Приток жидкости к скважине при частично изолированном контуре питания
Оглавление
скважина
контур питание пласт
Введение
Постановка
задачи
. Связь
плоской задачи теории фильтрации с теорией функции комплексного переменного
.1 Построение
комплексных областей
.2 Нахождение
комплексного потенциала
.3 Вычисление
дебита скважины
. Результаты
.
Исследование дебита при разных углах α
3.
Исследование скорости жидкости внутри пласта
. Динамика
контурного фронта
. Оценка
коэффициента извлечения нефти
Заключение
Литература
Введение
В сборнике задач по подземной гидравлике [1] приводится задача по
определению дебита скважины при частично изолированном контуре питания и
заданном давлении на контуре питания и на забое скважины. Продемонстрировано
решение задачи путем сведения к плоскорадиальной, принимая за контурное
давление в формуле Дюпюи средневзвешенное исходное давление по всей длине
окружности. В настоящей работе подробно исследуется движение жидкости внутри
частично ограниченного кругового пласта и оцениваются пределы применимости
указанного способа решения.
Постановка задачи
Скважина
радиуса
расположена в центре кругового пласта радиусом
(рис.1). Залежь по контуру частично непроницаема.
Контур питания представляет собой в плоскости дугу окружности радиуса
с центральным углом
.
Давление на контуре питания
равно -
, давление на забое скважины
равно -
. Граница
изолирована. Требуется определить дебит
скважины в данных условиях, исследовать распределение
скоростей внутри пласта, а также проследить динамику продвижения контурного
фронта к скважине. Задача будет рассматриваться при разных углах
.
Рис.
1 Схема частично изолированного кругового пласта, вскрытого скважиной
1. Связь плоской задачи теории фильтрации с теорией
функции комплексного переменного
При
исследовании плоского фильтрационного потока, подчиняющегося закону Дарси,
можно использовать теорию комплексного переменного. Совместим плоскость
комплексного переменного
с основной плоскостью течения.
Для
каждого плоского фильтрационного потока можно найти комплексный потенциал
, который является функцией комплексного переменного
:
где
- потенциал скорости;
-
функция тока, линии постоянного давления.
1.1 Построение комплексных областей
Для нахождения комплексного потенциала нужно отобразить область круга на
полубесконечную полосу, рассматривая скважину как точечный источник или сток.
Точки
области
отображаются
на область
, как показано на рис.2.
Рис.
2 Отображение круговой области пласта на полубесконечную полосу
Величина
пока неизвестна.
.2 Нахождение комплексного потенциала
В
силу симметрии задачи относительно оси
будет
рассматриваться только верхний полукруг. Последовательно отображается область
на верхнюю полуплоскость, как показано на рис.3 - 5.
Рис.
3 Отображение верхнего полукруга
на
полуполосу
Рис.
4 Отображение области
на
Рис.
5 Верхняя полуплоскость
Отображение происходит с помощью следующих выражений:
1)
;
)
;
)
;
)
).
В итоге получаем зависимость
:
(1)
Аналогично
отображается область
на верхнюю полуплоскость
(рис. 6 - 7).
Рис.
6 Отображение области
на
Рис.
7 Отображение области
на
Отображения последовательно выполняются следующим образом
1)
)
)
Окончательно имеем зависимость
:
(2)
Область
переходит в область
с
помощью дробно - линейного преобразования (рис.8).
(3)
Рис.
8 Сопоставление области
и
С помощью формул (1), (2), (3) получаем комплексный потенциал
. (4)
.3 Вычисление дебита скважины
Рассмотрим комплексный потенциал
.
Уравнение
определяет семейство эквипотенциалей, совпадающих с
изобарами [2,3]:
, (5)
где
- коэффициент проницаемости пласта,
- динамический коэффициент вязкости насыщающей пласт
жидкости,
- давление в жидкости.
Рассмотрим
комплексный потенциал (4) на расстоянии радиуса скважины от начала координат.
Выделим реальную часть в комплексном потенциале (4):
.
В
этом выражении величины
,
,
считаются известными, а величина
неизвестна. Приравнивая между собой правые части (4),
(5), можно найти неявную зависимость параметра комплексного отображения
от
постоянных величин
,
,
,
,
,
:
.
Рис.
9 Схема кругового пласта
2. Результаты
В
задачнике [1] приводится задача со следующими данными: радиус скважины
=10 см; радиус пласта
=350 м;
коэффициент проницаемости
=0.8 Д; динамический коэффициент вязкости
=5 сП; давление на контуре питания
=27.9 МПа; давление на забое скважины
=7.84 МПа; центральный угол
=120
;
мощность пласта
=12 м.
Найдем
величину
и дебит скважины (вычисления проводились с
использованием математического пакета Wolfram Mathematica 8
<#"796666.files/image081.gif">
В
данном случае
.
Дебит
при вышеперечисленных данных равен 
. Если же
решать задачу предложенным в задачнике [1] методом осреднения контурного
давления по всей длине окружности пласта и сведением ее к плоскорадиальной, то
получим 
. Ответы
значительно отличаются друг от друга. Это означает, что решение, приведенное в
задачнике, не применимо к данной задаче.
3. Исследование дебита при разных углах 
Рассмотрим
дебит при различных углах раскрытия проницаемого контура пласта
(рис.10), полученный описанным методом с применением
теории комплексного потенциала.
Рис.
10 Зависимость дебита скважины от угла
По
графику видно, что с увеличением угла раствора
увеличивается
и дебит скважины
, при этом зависимость имеет нелинейный характер,
стремясь к дебиту скважины в круговом пласте с полностью проницаемым контуром.
В
случае, когда угол
, движение будет плоскорадиальным. При
плоскорадиальном движении векторы скорости фильтрации направлены по радиусам к
оси скважины. Если на внешней границе пласта, совпадающей с контуром питания,
поддерживается постоянное давление
, а на
забое скважины постоянное давление
, пласт
однороден по пористости и проницаемости, фильтрация происходит по закону Дарси,
то объемный дебит скважины определится по формуле Дюпюи:
Дебит,
рассчитанный по данной формуле, равен
=
и в точности совпадает с дебитом, вычисленным с
помощью комплексного потенциала.
4. Исследование скорости жидкости внутри пласта
Далее во всех вычислениях, выполним нормировку таким образом, что радиус
пласта будет равен
, а радиус скважины
=0.001.
С
помощью математического пакета Wolfram Mathematica 8
<#"796666.files/image094.gif">(рис. 11 - 14).
Рис.
11 Результаты расчетов при
: а)
линия тока; и б) распределение модуля скорости фильтрации
Линия
тока - это линия, в каждой точке которой касательная к ней совпадает по
направлению со скоростью частицы жидкости в данный момент времени. Совокупность
линий тока позволяет наглядно представить в каждый момент времени поток
жидкости, давая как бы моментальный фотографический снимок течения. Если
течение жидкости установившееся, то есть скорость
<#"796666.files/image096.gif">. На рис.11,а изображено семейство линий тока. Можно
увидеть, что жидкость входит в скважину не только со стороны источника, но и со
всего контура скважины. На рис.11,б представлено распределение модуля скорости.
Область светлого цвета соответствует области большей по модулю скорости,
область темного цвета - области с меньшими скоростями. Скорость увеличивается
при приближении жидкости к скважине. При обходе кругового пласта скорость
фильтрации уменьшается. Так же заметно, что на краях контура питания скорости
принимают относительно высокие значения. Это объясняется характером «обтекания»
краевых точек непроницаемого участка контура пласта.
Рис.
12 Результаты расчетов при
: а)
линия тока; и б) распределение модуля скорости фильтрации
Рис.
13 Результаты расчетов при
: а)
линия тока; и б) распределение модуля скорости фильтрации
Рис.
14 Результаты расчетов при
: а)
линия тока; и б) распределение модуля скорости фильтрации
Рассмотрим
эпюру скоростей фильтрации на окружности радиуса скважины (рис.15). Заметно,
что величина притока жидкости к скважине принимает большие значения со стороны
контура. При этом отношение величины притока со стороны контура питания к
притоку противоположной стороны возрастает при уменьшении угла раствора.
Рис.
15 Эпюра скоростей фильтрации при
5. Динамика контурного фронта
Рассмотрим динамику продвижения к скважине частиц, изначально
расположенных на контуре питания
. Данный процесс имеет практический
интерес при моделировании притока к скважине некоторой примеси, переносимой
насыщающий пласт жидкостью. Кроме того, полученные результаты можно
использовать в качестве грубой оценки продвижения к вскрывающей нефтяной пласт
скважине фронта воды от контура питания. Упрощение заключается в пренебрежении
изменением гидропроводности зоне проникновения воды. В рамках данного упрощения
будем далее называть рассматриваемый подвижный фронт изосатой.
Линия
изосат - линия, вдоль которой насыщенность принимает постоянное значение. Построим
динамику такой линии при разных значениях угла
.
При
численных расчетах контур питания, в данном случае, дуга окружности радиуса
с центральным углом
, был
разделен n точками со сгущением на краях для большей
наглядности. Точки изосат были нанесены на семейство линий тока для подробной
иллюстрации движения жидкости (рис. 16 - 19).
Рис.
16 Положения точек изосат, нанесенные на семейство линий тока при
Красным цветом показано расположение точек в такой момент времени, при
котором, хотя бы одна точка достигла скважины. Шаг по времени между пересчетом
координат точек остальных линий изосат одинаков.
На рис.16 видно, что точка, достигшая скважины первой находится по
горизонтальной оси. Но при других углах это не выполняется (рис. 17 - 18).
Рис.
17 Положения точек изосат, нанесенные на семейство линий тока при
Рис.
18 Положения точек изосат, нанесенные на семейство линий тока при
Рисунок
19 Положения точек изосат, нанесенные на семейство линий тока при
Исследуем теперь зависимость скорости центральной точки от ее расстояния
контура питания до скважины. Рассмотрим при разных значениях
.
Рис.
20 График зависимости скорости центральной точки от расстояния
Для плоскорадиального движения жидкости зависимость скорости движения
жидкости от расстояния известна:
,
- скорость фильтрации,
площадь поперечного сечения пласта,
нормального к направлению движения жидкости,
- мощность пласта.
Эта зависимость справедлива только для плоскорадиального движения, то
есть для угла
. Эту зависимость мы можем наблюдать и на рис. 20. Но с
уменьшением угла раствора
такая зависимость нарушается.
6. Оценка коэффициента извлечения нефти
При проектировании разработки нефтяных месторождений в условии
водонапорного режима, когда нефть вытесняется в скважины напором краевых вод,
необходимо вычислить коэффициент извлечения нефти. Если предположить, что за
счет меньшей вязкости воды извлечение нефти прекращается, как только фронт воды
достигает скважину, а рассмотренный выше фронт создает границу раздела воды и
нефти, то коэффициент извлечения нефти можно грубо оценить по распределению
воды на момент достижения данным фронтом границы скважины (рис.21 - 23).
Используя координаты крайних точек в промежуточный момент времени, соединим
начальную и предельную линию изосат.
Рис.
21 Разделение предельной линией изосаты на две области при
Рис.
22 Разделение предельной линией изосаты на две области при
Рис.
23 Разделение предельной линией изосаты на две области при
Коэффициент извлечения нефти (КИН) находится по формуле:
,
где F - площадь области замещения нефти
водой, S - площадь кругового пласта,
изначально занятая нефтью.
Площадь «водяной» части приближенно можно вычислить как площадь
многоугольника, образованного точками начальной и предельной линий изосат.
Рис.
24 Выпуклый многоугольник
Для
выпуклого многоугольника площадь есть сумма площадей треугольников (рис. 22)
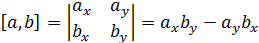
[6]. Площадь треугольника, образованного векторами
и
,
определяется по формуле
, где для вычисления векторного произведения
используется формула:
.
Площадь
фигуры тогда будет
.
Используя
данный метод нахождения площади многоугольника, находится коэффициент
извлечения нефти при разных углах
.
Рис.
25 График зависимость коэффициента извлечения нефти от 
Заключение
Решена задача о вычислении дебита скважины при частично изолированном
контуре питания кругового пласта. Получено аналитическое выражение комплексного
потенциала данного течения в пласте. Сформулировано условие вычисления
коэффициента преобразования.
Ввиду сложности аналитических выражений все расчеты при исследовании
процесса выполнены численно. Показано отличие результатов рассмотренного метода
и результатов, полученных по упрощенному методу осреднения контурного давления
на всю длину полностью проницаемого контура.
Проведено
исследование движения жидкости внутри кругового пласта при разных значениях
угла
. Построена эпюра скоростей вблизи скважины. Построена
динамика фронта частиц, продвигающихся от контура к скважине, являющегося приближенным
аналогом линии изосат или фронта воды, замещающей нефть.
Построена
приближенная зависимость коэффициента извлечения нефти от угла раскрытия
контура питания.
Литература
1. Евдокимова
В. А., Кочина И.Н. Сборник задач по подземной гидравлике. М., «Недра», 1979. -
168 с.
. Басниев
К. С., Власов А. М., Кочина И. Н., Максимов В. М. Подземная гидравлика: Учебник
для вузов. - М.:Недра, 1986. - 303 с.
. Маскет
М. Течение однородных жидкостей в пористой среде. Институт компьютерных
исследований, 2004. - 640 с.
. Седов
Л. И., Механика сплошной среды, 4 изд., т. 1, М., 1983. - 492 с.
. Лойцянский
Л. Г., Механика жидкости и газа, 6 изд., М., 1987. - 676 с.
. Марданов
Р.Ф. Особенности численной реализации методов решения прямых и обратных краевых
задач аэрогидромеханики. Учебное пособие к курсу «Численная реализация методов
решения прямых и обратных краевых задач аэрогидромеханики». - Казань: КФУ, 2013
г. - 61 с.