Проект горных работ при проходке дренажных выработок при строительстве третьей очереди Лебединского горно-обогатительного комбината (ОАО 'Лебединский ГОК')
МИНИСТЕРСТВО ОБРАЗОВАНИЯ И НАУКИ
РОССИЙСКОЙ ФЕДЕРАЦИИ
ФГБОУ ВПО «РОССИЙСКИЙ ГОСУДАРСТВЕННЫЙ
ГЕОЛОГОРАЗВЕДОЧНЫЙ УНИВЕРСИТЕТ имени
Серго Орджоникидзе»
МГРИ-РГГРУ
Факультет техники разведки и
разработки
Кафедра горного дела
ДИПЛОМНЫЙ ПРОЕКТ
на тему: «Проект горных работ при
проходке дренажных выработок при строительстве третьей очереди Лебединского
горно-обогатительного комбината»
Оглавление
Глава 1. Экономико-географическая
и геологическая характеристика района
1.1 Общие сведения о
районе
1.2 Геологическое строение
района и Лебединского месторождения
1.3 Стратиграфия
1.4 Природные
гидрогеологические условия месторождения
1.5
Инженерно-геологические условия, физико-механические свойства горных пород
1.6 Оценка исходных данных
для проектирования
1.7 Система осушения
карьера
Глава 2. Проект
горнопроходческих работ
2.1 Назначение и
местоположение проектируемой выработки
2.2 Комплекс проходческого
оборудования
Глава 3. Проходка
выработки
3.1 Оценка устойчивости
горных пород на контуре сечения выработки
3.2 Расчет параметров
паспорта буровзрывных работ
3.3 Выбор способа и
средств инициирования(СПЕЦТЕМА)
3.4 Расчет проветривания
выработки
3.5 Расчет прочных
размеров горной крепи
3.6 Уборка породы,
транспортные операции
3.7 Расчет локомотивной
откатки
3.8 Вспомогательные работы
3.9. Организация работ
Глава 4. Электроснабжение
Глава 5. Экономика
Глава 6. Охрана
труда и окружающей среды
Введение
Лебединский ГОК - крупнейшее российское предприятие по
добыче и обогащению железной руды и имеет самый крупный в мире карьер по добыче
железной руды. Комбинат расположен в городе Губкине Белгородской области,
примерно в 600 километрах на юг от Москвы.
ЛГОК является лидирующим производителем железорудной
продукции в России. В 2012 году доля производства концентрата комбинатом
составила 21,2 миллиона тонн. ЛГОК - единственный производитель ГБЖ в России и
СНГ. Комбинат начал производство этого вида продукции в 2001 году, запустив цех
по производству ГБЖ (ЦГБЖ-1) с применением технологии HYL-III мощностью 1,0
миллион тонн в год. В 2007 году ЛГОК завершил строительство второй очереди цеха
по производству ГБЖ (ЦГБЖ-2) с использованием технологии MIDREX с
производственной мощностью 1,4 миллиона тонн в год. В настоящее время
производственная мощность ЛГОКа составляет 2,4 миллиона тонн ГБЖ в год.
Технологический процесс производства железорудного
сырья на Лебединском ГОКе состоит из следующих основных стадий:
· Горные работы
· Производство концентрата
железорудного с массовой долей железа менее 69,5%
· Производство окатышей
· Производство горячебрикетированного
железа (ГБЖ)
Качественные характеристики продукции ЛГОКа получили признание не только
отечественных, но и зарубежных металлургов.
Лебединский горно-обогатительный комбинат является градообразующим
предприятием города Губкин. Большая часть трудоспособного населения работает на
комбинате.
Сам карьер на сей день имеет весьма внушительные размеры - протяженность
около 6 км, ширина около 4 км, а глубина 320м, - и продолжает расширяться.
Именно поэтому проблема осушения карьера имеет особое значение. Ведь
обводненность горного массива может являться причиной прорыва подземных вод в
горные выработки, снижения устойчивости бортов карьера, обвалов. Кроме того,
повышенная влажность может приводить к снижению качества руды, удорожанию
процесса добычи и обогащения.
На карьере, для откачки подземных вод работает подземный дренажный
комплекс, расположенный на нескольких горизонтах. По мере углубления карьера в
действие вводятся более глубокие горизонты.
Глава 1. Экономико-географическая и геологическая характеристика района
.1 Общие сведения о районе
Лебединский карьер расположен на территории Губкинского района
Белгородской области. Ближайшими крупными населенными пунктами являются города
Губкин и Старый Оскол. Асфальтовая автомобильная дорога, соединяющая указанные
города, проходит в непосредственной близости от карьера (рис. 1.1.).Карьером
отрабатывается Лебединское месторождение железных руд КМА.
В орографическом отношении район представляет собой степное
водораздельное плато между реками Осколец, Оскол и Чуфичка, сильно изрезанное
овражно-балочной сетью. Абсолютные отметки поверхности изменяются от 145 до 230
м.
Основной водной артерией является р. Осколец, протекающая в широтном
направлении севернее карьера на расстоянии 300 м. Расход реки составляет от
0,24 м3/с (в межень) до 0,93 м3/с (в паводок).
Климат района умеренно континентальный со среднемесячной температурой
января - -90 С и июля - +200 С. Среднегодовое количество
осадков - 470 мм.
1.2 Геологическое строение района и Лебединского
месторождения
Лебединское месторождение характеризуется типичным для платформенных
областей строением: изверженные и метаморфические породы докембрийского
возраста перекрываются мощной толщей осадочных отложений (рис. 1.2.).
Докембрийские образования представлены, в основном, породами лебединской
сланцево-песчаниковой свиты михайловской серии, и стойленской и железорудной
свит курской серии.
Сланцево-песчаниковая свита имеет весьма ограниченное распространение и
сложена кварцитовидными песчаниками, мусковитовыми сланцами, гнейсами и
амфиболитами. Мощность достигает 1250 м.
Железорудная свита представлена двумя подсвитами железистых кварцитов и
двумя подсвитами сланцев.
Мощность железистых кварцитов разведана до отметки - 500 м.
К коре выветривания железистых кварцитов верхней подсвиты приурочены
основные запасы богатых железных руд, эалегающих в виде линзообразных и
гнездообразных тел неправильной формы.
Породы курской серии секутся многочисленными жильными телами различного
состава, мощность которых изменяется от сантиметров до десятков метров.
В строении осадочной толщи Лебединского месторождения, которая с резким
угловым несогласием перекрывает породы кристаллического фундамента и имеет
мощность от 54 до 106 м, принимают участие отложения четвертичного,
палеоген-неогенового, турон-коньякского, сеноман-альбского, аптского,
юрско-неокомского и девонского ярусов. Подошва осадочной толщи залегает на
размытой кровле рудно-кристаллического фундамента, верхняя часть которого
представлена богатыми рудами или породами коры выветривания (окисленные и
разрушенные кварциты и сланцы).
На неравномерно размытой поверхности массива кристаллических пород
докембрия залегают отложения старооскольского горизонта среднего девона (D2 gv2 osk).
В нижней части отложений преобладают грубокристаллические породы (осадочные
руды брекчиевидной текстуры, нерудные брекчии и песчаники), в верхней -
плотные, тонкосланцеватые, жирные на ощупь, серовато-голубые, реже
буровато-красные глины. Мощность девонских отложений изменяется от 0,0 до 15,0
м при средней 2,3 м. Девонские отложения приурочены к понижениям древнего
рельефа докембрийских отложенийи представлены лишь в виде небольших отдельных
пятен.
Верхнеюрские отложения (J3) представлены почти повсеместно, в
основном, сильно песчаными глинами, которые местами переходят в пески. В местах
понижения кровли докембрия юрские отложения представлены глинами, иногда слабо
песчаными, которые сверху перекрыты сильно песчаными глинами или алевритами.
В основании юрских отложений отдельными скважинами вскрыты тонкие прослои
сидеритовых и кварцевых песчаников на пиритовом цементе. Мощность юрских
отложений изменяется от 0,0 до 27,0 м, средняя - 8,3м.
Неокомские глины (алевриты) (K1 nc) по гранулометрическому составу
занимают промежуточное положение между суглинками и тяжелыми глинами, суммарное
содержание в них глинистых и пылеватых фракций составляет 75-76%. Юрские и
неокомские отложения не расчленены.
На размытой поверхности юрско-неокомских отложений залегают пески
аптского яруса, которые перекрыты слоем песка альбского яруса нижнего мела (K1 ap+al). По
гранулометрическому составу пески в верхней части мелко- и среднезернистые, в
нижней части слоя переходят в грубозернистые, вплоть до гравелистых. Мощность
песков 15.4 - 22,6 м.
Альбские пески перекрыты отложениями сеноманского возраста (K2sm). Нижняя часть этих отложений представлена песками, а
верхняя - песчано-меловой толщей («сурка»). Сеноманские пески тонко- и
мелкозернистые, кварцевые, местами слегка глинистые и карбонатные. Их мощность
7,6 - 13,6 м. Суммарная мощность песчаных отложений (апт-альб-сеноманских)
изменяется от 27,5 до 41,2м, при средней 33,4м. средняя абсолютная отметка
подошвы песков 92-93 м.
Верхняя часть сеноманских отложений представлена «суркой» (серовато-белым
рыхлым песчаным мелом), состоящей из углекислой извести с примесью кварцевого
песка, глауконита и фосфорита. Фосфоритовые желваки образуют относительно
выдержанный слой мощностью до 0,5м. Мощность «сурки» составляет 3,5 - 4,5 м.
Карта изогипс подошвы сеноман-альбских песков представлена на рис. 1.3.
Сеноманские отложения перекрыты мергельно-меловыми отложениями турон-коньякского
возраста (K2 t+cn), которые
представлены двумя литологическими разновидностями. Нижняя часть яруса сложена
однородным белым писчим мелом с незначительным количеством примесей в виде
неокатанных мелких зерен кварцита и обломков раковин. В толще мелов выделяются
трещиноватые, среднеблочные и крупноблочные разности. Верхняя часть яруса
сложена желтовато-серыми слюдистыми мергелями, которые фиксируются,
преимущественно, в углублениях поверхности мела. Мощность мергельно-меловой
толщи изменяется от 45,5 до 62,0 м при средней 54,7 м. В долине р. Осколец
меловые отложения почти полностью размыты. На водораздельном склоне (южная
часть месторождения) мощность меловых пород достигает 60 м.
Палеогеновые отложения выполняют древние карстовые полости в меловой
толще и представлены песчано-глинистым материалом.
Неогеновые отложения имеют островное распространение в юго-западной и
западной части месторождения. Представлены толщей красноцветных глин и
суглинков с прослоями песков с общей мощностью до 12-15 м.
Четвертичные отложения залегают на сильно размытой поверхности
палеогеновых и меловых отложений и представлены преимущественно бурыми, иногда
темно-бурыми суглинками, часто с включением белых известковистых стяжений.
Иногда в них встречаются небольшие линзы буровато-желтого глинистого песка, а в
подошве - обломки мергельно-меловых пород. Мощность четвертичных отложений
изменяется от 2 до 18 м.
В долине р. Осколец развиты аллювиальные отложения мощностью до 10-15 м,
представленные суглинками, песками и торфом.
В пределах проектируемого участка суммарная мощность осадочной толщи
изменяется от 104,2 до 144,9м, при средней 119,8м.
1.3 Стратиграфия
1.4 Природные гидрогеологические условия месторождения
Гидрогеологические условия Лебединского месторождения определяются его
приуроченностью к центральной части Воронежского гидрогеологического массива.
Характерно практически горизонтальное залегание осадочных пород и небольшая их
мощность.
В гидрогеологическом разрезе выделяются два водоносных комплекса:
верхний, играющий главную роль в обводнении месторождения, и нижний,
разделенные песчано-глинистыми отложениями неокомско-юрского возраста,
выполняющими роль относительного водоупора.
Верхний водоносный комплекс включает четвертичный, сантонский,
коньяк-туронский, альб-сеноманский и аптский водоносные горизонты.
На большей части территории мощность нижней обводненной зоны
мело-мергельной толщи менее 20м, а в западной части Губкинского
административного района мощность обводненной толщи возрастает до 35м. Верхняя
часть мело-мергельной толщи сдренирована реками и оврагами.
Водоносность отложений зависит от трещиноватости. Коэффициент фильтрации
пород изменяется от 10 до 60 м/сут, а иногда и до 200 м/сут, с глубиной и в
направлении водоразделов трещиноватость затухает и коэффициент фильтрации
уменьшается до 0,1-1,0 м/сут.
Все вышеописанные водоносные горизонты в непосредственной близости от
карьера сдренированы горными работами и в обводнении карьера участия не
принимают.
В непосредственном обводнении карьера в настоящее время из верхнего
водоносного комплекса принимают участие альб-сеноманский и аптский водоносные
горизонты, представляющие собой единый водоносный комплекс. Так как основным
подопритоком является Альб-сеноманский водоносный горизонт, то рассмотрим его
подробнее.
Альб-сеноманский водоносный горизонт также гидравлически тесно связан с
турон-коньякским и эти горизонты могут рассматриваться как единая безнапорная
система, питание которой происходит за счет атмосферных осадков, поверхностных
водотоков и водоемов, также инфильтрационных вод хвостохранилищ, а разгрузка
осуществляется по долинам рек Оскол и Осколец с их овражно-балочной сетью и в
действующие карьеры. Карта гидроизогипс альб-сеноманского водоносного горизонта
представлена на рис. 1.3.
Водосодержащие породы представлены мелко- и среднезернистыми песками.
Коэффициент неоднородности изменяется в пределах 3-10, увеличиваясь сверху
вниз. Это обуславливает увеличение коэффициента фильтрации от 2,3 до 20 м/сут.
Коэффициент фильтрации тонко- и мелкозернистых песков залегающих в нижней части
разреза составляет 1,4 м/сут. Альб-сеноманский водоносный горизонт характеризуется
водопроводимостью порядка 170-400 м2/сут. Мощность водосодержащих
песков составляет 25-30м.
Воды альб-сеноманского водоносного горизонта пресные,
гидрокарбонатно-сульфатно-калий-натриевые.
Воды рудно-кристаллического горизонта пресные, гидрокарбонатно-хлоридные
кальциево-натриевые, с минерализацией 0,6-0,8 мг/л. Характерно повышенное
содержание в водах калия. Отмечается изменение химического состава и качества
подземных вод в зависимости от гидравлической связи с сеноман-альбским
водоносным горизонтом и литолого-минералогическим составом вмещающих пород.
Гидрогеологическая характеристика вышеописанных горизонтов представлена в
табл. 1.1.
.5 Инженерно-геологические условия, физико-механические свойства горных
пород
В осадочной толще пород Лебединского месторождения выделяется 15
инженерно-геологических элементов (рис.1.5.), характеристика
физико-механических свойств и гранулометрический состав которых приведены в
табл. 1.2.,
Табл. 1.1. Гидрогеологические параметры водоносных горизонтов в районе
Лебединского месторождения
|
Водоносный горизонт
|
Глубина залегания, м
|
Напор над подошвой
|
Водоупор и его мощность, м
|
Условия питания
|
Область разгрузки
|
Водопроводимость, м2/сут
|
Коэффициент уровнепроводности, м2/сут
|
Распространение
|
|
Четвертичный аллювиальный
|
0
|
|
|
Атмосферные осадки, поверхностные воды
|
р. Осколец, карьер, система осушения
|
30
|
|
Локальное
|
|
Сантонский
|
|
|
|
|
|
|
|
Локальное
|
|
Коньяк-туронский
|
8
|
0-10
|
|
Атмосферные осадки, поверхностные воды, инфильтрация из
водоемов
|
карьер, система осушения
|
до 500
|
4 х 103
|
Повсеместное
|
|
Сеноман-альбский
|
80
|
0-12
|
Юрские глины, 0-30 м
|
То же
|
То же
|
300
|
4 х 103
|
Повсеместное
|
|
Аптский
|
|
|
|
|
|
|
|
Локальное
|
|
Юрский
|
100
|
0-10
|
Юрские глины, 0-30 м
|
Перетекание
|
То же
|
до 40
|
|
Локальное
|
|
Девонский
|
110
|
|
Сланцы
|
То же
|
|
до 300
|
|
Локальное
|
|
Архей-протерозойский (рудно-кристаллический
|
до 120
|
0-10
|
Кварциты, сланцы, железные руды
|
То же
|
То же
|
до 50
|
|
Повсеместное
|
Таблица 1.2. Физико-механические свойства осадочной толщи Лебединского
месторождения
|
Номер слоя
|
Наименование породы
|
Геологи-ческий индекс
|
Показатели физико-механических свойств пород
|
|
|
|
Плотность,х103,кг/м3
|
Угол внутреннего трения, град.
|
Естественная влажность, %
|
Число пластичности
|
Пористость %
|
Удельное сцепление, МПа
|
|
1
|
Суглинок лессовидный
|
Q1-IY
|
1.72-2.02
|
14 0 30I -310
|
18.0-26.9
|
11.4-21.8
|
39.5-52.0
|
0.039
|
|
|
|
1.89
|
220 09I
|
22.08
|
16.64
|
42.34
|
|
|
2
|
Глины
|
Q1-IY
|
1.92-2.13
|
14 0 -490
|
20,7-26.5
|
17,8-22,6
|
32,6-42,7
|
|
|
|
|
2,01
|
270 30I
|
23,23
|
20,5
|
36,61
|
|
|
5
|
Мел трещиноватый
|
К2t+cn
|
1,81
|
27
|
16,2-40,1
|
3,7-11,8
|
44,6-51,7
|
0.0412
|
|
6
|
Мел средне блочный
|
|
1.86
|
30
|
31,74
|
8,22
|
49,52
|
0.0582
|
|
6а
|
Мел крупно блочный
|
|
1.84
|
32
|
|
|
|
0.0772
|
|
7-9
|
Пески
|
К1арt-К2сm
|
1,68-2,21
|
110 -480
|
11.6-23.6
|
|
27,6-43,6
|
0.010
|
|
|
|
2,03
|
320 30I
|
15.83
|
|
34,78
|
|
|
10-11
|
Алевриты
|
К1nc
|
1.95
|
24
|
|
|
|
0.025
|
|
12-14
|
Глины песчанистые, алевриты
|
I3
|
1.89-2.02
|
12 0 40I -360
|
17,9-35,9
|
8,9-29,8
|
37,1-45,4
|
0,030
|
|
|
|
1.98
|
240 36I
|
24,42
|
17,08
|
41,31
|
|
|
15
|
Глины тонко сланцеватые
|
D2-3
|
2.13
|
18/23
|
|
|
|
0.069
|
Примечания к табл. 1.2.:
1)Номера инженерно-геологических элементов соответствуют ранее принятым
ВИОГЕМ и показанным на рис. 1.5.
2)Удельное сцепление мелов определено с учетом коэффициента структурного
ослабления.
3) В числителе приведены пределы значений показателей, в знаменателе -
среднее.
Таблица 1.3 Физико-механические свойства вмещающих рудно-кристаллических
пород
|
Наименование породы
|
Показатели физико-механических свойств
|
|
Плотность, кг/см3
|
Прочность на сжатие, усж, МПа
|
Прочность на растяжение урас, МПа
|
Удельное сцепление, МПа
|
Угол внутреннего трения, град.
|
Модуль упругости, Е∙ 104 МПа
|
Крепость по шкале проф. М.М. Протодьяконова
|
|
Сланцы: кварц-биотитовые, кварц-серицит-биотитовые
|
|
|
|
|
|
|
|
|
плотные
|
2800
|
53-86
|
6,4
|
16,2
|
34
|
8,4
|
10-14
|
|
трещиноватые
|
|
37-55
|
2,7
|
12,7
|
28
|
|
9-11
|
|
Кварцитопесчаники
|
2650
|
64-102
|
12,7
|
17,3
|
28
|
8,1
|
8-10
|
|
Кварциты, железистые кварциты
|
3450
|
|
|
|
|
|
|
|
плотные
|
|
122-148
|
15,6
|
44,9
|
37
|
11,1
|
16-18
|
|
трещиноватые
|
|
83-133
|
|
|
|
|
14-16
|
|
Амфиболиты
|
2720
|
97-128
|
|
|
32
|
|
12-14
|
|
Кварцевые порфиры, диорит-порфиры
|
2600
|
76-102
|
9,2
|
|
34
|
|
11-14
|
Из таблиц видно, что:
.Толща осадочных пород по сопротивлению сдвигу неоднородна.
.Относительно низкие сопротивления сдвигу отмечены у четвертичных
суглинков, апт-альб-сеноманских песков, юрско-неокомских отложений и
переотложенных песчано-глинистых отложений.
. Наиболее слабыми являются обводненные переотложенные песчано-глинистые
отложения.
. При обводнении песчано-глинистых отложений (в целике и переотложенных)
их сопротивление сдвигу уменьшается на 20-22%.
Из анализа результатов научно-исследовательских работ,
выполненных в предыдущие годы на Лебединском карьера, следует, что в осадочной
толще относительно неустойчивыми являются откосы в юрско-неокомских породах,
сеноман-альбских песках и четвертичных отложениях, выполняющих древние ложбины
стока.
Процессы выветривания и сопровождающие их осыпи и
обрушения активно проявляются на верхних горизонтах в мергельно-меловой толще
(крупноглыбовые обрушения в откосах с углами наклона 70-80°) и нижележащих
меловых отложениях с густой сетью мелких трещин (щебенчатые осыпи).
В песчаных отложениях в результате процессов
выветривания, суффозионной и эрозионной деятельности подземных и поверхностных
вод, осыпания уступы при длительном стоянии сдваиваются, страиваются. Это
происходит на непригруженных участках борта, несущих в основании водный поток.
Происходящие при этом суффозионные процессы приводят к выносу песчаного
материала, формированию конусов выноса.
Эрозионная деятельность поверхностных и техногенных
вод в наибольшей степени проявляется на уступах в сеноман-альбской толще при
весенних паводках и ливнях, при прорыве водоводов и пульповодов комплексов
гидромеханизации формируются эрозионные врезы и в меловых отложениях.
Выше депрессионной поверхности подземных вод в
пределах отметок от 135-155 м до 93-102 м в песках и мелах фактический угол
наклона борта составляет 35-49°, что свидетельствует о «подработке» борта в
рыхлой толще происходящими деформациями.
Основные причины происходящих деформаций:
относительно низкая прочность обводненных песков;
обводнение нижней части песков и отложений неокома;
воздействие концентрированных потоков поверхностных
вод и техногенных вод в связи с порывами водоводов и пульповодов
гидромеханизации.
Эрозионные процессы активно развиваются также в
четвертичных отложениях, где наблюдаются эрозионные врезы глубиной до 10-12 м.
При дальнейшем развитии процессов выветривания в
приоткосных массивах, сложенных суглинками и мелами, возможны нарушения
устойчивости уступов в виде обрушений верхних частей откосов уступов и
локальных оползней и, следовательно, сокращение ширины берм.
Физико-механические свойства рудно-кристаллических пород, по которым
проходятся подземные горные выработки дренажного комплекса, приведены в таблице
2.4.
.6 Оценка исходных данных для проектирования
На основании геологической карты Лебединского месторождения, а также фактических
данных по пройденным выработкам шахты вдоль трассы штрека 9ый диагональный
предполагается втретить от сопряжения с Южным штреком следующие породы:
до 640м кварцевый порфир от серого до темно-серого цвета,
среднезернистый, различной степени трещиноватости, от сухого до обводненного в
виде капежа различной интенсивности, крепкий, в основном устойчивый.
Коэффициент крепости по М.М. Протодьяконову f=15
от 640м и до конца выработки кварцитопесчаник серого цвета, различных
оттенков, средне-мелкозернистые, различной степени трещиноватости и
выветрелости, средней крепости и устойчивости. Коэффициент крепости по
протодьяконову f=15-17
Геологических нарушений, на основании ранее полученных данных разведки не
выявлено, но по трассе выработки возможна встреча даек диорит-порфирового
состава и рассланцевания ослабленных зон в песчаниках. При водопроявлениях в
них возможны вывалы в кровле и стенках выработки, где необходимо
предусматривать крепление при их проходке.
Выкопировка
с геологической карты М-1:100000 и разрез вдоль трассы выработки 
прилагается.
Рис.
1.5
Основными
исходными данными при составлении проекта явились данные предшествующих
геолого-разведочных работ, научных исследований и инженерно-геологических
изысканий, а также статистические данные режимных наблюдений по системе
осушения Лебединского карьера за период 1998-2003 гг., представленные
Лебединским ГОКом.
Они
включают:
- Данные об уровнях основных водоносных горизонтах в
наблюдательных скважинах
- Данные об объемах отбора воды и уровнях в скважинах водозаборов;
- Данные о дебите дренажных устройств подземного дренажного
комплекса;
- Данные об общем водопритоке к карьерному водоотливу.
Исходных данных можно считать достаточными для общего описания условий
строительства и эксплуатации подземного дренажного комплекса.
Однако необходимо отметить, что так и не пробурены все необходимые
инженерно-геологические скважины по трассе проектируемого юго-восточного штрека
в районе Южно-Лебединского участка, а именно он представляет наибольшие
сложности при проходке дренажных выработок.
Кроме того, сеть наблюдательных гидрогеологических скважин недостаточно
развита на юго-востоке, между Лебединским и Стойленским карьерами, и на севере
- за р. Осколец, что не позволяет наиболее полно оценить размеры депрессионной
воронки и ее влияние на состояние подземных вод в районе месторождения.
Таким образом, на стадии дальнейшего проектирования, для подтверждения
или корректировки принятых решений необходимо проведение дополнительных работ
по развитию сети наблюдательных скважин.
.7 Система осушения карьера
Основными требованиями к осушению карьера в период эксплуатации являются
обеспечение устойчивости бортов карьера, исключение оползневых деформаций
уступов на рыхлой вскрыше, обеспечение допустимого уровня развития суффозионных
процессов, создание благоприятных и безопасных условий для эффективного ведения
вскрышных и буровзрывных работ, для чего необходимо максимально перехватить
поток подземных вод в альб- сеноманском водоносном горизонте за границами
горных работ и отвести «проскок», проникающий между дренажными устройствами
внешнего контура.
Внешний дренажный контур на стадии строительства состоял из
водопонижающих скважин, на стадии эксплуатации в настоящее время представлен
подземным дренажным комплексом включающим дренажный штрек с восстающими
дренажными скважинами и сквозными фильтрами.
Подземный дренажный комплекс в настоящее время представлен
горизонтальными дренажными выработками общей протяженностью около 35 км, из
которых пробурено 223 восстающих скважины (в том числе 132 рабочих дренажных и
33 скважины системы хозпитьевого водоснабжения (ХПВ) и пожаротушения) и
работают 8 сквозных фильтров. Производительность восстающих дренажных скважин в
начальный период составляет десятки м3/час (30-150 м3/час),
в связи с кольматацией фильтров со временем уменьшается до 1-20 м3/час.
Производительность сквозных фильтров на сегодня составляет от 1 до 10 м2/час.
Суммарный приток к дренажным устройствам внутреннего контура,
сбрасываемый по водосбросным скважинам в подземный дренажный комплекс составил
в 2003 году 3282 м3/час.
Осушение рудно-кристаллического водоносного горизонта осуществляется при
помощи открытого водоотлива карьера, который составил в 2003 году 330,1 м3/час
(в том числе незарегулированный приток - 118,4 м3/час) и подземных
дренажных выработок.
Баланс водопритоков в карьер ЛГОКа определяется следующими факторами:
естественным потоком подземных вод альб-сеноманского водоносного горизонта
(основной фактор), фильтрацией из хвостохранилища ЛГОКа, а также р. Осколец и
гидроотвал «Березовый Лог».
Баланс водопритоков в систему осушения Лебединского карьера, рассчитанный
по результатам обследования и предыдущих работ приведен в таблице ниже.
Таблица 1.4 Баланс водопритоков в карьер ЛГОКа
|
Борт карьера
|
Источники поступления воды в карьер
|
Доля водопритока по источнику, %
|
Величина водопритока, м3/ч
|
|
Западный
|
Естественный поток из альб-сеноманского водоносного
горизонта
|
100
|
1673
|
|
Юго-западный
|
Естественный поток из альб-сеноманского водоносного
горизонта
|
85
|
865
|
|
Инфильтрация из гидроотвала «Березовый Лог»
|
15
|
|
|
Южный
|
Естественный поток из альб-сеноманского водоносного
горизонта
|
35
|
514
|
|
Инфильтрация из хвостохранилища ЛГОКа и прудка ГБЖ
|
65
|
|
|
Восточный
|
Естественный поток из альб-сеноманского водоносного
горизонта
|
100
|
714
|
|
Северо-восточный
|
Естественный поток из альб-сеноманского водоносного
горизонта
|
60
|
2164
|
|
Северный
|
Инфильтрация из отвала № 2 и Старооскольского водохранилища
|
14
|
|
|
Северо-западный
|
Инфильтрация из р. Осколец и резервной емкости ОАО
«КМАруда»
|
26
|
|
Проведенный анализ степени осушенности, состояния борта и достаточности
существующих дренажных устройств по периметру карьера показал, что по этим
параметрам могут быть выделены отдельные участки борта (ленты тока), сходные по
состоянию и параметрам осушения:
- юго-восточный, южный и западный борта Южно-Лебединского карьера от
сопряжения Южного и 2 Восточного штреков на востоке до вентсбойки Западного
штрека и Штрека 4-2 на северо-западе протяженностью ~ 2100 м;
- западный борт Лебединского карьера к северу от участка 1 до 6
Водосбросного штрека протяженностью ~ 1400 м;
- северо-западный борт Лебединского карьера к северу от участка 2
протяженностью ~ 1200 м;
- северо-западный борт Лебединского карьера к северу от участка 3 до
перегиба Восточного штрека на севере протяженностью ~ 800 м;
- северо-восточный участок борта Лебединского карьера от северного угла
Восточного штрека протяженностью ~ 1200 м.
- северо-восточный участок борта Лебединского карьера юго-востоку от
участка 5 до ствола № 5 протяженностью ~ 900 м.
- восточный участок борта Лебединского карьера югу от участка 6
протяженностью ~ 900 м.
- юго-восточный участок борта Лебединского карьера юго-западу от участка
7 до Южно-Лебединского карьера протяженностью ~ 1100 м.
- северная част восточного борта Южно-Лебединского карьера протяженностью
~ 1000 м.
Указанные участки можно объединить в три группы по состоянию осушенности
борта и эффективности работы дренажной системы:
группа - участки 1, 7, 8, 9, на которых удельный приток к борту
составляет 0,03-0,114 м3/час/п.м. и в среднем не превышает
допустимого (по рекомендациям ВНИМИ для сеноманских среднезернистых песков
Лебединского месторождения эта величина по расчету равна 0,106 м3/ч/м.)
и эффективность работы внешнего дренажного контура составляет 68-81 %. На этих
участках в настоящее время не требуется сооружения дополнительных дренажных
устройств.
группа - участки 4, 5, на которых удельный приток к борту составляет
0,152-0,158 м3/час/п.м., что незначительно превышает допустимый, а
эффективность работы внешнего дренажного контура составляет 55-71 %.
группа - участки 2, 3 6, на которых удельный приток к борту составляет
0,261-0,516 м3/час/п.м. в несколько раз превышая допустимый (0,106 м3/час/п.м.),
а эффективность работы внешнего дренажного контура составляет 43,5-53 %. На
этих участках уже в настоящее время требуется сооружения дополнительных
дренажных устройств.
Кроме того, при продвижении фронта горных работ и углублении карьера
часть существующих дренажных устройств внутреннего дренажного контура попадают
в зону подработки карьера. В связи с этим, для обеспечения нормального ведения
горных работ и поддержания необходимого снижения уровня подземных вод в
альб-сеноманском водоносном горизонте, необходимо сооружение дополнительного
количества дренажных устройств взамен выбывающих из строя.
На основании выполненных расчетов и моделирования установлено, что для
обеспечения защиты III-ей очереди Лебединского
карьера от подземных вод необходимо дальнейшее развитие системы осушения.
горный порода выработка буровзрывной
Глава 2. Проект горнопроходческих работ
.1 Назначение и местоположение проектируемой выработки
Дренажные подземные горные выработки служат для приема и транспортировки
воды от восстающих дренажных и водосбросных скважин, а также непосредственно
для дренирования подземных вод рудно-кристаллического водоносного горизонта.
Проектом предусматривается проходка Юго-восточного штрека за контуром
карьера на конец отработки для полного замыкания кольца дренажных выработок
вокруг карьера и трех диагональных штреков (9-ый и 10-ый Диагональные и 16-ый
Водосбросной) для приема воды из карьера.
Общая длина вновь проходимых выработок составляет 10580 м, в том числе:
Юго-восточный штрек - 5180 м, Западный штрек и вент. сбойка № 4 - 950 м, 9-ый
Диагональный -1710 м, 10-ый Диагональный - 1330 м, 16-ый Водосбросной - 1410
м,.
Для изучения горно-геологических условий по трассе выработок и
предотвращения внезапных прорывов воды в дренажные выработки при проходке
предусматривается бурение опережающих шпуров длиной 6,0 м.
Горизонт заложения выработок определяется отметками существующих
дренажных выработок и направлением уклонов для отвода воды.
Дренажные выработки проходятся с уклоном 0,005-0,0015 в сторону
водоотливных комплексов стволов № 4 и №5. Часть выработок: участки 16-го
водосбросного, 9-го и 10-го диагонального штреков будут проходиться встречными
забоями, при этом забои со стороны Южного штрека будут проходиться с обратным
уклоном. При этом через 300 м сооружаются и оборудуются камеры временных
насосных станций для организации временного водоотлива. Насосные станции
оборудуются насосными агрегатами Д-200.
На участках выработок с обратным уклоном для отвода дренажных вод при
проходке монтируются напорные трубопроводы Æ 159-219 мм от перекачных насосных станций до пересечения с
выработкой, имеющей нормальный уклон.
Через 60 м по длине штреков сооружаются камеры для бурения восстающих
дренажных скважин, которые в период проходки используются как разминовки.
Количество камер определено гидрогеологическими расчетами по необходимому
количеству дренажных скважин. Сечения камер и объем работ приведены на черт.
П484-00-ГР, лист 2.
Участковые подземные подстанции (УПП) располагаются вдоль дренажного
штрека через 300 м со стороны, противоположной камерам для бурения скважин.
Крепление камер УПП и для бурения скважин аналогично креплению основной
выработки в данном месте.
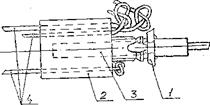
2.2 Комплекс проходческого оборудования
Система горных машин, обеспечивающая механизацию всех основных операций
процесса проведения горных выработок, включая разрушение массива, погрузку,
транспортировку горной массы и крепление выработки должна быть тщательно
выбрана из условий проходки камеры, иметь простое управление и легко чиниться.
В комплекс проходческого оборудования входят: бурильная установка УПБ-1,
вагонетки ВГ-1,2,погрузмашина ППН-1с, электровоз 4,5АРП-2М , погрузочной
машины.
Бурильная установка
Проходка осуществляется буровзрывным способом с применением для бурения
шпуров установки УПБ-1 и переносной перфоратор ПП-63 с.
Таблица 1.5 Установки УПБ-1
|
Глубина бурения без замены штанги, м
|
2,25
|
|
Усилие, Кн
|
|
|
Подачи
|
1,4
|
|
Распора
|
2
|
|
Ход подачи, мм
|
1300
|
|
Высота установки, мм:
|
|
|
Без удлинителями
|
1800-2400
|
|
С удлинителями
|
2400-3000
|
Таблица 1.6 Перфоратор ПП-63
|
Показатели, единицы измерения
|
Величина
|
|
Энергия удара, Дж
|
63
|
|
Частота ударов, с-1
|
30
|
|
Крутящий момент, Н·м
|
26,5
|
|
Расход воздуха, м3/мин
|
3,8
|
Уборка отбитой горной массы производится погрузочной машиной ППН-1с в
вагонетки ВГ-1,2 .
Транспортирование горной массы осуществляется аккумуляторными
электровозами 4,5АРП-2М
Для погрузки разрыхленной взрывом породы, будем применять погрузочную
машину ковшового типа, на колесно-рельсовом ходу, и имеющую сравнительно
небольшие размеры. Погрузка породы будет производиться породопогрузочной
машиной ковшового типа ППН-1с
Таблица 1.7 Погрузочная машина ППН-1с
|
Показатели
|
Величина
|
|
Производительность, м3/мин
|
1.0
|
|
Вместимость ковша, м3
|
0.25
|
|
Габариты, мм:
|
|
|
Ширина
|
1320
|
|
Длина
|
2250
|
|
Высота
|
2250
|
|
Колея, мм
|
600; 750; 900
|
|
Фронт погрузки, мм
|
2200
|
Отбитая горная масса будет грузиться в вагонетки типа ВГ-1,2. Для обмена
груженых вагонеток используется тупиковая разминовка.
Таблица 1.8 Вагонетка ВГ-1,2
|
Показатели, единицы измерения
|
Величина
|
|
Вместимость кузова, м3
|
1,2
|
|
Габариты, мм:
|
|
|
Длина
|
1910
|
|
Ширина
|
1010
|
|
Высота
|
1350
|
|
Жесткая база, мм
|
550
|
|
Масса, т
|
0.75
|
Для настила рельсовых путей применяются рельсы Р-24. На расстоянии до 255
м от забоя укладывается временный путь на металлических шпалах. При продвижении
забоя производится переукладка пути в постоянное положение на металлические
шпалы.
Таблица 1.9
|
Масса 1м рельса, кг
|
24,04
|
|
Размеры, мм:
|
|
|
Высота
|
107
|
|
Ширина подошвы
|
92
|
|
Ширина головки
|
51
|
|
Толщина шейки
|
10,5
|
|
Длина рельса, мм
|
8000
|
Для прокладки трубопроводов сжатого воздуха применяются металлические
трубы Æ 108-159 мм.
Глава 3. Проходка выработки
.1 Оценка устойчивости горных пород на контуре сечения выработки
Исходные данные необходимые для оценки устойчивости контура поперечного
сечения:
коэффициент крепости по Протодьяконову f = 17;
объемная плотность пород с, кг/м3 = 2650 кг/м3;
глубина заложения выработки Н = 100 м;
коэффициент длительной прочности массива пород о = 0,9;
коэффициент Пуассона м = 0,25.
1. Ориентировочно определяется прочностные характеристики горных
пород :
Предел
на сжатие 
;
Предел
на растяжение 
.
.
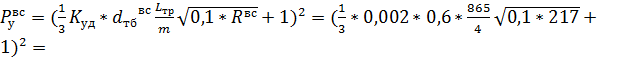
Вычисляем показатель устойчивости контура горной выработки:
.
При Пу<0,05 выработка может проходиться без крепления, но
окончательно этот вопрос может быть решен лишь после определения запаса
устойчивости в боках и кровле выработки. На некоторых участках в зонах
тектонических нарушений и повышенной трещиноватости пород, будет применятся
набрызг-бетонная крепь.
.
Принимаем форму поперечного сечения первичной выработки (рисунок 3.1 ).
b=2900 мм, hб=2500мм, h=3465 мм, R=2010
мм, r=760мм, S=9,4 мІ .
Рисунок.
3.1
.
Определяем значение коэффициентов для расчетов запаса устойчивости боков и
кровли:
коэффициент
концентрации напряжений в боках выработки К1=2,5;
коэффициент
концентраций напряжений в кровле К2=0,3;
коэффициент
бокового распора 
;
коэффициент
структурного ослабления пород Кс, значение которого зависит от
трещиноватости горных пород. Так как категория трещиноватости равна III,
то Кс=0,7.
7. Определяются максимальные и минимальные напряжения на контуре горной
выработки, МПа:


.
.
Вычисляются пределы прочности массива пород на сжатие и растяжение:

;

.
. Рассчитывается коэффициент запаса устойчивости боков nб и кровли nкр:
10.
По полученным значением nб и nк можно окончательно определиться в необходимости
крепи. Так как показатель устойчивости 
<
0,05 и коэффициенты запаса устойчивости в кровле и боках > 3, выработка
проходится без крепи.
3.2 Расчет параметров паспорта буровзрывных работ
. Глубину шпуров находим по формуле:
Где L - длина выработки, по заданию L = 200 м;
Т - время на сооружение выработки, по заданию Т = 1,2 мес;
n -
число рабочих дней в месяце, примем n = 25 дней;
m -
число смен в сутках, примем m = 4
смены;
k -
число циклов за смену, примем k = 1
цикл;
з - коэффициент использования шпура(КИШ), удовлетворительным значением
КИШ можно считать з = 0,95 для пород с коэффициентом крепости f = 17;
Рассчитываем продвигание забоя за цикл (длина уходки):
.Определяется коэффициент крепости горных пород с поправкой проф.
Л.И.Барона на их разрушаемость взрывом:
.Определяется удельный расход эталонного ВВ на разрушение породы в
контурах воронки нормального выброса, кг/м3:
.Вычисляются коэффициенты относительной работоспособности взрывчатого
вещества p и зажима пород w:
Где: А- работоспособность принятого ВВ, см3, а 360 см3
- эталонного ВВ;
lшп - длина шпура, м; Sч - площадь поперечного сечения выработки вчерне.
.Определяется удельный расчетный расход ВВ. кг/м3;

=1,32*1,5*1*0,98=1,94
Где:
f’ - коэффициент структуры, учитывающий влияние
структурных особенностей породы.
.По
формуле Н.М. Покровского определяется количество шпуров в забое:
Принимаем
для дальнейших расчетов 28 шпуров.
Где:
d - диаметр патрона ВВ, м; свв - плотность
ВВ в заряде, кг/м3; Кз - коэффициент заполнения шпура ВВ.
Шпуровой
комплект
Под
типом вруба понимается характер размещения врубовых шпуров в породном массиве.
Для обеспечения наиболее благоприятных условий для разрушительного воздействия
на породу взрывом, достижения определенной степени кусковатости и условий для
эффективной работы бурильной машины применим комбинированный вруб (рис. 3.2).
Отбойные шпуры расширяют образованную ранее врубовую полость.
Отбойных шпуров 4 штуки.
Взрывание оконтуривающих шпуров придает выработке проектный контур.
Оконтуривающих шпуров 14 штук. Схема размещения шпуров представлена на рисунке
3.2. .
Линию наименьшего сопротивления выбираем по работоспособности взрывчатого
вещества и крепости пород - W=0,55м.
Рис. 3.2. Конструкция вруба.
Расстояние
от почвы до шпуров принимаем 300 мм, а у кровли и по бокам - 150мм. Забои
оконтуривающих шпуров должны располагаться на линии контура проектного сечения
выработки (при f
12).
Глубина отбойных и оконтуривающих шпуров принимается одинаковой - 1 м, а
врубовые шпуры бурятся длиннее на 10%-1,1 м.
.
Расход взрывчатого вещества на один цикл, кг:
Где: q - удельный расчетный расход
взрывчатого вещества, кг/м3; Sч - площадь поперечного сечения выработки вчерне, м2;
lшп - глубина шпуров, м.
.Средняя масса одного заряда в шпуре:
.Определяем массу заряда каждого из шпуров (врубового, оконтуривающего,
отбойного). Масса врубовых принимается больше средней на 10-15%.
. Масса всех врубовых шпуров равна:
. Масса отбойных и оконтуривающих зарядов составит:
. Масса зарядов в отбойном и оконтуривающем шпуров можно принять равной:
13.
Зная массу каждого заряда 
и
патрона m, можно определить количество патронов в каждом шпуре:
.
Уточненный заряд каждого шпура:
Рис. 3.3. Схема размещения шпуров.
15. Длина шпурового заряда:
Где: lп - длина одного патрона, м.
Конструкции врубовых и оконтуривающих (отбойных) зарядов представлена на
рис. 3.4.
Рис. 3.4. Конструкция врубового и оконтуривающего (отбойного) заряда.
Как видно из рисунка 3.4. при проходке выработки для взрывания зарядов,
опираясь на опыт проходчиков на дренажной шахте ЛГОКа, будет применяться обратное
инициирование.
В соответствии с ЕПБ при взрывных работах при обратном инициировании дно
гильзы детонатора должно быть обращено в сторону устья шпура.
При размещении в шпурах зарядов с обратным инициированием взрывник должен
работать с особой осторожностью. Обратное инициирование по сравнению с прямым
обладает определенным преимуществом по воздействию взрыва на разрушаемый массив
горных пород. Прежде всего при обратном инициировании увеличивается время
воздействия высокого давления газообразных продуктов взрыва на разрушаемую
среду. Следовательно, это направление распространения детонации особенно
целесообразно при отбойке пород с выраженными пластическими свойствами.
Обратное инициирование предпочтительно при взрывании плотных, крепких горных
пород.
Заряжание шпуров производится вручную при помощи деревянного забойника, с
забойкой.
. Фактический коэффициент заполнения шпуров взрывчатым веществом:
. Длина забойки в шпуре составит:
17. Уточненный расход взрывчатого вещества на цикл:
. Уточненный удельный расход взрывчатого вещества:
Где: з - коэффициент использования шпура.
Таблица 3.1. Основные показатели буровзрывных работ.
|
Название
|
Единица измерения, название
|
Количество
|
|
Наименование выработки
|
9й диагональный штрек
|
|
|
Глубина заложения
|
м
|
100
|
|
Площадь сечения
|
м2
|
9,4
|
|
Длина выработки
|
м
|
855
|
|
Продвигание забоя за цикл
|
м
|
1
|
|
Объем отбиваемой породы за цикл
|
м3
|
15,98
|
|
Взрывчатое вещество
|
Аммонит №6 ЖВ
|
|
|
Способ инициирования
|
Обратное
|
|
|
Способ взрывания
|
СИНВ
|
|
|
Наименование вруба
|
|
|
|
Материал забойки
|
глина
|
|
|
Диаметр шпуров
|
мм
|
38
|
|
КИШ
|
|
0,85
|
|
Число шпуров за цикл
|
|
24
|
|
Расход ВВ за цикл
|
кг
|
20,4
|
|
Расход ВВ на 1 м3
|
кг
|
2,5
|
3.3 Выбор способа и средств инициирования
Существует несколько способов инициирования, такие как огневое взрывание,
электрическое инициирование, с помощью детонационного шнура и др. Кратко
рассмотрим некоторые из них и выберем наиболее подходящий для условий ЛГОК.
Электрическое взрывание. Позволяет взрывать больше зарядов и может
применяться почти в любых условиях ведения взрывных работ, включая
использования в шахтах, опасных по газу пыли и труднодоступных газов,
выделяемых при горении ОШ, в производстве взрыва с любого расстояния, в
обеспечении одновременного взрывания зарядов, а также с интервалами по сериям и
т.д. Недостатки данного способа взрывания заключается в сложности подготовки
электросетей, сращивания проводов, в опасности при ликвидации отказавших
зарядов и взрява от блуждающих токов, высокой стоимости средств взрывания.
Электрическое взрывание- способ с помощью электродетонаторов, включенных
в электровзрывную сеть. Совокупность электродетонаторов с проводами,
соединяющими их между собой, и источником тока называется электровзрывной
сетью. Начальным импульсом служит электрический ток. К принадлежностям
электрического взрывания относятся взрывные машинки и приборы, а также
контрольно-измерительные приборы. В систему электровзрывания входят также
провода или кабели и соединительная арматура.
Электродетонаторы. По времени срабаиывания после подачи электрического
импульса во взрывную выделяют электродетонаторы мгновенного действий.
Электродетонатор мгновенного действия (рис 3.4а) представляет собой
капсюль-детонатор с закреплённым в нем (в дульце гильзы) электровоспламинителем
(ЭВ), имеющем следующие устройство (3,4б).
Рис. 3.5. Электродетонатор мгновенного действия (а) и
корокороткозамедленного действия (б): 1-пластиковая пробка; 2-антистатический
экран; 3-электровоспламенитель; 4-гильза; 5-шёлковая сетка; 6 и 7 -
зажигательный и замедляющий состав; 8-чашечка; 9 и 10- первичное и вторичное
ВВ.
Два изолированных провода (медные, реже железные или биметаллические)
длиной 2…4 м и диаметром 0,5…0,6 мм свиты вместе на длину 5…10 см. Кончики их
на 5…10 мм очищены от изоляции и разведены в виде вилочки, к концам которой
припаян металлический мостик накаливания, длиной 2…4 мм и диаметром 30…35 мк из
нихрома (сплава никеля с хромом). Крепление мостика к проводам может быть
эластичное и жесткое. Мостик и часть зачищенной вилочки покрыты
легковоспламеняющимся твёрдым составом, который охватывает их в виде крупной
твердой капли (воспламенительной головки).
Электровоспламенитель закрепляется в дульце капсюля-детонатора
пластиковой пробкой и обжатием гильзы. Когда по проводам пропускается ток,
мостик накаляется, разогревается и воспламеняет головку. Ее пламя почти
мгновенно вызывает взрыв первичного ВВ, которое возбуждает Первый слой : смесь
роданистого свинца (50 массовых частей), бертолетовой соли (50 частей),
свинцового сурика (1 часть) и склеивающего вещества- 4%-ного нитролака. Второй
слой: смесь бертолетовой соли (78 массовых частей) с древесным углем (22 части)
и склеивающего вещества- 26%-ного водного раствора столярного клея.
Воспламенительную головку лакируют нитролаком.
Электроогневое взрывание. При электроогневом взрывании зарядов
применяются капсюль-детонаторы, огнепроводный шнур, электрозажигательные
патроны и принадлежности: взрывые провода или кабели или соединительная
арматура. Начальным импульсом служит электрический ток.
Электрозажигательный патрон представляет собой гильзу из тонкого картона,
на дне которых находится слой из смеси пороха, парафина и канифоли. В донную
часть вмонтирован электровоспламенитель. При использовании электрозажигательных
патронов в гильзу вводят шнуры зажигательных трубок, идущие из расположенных
вблизи шнуров. Гильзу с пучком шнуров плотно обвязывают шпагатом. Провода
электровоспламенителя подключают к магистральным проводам, из укрытия включают
ток. Вспыхивает электровоспламенитель, от его пламени загорается воспламеняющая
смесь, а последняя зажигает пороховые сердцевины огнепроводных шнуров
зажигательных трубок.
Электроогневое взрывание осуществляется также в случае использования
зажигательных патронов, когда воспламеняющая смесь загорается с помощью отрезка
ОШ, поджигаемого электрозажигательной трубкой.
Бескапсюльное взрывание. При бескапсюльном взрывании заряды ВВ
инициирующим ВВ (ТЭН), двух-трех оплёток, покрытых парафином и окрашенных в
красный цвет или двумя красными нитями, что отличает его по внешнему виду от
огнепроводного шнура. Взрывание от детонирующего шнура безопаснее
электровзрывного. Применяется при взрывании скваженных и котловых зарядов; во
всех случаях, когда по условиям безопасности (наличие блуждающих токов) нельзя
использовать электровзрывание; при взрывании шпуровых зарядов по подошве уступа
и негабарита.
Детонирующий шнур взрывают от капсюля-детонатора или электродетонатора. В
этих целях его соединяют к шнуру изоляционной лентой или шпагатом. Для передачи
взрыва от одного отрезка шнура к другому их связывают морским узлом или
внахлёстку так, чтобы шнуры соприкасались на участке длиной не менее 10 см.
Детонирующий шнур можно резать острым ножом на деревянной подкладке.
Работа с ним и монтаж взрывной сети просты и безопасны. Шнур имеет хорошую
изоляцию, что обеспечивает его водонепроницаемость при при нахождении в воде в
течение 12ч. Он не выдерживает действия солнечных лучей и хранения в тёплом
месте, так как при этом оплавляется изоляция и обнажается ВВ.
Неэлектрическая схема инициирования.
Зарубежные фирмы (США, Швеция, Китай) разработали и широко применяют
неэлектрические схемы инициирования, основанные на передаче ударной волны по
трубчатому пластикатному высокопрочному волноводу со скоростью до 2 км/с. Это
достигается за счет покрытия (напыления) внутренней его поверхности тончайшим
слоем ВВ (типа тэна или ок-
тогена) с добавками тонкодисперсного алюминия. Масса навески ВВ
составляет на 1 м волновода около 50 мг. Один конец волновода запаян, а на
другом смонтирован герметический детонатор. Инициирование ударной волны в
волноводе производится с помощью специальных пистолетов-стартеров, снаряжаемых
капсюлями типа «Жевело» (Швеция), электрическим импульсом от взрывной машинки
(Китай). Перед взрывом запаянный конец волновода обрезается. Инициирование возможно
обычным КД и ЭД или петлей ДШ. Обрезка конца волновода не требуется,
производится инициирование одновременно 20 и более волноводов, так как
инициирование аналогично принципу применяемому для ДШ.
В подземных условиях при использовании ВВ обычной чувствительности ВВ
инициируют детонаторами нормальной мощности, а в случае применения
гранулированных водосодержащих ВВ, особенно на открытых горных работах,
применяют промежуточные детонаторы, например. прессованные шашки, в которые
устанавливают, как правило, два детонатора.
Системы удобны в монтаже, надежны и безопасны и широко используются в
горной промышленности зарубежных стран.
Детонатор нормальной мощности безотказно инициирует все ВВ нормальной
чувствительности. Состоит из алюминиевого корпуса - стакана, на дно которого
запрессованы заряды вторичного и первичного инициирующих ВВ; в алюминиевой
трубке запрессован замедляющий состав, чувствительность которого обеспечивает
его поджигание пламенем, распространяющимся в волноводе. Входящий волновод
герметично закрепляется в дульце детонатора с помощью резиновой трубки.
В отечественной и зарубежной практике применяют различные типы систем
неэлектрического инициирования зарядов ВВ.
В нашем проекте предусматривается применение неэлектрической системы
инициирования СИНВ.
Так как породы крепкие (f=17),
целесообразно применять обратный способ инициирования с применением
неэлектрических систем инициирования СИНВ-Ш-К и СИНВ «Старт-Ш», предназначенной
для инициирования взрывных сетей, смонтированных с применением детонирующего
шнура.
Система СИНВ - это отечественная неэлектрическая
система инициирования повышенной безопасности на основе ударно-волновой трубки
(УВТ), не содержащая инициирующих взрывчатых веществ.
Система СИНВ разработана в России Государственным
научно-производственным предприятием «Краснознаменец», Государственным
унитарным предприятием «Новосибирский механический завод «Искра» и открытым
акционерным обществом «Нитро-Взрыв». Система прошла весь цикл промышленных
испытаний на горнорудных и угольных предприятиях страны и допущена
Госгортехнадзором РФ к постоянному применению разрешением № 04-35/481 от
28.07.98 для взрывных работ на земной поверхности в подземных рудниках и
угольных шахтах, где допущено применение непредохранительных ВВ II класса.
Система СИНВ выпускается в двух вариантах:
для взрывных работ на земной поверхности (содержит
устройства, инициирующие с замедлением и поверхностные заряды СИНВ-П и
устройства, инициирующие с замедлением скважинные заряды нормальной
термостойкости СИНВ-С-Н или повышенной термостойкости СИНВ-С-Т);
для взрывных работ в подземных рудниках и угольных
шахтах, где допущено применение непредохранительных ВВ II класса (содержит устройства, инициирующие с замедлением
шпуровые заряды СИНВ-Ш).
Система СИНВ имеет следующие достоинства:
высокий уровень управляемости массовыми взрывами,
достигаемый за счет использования индивидуального замедления взрывания каждого
скважинного или шпурового заряда и широкого выбора времени замедления;
исключение подбоя взрывной сети и возможность оптимизации
поверхностных замедлений благодаря применению внутрискважинного замедления;
эффективное использование «донного» инициирования
скважинных зарядов, в том числе высокочувствительных, так как проводник
сигнала, используемый в системе (УВТ), не имеет бокового энерговыделения и не
оказывает отрицательного воздействия на окружающий его скважинный заряд;
исключение возможности «обратного» инициирования, то
есть передачи инициирующего сигнала во взрывную сеть при несанкционированном
взрыве скважинного заряда;
высокая стойкость к механическим воздействиям,
обеспечиваемая исключением из состава элементов системы инициирующих взрывчатых
веществ;
нечувствительность к электрическим и электромагнитным
воздействиям;
низкий сейсмический эффект, обусловленный незначительной
массой взрывчатого материала в УВТ и разновременностью срабатывания скважинных
или шпуровых зарядов.
По своим техническим характеристикам она является
аналогом системы «Нонель» фирмы «Динашок».
Конструкция
Система СИНВ
Устройства системы СИНВ-П, СИНВ-С и СИНВ-Ш
представляют собой отрезок ударно-волновой трубки (УВТ), герметично соединенный
с помощью эластичного уплотнения (резиновой втулки) с капсюлем-детонатором (КД)
мгновенного действия или с замедлением. В состав устройства СИНВ-П, кроме того,
входит монтажный элемент - фиксатор, закрепленный на КД.
УВТ изготавливается по патенту России № 2089630 из
специальных сортов пластмасс, выдерживающих высокие механические и тепловые
нагрузки, устойчивых к воздействию агрессивных сред и обладающих хорошими
адгезионными свойствами относительно реактивных материалов, применяемых в УBT. Она представляет собой гибкую
пластиковую трубку, состоящую из нескольких слоев. На внутреннюю поверхность
трубки нанесен взрывчатый материал, зажигание которого инициирующим импульсом
приводит к образованию устойчивого процесса, распространяющегося внутри трубки
со скоростью около 2 км/с. Боковое энерговыделение у УВТ отсутствует. Давление
в потоке продуктов, распространяющегося по трубке, не превышает 5 МПа, что
достаточно только для инициирования специального КД. Поэтому УВТ служит только
для трансляции инициирующего импульса к КД.
УВТ производится в трех исполнениях:
зеленого цвета - для устройств СИНВ-С-Т (3.6.1);
красного цвета - для устройств СИНВ-П (рис.3.6.2);
желтого цвета - для устройств СИНВ-Ш и СИНВ-С-Н (рис.
3.6.3);
Рис.3.6.1. Устройство СИНВ-С-Т
Устройство, инициирующее с замедлением скважинное
(СИНВ-С) предназначено для замедления внутрискважинного инициирования боевиков
скважинных и шпуровых зарядов при взрывных работах на земной поверхности.
Рис.3.6.2 Устройство СИНВ-Ш
Устройство, инициирующее с замедлением шпуровое
(СИНВ-Ш) предназначено для замедления инициирования боевиков шпуровых и
скважинных зарядов при взрывных работах в рудниках и угольных шахтах, где
допущено применение непредохранительных ВВ II класса.
Рис.3.6.3 Устройство СИНВ-П
Устройство, инициирующее с замедлением поверхностное
(СИНВ-П) предназначено для монтажа взрывных цепей и задержки передачи
инициирующего импульса при взрывных работах на земной поверхности, а также
рудниках и шахтах не опасных по газу и пыли.
Ударно-волновая трубка (УВТ) является инициируемым элементом устройства
СИНВ и служит для передачи инициирующего импульса к капсюлю-детонатору.
Рис.3.6.4.
Ударно-волновая трубка представляет собой гибкую
пластиковую трубку, состоящую из нескольких слоев, на внутреннюю поверхность
которой нанесен порошкообразный взрывчатый материал. Изготавливается из
специальных сортов пластмасс, выдерживающих высокие механические и тепловые
нагрузки, устойчивых к воздействию агрессивных сред. (рис.3.6.4).
Скорость детонации ударно-волновой трубки около 2
км/с. Давление в потоке продуктов взрывного процесса не превышает 5 МПа, что
достаточно только для инициирования капсюля-детонатора. Боковое энерговыделение
у ударно-волновой трубки отсутствует, её целостность при срабатывании
сохраняется.
Длина УВТ выполняется в соответствии с требованиями
заказчика.
Наружный диаметр УВТ составляет 3,5 мм, масса
взрывчатого материала 20 мг/м. Усилие на разрыв не менее 200Н, относительное
удлинение с сохранением работоспособности не менее 200 %.
КД представляет собой гильзу из алюминиево-магниевого
сплава или из стали с томпаковым покрытием, внутри которой размешены
замедлительный элемент, инициирующий элемент и основной заряд.
Инициирующий элемент выполнен без использования
инициирующих взрывчатых веществ. Длина гильзы устройств СИНВ-П находится в
пределах 50 - 60 мм, устройств СИНВ-С и СИНВ-Ш - 72 - 85 мм в зависимости от
времени замедления.
Масса основного заряда в КД с замедлением устройств
СИНВ-С и СИНВ-Ш составляет 1,5 г, устройств СИНВ-П - 0,5 г.
Для герметичного соединения КД с УВТ используется
резиновая втулка. Фиксация осуществляется методом обжимки. Резиновая втулка
также предохраняет участок УВТ, примыкающий к КА, от смятия при перегибах,
возникающих при изготовлении боевиков.
Свободный конец УВТ герметизируется специальной
мастикой.
При срабатывании УВТ поток продуктов реакции
воспламеняет замедлительный элемент КД, который с определенной задержкой
воспламеняет инициирующий элемент. Горение инициирующего элемента переходит в
детонацию. Детонационный импульс возбуждает взрыв основного заряда КД, который
в свою очередь инициирует соединенный с ним элемент взрывной цепи.
Монтажные элементы
Для монтажа взрывных сетей в системе СИНВ используются
фиксаторы и соединители. Фиксатор, входящий в состав устройства СИНВ-П, состоит
из двух пластмассовых деталей: блока и кольца. Блок имеет посадочное место под
КА и периферийные отверстия, предназначенные для крепления 8 шт. УВТ инициируемых
устройств (СИНВ-П и СИНВ-С). Цвет окраски блока определяется временем
замедления устройства СИНВ-П (табл. 1). Кольцо используется для крепления в
посадочном месте блока), сборка производится в заводских условиях). При монтаже
взрывных сетей концы УВТ инициируемых устройств продергиваются через
периферийные отверстия блока фиксатора и завязываются узлами для исключения
случайного разъединения.
Наряду с обеспечением надежного соединения КД
устройства СИНВ-П с УВТ инициируемых устройств фиксатор служит также для
локализации осколочного действия КД и предотвращения возможных повреждений
инициируемых УВТ до момента их срабатывания.
Соединитель представляет собой пластмассовый зажим с
посадочными местами под УВТ и под детонирующий шнур типов ДШ-В, ДШ-А, ДШЭ-12,
ДШМ-Э, ДШЭ-6, ДШН. (Рис 3.6.5).
При монтаже взрывной сети инициируемый конец УВТ
устанавливается в посадочном месте соединителя, а затем зажимается детонирующим
шнуром. Для исключения случайного разъединения на конце УВТ завязывается узел.
Рис.3.6.5. Соединитель УВТ с ДШ
Таблица 3.2
|
Устройство
|
Время замедления, мс
|
Цвет фиксатора
|
|
СИНВ-П-0,
|
0
|
Без окраски,
|
|
СИНВ-П-20,
|
20
|
Оранж.
|
|
СИНВ-П-30
|
30
|
Желтый
|
|
СИНВ-П-45,
|
45
|
Красный,
|
|
СИНВ-П-60
|
60
|
Белый
|
|
СИНВ-П-80
|
80
|
Зеленый
|
|
СИНВ-П-100,
|
100
|
Коричневый,
|
|
СИНВ-П-150,
|
150
|
Серый,
|
|
СИНВ-П-200
|
200
|
Синий
|
ЭКСПЛУАТАЦИОННЫЕ ПАРАМЕТРЫ
Система СИНВ для взрывных работ на земной поверхности
включает устройства СИНВ-П и СИНВ-С-Н или СИНВ-С-Т.
Устройства СИНВ-П, содержащие фиксаторы, предназначены
для трансляции инициирующего сигнала в поверхностной взрывной сети, создания
поверхностных замедлений инициирования УВТ других устройств. Они применяются
при температуре от -40 до +50°С. Сохраняют работоспособность после пребывания в
течение 48 ч в водной среде с рН от 4 до 9 при давлении 0,005 МПа (0,05 кгс/см2).
Устройства СИНВ-С служат для трансляции инициирующего
сигнала в скважинных взрывных цепях, создания внутрискважинных замедлений
инициирования боевиков скважинных зарядов (шашек типов Т-400Г, ГТП-500,
ТГФ-850Э и др.). При этом устройства СИНВ-С-Т используются преимущественно в
случаях заряжания скважин горячельющимися взрывчатыми веществами и выдерживают
воздействие температуры +85°С в течение 12 ч. Устройства СИНВ-С-Н рассчитаны на
менее жесткие температурные условия эксплуатации - до плюс 50°С. Нижний
температурный предел - минус 40°С.
Устройства СИНВ-С сохраняют работоспособность после
пребывания в водной среде с рН от 4 до 9, дизельном топливе при давлении 0,2
МПа (2 кгс/см2) в течение 336 ч (14 суток).
Времена замедлений устройств СИНВ-П и СИНВ-С при длине
УВТ 1 м приведены в таблице. Добавление каждого метра длины УВТ увеличивает
время замедления на 0,5 мс.
Таблица 3.3
|
Устройство
|
Время замедления, мс
|
Устройство
|
Время замедления, мс
|
|
СИНВ-С-Н-100
|
100
|
СИНВ-С-Т-250
|
250
|
|
СИНВ-С-Т- 100
|
100
|
СИНВ-С-Н-300
|
300
|
|
СИНВ-С-Н-125
|
125
|
СИНВ-С-Т-300
|
300
|
|
СИНВ-С-Т-125
|
125
|
СИНВ-С-Н-350
|
350
|
|
СИНВ-С-Н-150
|
150
|
СИНВ-С-Т-350
|
350
|
|
СИНВ-С-Т-150
|
150
|
СИНВ-С-Н-400
|
400
|
|
СИНВ-С-Н-175
|
175
|
СИНВ-С-Т-400
|
400
|
|
СИНВ-С-Т-175
|
175
|
СИНВ-С-Н-450
|
450
|
|
СИНВ-С-Н-200
|
200
|
СИНВ-С-Т-450
|
450
|
|
СИНВ-С-Т-200
|
200
|
СИНВ-С-Н-500
|
500
|
|
СИНВ-С-Н-250
|
250
|
СИНВ-С-Т-500
|
500
|
Система СИНВ для подземных взрывных работ используется
в рудниках и угольных шахтах, где допущено применение непредохранительных
взрывчатых веществ II класса.
Устройства СИНВ-Ш, входящие в ее состав, служат для трансляции инициирующего
сигнала и инициирования боевиков шпуровых зарядов с заданной временной
задержкой.
Температурный интервал применения от -40 до +50°С. Работоспособность
устройств СИНВ-Ш сохраняется после пребывания в водной среде с рН от 4 до 9 при
давлении 0,1 МПа (1 кгс/см2) в течение 6ч.
Времена замедлений устройств СИНВ-Ш при длине УВТ 1 м
приведены в таблице. Добавление каждого метра длины УВТ увеличивает время
замедления на 0,5 мс .
Таблица 3.4
|
Устройство
|
Время замедления, мс
|
Устройство
|
Время замедления, мс
|
|
СИНВ-Ш-0
|
0
|
СИНВ-Ш-500
|
500
|
|
СИНВ-Ш-20
|
20
|
СИНВ-Ш-600
|
600
|
|
СИНВ-Ш-40
|
40
|
СИНВ-Ш-700
|
700
|
|
СИНВ-Ш-60
|
60
|
СИНВ-Ш-800
|
800
|
|
СИНВ-Ш-80
|
80
|
СИНВ-Ш-900
|
900
|
|
СИНВ-Ш-100
|
100
|
СИНВ-Ш-1000
|
1000
|
|
СИНВ-Ш-125
|
125
|
СИНВ-Ш-2000
|
2000
|
|
СИНВ-Ш-150
|
150
|
СИНВ-Ш-3000
|
3000
|
|
СИНВ-Ш-175
|
175
|
СИНВ-Ш-4000
|
4000
|
|
СИНВ-Ш-200
|
200
|
СИНВ-Ш-5000
|
5000
|
|
СИНВ-Ш-250
|
250
|
СИНВ-Ш-6000
|
6000
|
|
СИНВ-Ш-300
|
300
|
СИНВ-Ш-7000
|
7000
|
|
СИНВ-Ш-350
|
350
|
СИНВ-Ш-8000
|
8000
|
|
СИНВ-Ш-400
|
400
|
СИНВ-Ш-9000
|
9000
|
|
СИНВ-Ш-450
|
450
|
СИНВ-Ш-10000
|
10000
|
Монтаж системы
При монтаже системы СИНВ все взрываемые скважины
заряжаются устройствами СИНВ-С с одинаковым временем замедления.
Последовательность их срабатывания обеспечивается с помощью устройств СИНВ-П. В
скважинах установлены устройства СИНВ-С-350 со временем замедления 350 мс.
Свободные концы УВТ закреплены в фиксаторах устройств СИНВ-П. В качестве
стартового используется устройство СИНВ-П-0 со временем замедления 0 мс. Замедление
между рядами обеспечивается устройствами СИНВ-П-60 со временем замедления 60
мс. Соответственно этому скважина первого ряда взорвется через 350 мс, второго
ряда - через 410 мс, третьего ряда - через 470 мс и т.д. К моменту взрыва
скважины первого ряда инициирующий сигнал достигнет КД устройства СИНВ-С-350,
находящегося в скважине шестого ряда, и КЛ устройства СИНВ-П-60, находящегося у
скважины седьмого ряда. Поэтому риск повреждений УВТ устройств СИНВ-П и СИНВ-С
в результате подвижки и разлета горной массы практически исключается. Времена
поверхностных замедлений при наличии внутрискважинного замедления могут быть
существенно увеличены.
Для обеспечения высокой эффективности взрывания
боевики с устройствами СИНВ-С рекомендуется размещать в донной части
скважинного заряда. УВТ не имеет бокового энерговыделения, поэтому выгорание
скважинного заряда или снижение его чувствительности, возможное при применении
в скважинных взрывных цепях детонирующего шнура, уменьшается.
Внутрискважинное замедление выбирается в зависимости
от поверхностного замедления. Рекомендуемые времена внутрискважинного
замедления приведены в таблице .
Таблица 3.5
|
Время замедления между рядами, мс
|
Времена внутрискважинного замедления, мс, при времени
замедления между скважинами, мс
|
|
20
|
30
|
45
|
60
|
80
|
100
|
150
|
200
|
|
20
|
100-125
|
-
|
-
|
-
|
-
|
-
|
-
|
-
|
|
30
|
150-175
|
150-175
|
-
|
-
|
-
|
-
|
-
|
-
|
|
45
|
200-250
|
200-250
|
250-300
|
-
|
-
|
-
|
-
|
-
|
|
60
|
300-350
|
300-350
|
350-400
|
350-400
|
-.
|
-
|
-
|
-
|
|
80
|
400-450
|
400-450
|
450-500
|
450-500
|
-
|
-
|
-
|
-
|
|
100
|
450-500
|
450-500
|
450-500
|
450-500
|
450-500
|
-
|
-
|
-
|
|
150
|
450-500
|
450-500
|
450-500
|
450-500
|
450-500
|
450-500
|
450-500
|
-
|
|
200
|
450-500
|
450-500
|
450-500
|
450-500
|
450-500
|
450-500
|
450-500
|
450-500
|
При взрывании в сложных условиях (большая глубина
скважин, обводненность, использование низкочувствительных ВВ в скважинных
зарядах) осуществляется дублирование скважинных взрывных цепей. В скважине
размещают два боевика: первый - в донной части скважинного заряда, второй - в
устьевой.
Для обеспечения «донного» инициирования при
дублировании время замедления устройства, размещенного в устьевой части
скважины, должно быть на одну ступень больше, чем время замедления устройства,
установленного в донной части скважины. Например, при использовании в донной
части скважинного заряда устройства СИНВ-С-100 в его устьевой части должно
применяться устройство СИНВ-С-125. Инициирование основного и дублирующего
устройств СИНВ-С производится от одного устройства СИНВ.
Стартовое устройство СИНВ-П инициируется от
детонирующего шнура, электродетонатора, капсюля-детонатора пускового
устройства. Для исключения возможности повреждения УВТ стартового устройства
осколками КД и ЭД последние должны присыпаться песком, снегом и т.п.
Дублирование поверхностной взрывной сети, состоящей из
устройств СИНВ-П, сопряжено со значительными сложностями монтажа. В случае
такой необходимости вместо устройств СИНВ-П могут применяться детонирующий шнур
и пиротехнические реле, позволяющие «закольцевать» поверхностную взрывную сеть.
Соединение УВТ устройств СИНВ-С с детонирующим шнуром должно выполняться с
помощью специального соединителя. Любые узловые соединения не обеспечивают
высокой надежности передачи инициирующего импульса от детонирующего шнура к
УВТ.
Общие правила монтажа системы СИНВ при подземной
эксплуатации:
. Длина УВТ устройств СИНВ-П и СИНВ-С должна
выбираться в соответствии с глубиной шпуров и расстоянием между ними с учетом
того, что часть длины УВТ используется для соединений.
2. Устройства СИНВ-Ш с поврежденными при заряжании УВТ
к использованию не допускаются.
. Контроль замедлений должен производиться
непосредственно при заряжании шпуров, так как в процессе заряжания маркировка
может быть удалена.
. От шпуров до места инициирования УВТ устройств
должны быть натянуты (без излишнего натяжения).
. Длина активной части УВТ (отрезок УВТ устройства от
места инициирования до КД) должна быть не менее 60 см. Длина пассивной части
УВТ (отрезок УВТ от места инициирования до свободного конца) должна быть не
менее 8 см.
. Детонирующий шнур должен касаться УВТ (связок УВТ)
только в месте соединения.
Изготовление боевиков
В качестве боевиков при использовании системы СИНВ
могут применяться как шашки типа ТГФ-850Э, имеющие специальное посадочное место
под КД и сквозной канал, так и шашки типа Т-400Г, имеющие только сквозной
канал. Первые более предпочтительны.
Схема соединения шашки ТГФ-850Э с устройством СИНВ-С.
Для надежной фиксации КД устройства СИНВ-С в посадочном месте шашки необходимо,
чтобы его гильза полностью входила в глухое отверстие шашки (посадочное место
под КД), а конец резиновой втулки размешался в сквозном канале.
Кроме шашек в качестве боевиков могут использоваться
заряды из аммонитосодержащих ВВ.
При использовании шашек типа Т-400Г КД устройства
СИНВ-П размешается в сквозном канале. Свободное место в канале должно
заполняться тремя нитками детонирующего шнура (ДШЭ-12 или ДШ-В). Схема
соединения устройства СИНВ-С с шашкой Т-400Г.
В качестве боевиков при использовании системы СИНВ для
подземных взрывных работ применяются патроны из аммонита 6ЖВ и аналогичные им
по чувствительности к инициирующему импульсу. Способы изготовления боевиков не
отличаются от применяемых при изготовлении боевиков с электродетонаторами.
Схемы инициирования
Используя устройства СИНВ-П с разным временем
замедления и соединяя их в разной последовательности, можно получить различные
схемы инициирования. Это обеспечивает высокую управляемость процессом взрыва и
возможность варьирования схемы инициирования в зависимости от характеристик
взрываемой среды, диаметра скважин и сетки бурения, применяемых скважинных ВВ,
необходимого качества дробления среды, величины и направленности развала.
Схемы инициирования, используемые при применении
системы СИНВ для подземных взрывных работ, полностью аналогичны схемам,
использующимся при применении электрических систем инициирования.
УПАКОВКА
СИНВ и Нонель - детонаторы упаковываются в мешки из алюминиевой фольги.
На каждом мешке есть ярлык с описанием содержания.
В описании указывается:
тип детонатора; условия применения; количество серий; длина трубок;
количество детонаторов; дата производства; номер партии; количество дней, после
открытия, в течение которых должна быть использована партия.
Мешки с детонаторами упакованы в картонные коробки, на которых написан
вес брутто и объем коробки.
Хранение
СИНВ и Нонель - детонаторы должны храниться в сухом прохладном месте. Они
в нераскрытых мешках могут сохраняться до 2 лет со дня изготовления (по дате на
мешке). После открытия мешков должны быть использованы в течение 30 - 90 дней в
зависимости от условий хранения.
Инструкция
по применению устройств инициирующих с замедлением
шпуровых (синв-ш)
Устройства инициирующие с замедлением шпуровые СИНВ-Ш (далее по тексту
устройства) предназначены для замедления инициирования боевиков шпуровых
зарядов при взрывных работах в рудниках и угольных шахтах, где допущено
-применение непредохранительных ВВ II класса.
Капсюли-детонаторы устройств не содержат инициирующих
взрывчатых веществ и поэтому являются существенно более безопасными, чем
аналоги, содержащие, например, азид свинца.
Пример записи обозначения устройств при заказе:
Устройство СИНВ-Ш-20-4 ДИШВ. 773979-010 ТУ,
где 20 - номинальное время замедления, мс; 4 - длина
ударно-волновой трубки, м.
Устройства могут поставляться с соединителями "
ИВШП. 143000.000 служащими для соединения взрывных цепей.-
Состав устройств.
Устройства состоят из капсюля-детонатора с
замедлением, ударно-волновой трубки желтого цвета (в дальнейшем именуемой
волноводом) и соединительного элемента - втулки из полимерного материала.
Волноводы устройств свернуты в бухты, к концу которых приклеена этикетка из
ленты клеевой на бумажной основе. Свободный .конец волновода загерметизирован.
Длина капсюля-детонатора с замедлением составляет от
72 до 85 мм в зависимости от времени замедления.
Длина волновода ' устройств составляет 2, 4, 7, 10, 16
м с погрешностью ±5%. По согласованию с потребителем допускается другая длина
волновода.
Комплектность поставки.
Устройства могут комплектоваться соединителями
ИВШП. 143000.000' служащими для соединения устройств с
детонирующим шнуром.
Сборка устройств с соединителями производится в
соответствии с настоящей инструкцией. Устройства обладают восприимчивостью к
инициирующему импульсу, обеспечивающей подрыв:
от капсюля-детонатора с замедлением устройств
инициирования поверхностных (СИНВ-П) ДИШВ. 773979-008 при соединении их с
помощью фиксатора устройств СИНВ-П, согласно схеме рисунка 3.6.6. (от одного
устройства СИНВ-П подрывается до 12 устройств);
Рис3.6.6. Монтажный блок СИНВ-П 1 - кольцо фиксатора; 2 - втулка
фиксатора; 3 - капсюль-детонатор с замедлением устройств СИНВ-П; 4 - волноводы
инициируемых устройств.
от детонирующего шкура ДШ-В ГОСТ 6196 или других
детонирующих шнуров, допущенных в установленном порядке при соединении с
помощью соединителя согласно схеме рисунка Б. 2 (рис.3.6.7).
Рис.3.6.7. Монтаж с помощью соединителя1 -
соединитель; 2 - волновод инициируемого устройства; 3 -детонирующий шнур.
от детонирующего шнура ДШ-А, ДШ-В, ДШЭ-12 ГОСТ 6196
согласно схеме рисунка Б. 3 (подрывается до 15 устройств, волноводы которых
соединяются в связку с помощью провода или изоляционной ленты рис. 3.6.8);
Рис. 3.6.8. - Схема инициирования устройств от
детонирующего шнура 1 - волноводы инициируемых устройств; 2 - детонирующий
шнур.
от детонирующего шнура ДШ-А, ДШ-В, ДШЭ-12 ГОСТ 6196
или аналогичных им по конструкции и инициирующей способности источников
инициирования, соединенных внахлест с волноводом устройств с помощью провода
или изоляционной ленты (направление процесса в источнике инициирования должно
совпадать с направлением процесса в устройстве) согласно схеме рисунка 3.6.9.
Рис.3.6.9. Направление процесса в устройстве. 1 -
инициирующий детонирующий шнур (капсюль-детонатор, электродетонатор); 2 -
волновод устройства; 3 - капсюль-детонатор с замедлением; 4 - инициируемый
детонирующий шнур.
Длина отрезка волновода инициируемого устройства от
места инициирования до места его соединения с капсюлем-детонатором с
замедлением должна быть не менее 60 см, а от места инициирования до свободного
конца - не менее 8 см.
Устройства обладают инициирующей способностью,
обеспечивающей подрыв боевиков: патронов из аммонита № 6ЖВ ГОСТ 21984 и
аналогичных им по конструкции и восприимчивости к инициирующему импульсу
патронов, или пробитие свинцовой пластины ГОСТ 3778 толщиной (6,0±0,1) мм при
диаметре пробиваемого отверстия, превышающем диаметр капсюля-детонатора с
замедлением.
Работоспособность устройств сохраняется:
в диапазоне температур от минус 40 до плюс 50 градусов
Цельсия;
после выдержки устройств в водной среде с рН от 4 до 9
в течение 6 часов при давлении не менее 0,005 МПа (0,05 кгс/кв. см);
после выдержки устройств (за исключением свободного
конца волновода) в водной среде с рН от 4 до 9, в дизельном топливе в течение 6
часов при давлении не менее 0,1 МПа (1 кгс/кв. см);
при воздействии статической растягивающей нагрузки не
менее 80 Н (8 кгс), прикладываемой к соединению волновода с
капсюлем-детонатором с замедлением.
Волновод устройств выдерживает с сохранением
целостности и работоспособности приложение статической растягивающей нагрузки
величиной не менее 120 Н (12 кгс) и двукратный перегиб на стержне диаметром 5
мм в диапазоне температур от минус 40 до плюс 50 градусов Цельсия, а также
сохраняет работоспособность при относительном удлинении 100%.
Относительное удлинение волновода до разрыва при
температуре (20±5) градусов Цельсия должно составлять не менее 100%, при
температуре минус (30±5) градусов Цельсия - не менее 25%.
Срабатывание волновода устройств не приводит к
инициированию контактирующих с ним волноводов, а также соединенных с ним
источников инициирования: детонирующего шнура ДШ-А, ДШ-В, ДШЭ-12 ГОСТ 6196
капсюля-детонатора с замедлением устройств СИНВ-П.
Устройства не детонируют:
при приложении напряжения переменного или постоянного
тока не менее 1кВ в течение 1 мин. и электрического потенциала статического
электричества не менее 35 кВ к капсюлю-детонатору с замедлением и волноводу;
при скользящем под углом 30 градусов ударе стального
ударника с энергией до 500 Дж.
При приемке устройств на предприятии-изготовителе
контролируются время замедления, восприимчивость к инициирующему импульсу,
инициирующая способность, стойкость к воздействию гидростатического давления,
статической растягивающей нагрузки [(80±1) Н (8,0±0,1) кгс], прикладываемой к
соединению волновода с капсюлем-детонатором с замедлением, устойчивость к
тряске в течение 10 мин, при 60 ударах (падениях) в минуту с высоты 150 мм, а
также стойкость к скользящему удару.
Упаковка и маркировка.
На донной части капсюлей-детонаторов нанесена
маркировка, обозначающая предприятие-изготовитель и год изготовления данного
капсюля-детонатора (рисунок 3.6.10.).
Рис. 3.6.10. Маркировка капсюля-детонатора 1 -
обозначение последней цифры (или буквы, заменяющей цифру) года изготовления
капсюля-детонатора; 2 - обозначение предприятия-изготовителя положением точки
относительно обозначения года изготовления.
Для отличия устройств с разной длиной волновода и
временем замедления используется цветовая и текстовая маркировка. Донная часть
капсюля-детонатора с замедлением устройств окрашена в цвет, соответствующий
номинальному времени замедления согласно настоящей инструкции. В содержании этикетки,
которая приклеена к концу бухты, должен быть указан тип устройства, время
замедления и длина волновода.
Устройства поставляются в ящиках.
Маркировка каждого ящика должна содержать следующие
сведения:
товарный знак или условное обозначение предприятия изготовителя;
обозначение устройства (например, СИНВ-Ш-20);
длина волновода, м;
обозначение технических условий;
номер партии;
поминальное время замедления, мс
номер ящика в партии;
месяц и год (две последние цифры) изготовления;
дата истечения гарантийного срока хранения;
количество устройств в ящике, шт.;
масса брутто, кг;
фамилия упаковщицы или присвоенный ей номер;
транспортное наименование груза (капсюли-детонаторы
неэлектрические для взрывных работ), номер ООН (0029);
знак опасности по ГОСТ 19433 с указанием класса 1,
подкласса 1.1, группы совместимости В;
манипуляционные знаки «Верх», «Беречь от влаги» и
«Хрупкое. Осторожно» по ГОСТ 14192.
При перевозке железнодорожным транспортом знак
опасности должен содержать номер аварийной карточки (№ 791).
Соединители при их заказе потребителем поставляются в
аналогичной таре, без укладки в полиэтиленовый мешок.
На переднюю стенку каждого ящика должна быть нанесена
маркировка или наклеен ярлык следующего содержания:
товарный знак или условное обозначение предприятия-изготовителя;
наименование изделия;
обозначение чертежа;
количество соединителей в ящике, шт.;
масса брутто, кг.
На переднюю и правую торцевую стенки ящика должен быть
нанесен манипуляционный знак «Беречь от влаги».
Инструкция по применению вкладывается в первый ящик в
количестве, оговоренном в заказе, но не менее 5 шт.
Требования безопасности.
При работе с устройствами необходимо руководствоваться
требованиями «Единых правил безопасности при взрывных работах».
К работе с устройствами допускаются лица, имеющие
«Единую книжку взрывника или мастера-взрывника» и ознакомленные с настоящей
инструкцией.
Запрещается производить разборку устройств, сращивание
волноводов.
Устройства по степени опасности относятся к классу 1,
подклассу 1.1, группе совместимости В. Классификационный шифр согласно ГОСТ
19433 1.1В. Номер ООН 0029. Масса взрывчатого вещества в устройстве 1,9 г.
Усредненный тротиловый эквивалент 1,2г.
Указания по сборке устройств с соединителем.
При использовании соединителя сборка производится в
соответствии с инструкцией. Волновод устройства прощелкивается в продольную
прорезь соединителя. Поперечная прорезь соединителя предназначена для фиксации
детонирующего шнура.
Для надежного соединения волноводов инициируемых
устройств с соединителями на свободных концах волноводов, выходящих из
соединителей, должны быть завязаны узлы.
Указания по применению устройств во взрывных сетях при
подземных работах.
Инициирование всех устройств, использующихся в
массовом взрыве, должно осуществляться одновременно.
При инициировании устройств от детонирующего шнура при
соединении петлей волноводы устройств должны быть собраны в связки и обвязаны
проводом или изолентой в двух местах на расстоянии 0,3 м друг от друга.
Количество волноводов в одной связке до 15 шт. От шпуров до первой обвязки
волноводы должны быть натянуты. Каждая связка волноводов продевается в двойную
петлю детонирующего шнура и затягивается в соответствии со схемой настоящей
инструкции. Место затяжки детонирующего шнура должно находиться между обвязками
провода или изолентой на расстоянии 0,2 м от места обвязки проводом или
изолентой со стороны забоя.
При инициировании устройств от детонирующего шнура
ДШ-В при соединении с помощью соединителей ИВШП. 143000.000 волноводы
инициируемых устройств соединяются в соответствии со схемой.
Инициирование устройств от устройств СИНВ-П должно
производиться в соответствии с настоящей инструкцией. Свободные концы
волноводов продеваются в периферийные отверстия втулки фиксатора. Для
исключения случайного разъединения волноводов на их свободных концах, выходящих
из фиксатора, должны быть завязаны узлы. Для защиты от осколков фиксатор с
помещенным в него электродетонатором или капсюлем-детонатором, рекомендуется
прикрыть куском картона, плотной бумаги, прикопать песком, грунтом.
Место инициирования волновода устройства должно
находиться не менее, чем в 60 см от его капсюля-детонатора и не менее, чем в 8
см от свободного конца волновода.
Организация массовых взрывов производится в
соответствии с требованиями «Типовой инструкции по безопасному проведению
взрывов в подземных выработках» со следующим дополнением.
В подземных выработках разрешается размещение в шпурах
(камерах) боевиков с капсюлями-детонаторами с замедлением устройств при
проведении непосредственной зарядки. Соединение волноводов с источником
инициирования (детонирующим шнуром, электродетонатором, капсюлем-детонатором)
разрешается только после удаления на безопасное расстояние людей, не связанных
с монтажом сети, а также оборудования.
Партии устройств, поставленные с предприятия-изготовителя,
должны быть подвергнуты входному контролю, объем, и порядок которого приведены
. Проверка правильности маркировки тары и упаковки
устройств
. Проверка маркировки и внешнего вида устройств
. Контрольные испытания взрыванием
При проверке упаковки контролируется целостность
ящиков, наличие штампа ОТК на ленте, оклеивающей ящик.
При проверке внешнего вида устройств не допускаются
разрывы и трещины на гильзе капсюля-детонатора с замедлением и оболочке
волновода устройств. Допускаются неровности, засветления незначительные риски
на гильзе, незначительные вмятины, задиры, царапины, шероховатости и мелкие
инородные включения на оболочке волновода, не нарушающие его целостности.
При контрольных испытаниях взрыванием 20 шт. устройств
инициируют одним из способов, указанных в настоящей инструкции.
При контрольных испытаниях взрыванием отказы не
допускаются.
По результатам входного контроля оформляется акт. О
неудовлетворительных результатах входного контроля сообщается
предприятию-изготовителю устройств.
По желанию потребителя проводится контроль качества
устройств на соответствие требованиям технических условий ДИШВ 773979.010 ТУ.
Испытания устройств проводятся на
предприятии-изготовителе в присутствии потребителя и за его счет. На испытания
отбираются устройства, принятые отделом технического контроля.
По результатам испытаний составляется акт и
рассылается заинтересованным организациям.
Условия и гарантийный срок хранения.
Условия хранения устройств в упаковке
предприятия-изготовителя - «2» по ГОСТ 15150.
Гарантийный срок хранения устройств в упаковке
предприятия-изготовителя исчисляется со дня изготовления и составляет 3 года.
По истечении гарантийного срока хранения устройства
подлежат уничтожению.
Порядок уничтожения.
Уничтожение устройств производится следующим образом.
Волновод устройства отрезается и уничтожается путем сжигания. Капсюль-детонатор
с замедлением уничтожается подрывом с соблюдением требований «Единых правил
безопасности при взрывных работах» в части, относящейся к детонаторам.
Порядок ликвидации отказавших шпуровых зарядов.
Ликвидация отказавших шпуровых зарядов должна
проводиться взрыванием, разборкой породы или вымыванием заряда из шпура. Выбор
способа ликвидации, метода разборки породы определяются исходя из условий
взрывания и типа взрывчатого вещества шпурового заряда и боевика в соответствии
с требованиями «Единых правил безопасности при взрывных работах».
Таблица 3.7. Параметры буровзрывных работ
|
Номер шпура
|
Наименование шпура
|
Угол наклона шпуров в гориз. плоскости, град.
|
Угол наклона шпуров в вертик. Плоскости, град.
|
Длина шпура, м
|
Масса шпурового заряда, кг
|
Длина заряда, м
|
Очередность взрывания
|
Тип детонатора, интервал замедления, мс
|
|
0
|
опережающий шпур
|
90
|
90
|
6,0
|
|
|
|
|
|
1-2
|
Врубовые
|
90
|
75
|
1,1
|
1
|
1,1
|
1
|
СИНВ-Ш-0
|
|
2-4
|
Врубовый
|
80
|
75
|
1,1
|
1
|
1,1
|
1
|
СИНВ-Ш-0
|
|
4-6
|
Врубовый
|
70
|
75
|
1,1
|
1
|
1,1
|
1
|
СИНВ-Ш-0
|
|
7-10
|
Отбойный
|
70
|
90
|
1,0
|
0,8
|
0,88
|
2
|
СИНВ-Ш-25
|
|
11-19
|
Оконтуривающий
|
90-55
|
75-90
|
1,0
|
0,8
|
0,88
|
3
|
СИНВ-Ш-50
|
|
20-24
|
Оконтуривающий
|
73
|
90-75
|
1,0
|
0,8
|
0,88
|
3
|
СИНВ-Ш-100
|
3.4 Расчет проветривания выработки
Основной задачей проветривания при проведении выработок является подача
воздуха необходимого состава к местам работы людей и создание тем самым
безопасных санитарно-гигиенических условий труда. Необходимость смены воздуха в
горных выработках обусловлена тем, что поступающий с поверхности воздух
претерпевает изменения, в частности в нем уменьшается содержание кислорода и
увеличивается содержание диоксида углерода. К основным причинам такого явления
относятся взрывные работы, работа двигателей внутреннего сгорания, окисление
горных пород.
Для характеристики состава воздуха в горных выработках, кроме понятия
плотность (кг/м3) в обычном его значении, используется понятие
относительная плотность газов по воздуху. Под ней понимают отношение плотности
газа к плотности воздуха при температуре 0о С и давлении 1013,257
гПа. Например, плотность кислорода при нормальных условиях равна 1,428 кг/м3,
а относительная плотность составляет 1,1 кг/м3.
Все горизонтальные выработки во время их проведения по условиям
проветривания являются тупиковыми, то есть в них невозможно сквозное движение
сквозное движение вентиляционной струи. Поэтому их проветривание осуществляется
с учетом горнотехнических и горно-геологических условий вентиляторами местного
проветривания с прокладкой по выработкам вентиляционных труб.
Расчет проветривания тупиковой выработки
. Выбор способа проветривания
Для проветривания забоя применяется комбинированная схема проветривания.
Она характерна тем, что загрязненный воздух удаляется из выработки по трубам с
помощью вентилятора, работающего на всасывание, с помощью вспомогательного
вентилятора в забой нагнетается свежий воздух.
Рис. 3.9
Подвеска вентиляторов местного проветривания выполняется с учетом требований
пункта 57 ЕПБ в части безопасных зазоров. Подвеска вентиляторов осуществляется
на два монтажных крюка из стали Ш32мм, длиной 600-800мм, закрепленные при
помощи металлических клиньев в шпурах глубиной не менее 500мм, пробуренных на
расстоянии 500-700мм друг от друга и стальной проволоки Ш 5-8мм. Подвешенный
вентилятор дополнительно опирается на два монтажных крюка, пробуренных на
расстоянии 500-700мм друг от друга ниже вентилятора.
Выбор вентиляционных труб и расчет аэродинамических параметров трубопровода
Так как способ проветривания комбинированный, понадобится два типа труб.
Поэтому применим металлические трубы на основной вентилятор и вспомогательный.
Материал - металл(сталь).
Диаметр - 400/600мм.
Длина трубы -4 м.
Масса 1 м трубы, кг для диаметров - 21,6 и 35,7 кг.
Коэффициент аэродинамического сопротивления
трубопровода a, -
0,0036 Н ´ с2/м4
(для основного) - 0,003 Н ´ с2/м4
Коэффициент удельной стыковой воздухопроницаемости Куд (при
удовлетворительном качестве монтажа) - 0,005 и 0,0025.
2.
Определение количества воздуха, подаваемого в забой нагнетательным
вентилятором; 
Где:
t - продолжительность проветривания , мин (в
соответствии с ПБ t≤30 мин); A - масса ВВ,
взрываемого в одном цикле проходки, кг; 
-
площадь поперечного сечения выработки в свету; bф - фактическая газовость ВВ, то есть объем условной
окиси углерода, выделяемой при взрыве 1 кг ВВ, л/кг; Lз.о - длинна зоны отброса газов при взрыве, 70 м .
.
Количество воздуха, удаляемого из забоя основным (всасывающим) вентилятором,
принимается на 20-30% больше 
:
.
Проверяются полученные значения 
на
допустимую скорость движения воздуха по выработке и трубам.
при выработке
по трубам вспомогательного вентилятора
по
трубам основного (всасывающего) вентилятора
.
Аэродинамическое сопротивление нагнетательного и всасывающего трубопроводов, 
:
.
Определяются коэффициенты утечек в нагнетательном и всасывающем трубопроводах 
и 
.

1,14

1,97
Где

-
коэффициент стыковой воздухопроницаемости, 
- длина
звена трубопровода (длина трубы), м.
.
Рассчитывается необходимая производительность нагнетательного и всасывающего
вентиляторов,
м3/с:
.
Устанавливается требуемый статический напор нагнетательного и всасывающего
вентиляторов, Па:

.
С учетом местных сопротивлений и динамического напора, Па:
Исходя из имеющегося на складе оборудования,
в качестве всасывающего вентилятора выберем ВМ-6М, а в качестве нагнетающего
ВМ-5М. Характеристика указана в таблице 3.8 и на рис 3.10. .
Таблица 3.8. Характеристика вентиляторов.
|
Вентилятор
|
Подача, м3/мин
|
Давление, Па
|
Мощность, кВт
|
Масса, кг
|
Размеры, мм
|
|
|
|
|
|
длина
|
ширина
|
высота
|
|
ВМ-5
|
95-270
|
700-2120
|
11
|
250
|
940
|
660
|
670
|
|
ВМ-6
|
140-480
|
750-3460
|
24
|
350
|
1050
|
720
|
750
|

Рис. 3.10 Аэродинамические характеристики вентилятора ВМ-5М и ВМ-6М.
3.5 Расчет прочных размеров горной крепи.
В данном разделе рассчитаем набрызгбетонную крепь, т.к. на протяжении всей
выработки отслеживаются изменения в физико-механических свойствах породы,
крепость породы примем f=9.
Набрызгбетонная крепь в последнее время находит все более широкое
применение. Она достаточно надежна в работе, позволяет механизировать процесс
крепления, что обеспечивает уменьшение сроков сооружения выработки и снижение
затрат на проходку.
Набрызгбетонная смесь изготавливается из цемента марок 300-500, песка и
заполнителя (щебня) крупностью не более 25 мм. Состав смеси 1:2:2. В качестве
ускоряющих твердение добавок в состав смеси вводят тонкомолотым аллюминистый
спек (2-5% от массы цемента).
Расчетное сопротивление набрызгбетона растяжению [sp] зависит от марки цемента и при изготовлении смеси на
основе цемента марок 300, 400 и 500 соответственно составляет 1,2; 1,4 и 1,6
МПа.
Для нанесения набрызгбетонной крепи будем применять бетономашину БМ-60,
техническая характеристика которой приведена в табл 9.
Таблица 3.9.Техническая характеристика бетономашины БМ-60
|
Показатели
|
БМ-60
|
|
Производительность по сух. смеси, м3/ч
|
3,0
|
|
Размеры фракции заполнителя, мм
|
20
|
|
Расход сжатого воздуха, м3/мин
|
8-14
|
|
Давление сжатого воздуха, МПа
|
0,15-0,6
|
|
Дальность транспортирования, м:
|
|
|
по горизонтали
|
200
|
|
по вертикали
|
100
|
|
Мощность привода, кВт
|
4,5
|
|
Габариты, мм:
|
|
|
длина
|
1740
|
|
высота
|
1600
|
|
ширина
|
1100
|
|
Масса, кг
|
1000
|
Расчетное сопротивление набрызгбетона растяжению [sp] зависит от марки цемента и при
изготовлении смеси на основе цемента марок 300, 400 и 500 соответственно
составляет 1,2; 1,4 и 1,6 МПа.
1. Выбирается марка цемента, расчетное сопротивление набрызгбетона
растяжению, крупность фракции заполнителя и состав бетонной смеси
Марка цемента - 500;
sp - 1,6МПа;
Крупность фракций заполнителя - от 10 и до 20 мм;
2. Определяется коэффициент и угол внутреннего трения горных пород:
3. Высота свода естественного равновесия.
Где: а - полупролет выработки , т.е. половина ширины выработки вчерне по
кровле.
4. Рассчитываем
интенсивность нормативной нагрузки Н/м2
Где: bсв - высота свода естественного равновесия, м; hсв
- высота свода выработки, м; с - плотность породы кг/м3.
. Рассчитываем минимальную толщину слоя набрыгзбетона.

Где:
nп = 1,2 - коэффициент перегрузки от горного давления; mу
- коэффициент условий работы, равный 0,8, для неармированного набрыгзбетона и
1,0 для армированного.
.
Определяется расход бетонной смеси на крепление 1 м выработки:
Где:
PЧ - периметр поперечного сечения выработки вчерне, м.
.
Определяется площадь закрепляемой поверхности, м2/цикл:
3.6 Уборка породы, транспортные операции
Уборка породы включает погрузку и транспортировку породы до места
назначения. Погрузка породы при проведении горноразведочных выработок
-трудоемкий процесс, занимающий до 60% общего времени проходческого объема
породы убирают породопогрузочными машинами и только незначительную его часть-
вручную.
Обязательной операцией процесса погрузки породы в одиночные вагонетки
является замена груженых вагонеток на порожние. В однопутных выработках она
выполняется с использованием тупиковых и замкнутых разминовок, накладной
разминовки, вагоноперестановщика и роликовых платформ, в данной выработке
применяем тупиковые разминовки (рис 3.6)
При заполнении разминовки, груженые вагонетки выставляются электровозом
на основной путь к порожняковому составу, освобождается место для следующей
партии гружёных вагонов.
Рис. 3.6
1. Определяем коэффициент разрыхления пород:
. Определяем объем породы, подлежащей уборке в цикле:
. Определяется эксплуатационная производительность
погрузочно-доставочной машины, м3/смен:
Где:

-
коэффициент, учитывающий крупность кусков породы. 
=1;

техническая
производительность породопогрузочной машины;

-
удельные затраты времени на вспомогательные операции 
;

-
расстояние от пункта обмена до забоя;
v=0,9
м/с- скорость обмена груженных вагонеток на порожние при использовании
электровоза;

- объем
кузова вагонетки, 
;

коэффициент
заполнения вагонетки;

-число
вагонеток, обмениваемых одновременно.
4. Определяется продолжительность уборки породы в цикле
Где:

- затраты
времени на выполнение подготовительно-заключительные операции при погрузке
породы, 
.
3.7 Расчет локомотивной откатки
Из всех рудничных локомотивов (электровозы, дизелевозы,
гировозы-инерционные локомотивы и воздуховоды, работающие на энергии сжатого
воздуха) на геологоразведочных работах применяют только электровозы. Их
подразделяют на два типа: аккумуляторные и контактные. При разведке
месторождений применяют преимущественно аккумуляторные. При разведке
месторождений применяются преимущественно аккумуляторные электровозы,
достоинством которых является взрывобезопасность, автономность питания, низкий
электротравтизм. Но аккумуляторные уступают контактным в мощности, скорости
движения, они сложнее по конструкции, дороже в эксплуатации.
Важнейшим параметром электровоза является сцепной вес. Под ним понимают
ту часть собственного веса электровоза, которая приходится на ведущей оси.
Поскольку у большинства рудничных электровозов все оси ведущие, то их сцепной
вес равен полному конструктивному весу.
Жесткой базой электровоза называется расстояние между передней и задней
осями или между центрами осей тележки. Этот параметр задается из условия
устойчивости электровоза и свободного пути с малым радиусом закруглений. Чем
больше жесткая база, тем устойчивее электровоз и тем труднее он проходит по
закруглениям.
Максимальная сила тяги электровоза не может быть больше силы сцепления
ведущих колес с рельсами:

;

: 
- сцепной
вес электровоза, кН;

-коэффициент
сцепления колес с рельсами. Поскольку выработка обводнена, то рельсы мокрые и
грязные, следовательно, коэффициент сцепления колес равен 0,12.
Допустимый
вес груженого состава определяется путем сравнения силы тяги электровоза с
сопротивлениями движению при различных режимах - трогание с места (по сцеплению
колес с рельсами), равномерное движение с длительной силой тяги (по нагреву
двигателей) , торможение на среднем уклоне (по тормозным средствам поезда). По
наименьшему из трех полученных значений рассчитывают количество вагонеток в
составе.
Вес
груженного состава из условия сцепления колес рельсами при трогании с места:
Где: aт - пусковое ускорение(ускорение при трогании);

-
удельное сопротивление движению.
Сопротивление
движению за счет уклона 
численно
равно уклону в промилле.
Вес
груженного состава из условия нагрева двигателей при работе с длительной силой
тяги 
.
Где:

-
коэффициент, учитывающий дополнительный нагрев двигателей при выполнении
маневров;

-
относительная продолжительность движения:
Где:
Tман -
время на маневровые операции,
Tдв - продолжительность движения, которая находится по
формуле:
Где:
L - расстояние откатки. Примем L = 1000 м;
Vдл - скорость при длительном режиме работы электровоза,
м/с.
,75-коэффициент,
учитывающий уменьшение скорости на закруглениях пути, при трогании, торможении
и т.д.;
Продолжительность
маневров Tман
электровоза у мест погрузки и разгрузки зависит от количества вагонеток в
составе и способов погрузки и разгрузки; определяется экспериментально или
принимается приближенно равной 15-20 мин на один рейс.
Вес
груженого состава по условию торможения на среднем уклоне:
Где:Pт - тормозной вес электровоза, кН. Принимаем его равным
сцепному;
aт - замедление при торможении, которое рассчитывается
по формуле:

Где:
Vт -
скорость поезда в момент торможения.
По
нашедшему значению веса груженого состава определяется количество вагонеток:

необходимо
10 вагонеток
Вес
породы в вагонетке определяется по формуле:
Где:Vв - емкость вагонетки, м3;
кз
- коэффициент заполнения вагонеток. По ПБ кз = 0,9;
с
- объемная плотность породы, кг/м3;
кр
- коэффициент разрыхления породы;
g- удельная сила
тяжести, Н/кг.
Число
рейсов электровоза, необходимое для откатки всей породы в одном цикле проходки
выработки:
Чтобы
откатить породу электровозу надо совершить 7 рейсов.
Сила
тяги в период установившегося движения:
Для
груженого состава:
Для
порожнего состава:

.
Сила
тяги, приходящаяся на один двигатель электровоза
Где:
nдв - число
двигателей на электровозе.
Время
движения груженого и порожнего составов:
Где:
L - расстояние откатки,.

-
скорость груженого состава м/с

-
скорость порожнего состава м/с
Продолжительность
рейса:
Эффективный
ток двигателя:
А
Где:щ
- коэффициент, учитывающий ухудшение охлаждения двигателей во время маневров.
Примем щ = 1,2
Для
нормальной работы электровоза необходимо, чтобы

Расход
электроэнергии при откатке всей породы в одном цикле проходки выработки:

Где:U -
среднее разрядное напряжение батареи, В;
ц
- коэффициент, учитывающий потери энергии во время маневров.
3.8 Вспомогательные работы
Наряду с основными операциями при проведении горизонтальных выработок
буровзрывным способом выполняются и вспомогательные. К ним относится настилка
рельсовых путей, устройство водоотливной канавки, оборудование освещения,
прокладка трубопроводов и кабелей и т.д.
Бурение опережающей скважины и опережающего шпура.
Опережающий шпур бурится постоянно перед бурением шпуров по забою с
помощью установки ЛКР- ТЗ или переносным перфоратором. Расположение и глубина
опережающего шпура определяется паспортом. Опережающая скважина бурится в
случае ухудшения горно-геологических условий (обводнение забоя, ухудшение
устойчивости пород кровли, боков и груди забоя). Бурение производится станком
УДБ -8 или НКР - 100. Глубина, угол наклона и расположение скважины
определяется проектом.
Настилка рельсового пути.
Настилка временного рельсового пути.
Временный рельсовый путь настилается из рельсов Р-24 на металлических
шпалах, уложенных через 3 метра. Крепление рельс к шпалам осуществляется при
помощи накладок и болтов M
20х50. Временный рельсовый путь настилается по оси выработки.
Настилка временного рельсового пути выполняется в следующей
последовательности:
выдвижные концы рельсов убираются к бортам выработки;
подошва выработки зачищается вручную, при необходимости дорабатывается
отбойным молотком для придания ей проектного уклона;
металлические шпалы укладываются на подошву выработки;
выдвижные концы рельсов укладываются на шпалы, скрепляются с рельсами
основного рельсового пути и крепятся к металлическим шпалам болтами M 20х50;
проверяется положение рельсового пути относительно оси выработки и
заданным реперам, и при необходимости осуществляется их рихтовка;
в забой доставляются две рельсы Р- 24 и укладываются выдвижные концы
рельсов.
Настилка постоянного рельсового пути.
Постоянный рельсовый путь настилается из рельсов Р- 24 на деревянных
шпалах, уложенные через 0,7 метра. Рельсы крепятся к шпале при помощи подкладок
и металлических костылей.
Настилка постоянного рельсового пути выполняется в следующей
последовательности:
временный рельсовый путь поднимается при помощи домкрата;
под рельсы временного рельсового пути подводятся шпалы. Шпалы должны быть
уложены перпендикулярно оси выработки, расстояние между шпалами должно
соответствовать проекту, концы шпал, обращенных к людскому проходу,
укладываются по шнуру. На криволинейных участках - укладка шпал по радиусу
закругления;
первоначально к шпалам крепится одна нитка рельсов со стороны прохода для
людей, а затем вторая нитка рельсов на расстоянии равном проектной ширине колеи
(600 мм). При этом контролируется расположение торцов на стыках рельсовой нитки
на одном уровне и на одной прямой;
производится рихтовка пути. При рихтовке пути контролируется
прямолинейность рельсовой нитки на прямых участках пути, ширина и уклон пути,
соответствие положения оси пути паспорту крепления;
производится балластировка пути. Балластировка пути выполняется после
бетонирования стен водоотливного лотка, породой (образованной при проходке
штрека, с крупностью кусков не более 70ч80 мм), или щебнем из вагонов ВГ- 1,3 с
торцевой разгрузкой. Порода загружается в вагоны ВГ- 1,3 с торцевой разгрузкой
породопогрузочной машиной ППН- 1 в забое штрека и доставляется к месту
балластировки электровозом АРП-7, разгружается на рельсовые пути и вручную
засыпается в шпальные ящики. Рельсовый путь домкратом поднимается до уровня
балластного слоя, и балласт подбивается под шпалы вручную. Даная операция повторяется
до тех пор, пока уровень рельсового пути не достигнет проектной отметки. При
каждом подъеме пути на балласт должен быть соблюден проектный уклон пути;
после окончательного подъема пути на проектную отметку осуществляется
контроль правильности укладки пути и засыпки шпальных ящиков балластом, при
этом контролируется:
погружение шпал на 2/3 высоты в балластный слой;
проектный уклон пути;
расположение обеих ниток рельсов на одном уровне (на прямолинейном
участке);
зазоры между торцами рельсов;
уширение, по сравнению с номинальным значением, колеи на криволинейном
участке;
превышение уровня внешнего рельса над уровнем внутреннего рельса на
криволинейном участке;
правильность изгиба рельсов на закруглении.
Устройство водоотливного лотка.
Водоотливной лоток представляет собой монолитную бетонную конструкцию,
возведенную в ранее пройденной выработке и служащей для пропуска воды,
образованной от работы водосбросных и водопонижающих скважин. Перекрытие
водоотливного лотка выполнено из железобетонных плит П-1 размером 800х600х80
уложенных на металлический уголок 75х75 (63х63, 80х80).
Работы по устройству водоотливного лотка выполняются в соответствии с
пунктом 2.2.5.Технологического регламента на проходку подземных горных
выработок с применением буровзрывных работ П484-00-ТР2. в следующей
последовательности:
подошва выработки, в месте возведения водоотливного лотка, зачищается от
породы и при необходимости дорабатывается отбойным молотком до проектных
размеров;
- устанавливаются секции инвентарной металлической опалубки;
проверяется положение опалубки относительно оси выработки и реперов,
после чего опалубка окончательно раскрепляется;
- приготавливается бетонная смесь в БРУ штрека « Восточный » и
доставляется в вагоне ВГ 1,3 электровозом 4,5АРП-2М к месту укладки.
бетонируются стены водоотливного лотка. Укладка бетонной смеси
производится слоями толщиной около 15ч20 см вручную с тщательным уплотнением
каждого слоя, стенка , отделяющая канавку от рельсового пути армируется
металлическими стержнями из арматурной стали Ф 20-32 мм, длинной 1000мм,
которые бетонируются в шпуры, забуренные в почву выработки через 0,5м.;
после выдержки бетона в опалубке не менее 12 часов, опалубка снимается и
бетонируется подошва водоотливного лотка;
готовый водоотливной лоток перекрывается плитами П-1, которые
укладываются на металлический уголок 75х75 (63х63, 80х80), предварительно
установленный в перекрытие лотка
.
Рис. 3.8
Навеска кабельных линий.
Кабели в выработке прокладываются по кабельным конструкциям и
располагаются на высоте, недоступной для повреждения транспортными средствами,
согласно паспорту крепления, составленным в соответствии с пунктом 2.2.7.
Технологического регламента на проходку подземных горных выработок с
применением буровзрывных работ П484-00-ТР2.
Кабельные конструкции устанавливаются в предварительно пробуренные шпуры,
глубиной не менее 0,4 м и закрепляются при помощи клиньев. Расстояние между
кабельными конструкциями не должно превышать 3 м, а между кабелями быть не
менее 5 см.
Прокладка кабелей связи и сигнализации должна производится на стороне
выработки, свободной от силовых кабелей, а в случае невозможности выполнения
этого требования на расстоянии не менее 0,2 м от силовых кабелей.
Монтаж трубопроводов.
Трубопроводы в выработке прокладываются и располагаются на высоте,
согласно паспорту крепления, составленному в соответствии с Технологическим
регламентом на проходку подземных горных выработок с применением буровзрывных
работ П484-00-ТР2.
Трубопроводы сжатого воздуха, технической воды и водоотлива
прокладываются со стороны свободного прохода из металлических труб Ш159 -
219мм. Трубопроводы монтируются из труб длиной 4ч6 метров. До места монтажа
трубы доставляются на поворотных платформах электровозом 4,5АРП-2М.
Работы по монтажу трубопроводов выполняются в следующей
последовательности:
- соединяются трубы в плети при помощи сварки на перекрытии водоотливного
лотка или подошве выработки, при этом длина плети не должна превышать 100
метров;
устанавливаются конструкции крепления трубопроводов. Конструкция
крепления трубопроводов представляет собой металлические “Г”- образные крючья
из арматуры А1 Ш32мм закрепленные при помощи металлических клиньев в шпурах
глубиной не менее 400мм. Расстояние между конструкциями крепления трубопроводов
не должно превышать 4 м, согласно паспорту крепления;
производится подъем плети труб на конструкции крепления трубопроводов.
Подъем плети труб на конструкции крепления трубопроводов производится лебедкой
ЛВД - 24 с тяговым усилием 1200кГс. Лебедка ЛВД - 24 жестко закреплена на
транспортной платформе, транспортная платформа имеет специальные «захваты»,
позволяющие крепить платформу в месте производства монтажных работ;
плети труб, поднятые на конструкции крепления трубопроводов, соединяются
с магистральными трубопроводами при помощи сварки.
Отставание трубопроводов сжатого воздуха и технической воды от забоя
должно исключать повреждение трубопроводов взрывом и составлять не менее 20
метров.
Освещение.
Освещение штрека осуществляется стационарными светильниками в рудничном
нормальном (РН) исполнении, питающимися от осветительных трансформаторов
напряжением 127 В. Светильники стационарно подвешиваются на кабельные
конструкции. Расстояние между светильниками не должно превышать 15 метров.
Призабойное пространство освещается переносными светильниками питаемыми
от осветительного трансформатора напряжением 36 В. Кроме того каждый работник
обеспечен индивидуальным головным светильником с автономным источником питания
(аккумуляторной батареей) рассчитанным на нормальное освещение в течение не
менее 10 часов.
3.9 Организация работ.
В перечень проходческих операций в цикле входят такие операции, как:
Бурение шпуров
Доставка ВВ к месту взрывания
Заряжание и взрывание зарядов ВВ
Проветривание
Уборка и транспортировка породы
Вспомогательные операции.
По каждому процессу определяется объём работ и трудоёмкость.
Определение объёмов работ для всех операций
. По бурению шпуров
Где: lшп - длина шпура, м; N - количество шпуров
. По доставке ВВ к месту взрывания
. По заряжанию и взрыванию
Где: N - число заряжаемых шпуров
4.
По уборке породы определили ранее 
Определение
трудоёмкости всех операций
.
Бурение шпуров
Где: H - норма времени; 1,12 - поправочный
коэффициент на бурение шпуров коронкой 38мм.
. Доставка ВВ к месту взрывания.
. Заряжание и взрывание
Где: 0,7 - поправочный коэффициент при высоте забоя свыше 2 м.
. Уборка породы
. Дополнительные операции
Трудоёмкость на дополнительные операции принимается равным 10% от
суммарной трудоёмкости.
. Определим суммарную трудоёмкость:
В связи с большой суммарной трудоёмкостью, примем состав звена состоящий
из двух человек и 6-ти часовую рабочую смену.
Определение коэффициента наработки
Коэффициент переработки определим по формуле:
Коэффициент переработки лежит в пределах от 1,01 до 1,15.
Определение продолжительности каждой операции
. Бурение шпуров
Где: б - коэффициент учитывающий затраты времени t на проветривание, если оно в выполняется не в межсменный
перерыв.
. Доставка ВВ
. Заряжание и взрывание
. Уборка породы
. Дополнительные операции
Суммарное время Уt=6ч.
График цикличной организации работ представлен на рис. 3.9
|
.Наименование работ
|
Объем работ
|
Кол-во исполнителей
|
Продолжительность работ, ч
|
1
|
2
|
3
|
4
|
5
|
6
|
|
Уборка породы
|
15,89
|
2
|
2,77
|
-
|
-
|
-
|
|
|
|
|
Бурение шпуров
|
28,8
|
2
|
1,85
|
|
|
-
|
-
|
-
|
|
|
Доставка ВВ
|
18,4
|
2
|
0,2
|
|
|
|
|
-
|
|
|
Зар. и взрывание
|
20,24
|
2
|
0,3
|
|
|
|
|
-
|
|
|
Доп. операции
|
|
2
|
0,88
|
|
|
|
|
|
-
|
|
Проветривание
|
|
|
0,15
|
|
|
|
|
|
|
Рис. 3.9
Глава 4. Электроснабжение
К дренажной шахте Лебединского ГОКа подходит линия электропередач
напряжением 6 кВ, которая находится на расстоянии 3,5 км. Питание различных
участков производится за ее счет. На каждом участке стоит свой трансформатор,
подобранный в соответствии с нуждами участка.
Необходимо обосновать оптимальный вариант и произвести расчёт
электроснабжения горнопроходческих работ насосной камеры на горизонте 100м и
выбрать пускатель для каждого потребителя. Трансформаторная подстанция
располагается в соседней, от проектируемой, камеры.
Определение средней и расчётной мощностей
Для начала необходимо определить суммарную установочную мощность,
коэффициент использования и cosц.
Для этого приведём список оборудования, с указанием мощности коэффициента
использования и cosц (таблица
4.1):
Таблица 4.1 Список используемого электрического оборудования.
|
Оборудование
|
Мощность Р, кВт
|
Коэф. использования kи
|
cosц
|
|
Зарядная камера
|
24
|
0,9
|
0,9
|
|
Вентилятор ВМЭ - 6М
|
25
|
0,7
|
0,75
|
|
Вентилятор ВМЭ - 5М
|
13
|
0,7
|
0,75
|
|
Бетономашина БМ - 60
|
4,5
|
0,7
|
0,75
|
|
Насос ЦНС - 38-44
|
6,8
|
0,5
|
0,75
|
|
Освещение
|
11,5
|
0,9
|
1
|
. Пользуясь вышеуказанными данными, определим суммарную установочную
мощность:
.
Определим приведённое число потребителей nэ и средние значения коэф. использования и cosц:
.
Определим средние и расчётные мощности:
По
значениям РсУ и SсУ
проверяем возможность использования в качестве энергоисточника
централизованного варианта ТП-100/6 мощностью 100 кВА.
Трансформатор
можем принять.
Определение
токов в рабочем режиме
.
Для участка от трансформатора к потребителям
Токи
находятся по формуле:
По
величине тока
=148,6 А из условия нагрева может быть принят кабель
сечением медных жил 50 мм
.
2. Потери напряжения в кабеле составят:
Полученный
уровень потерь приемлем.
.
Для участка от государственной линии до трансформаторной подстанции.
Определим
токи:
.
Примем кабель сечения 25 мм2. Потери напряжения составят:
Потери
напряжения приемлемы.
Выбор
оборудования производится по номинальным значениям напряжения и тока. На вводе
в подстанцию применяем оборудование: разъединитель РЛН-6/200 в сочетании с
плавкими предохранителями с вставкой на 10А. На выходе с подстанции и далее до
потребителя применяем оборудование в рудничном исполнении: фидерный автомат АФВ
1 с номинальным значением тока 200А и предельной отключающей способностью 5кА.
Выбор
магнитных пускателей
Магнитые
пускатели выбираются по мощности двигателя и току уставки. Для каждого
потребителя определим токи и выберем пускатель.
.
Зарядная камера
Выберем
пускатель ПВИ-13 с уставкой 63А
.
Вентилятор ВМ - 6М
Выберем
пускатель ПВИ-13 с уставкой 63А
.
Вентилятор ВМ - 5М
Выберем
пускатель ПВИ-13 с уставкой 63А
.
Бетономашина БМ - 60
Выберем
пускатель ПВИ-13 с уставкой 25А
.
Освещение
Выберем
выключатель ПРШ-1
.
Насос ЦНС - 38-44
Выберем
пускатель ПВИ-13 с уставкой 25А
Заземления
Заземление
- это электрическое соединение корпуса установки с заземляющим устройством. В
камере будем применять кроме местных заземлителей, устройство общей заземляющей
сети, к которой и подсоединяться местные заземлители. Общая сеть заземления
осуществляется путем непрерывного электрического соединения между собой
стальной брони и свинцовых оболочек всех кабелей, которые присоединяются к
центральному заземлителю в зумфе ствола.
В
качестве местных заземлителей в шахте будем использовать металлические полосы
из стали площадью не менее 0,6 м2, толщиной не менее 3 мм и длиной
не менее 2,5м. Заземлитель будет укладываться в сточную канаву на «подушку»
толщиной не менее 50 мм из песка или мелких кусков породы и засыпать сверху
слоем в 150 мм такого же материала.
Заземлению
подлежат все металлические части электрических устройств без исключения.
Сопротивление заземляющих устройств в подземных выработках - 2 Ом. В процессе
эксплуатации проверка сопротивления заземления установок необходимо проводить в
начале каждой смены.
.
Сопротивление растеканию полосового заземлителя:
Где:
с - удельное сопротивление грунта в Ом*см; l и b -
длина и ширина полосы в см.
.
Необходимое число заземлителей:
Где:
Rз -
требуемая по условиям безопасности общая величина сопротивления заземляющей
сети в Ом; зз - коэффициент использования заземлителей, учитывающий
их взаимное экранирование.
Глава 5. Экономика
В этой главе нашего проекта произведём расчёт капитальных затрат на
проведение девятого диагонального штрека. Рассчитывались затраты времени по
каждому виду работ, составлялись сметно-финансовые расчёты для определения
стоимости каждого их них.
Проектом предусматривается проходка штрека длиной 1710 м на горизонте 100
м. Породы имеют 9 категорию по шкале Протодьяконова. Выработка будет
проходиться сечением 9,4 м2. Способ проходки - с применением БВР,
Уборка породы производится при помощи ППН-1С машины, вагонетками ВГ-1.2 и
электровозом .
Организационно-технические условия.
Проходка выработок производится в Белгородской области, где действуют
следующие поправочные коэффициенты к сметным затратам:
а) районный коэффициент kрк= 1,0
б) коэффициент к материальным затратам kмз=1,04
в) коэффициент на амортизационные отчисления kам=1,02
Накладные расходы для данного предприятия предусмотрены в развере 20% от
основных. Плановые накопления предусмотрены в размере 18% от суммы основных и
накладных расходов.
Выработка проходится у наклонного ствола. Глубина залегания 100 м.
Шпуры в забое бурятся установками ЛКP-ТЗ или ручными перфораторами ПП-63 с пневмоподдержкой.
Энергоснабжение осуществляется с помощью местной трансформаторной подстанции.
Энергоснабжение осуществляется от государственной электросети.
Основные технико-экономические показатели по горным работам ССН-4
Таблица 5.1 Форма №5-1 пр.
|
№
|
Показатели
|
Виды горных работ
|
|
1
|
Способ проходки и условия работ
|
С БВР, бурение УПБ-1 и переносной перфоратор ПП-63с,
погрузка машиной ППН-1с, в вагонетки ВГ-1,2
|
|
2
|
Сечение выработки, м2
|
9,4
|
|
3
|
Средняя глубина или длина выработки, м
|
855
|
|
4
|
Общее количество метров проходки
|
855
|
|
5
|
В том числе по категории VVII
|
20
|
|
6
|
Конструкция крепи
|
Нет/Набрызг-бетон
|
|
7
|
Средняя длина откатки, м
|
900
|
|
8
|
Способ откатки
|
Электровозом 4,5АРП- 2
|
|
9
|
Приток воды в выработку м3/ч
|
6
|
|
10
|
Способ водоотлива
|
насос ЦНС-38-44
|
|
11
|
Тип водоотлива
|
стационарный
|
|
12
|
Количество бригад
|
3
|
|
13
|
Проходка выработки на 1 бригадо-смену
|
1
|
Таблица 5.2 Расчет затрат времени на горные работы по ССН-4
|
Виды работ
|
Номер табл, строки, столбца ССН-4
|
Ед. изм.
|
объём работ
|
Норма времени на единицу работ
|
Поправочный коэф.
|
Затраты времени с учётов попр. коэф.
|
Кол-во человек
|
Затраты времени с учётом числа рабочих, ч
|
Прод. смены
|
затраты времени, Зв-см
|
|
Проходка с БВР
|
91,15,17
|
м
|
1710
|
9,61
|
-
|
16433,1
|
3
|
64,06
|
6
|
21,35
|
|
Проветривание
|
-
|
|
-
|
-
|
-
|
-
|
-
|
-
|
-
|
28
|
|
Крепление выработки набрызгбетоном
|
106,5,3
|
м
|
20
|
0,61
|
|
12,2
|
3
|
4,06
|
6
|
0,67
|
Таблица 5.3 Сметно-финансовый расчёт №1 по СНОР-4 форма №2-см
статьи расхода
|
Сметная стоимость проходки штрека сечением 9,4 м2 с исп. ППН-1с
|
|
|
по СНОР-4 табл.46 стр.48
|
С уч. попр. коэф
|
С учётом индекс
|
|
1
|
Оплата труда Кр=1,0
|
7655
|
7226
|
|
|
2
|
Отчисления на соц. Нужды Кр=1,0
|
3215
|
3215
|
|
|
3
|
Материальные затраты Кмз=1,04
|
21121
|
21965,8
|
|
|
4
|
Амортизация Кам=1,02
|
6616
|
6748,3
|
|
|
5
|
Итого основных расходов (стр. 1+2+3+4)
|
38607
|
39155,1
|
|
|
6
|
Накладные расходы (20% от стр. 5)
|
|
7831
|
|
|
7
|
Сумма основных и накладных расходов (стр. 5+6)
|
|
46986,1
|
|
|
8
|
Плановые накопления (18% от стр.7)
|
|
8457,5
|
|
|
9
|
Стоимость расчётной единицы(стр.7+8)
|
|
55443,6
|
179637,2
|
|
10
|
Количество расчётных единиц, Зв-смен
|
|
|
144,6
|
|
11
|
Полная сметная стоимость, (стр.9*10)
|
|
|
25975548,3
|
|
12
|
Объём работ в физ. Единицах, м
|
|
|
855
|
|
13
|
Сметная стоимость физ. Единицы, (стр.11/стр12)
|
|
|
30380,75
|
Коэффициент индексации для проходки штрека равен 3,24.
Индексация затрат на оплату труда и социальные нужды.
МРОТ 1992г. 2250
МРОТ 2011г. 4611
Кинд.от = МРОТ2011/МРОТ1992 = 2,05
Таблица 5.4 Индексация материальных затрат. СНОР-4
|
№
|
Статьи расходов
|
Ед. изм.
|
Массовая доля
|
старая цена, руб
|
новая цена, руб
|
|
1
|
Трубы вентиляционные
|
м
|
0,66
|
3176
|
8228
|
|
2
|
Трубы подачи воды
|
м
|
0,18
|
361
|
4240
|
|
3
|
Трубы подачи сжатого воздуха
|
м
|
0,16
|
360
|
860
|
|
№
|
Мд*нц/сц
|
|
|
|
|
|
1
|
1,7
|
|
|
|
|
|
2
|
2,11
|
|
|
|
|
|
3
|
0,38
|
|
|
|
|
|
Киндм.з.
|
4,19
|
|
|
|
|
Таблица 5.5 Индексация амортизацонных затрат СНОР-4 табл.39
|
№
|
Наименование
|
Ед. изм.
|
Массовая доля
|
старая цена, руб
|
новая цена, руб
|
|
1
|
СБКН-2М
|
ед
|
0,46
|
1958000
|
4500000
|
|
2
|
ППН-1с
|
ед
|
0,4
|
731707,3
|
1500000
|
|
3
|
Вентилятор ВМЭ-6м
|
ед
|
0,14
|
42000
|
90000
|
|
4
|
итого
|
|
100
|
|
|
|
№
|
мд*нц/сц
|
|
|
1
|
0,94
|
|
|
2
|
0,82
|
|
|
3
|
0,3
|
|
|
Кинд.от
|
2,06
|
|
|
|
|
|
|
|
|
|
|
Таблица 5.6 Общий коэффициент индексации по СНОР-4
|
№
|
Статьи расходов
|
сметная стоимость
|
массовая доля
|
коэф. индексации
|
|
|
1
|
Оплата труда
|
9565
|
0,185
|
2,05
|
0,38
|
|
2
|
Отчисления на нужды
|
3252,1
|
0,063
|
2,05
|
0,13
|
|
3
|
Материальные затраты
|
29669
|
0,574
|
4,19
|
2,40
|
|
4
|
Амортизация
|
9208
|
0,178
|
2,06
|
0,33
|
|
5
|
Итого осн. расходов
|
51694,1
|
1
|
|
3,24
|
Таблица 5.7 Сметно-финансовый расчёт №2 по СНОР-4
|
№
|
статьи расхода
|
Сметная стоимость на крепление выработки.
|
|
|
по СНОР-4
|
С уч. попр. коэф
|
С учётом индекс
|
|
1
|
Оплата труда Кр=1,0
|
5603
|
6443
|
|
|
2
|
Отчисления на соц. нужды Кр=1,0
|
2216
|
2548,4
|
|
|
3
|
Материальные затраты Ктзр=1,04
|
34602
|
41522,4
|
|
|
4
|
Амортизация Ктзр=1,02
|
1366
|
1502
|
|
|
5
|
Итого основных расходов (стр. 1+2+3+4)
|
43787
|
52015,8
|
|
|
6
|
Накладные расходы (20% от стр. 5)
|
|
10403,16
|
|
|
7
|
Сумма основных и накладных расходов (стр. 5+6)
|
|
62418,96
|
|
|
8
|
Плановые накопления (18% от стр. 7)
|
|
11235,41
|
|
|
9
|
Стоимость расчётной единицы (стр. 7+8)
|
|
73654,37
|
184872,47
|
|
10
|
Количество расчётных единиц
|
|
|
45,4
|
|
11
|
Полная сметная стоимость (стр. 9*10)
|
|
|
8356235,64
|
|
12
|
Объём работ в физ. единицах
|
|
|
20
|
|
13
|
Сметная стоимость физ. единицы (стр. 11/12)
|
|
|
417811,78
|
Коэффициент индексации на крепление выработки равен 2,51
Индексация затрат на оплату труда и социальные нужды.
МРОТ 1992г. 2250
МРОТ 2011г. 4611
Кинд.от = МРОТ2011/МРОТ1992 = 2,05
Таблица 5.8 Индексация материальных затрат. СНОР-4
|
№
|
Наименование
|
Ед. изм.
|
Массовая доля
|
старая цена, руб
|
новая цена, руб
|
|
1
|
Цемент
|
т
|
0,79
|
3025
|
8000
|
|
2
|
Щебень
|
м3
|
0,21
|
800
|
2400
|
|
3
|
итого
|
|
1
|
|
|
|
№
|
мд*нц/сц
|
|
|
1
|
2,09
|
|
|
2
|
0,63
|
|
|
Кинд.м.з.
|
2,72
|
|
|
|
|
|
|
|
|
|
Таблица 5.9 Индексация амортизацонных затрат СНОР-4
|
№
|
Наименование
|
Ед. изм.
|
Массовая доля
|
старая цена, руб
|
новая цена, руб
|
|
1
|
Бетономашина БМ-60
|
ед
|
0,4
|
108000
|
180000
|
|
2
|
ПВИ-13 с уставкой 25А
|
ед
|
0,7
|
28000
|
20000
|
|
3
|
итого
|
|
1
|
|
|
|
№
|
мд*нц/сц
|
|
|
1
|
0,066
|
|
|
2
|
0,9
|
|
|
Кинд.от
|
0,96
|
|
|
|
|
|
|
|
|
|
|
Таблица 5.10 Общий коэф. индексации по СНОР-4
|
№
|
Статьи расходов
|
сметная стоимость
|
массовая доля
|
коэф. индексации
|
|
|
1
|
Оплата труда
|
5603
|
0,153
|
2,05
|
0,31
|
|
2
|
Отчисления на нужды
|
1905
|
0,052
|
2,05
|
0,11
|
|
3
|
Материальные затраты
|
27644
|
0,757
|
2,72
|
2,05
|
|
4
|
Амортизация
|
1366
|
0,037
|
0,9
|
0,03
|
|
5
|
Итого осн. расходов
|
36518
|
1
|
-
|
2,51
|
Таблица 5.11 Сметно-финансовый расчёт №3 по СНОР-4
|
№
|
статьи расхода
|
Сметная стоимость на уборку породы
|
|
|
по СНОР-4
|
С уч. попр. коэф
|
С учётом индекс
|
|
1
|
Оплата труда Кр=1,0
|
1101
|
1266
|
|
|
2
|
Отчисления на соц. нужды Кр=1,0
|
373,34
|
430
|
|
|
3
|
Материальные затраты Ктзр=1,04
|
4503
|
5403
|
|
|
4
|
Амортизация Ктзр=1,02
|
3148
|
3462
|
|
|
5
|
Итого основных расходов (стр. 1+2+3+4)
|
9125,34
|
10563
|
|
|
6
|
Накладные расходы (20% от стр. 5)
|
|
2112
|
|
|
7
|
Сумма основных и накладных расходов (стр. 5+6)
|
|
12675
|
|
|
8
|
|
2281
|
|
|
9
|
Стоимость расчётной единицы (стр. 7+8)
|
|
14957
|
40084,76
|
|
10
|
Количество расчётных единиц
|
|
|
82
|
|
11
|
Полная сметная стоимость (стр. 9*10)
|
|
|
3286950,32
|
|
12
|
Объём работ в физ. единицах
|
|
|
|
|
13
|
Сметная стоимость физ. единицы (стр. 11/12)
|
|
|
|
Коэффициент индексации на уборку породы равен 2,68
Индексация затрат на оплату труда и социальные нужды.
МРОТ 1992г. 2250
МРОТ 2011г. 4611
Кинд.от = МРОТ2011/МРОТ1992 = 2,05
Таблица 5.12 Индексация материальных затрат. СНОР-4 табл. 38
|
№
|
Наименование
|
Ед. изм.
|
Массовая доля
|
старая цена, руб
|
новая цена, руб
|
|
1
|
Дизельное топливо
|
кг
|
1
|
8
|
30
|
|
№
|
мд*нц/сц
|
|
|
1
|
3,75
|
|
|
Кинд.м.з.
|
3,75
|
|
|
|
|
|
|
|
|
|
Таблица 5.13 Индексация амортизацонных затрат СНОР-5 табл. 39
|
№
|
Наименование
|
Ед. изм.
|
Массовая доля
|
старая цена, руб
|
новая цена, руб
|
|
1
|
ППН-1с
|
ед
|
1
|
731307,3
|
1500000
|
|
2
|
итого
|
|
1
|
|
|
|
|
№
|
мд*нц/сц
|
|
|
1
|
1,51
|
|
|
Кинд.от
|
1,51
|
|
|
|
|
|
|
|
|
|
|
|
|
Таблица 5.14 Общий коэффициент индексации по СНОР-4
|
№
|
Статьи расходов
|
сметная стоимость
|
массовая доля
|
коэф. индексации
|
|
|
1
|
Оплата труда
|
1101
|
0,121
|
2,05
|
0,25
|
|
2
|
Отчисления на нужды
|
373,34
|
0,041
|
2,05
|
0,08
|
|
3
|
Материальные затраты
|
4503
|
0,493
|
3,75
|
1,84
|
|
4
|
Амортизация
|
3148
|
0,345
|
1,51
|
0,51
|
|
5
|
Итого осн. расходов
|
9125
|
1
|
|
3,68
|
Таблица 5.15 Сметно-финансовый расчёт №4 по СНОР-4. Проветривание
|
№
|
статьи расхода
|
Сметная стоимость на проветривание выработки
|
|
|
по СНОР-4
|
С уч. попр. коэф
|
С учётом индекс
|
|
1
|
Оплата труда Кр=1,0
|
272
|
312
|
|
|
2
|
Отчисления на соц. нужды Кр=1,0
|
92,5
|
106
|
|
|
3
|
Материальные затраты Ктзр=1,04
|
3908
|
4689
|
|
|
4
|
Амортизация Ктзр=1,02
|
180
|
198
|
|
|
5
|
Итого основных расходов (стр. 1+2+3+4)
|
4452,5
|
5306
|
|
|
6
|
Накладные расходы (20% от стр. 5)
|
|
1061
|
|
|
7
|
Сумма основных и накладных расходов (стр. 5+6)
|
|
6368
|
|
|
8
|
Плановые накопления (18% от стр. 7)
|
|
1146
|
|
|
9
|
Стоимость расчётной единицы (стр. 7+8)
|
|
7514
|
18785
|
|
10
|
Количество расчётных единиц
|
|
|
15
|
|
11
|
Полная сметная стоимость (стр. 9*10)
|
|
|
281775
|
Коэффициент индексации на проветривание равен 2,5
Индексация затрат на оплату труда и социальные нужды.
МРОТ 1992г. 2250
МРОТ 2011г. 4611
Кинд.от = МРОТ2011/МРОТ1992 =2,05
Таблица 5.16 Индексация материальных затрат. СНОР-5
|
№
|
Статьи расходов
|
Ед. изм.
|
Массовая доля
|
старая цена, руб
|
новая цена, руб
|
|
1
|
Трубы вентиляционные
|
м
|
1
|
3176
|
8228
|
|
№
|
мд*нц/сц
|
|
|
1
|
2,59
|
|
|
Кинд.от
|
2,59
|
|
|
|
|
|
|
|
|
|
Таблица 5.17 Индексация амортизацонных затрат СНОР-5
|
№
|
Наименование
|
Ед. изм.
|
Массовая доля
|
старая цена, руб
|
новая цена, руб
|
|
1
|
Вентилятор ВМ-6
|
ед
|
1
|
135000
|
190000
|
|
№
|
мд*нц/сц
|
|
|
1
|
1,41
|
|
|
Кинд.от
|
1,41
|
|
|
|
|
|
|
|
|
|
Таблица 5.18 Общий коэф. индексации по СНОР-4
|
№
|
Статьи расходов
|
сметная стоимость
|
массовая доля
|
коэф. индексации
|
|
|
1
|
Оплата труда
|
272
|
0,061
|
2,05
|
0,13
|
|
2
|
Отчисления на нужды
|
92,5
|
0,021
|
2,05
|
0,04
|
|
3
|
Материальные затраты
|
3908
|
0,878
|
2,59
|
2,27
|
|
4
|
Амортизация
|
180
|
0,04
|
1,41
|
0,06
|
|
5
|
Итого осн. расходов
|
4452,5
|
1
|
|
2,5
|
Таблица 5.19 Основные технико-экономические показатели проекта Форма №4-1
|
№
|
Показатели
|
Проходка штрека
|
|
1
|
Площадь сечения, м2
|
9,4
|
|
2
|
Длина выработки, м
|
855
|
|
3
|
Количество выработок
|
1
|
|
4
|
Тип вентилятора ВМ-5м
|
1
|
|
4
|
Тип вентилятора ВМ-6м
|
1
|
|
6
|
Количество смен:
|
|
|
7
|
-на проходку
|
84
|
Таблица 5.20 Сводная смета затрат на горные работы
|
№
|
Наименование
|
Ед. изм.
|
Объёмы
|
Ст-ть ед. работ
|
Полная сметная стоимость
|
|
1
|
Проходка
|
м
|
855
|
30380,75
|
59755483
|
|
2
|
Уборка
|
ст.-см
|
|
|
3286950,32
|
|
3
|
Проветривание
|
ст.-см
|
|
|
281775
|
|
4
|
Крепление
|
м
|
20
|
417811,78
|
8356235,64
|
|
Итого
|
|
|
448192,52
|
37900509,26
|
|
1 метр проходки
|
|
|
|
151801,2
|
Глава 6. Охрана труда и окружающей среды
Охрана труда - система законодательных актов, социально-экономических,
организационных, технических, гигиенических и лечебно-профилактических
мероприятий и средств, обеспечивающих безопасность, сохранение здоровья и
работоспособности человека в процессе труда (ССБТ, ГОСТ 12.0.002-80).
Охрана труда охватывает сложный комплекс осуществляемых мероприятий по
обеспечению безопасных и здоровых условий труда. Она требует повседневного
пристального внимания вопросам безопасности труда, производственной санитарии,
пожарной безопасности и горноспасательного дела и должна входить как
неотъемлемая часть в любое технологическое решение, содержаться в каждом наряде
и распоряжении.
Трудовая деятельность человека на производстве, как известно, протекает в
рамках производственной системы «Человек - орудие труда - предмет труда -
производственная среда». Поэтому эффективность, безопасность и условия труда
зависят всецело от того, насколько все элементы такой системы совершены,
надежны, безопасны и в какой степени они эргономически соответствуют друг другу.
Охрана труда при работе на буровой установке.
При эксплуатации буровой установки обслуживающий персонал должен
выполнять требования правил безопасносности, установленных на руднике, а также
указания мер безопасности, изложенные в инструкции по эксплуатации установки.
При выполнении работ необходимо соблюдать требования инструкции по охране
труда проходчиков БТИ 01.49-2004, к работе допускаются люди имеющие
удостоверение по профессии проходчик.
Перед началом работы буровую установки следует опробовать и убедится в ее
исправности. После орошения забоя, начинается бурение.
Не следует:
эксплуатировать установку в неосвещенных и не приведенных в безопасное
состояние выработках;
производить работы по техническому обслуживанию и ремонту механизмов
работающей установки;
во время бурения находиться под податчиком или стрелой;
разъединять пневматические и гидравлические рукава при наличии в них
давления;
отвинчивать крышку горловины автомасленки, при открытом кране,
соединяющем ее с шахтной магистралью;
продолжать работу при появлении в стенках рукавох сквозных отверстий;
продолжать работу при неисправностях, могущих привести к возникновению
аварийной ситуации.
Для защиты от шума оператор должен пользоваться индивидуальными мерами
защиты.
При прекращении работы необходимо перекрыть воздушные и водяные краны, а
при длительном перерыве в работе отсоединить воздушные и водяные рукова.
Охрана труда персонала, проводящего взрывные работы
Производить взрывные работы могут только лица, сдавшие экзамен
квалификационной комиссии и имеющие «Единую книжку взрывника
(мастера-взрывника)».
Хранение взрывчатых материалов должно производиться с соблюдением всех
необходимых условий, исключающих хищение и порчу. Хранение взрывчатых
материалов разрешается только в специальных складах, ящиках или сейфах,
устроенных или приспособленных для этого согласно требованиям «Единых правил
безопасности при взрывных работах».
В подземных выработках при методе шпуровых зарядов взрывчатые материалы
перед заряжанием должны находиться в сумках или кассетах у забоя в безопасном
месте под непосредственным наблюдением взрывника и подносчика. Допускается
также хранение доставленных к месту работы взрывчатых материалов в специальных
ящиках или контейнерах, закрытых на замок и размещенных в нишах.
Взрывание шпуровых зарядов производится по паспортам. Паспорт
буровзрывных работ составляется для каждой выработки на основании опытных
данных.
Перед началом взрывных работ устанавливают границы опасной зоны. На
границах опасной зоны на время взрывных работ должны быть выставлены посты
охраны этой зоны.
При производстве взрывных работ в подземных горных выработках обязательно
применение звуковых и световых сигналов. Подача сигнала голосом не разрешается.
При обнаружении невзорвавшихся зарядов (отказов) или при подозрении на
это взрывник должен закрестить забой выработки и уведомить об этом руководителя
взрывных работ или лицо сменного технического надзора. В местах отказов
запрещаются какие-либо работы, не связанные с их ликвидацией.
Всякий заряд, который не может быть взорван по причине технического
характера, например вследствие неустранимых нарушений взрывной сети,
рассматриваются как отказ.
При бурении шпуров запрещается использовать «стаканы», т. е. добуривать
шпуры, оставшиеся на забое от предыдущего взрывания. Это требование необходимо
строго выполнять вне зависимости от наличия или отсутствия в «стаканах»
остатков взрывчатых веществ.
Ликвидация отказавших шпуровых зарядов разрешается путем взрывания
зарядов во вспомогательных шпурах, пробуренных параллельно отказавшим на
расстоянии не ближе 30 см.
Проветривание и борьба с пылью в подземных горных выработках.
При движении по подземным горным выработкам воздух, поданный с
поверхности, претерпевает существенные изменения. Прежде всего, в его составе
уменьшается содержание кислорода и появляется ряд ядовитых, вредных или
взрывоопасных газов. Кроме того, воздух загрязняется производственной пылью.
Задача проветривания - поддержание состава и свойств воздуха в подземных
выработках на уровне, соответствующем требованием Правил безопасности.
Проветривание и борьба с пылью осуществляется по проекту комплексной
очистки воздуха. Руководство и контроль за этими работами входят в функции
пылевентиляционной службы, а при ее отсутствии - в функции специально
назначаемых лиц технического надзора.
Непрерывному проветриванию с помощью вентиляторов подлежат все
горизонтальные выработки длинной более 10 м. Количество воздуха, необходимого
для проветривания подземных выработок, рассчитывается с учетом следующих
факторов:
наличие пыли, углекислого газа;
образование ядовитых газов при взрывных работах;
выделение ядовитых и взрывоопасных газов из горных пород, шахтных вод;
выброс в атмосферу выработок вредных компонентов с выхлопными газами при
использовании в подземных условиях двигателей внутреннего сгорания.
При отсутствии пылеобразования и выделения вредных веществ в выработке
воздух для проветривания подается в количестве не мение 6м3мин на
человека, считая по наибольшему числу одновременно работающих в выработке
людей.
К забоям выработок, где ведутся взрывные работы воздух подается в таком
количестве, которое за время не более 30 минут обеспечит уменьшение
концентрации ядовитых продуктов взрыва не менее чем до 0,008% по объему в
пересчете на условную окись углерода.
Все технологические операции, связанные с пылеобразованием, необходимо
выполнять с гидрообеспыливанием. Исключение составляют случаи недопустимости
увлажнения пород, проведение выработок в условиях отрицательных температур и
отсутствия воды. В этих случаях применяются методы сухого пылеулавливания.
Предупреждение поражения электрическим током
Действие электрического тока на организм человека представляет собой
довольно сложное и многообразное явление. Если человек оказывается под
электрическим напряжением, то ток, протекающий через тело, производит
термическое, электролитическое и биологическое воздействие, вызывая поражение
внутренних органов. Термическое действие выражается во внутренних или внешних
ожогах, нагреве тканей, крови; электролитическое - в разложении крови и другой
органической жидкости и, как следствие, в изменении физико-химического состава
крови и тканей. Биологическое действие связано с раздражением и возбуждением
тканей организма, что может сопровождаться непроизвольными, судорожными
сокращениями мышц, в том числе сердца и легких.
Поражающее действие электрического тока на организм человека зависит от
величины тока, его частоты и времени воздействия.
При частоте тока 50 Гц человек начинает ощущать воздействие переменного
тока величиной 0,6-1,5 мА. Это пороговый ощутимый ток. Величина порогового
ощутимого постоянного тока составляет 6-7 мА.
При 8-10 мА болезненные ощущения усиливаются и охватывают всю руку ( при
прикосновении рукой), сопровождаясь непроизвольным сокращением мышц кисти руки
и предплечья.
При 10-25 мА боль становится едва переносимой, а судороги мышц руки
настолько значительны, что человек не может разжать руку, в которой зажата
токоведущая часть. Это называется пороговым, неотпускающим током (для
переменного тока с частотой 50 Гц - 10-15 мА, для постоянного - 50-80 мА).
Ток в 25-50 мА воздействует не только на мышцы рук, но и на туловище, в
том числе и на мышцы грудной клетки, сильно затрудняя дыхание. Ток от 100 мА до
5А действует непосредственно на мышцы сердца, вызывая фибрилляцию со
смертельным исходом.
Сопротивление тела человека может изменяться от 500 до 100000 Ом в
зависимости от множества факторов: места соприкосновения, состояния кожи
(влажная, загрязненная), величины приложенного напряжения и протекающего тока.
При напряжении до 30 В сопротивление практически не меняется, с увеличением
напряжения до 250 В - резко уменьшается.
Основное условие безопасной эксплуатации сетей напряжения свыше 1000 В -
своевременное проведение плановых профилактических осмотров и ремонтов, а также
наладка аппаратуры и средств защиты. Помимо защиты от токов короткого
замыкания, важным средством защиты является защита от утечек тока на землю. В
сетях с напряжением более 1000 В эта защита обязательна.
Большую опасность представляет «шаговое» напряжение, возникающее при
обрыве и падении на землю проводов линии высокого напряжения. Правила
безопасности запрещают приближаться к лежащим на земле или оборванным проводам
на расстояние менее 10 м.
На геологоразведочных работах для подключения потребителей электроэнергии
широко применяют кабели.
В подземных выработках кабельные линии являются наиболее уязвимым
элементом электрооборудования, поэтому при стационарной прокладке допускается к
применению только бронированные кабели. Гибкие кабели применяются для
передвижного и переносного оборудовании и механизмов.
Необходимо, чтобы при эксплуатации кабель не терся о движущиеся части
механизмов, не попадал под погрузочную машину, вагонетки, не был завален
породой. С этой целью кабель подвешивают таким оразом, чтобы при случайном
обрыве сети кабель не оказался на рельсовом пути. Кабель подвешивают на такой
высоте, чтобы проходящие вагонетки или другое оборудование не смогли его
задеть. Кабели подвешиваются не жестко, с тем чтобы упавшие куски породы
обрывали подвеску, а не кабель.
Перед взрывными работами кабель опускается на почву и защищается от
повреждений. При отсутствии защитных средств кабель выносится из забоя.
Техническими способами и средствами защиты для обеспечения
электробезопасности в соответствии с ГОСТ 12.1.019-79 «ССБТ.
Электробезопастность. Общие требования» являются: защитное заземление;
зануление выравнивание потенциалов, малое напряжение, электрическое разделение
сетей, защитное отключение, изоляция токоведущих частей (рабочая,
дополнительная, усиленная, двойная); компенсация токов замыкания на землю;
оградительные устройства;предупредительна сигнализация, блокировка, знаки
безопасности; средства защиты и предохранительные приспособления.
Защитное заземление. Это самая распространенная, простая и
эффективная мера защиты. Защитным заземлением называют соединение с землей
корпусов и других металлических частей электрооборудования, которые не
находятся под напряжением, но могут оказаться под напряжением вследствие
повреждения изоляции. Заземление выполняется с помощью зеземлителей и
заземляющих проводников. Заземлению подлежат все корпуса и станины
электрических машин, металлические кожухи трансформаторов, выключателей,
приборов, каркасы распределительных щитов, металлические оболочки кабелей, стальные
трубы электропроводки, металлические ограждения.
Сопротивление изоляции электрических установок и кабелей напряжением
127-1000 В относительно земли при использовании переменного тока должно
составлять не менее 1Мом.
Заземляющие проводники должны быть медными, стальными или алюминиевыми.
Минимальные сечения медных и алюминиевых заземляющих проводов в
электроустановках напряжением до 1000 В при использовании голых проводников и
открытой их прокладке составляют соответственно 4 и 6 мм2.
Защитное зануление. Защитное зануление - присоединение к
неоднократно заземленному нулевому проводу металлических частей
электрооборудования, которые нормально не находятся под напряжением, но могут
оказаться под напряжением, вследствие выхода из строя изоляции. Задача защитного
зануления - превратить пробой на корпусе короткое замыкание между фазным и
нулевым проводом и обеспечить протекание через защиту большого тока, быстро
отключающего оборудование от сети.
В качестве нулевых проводов допустимо использовать стальные полосы,
металлические оболочки кабелей, рельсовые пути, металлоконструкций зданий и пр.
Проводимость нулевого провода должна составлять не менее 50% проводимости
фазного.
Защитное отключение обеспечивается специальными устройствами,
автоматически отключающими не более чем за 0,2 с электрическую установку при
пробое на корпус. Основа этих устройств - реле утечки. При использовании реле
утечки устраняется опасность от прикосновения не только к нетоковедущим частям,
попавшим под напряжение, но и к токоведущим, если переходное сопротивление на
землю окажется небольшим.
Ограничение величины напряжения.Условия безопасности могут быть
улучшены ограничением величины напряжения в сетях в зависимости от вероятности
контакта с приемниками электрической энергии. Безопасность прикосновения к
токоведущим частям электрооборудования в большей степени обеспечивается при
режиме с изолированной нейтралью. При заземлении нейтрали замыкание одной из
фаз на землю может сопровождаться появлением открытой искры или электрической дуги,
что может привести к пожару или взрыву. Поэтому в шахтах применение режима с
заземленной нейтралью запрещено.
Обслуживание электроустановок должно производиться с использованием
соответствующих средств защиты, среди которых важную группу составляют изолирующие
защитные средства: токоизмерительные и изолирующие клещи, изолирующие штанги,
указатели высокого напряжения, токоискатели, инструмент с изолированными
рукоятями, диэлектрические перчатки, диэлектрические галоши, боты, коврики и
изолирующие подставки.
К мерам безопасности при использовании электроустановок относится также
установка знаков безопасности у всех установок высокого и низкого напряжения.
Во время работы ремонтных работ на всех отключенных рубильниках и выключателях,
включением которых может быть подано напряжение к месту работ, обязательно
должны вывешиваться знаки безопасности «Не включать! Работают люди».
Производственное освещение.
Для создания благоприятных условий труда важное значение имеет
рациональное освещение производственных помещений и рабочих мест. Правильно
спроектированное и выполненное производственное освещение улучшает условия
работы, снижает утомляемость, способствует повышению производительности труда и
качества продукции, благоприятно влияет на производственную среду, повышает
безопасность труда, снижает уровень травматизма.
Для сетевого освещения в горных выработках светильниками с лампами
накаливания должно применяться напряжение на выше 127 В. Допускается линейное
напряжение 220 В для стационарного люминесцентного освещения.
Для питания переносных ручных светильников разрешается применять
напряжение не выше 42 В, при работе в сырых помещениях, где работы связаны с
прикосновением к токопроводящим поверхностям, должно применяться напряжение не
выше 12 В. Питание светильников напряжением 42 В и ниже должно производиться от
трансформаторов с раздельными обмотками первичного и вторичного напряжения.
Применение автотрансформаторов для этих целей запрещается.
В шахтном освещении для устранения блёскости ламп накаливания светильники
сетевого освещения и индивидуальные светильники шахтеров должны иметь на лампах
колпаки с рассеивающим стеклом - ребристым, матовым, молочным. Кроме того,
стационарные светильники с целью уменьшения слепящего действия подвешиваются на
максимально возможной высоте.
По принципу излучения света электрические светильники делятся на
светильники с лампами накаливания и с люминесцентными лампами.
Стационарные светильники с лампами накаливания подразделяются по степени
безопасности на следующие типы: светильники рудничные в нормальном исполнении
(РН), применяемые в шахтах не опасных по взрывам газа и пыли; рудничные
светильники повышенной надежности (РП), применяемые для освещения выработок,
омываемых свежей струей воздуха в шахтах, опасных по взрыву газа и пыли;
рудничные светильники во взрывобезопасном исполнении (РВ), служащие для
освещения выработок, опасных по взрыву газа и пыли.
Для освещения горных выработок применяются рудничные люминесцентные
светильники в нормальном (РНЛ-15) и во взрывобезопасном (РВЛА-15, РВЛ-15 и
РВЛ-80) исполнении.
У люминесцентных светильников светоотдача в 4-5 раза и срок службы в
2-2,5 раза больше, чем у светильников с лампами накаливания. Однако эти
светильники имеют большую массу, сложную систему зажигания, несколько искажают
цвет, им присущ стробоскопический эффект.
Индивидуальные светильники шахтеров.
Каждый спускающийся в шахту должен иметь при себе переносной
индивидуальный светильник. Индивидуальный светильник по источнику света
подразделяются на аккумуляторные, бензиновые и ацетиленовые, а по
конструктивному оформлению - на головные и ручные. На подземных горных работах
применяются преимущественно аккумуляторные индивидуальные светильники
(кислотные и щелочные). Щелочные аккумуляторы менее чувствительны к сотрясением
и имеют почти в пять раз больший срок службы, чем кислотные. Кислотные
аккумуляторы отличаются меньшой массой и стоимостью при одинаковой емкости со
щелочными аккумуляторами и более безопасны в отношении ожогов электролитом.
На видах работ, где в настоящее время техническими средствами невозможно
добиться снижения шума до допустимого уровня, применение средств индивидуальной
защиты является необходимой мерой.
Для защиты от шума применяют специальные наушники, шлемы (каски),
эластичные вкладыши, тампоны из волокнистых материалов. Средства индивидуальной
защиты от шума должны иметь высокую эффективность, обеспечивать прием
предупредительных сигналов, быть простыми и удобными в эксплуатации.
Наряду с совершенствованием индивидуальных средств необходимо
совершенствовать способы подачи предупредительных сигналов, использую диапазон
низких и средних частот, где средства индивидуальной защиты имеют низкую
эффективность.
Вибрации - колебательные движения упругих тел, конструкций, сооружений
около положения равновесия. Колебания с частотой ниже 20 Гц воспринимаются
организмом как вибрации, а колебания с частотой выше 20 Гц - одновременно и как
вибрация, и как звук.
К работе с вибрирующим оборудованием допускаются лица не моложе 18 лет,
прошедшие предварительный медицинский осмотр. При работе с вибрирующим
оборудованием суммарное время контакта с вибрирующими поверхностями не должно
превышать 2/3 длительности рабочего дня.
При работе с вибрирующим оборудованием рекомендуется периодически
включение в рабочий процесс технологических операций, не связанных с
воздействием вибраций, или предоставление работающим 10-15 минутных перерывов
после каждого часа работ.
Мероприятия по снижению вредного воздействия вибрации включают:
применение дистанционного управления, исключающего передачу вибрации на рабочее
место; использование виброизоляции рабочего места при работе машин,
генерирующих вибрации; применение средств индивидуальной защиты - виброгасящей
обуви и виброгасящих рукавиц; организационно-профилактические мероприятия.
Охрана окружающей среды
в результате эксплуатации месторождений и работы их систем
осушения образовалась обширная депрессионная воронка.
Последствиями развития ее, формирующейся в течение довольно
продолжительного времени, могут быть:
- осадка дневной поверхности;
- изменение режимов поверхностных водотоков и водоемов,
попадающих в зону влияния депрессии;
- осушение гидравлически взаимосвязанных водоносных горизонтов.
Многолетними наблюдениями, выполняемыми в пределах территории,
прилегающей к карьеру, осадки дневной поверхности в результате осушения не
отмечалось.
Наличие гидравлической взаимосвязи между водоносными горизонтами
сеноман-альбских песков, мело-мергельных отложений и распространенных в долине
р. Осколец аллювиальных песков указывает на возможность влияния проектируемых
мероприятий на изменение режима р. Осколец. Однако, к настоящему времени
абсолютные отметки сниженного уровня подземных вод находятся ниже абсолютных
отметок уровня воды в реке. Следовательно предлагаемые дренажные мероприятия не
окажут влияния на режим близрасположенного поверхностного водотока.
Кроме того, вследствие отрыва уровня подземных вод, произошедшего
вследствие длительного периода эксплуатации систем водопонижения в пределах
территории, прилегающей к карьеру, не отмечается влияние дренажных мероприятий
на режим поверхностных водоемов.
По фактическим данным и гидрогеологическим исследованиям установлено, что
к настоящему времени мело-мергельный водоносный горизонт полностью сдренирован,
поэтому работа дренажной системы не оказывает влияния на вышерасположенный
водоносный горизонт.
Сооружаемая в результате реконструкции дренажная система не требует
отчуждения земель и новых земельных отводов на дневной поверхности, а также
последующей рекультивации плодородного слоя почвы.
Из изложенного следует, что не требуется разработка специальных
мероприятий по защите окружающей среды.
Проведение многих видов геологоразведочных работ негативно влияет на
состояние окружающей природной среды: нарушается земная поверхность,
загрязняются, а в некоторых случаях и изменяются режимы поверхностных и
подземных вод, загрязняется также воздушная среда. Наиболее значимое
последствие - нарушение земной поверхности, которое приводит не только к
загрязнению, но и к изменению рельефа, а иногда - к уничтожению и деградации
растительного покрова на значительных, возрастающих в процессе
геологоразведочных работ, участках территории. Разовые, многократно
повторяющиеся или непрерывные транспортные операции - неотъемлемая и в
подавляющем большинстве случаев весьма существенная составная часть комплекса
процессов, связанных с поисками и разведкой месторождений полезных ископаемых.
Проблемы сохранения и восстановления земной
поверхности в связи с развитием наземных транспортных связей геологоразведочных
экспедиций и партий приобретает всё большую актуальность. К основным
мероприятиям, направленным на решение этих проблем, относятся следующие:
1)
тщательный анализ
схем транспортных связей и их элементов с учетом конкретных географических
условий, обеспечивающий снижение отрицательных экологических последствий;
2)
оптимизация
конструктивных параметров и технологии сооружения наземных транспортных трасс;
3)
выбор
транспортных средств, обеспечивающих в процессе эксплуатации наибольшую
сохранность полотна трассы и поверхности соседних земельных участков;
4)
установление
наиболее благоприятных
5)
проведение
рекультивации земельных участков, нарушенных при сооружении и ремонте дорог
(например, снятие и сохранение почвенного слоя при разработке резервов с
последующим перекрытием вскрытых пород или укреплением от эрозии откосов выемок
и насыпей);
6)
проведение
восстановительных работ после окончания эксплуатации транспортных трасс с
элементарными агротехническими мероприятиями по улучшению загрязненных и
эрозирующих земельных участков и в некоторых случаях - с посадкой деревьев и
кустарников.
Специфических особенностей в решении проблемы снижения
загрязнения воздушной среды выхлопными газами двигателей автомобилей, тракторов
и других транспортных средств при геологоразведочных работах нет, по существу
она должна решаться теми же путями, как и в других отраслях промышленного и
сельскохозяйственного производства. К основным мероприятиям относятся:
использование транспортных средств с более совершенными двигателями,
оптимизация режимов работы последних; улучшение конструкций газоочистных
устройств и переход на новые, более совершенные виды топлива.
Одно из средств оптимизации режимов работы двигателей
- улучшение качества транспортных трасс (наземных - для автомобилей и тракторов
и водных - для катеров и других моторных плавсредств). Пылевыделение при
эксплуатации наземного транспорта, при взлете и приземлении вертолетов и
самолетов, а также вследствие ветровой эрозии автомобильных и тракторных дорог
столь невелико, что вряд ли может рассматриваться как значительный фактор, от
которого следует охранять окружающую природную среду. Однако в отдельных
случаях локальные загрязнения минеральной пылью воздуха и участков земной
поверхности целесообразно предотвращать путём проведения мероприятий по
закреплению пылящих дорог или посадочных площадок вяжущими эмульсиями на основе
сульфатно-спиртовой барды или периодически орошать их водой.
При проектировании, сооружении, эксплуатации,
консервации, восстановлении или ликвидации различных транспортных связей
геологоразведочных организаций правила оптимального природопользования должны
соблюдаться так же неуклонно, как правила технической эксплуатации и техники
безопасности.
Отходы производства.
Отходами производства дренажного комплекса являются породы от проходки
подземных горных выработок. Породы представленные сланцами различного состава и
кварцитами, аналогичные вскрышным породам карьера, транспортируются и
складируются в отвале рыхлой вскрыши № 2.
Список используемой литературы и ссылок
1. Л.Г. Грабчак, Ш.Б. Багдасаров, С.В. Иляхин
«Горноразведочные работы» учебник для вузов. Издательство «Высшая школа» 2003г.
2. А.П. Карпиков, В.И. Несмотряев, В.В. Чубаров.
«Проведение горных выработок» Издательство «Щит-М» 2008г.
. Технический проект ЛГОКа
4. Паспорта БВР Подземного дренажного комплекса
. Единые нормы времени и выработки
.Единые Правила безопасности при разработке рудных, нерудных
и россыпных месторождений полезных ископаемых подземным способом. Москва НПО
ОБТ 2003
.А.М. Лимитовский «Электрооборудование и электроснабжение
геологоразведочных работ» Издательство «Недра» 1976г.
. Курсовой проект по теме «Электроснабжение горных выработок»
. Курсовой проект по теме «Проходка горных выработок»
. Курсовой проект по теме «Горное давление и крепление горных
выработок»
11. В.И. Несмотряев, А.А. Харев. «Охрана труда на
геологоразведочных работах» Издательство «Недра» 1987г.
12. Лукьянов В.Г., Громов А.Д. Проведение горноразведочных
выработок, Москва, Недра 1999.
. Методические указания по дипломному проектированию
для студентов специальности «Технология и техника разведки МПИ», Москва, 2004.
. Несмотряев В.И., Косьянов В.А. Проведение
горизонтальных подземных разведочных выработок и камер.- М.: МГГРУ, 2001.
. Шехурдин В.К., Несмотряев В.И., Федоренко П.И.
«Горное дело», Москва, Недра, 1987 год.