Проектування буровибухових робіт під час будівництва тунелів

  • Вид работы:
    Курсовая работа (т)
  • Предмет:
    Геология
  • Язык:
    Украинский
    ,
    Формат файла:
    MS Word
    830,08 Кб
  • Опубликовано:
    2015-02-19
Вы можете узнать стоимость помощи в написании студенческой работы.
Помощь в написании работы, которую точно примут!

Проектування буровибухових робіт під час будівництва тунелів

Вступ


В даному курсовому проекті потрібно виконати проект паспорту буровибухових робіт на проходку автодорожнього тунелю з габаритом Г-7 в піщанику міцністю f=5, розрахувати параметри буровибухових робіт, скласти паспорт БВР, розробити циклограму та описати заходи безпеки під час виконання БВР.

Більшість транспортних тунелів проходить через міцні скельні породи. Розробка ґрунтів, міцністю f>3 потребує спеціальної дорогої техніки, є великих трудозатрат та затрат в часі. Досить дешевим та альтернативним способом розробки ґрунту є підривання його за допомогою патронів з вибуховими речовинами, такі як: детоніт, грануліт, динафталіт, акватол, різні види амоналу та амоніту. Буровибухові роботи - це комплекс бурових та вибухових робіт, які виконують з метою раціонального і безпечного руйнування скельних ґрунтів та енергії вибуху.

Бурові роботи - процес утворення циліндричних виробок (шпурів або свердловин) для подальшого розміщення в них зарядів. В залежності від міцності породи буріння шпурів може проводитися наступними способами:

-       обертальне буріння (в слабких породах);

-       обертально-ударне буріння (f=5…14);

-       ударно-обертальне буріння (f=2…18);

-       ударне буріння (f=6…20).

Вибухові речовини - хімічні сполуки або механічні суміші, які під дією зовнішнього імпульсу можуть переходити із одного агрегатного стану в інший з виділенням великої кількості механічної енергії та тепла. Вибух супроводжується сильним звуковим ефектом, який виникає в результаті ослаблення ударної хвилі і переходу її в звукову.

В курсовій роботі потрібно розрахувати кількість шпурів та масу зарядів для підривання забою тунелю.

1.      Аналіз інженерно-геологічних умов

Проходка автодорожнього тунелю проводиться в піщанику міцністю f=5. Піщаник - осадова гірська порода <#"796849.files/image001.gif">

Рис. 1 Схема оправи

Для того, щоб визначити площу виробки, спочатку потрібно побудувати внутрішній контур оправи, потім - знайти товщину замка оправи, її стін та товщину зворотнього склепіння:

-       Товщина замка оправи:


Де  - найбільша ширина внутрішнього окреслення оправи;

 - міцність породи за Протодьяконовим.

-       Товщина стін оправи:

, де

 - товщина замка оправи.

-       Товщина зворотнього склепіння:

.

Контур виробки тунелю можна приймати по зовнішньому контуру оправи тунелю.

Рис. 2 Схема виробки тунелю.

Для автодорожнього тунелю габаритом Г-7 потрібно зробити виробку, що зображена на схемі (рис. 2). Оскільки міцність за Протодьяконовим f=5, а (висота тунельної виробки), то для розробки забою приймаю уступний спосіб, розділивши забій на дві частини калотту, верхню частину, та штроссу, нижню частину.

Площі калоти та штроси можна визначити за допомогою програми

AutoCAD 2012:

-       Калотта:

-       Штросса


3.2.   Визначення глибини західки

Ефективність проходки тунелів значною мірою залежить від правильного вибору основних параметрів відносних витрат ВР, лінії найменшого опору, кількості, довжини, діаметра і схем розміщення шпурів, маси й конструкції зарядів.

За табл. 6.1, [2] визначаю глибину західки із урахуванням площі поперечного перерізу виробки та міцнісних характеристик піщанику міцністю f=5. Для даних умов отримую що .

3.3.   Визначення коефіцієнта використання шпурів

Приймають коефіцієнт використання шпурів, який коливається в межах 0,8…0,9 і для:

-       Контурного підривання становить ;

-       Для відбійного підривання становить .

3.4.   Глибина комплекту шпурів:

-       Глибина комплекту відбійних шпурів


-       Глибина комплекту контурних шпурів:


3.5.   Тип врубу та його параметри

Тип врубу та його параметри визначаю за табл. 4.2 [2]. Для заданої міцності отримую тип врубу клиновий.

-       Мінімальна кількість шпурів врубу - 4 шт.;

-       Кут нахилу шпурів до поверхні забою - 70˚;

-       Відстань між парами шпурів - 50 см.

3.6.   Тип шпурових зарядів та конструкція

Визначення типу шпурових зарядів та їх конструкції, встановлення діаметру патронів ВР здійснюється згідно рекомендацій табл. 2 і 3 додатка [2] для ВР Амоніт-№6 ЖВ.

 - густина заряду;

 - діаметр патрону;

 - діаметр шпура;

 - маса заряду одного патрону;

 - довжина патрону;

 - швидкість детонації.

Рис. 3 Схема контурних, відбійних та підошовних шпурів

Рис. 4 Схема врубових шпурів

3.7.   Маса вибухової речовина на 1 м довжини шпурів

Для ВР у патронах

, де

 - коефіцієнт заповнення шпурів табл. 6.2, [2];

 - коефіцієнт ущільнення зарядів;

 - маса патрона табл. 3 додаток, кг [2];

 - довжина патрона.

3.8.   Визначення питомих витрат ВР

Визначення питомих витрат ВР проводиться за формулою ЦНІІДСу


-       Для калотти


-       Для штросси


Де:  - міцність грунта;

 - Площа калотти;

 - Площа штросси;

 - коефіцієнт, який враховує вплив діаметра заряду. Заряд діаметром 36 мм;

 - коефіцієнт еквівалентних зарядів, для Амоніту № 6 ЖВ;

 - коефіцієнт щільності заряджання, для патронів;

 - коефіцієнт, який враховує структуру і тріщинуватість порід, для не тріщинуватих порід;

 - коефіцієнт, що враховує площу виробок.

електропідривний буровибуховий шпуровий заряд

4.      Визначення загальної кількості шпурів  під час звичайного підривання

4.1.   Для троси


Де  - кількість врубових, відбійних контурних та підошвових шпурів відповідно.

 - кількість врубових шпурів


Для симетрії приймаю


де, - частина виробки без площі , яка підривається всіма шпурами окрім контурних.


Де:  - кількість контурних шпурів,

 - відстань між контурними шпурами, м;

 - ЛНО контурних шпурів;

 - коефіцієнт зближення зарядів

 - діаметр патрона ВР, см;

 - коефіцієнт заповнення шпура (табл. 6.2.);

 - зарядження вибухової речовини (питома вага);

 - коефіцієнт ущільнення зарядів.

Кількість контурних  і підошвових  шпурів визначається за виразами:


де, - периметр виробки по лінії розміщення контурних шпурів, м (за 10 см від контуру виробки);

 - ширина виробки по підошві, м

 - відстань між підошовними та контурними шпурами.

4.1.1. Маса контурного заряду троси


Де  - довжина контурного шпуру

 - маса заряду на 1 пог. м. контурного шпуру, приймається в межах 0,2…0,4 кг/м.

4.1.2. Маса всіх контурних зарядів


4.1.3. Середня маса заряду решти шпурів


Де  - кількість ВР на цикл


4.1.4. Маса врубового заряду


4.1.5. Маса всіх врубових зарядів


4.1.6. Маса відбійних і підошвових шпурів



4.1.7. Уточнена маса на цикл


4.1.8. Уточнена питома витрата ВР


4.2.   Для калоти


Де  - кількість врубових, відбійних та контурних шпурів відповідно.

 - кількість врубових шпурів


Приймаю для збереження симетрії


Де,- частина виробки без площі , яка підривається всіма шпурами окрім контурних.


Де:  - кількість контурних шпурів,

 - відстань між контурними шпурами, м;

 - ЛНО контурних шпурів;

 - коефіцієнт зближення зарядів

 - коефіцієнт заповнення шпура (табл. 6.2.) [2];

 - зарядження вибухової речовини (питома вага);

 - коефіцієнт ущільнення зарядів.

Кількість контурних  шпурів визначається за виразом:


де, - периметр виробки по лінії розміщення контурних шпурів, м (за 10 см від контуру виробки);

 - відстань між підошовними та контурними шпурами.

4.2.1. Маса контурного заряду калоти


Де  - довжина контурного шпуру

 - маса заряду на 1 пог. м. контурного шпуру, приймається в межах 0,2…0,4 кг/м.

4.2.2. Маса всіх контурних зарядів


4.2.3. Середня маса заряду решти шпурів


Де  - кількість ВР на цикл


4.2.4. Маса врубового заряду


4.2.5. Маса всіх врубових зарядів


4.2.6. Маса відбійних шпурів



4.2.7. Уточнена маса на цикл


4.2.8. Уточнена питома витрата ВР



5.      Розрахунок параметрів електропідривної мережі

Для підривання у підземних умовах застосовую електричний спосіб підривання. Для даних умов використано паралельно-послідовному з’єднанні схему підривання зарядів.

Монтаж електричної мережі здійснюється за допомогою спеціально підібраних провідників або кабелів відповідно до схеми розташування шпурів. Поперечний переріз провідників обирають, виходячи з достатнього електричного опору мережі й забезпечення міцності провідника. Мінімальна довжина магістральних провідників за умовами безпеки не повинна бути меншою 150 метрів.

Опір підривної мережі для заданої схеми підривання визначається за формулою


Де  - опір магістральних провідників ,Ом;

 - загальний опір кількох паралельних груп ЕД, Ом;

Якщо опір ЕД однаковий, то


де  - кількість паралельно увімкнених груп ЕД.

Загальний опір групи

,

де  - кількість паралельно з’єднаних ЕД;

 - опір з’єднувальних провідників, Ом;

 - опір дільничних провідників, Ом;

 - опір кінцевих провідників, Ом;

 - загальний опір ЕД, Ом;

Струм, який подається до групи:

,

Де  - напруга джерела живлення

Струм, що надходить до електродетонатора:

,

Де  - кількість ЕД в групі;

Отримана сила струму повинна бути більшою за гарантований струм

При постійному струмі  при кількості ЕД до 100, і  при їх кількості більше 100. Якщо в електропідривній мережі не забезпечується мінімальна сила струму, то необхідно збільшити схему з’єднання, або застосувати більш потужне джерело підривання.

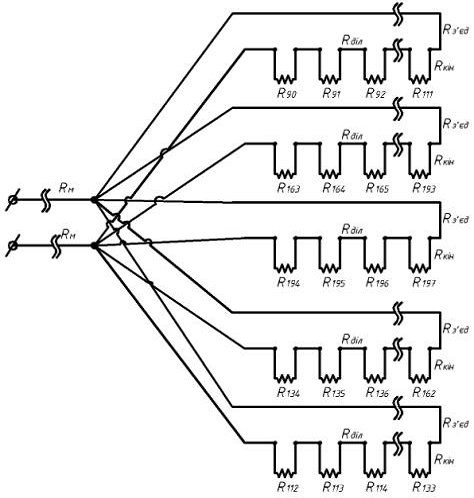
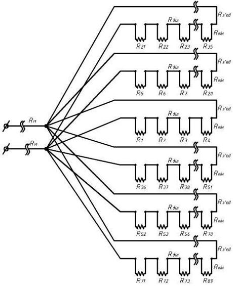
Рис. 5 Схема послідовно-паралельного з’єднання електродетонаторів для калоти

Рис. 6 Схема послідовно-паралельного з’єднання електродетонаторів для калоти

.        Паспорт БВР

Паспорт БВР - це основний технічний документ, який визначає основні параметри буровибухових робіт під час проходки підземних виробок. У таблицях 6.1, 6.2, 6.3, 6.4 наводяться розрахункові дані щодо умов і показників підривання і шпурових зарядів.

Таблиця 6.1 Умови та показники підривання калоти

Умови і показники підривання

Одиниця вимірювання

Кількість

Площа поперечного перерізу виробки в проходці Г-7

м2

37,30

Коефіцієнт міцності  за Протодьяконовим-5



Глибина західки м2,7



коефіцієнт використання шпурів

- Врубових - Відбійних та контурних - - 0,85 0,9



Довжина комплектів шпурів: - Врубових - Відбійних та контурних

 3,15 3,00

Загальна кількість шпурів у забої.

шт.

89

У тому числі; - Врубових - Відбійних - Контурних

 шт. шт. шт.

 4 47 38

Питома витрата ВР кг/м31,111



Витрати ВР на заходку кг111,90



Вихід породи за один вибух

м3

100,71

Загальна кількість шпурометрів на цикл

м

267,6

вихід шпурометрів на м3 породи

м/м3

2,657

Бурові механізми


Tamrock


Таблиця 6.2 Умови та показники підривання штроси

Умови і показники підриванняОдиниця вимірюванняКількість



Площа поперечного перерізу виробки в проходці Г-7

м2

42,72

Коефіцієнт міцності  за Протодьяконовим-5



Глибина західки м2,70



коефіцієнт використання шпурів

- Врубових - Відбійних, контурних та підошовних - -  0,85 0,90



Довжина комплектів шпурів - Врубових - Відбійних, контурних та підошовних

 м м

 3,15 3,00

Загальна кількість шпурів у забої.

шт.

108

У тому числі; - Врубових - Відбійних - Контурних - Підошовних

 шт. шт. шт. шт.

 4 60 16 28

Питома витрата ВР кг/м31,082



Витрати ВР на заходку кг124,84



Вихід породи за один вибух

м3

115,34

Загальна кількість шпурометрів на цикл

м

324,60

вихід шпурометрів на м3 породи

м/м3

2,814

Бурові механізми


Tamrock


Таблиця 6.3 Шпурових зарядів калоти

Вид ВР

Амоніт № 6 ЖВ

Амоніт № 6 ЖВ

Амоніт № 6 ЖВ

Маса ВР, кг

7,20

70,50

34,20

Кількість шпурів, шт.

4

47

38

Маса заряду, кг

1,80

1,50

0,9

Час сповільнення, мс

0

30

Кут нахилу, град

70

90

85


Таблиця 6.4 Шпурових зарядів штроси

Довжина, м

3,15

3,00

3,00


Назва шпурів

Врубові

Відбійні

Контурні


Номери шпурів

1-4

5-51

52-89


Вид ВР

Амоніт № 6 ЖВ

Амоніт № 6 ЖВ

Амоніт № 6 ЖВ

Амоніт № 6 ЖВ

Маса ВР, кг

5,72

71,40

14,40

33,32

Кількість шпурів, шт.

4

60

16

28

Маса заряду, кг

1,43

1,19

0,9

1,19

Час сповільнення, мс

0

25

30

30

Кут нахилу, град

70

90

85

85

Довжина, м

3,15

3,00

3,00

3,00

Назва шпурів

Врубові

Відбійні

Контурні

Підошовні

Номери шпурів

194-197

134-193

90-97 126-133

98-125



7.      Охорона праці

Заходи безпеки з охорони праці повинні включати в себе комплекс дій, спрямованих на безпечне і ефективне виконання буровибухових робіт, а саме: розробку оперативної документації, організацію зберігання та обліку вибухових матеріалів, контроль дотримання вимог Єдиних правил безпеки.

Згідно з вимогами ЄПБ БВР повинні організовуватися згідно циклограми робіт. Вибухові роботи (заряджання та підривання забороняється суміщати в часі іншими роботами.

.1.     Заходи безпеки під час бурових робіт

З метою підтримання безпеки та ефективності бурових робіт необхідно:

-    Перед початком буріння проводити обробку покрівлі виробки й поверхні забою з подальшою розміткою шпурів згідно з паспортом БВР;

-       При забурюванні шпурів штангу бурового інструменту потрібно підтримувати спеціальними пристроями;

-       Використовувати раціональні режими буріння із урахуванням інженерно-геологічних умов;

-       Суворо дотримуватися строків профілактичного ремонту бурового обладнання.

Під час виконання бурових робіт, у забої, кожен бурильник повинен слідкувати за режимом роботи бурового обладнання і не допускати відхилень, які можуть бути пов’язані зі зміною інженерно-геологічних умов, до яких відносять: пустоти, тріщинуватість породи, викиди зі шпуру мулу або піску, посилення притоку води із шпурів. До початку буріння шпурів забій повинен бути приведений в безпечний стан, шляхом оборки ґрунтів. Буріння шпурів на висоті більше 1,5 м від підошви виробки дозволяється виконувати зі спеціальних риштувань, підмостків або бурових рам.

Для захисту очей від пилу бурильник повинен використовувати захисні окуляри. З метою безпечного виконання робіт під час забурювання шпурів застосовуються короткі забурники довжиною 0,5-0,8 м.

У разі роботи на самохідних установках забороняється перебувати під піднятим маніпулятором і автоподавачем, а також між забоєм та установкою. переміщення бурових установок із одного забою в інший дозволяється тільки в транспортному положенні.

.2.     Заходи безпеки під час вибухових робіт

Виконуючи вибухові роботи, необхідно дотримуватися правил безпеки під час підготовки ВР, підривання зарядів і огляду результатів підривання.

Доставляти ВР на місце проведення БВР можна в вагонетках, або вручну. Забороняється переносити ВР разом з засобами ініціювання в одній сумці, або в одній вагонетці. ВР не дозволяється кидати, кантувати, у процесі роботи палити, сірники та запальнички при собі дозволяється мати лише підривникам. При сумісному перенесені засобів ініціювання та ВР підривник повинен переносити не більш ніж 12 кг.

Порошкоподібні ВР на основі аміачної селітри в патронах та мішках, перед застосуванням, повинні розминатися без порушення цілісності оболонки. забороняється використовувати ВР, зволожені більше норми, установлених ТУ, та вказаних в інструкції використання. Злежані та порошкоподібні ВР, які на підлягають розминанню та не містять в своєму складі нітроефірів та гексогенів повинні подрібнюватись.

Вибухові роботи повинні виконуватися під проводом особи технічного нагляду. При одночасній роботі кількох підривників в межах небезпечної зони, один з них повинен бути назначеним старшим. Свої розпорядження він подає голосом, або іншими, завчасно обговореними і знайомими підривникам сигналами.

При проведенні заряджання шпурів та монтування електропідривної мережі в забої повинен перебувати тільки підривник та його помічники. При проведенні підривання забою робочих потрібно відвести на безпечну відстань, яка може коливатися від 100 м (підривання нескельних порід) до 400 м (подрібнення валунів). Перед початком заряджання шпурів на межах небезпечної зони повинні виставлятися пости, які забезпечують охорону.

Під час виконання вибухових робіт обов’язковим є звукові сигнали. Забороняється подавати сигнали голосом, а також з використанням вибухових матеріалів. Значення та порядок подачі сигналів:

-  Перший сигнал - попереджувальний (один довгий). Сигнал подається перед заряджанням. Люди виводяться за межі небезпечної зони.

-       Другий сигнал - бойовий ( два довгих). По цьому сигналу проводиться вибух.

-       Третій сигнал - відбій (три коротких). Означає закінчення Вибухових робіт.

Після провітрювання, мінімум через 30 хв. Після вибуху, підривник заходить до забою, та перевіряє наявність шпурів, які не вибухнули. У разі виявлення таких зарядів, їх реєструють в спеціальному журналі, де вказують кількість зарядів. Роботи по ліквідації не підірваних зарядів виконуються під керівництвом особи технічного нагляду, якому дозволено проводити БВР.

Після проведення ліквідації невибухнутих зарядів, підривник знову, після провітрювання забою, перевіряє виробку, та дає дозвіл на проведення наступних робіт.

Список використаної літератури

1.   Тоннели и метрополитены [Текст] / под ред. В.Г. Храпова. - М.: транспорт, 1989. - 383 с.

2.      Тунелі й метрополітени [Текст]: Методичні вказівки для курсового та дипломного проектування «Проектування буровибухових робіт під час будівництва тунелів» / уклад.: В.Д. Петренко, В.Т. Гузченко, О.Л. Тютькін; Дніпропетр. нац. ун-т. залізн. трансп. ім. акад.. В.Лазаряна. - Д.: Вид-во «Нова ідеологія», 2011. - 29 с.

3.      НПАОП 0.00-1.17-92. Единые правила безопасности при взрывных работах [Текст]. К.: Норматив, 1992. - 240 с.

Похожие работы на - Проектування буровибухових робіт під час будівництва тунелів

 

Не нашли материал для своей работы?
Поможем написать уникальную работу
Без плагиата!
Без нейросетей!