
|
37
|
3,72
|
|
72,1
|
|
34
|
1972
|
49307
|
2530632
|
1,328
|
0,396
|
20,314
|
621294
|
11135178
|
92,1
|
|
|
|
37
|
3,47
|
|
68,4
|
|
35
|
1973
|
50792
|
2581424
|
1,368
|
0,408
|
20,722
|
690782
|
11825960
|
92,6
|
|
|
|
37
|
3,57
|
|
66,5
|
|
36
|
1974
|
48279
|
2629703
|
1,301
|
0,388
|
21,11
|
723070
|
12549030
|
93,3
|
|
|
|
36
|
3,49
|
|
64,9
|
|
37
|
1975
|
47822
|
2677525
|
1,288
|
0,384
|
21,494
|
824437
|
13373467
|
94,2
|
|
|
|
36
|
3,46
|
|
63,9
|
|
38
|
1976
|
42750
|
2720275
|
1,152
|
0,343
|
21,837
|
821782
|
14195249
|
94,8
|
|
|
|
37
|
3,01
|
|
60,8
|
|
39
|
1977
|
42410
|
2762685
|
1,142
|
0,34
|
22,177
|
778268
|
14973517
|
94,6
|
|
|
|
36
|
3,07
|
|
59,2
|
|
40
|
1978
|
41030
|
2803715
|
1,105
|
0,329
|
22,507
|
777224
|
15750741
|
94,7
|
|
|
|
31
|
3,44
|
|
57,7
|
|
41
|
1979
|
39445
|
2843160
|
1,063
|
0,317
|
22,823
|
799773
|
16550514
|
95,1
|
|
|
|
33
|
3,11
|
|
56
|
|
42
|
1980
|
37929
|
2881089
|
1,022
|
0,304
|
23,128
|
808270
|
17358784
|
95,3
|
|
|
|
32
|
3,08
|
|
55
|
|
43
|
1981
|
36330
|
2917419
|
0,979
|
0,292
|
23,419
|
712877
|
18071661
|
94,9
|
|
|
|
32
|
2,95
|
|
54
|
|
44
|
1982
|
35300
|
2952719
|
0,951
|
0,283
|
23,703
|
733967
|
18805628
|
95,2
|
|
|
|
33
|
2,78
|
|
53
|
|
45
|
1983
|
34810
|
2987529
|
0,938
|
0,279
|
23,982
|
677540
|
19483168
|
94,9
|
|
|
|
30
|
3,02
|
|
52
|
|
46
|
1984
|
33635
|
3021164
|
0,906
|
0,27
|
24,252
|
704981
|
20188149
|
95,2
|
|
|
30
|
2,92
|
|
51
|
|
47
|
1985
|
31400
|
3052564
|
0,846
|
0,252
|
24,504
|
691000
|
20879149
|
95,5
|
|
|
|
31
|
2,64
|
|
50
|
|
48
|
1986
|
31300
|
3083864
|
0,843
|
0,251
|
24,755
|
663577
|
21542726
|
95,3
|
|
|
|
31
|
2,63
|
|
49
|
|
49
|
1987
|
30670
|
3114534
|
0,826
|
0,246
|
25,002
|
688717
|
22231443
|
95,5
|
|
|
|
31
|
2,58
|
|
48
|
|
50
|
1988
|
29740
|
3144274
|
0,801
|
0,239
|
25,24
|
703166
|
22934609
|
95,8
|
|
|
|
33
|
2,35
|
|
47
|
|
51
|
1989
|
27555
|
3171829
|
0,742
|
0,221
|
25,462
|
687441
|
23622050
|
96
|
|
|
|
33
|
2,17
|
|
46
|
|
52
|
1990
|
24420
|
3196249
|
0,658
|
0,196
|
25,658
|
663128
|
24285178
|
96,3
|
|
|
|
31
|
2,05
|
|
45
|
|
53
|
1991
|
23205
|
3219454
|
0,625
|
0,186
|
25,844
|
595936
|
24881114
|
96,1
|
|
|
|
31
|
1,95
|
|
44
|
|
54
|
1992
|
21055
|
3240509
|
0,567
|
0,169
|
26,013
|
510712
|
25391826
|
95,9
|
|
|
|
28
|
1,96
|
|
43
|
|
55
|
1993
|
18590
|
3259099
|
0,501
|
0,149
|
26,162
|
446971
|
25838797
|
95,8
|
|
|
|
28
|
1,73
|
|
42
|
|
56
|
1994
|
16635
|
3275734
|
0,448
|
0,134
|
26,296
|
494985
|
26333782
|
96,6
|
267,4
|
267,4
|
2
|
28
|
1,55
|
0,35
|
41
|
|
57
|
1995
|
16110
|
3291844
|
0,434
|
0,129
|
26,425
|
464051
|
26797833
|
96,5
|
268,3
|
535,7
|
2
|
27
|
1,55
|
0,35
|
40
|
|
58
|
1996
|
15500
|
3307344
|
0,418
|
0,124
|
26,549
|
408574
|
27206407
|
96,2
|
270,2
|
805,9
|
2
|
26
|
1,55
|
0,35
|
39
|
|
59
|
1997
|
15020
|
3322364
|
0,405
|
0,121
|
26,67
|
407776
|
27614183
|
96,3
|
271,4
|
1077,3
|
2
|
26
|
1,5
|
0,35
|
38
|
|
60
|
1998
|
14255
|
3336619
|
0,384
|
0,114
|
26,784
|
375856
|
27990039
|
96,2
|
272,1
|
1349,4
|
2
|
27
|
1,37
|
0,35
|
37
|
|
61
|
1999
|
14950
|
3351569
|
0,403
|
0,12
|
26,904
|
372465
|
28362504
|
96
|
273,8
|
1623,2
|
2
|
29
|
1,34
|
0,36
|
36
|
|
62
|
2000
|
15870
|
3367439
|
0,427
|
0,127
|
27,032
|
320709
|
28683213
|
95,1
|
275,4
|
1898,6
|
2
|
27
|
1,53
|
0,36
|
35
|
|
63
|
2001
|
15460
|
3382899
|
0,416
|
0,124
|
27,156
|
302776
|
28985989
|
94,9
|
276,6
|
2175,2
|
2
|
26
|
1,55
|
0,36
|
35
|
|
64
|
2002
|
15050
|
3397949
|
0,405
|
0,121
|
27,277
|
258735
|
29244724
|
94,2
|
277,3
|
2452,5
|
2
|
26
|
1,51
|
0,36
|
35
|
|
65
|
2003
|
14920
|
3412869
|
0,402
|
0,12
|
27,397
|
295435
|
29540159
|
94,9
|
278,6
|
2731,1
|
2
|
25
|
1,55
|
0,36
|
35
|
|
66
|
2004
|
15720
|
3428589
|
0,423
|
0,126
|
27,523
|
289467
|
29829626
|
94,6
|
271,3
|
3002,4
|
2
|
24
|
1,7
|
0,35
|
35
|
|
67
|
2005
|
15730
|
3444319
|
0,424
|
27,649
|
295538
|
30125164
|
94,7
|
278,4
|
3280,8
|
2
|
23
|
1,78
|
0,36
|
35
|
|
68
|
2006
|
17308
|
3461627
|
0,466
|
0,139
|
27,788
|
317436
|
30442600
|
94,5
|
240
|
3520,8
|
2
|
25
|
1,8
|
0,31
|
35
|
|
69
|
2007
|
15902
|
3477529
|
0,428
|
0,128
|
27,916
|
369378
|
30811978
|
95,7
|
283
|
3803,8
|
2
|
25
|
1,66
|
0,37
|
35
|
|
70
|
2008
|
19376
|
3496905
|
0,522
|
0,156
|
28,071
|
333540
|
31145518
|
94,2
|
254,7
|
4058,5
|
2
|
27
|
1,87
|
0,33
|
35
|
|
71
|
2009
|
21309
|
3518214
|
0,574
|
0,171
|
28,242
|
381401
|
31526919
|
94,4
|
360,1
|
4418,6
|
2
|
27
|
2,05
|
0,47
|
35
|
|
72
|
2010
|
19076
|
3537290
|
0,514
|
0,153
|
28,395
|
393415
|
31920334
|
95,2
|
374
|
4792,6
|
2
|
28
|
1,77
|
0,49
|
35
|
|
73
|
2011
|
18481
|
3555771
|
0,498
|
0,148
|
28,544
|
395427
|
32315761
|
95,3
|
375,2
|
5167,8
|
2
|
29
|
1,66
|
0,49
|
35
|
Глава 2.
Существующие методы характеристики вытеснения, выбор метода для прогнозирования
на месторождении Кокайты
2.1 Краткое
описание существующих групп характеристик вытеснения
-ая группа промыслово-статистических методов прогноза показателей
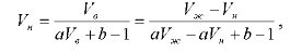
разработки (кривые вытеснения по типу метода Назарова С.Н, Сипачева Н.В.
(1972)).
Одна из существующих групп методов принадлежит к группе зависимостей
характеризующих связь водонефтяного фактора (ВНФ) с накопленными отборами
пластовых флюидов
.
Данные модели, относящиеся к рассматриваемой группе методов
(характеристик вытеснения) представлены в виде основных характеристик
вытеснения, заявленных авторами, и в виде характеристик несколько
преобразованных и заявленных другими авторами, которые считают, что в их
модификации данные характеристики более адекватны.
При помощи модифицированных характеристик вытеснения параметрические
коэффициенты а и b определяются в различных координатах и соответственно
результаты аппроксимации различны для одних и тех же данных, но все остальные
вычисления производятся одинаково.
Методы, данной группы основаны на наличии тесной связи между накопленными
отборами нефти, воды и жидкости, выявленной на основе анализа интегральных
кривых отборов по ряду залежей.
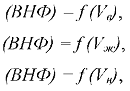
Методы Назарова С.Н., Сипачева Н.В. (1972) и Сипачева, Посевича (1980)
описывают прямую зависимость роста водонефтяного фактора (ВНФ) от роста добычи
воды с ростом обводненности добываемой продукции. Чем выше накопленный
водонефтяной фактор и стабильнее и равномернее ведется разработка изучаемого
объекта, тем актуальнее применение данных методов.
Метод Французского нефтяного института (1972) несколько выделяется из
данной группы, поскольку заложенная в него модель отличается по характеру
развития от двух рассмотренных методов. В данной модели предположена
зависимость водонефтяного фактора, линеаризирующегося на определенном этапе
развития фильтрационной динамики присущей исследуемому объекту и одновременно
стабилизации темпов снижения добычи нефти, что свойственно объектам с высокой
долей содержания воды в добываемой продукции на поздней стадии. Однако эти две
тенденции не родственны друг другу по развитию и, соответственно, этот метод
показывает результаты несколько другого характера, т.е. описывает другие связи
заданных величин.
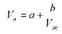
-ая группа промыслово-статистических методов прогноза показателей
разработки (кривые вытеснения по типу метода Максимова М.И. (1959)).
Данная группа методов хорошо описывает большинство исследуемых объектов.
Методы Максимова М.И. (1959) и Сазонова Б.Ф. (1972) очень слабо, по сравнению с
другими методами, особенно методами 1-ой группы, подвержены влиянию на
результаты прогноза различного рода коррекций и изменений в системе разработки.
Рассматриваемые в этом разделе методы, возможно применять на более ранних
стадиях разработки месторождений, при достижении значений отборов нефти от
извлекаемых запасов 0,4-0,5.
Однако существуют объекты, описание которых с помощью данных моделей не
вполне адекватно. Это относится к объектам находящимся на поздней стадии
разработки при активном проведении работ по коррекции работы месторождения,
например по изоляции водопритоков, бурении боковых стволов, внедрении методов
увеличения нефтеотдачи. Также это касается месторождений при характерном
изменении режима работы на поздних стадиях разработки месторождения.
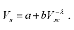
Метод Максимова М.И. (1959).
М.И. Максимовым, путем изучения процесса вытеснения нефти водой из модели
пласта, представляющего собой трубу, заполненную песком, была установлена
эмпирическая зависимость накопленной добычи воды от накопленной добычи нефти.
- эмпирические коэффициенты.
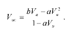
Метод Сазонова Б.Ф. (1973).
Метод, предложенный Б.Ф. Сазоновым, основан на предположении наличия
тесной связи между накопленной добычей нефти и жидкости особенно четко
проявляющейся в конечной стадии разработки нефтяных залежей.
,
где
- накопленная добыча жидкости в пластовых условиях;
- накопленная добыча нефти в
пластовых условиях;
- эмпирические коэффициенты.
Продукции скважин
, обычно принимаемых 0,02 - 0,05 (доли ед.)и 0,95-0,98 (доли
ед.) соответственно.
-я группа промыслово-статистических методов прогноза показателей
разработки (кривые вытеснения по типу метода Пирвердяна А.М. (1970)).
Ряд авторов показывает, что при определенной степени допущений, между
динамикой накопленных отборов нефти
и динамикой накопленных отборов
жидкости
имеет место степенная зависимость
вида
.
Такое предположение положено в основу целого ряда характеристик
вытеснения, основные из которых представлены в таблице 2.3.
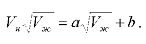
Метод Пирвердяна А.М. (1970).
В результате проведенных исследований автором была получена формула,
выявляющая связь накопленной добычи нефти VH и накопленной добычи жидкости
следующего вида
Уравнение зависимости
возможно использовать в двух модификациях, это основное
выражение, предложенной А.М. Пирвердяном, и выражение преобразованное к
линейному виду. При переходе к линейному виду может быть представлено
зависимостью
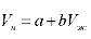
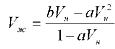
Метод Камбарова Г.С. (1974).
Данный метод, предложен Г.С. Камбаровым и является методом подобным
методу Пирвердяна А.М. (1970), однако для данного метода в основу положена не
обратно-квадратичная зависимость, а более упрощенная обратная зависимость,
между
. Проведенные Автором метода
исследования выявили наличие связи между накопленной добычей нефти и
накопленной добычей жидкости следующего вида
,
где
- накопленная добыча жидкости в пластовых условиях;
- накопленная добыча нефти в
пластовых условиях; a, b - эмпирические коэффициенты. Уравнение зависимости
также возможно использовать в двух
модификациях, это основное выражение, предложенное Г.С. Камбаровым (1974)
(4.72), и выражение, преобразованное к линейному виду. При переходе к линейному
виду может быть представлено зависимостью
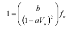
Метод постоянного нефтесодержания.
Метод постоянного нефтесодержания представляет собой зависимость вида
.
Такая тенденция свойственна объектам на заключительной стадии разработки,
когда обводненность продукции достигает 95 - 98%, дальнейший рост обводненности
связан с длительной эксплуатацией, резкому росту водонефтяного фактора и, как
правило, эксплуатация объекта экономически не оправданна. Данный метод
позволяет осуществлять прогноз добычи нефти исходя из заданных проектных
значений добычи жидкости на поздней стадии.
Метод Казакова А.А. (1976).
Группа методов на основе степенной модели типа зависимости Пирвердяна
А.М. (1970) была обобщена и усовершенствована А.А. Казаковым в 1976 году.
Казаков А.А. обобщил представленный тип моделей применительно к любым видам
кривых фазовых проницаемостей при условии выполняемости функциональной
зависимости Баклея - Леверетта, в отличии, например, от модели Пирвердяна А.М.,
которая применима лишь для кривых фазовых проницаемостей Д.А. Эфроса.
-ая группа промыслово-статистических методов прогноза показателей
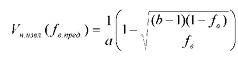
разработки (кривые вытеснения по типу метода Говоровой - Рябининой (1957)).
Метод Говоровой - Рябининой (1957) представляет собой определение
прогнозных показателей разработки при построении кривых вытеснения в
билогарифмических координатах
Предполагается, что данная зависимость, при построении в заданных
билогарифмических координатах приобретает линейный характер при достижении
определенной стадии разработки.
,
Метод Говоровой Г.Л. - Рябининой З.К. (1957).
Зависимость накопленной добычи воды от накопленной добычи нефти
-я группа промыслово-статистических методов прогноза показателей
разработки (кривые вытеснения по типу метода Абызбаева Н.И. (1981)).
Метод Абызбаева Н.И. (1981) представляет собой определение прогнозных
показателей разработки при построении кривых вытеснения в билогарифмических
координатах
т.е. метод представлен зависимостью вида
в основе данной группы методов лежит зависимость вида
,
Прогнозную накопленную добычу воды, которая соответствует значению
или
, можно определить как
2.2 Выбор
оптимального метода для расчета по характеристике вытеснения
Одна из существующих групп методов принадлежит к группе зависимостей
характеризующих связь водонефтяного фактора (ВНФ) с накопленными отборами пластовых
флюидов
.
Различные авторы показывают, что на определенных этапах развития
фильтрационного процесса вызываемого (индуцированного) на объектах разработки,
существует возможность описания и прогнозирования дальнейшего развития
фильтрационного процесса с помощью представленных моделей.
Данные модели, относящиеся к рассматриваемой группе методов
(характеристик вытеснения) представлены в виде основных характеристик
вытеснения, заявленных авторами, и в виде характеристик несколько
преобразованных и заявленных другими авторами, которые считают, что в их
модификации данные характеристики более адекватны (Таблицы 2.1, 2.2).
Представленные модификации можно разделить на два класса.
Во-первых, это эквивалентные характеристики, при определении с помощью
которых параметрических коэффициентов а и b, результаты полностью совпадают.
Во-вторых, характеристики, преобразованные из исходных, но в таком виде,
что в результате определения параметрических коэффициентов а и b при помощи
метода наименьших квадратов могут быть получены несколько различные значения.
Такие характеристики могут учитывать некоторые нюансы при описании связи
исходных параметров, которые выявляются в результате аппроксимации и могут
снижать ошибки определения прогнозных значений.
Таблица 2.1 - Основные характеристики вытеснения в 1-ой группе и их
аналогии
При помощи модифицированных характеристик вытеснения параметрические
коэффициенты а и b определяются в различных координатах и соответственно
результаты аппроксимации различны для одних и тех же данных, но все остальные
вычисления производятся одинаково.
Методы, данной группы основаны на наличии тесной связи между накопленными
отборами нефти, воды и жидкости, выявленной на основе анализа интегральных
кривых отборов по ряду залежей.
Методы Назарова С.Н., Сипачева Н.В. (1972) и Сипачева, Посевича (1980)
описывают прямую зависимость роста водонефтяного фактора (ВНФ) от роста добычи
воды с ростом обводненности добываемой продукции. Чем выше накопленный
водонефтяной фактор и стабильнее и равномернее ведется разработка изучаемого
объекта, тем актуальнее применение данных методов.
Методы представленные модификациями более раннего метода Сипачева -
Посевича (1980) возможно привести к виду основного метода простыми
алгебраическими преобразованиями коэффициентов a и b (таблица 2.2).
Таблица 2.2 - Связь основного метода Сипачева - Посевича и его
модификаций через коэффициенты a и b
Соответственно можно сделать выводы о применимости данных методов на
объектах с определенными режимами работы. Так при интенсивном заводнении или
активном притоке подошвенных вод, т.е. при активном водонапорном режиме работы
объекта, данные методы показывают хорошие результаты.
Однако на объектах с малоактивными водами, когда объект работает на
истощение пластовой энергии или при поддержании режима вытеснения близкого к
поршневому, когда уровень обводненности сдерживается на низких значениях,
например при активных краевых водах и малой толщине пласта данные методы
показывают неадекватные результаты.
То же относится и к объектам, на которых активно проводятся работы по
снижению обводненности продукции скважин, поскольку данные методы очень
чувствительны к всякого рода коррекциям режима работы объекта.
При определении параметров в условиях снижения водо-нефтяного фактора
результаты определения приводят к ошибочным результатам.
Метод Французского нефтяного института (1972) несколько выделяется из
данной группы, поскольку заложенная в него модель отличается по характеру
развития от двух рассмотренных методов. В данной модели предположена
зависимость водонефтяного фактора, линеаризирующегося на определенном этапе
развития фильтрационной динамики присущей исследуемому объекту и одновременно
стабилизации темпов снижения добычи нефти, что свойственно объектам с высокой
долей содержания воды в добываемой продукции на поздней стадии. Однако эти две
тенденции не родственны друг другу по развитию и, соответственно, этот метод
показывает результаты несколько другого характера, т.е. описывает другие связи
заданных величин, соответственно данный метод отличен по чувствительности к
изменениям в системе разработки от двух предыдущих (Рисунок 2.1).
Метод Французского нефтяного института (1972) не асимптотичен в силу
квадратичности характера извлечения нефти в данном методе, т.е. при помощи
данного метода нет возможности определить максимально извлекаемые запасы нефти
при бесконечной фильтрации, в отличие от двух других методов входящих в эту
группу, для которых данная операция легко осуществима (Таблица 2.3).
Рисунок 2.1 - Сравнение динамики развития вытеснения пластовых жидкостей.
1) метод Гайсина Д.К., Тимашева Э.М. (1985), 2) аналог метода Назарова С.Н.,
Сипачева Н.В. (1972), 3) метод Французского нефтяного института (1972).
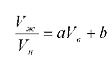
Авторами методов 1-ой группы предложены зависимости выявляющие связи
следующего вида
где
- накопленная добыча жидкости в пластовых условиях;
- накопленная добыча нефти в пластовых условиях;
- накопленная добыча воды в пластовых условиях.
В соответствии с линеаризацией функции зависимости строятся в координатах:
- метод Назарова С.Н., Сипачева Н.В. (1972),
- метод Сипачева Н.В., Посевича (1980),
- метод Французского нефтяного института (1972) (аналог).
По построенным зависимостям определяются интервалы, по которым необходимо
определить эмпирические коэффициенты:- угловой коэффициент аппроксимирующей
прямой,- коэффициент определяющий пересечение аппроксимирующей прямой с осью Y.
Необходимо учесть, что полученные зависимости стремятся к линейному виду
на конечном участке, следовательно, для определения коэффициентов, которые бы
наиболее полно отражали представленные зависимости, выбираются значения лежащие
именно на конечном участке.
Для выбранных значений при помощи метода наименьших квадратов
определяются коэффициенты линейной аппроксимации a, b.
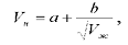
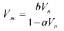
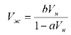
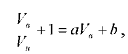
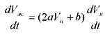
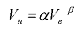
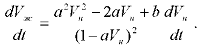
Рассмотрим метод Назарова С.Н., Сипачева Н.В. (1972)
(2.1)
Из уравнения (4.1) определим зависимость накопленной добычи жидкости от
накопленной добычи нефти
(2.2)
(2.3)
(2.4)
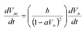
(2.34)
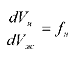
Дифференцируя уравнение (4.5) по времени получим
(2.6)
(2.7)
Так как
то возможно определить активные запасы нефти в пластовых
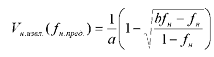
условиях задавшись предельным значением нефтесодержания fH
(2.8)
(2.9)
(2.10)
тогда, преобразовав, активные извлекаемые запасы нефти для заданного
значения нефтенасыщенности ʄн будут
определяться из выражения
(2.11)
Активные извлекаемые запасы нефти для заданного предельного значения
обводненности
будут определяться из выражения
(2.35)
где a, b - коэффициенты линейной аппроксимации, определяемые методом
наименьших квадратов коэффициентов.
Прогнозную накопленную добычу жидкости, которая соответствует значению
или
, можно определить как
(2.13)
Прогнозную накопленную добычу воды, которая соответствует значению
или
, можно определить как (2.14)
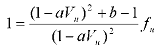
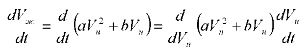
Рассмотрим метод Французского нефтяного института (1972)
(2.15)
Преобразуем в эквивалентную форму при
(2.16)
Из уравнения (2.16) определим зависимость накопленной добычи жидкости от
накопленной добычи нефти
(2.36)
Дифференцируя уравнение (2.17) по времени получим
(2.18)
.(2.19)
Так как
, то возможно определить активные запасы нефти в пластовых
условиях задавшись предельным значением нефтесодержания /н
(2.20)
Активные извлекаемые запасы нефти для заданного предельного значения
нефтенасыщенности
будут определяться из выражения
(2.21)
Активные извлекаемые запасы нефти для заданного предельного значения
обводненности
будут определяться из выражения
.(2.22)
где a, b - коэффициенты линейной аппроксимации, определяемые методом
наименьших квадратов коэффициентов.
Прогнозную накопленную добычу жидкости, которая соответствует значению
или
, можно определить как
(2.37)
Прогнозную накопленную добычу воды, которая соответствует значению
или
, можно определить как
(2.24)
Рассмотрим метод Сипачева Н.В., Посевича (1980)
(2.25)
Из уравнения (2.25) определим зависимость накопленной добычи жидкости от
накопленной добычи нефти
(2.26)
Дифференцируя уравнение (2.26) по времени получим
(2.27)
(2.28)
Так как
то возможно определить активные запасы нефти в пластовых
условиях задавшись предельным значением нефтесодержания
(2.38)
Активные извлекаемые запасы нефти для заданного предельного значения
нефтенасыщенности
будут определяться из выражения
(2.30)
Активные извлекаемые запасы нефти для заданного предельного значения
обводненности
будут определяться из выражения
(2.31)
где a, b - коэффициенты линейной аппроксимации, определяемые методом
наименьших квадратов коэффициентов.
Прогнозную накопленную добычу жидкости, которая соответствует значению
или
, можно определить как
(2.32)
Прогнозную накопленную добычу воды, которая соответствует значению
или
, можно определить как
(2.33)
При помощи данных методов существует возможность определить максимально
извлекаемые запасы нефти при бесконечной фильтрации
(Таблица 2.3), также существует
возможность нахождения извлекаемых запасов нефти на заданное нефтесодержание
или обводненность продукции скважин
, обычно принимаемых 0,02-0,05 (доли
ед.) и 0,95-0,98 (доли ед.) соответственно (Таблица 2.3). При помощи данных
моделей существует возможность определения извлекаемых запасов нефти, задаваясь
значением водонефтяного фактора ВНФ. При определении значений извлекаемых
запасов нефти на заданную обводненность продукции или значение водонефтяного
фактора возможно определение прогнозных отборов воды и жидкости (Таблица 2.3).
Таблица 2.3. - Выражения, позволяющие получить основные характеристики
при помощи промыслово-статистических методов 1-ой группы
При применении данного метода возможно определить также добычу нефти,
воды и жидкости задаваясь другим критерием ограничения срока разработки -
значением водонефтяного фактора.
Глава 3.
Прогноз разработки месторождения Кокайты на основе метода характеристики
вытеснения 1 группы
3.1
Определение остаточных извлекаемых запасов нефти
Определение основных показателей разработки с использованием методов 1-й
группы. За используемый метод возьмем метод Назарова - Сипачева (1972)
.
Исходные данные для расчета представлены в таблице 3.1.
. Вычисляются значения координат метода, в нашем случае координата
"х" точки будет определяется как значение "
", Координата "у"
точки будет определятся как отношение "
". Результат расчета приведено в
таблице 3.1.
. По вычисленным координатам строится зависимость, для нашего
случая представлена на рисунке 3.1.
Рисунок 3.1 - Зависимость для определения коэффициентов по методу
Назарова - Сипачева.
Таблица 3.1 - Исходные и расчетные данные. Динамика добычи с начала
разработки.
|
№
|
|
Годовая добыча.т
|
Накопленная добыча.т
|
x=Vв
|
y=Vж/Vн
|
|
Годы
|
Нефть
|
Вода
|
Жидкость
|
Нефть
|
Вода
|
Жидкость
|
|
|
|
|
|
|
|
|
|
|
|
|
|
1
|
2
|
4
|
5
|
6
|
9
|
10
|
11
|
12
|
13
|
|
1
|
1939
|
1096
|
0
|
1096
|
1096
|
0
|
1096
|
0
|
1,00000
|
|
2
|
1940
|
13559
|
1791
|
15350
|
14655
|
1791
|
16446
|
1791
|
1,12221
|
|
3
|
1941
|
35151
|
5616
|
40767
|
49806
|
7407
|
57213
|
7407
|
1,14872
|
|
4
|
1942
|
51942
|
6764
|
58706
|
101748
|
14171
|
115919
|
14171
|
1,13928
|
|
5
|
1943
|
54912
|
14903
|
69815
|
156660
|
29074
|
185734
|
29074
|
1,18559
|
|
6
|
1944
|
51699
|
78233
|
208359
|
55608
|
263967
|
55608
|
1,26689
|
|
7
|
1945
|
63763
|
20265
|
84028
|
272122
|
75873
|
347995
|
75873
|
1,27882
|
|
8
|
1946
|
91414
|
26534
|
117948
|
363536
|
102407
|
465943
|
102407
|
1,28170
|
|
9
|
1947
|
119063
|
45368
|
164431
|
482599
|
147775
|
630374
|
147775
|
1,30621
|
|
10
|
1948
|
134470
|
89792
|
224262
|
617069
|
237567
|
854636
|
237567
|
1,38499
|
|
11
|
1949
|
150959
|
126910
|
277869
|
768028
|
364477
|
1132505
|
364477
|
1,47456
|
|
12
|
1950
|
129470
|
100235
|
229705
|
897498
|
464712
|
1362210
|
464712
|
1,51779
|
|
13
|
1951
|
57351
|
37319
|
94670
|
954849
|
502031
|
1456880
|
502031
|
1,52577
|
|
14
|
1952
|
66582
|
57437
|
124019
|
1021431
|
559468
|
1580899
|
559468
|
1,54773
|
|
15
|
1953
|
67643
|
61004
|
128647
|
1089074
|
620472
|
1709546
|
620472
|
1,56972
|
|
16
|
1954
|
91116
|
119002
|
210118
|
1180190
|
739474
|
1919664
|
739474
|
1,62657
|
|
17
|
1955
|
115621
|
178404
|
294025
|
1295811
|
917878
|
2213689
|
917878
|
1,70834
|
|
18
|
1956
|
101413
|
288185
|
389598
|
1397224
|
1206063
|
2603287
|
1206063
|
1,86319
|
|
19
|
1957
|
103904
|
373333
|
477237
|
1501128
|
1579396
|
3080524
|
1579396
|
2,05214
|
|
20
|
1958
|
97615
|
416608
|
514223
|
1598743
|
1996004
|
3594747
|
1996004
|
2,24848
|
|
21
|
1959
|
97824
|
427841
|
525665
|
1696567
|
2423845
|
4120412
|
2423845
|
2,42868
|
|
22
|
1960
|
89560
|
472518
|
562078
|
1786127
|
2896363
|
4682490
|
2896363
|
2,62159
|
|
23
|
1961
|
81516
|
387866
|
469382
|
1867643
|
3284229
|
5151872
|
3284229
|
2,75849
|
|
24
|
1962
|
76975
|
414812
|
491787
|
1944618
|
3699041
|
5643659
|
3699041
|
2,90219
|
|
25
|
1963
|
72472
|
406343
|
478815
|
2017090
|
4105384
|
6122474
|
4105384
|
3,03530
|
|
26
|
1964
|
66213
|
403169
|
469382
|
2083303
|
4508553
|
6591856
|
4508553
|
3,16414
|
|
27
|
1965
|
62803
|
459527
|
522330
|
2146106
|
4968080
|
7114186
|
4968080
|
3,31493
|
|
28
|
1966
|
59534
|
453949
|
513483
|
2205640
|
5422029
|
7627669
|
5422029
|
3,45826
|
|
29
|
1967
|
56963
|
499100
|
556063
|
2262603
|
5921129
|
8183732
|
5921129
|
3,61695
|
|
30
|
1968
|
58383
|
510079
|
568462
|
2320986
|
6431208
|
8752194
|
6431208
|
3,77089
|
|
31
|
1969
|
53720
|
521829
|
575549
|
2374706
|
6953037
|
9327743
|
6953037
|
3,92796
|
|
32
|
1970
|
53688
|
515262
|
568950
|
2428394
|
7468299
|
9896693
|
7468299
|
4,07541
|
|
33
|
1971
|
52931
|
543995
|
596926
|
2481325
|
8012294
|
10493619
|
8012294
|
4,22904
|
|
34
|
1972
|
49307
|
571987
|
621294
|
2530632
|
8584281
|
11114913
|
8584281
|
4,39215
|
|
35
|
1973
|
50792
|
639990
|
690782
|
2581424
|
9224271
|
11805695
|
9224271
|
4,57333
|
|
36
|
1974
|
48279
|
674791
|
723070
|
2629703
|
9899062
|
12528765
|
9899062
|
4,76433
|
|
37
|
1975
|
47822
|
776615
|
824437
|
2677525
|
10675677
|
13353202
|
10675677
|
4,98714
|
|
38
|
1976
|
42750
|
779032
|
821782
|
2720275
|
11454709
|
14174984
|
11454709
|
5,21086
|
|
39
|
1977
|
42410
|
735858
|
778268
|
2762685
|
12190567
|
14953252
|
12190567
|
5,41258
|
|
40
|
1978
|
41030
|
736194
|
777224
|
2803715
|
12926761
|
15730476
|
12926761
|
5,61058
|
|
41
|
1979
|
39445
|
760328
|
2843160
|
13687089
|
16530249
|
13687089
|
5,81404
|
|
42
|
1980
|
37929
|
770341
|
808270
|
2881089
|
14457430
|
17338519
|
14457430
|
6,01804
|
|
43
|
1981
|
36330
|
676547
|
712877
|
2917419
|
15133977
|
18051396
|
15133977
|
6,18745
|
|
44
|
1982
|
35300
|
698667
|
733967
|
2952719
|
15832644
|
18785363
|
15832644
|
6,36206
|
|
45
|
1983
|
34810
|
642730
|
677540
|
2987529
|
16475374
|
19462903
|
16475374
|
6,51472
|
|
46
|
1984
|
33635
|
671346
|
704981
|
3021164
|
17146720
|
20167884
|
17146720
|
6,67553
|
|
47
|
1985
|
31400
|
659600
|
691000
|
3052564
|
17806320
|
20858884
|
17806320
|
6,83323
|
|
48
|
1986
|
31300
|
632277
|
663577
|
3083864
|
18438597
|
21522461
|
18438597
|
6,97906
|
|
49
|
1987
|
30670
|
658047
|
688717
|
3114534
|
19096644
|
22211178
|
19096644
|
7,13146
|
|
50
|
1988
|
29740
|
673426
|
703166
|
3144274
|
19770070
|
22914344
|
19770070
|
7,28764
|
|
51
|
1989
|
27555
|
659886
|
687441
|
3171829
|
20429956
|
23601785
|
20429956
|
7,44106
|
|
52
|
1990
|
24420
|
638708
|
663128
|
3196249
|
21068664
|
24264913
|
21068664
|
7,59168
|
|
53
|
1991
|
23205
|
572731
|
595936
|
3219454
|
21641395
|
24860849
|
21641395
|
7,72207
|
|
54
|
1992
|
21055
|
489657
|
510712
|
3240509
|
22131052
|
25371561
|
22131052
|
7,82950
|
|
55
|
1993
|
18590
|
428381
|
446971
|
3259099
|
22559433
|
25818532
|
22559433
|
7,92198
|
|
56
|
1994
|
16635
|
478350
|
494985
|
3275734
|
23037783
|
26313517
|
23037783
|
8,03286
|
|
57
|
1995
|
16110
|
447941
|
464051
|
3291844
|
23485724
|
26777568
|
23485724
|
8,13452
|
|
58
|
1996
|
15500
|
393074
|
408574
|
3307344
|
23878798
|
27186142
|
23878798
|
8,21993
|
|
59
|
1997
|
15020
|
392756
|
407776
|
3322364
|
24271554
|
27593918
|
24271554
|
8,30551
|
|
60
|
1998
|
14255
|
361601
|
375856
|
3336619
|
24633155
|
27969774
|
24633155
|
8,38267
|
|
61
|
1999
|
14950
|
357515
|
372465
|
3351569
|
24990670
|
28342239
|
24990670
|
8,45641
|
|
62
|
2000
|
15870
|
304839
|
320709
|
3367439
|
25295509
|
28662948
|
25295509
|
8,51179
|
|
63
|
2001
|
15460
|
287316
|
302776
|
3382899
|
25582825
|
28965724
|
25582825
|
8,56240
|
|
64
|
2002
|
15050
|
243685
|
258735
|
3397949
|
25826510
|
29224459
|
25826510
|
8,60062
|
|
65
|
2003
|
14920
|
280515
|
295435
|
3412869
|
26107025
|
29519894
|
26107025
|
8,64958
|
|
66
|
2004
|
15720
|
273747
|
289467
|
3428589
|
26380772
|
29809361
|
26380772
|
8,69435
|
|
67
|
2005
|
15730
|
279808
|
295538
|
3444319
|
26660580
|
30104899
|
26660580
|
8,74045
|
|
68
|
2006
|
17308
|
300128
|
317436
|
3461627
|
26960708
|
30422335
|
26960708
|
8,78845
|
|
69
|
2007
|
15902
|
353476
|
369378
|
3477529
|
27314184
|
30791713
|
27314184
|
8,85448
|
|
70
|
2008
|
19376
|
314164
|
333540
|
3496905
|
27628348
|
31125253
|
27628348
|
8,90080
|
|
71
|
2009
|
21309
|
360092
|
381401
|
3518214
|
27988440
|
31506654
|
27988440
|
8,95530
|
|
72
|
2010
|
19076
|
374339
|
393415
|
3537290
|
28362779
|
31900069
|
28362779
|
9,01822
|
|
73
|
2011
|
18481
|
376946
|
395427
|
3555771
|
28739725
|
32295496
|
28739725
|
9,08256
|
. На построенной зависимости конечной участок кривой
характеризуется стремлением к линейному виду. Поэтому конечный участок
зависимости возможно линейно аппроксимировать, т.е. определить уравнение
линейной зависимости между "х" и "у", а именно определить
коэффициенты "а" и "b" зависимости y=ax+b. Аппроксимацию
необходимо выполнять методом наименьших квадратов. Для этого задаем
определенное количество точек "N", лежащее на одной прямой. Затем
находим "∑x", "∑y", "∑(xy)",
"∑(xІ)" и "(∑x)І". Найденные параметры
подставляем в формулы
А и В - угловые коэффициенты.
Другая возможность определения заключается в применении встроенной
функции программы "Excel" из пакета "Microsoft office".
Для этого необходимо построить в программе график зависимости (рисунок
3.1.), для интервала точек конечного участка (выделены на рисунке) (рисунок
3.2). Для выделенного интервала необходимо построить линию линейного тренда и
задать определение в качестве параметров для нее уравнения и значения
достоверности аппроксимации (корреляции).
В данном примере значение коэффициентов будут следующими:=0,00000016447;
B=4,3554680398, при достоверности аппроксимации
=0,9997.
Найденные коэффициенты ("А" и "В") расчётным и
графическим путем должны быть равны, тогда можно сказать, что решение были
произведено верно.
Рисунок 3.2 - Определение коэффициентов "А" и "В" по
методу Назарова - Сипачева.
. С применением выражений из таблицы 3.1. для метода Назарова -
Сипачева необходимо рассчитать значения искомых параметров (таблица 3.2).
В данном случае при бесконечной промывке пласта значения максимально
возможных извлекаемых запасов будут равны 6080220,66 м3.
При условии ограничения добычи до обводненности
, извлекаемые запасы сократятся на
величину
,66-4960838,72=1119381,94 м3
и составят 4960838,72 м3.
Значение предельной обводненности продукции можно принять и другое
например 95%; 98%.
Остаточные запасы на 2012 год составит разность между извлекаемыми
запасами на заданную предельную обводненность и отобранным объемом нефти (из
таблиц 3.1 и 3.2).
960 838,72-3555771=1405067,72 м3
При применении данного метода возможно определить также добычу нефти,
воды и жидкости задаваясь другим критериям ограничения срока разработки -
значением водонефтяного фактора.
Таблица 3.2. - Определение параметров для текущего примера по методу
Назарова - Сипачева
|
Извлекаемые запасы
|
Примечание
|
|
Vн.извл.max
|
6 080 220,66
|
ВНФ-
|
|
Vн.извл.(fн)
|
18,23
|
|
Vн.извл.(fв)
|
4 960 838,719
|
Добыча Н-
|
|
Vж.пред.
|
95 377 664,95
|
4 960 838,72
|
|
Vв.пред.
|
90 416 826,23
|
|
|
Vн.извл.(ВНФ)
|
4 960 838,719
|
|
|
Остаточные запасы
|
|
|
Vн.ост.max
|
2 542 930,66
|
|
|
Vн.ост.(fн)
|
1423549
|
|
|
Vн.ост.(fв)
|
1423549
|
|
|
Vн.извл.(ВНФ)
|
1 423 548,72
|
|
Для остальных методов (м/д Сипачева - Посевича и м/д Французского
института) определение извлекаемых запасов определяется аналогичным путем.
. Исходные данные приведены в таблице 3.3 и 3.5, соответственно.
. Определяемые параметры приведены в таблице 3.4 и 3.6
соответственно.
. Определение коэффициентов "А" и "В" для
методов Сипачев-Посевич и Французского института приведена на рисунках 3.3 и
3.4.
. Сравнение динамики развития вытеснения пластовых жидкостей
показано на рисунке 3.5.
Таблица 3.3 - Исходные и расчетные данные. Динамика добычи с начала
разработки (Сипачев-Посевич)
|
№
|
|
Годовая добыча.т
|
Накопленная добыча.т
|
x=Vж
|
y=Vж/Vн
|
|
Годы
|
Нефть
|
Вода
|
Жидкость
|
Нефть
|
Вода
|
Жидкость
|
|
|
|
|
|
|
|
|
|
|
|
|
|
1
|
2
|
4
|
5
|
6
|
9
|
10
|
11
|
12
|
13
|
|
1
|
1939
|
1096
|
0
|
1096
|
1096
|
0
|
1096
|
1096
|
1,00000
|
|
2
|
1940
|
13559
|
1791
|
15350
|
14655
|
1791
|
16446
|
16446
|
1,12221
|
|
3
|
1941
|
35151
|
5616
|
40767
|
49806
|
7407
|
57213
|
57213
|
1,14872
|
|
4
|
1942
|
51942
|
6764
|
58706
|
101748
|
14171
|
115919
|
115919
|
1,13928
|
|
5
|
1943
|
54912
|
14903
|
69815
|
156660
|
29074
|
185734
|
185734
|
1,18559
|
|
6
|
1944
|
51699
|
26534
|
78233
|
208359
|
55608
|
263967
|
263967
|
1,26689
|
|
7
|
1945
|
63763
|
20265
|
84028
|
272122
|
75873
|
347995
|
347995
|
1,27882
|
|
8
|
1946
|
91414
|
26534
|
117948
|
363536
|
102407
|
465943
|
465943
|
1,28170
|
|
9
|
1947
|
119063
|
45368
|
164431
|
482599
|
147775
|
630374
|
630374
|
1,30621
|
|
10
|
1948
|
134470
|
89792
|
224262
|
617069
|
237567
|
854636
|
854636
|
1,38499
|
|
11
|
1949
|
150959
|
126910
|
277869
|
768028
|
364477
|
1132505
|
1132505
|
1,47456
|
|
12
|
1950
|
129470
|
100235
|
229705
|
897498
|
464712
|
1362210
|
1362210
|
1,51779
|
|
13
|
1951
|
57351
|
37319
|
94670
|
954849
|
502031
|
1456880
|
1456880
|
1,52577
|
|
14
|
1952
|
66582
|
57437
|
124019
|
1021431
|
559468
|
1580899
|
1580899
|
1,54773
|
|
15
|
1953
|
67643
|
61004
|
128647
|
1089074
|
620472
|
1709546
|
1709546
|
1,56972
|
|
16
|
1954
|
91116
|
119002
|
210118
|
1180190
|
739474
|
1919664
|
1919664
|
1,62657
|
|
17
|
1955
|
115621
|
178404
|
294025
|
1295811
|
917878
|
2213689
|
2213689
|
1,70834
|
|
18
|
1956
|
101413
|
288185
|
389598
|
1397224
|
1206063
|
2603287
|
2603287
|
1,86319
|
|
19
|
1957
|
103904
|
373333
|
477237
|
1501128
|
1579396
|
3080524
|
3080524
|
2,05214
|
|
20
|
1958
|
97615
|
416608
|
514223
|
1598743
|
1996004
|
3594747
|
3594747
|
2,24848
|
|
21
|
1959
|
97824
|
427841
|
525665
|
1696567
|
2423845
|
4120412
|
4120412
|
2,42868
|
|
22
|
1960
|
89560
|
472518
|
562078
|
1786127
|
2896363
|
4682490
|
4682490
|
2,62159
|
|
23
|
1961
|
81516
|
387866
|
469382
|
1867643
|
3284229
|
5151872
|
5151872
|
2,75849
|
|
24
|
1962
|
76975
|
414812
|
491787
|
1944618
|
3699041
|
5643659
|
5643659
|
2,90219
|
|
25
|
1963
|
72472
|
406343
|
478815
|
2017090
|
4105384
|
6122474
|
6122474
|
3,03530
|
|
26
|
1964
|
66213
|
403169
|
469382
|
2083303
|
4508553
|
6591856
|
6591856
|
3,16414
|
|
27
|
1965
|
62803
|
459527
|
522330
|
2146106
|
4968080
|
7114186
|
7114186
|
3,31493
|
|
28
|
1966
|
59534
|
453949
|
513483
|
2205640
|
5422029
|
7627669
|
7627669
|
3,45826
|
|
29
|
1967
|
56963
|
499100
|
556063
|
2262603
|
5921129
|
8183732
|
8183732
|
3,61695
|
|
30
|
1968
|
510079
|
568462
|
2320986
|
6431208
|
8752194
|
8752194
|
3,77089
|
|
31
|
1969
|
53720
|
521829
|
575549
|
2374706
|
6953037
|
9327743
|
9327743
|
3,92796
|
|
32
|
1970
|
53688
|
515262
|
568950
|
2428394
|
7468299
|
9896693
|
9896693
|
4,07541
|
|
33
|
1971
|
52931
|
543995
|
596926
|
2481325
|
8012294
|
10493619
|
10493619
|
4,22904
|
|
34
|
1972
|
49307
|
571987
|
621294
|
2530632
|
8584281
|
11114913
|
11114913
|
4,39215
|
|
35
|
1973
|
50792
|
639990
|
690782
|
2581424
|
9224271
|
11805695
|
11805695
|
4,57333
|
|
36
|
1974
|
48279
|
674791
|
723070
|
2629703
|
9899062
|
12528765
|
12528765
|
4,76433
|
|
37
|
1975
|
47822
|
776615
|
824437
|
2677525
|
10675677
|
13353202
|
13353202
|
4,98714
|
|
38
|
1976
|
42750
|
779032
|
821782
|
2720275
|
11454709
|
14174984
|
14174984
|
5,21086
|
|
39
|
1977
|
42410
|
735858
|
778268
|
2762685
|
12190567
|
14953252
|
14953252
|
5,41258
|
|
40
|
1978
|
41030
|
736194
|
777224
|
2803715
|
12926761
|
15730476
|
15730476
|
5,61058
|
|
41
|
1979
|
39445
|
760328
|
799773
|
2843160
|
13687089
|
16530249
|
16530249
|
5,81404
|
|
42
|
1980
|
37929
|
770341
|
808270
|
2881089
|
14457430
|
17338519
|
17338519
|
6,01804
|
|
43
|
1981
|
36330
|
676547
|
712877
|
2917419
|
15133977
|
18051396
|
18051396
|
6,18745
|
|
44
|
1982
|
35300
|
698667
|
733967
|
2952719
|
15832644
|
18785363
|
18785363
|
6,36206
|
|
45
|
1983
|
34810
|
642730
|
677540
|
2987529
|
16475374
|
19462903
|
19462903
|
6,51472
|
|
46
|
1984
|
33635
|
671346
|
704981
|
3021164
|
17146720
|
20167884
|
20167884
|
6,67553
|
|
47
|
1985
|
31400
|
659600
|
691000
|
3052564
|
17806320
|
20858884
|
20858884
|
6,83323
|
|
48
|
1986
|
31300
|
632277
|
663577
|
3083864
|
18438597
|
21522461
|
21522461
|
6,97906
|
|
49
|
1987
|
30670
|
658047
|
688717
|
3114534
|
19096644
|
22211178
|
22211178
|
7,13146
|
|
50
|
1988
|
29740
|
673426
|
703166
|
3144274
|
19770070
|
22914344
|
22914344
|
7,28764
|
|
51
|
1989
|
27555
|
659886
|
687441
|
3171829
|
20429956
|
23601785
|
23601785
|
7,44106
|
|
52
|
1990
|
24420
|
638708
|
663128
|
3196249
|
21068664
|
24264913
|
24264913
|
7,59168
|
|
53
|
1991
|
23205
|
572731
|
595936
|
3219454
|
21641395
|
24860849
|
24860849
|
7,72207
|
|
54
|
1992
|
21055
|
489657
|
510712
|
3240509
|
22131052
|
25371561
|
25371561
|
7,82950
|
|
55
|
1993
|
18590
|
428381
|
446971
|
3259099
|
22559433
|
25818532
|
25818532
|
7,92198
|
|
56
|
1994
|
16635
|
478350
|
494985
|
3275734
|
23037783
|
26313517
|
26313517
|
8,03286
|
|
57
|
1995
|
16110
|
447941
|
464051
|
3291844
|
23485724
|
26777568
|
26777568
|
8,13452
|
|
58
|
1996
|
15500
|
393074
|
408574
|
3307344
|
23878798
|
27186142
|
27186142
|
8,21993
|
|
59
|
1997
|
15020
|
392756
|
407776
|
3322364
|
24271554
|
27593918
|
27593918
|
8,30551
|
|
60
|
1998
|
14255
|
361601
|
375856
|
3336619
|
24633155
|
27969774
|
27969774
|
8,38267
|
|
61
|
1999
|
14950
|
357515
|
372465
|
3351569
|
24990670
|
28342239
|
28342239
|
8,45641
|
|
62
|
2000
|
15870
|
304839
|
320709
|
3367439
|
25295509
|
28662948
|
28662948
|
8,51179
|
|
63
|
2001
|
15460
|
287316
|
302776
|
3382899
|
25582825
|
28965724
|
28965724
|
8,56240
|
|
64
|
2002
|
15050
|
243685
|
258735
|
3397949
|
25826510
|
29224459
|
29224459
|
8,60062
|
|
65
|
2003
|
14920
|
295435
|
3412869
|
26107025
|
29519894
|
29519894
|
8,64958
|
|
66
|
2004
|
15720
|
273747
|
289467
|
3428589
|
26380772
|
29809361
|
29809361
|
8,69435
|
|
67
|
2005
|
15730
|
279808
|
295538
|
3444319
|
26660580
|
30104899
|
30104899
|
8,74045
|
|
68
|
2006
|
17308
|
300128
|
317436
|
3461627
|
26960708
|
30422335
|
30422335
|
8,78845
|
|
69
|
2007
|
15902
|
353476
|
369378
|
3477529
|
27314184
|
30791713
|
30791713
|
8,85448
|
|
70
|
2008
|
19376
|
314164
|
333540
|
3496905
|
27628348
|
31125253
|
31125253
|
8,90080
|
|
71
|
2009
|
21309
|
360092
|
381401
|
3518214
|
27988440
|
31506654
|
31506654
|
8,95530
|
|
72
|
2010
|
19076
|
374339
|
393415
|
3537290
|
28362779
|
31900069
|
31900069
|
9,01822
|
|
73
|
2011
|
18481
|
376946
|
395427
|
3555771
|
28739725
|
32295496
|
32295496
|
9,08256
|
Таблица 3.4. - Определение параметров для текущего примера по методу
Сипачев-Посевич
|
Извлекаемые запасы
|
Примечание
|
|
Vн.извл.max
|
6 412 424,04
|
ВНФ-
|
|
Vн.извл.(fн)
|
5122653,537
|
19,11
|
|
Vн.извл.(fв)
|
5122653,537
|
Добыча Н-
|
|
Vж.пред.
|
103 035 098,78
|
5 122 653,54
|
|
Vв.пред.
|
97 912 445,24
|
|
|
Vн.извл.(ВНФ)
|
4 467 342,158
|
|
|
Остаточные запасы
|
|
|
Vн.ост.max
|
2 875 134,04
|
|
|
Vн.ост.(fн)
|
1585364
|
|
|
Vн.ост.(fв)
|
1585364
|
|
|
Vн.извл.(ВНФ)
|
930 052,16
|
|
Таблица 3.5 - Исходные и расчетные данные. Динамика добычи с начала
разработки (Французский институт)
|
№
|
|
Годовая добыча.т
|
Накопленная добыча.т
|
x=Vн
|
y=Vж/Vн
|
|
Годы
|
Нефть
|
Вода
|
Жидкость
|
Нефть
|
Вода
|
Жидкость
|
|
|
|
|
|
|
|
|
|
|
|
|
|
1
|
2
|
4
|
5
|
6
|
9
|
10
|
11
|
12
|
13
|
|
1
|
1939
|
1096
|
0
|
1096
|
1096
|
0
|
1096
|
1096
|
1,00000
|
|
2
|
1940
|
13559
|
1791
|
15350
|
14655
|
1791
|
16446
|
14655
|
1,12221
|
|
3
|
1941
|
35151
|
5616
|
40767
|
49806
|
7407
|
57213
|
49806
|
1,14872
|
|
4
|
1942
|
51942
|
6764
|
58706
|
101748
|
14171
|
115919
|
101748
|
1,13928
|
|
5
|
1943
|
54912
|
14903
|
69815
|
156660
|
29074
|
185734
|
156660
|
1,18559
|
|
6
|
1944
|
51699
|
26534
|
78233
|
208359
|
55608
|
263967
|
208359
|
1,26689
|
|
7
|
1945
|
63763
|
20265
|
84028
|
272122
|
75873
|
347995
|
272122
|
1,27882
|
|
8
|
1946
|
91414
|
26534
|
117948
|
363536
|
102407
|
465943
|
363536
|
1,28170
|
|
9
|
1947
|
119063
|
45368
|
164431
|
482599
|
147775
|
630374
|
482599
|
1,30621
|
|
10
|
1948
|
134470
|
89792
|
224262
|
617069
|
237567
|
854636
|
617069
|
1,38499
|
|
11
|
1949
|
150959
|
126910
|
277869
|
768028
|
364477
|
1132505
|
768028
|
1,47456
|
|
12
|
1950
|
129470
|
100235
|
229705
|
897498
|
464712
|
1362210
|
897498
|
1,51779
|
|
13
|
1951
|
57351
|
37319
|
94670
|
954849
|
502031
|
1456880
|
954849
|
1,52577
|
|
14
|
1952
|
66582
|
57437
|
124019
|
1021431
|
559468
|
1580899
|
1021431
|
1,54773
|
|
15
|
1953
|
67643
|
61004
|
128647
|
1089074
|
620472
|
1709546
|
1089074
|
1,56972
|
|
16
|
1954
|
91116
|
119002
|
210118
|
1180190
|
739474
|
1919664
|
1180190
|
1,62657
|
|
17
|
1955
|
115621
|
178404
|
294025
|
1295811
|
917878
|
2213689
|
1295811
|
1,70834
|
|
18
|
1956
|
101413
|
288185
|
389598
|
1397224
|
1206063
|
2603287
|
1397224
|
1,86319
|
|
19
|
1957
|
103904
|
373333
|
477237
|
1501128
|
1579396
|
3080524
|
1501128
|
2,05214
|
|
20
|
1958
|
97615
|
416608
|
514223
|
1598743
|
1996004
|
3594747
|
1598743
|
2,24848
|
|
21
|
1959
|
97824
|
427841
|
1696567
|
2423845
|
4120412
|
1696567
|
2,42868
|
|
22
|
1960
|
89560
|
472518
|
562078
|
1786127
|
2896363
|
4682490
|
1786127
|
2,62159
|
|
23
|
1961
|
81516
|
387866
|
469382
|
1867643
|
3284229
|
5151872
|
1867643
|
2,75849
|
|
24
|
1962
|
76975
|
414812
|
491787
|
1944618
|
3699041
|
5643659
|
1944618
|
2,90219
|
|
25
|
1963
|
72472
|
406343
|
478815
|
2017090
|
4105384
|
6122474
|
2017090
|
3,03530
|
|
26
|
1964
|
66213
|
403169
|
469382
|
2083303
|
4508553
|
6591856
|
2083303
|
3,16414
|
|
27
|
1965
|
62803
|
459527
|
522330
|
2146106
|
4968080
|
7114186
|
2146106
|
3,31493
|
|
28
|
1966
|
59534
|
453949
|
513483
|
2205640
|
5422029
|
7627669
|
2205640
|
3,45826
|
|
29
|
1967
|
56963
|
499100
|
556063
|
2262603
|
5921129
|
8183732
|
2262603
|
3,61695
|
|
30
|
1968
|
58383
|
510079
|
568462
|
2320986
|
6431208
|
8752194
|
2320986
|
3,77089
|
|
31
|
1969
|
53720
|
521829
|
575549
|
2374706
|
6953037
|
9327743
|
2374706
|
3,92796
|
|
32
|
1970
|
53688
|
515262
|
568950
|
2428394
|
7468299
|
9896693
|
2428394
|
4,07541
|
|
33
|
1971
|
52931
|
543995
|
596926
|
2481325
|
8012294
|
10493619
|
2481325
|
4,22904
|
|
34
|
1972
|
49307
|
571987
|
621294
|
2530632
|
8584281
|
11114913
|
2530632
|
4,39215
|
|
35
|
1973
|
50792
|
639990
|
690782
|
2581424
|
9224271
|
11805695
|
2581424
|
4,57333
|
|
36
|
1974
|
48279
|
674791
|
723070
|
2629703
|
9899062
|
12528765
|
2629703
|
4,76433
|
|
37
|
1975
|
47822
|
776615
|
824437
|
2677525
|
10675677
|
13353202
|
2677525
|
4,98714
|
|
38
|
1976
|
42750
|
779032
|
821782
|
2720275
|
11454709
|
14174984
|
2720275
|
5,21086
|
|
39
|
1977
|
42410
|
735858
|
778268
|
2762685
|
12190567
|
14953252
|
2762685
|
5,41258
|
|
40
|
1978
|
41030
|
736194
|
777224
|
2803715
|
12926761
|
15730476
|
2803715
|
5,61058
|
|
41
|
1979
|
39445
|
760328
|
799773
|
2843160
|
13687089
|
16530249
|
2843160
|
5,81404
|
|
42
|
1980
|
37929
|
770341
|
808270
|
2881089
|
14457430
|
17338519
|
2881089
|
6,01804
|
|
43
|
1981
|
36330
|
676547
|
712877
|
2917419
|
15133977
|
18051396
|
2917419
|
6,18745
|
|
44
|
1982
|
35300
|
698667
|
733967
|
2952719
|
15832644
|
18785363
|
2952719
|
6,36206
|
|
45
|
1983
|
34810
|
642730
|
677540
|
2987529
|
16475374
|
19462903
|
2987529
|
6,51472
|
|
46
|
1984
|
33635
|
671346
|
704981
|
3021164
|
17146720
|
20167884
|
3021164
|
6,67553
|
|
47
|
1985
|
31400
|
659600
|
691000
|
3052564
|
17806320
|
20858884
|
3052564
|
6,83323
|
|
48
|
1986
|
31300
|
632277
|
663577
|
3083864
|
18438597
|
21522461
|
3083864
|
6,97906
|
|
49
|
1987
|
30670
|
658047
|
688717
|
3114534
|
19096644
|
22211178
|
3114534
|
7,13146
|
|
50
|
1988
|
29740
|
673426
|
703166
|
3144274
|
19770070
|
22914344
|
3144274
|
7,28764
|
|
51
|
1989
|
27555
|
659886
|
687441
|
3171829
|
20429956
|
23601785
|
3171829
|
7,44106
|
|
52
|
1990
|
24420
|
638708
|
663128
|
3196249
|
21068664
|
24264913
|
3196249
|
7,59168
|
|
53
|
1991
|
23205
|
572731
|
595936
|
3219454
|
21641395
|
24860849
|
3219454
|
7,72207
|
|
54
|
1992
|
21055
|
489657
|
510712
|
3240509
|
22131052
|
25371561
|
3240509
|
7,82950
|
|
55
|
1993
|
18590
|
428381
|
446971
|
3259099
|
22559433
|
25818532
|
3259099
|
7,92198
|
|
56
|
1994
|
16635
|
478350
|
494985
|
23037783
|
26313517
|
3275734
|
8,03286
|
|
57
|
1995
|
16110
|
447941
|
464051
|
3291844
|
23485724
|
26777568
|
3291844
|
8,13452
|
|
58
|
1996
|
15500
|
393074
|
408574
|
3307344
|
23878798
|
27186142
|
3307344
|
8,21993
|
|
59
|
1997
|
15020
|
392756
|
407776
|
3322364
|
24271554
|
27593918
|
3322364
|
8,30551
|
|
60
|
1998
|
14255
|
361601
|
375856
|
3336619
|
24633155
|
27969774
|
3336619
|
8,38267
|
|
61
|
1999
|
14950
|
357515
|
372465
|
3351569
|
24990670
|
28342239
|
3351569
|
8,45641
|
|
62
|
2000
|
15870
|
304839
|
320709
|
3367439
|
25295509
|
28662948
|
3367439
|
8,51179
|
|
63
|
2001
|
15460
|
287316
|
302776
|
3382899
|
25582825
|
28965724
|
3382899
|
8,56240
|
|
64
|
2002
|
15050
|
243685
|
258735
|
3397949
|
25826510
|
29224459
|
3397949
|
8,60062
|
|
65
|
2003
|
14920
|
280515
|
295435
|
3412869
|
26107025
|
29519894
|
3412869
|
8,64958
|
|
66
|
2004
|
15720
|
273747
|
289467
|
3428589
|
26380772
|
29809361
|
3428589
|
8,69435
|
|
67
|
2005
|
15730
|
279808
|
295538
|
3444319
|
26660580
|
30104899
|
3444319
|
8,74045
|
|
68
|
2006
|
17308
|
300128
|
317436
|
3461627
|
26960708
|
30422335
|
3461627
|
8,78845
|
|
69
|
2007
|
15902
|
353476
|
369378
|
3477529
|
27314184
|
30791713
|
3477529
|
8,85448
|
|
70
|
2008
|
19376
|
314164
|
333540
|
3496905
|
27628348
|
31125253
|
3496905
|
8,90080
|
|
71
|
2009
|
21309
|
360092
|
381401
|
3518214
|
27988440
|
31506654
|
3518214
|
8,95530
|
|
72
|
2010
|
19076
|
374339
|
393415
|
3537290
|
28362779
|
31900069
|
3537290
|
9,01822
|
|
73
|
2011
|
18481
|
376946
|
395427
|
3555771
|
28739725
|
32295496
|
3555771
|
9,08256
|
Таблица 3.6 - Определение параметров для текущего примера по методу
Французский институт
|
Извлекаемые запасы
|
Примечание
|
|
Vн.извл.max
|
|
ВНФ-
|
|
Vн.извл.(fн)
|
16 887 651,720
|
48,19
|
|
Vн.извл.(fв)
|
16 887 651,720
|
Добыча Н-
|
|
Vж.пред.
|
830 693 437,10
|
16 887 651,72
|
|
Vв.пред.
|
813 805 785,38
|
|
|
Vн.извл.(ВНФ)
|
-30,341
|
|
|
Остаточные запасы
|
|
|
Vн.ост.max
|
|
|
|
Vн.ост.(fн)
|
13350362
|
|
|
Vн.ост.(fв)
|
13350362
|
|
|
Vн.извл.(ВНФ)
|
-3 537 320,34
|
|
После расчета все извлекаемы запасы по трем методам сравниваем для
определения более реалистичного запаса (таблица 3.7) и рассчитываем остаточные
запасы для уточнения времени эксплуатации месторождения.
Таблица 3.7 - Выбор реалистичного запаса по методам ХВ.
|
Метод
|
Извлекаемые запасы
|
Остаточные
|
|
|
запасы
|
|
Назаров-Сипачев
|
Vн.извл.max
|
6080220,661
|
2 542 930,6614
|
|
Vн.извл.(fн)
|
4960838,719
|
1 423 548,7187
|
|
Vн.извл.(fв)
|
4960838,719
|
1 423 548,7187
|
|
Сипачев-Посевич
|
Vн.извл.max
|
6412424,043
|
2 875 134,0432
|
|
Vн.извл.(fн)
|
5122653,537
|
1 585 363,5367
|
|
Vн.извл.(fв)
|
5122653,537
|
1 585 363,5367
|
|
Фран. институт
|
Vн.извл.max
|
-
|
-
|
|
Vн.извл.(fн)
|
16887651,72
|
13 350 361,7196
|
|
Vн.извл.(fв)
|
16887651,72
|
13 350 361,7196
|
Зеленым отмечены те запасы, по которым был подсчитан среднее значение
извлекаемого запаса, а красным отмечен сильно отличающийся по значению от двух
других методов. Среднее значение извлекаемых запасов с учетом предельной
обводненности 99% - 5041746,128 т.
Рисунок 3.3 - Определение коэффициентов "А" и "В" по
методу Сипачева-Посевича.
Рисунок 3.4 - Определение коэффициентов "А" и "В" по
методу Французского института.
Рисунок 3.5 - Сравнение динамики развития вытеснения пластовых жидкостей
Из рисунка 3.5 видно, что методы Назаров-Сипачев и Сипачев-Посевич более
близки по значению. Поэтому, для прогноза выбираем эти два метода
(Назаров-Сипачев и Сипачев-Посевич).
.2 Прогноз добычи нефти
Прогноз даст возможность наблюдения хода разработки, при этом прогноз
сохранит текущее состояние разработки, т.е. не учитывается дальнейшие
проводимые мероприятия для увеличения КИН, поддержания пластового давления и
т.д. Чтоб произвести прогноз по 1-й группе необходимо нестационарный параметр с
помощью, которого можно было опираться на него и выполнить подсчет прогноза до
определенного периода или состояния (критическое точка разработки). Критической
точкой разработкой называют, то понятие которое нецелесообразно продолжение
разработки с экономической точки зрения и технологических показателей.
Стационарным параметром, принимаю годовую жидкость
=395000 т. Годовую жидкость прибавим
на накопленную жидкость для 2011 года получим накопленную жидкость для 2012
года. Для прогноза по формуле (2.1) метода Назарова-Сипачева находим
. Придем квадратному трехчлену:
(3.1.)
Выполнив необходимые действия найдем корень
(3.2.)
По формуле (3.2) найдем накопленную нефть для 2012 года.
Годовая нефть находим разностью накопленной нефти за 2012 и 2011года.
Обводненность рассчитаем отношением годовой нефти на годовую жидкость.
Прогноз сделан до 2035 года при заданном стационарном параметре.
За весь период прогноза вычисления выполняются аналогичным путем.
Сводные данные приведены в таблице 3.8.
Таблица 3.8 - Прогноз добычи пластовых флюидов по методу
Назарова-Сипачева до 2035 г.
|
Год
|
Год. нефть
|
Год. жидкость
|
Обвод.
|
Накоп. нефть
|
Накоп. жид.
|
|
2012
|
19 299,00
|
395 000
|
95,11%
|
3 575 070,00
|
32 690 496
|
|
2013
|
18 884,72
|
395 000
|
95,22%
|
3 593 954,73
|
33 085 496
|
|
2014
|
18 615,36
|
395 000
|
95,29%
|
3 612 570,08
|
33 480 496
|
|
2015
|
18 351,43
|
395 000
|
95,35%
|
3 630 921,52
|
33 875 496
|
|
2016
|
18 092,82
|
395 000
|
95,42%
|
3 649 014,34
|
34 270 496
|
|
2017
|
17 839,38
|
395 000
|
95,48%
|
3 666 853,72
|
34 665 496
|
|
2018
|
17 590,98
|
395 000
|
95,55%
|
3 684 444,70
|
35 060 496
|
|
2019
|
17 347,50
|
395 000
|
95,61%
|
3 701 792,20
|
35 455 496
|
|
2020
|
17 108,81
|
395 000
|
95,67%
|
3 718 901,01
|
35 850 496
|
|
2021
|
16 874,80
|
395 000
|
95,73%
|
3 735 775,81
|
36 245 496
|
|
2022
|
16 645,35
|
395 000
|
95,79%
|
3 752 421,16
|
36 640 496
|
|
2023
|
16 420,34
|
395 000
|
95,84%
|
3 768 841,50
|
37 035 496
|
|
2024
|
16 199,68
|
395 000
|
95,90%
|
3 785 041,18
|
37 430 496
|
15 983,25
|
395 000
|
95,95%
|
3 801 024,43
|
37 825 496
|
|
2026
|
15 770,94
|
395 000
|
96,01%
|
3 816 795,37
|
38 220 496
|
|
2027
|
15 562,67
|
395 000
|
96,06%
|
3 832 358,04
|
38 615 496
|
|
2028
|
15 358,34
|
395 000
|
96,11%
|
3 847 716,38
|
39 010 496
|
|
2029
|
15 157,84
|
395 000
|
96,16%
|
3 862 874,22
|
39 405 496
|
|
2030
|
14 961,09
|
395 000
|
96,21%
|
3 877 835,30
|
39 800 496
|
|
2031
|
14 768,00
|
395 000
|
96,26%
|
3 892 603,30
|
40 195 496
|
|
2032
|
14 578,48
|
395 000
|
96,31%
|
3 907 181,78
|
40 590 496
|
|
2033
|
14 392,45
|
395 000
|
96,36%
|
3 921 574,22
|
40 985 496
|
|
2034
|
14 209,82
|
395 000
|
96,40%
|
3 935 784,05
|
41 380 496
|
|
2035
|
14 030,53
|
395 000
|
96,45%
|
3 949 814,57
|
41 775 496
|
Стационарный параметр выделен зеленым цветом.
Для прогноза по методу Сипачева-Посевича, вычислим
(3.3)
Для определения остальных параметров необходимо выполнить аналогичные
действия как в предыдущем примере. Все данные параметры приведены в таблице
3.9.
Таблица 3.9 - Прогноз добычи пластовых флюидов по методу
Сипачева-Посевича до 2035 г.
|
Год
|
Год. нефть
|
Год. жидкость
|
Обвод.
|
Накоп. нефть.
|
Накоп. жид.
|
|
2012
|
19473
|
395 000
|
95,1%
|
3575244,257
|
32 690 496
|
|
2013
|
18985,846
|
395 000
|
95,2%
|
3594230,102
|
33 085 496
|
|
2014
|
18733,436
|
395 000
|
95,3%
|
3612963,538
|
33 480 496
|
|
2015
|
18486,026
|
395 000
|
95,3%
|
3631449,564
|
33 875 496
|
|
2016
|
18243,485
|
395 000
|
95,4%
|
3649693,050
|
34 270 496
|
|
2017
|
18005,687
|
395 000
|
95,4%
|
3667698,737
|
34 665 496
|
|
2018
|
17772,508
|
395 000
|
95,5%
|
3685471,245
|
35 060 496
|
|
2019
|
17543,829
|
395 000
|
95,6%
|
3703015,074
|
35 455 496
|
|
2020
|
17319,536
|
395 000
|
95,6%
|
3720334,610
|
35 850 496
|
|
2021
|
17099,517
|
395 000
|
95,7%
|
3737434,127
|
36 245 496
|
|
2022
|
16883,664
|
395 000
|
95,7%
|
3754317,791
|
36 640 496
|
|
2023
|
16671,872
|
395 000
|
95,8%
|
3770989,664
|
37 035 496
|
|
2024
|
16464,041
|
395 000
|
95,8%
|
3787453,705
|
37 430 496
|
|
2025
|
16260,072
|
395 000
|
95,9%
|
3803713,777
|
37 825 496
|
|
2026
|
16059,870
|
395 000
|
95,9%
|
3819773,646
|
38 220 496
|
|
2027
|
15863,343
|
395 000
|
96,0%
|
3835636,989
|
38 615 496
|
|
2028
|
15670,401
|
395 000
|
96,0%
|
3851307,390
|
39 010 496
|
|
2029
|
15480,958
|
395 000
|
96,1%
|
3866788,347
|
39 405 496
|
|
2030
|
15294,929
|
395 000
|
96,1%
|
3882083,277
|
39 800 496
|
|
2031
|
15112,234
|
395 000
|
96,2%
|
3897195,511
|
40 195 496
|
|
2032
|
14932,793
|
395 000
|
96,2%
|
3912128,304
|
40 590 496
|
|
2033
|
14756,529
|
395 000
|
96,3%
|
3926884,833
|
40 985 496
|
|
2034
|
14583,367
|
395 000
|
96,3%
|
3941468,200
|
41 380 496
|
|
2035
|
14413,236
|
395 000
|
96,4%
|
3955881,436
|
41 775 496
|
Стационарный параметр выделен зеленым цветом.
Глава 4.
Экономическая часть проекта
4.1 Введение
Особенность сегодняшних экономических отношений в Узбекистане заключается
в том, что уже в течение почти трех лет здесь осуществляются превентивные
антикризисные меры, суть которых заключается не в финансовых вливаниях в
деградирующие и неконкурентоспособные сферы, а в обеспечении условий для
нормального функционирования реального сектора экономики.
Идет процесс активного наращивания капитализации банковской сферы,
приняты и реализуются программы модернизации экономики, обеспечивающие
позитивную трансформацию структуры инвестиций в направлении опережающего роста
активной части основных производственных фондов.
Особое внимание уделяется наращиванию емкости внутреннего рынка путем
стимулирования роста платежеспособного спроса. При этом внутренние меры
антикризисного характера органично переплетаются с активной внешнеэкономической
политикой, роль регулирующих механизмов которой многократно возросла в условиях
мирового финансово-экономического кризиса.
Поэтому в Узбекистане основной акцент в этой сфере сделан на дальнейшее
последовательное развитие экономических реформ, что уже приносит реальные
результаты
Таблица 4.1 - Основные показатели социально-экономического развития
Узбекистана за 2009 год, % к 2008 г. (информационное сообщение о заседании КМ
РУз. УзА, 29.01.2010).
|
Показатель
|
Темпы роста
|
|
Валовый внутренний продукт
|
108,1
|
|
Объем промышленной продукции
|
109,0
|
|
Валовая продукция сельского хозяйства
|
105,7
|
|
Инвестиции в основной капитал
|
124,8
|
|
Розничный товарооборот
|
116,6
|
|
Платные услуги
|
112,9
|
Правительство Республики успешно работает над созданием благоприятных
условий для привлечения всех форм иностранных инвестиций и поддерживает
сотрудничество по приоритетным проектам. Приняты законодательные акты,
благоприятствующие привлечению иностранного капитала, законодательно закреплены
значительные льготы иностранным компаниям, изъявившим желание работать в
отраслях ТЭК страны. Иностранным инвесторам, реализующим инвестиционные проекты
на территории Узбекистана, гарантированы значительные льготы и стабильность
условий соглашения. Разработана и внедрена система формирования инвестиционных
предложений, главный принцип которой - снижение рисков потенциальных
инвесторов. В результате созданных условий заинтересованность к вложению
инвестиций в нефтегазовую отрасль Узбекистана проявил ряд нефтегазовых компаний
мира. В нефтегазовом секторе экономики в настоящее время созданы и успешно
функционируют 14 совместных предприятий. За последние два года объем прямых
иностранных инвестиций резко возрос (рис. 4.1).
С одной стороны ясно, что всемерное развитие внешних связей -
основополагающий фактор преодоления сложившихся кризисных противоречий в
экономической сфере, с другой, что развитие международных экономических связей
может происходить только при условии успешного функционирования самой отрасли
при реализации всех ее внутренних резервов. Чем успешнее работает отрасль и
комфортнее внутренние и внешние экономические среды предприятий, тем
перспективнее и эффективнее все направления международного сотрудничества. При
этом фундаментальным условием и доминантой международного сотрудничества
является успешное развитие экономики предприятий отрасли - основополагающего
принципа того, что нефтегазовая отрасль не собирается перекладывать свои
проблемы на плечи иностранных партнеров.
В целом по нефтегазовой промышленности Узбекистана объем инвестиций в
основной капитал за счет всех источников финансирования увеличился с 569,6 млн.
долл. США в 2001 г. до 1395,7 в 2008 г., т.е. в 2,4 раза. Основная часть
инвестиций направлялась на строительство новых предприятий, реконструкцию и
расширение действующих (рис. 4.2). Растет и общая экономическая эффективность
инвестиций в основной капитал (рис 4. 3).
Рис. 4.2. Доля инвестиций на строительство новых предприятий,
реконструкцию и расширение действующих (расчеты авторов по данным отчетов НХК
"Узбекнефтегаз")
Рис. 4.3. Общая экономическая эффективность инвестиций (расчеты авторов
по данным отчетов НХК "Узбекнефтегаз")
Однако ни одно из названных ранее направлений само по себе не даст
больших результатов. Только в комплексе достигается масштабный синергетический
эффект и на каждом этапе просматривается одно или несколько приоритетных
направлений. На сегодня таким приоритетом является совершенствование механизмов
налогообложения предприятий отрасли. Дело в том, что наиболее узкое место в
развитии добывающих предприятий отрасли - механизм взимания налогов, особенно
за пользование недрами. Его размеры составляют более 80% полученной прибыли,
т.е. за счет его уплаты в бюджет у предприятий сокращаются ресурсы для их
саморазвития, что в свою очередь требует привлечения заемных средств, а это не
только возврат долга, но и соответствующая уплата процентов.
Необходимость создания эффективной налоговой системы в
минерально-сырьевом секторе становится все более насущной. Приток инвестиций в
нефтегазовую отрасль все в большей степени зависит от эффективной налоговой
политики, способной стимулировать экономическую деятельность, в том числе
инвестиционную, создавать условия для воспроизводства природных ресурсов с
учетом горно-геологических особенностей месторождений.
Наибольшую долю в структуре уплачиваемых налогов занимают ресурсные
(49%), из которых основным является налог за пользование недрами (более 80%
ресурсных). Этот налог является основным для недропользователей и оказывает
наибольшее влияние на формирование финансовых показателей, так как учитывается
в общих затратах и соответственно уменьшает прибыль добывающих предприятий
(табл. 4.2).
Таблица 4.2 - Структура налогов и сборов, уплачиваемых
предприятиями АК "Узнефтегаздобыча" в 2003-2008 гг., % (расчеты
авторов по данным отчетов НХК "Узбекнефтегаз")
|
Вид налога
|
2003
|
2004
|
2005
|
2006
|
2007
|
2008
|
|
Налоги и сборы, всего
|
100
|
100
|
100
|
100
|
100
|
100
|
|
НДС и акцизы
|
49,6
|
46,6
|
40,4
|
44,5
|
43,0
|
35,5
|
|
На прибыль
|
14,9
|
12,6
|
6,3
|
9,4
|
7,7
|
4,3
|
|
На имущество
|
8,7
|
11,7
|
5,8
|
6,8
|
6,7
|
8,8
|
|
Земельный
|
0,1
|
0,4
|
0,3
|
0,3
|
0,5
|
0,6
|
|
Экологический
|
1,6
|
2,1
|
0,001
|
0
|
0
|
0
|
|
За пользование недрами
|
16,9
|
18,8
|
42,6
|
30,2
|
35,8
|
32,0
|
|
На воду
|
0,4
|
0,1
|
0,01
|
0,1
|
0,1
|
0,1
|
|
Платежи в местный бюджет и прочие
|
7,9
|
7,6
|
4,6
|
6,6
|
6,2
|
18,7
|
На размер налога за пользование недрами влияют два фактора: стоимость
добываемого сырья (цены) и ставки. Учитывая стратегическое значение продукции
нефтегазовой отрасли, влияние ее стоимости на финансовое состояние других
отраслей экономики, цены на углеводородное сырье для добывающих предприятий как
монополистов регулируются государством. Ограничение роста цен на добываемые
нефть, природный газ и конденсат обусловлено необходимостью сдерживания
инфляционных процессов. Сдерживание же цен на добываемое предприятиями
углеводородное сырье приводит к тому, что они не покрывают всех затрат по
добыче и фиксируются на уровне, обеспечивающем лишь безубыточную работу. При
создавшихся условиях добыча нефти практически для всех предприятий убыточна и
эти убытки перекрываются прибылью от добычи газа. Такая практика регулирования
цен не позволяет создавать финансовые ресурсы для обеспечения собственного
развития. Особенно это важно для малорентабельных нефтедобывающих предприятий с
трудноизвлекаемыми и падающими запасами углеводородного сырья.
За последние 6 лет доля ресурсных налогов, из которых порядка 80%
составляет налог за пользование недрами, выручка от реализации возросла с 11 до
18%. По отношению к балансовой прибыли до уплаты налогов этот вид в 2003 г.
составлял 59,4%, в 2006 г. - превышал его на 16%, а после снижения с 2007 г.
ставок налога за пользование недрами - 72% полученной прибыли.
Построенная без учета специфики добычи углеводородов налоговая система
затрудняет эксплуатацию низкорентабельных месторождений, которых в Узбекистане
большинство. Создавая высокое налоговое бремя, система налогообложения лишает
добывающие предприятия источников инвестиций и препятствует разработке новых
запасов, что приводит к нерациональному использованию запасов нефти и газа и в
итоге к ухудшению состояния сырьевой базы и безвозвратным потерям. Это касается
как количественного (сокращение объема), так и качественного (рост доли
трудноизвлекаемых запасов) показателей.
4.2
Содержание поставленной задачи по выбранному варианту
Вариант - 10
Данные варианта - 10 приведены в таблице 4.3.
Таблица 4.3. - добыча нефти по годам
|
Год
|
Добыча нефти по годам тыс. тонн
|
Год
|
Добыча нефти по годам тыс. тонн
|
|
1
|
100
|
9
|
230
|
|
2
|
140
|
10
|
230
|
|
3
|
160
|
11
|
220
|
|
4
|
190
|
12
|
210
|
|
5
|
13
|
205
|
|
6
|
230
|
14
|
195
|
|
7
|
230
|
15
|
180
|
|
8
|
230
|
Итог
|
2980
|
Основное содержание работы
1. Постановка вопроса.
Предприятие желает получить у Республики Узбекистан
право на разработку нового месторождения нефти с утвержденными запасами.
Нужно определить выгоду сторон за определенный период
разработки.
2. Основной метод решения вопроса.
2.1. Следует сначала определить физические объемы
работ. Это значит, составить проект разработки месторождения по действующим
нормативным документам, в котором определяются количество подлежащих бурению
скважин, строительство промысловых сооружений, трубопроводов и т.д. Проект разработки
будет являться документом, на основе которого составляются проектно-сметные
документации на строительство всех подземных и наземных сооружений. В итоге
можно будет конкретно узнать требуемые капитальные вложения.
Однако на стадии переговоров сторон можно будет
пользоваться предварительными технико-экономическими обоснованиями (ПТЭО), где
все приведенные физические и стоимостные показатели будут предварительными.
Требуемые объемы инвестиций на весь период разработки
обозначим буквой К. Определенную часть инвестиций предприятие покрывает
собственными средствами и на другую часть оформляет кредит коммерческого банка.
2.2. Из проекта разработки месторождения
определяются годовые объемы добычи нефти (О). Как правило, в зависимости от
геолого-технологических условий разработки, объем добычи нефти в первые 3-4
года будет постепенно увеличиваться, затем в течение 6-7 лет наблюдается период
стабильной добычи, а затем медленно снижается и общее время добычи нефти
составляет 35-40 и более лет.
Графически это будет выглядеть следующим образом:
2.3. Теперь следует определить экономические
показатели. Для этого необходимо знать цену реализуемой нефти (Ц) без НДС и
акциза. Зная ежегодный объем добываемой нефти (О) и цену реализации (Ц) можем
определить сумму ежегодной выручки от реализации продукции (В):
В=ОхЦ
2.4. Далее необходимо определиться с затратами.
Детально рассчитывать себестоимость продукции представляет собой определенные
трудности. Здесь лучше пользоваться нормой рентабельности по валовой прибыли
(Р) в процентах. Выражение (ВхР / 100) дает сумму валовой прибыли (П).
Определив валовую прибыль, мы можем определить производственную себестоимость
(С). Это делается:
В-П=С
.5. Теперь нужно рассчитать расходы периода (R), включающие
в себя административно-управленческие расходы по реализации и другие затраты
непосредственно не связанные с производством продукции. Для этого целесообразно
пользоваться нормой рентабельности по чистой прибыли (г) в процентах.
Выражение (О х г /100) даст сумму чистой прибыли (п)
после уплаты всех налогов и отчислений.
Общую сумму налогов, платежей и отчислений из прибыли
выражаем буквой Нно.Теперь можем расписать формулу всей цепочки от
реализованной продукции до конечной чистой прибыли.
(ОхЦ)-С=П
(ОхЩ)- С- R-HHo=n
или П-R-HHo=n
Для определения доли сторон в выгоде от проекта нужно
обязательно рассчитать суммы налогов.
.Налог на прибыль
Объектом налогообложения является доход (прибыль),
исчисленный как разница между совокупным доходом и вычетами, определенными в
соответствии с Налоговым кодексом. Ставки налога ежегодно определяются
Правительством Республики. На 2007 год ставка установлена в размере 10%.
Нпр=Пх10/100
. Налог на недра
Объектом налогообложения является стоимость добываемой
продукции. На 2007 год ставка налога установлена в размере 20%.
Ннедра=Вх20/100
. Налог на имущество юридических лиц
Объектом налогообложения является среднегодовая
остаточная стоимость основных средств и нематериальных активов. На 2007 год
ставка налога установлена в размере 3,5%.
Ним=ФсгхЗ,5/100
. Внебюджетный платеж в Пенсионный фонд
Объектом платежей является объем реализации продукции.
На 2007 год ставка платежей установлена в размере 0,7%.
Бвне=Вх0,7/100
. Внебюджетный платеж в Дорожный фонд
Объектом платежей является объем реализации продукции.
На 2007 год ставка платежей для промышленных предприятий установлена в размере
1,5%.
Дф= Вх1,5/100
. Единый социальный платеж
Объектом платежа является фонд оплаты труда. При этом
различаются фонд оплаты труда производственного персонала и
административно-управленческого персонала. На 2007 год ставка платежей
установлена в размере 24%.
Еет=ФОТх24/100
. Налог на инфраструктуру
Объектом налогообложения является прибыль, остающаяся
в распоряжении предприятия после уплаты всех налогов. На 2007 год ставка налога
установлена в размере 8%.
Нинф=(П-Н,) х8/100
Обязательные отчисления на развитие школьного
образования
Объектом расчета отчислений является объем реализации
продукции. На 2007 год ставка установлена в размере 1%.
Шр=Вх1/100
Существуют также налог на добавленную стоимость (НДС),
акцизный налог, начисляемые по ежегодно устанавливаемым ставкам на объем
реализуемой продукции. Во всех случаях по вышеуказанным налогам объем
реализованной продукции принимается без НДС и акцизного налога.
Кроме того, в настоящее время действуют плата за воду,
земельный налог, налог на потребление ГСМ и газа. В целях упрощения расчетов в
настоящем пособии эти налоги и платежи не учитываются.
Теперь определим доли сторон в выгоде по проекту. Долю
предприятия обозначим Дп и она сосредоточена в чистой прибыли (п).
Доля государства (Дг) состоит из нескольких составных
частей, т.к. здесь, кроме его доли в чистой прибыли, также учитываются все виды
налогов, платежей и отчислений, предусмотренных выше. Долю государства в чистой
прибыли обозначим Дчп.
Тогда:
Дг=(Дчп+Нпр+Ннедра+Ним+Бвне+Дф+Есп+Нинф+Шр)
Общая поделенная между сторонами сумма составляет:
Д=Дп+Дг
Отсюда
доля предприятия в % составит ДП=(Д-ДГ) /100
доля государства в % составит Дг=(Д-Дп) / 100
4.3 Расчеты
Предприятие получило у Правительства право на разработку нефтяного
месторождения на 15 лет. Согласно проекту разработки и предварительному
технико-экономическому обоснованию на обустройство месторождения (включая
строительство эксплуатационных скважин) необходимы инвестиции (К) 26 млрд. сум.
Предприятие имеет возможности профинансировать из собственных средств 10
млрд. сум по 2 млрд. сум в течении указанных 5 лет работы.
Согласно договору коммерческий банк выдает долгосрочный кредит 16 млрд.
сум, в том числе в 1-м году - 4 млрд. сум, во 2-м году - 4 млрд. сум, в 3-м
году - 4 млрд. сум, в 4-м году - 4 млрд. сум.
Согласно проекту разработки объем добычи нефти в течении указанного
периода составит как выше указано в таблице 4.1.
Цена реализации нефти в 1-й год добычи составит 100 тыс. за тонну. При
этом ежегодная инфляция в стране может составить в первые 5 лет по 7% в год, в
6-10 годы добычи по 6% в год, в 11-15 годы по 5% в год.
Тогда, цена реализуемой нефти может составить:
-й год добычи - 50 тыс. сум.
-й год добычи - 50x1,07=53,5 тыс. сум
-й год добычи - 53,5x1,07=57,2 тыс. сум
-й год добычи- 57,2x1,07=61,3 тыс. сум
-й год добычи - 61,3x1,07=65,5 тыс. сум
-й год добычи - 65,5x1,06=69,5 тыс. сум
-й год добычи - 69,5x1,06=73,6 тыс. сум
-й год добычи - 73,6x1,06=78,1 тыс. сум
-й год добычи - 78,1 х 1,06=82,7 тыс. сум
-й год добычи - 82,8х 1,06=87,7 тыс. сум
-й год добычи-87,7x1,05=92,1 тыс. сум
-й год добычи - 92,1x1,05=96,7 тыс. сум
-й год добычи - 96,6х 1,05=101,5 тыс. сум
-й год добычи- 104,4x1,05=106,6 тыс. сум
-й год добычи- 109,6x1,05=111,9 тыс. сум.
Определим объем товарной продукции, которая полностью
будет реализована ежегодно.
-й год - 50 000x50 000=2500 000 000 сум
-й год - 100 000x53 500=5350 000 000 сум
-й год - 150 000x57 200=8580 000 000 сум
-й год - 200 000x61 200=12240 000 000сум
-й год - 220 000x65 500=14410 000 000 сум
-й год - 250 000x69 500=17375 000 000 сум
-й год - 250 000x73 600=18400 000 000 сум
-й год - 250 000x78 100 =19525 000 000 сум
-й год - 250 000x82 800=20700 000 000 сум
-й год - 230 000x87 700=20171 000 000 сум
-й год - 200 000x92 100=18420 000 000 сум
-й год - 200 000x96 600=19320 000 000 сум
-й год -180 000x104 400=18792 000 000 сум
-й год - 160 000x109 600=17536 000 000 сум
-йгод -130 000x115 100=14963 000 000 сум
Итого за 15 лет - 287 622 000 000 сум.
Предприятие решило обеспечить себе норму
рентабельности по валовой прибыли 55%, а по чистой прибыли 20%. Таким образом,
мы определим за все годы валовую прибыль:
(ВхР)/100=прибыль валовая
-й год - 2500 млн. сум х 0,55=1375 млн.сум
-й год - 5350 млн. сум х 0,55=2942,5 млн.сум
-й год - 8580 млн. сум х 0,55=4719 млн.сум
-й год -12240 млн. сум х 0,55=6732 млн.сум
-й год -14410 млн. сум х 0,55=7925,5 млн.сум
-й год - 17375 млн. сум х 0,55=9556,25 млн.сум
-й год - 18400 млн. сум х 0,55=10120 млн.сум
-й год -19525 млн. сум х 0,55=10738,75 млн.сум
-й год - 20700 млн. сум х 0,55=11385 млн.сум
-й год - 20171 млн. сум х 0,55=11094,05 млн.сум
-й год - 18420 млн. сум х 0,55=10131 млн.сум
-й год - 19320 млн. сум х 0,55=10626 млн.сум
-й год -18792 млн. сум х 0,55=10335,6 млн.сум
-й год - 17536 млн. сум х 0,55=9644,8 млн.сум
-й год -14963 млн. сум х 0,55=8229,65 млн.сум
Итого за все 15 лет 158192,1 млн.сум.
Теперь определим чистую прибыль (ч) по формуле: (ВХч)/100
По вышеуказанному подходу чистая прибыль составит по
годам
-й год - 500 млн. сум
-й год - 1070 млн. сум
-й год -1716 млн. сум
-й год -2448 млн. сум
-й год - 2882 млн. сум
-й год - 3475 млн. сум
-й год - 3680 млн. сум
-й год - 3905 млн. сум
-й год - 4140 млн. сум
-й год - 4034,2 млн. сум
-й год - 3684 млн. сум
-й год - 3864 млн. сум
-й год - 3758,4 млн. сум
-й год - 3507,2 млн. сум
-йгод -2992,6 млн.сум
Итого за все 15 лет - 57524,4 млн.сум
Расчет налогов
. Налог на прибыль
Ставка 10%
Таблица-4.4.
|
Год
|
Налогооблагаемая
|
Сумма налога
|
|
база, млн. сумм
|
млн. сумм
|
|
1
|
2750
|
275,0
|
|
2
|
4120
|
412,0
|
|
3
|
5034
|
503,4
|
|
4
|
6406
|
640,6
|
|
5
|
8286
|
828,6
|
|
6
|
8792
|
879,2
|
|
7
|
9310
|
931,0
|
|
8
|
9880
|
988,0
|
|
9
|
10462
|
1046,2
|
|
10
|
11094
|
1109,4
|
|
11
|
11144
|
1114,4
|
|
12
|
11169
|
1116,9
|
|
13
|
11444
|
1144,4
|
|
14
|
11433
|
1143,3
|
|
15
|
11078
|
1107,8
|
|
итого
|
|
|
13240,0
|
|
|
|
|
. Налог на имущество
Ставка 3,5%
Таблица-4.5.
|
год
|
среднегод. стоим.
|
сумма налога
|
|
осн. Ф-ов, млн.сумм
|
млн. сумм
|
|
1
|
|
105
|
|
2
|
6000
|
210
|
|
3
|
15000
|
525
|
|
4
|
21000
|
735
|
|
5
|
24000
|
840
|
|
6
|
26000
|
910
|
|
7
|
26000
|
910
|
|
8
|
26000
|
910
|
|
9
|
26000
|
910
|
|
10
|
26000
|
910
|
|
11
|
26000
|
910
|
|
12
|
26000
|
910
|
|
13
|
26000
|
910
|
|
14
|
26000
|
910
|
|
15
|
26000
|
910
|
|
итого
|
|
|
11515
|
|
|
|
|
. Налог на недраСтавка 20%
Таблица-4.6.
|
год
|
налогооблагаемая
|
сумма налога
|
|
база, млн. сумм
|
млн. сумм
|
|
1
|
5000
|
1000,0
|
|
2
|
7490
|
1498,0
|
|
3
|
9152
|
1830,4
|
|
4
|
11647
|
2329,4
|
|
5
|
15065
|
3013,0
|
|
6
|
15985
|
3197,0
|
|
7
|
16928
|
3385,6
|
|
8
|
17963
|
3592,6
|
|
9
|
19021
|
3804,2
|
|
10
|
20171
|
4034,2
|
|
11
|
20262
|
4052,4
|
|
12
|
20307
|
4061,4
|
|
13
|
20808
|
4161,5
|
|
14
|
20787
|
4157,4
|
|
15
|
20142
|
4028,4
|
|
итого
|
|
|
48145,5
|
|
|
|
|
. Внебюджетный Пенсионный фонд Ставка 0,7%
Таблица-4.7.
|
год
|
налогооблагаемая
|
сумма налога
|
|
база, млн. сумм
|
млн. сумм
|
|
1
|
5000
|
35,0
|
|
2
|
7490
|
52,4
|
|
3
|
9152
|
64,1
|
|
4
|
11647
|
81,5
|
|
5
|
15065
|
105,5
|
|
6
|
15985
|
111,9
|
|
7
|
16928
|
118,5
|
|
8
|
17963
|
125,7
|
|
9
|
19021
|
133,1
|
|
10
|
141,2
|
|
11
|
20262
|
141,8
|
|
12
|
20307
|
142,1
|
|
13
|
20808
|
145,7
|
|
14
|
20787
|
145,5
|
|
15
|
20142
|
141,0
|
|
итого
|
|
|
1685,1
|
|
|
|
|
. Внебюджетный Дорожный фонд Ставка 1.5%
Таблица-4.8.
|
год
|
налогооблагаемая
|
сумма налога
|
|
база, млн. сумм
|
млн. сумм
|
|
1
|
5000
|
75,0
|
|
2
|
7490
|
112,4
|
|
3
|
9152
|
137,3
|
|
4
|
11647
|
174,7
|
|
5
|
15065
|
226,0
|
|
6
|
15985
|
239,8
|
|
7
|
16928
|
253,9
|
|
8
|
17963
|
269,4
|
|
9
|
19021
|
285,3
|
|
10
|
20171
|
302,6
|
|
11
|
20262
|
303,9
|
|
12
|
20307
|
304,6
|
|
13
|
20808
|
312,1
|
|
14
|
20787
|
311,8
|
|
15
|
20142
|
302,1
|
|
итого
|
|
|
3610,9
|
|
|
|
|
. Единый социальный платеж Ставка 24% от Фонда оплаты труда (ФОТ)
Таблица-4.9.
|
год
|
ФОТ
|
соц.платеж
|
|
млн. сумм
|
млн. сумм
|
|
1
|
250
|
60,0
|
|
2
|
375
|
89,9
|
|
3
|
458
|
109,8
|
|
4
|
582
|
139,8
|
|
5
|
753
|
180,8
|
|
6
|
799
|
191,8
|
|
7
|
846
|
203,1
|
|
8
|
898
|
215,6
|
|
9
|
951
|
228,3
|
|
10
|
1009
|
242,1
|
|
11
|
1013
|
243,1
|
|
12
|
1015
|
243,7
|
|
13
|
1040
|
249,7
|
|
14
|
1039
|
249,4
|
|
15
|
1007
|
241,7
|
|
итого
|
|
|
2888,7
|
|
|
|
|
Новое предприятие, исходя из своих возможностей и учитывая необходимость
повышения ответственности и заинтересованности работников, решило из объема
реализованной продукции 5% выделить в Фонд оплаты труда. Тогда ежегодный ФОТ и
социальный налог выглядят следующим образом. Смотрите на таблице 6.
Потребность в кредите 16 млрд. сум. Коммерческий банк выдает данный
кредит по 15% годовых. Причем, ежегодно выдает по 4 млрд. сум по отдельному
договору со сроком погашения в течение 2 последующих лет. И льготным годом
считается год выдачи кредита.
Таблица - 4.12.
|
Годы
|
Погашение млрд. сумм Выдача млрд. сум
|
1-й год
|
2-й год
|
3-й год
|
4-й год
|
5-й год
|
6-й год
|
|
1-й год
|
4
|
-
|
2
|
2
|
-
|
-
|
-
|
|
2-й год
|
4
|
-
|
-
|
2
|
2
|
-
|
-
|
|
3-й год
|
4
|
-
|
-
|
-
|
2
|
2
|
-
|
|
4-й год
|
4
|
-
|
-
|
-
|
-
|
2
|
2
|
|
итого
|
16
|
-
|
2
|
4
|
4
|
4
|
2
|
. Налог на инфраструктуру
Ставка налога 8% от чистой прибыли
Таблица-4.10.
|
год
|
налогооблагаемая
|
сумма налога
|
|
база, млн. сумм
|
млн. сумм
|
|
1
|
750
|
60,0
|
|
2
|
1124
|
89,9
|
|
3
|
1373
|
109,8
|
|
4
|
1747
|
139,8
|
|
5
|
2260
|
180,8
|
|
6
|
2398
|
191,8
|
|
7
|
2539
|
203,1
|
|
8
|
2694
|
215,6
|
|
9
|
2853
|
228,3
|
|
10
|
3026
|
242,1
|
|
11
|
3039
|
243,1
|
|
12
|
3046
|
243,7
|
|
13
|
3121
|
249,7
|
|
14
|
3118
|
249,4
|
|
15
|
3021
|
241,7
|
|
итого
|
|
|
2888,7
|
|
|
|
|
. Обязательное отчисление на развитие школьного образования Ставка 1% от
объема реализации продукции
Таблица-4.11.
|
год
|
объем реализации
|
отчисления
|
|
млн. сумм
|
млн. сумм
|
|
1
|
5000
|
50,0
|
|
2
|
7490
|
74,9
|
|
3
|
9152
|
91,5
|
|
4
|
11647
|
116,5
|
|
5
|
15065
|
150,7
|
|
6
|
15985
|
159,9
|
|
7
|
16928
|
169,3
|
|
8
|
17963
|
179,6
|
|
9
|
19021
|
190,2
|
|
10
|
20171
|
201,7
|
|
11
|
20262
|
202,6
|
|
12
|
20307
|
203,1
|
|
13
|
20808
|
208,1
|
|
14
|
20787
|
207,9
|
|
15
|
20142
|
201,4
|
|
итого
|
|
|
2407,3
|
|
|
|
|
Расчет процентов за кредит банка (млрд. сум)
Таблица-4.13.
|
1-й кредитный год
|
2-й кредитный год
|
3-й кредитный год
|
4-й кредитный год
|
5-й кредитный год
|
6-й кредитный год
|
|
1-й кредит
|
(2Ч15):100=0,3
|
(4Ч15):100=0,6
|
(2Ч15):100=0,3
|
-
|
-
|
-
|
|
2-й кредит
|
-
|
(2Ч15):100=0,3
|
(4Ч15):100=0,6
|
(2Ч15):100=0,3
|
-
|
-
|
|
3-й кредит
|
-
|
-
|
(2Ч15):100=0,3
|
(4Ч15):100=0,6
|
(2Ч15):100=0,3
|
-
|
|
4-й кредит
|
-
|
-
|
-
|
(2Ч15):100=0,3
|
(4Ч15):100=0,6
|
(2Ч15):100=0,3
|
|
Итого % за кредит
|
0,3
|
0,9
|
1,2
|
1,2
|
0,9
|
0,3
|
Составляем сводную таблицу экономических показателей.
Сводная таблица экономических показателей
Таблица-11.
|
Годы
|
Инвестиции млн. сум
|
Объем добычи, тыс. тн
|
Объем реализован-ной продукции, млн. сум
|
Погашение кредита, млн. сум
|
Проценты за кредит, млн. сум
|
ФОТ млн.сум
|
Валовая прибыль млн.сум
|
|
собств. средства
|
кредит
|
|
|
|
|
|
|
|
|
1
|
2
|
3
|
4
|
5
|
6
|
7
|
9
|
10
|
11
|
|
1
|
2000
|
4000
|
-
|
-
|
-
|
300
|
-
|
-
|
-
|
|
2
|
2000
|
4000
|
100
|
5 000
|
2000
|
900
|
250
|
2 750,0
|
750,0
|
|
3
|
2000
|
4000
|
140
|
7 490
|
4000
|
1200
|
375
|
4 119,5
|
1 123,5
|
|
4
|
2000
|
4000
|
160
|
9 152
|
4000
|
1200
|
458
|
5 033,6
|
1 372,8
|
|
5
|
2000
|
-
|
190
|
11 647
|
4000
|
900
|
582
|
6 405,9
|
1 747,1
|
|
6
|
-
|
-
|
230
|
15 065
|
2000
|
300
|
753
|
8 285,8
|
2 259,8
|
|
7
|
-
|
-
|
230
|
15 985
|
-
|
-
|
799
|
8 791,8
|
2 397,8
|
|
8
|
-
|
-
|
230
|
16 928
|
-
|
-
|
846
|
9 310,4
|
2 539,2
|
|
9
|
-
|
-
|
230
|
17 963
|
-
|
-
|
898
|
9 879,7
|
2 694,5
|
|
10
|
-
|
-
|
230
|
19 021
|
-
|
-
|
951
|
10 461,6
|
2 853,2
|
|
11
|
-
|
-
|
230
|
20 171
|
-
|
-
|
1009
|
11 094,1
|
3 025,7
|
|
12
|
-
|
-
|
220
|
20 262
|
-
|
-
|
1013
|
11 144,1
|
3 039,3
|
|
13
|
-
|
-
|
210
|
20 307
|
-
|
-
|
1015
|
11 168,9
|
3 046,1
|
|
14
|
-
|
-
|
205
|
20 808
|
-
|
-
|
1040
|
11 444,1
|
3 121,1
|
|
15
|
-
|
-
|
195
|
20 787
|
-
|
-
|
1039
|
11 432,9
|
3 118,1
|
|
16
|
-
|
-
|
180
|
20 142
|
-
|
-
|
1007
|
11 078,1
|
3 021,3
|
|
итого
|
10000
|
16000
|
2980
|
240 728
|
16000
|
4800
|
12036
|
132 400,1
|
36 109,1
|
|
Налоги, платежи и отчисления
|
Всего налогов и платежей млн.сум
|
В т.ч. относи-мые к прибыли млн.сум
|
|
На прибыль
|
На имущество
|
На недра
|
Пенсион-ный фонд
|
Дорожный фонд
|
Единый социаль-ный
|
На инфра-структуру
|
Развитие школь-ного образования
|
|
|
|
12
|
13
|
14
|
15
|
16
|
17
|
18
|
19
|
20
|
21
|
|
1
|
-
|
-
|
-
|
-
|
-
|
-
|
-
|
-
|
|
|
|
2
|
275,0
|
105
|
1000,0
|
35,0
|
75,0
|
60,0
|
60,0
|
50,0
|
|
|
|
3
|
412,0
|
210
|
1498,0
|
52,4
|
112,4
|
89,9
|
89,9
|
74,9
|
|
|
|
4
|
503,4
|
525
|
1830,4
|
64,1
|
137,3
|
109,8
|
109,8
|
91,5
|
|
|
|
5
|
640,6
|
735
|
2329,4
|
81,5
|
174,7
|
139,8
|
139,8
|
116,5
|
|
|
|
6
|
828,6
|
840
|
3013,0
|
105,5
|
226,0
|
180,8
|
180,8
|
150,7
|
|
|
|
7
|
879,2
|
910
|
3197,0
|
111,9
|
239,8
|
191,8
|
191,8
|
159,9
|
|
|
|
8
|
931,0
|
910
|
3385,6
|
118,5
|
253,9
|
203,1
|
203,1
|
169,3
|
|
|
|
9
|
988,0
|
910
|
3592,6
|
125,7
|
269,4
|
215,6
|
215,6
|
179,6
|
|
|
|
10
|
1046,2
|
910
|
3804,2
|
133,1
|
285,3
|
228,3
|
228,3
|
190,2
|
|
|
|
11
|
1109,4
|
910
|
4034,2
|
141,2
|
302,6
|
242,1
|
242,1
|
201,7
|
|
|
|
12
|
1114,4
|
910
|
4052,4
|
141,8
|
303,9
|
243,1
|
243,1
|
202,6
|
|
|
|
13
|
1116,9
|
910
|
4061,4
|
142,1
|
304,6
|
243,7
|
243,7
|
203,1
|
|
|
|
14
|
1144,4
|
910
|
4161,5
|
145,7
|
312,1
|
249,7
|
249,7
|
208,1
|
|
|
|
15
|
1143,3
|
910
|
4157,4
|
145,5
|
311,8
|
249,4
|
249,4
|
207,9
|
|
|
|
16
|
1107,8
|
910
|
4028,4
|
141,0
|
302,1
|
241,7
|
241,7
|
201,4
|
|
|
|
итого
|
13240,0
|
16065
|
1685,1
|
3610,9
|
2888,7
|
2888,7
|
2407,3
|
86381,6
|
83492,8
|
Результат расчетов
. Валовая прибыль - 132400,1
Из них платежи в бюджет, во внебюджетные фонды и отчисления - 83492,8
млн. сум.
. Чистая прибыль - 36 109,1 млн. сум.
Из них возврат кредита и процентов за кредит - 20800 млн. сум.
Остаток прибыли в распоряжении предприятия - 15309,1 млн. сум.
. Распределение полученной выгоды:
· Предприятие -
млн. сум.
· Правительство -
млн. сум.
Итого выгоды -
млн. сум.
Таким образом, в первые 15 лет разработки этого месторождения
правительство получает 84,5% всех распределяемых денежных средств, а у
предприятия остается 15,5% из них.
Глава 5.
Охрана недр и окружающей среды
Известно, что одной из отраслей промышленности, ответственных за
загрязнение окружающей среды, справедливо считается нефтяной. На всем пути от
скважин до потребителя нефть - потенциальный загрязнитель. Атмосфера
загрязняется в результате испарения нефти и нефтепродуктов, и выброса паров в
резервуарных парках, при перевозках. Особенно большую опасность представляет
загрязнение нефтью грунтовых вод и водоемов в результате сброса в пласт, в реки
и озера неочищенных пластовых вод. Основными источниками загрязнения территории
и водоемов на промыслах нефтью сточными водами являются следующие;
- устья скважин и прискважинные площади. Разлив нефти в этих
пунктах возможен через не плотности в устьевых сальниках и при ремонтных
работах на скважинах,
- мерники и трапы групповых и индивидуальных сборных установок,
- сборные участковые и промысловые резервуарные парки. Разлив
нефти происходит обычно при спуске сточной воды из резервуаров, при полной
очистке резервуаров от грязи и парафина, перелив нефти через верх резервуаров.
Территория промыслов может загрязняться нефтью также из-за не плотностей
в промысловых нефтепроводах (утечки через сальники, задвижек, фланцевые
соединения, свищи в теле трубы и др.).
Сточная вола нефтепромыслов часто содержит нефть. Кроме того, она сильно
минерализована, поэтому выпуск ее в водоемы приводит к постепенному увеличению
минерализации воды и отравление водоемов.
Необходимо применять конструкцию скважин, исключающую переток пластовых
флюидов. В процессе испытания и эксплуатации скважин производить установку
цементных мостов.
В случае ликвидации скважин над верхним интервалом перфорации
продуктивного пласта установить цементный мост высотой не менее 50 м.
Охрана недр и окружающей среды представляет собой комплекс требований и
научно-технических мероприятий в процессе поисков, разведки и разборки
месторождения, направленных на рациональное извлечение, использование полезных
ископаемых. Для месторождения Кокайты одной из основных задач охраны окружающей
среды является решение вопроса о попутно добываемой воде, закачка ее обратно в
продуктивные горизонты, в качестве нагнетательных скважин можно использовать
скважины как за контуром нефтеносности, так и внутри контура нефтеносности.
Заключение
Месторождение Кокайты разрабатывается с 1939 года и находится на
четвертой стадии разработки. Ее обводненность довольно высокая. Пластовое
давление за весь период разработки очень снизилось до незначительного значения.
С 1994 года по сегодняшние дни для поддержания пластового давление
закачивают воду и отбор производят форсированный.
Для целесообразности дальнейшей работы, необходимо было произвести
пересчет запасов по характеристике вытеснения.
При этом для расчета остаточного или извлекаемого запаса с помощью
характеристик вытеснения я выбрал три метода. Это метод Назарова-Сипачева,
метод Сипачева-Посевича и метод Французского института. Потому что эти методы
из первой группы (кривые обводнения) и очень подходит для высоко обводненных
месторождений. Одно из положительных сторон этих методов, они не реагируют на
внешние воздействия, т.е. в нашем случаи это будет закачка воды для поддержания
пластового давления.
Рассчитав, извлекаемые запасы по этим трем методам, я рекомендую выбрать
метод Назарова-Сипачева и метод Сипачева-Посевича т.к. они очень близки по
значению, а метод Французского института довольно резко отличается от выше
сказанных методов.
Прогноз можно сделать разными способами, но в нашем случаи мы должны
учесть и закачку воды, поэтому для этого я выбираю стационарным параметром
годовую жидкость. При этом мы сохраним среднее значение в год и закономерность
обводненности.
Прогноз сделан до 2035 года при крайней обводненности 99%.
Список
использованной литературы
1. Геологический
отчет по разработке и эксплуатации нефтяных местрождений, Джаркурганнефть 2001
год.
. Х.М.
Тургунов Сбор и обобщение геолого-промысловой информации, Узлитинефтьгаз 2006г.
. М.М.
Иванова, А.Ф. Дементьев, И.П. Чаловский Нефтегазопромысловая геология и
геологические основы разработки месторождений нефти и газа-М: Недра 1985г.
421с.
. А.Р.
Ходжаев, А.М. Акрамходжаев, А.Г. Бабаев, Ш.Д. Давлятов, П.К. Азимов, А. Маденов
Нефтяные и газовые месторождения Узбекистана часть II - Т: Фан УзССР 1974 г.
. Н.Г.
Середа, В.М. Муравьев Основы нефтяного и газового дела - М: Недра 1980 г.
. А.Х.
Мирзаджанзаде, В.М. Хасанов, Р.К. Бахтизин Моделирование процессов нефтедобычи
- М: Ижевск 2004 г.
. Р.Х.
Муслимов Современные методы повышения нефтиотдачи и извлечения. Проектирование,
оптимизация и оценка эффективности - Казань: Фан 2005 г, 688 с.
. В.А.
Савельев, М.А. Гокарев, А.С. Чинаров Геолого-промысловые методы прогноза
нефтеотдачи. Ижевск 2008г.
. www.oilforum.ru
. www.oil-gas.ru
. www.neft-gas.ru
. www.rosneft.ru
. www.ziyonet.uz